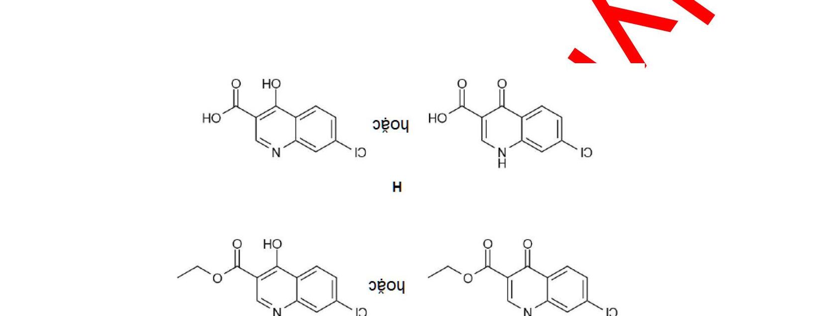
Olympiad Hóa học các quốc gia trên thế giới 2021 (Khu vực châu Á, Khu vực châu Âu, IChO)

Page 1

Turn static files into dynamic content formats.

Create a flipbook
Issuu converts static files into: digital portfolios, online yearbooks, online catalogs, digital photo albums and more. Sign up and create your flipbook.