InstructPix2Pix: Learning to Follow Image Editing Instructions
Tim Brooks, Aleksander Holynski, Alexei A. Efros

Tim Brooks, Aleksander Holynski, Alexei A. Efros
• Tell the model exactly what edit to make as a written instruction.
• Require no extra input (full captions, additional images, drawn masks).
• Perform edit in forward pass without need for inversion/finetuning.
• Only works reliably when both images are generated.
• Requires full written description of both input and output images.
“Photo
“Photo of a cat riding on a bicycle.” of a cat riding on a car.”• Expensive finetuning for every new input image.
• Require full descriptions of the desired output image.
DreamBooth:
Imagic:
• Train a large diffusion model to directly edit images.
• Train on a large supervised dataset of paired images and instructions.
“have her ride a dragon”
InstructPix2Pix
• Train a large diffusion model to directly edit images.
• Train on a large supervised dataset of paired images and instructions.
• …but where does this supervised dataset come from?
“have her ride a dragon”
InstructPix2Pix
Our approach:
• Train a large diffusion model to directly edit images.
• Train on a large supervised dataset of paired images and instructions.
• …but where does this supervised dataset come from?
• Combine knowledge of large pretrained models to generate training data.
“have her ride a dragon”
InstructPix2Pix
• Finetune GPT-3 to generate instructions and before/after captions.
• Train on 700 human-written image editing instructions.
• Then generate >450,000 examples (providing LAION captions as input).
• Use a pretrained text-to-image model to generate examples.
• Leverage Prompt-to-Prompt method to make images look similar.
“Photo of a cat riding on a bicycle.”
“Photo of a cat riding on a car.”
(1) Generate text edits:
Input Caption: “photograph of a girl riding a horse”
GPT-3 (finetuned)
Instruction: “have her ride a dragon”
Edited Caption: “photograph of a girl riding a dragon”
(2) Generate paired images:
Input Caption: “photograph of a girl riding a horse”
Edited Caption: “photograph of a girl riding a dragon”
Stable Diffusion + Prompt2Prompt
Generated training examples:
“have her ride a dragon” “Color the cars pink” “Make it lit by fireworks” “convert to brick”
• Now it is a supervised learning problem!
• Finetune Stable Diffusion on generated training data.
• Add zero-initialized image conditioning channels.
“have her ride a dragon”
InstructPix2Pix
• Trained only on generated images and instructions.
• At inference, generalizes to real images and human-written instructions!
“Make it a grocery store”
Edmund Leighton’s Lady in a Garden“Turn him into a cyborg!”
• CFG extrapolates samples toward stronger conditioning:
• CFG extrapolates samples toward stronger conditioning:
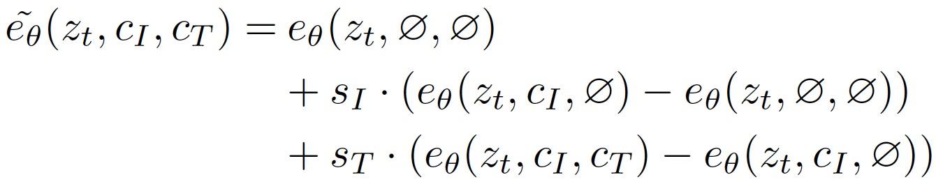
• We apply CFG with separate scales for image and text conditionings:
“Turn him into a cyborg!”
• CFG extrapolates samples toward stronger conditioning:
• We apply CFG with separate scales for image and text conditionings:
• How well does output image match input image?
• How well does change in images match change in captions?
• Evaluate for a range of guidance scales. Text: 7.5, Image: 1.0-2.2
• How well does output image match input image?
• How well does change in images match change in captions?
• Our model achieves a superior tradeoff.
Editing real images
Editing generated images
“Put them in outer space”
• Can easily apply edits in a sequence.
• Benefit of our model being feed-forward (no inversion/finetuning).
• Inference takes < 10s per edit of a 512x512 image.
• Reasonably capable at preserving identity.
• Requires tuning CFG for specific images/edits.
“Replace the background with a fancy party” Input
“Have them wear brown leather jackets”
• Our model learns biases such as correlations between profession and gender.
• Unable to alter viewpoint or spatial layout.
• Too significant of change (needs tuning CFG to prevent).
• Difficulty isolating objects.