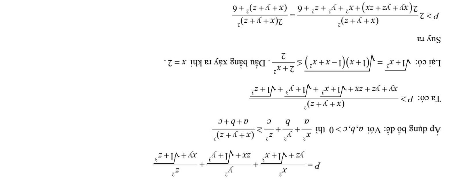
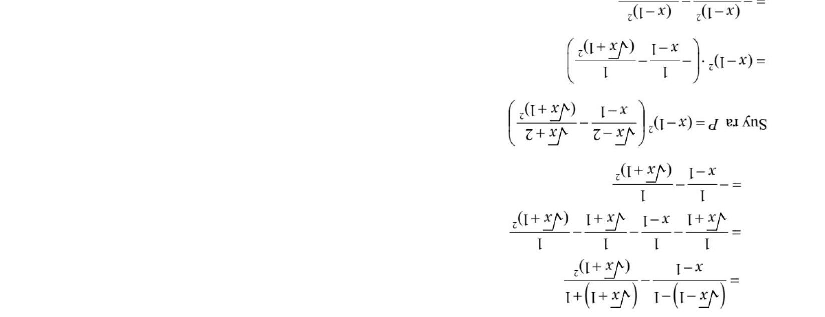
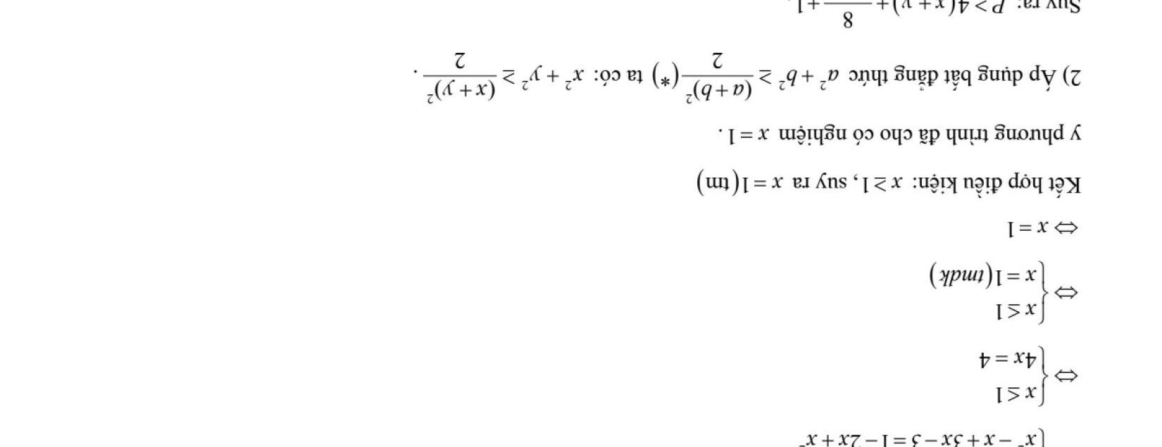
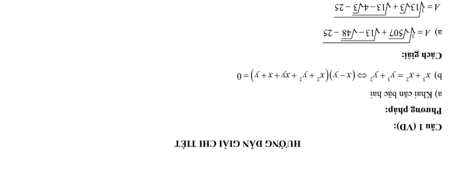
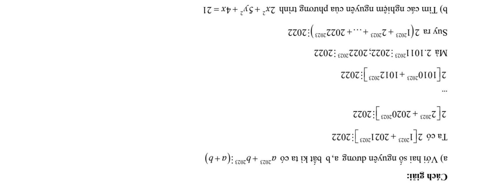
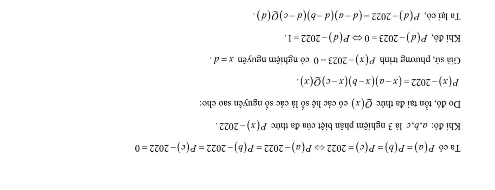
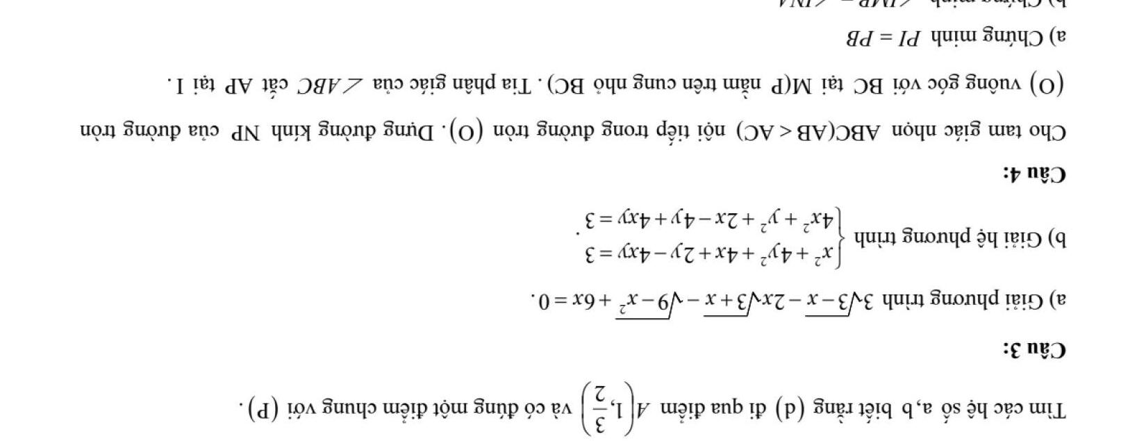
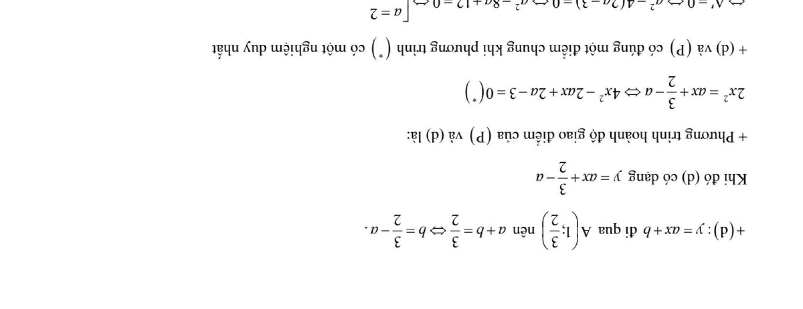
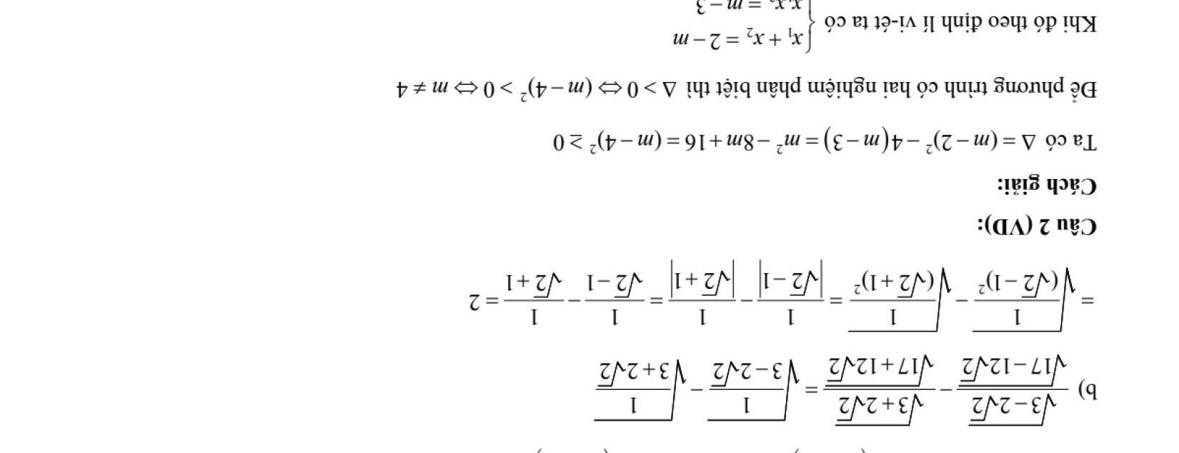
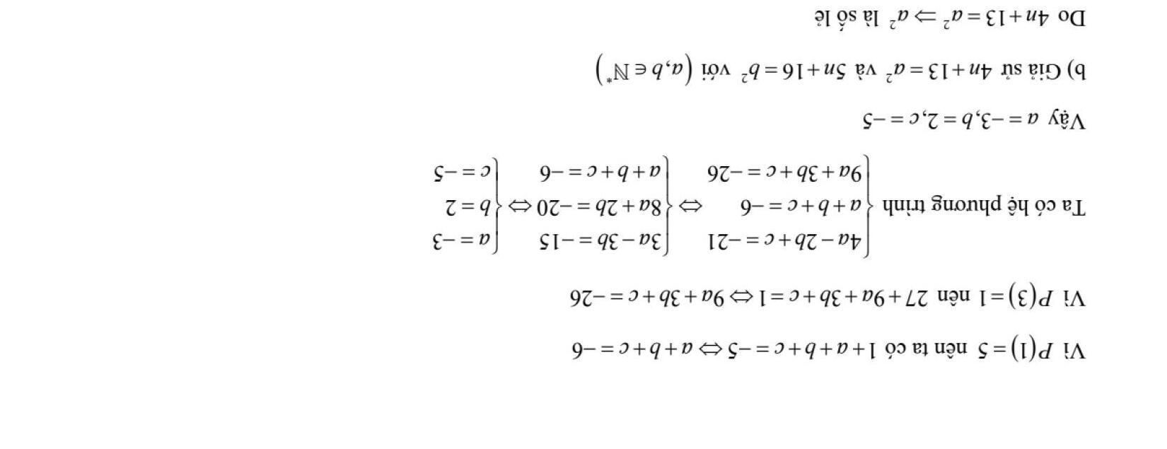
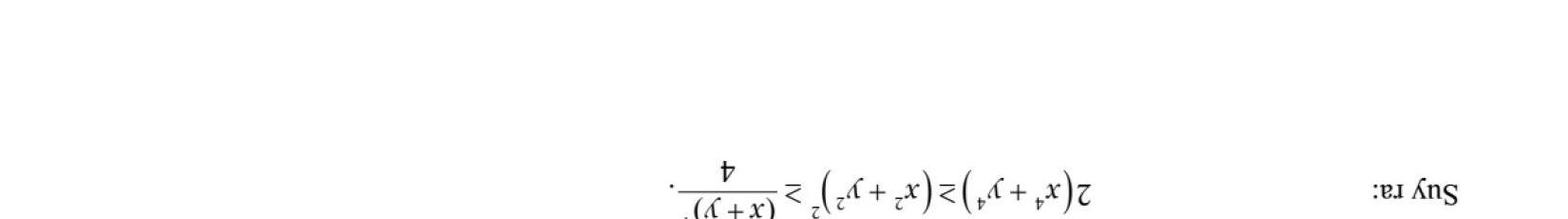
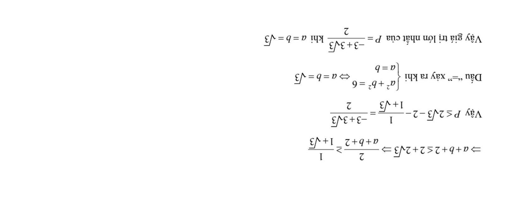
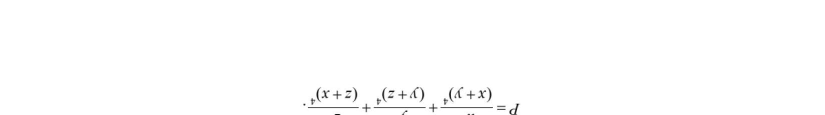
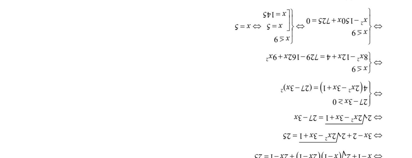
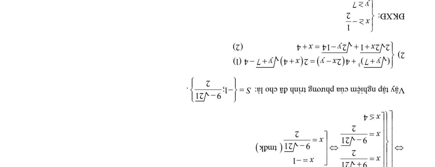
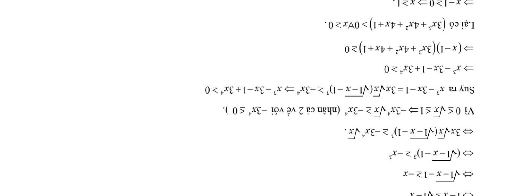
ĐỀ THI CHÍNH THỨC VÀO 10 MÔN TOÁN (ĐỀ CHUYÊN) TỪ CÁC TỈNH THÀNH TRÊN CẢ NƯỚC NĂM HỌC 2022 - 2023

Page 1

Turn static files into dynamic content formats.

Create a flipbook
Issuu converts static files into: digital portfolios, online yearbooks, online catalogs, digital photo albums and more. Sign up and create your flipbook.
ĐỀ THI CHÍNH THỨC VÀO 10 MÔN TOÁN (ĐỀ CHUYÊN) TỪ CÁC TỈNH THÀNH TRÊN CẢ NƯỚC NĂM HỌC 2022 - 2023 by Dạy Kèm Quy Nhơn Official - Issuu