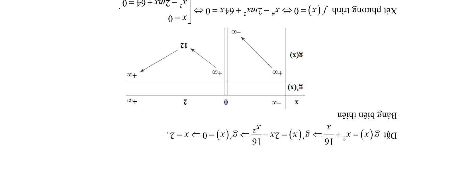
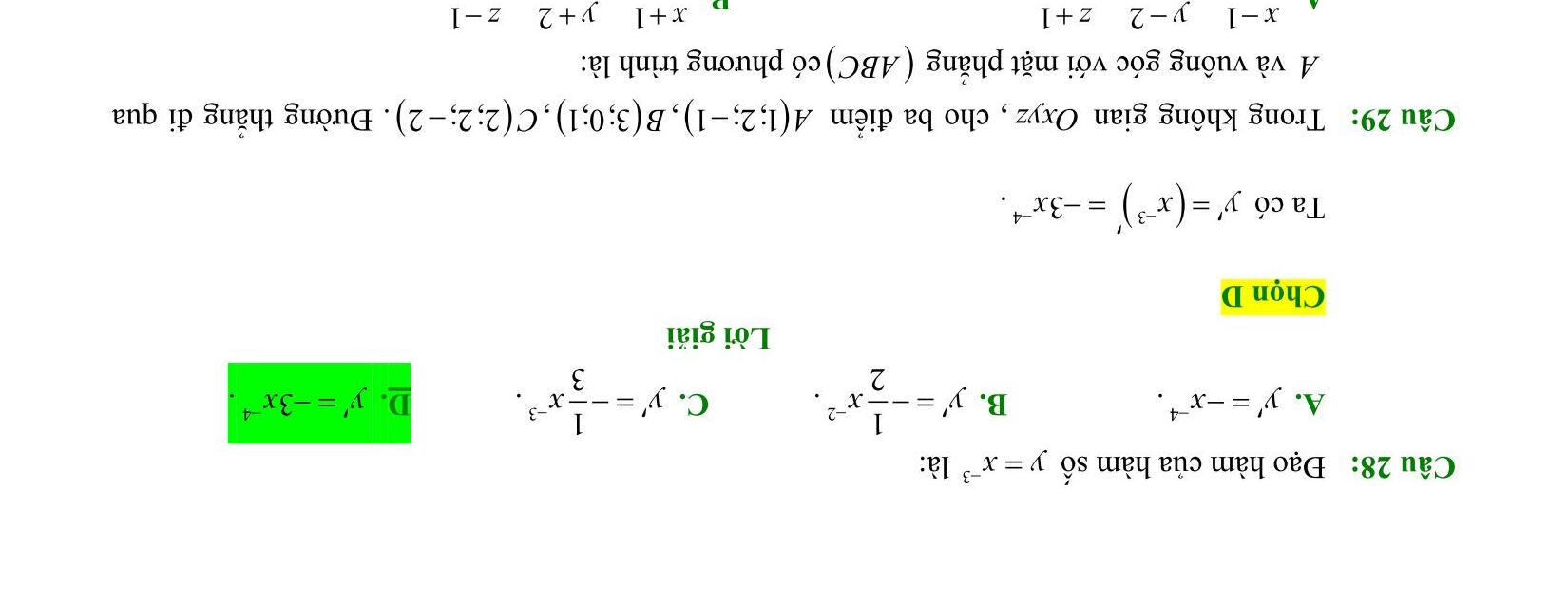
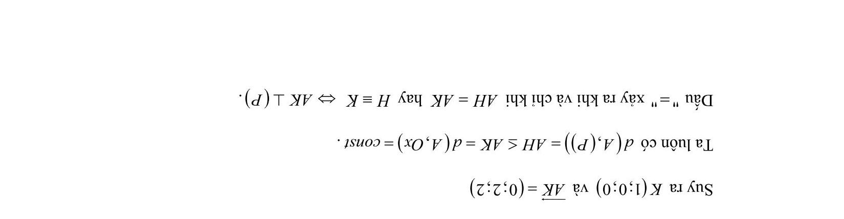
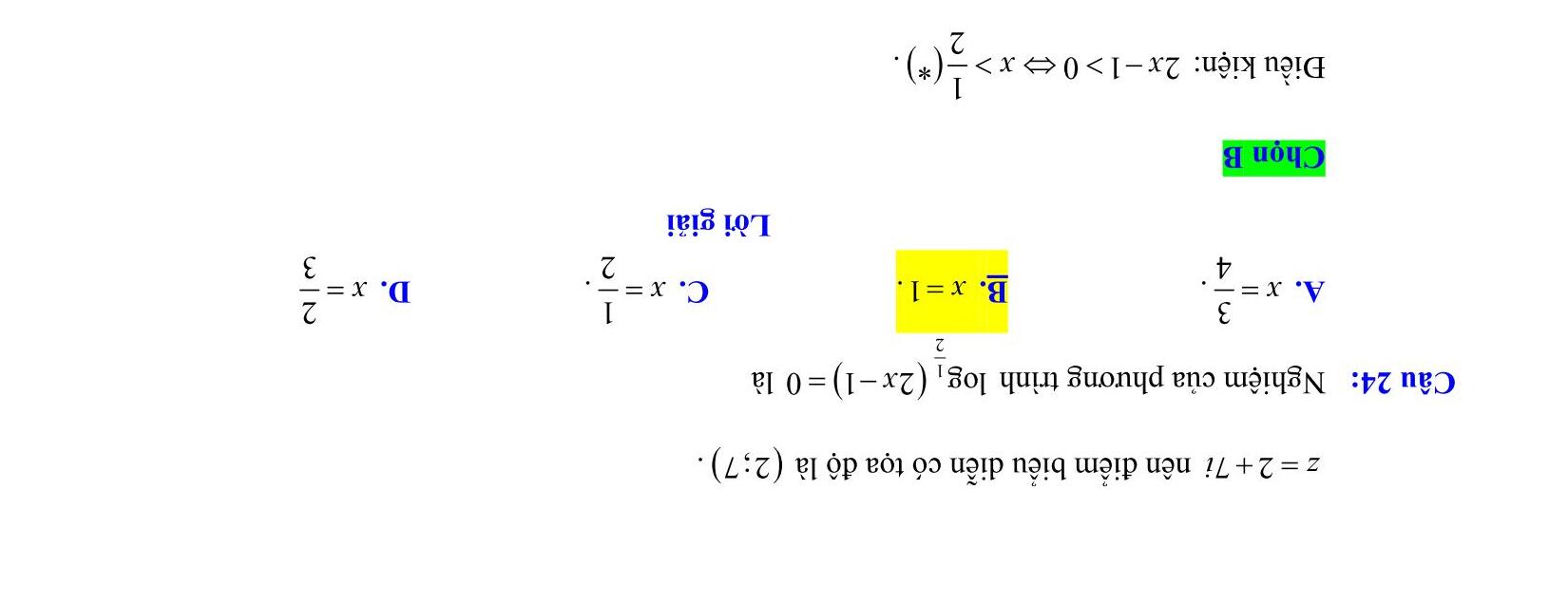
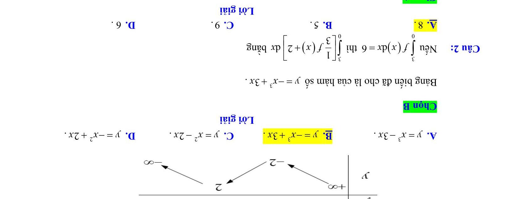
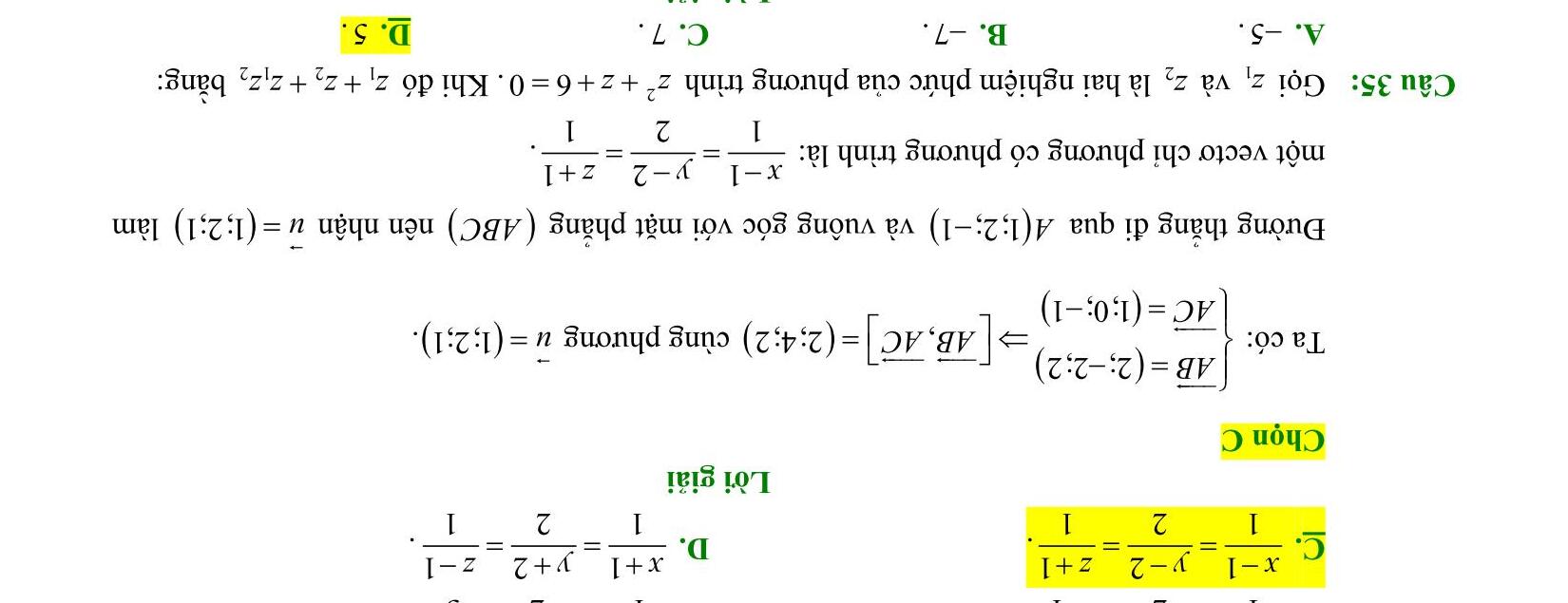
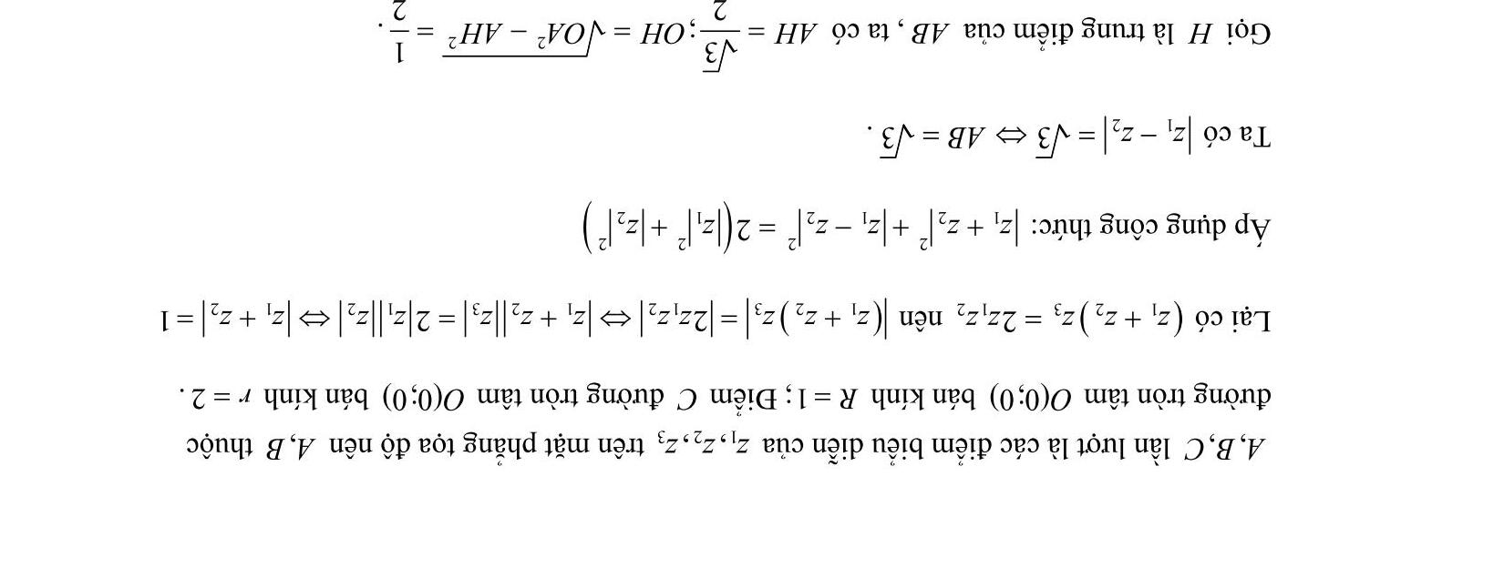
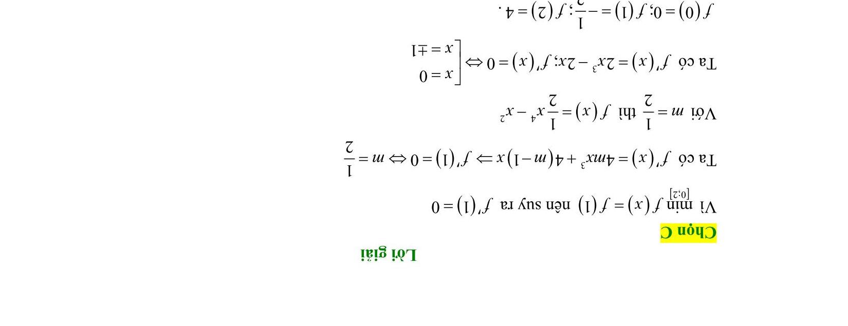
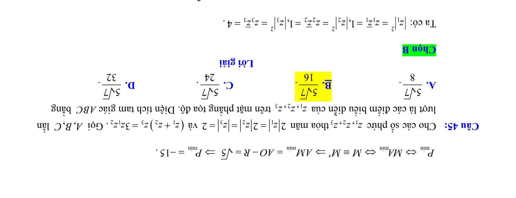
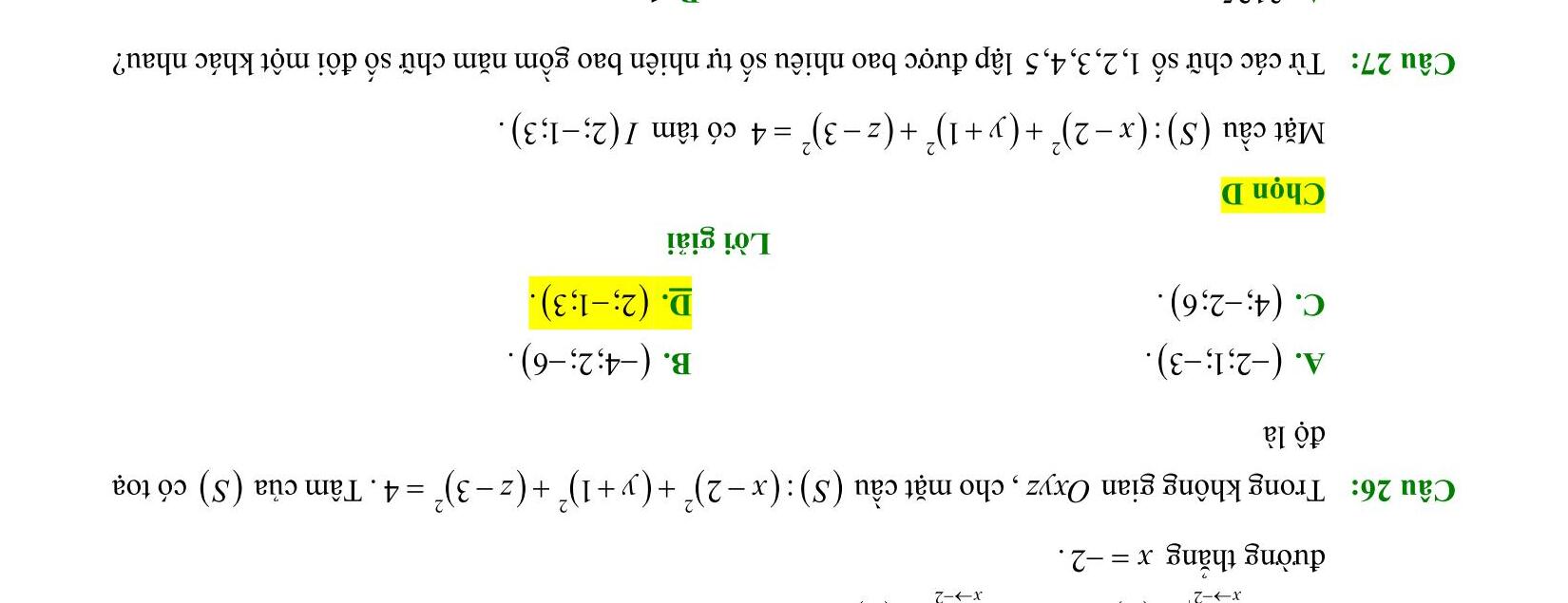
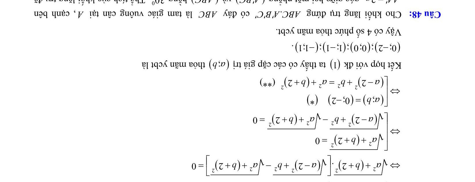
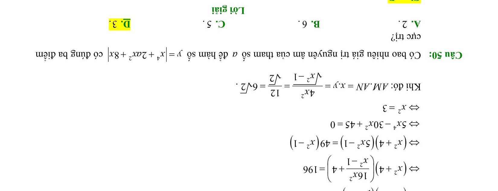
ĐỀ CHÍNH THỨC CỦA BỘ GIÁO DỤC VÀ ĐÀO TẠO KỲ THI TỐT NGHIỆP TRUNG HỌC PHỔ THÔNG MÔN TOÁN QUA CÁC NĂM

Page 1

Turn static files into dynamic content formats.

Create a flipbook
Issuu converts static files into: digital portfolios, online yearbooks, online catalogs, digital photo albums and more. Sign up and create your flipbook.