Areas y Perímetros

Se llama polígono a aquella figura plana cerrada, delimitada por segmentos de recta. Se clasifican de acuerdo con la medida de sus lados o sus ángulos.
Es la suma de las longitudes de los lados
encerrada por un poligono
• ¿Cuál es el perímetro de un cuadrado de 5 cm de lado?
• Si sumamos los lados que rodean el cuadrado, obtenemos: 5 + 5 + 5 + 5 = 20 cm
• Encuentra el perímetro de la siguiente figura (todos sus ángulos miden 90°
•
En la figura faltan algunos lados. Pero no te preocupes, los encontramos sumando o restando los lados opuestos. • Ahora encuentra la suma de todos los lados: 6 + 4 + 2 + 3 + 4 + 7 = 26 cm
• Aquí tenemos un triángulo con base de 5 cm y altura de 6 cm.
• Si colocamos otro triángulo con la misma altura y base encima, obtenemos un rectángulo de 6 cm × 5 cm.
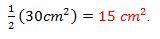
• Ya sabemos cómo calcular el área de un rectángulo (base × altura). Así que el área del rectángulo será de 5 cm × 6 cm = 30 cm2.
• Sin embargo sólo queremos la del triángulo, que será la mitad de la del rectángulo .
• Básicamente lo que hacemos es dividir en dos el área de un rectángulo, o 1/2(base × altura).
• Una mesa circular tiene un área de
Solución
• La fórmula para calcular el área del círculo es A=π • r²
• Reemplazamos valores y queda 5.027 = 3.1416 • r²
• Resolvemos:
En las siguientes paginas encontraras un formulario para que puedas calcular áreas y perímetros
a c
h a
b
h
a = b * h 2 Donde: b= base h= altura
P = 3a
P = a + b + c a = a 2 3 4 Donde: b= base h= altura
L h b
CUADRADO RECTANGULO
a = L 2 Donde: L= lado
P = 2b + 2h
P = 4L a = b * h Donde: b= base h= altura
h a
d
ROMBO
b
a = b * h Donde: b= base h= altura
P = 4a
P = 2b + 2h a = D * d 2 D= diagonal mayor d= diagonal menor a= lado
B r
a = (B + b)h 2 Donde: B= base mayor b= base menor h= altura L= lado
P = B + b + 2L a = π r 2
CIRCULO