CHUYÊN ĐỀ ÔN THI HỌC SINH GIỎI THPT MÔN VẬT LÝ LỚP 10 - NĂM 2022 - GV PHẠM VŨ KIM HOÀNG

Page 1

BỒI DƯỠNG HSG THPT

MÔN VẬT LÝ

CHƯƠNGI.ĐỘNGHỌCCHẤTĐIỂM

MỤCLỤC

I.1ĐỘNGHỌC.........................................................................................................2

I.2.CHUYỂNĐỘNGNÉM....................................................................................10

I.3.TÍNHTƯƠNGĐỐICHUYỂNĐỘNG............................................................21

I.4ĐỘNGHỌCTOÁNLÝ....................................................................................26

I.1.LỜIGIẢIĐỘNGHỌC.....................................................................................37

I.2.LỜIGIẢICHUYỂNĐỘNGNÉM...................................................................58

I.3.LỜIGIẢITÍNHTƯƠNGĐỐICHUYỂNĐỘNG...........................................94

I.4.LỜIGIẢIĐỘNGHỌCTOÁNLÝ................................................................105

Ths Nguyễn Thanh Tú eBook Collection

CHUYÊN ĐỀ ÔN THI HỌC SINH GIỎI THPT

MÔN VẬT LÝ LỚP 10 - NĂM 2022 - GV

PHẠM VŨ KIM HOÀNG - CÓ LỜI GIẢI CHI

TIẾT (BẢN ĐẸP) (1278 TRANG)

WORD VERSION | 2023 EDITION

ORDER NOW / CHUYỂN GIAO QUA EMAIL

TAILIEUCHUANTHAMKHAO@GMAIL COM

Tài liệu chuẩn tham khảo

Phát triển kênh bởi

Ths Nguyễn Thanh Tú Đơn vị tài trợ / phát hành / chia sẻ

Mobi/Zalo 0905779594

Hỗ trợ trực tuyến Fb www.facebook.com/DayKemQuyNhon
học thuật : Nguyen Thanh Tu Group
1
vectorstock com/10212086

I.1ĐỘNGHỌC

Bài1.HaivậtchuyểnđộngtừAvàBcùnghướngvềđiểmOvớicùngvậntốc.BiếtAO =20km;BO=30km;Góc .Hãyxácđịnhkhoảngcáchngắnnhấtgiữachúngtrong

060 quáchuyểnđộng?

ĐS: mn53() dcm 

Bài2.Mộtôtôchuyểnđộngthẳngđềuvớivậntốcv1 =54km/h.Mộthànhkháchcáchô tôđoạna=400mvàcáchđườngđoạnd=80m,muốnđónôtô.Hỏi ngườiấyphảichạytheohướngnào,vớivậntốcnhỏnhấtlàbaonhiêu đểđónđượcôtô?

ĐS:HướngtạoABmộtgóc β=900;(v2)min =10,8km

Bài3.Haixechuyểnđộngtrênhaiđườngvuônggócvớinhau,xeAđivềhướngtâyvới tốcđộ50km/h,xeBđivềhướngNamvớitốcđộ30km/h.VàomộtthờiđiểmnàođóxeA vàBcòncáchgiaođiểmcủahaiđườnglầnlượt4,4kmvà4kmvàđangtiếnvềphíagiao điểm.Tìmkhoảngcáchngắnnhấtgiũahaixe.

ĐS:1,166km.

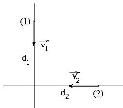
Bài4.HaichuyểnđộngtrênAOvàBOcùnghướngvềOvới .Khikhoảng 10 2;30 3 v v 

cáchgiữahaivậtcựctiểulàdmin thìkhoảngcáchtừvậtmộtđếnOlà .Hãy 1303() dcm 

tínhkhoảngcáchtừvậthaiđếnO.

ĐS:90(m).

Bài5.MộtconkiếnbámvàođầuBcủamộtthanhcứngmảnhABcóchiều dàiLđangdựngđứngcạnhmộtbứctườngthẳngđứng.Vàothờiđiểmmà đầuBcủathanhbắtđầuchuyểnđộngsangphảivớivậntốckhôngđổiv theosànngangthìconkiếnbắtđầubòdọctheothanhvớivậntốckhông đổiuđốivớithanh.Trongquátrìnhbòtrênthanh,conkiếnđạtđượcđộcaocựcđạilàbao nhiêuđốivớisàn?ChođầuAcủathanhluôntìlênsànthẳngđứng.

ĐS: max2 huL v 

Bài6. HaichiếctàubiểnchuyểnđộngvớicùngvậntốchướngtớiđiểmOtrênhaiđường thẳnghợpvớinhaumộtgócα=600.Hãyxácđịnhkhoảngcáchcựctiểuhaitàu.Chobiết banđầuchúngcáchOnhữngkhoảngcáchlàd1 =60kmvàd2 =40km.

ĐS: mn17,32 dkm 

Bài7.HaivậtnhỏchuyểnđộngtrênhaitrụctọađộvuônggócOx,OyvàquaOcùngmột lúc.VậtthứnhấtchuyểnđộngtrêntrụcOxtheochiềudươngvớigiatốc1m/s2 vàvậntốc khiquaOlà6m/s.VậtthứhaichuyểnđộngchậmdầnđềutheochiềuâmtrêntrụcOyvới giatốc2m/s2 vàvậntốckhiquaOlà8m/s.Xácđịnhvậntốcnhỏnhấtcủavậtthứnhấtđối vớivậtthứhaitrongkhoảngthờigiantừlúcquaOchođếnkhivậtthứhaidừnglại.

ĐS: v12 đạtgiátrịnhỏnhấtlà8,94m/stạithờiđiểmt=2svàhợpvớiOxgóc26,50

Bài8. TrênđoạnđườngthẳngABdàis=200m,mộtchiếcxekhởihànhtừAchuyểnđộng nhanhdầnđềuvớigiatốca1 =1m/s2 sauđóchuyểnđộngchậmdầnđềuvớigiatốccóđộ lớna2 =2m/s2 vàdừnglạiởB.TínhthờigianngắnnhấtđểxeđitừAđếnB.

ĐS:t=15,63s

Bài9.Từmộtkhícầucáchmặtđấtmộtkhoảng15mđanghạthấpvớitốcđộđềuv1=2m/s, từtrongkhícầungườitaphóngmộtvậtnhỏtheophươngthẳngđứnghướnglênvớivận tốcđầuvo2=18m/sđốivớimặtđất.Tìmkhoảngcáchlớnnhấtgiữakhícầuvàvật.Bỏqua ảnhhưởngkhôngkhílấyg=10m/s2 .

ĐS:20m.

Bài10.Mộtvậtnhỏcóthểtrượtkhôngmasáttừđỉnhmộtcáinêmvàvăngratheophương ngang rồi rơi xuống mặt bàn. Hỏi h bằng baonhiêuthì vật rơi xuống mặt bàn ở xanêm nhất.Biếtrằngkhốilượngnêmrấtlớnsovớikhốilượngcủavật.

ĐS:h= khiđótầmxalmax =H 2 H

2
3

Bài11.HaiôtôđồngthờixuấtpháttừAvàBchuyểnđộngngượcchiềunhau.Ôtôthứ nhất chạy với gia tốc không đổi trên1/3quãng đường AB,1/3quãng đường tiếp theo chuyểnđộngđềuvà1/3quãngđườngcònlạichuyểnđộngchậmdầnđềuvớigiatốccóđộ lớn bằng gia tốc trên1/3quãng đường đầu tiên.Trongkhi đó ôtô thứ hai chuyển động nhanhdầnđềutrong1/3thờigianđitừBtớiA,1/3thờigianchuyểnđộngđều,và1/3thời gianchậmdầnđềuvàdừnglạiởA.Vậntốcchuyểnđộngđềucủahaixelànhưnhauvà bằng70km/h.TìmkhoảngcáchAB,biếtrằngthờigianchạyxethứnhấtdàihơnxethứ hai2phút.

ĐS: 14 ABkm 

Bài12.Mộtviênbinhỏchuyểnđộngvớivậntốcv=10m/strongmặt phẳngnằmnganglạigầnmộtchiếchốbằngkimloại.Hốcóhaithành thẳngđứngsongsongvớinhau,cáchnhaumộtkhoảnglàd=5cm.Vận tốcvcủabivuônggócvớithànhhố.ĐộsâucủahốlàH=1m, biva chạmhoàntoànđànhồivàxảyratứcthìvớithànhhố.

1.Tínhsốlầnbivachạmvớithànhhố.

2.Tínhtổngchiềudàiquỹđạocủaviênbitừthờiđiểmbanđầuđếnlúc chạmđáyhố.

ĐS:1.; 2 vH n dg 

Bài13. Phíatrênmặtphẳngnghiênggócα=300 ,tạiđiểmOcáchmặtphẳngnghiêngmột đoạnOC=h,ngườitađặtmộtmángtrượtthẳngvànhẵn,tựa vàomặtphẳngnghiêngtạiđiểmP(hìnhvẽ).Đểmộtchấtđiểm

từOtrượtkhôngvậntốcđầu,theomángđếnđiểmPcủamặt phẳngnghiêngtrongthờigianngắnnhấtthìgócβgiữaphương thẳngđứngvàmángtrượtphảibằngbaonhiêu? Tìmthờigiantrượtngắnnhấtđótheoh vàgiatốcrơitựdog.Biếtmặtphẳngnghiêngđặtcốđịnh.

ĐS: mn 1,86h t g 

Bài14. MộtnêmcótiếtdiệnlàtamgiácABCvuôngtạiA,vàhaimặtbênlàABvàAC. Chohaivậtm1 vàm2 chuyểnđộngđồngthờikhôngvậntốcđầutừ

Atrênhaimặtnêm.Bỏquamọimasát.Lấyg=10m/s2.(Hìnhvẽ)

a.Giữnêmcốđịnh,thờigianhaivậtm1 vàm2 trượtđếncácchân mặtnêmABvàACtươngứnglàt1 vàt2 vớit2=2t1.Tìm 

b.Đểt1 =t2 thìcầnphảichonêmchuyểnđộngtheophươngngangmộtgiatốca0 không đổibằngbaonhiêu?

ĐS:a.  =63,40;b.a0 = 7,5m/s2 .

Bài15.Mộtquảcầunhỏchuyểnđộngvớivậntốckhôngđổivtheophương ngangđếnđiểmAtrênmépmộtốnghìnhtrụđặtthẳngđứng,ốngcóchiều caoHđủlớn,bánkínhtiếtdiệnR.KhiđếnAquảcầutạovớiđườngkính miệngốnggóc  vàlọtvàoống.

HãyxácđịnhhệthứcliênhệgiữaR;H;vvà đểngaysaukhiquảcầuthựchiệnmộtsố

nguyênlầnvachạmhoàntoànđànhồivớihìnhtrụthìvừavặnthoátratừmiệngốngvới vậntốctheophươngthẳngđứnglúcđóbằng0?Bỏquamọimasátvàlựccản.

ĐS:nRcos =kv,nlàsốvachạm.  2H g

Bài16.Mộtđoàntàukháchđangchạyvớivậntốc thìngườiláitàunhậnthấy 190/ vkmh 

ởphíatrước,cáchtàumộtkhoảng cómộtđoàntàuhàngđangchạycùngchiều 140 Lm 

với vận tốc . Anh ta dựng phanh cho tàu chạy chậm dần với gia tốc 221,6/ vkmh 

21/ ams 

Liệucótránhđượcvachạmgiữahaiđoàntàukhông?

ĐS:khôngthểtránhvachạm.

4
 
5

Bài17. MộtxeôtôchuyểnđộngthẳngtừđịađiểmAđếnđịađiểmBcáchAmộtkhoảng S.Cứsau15phútchuyểnđộngđều,ôtôlạidừngvànghỉ5phút.Trongkhoảng15phút đầuxechạyvớivậntốcv0 =16km/h,vàtrongkhoảngthờigiankếtiếpsauđóxecóvận tốclầnlượt2v0,3v0,4v0,…TìmvậntốctrungbìnhcủaxetrênquãngđườngABtrong haitrườnghợp:

a)S=84km

b)S=91km.

ĐS:a. (km/h);b. (km/h) 43,8bv 44,1tbv

Bài18.Mộtmáybayđangbaynằmngangvớivậntốcvo thìbắtđầungóclêntrênvẽthành

mộtđườngtrònnằmtrongmặtphẳngthẳngđứng.Vậntốccủamáybaykhiđóthayđổitừ

độcaohtínhtừmứcbanđầucủavòngtròntheoquiluật: Ởđiểmcaonhất 222 o vvah 

nhiêukhivậtphíatrênđếnchânmặtphẳngnghiêng.Tínhkhoảngcáchtừvịtríhaivậtgặp nhauđếnchânmặtphẳngnghiêng.

ĐS:1. ; ; ;;2.1,2m;3m.

 25/ vms  10,6 ts  21 ts 

Bài20.TrêntrụcOxmộtchấtđiểmchuyểnđộngbiếnđổiđềutheochiềudươngcóhoành độởcácthờiđiểm tươngứnglà: .Biếtrằng: .Hãytínhgia 123 ;; ttt 123 ;; xxx3221 ttttt  tốctheo vàt,chobiếttínhchấtchuyểnđộng. 123 ;; xxx

ĐS: . 321 2 2 xxx a t  

củaquĩđạovậntốccủa

nóbằngvo/2. Hãyxácđịnhgiatốccủamáybaykhivậntốccủa nóhướngthẳngđứnglênphíatrên?

ĐS: 109 3c aa 

Bài 19. Hai vật nhỏ giống nhau đặt cáchnhaud=1,6mtrên mặt phẳng nghiêng,góc nghiêngsovớiphươngnganglà  =300 .VậtởdướicáchchânmặtphẳngnghiênglàL= 90cm(Hình1).Thảđồngthờichohaivậttrượtxuốngkhôngvậntốcđầu.Bỏquamasát.

Lấyg=10m/s2 .

1.Tìmvậntốccủamỗivậtởchânmặtphẳngnghiêngvàthờigiantrượtcủamỗivậttrên mặtphẳngnghiêng.

2. Saukhi đến chân mặt phẳng nghiêngthìhai vật lại trượtsangmặtphẳngngangtheocùngmộtđườngthẳng vớitốcđộkhôngđổibằngtốcđộcủachúngởchânmặt phẳngnghiêng.Hỏikhoảngcáchgiữacácvậtbằngbao

Bài21.HaicầuthủbóngđáAvàBchạytrênmộtđườngthẳngđếngặpnhauvớicùngtốc độ5,0m/s.Đểđiềuhànhtốttrậnđấu,trọngtàichạychổsaocho:luônđứngcáchcầuthủhậu vệA18mvàcáchcầuthủtiềnđạoBlà24m.KhikhoảngcáchgiữaA,Bbằng30mthìvận tốcvàgiatốccủatrọngtàilàbaonhiêu?

ĐS: 25/;3,86/T Vmsams 

Bài22.Mộtngườiđứngởsânganhìnngangđầutoathứnhấtcủamộtđoàntàubắtđầu chuyểnđộngnhanhdầnđều.Toathứnhấtvượtquangườiấysauthờigian .Hỏitoathứ 1t nđiquangườiấytrongthờigianbaolâu?

BiếtcáctoacócùngđộdàilàS,bỏquakhoảngnốicáctoa.

ĐS:  t 1(1) nnt

Bài23. HaivòngtrònbánkínhR,mộtvòngđứngyên,vòngcònlạichuyểnđộngtịnhtiến sátvòngkiavớivậntốc .TínhvậntốccủađiểmcắtCgiữahaivòngtrònkhikhoảng 0v cáchgiữahaitâm .d 1200

ĐS: 0 224 vR v Rd 

6
7
13/ vms

Bài24.Haixeôtôbắtđầuchuyểnđộngthẳng,nhanhdầnđềuhướngđếnmộtngãtư(hình

2).Tạithờiđiểmbanđầu,xe1ởAvới vàcógiatốca1;xe2ởBvới

vàcógiatốca2.Choa1 =3m/s2,x01 =-15m;a2=4m/s2,x02 =-30m.

a)Tìmkhoảngcáchgiữachúngsau5skểtừthờiđiểmbanđầu.

b)Saubaolâuhaichấtđiểmlạigầnnhaunhất?Tínhkhoảngcáchgiữachúnglúcđó.

ĐS:a.6m;b.3,63s.

Bài25.MộtchấtđiểmMchuyểnđộngtrongmặtphẳngthẳngđứngQtheođườngcong

vớivậntốcvt.XácđịnhvậntốcvàgiatốctuyệtđốicủađiểmMdướidạng 652  yxx

hàmcủavt vàOMnếumặtphẳngQquayquanhtrụcquaOvàvuônggócvớiQvớivận tốc  khôngđổi.

Bài26.MộtmángđôidạngkhungphẳnghìnhbìnhhànhABCD,mặtkhungđặttrongmặt phẳng thẳng đứng, cócác cạnh AB=DC=avàAD=BC=b.Các cạnh ABvàDCnghiêng mộtgóc sovớiphươngngang,cáccạnhBCvàADnghiêngmộtgóc sovớiphương   thẳngđứng.Mángđôiđượcghéptừbốnốngnhỏcùngđường

kínhtrong,mặttrongcủacácốngrấtnhẵn(Hình1).

Haihònbinhỏ1và2cóđườngkínhnhỏhơnđườngkínhtrong củaốngmộtchút,đượcthảcùngmộtlúctừđỉnhA,trượtkhông masátđiđếnCbằnghaiconđường:bi1trượttheomángABC, bi2 trượt theomángADC.Khi đi quacácgócmáng(B,D):

cácbikhôngbịbậtngượclạivàtốcđộcoinhưkhôngbịthayđổi;thờigianvượtquagóc mángkhôngđángkể.

Bỏqualựccảncủakhôngkhí;giatốcrơitựdolàg.

a.TínhthờigiantrượtcủamỗibiđitừAđếnC.

b.TínhtốcđộmỗibikhiđếnCvàhãysosánhhaitốcđộnày.

c.Gọi lầnlượtlàtổngthờigianchuyểnđộngcủabi1vàbi2khiđitừAđếnCvà 12 , CCtt

đặt . 21CCttt

-Hãytìm theo ,a,bvàg. t

-Tìmđiềukiệncủa đểbi2đếnCtrướcbi1. 

ĐS:a. ; 1 2(ascos)2sin2 cossin C tginbgaa g g 

2 2(ascos)2s2 sins C tginbgbcob g gco

b. =; = 1Cv2(ascos) ginb 2Cv2(ascos) ginb 

c.; sinos2sin2s2(ascos)cossin c t gagbcoginb g

8
 02OBx 
01OAx
9
    
     
              0045  

I.2.CHUYỂNĐỘNGNÉM.

Bài1.Mộtvậtđượcnémtừmặtđấtvớivậntốc 0v 

lập với phương nằm ngang một góc.Tìm tầm xa đạtđược,vớigócném  nàothìtầmxacựcđại.

ĐS: 045

Bài2.Némmộtvậtvớivậntốcbanđầu lậpvớiphươngnằmngangmộtgóc.Tìm 0v  

thờigianđểvậntốccủavậtvuônggócvớiphươngbanđầu.

ĐS: với 0 sin v t g  045

Bài3.VậtAđượcnémthẳngđứnglêntrêntừđộcao sovớimặtđấtvớivậntốc 300m

banđầu .Sauđó vậtBđượcnémthẳngđứnglêntrêntừđộcao sovới 20/ms1s 250m mătđấtvớivậntốcbanđầu Bỏquasứccảnkhôngkhí,lấy Chọn 25/ms g 210/ms gốctoạđộởmặtđất,chiềudươnghướngthẳngđứnglêntrên,gốcthờigianlàlúcném vậtA.

1.ViếtphươngtrìnhchuyểnđộngcủacácvậtA,B?

2.Tínhthờigianchuyểnđộngcủacácvật?

3.Thờiđiểmnàohaivậtcócùngđộcao?Xácđịnhvậntốccácvậttạithờiđiểmđó?

ĐS:

;

Bài 4. Cùng một lúc, từ cùng một điểm O ở độ caohso với mặt đất, hai vật được ném ngangtheohaihướngngượcnhauvớivậntốcđầulầnlượtlàv01 =30m/svàv02 =40m/s.

Bỏquasứccảnkhôngkhí.Lấygiatốcrơitựdog=10m/s2.Chobiếtngaytrướckhiva chạm,vectơvậntốccủahaivậtcóphươngvuônggócvớinhau.Xácđịnhđộcaosovới mặtđấtcủađiểm

ĐS: 0102 260() hvvm

Bài5.Haihạtchuyểnđộngtrongtrọngtrườngđềuvớigiatốctrọngtrườnglà .Banđầu,  g haihạtởcùngmộtđiểmvàcácvậntốccóđộlớnlầnlượtlàv01 =3m/s,v02 =3m/s,có phươngđềunằmngangtheohaichiềungượcnhau.Hãyxácđịnhkhoảngcáchgiữahaihạt tạithờiđiểmcácvectơvậntốccủachúngcóphươngvuônggócvớinhauvàthờiđiểmđó.

ĐS: ;L= . 0102vv t g  0102 0102 ()  vv vv g

Bài6.Mộtvậtnhỏđượcnémlênxiêngóc  sovớiđườngnằmngang,vớivậntốcđầucó

độlớnv0 Bỏquasứccảncủakhôngkhí.Hãyxácđịnh:

a.Độđờicủavậttheothờigian .()rt

b.vectơvậntốctrungbình trongthờigian  giâyđầutiênvàtrongcảquátrìnhchuyển  v động.

ĐS:a. ;b.2 00 1 2

Bài7.Chứngminhrằngởmộtđộcaonàođósovớimặtđấttanémmộtvật,khiđạttầm xacựcđại,vậntốcbanđầuvàvậntốcngaykhichạmđấtvuônggócvớinhau.

Bài8.Mộtvậtđượcnémlêntheophươnghợpvớiphươngngangmộtgócα.Tạithờiđiểm tsaukhiném,véctơvậntốccủavật lệchmộtgócφsovới .Tìmt. v 0v 

ĐS: .sin cos v t g   

Bài9.Haivậtđượcnémcùngmộtlúcvớivéctơvậntốclầnlượtlà và lầnlượthợp 01v02v vớiphươngngangcácgóc và .Saukhoảngthờigiantthìvéctơvậntốchaivậtsong 12 songvớinhau.Tìmt.

10
   5,3 ts  , 33/A vms  18/B vms 
1.
2.10s;3. 1 2 2 2 300205;25025(1)5(1);1 xttxttt
O.  0v  v  2 11
g
  rrrvtgt 0 02 ()    Vvgvg g

ĐS: 010221 011022

sin() (coscos) vv t gvv   

Bài10.MộthònđáđượcnémlêntừmặtđấtvớivậntốcbanđầuhướngtớiđiểmA.Hai điểmOvàAcùngnằmtrênmặtphẳngthẳngđứngvàđiểmAcáchmặtđấtmộtkhoảng

bằngAH=h.MộtgiâysaukhinémhònđárơiđúngđiểmH.Bỏquasứccảnkhôngkhí. Lấyg=10m/s2.Tìmh.

ĐS: 5 2 hgm 

Bài11.NémmộthònđátừđiểmOtrênmặtđất,saumộtgiâynóđếnđiểmB.Biếtrằng véctơvậntốctạiBvuônggócvớivậntốcbanđầu.XácđịnhkhoảngcáchOB.Bỏquasức cảnkhôngkhí.Lấyg=10m/s2

ĐS:5m.

Bài12.ChúmèoTomởđầumộtnócnhà(điểmBtrênhình)nhảyxuốngvồchuộtJerry.

NhưngJerryởdướiđất(điểmA)pháthiệnvàdùngsúngcaosubắnvàoMèo. Viênsỏi bắnratừsúngcaosucủaJerrycùnglúcTomnhảyxuốngvàđậpvàoTomởchínhgiữa

đoạnAB.TínhđộcaoHcuảnócnhà.BiếtgóchợpbởiABvớiphươngnganglà ,030 vậntốccủasỏibắnratừ súngcủaJerrylà7m/scònTomnhảytheophươngngang.Bỏqua sứccảncủakhôngkhí.Lấyg=10m/s2

Bài13.Haivậtnhỏđượcnémđồngthờitừcùngmộtđiểm:vật(1)đượcnémthẳnglên, vật(2)némxiêngóc  =600 (chếchlên)sovớiphươngngang.Vậntốcbanđầucủamỗi vậtcóđộlớnlàv0=25m/s.Bỏquasứccảncủakhôngkhí.Tìmkhoảngcáchgiữahaivật sauthờigian1,7skểtừlúcném?

Đơnvịtính:Khoảngcách(m)

ĐS: d=v0.t 22 cos(sin1) 

Bài14.MộthònđáđượcnémtốcđộvtừđộcaoHsovớimặtđấtvớigócnémαsovới mặtphẳngnằmngang.Hònđárơiđếnđấtcánhchỗnémtheophươngngangmộtkhoảng L.

a)Lậpphươngtrìnhquỹđạochuyểnđộngcủavậttheov,H,g,α,L.

b)ChoH=3m,α=450,L=42m,g=10m/s2 Tìmtốcđộvcủahònđákhiném.

ĐS:

Bài15.HaiđiểmA,Bởtrênmặtđất,cáchnhau10(m).TừAbắnvật1vớigócbắn . 030

TừBbắnvật2vớigócbắn (nhưhìnhvẽ).Vậntốc 060 banđầucủahaivậtđềucóđộlớnbằng40(m/s)vàđồng phẳng.Chobiếtvật2đượcbắnsaukhibắnvật1là (s) 

vàtrênđườngbayhaivậtsẽvachạmnhauởđiểmM.Lấy

g = 10 2 /.ms

Xácđịnh vàtọađộđiểmM. 

ĐS:Với 0,2(s), yM = 7,2(m),xM = 13,8 (m)



Bài16.Mộtmáybaynémbom,baytheophươngngangởđộcaoH=500msovớimặt đất,chuyểnđộngnhanhdầnđềuvớigiatốca=2m/s2 vàcácquảbomlầnlượtđượcthả

saunhữngkhoảngthờigianbằngnhaut=0,5s.Tìmkhoảngcáchgiữacácđiểmrơicủa

12
ĐS: m gtg Hvtg2,8 (14) 4 2 22 1      13
12 4
= (m/s) 0v

quảbomthứ9vàthứmườimộttrênmặtđấtnếuquảbomthứnhấtđượcthảrakhivậntốc củamáybaylàv0 =100m/s.Chog=10m/s2 vàbỏquasứccảnkhôngkhí.

ĐS: S129m

Bài17 Mộtôtôcủađịchđangleothẳnglênmộtquảđồivớivậntốckhôngđổilà2,5m/s. Đồicósườndốclàmộtmặtphẳngnghiênghợpvớiphươngngangmộtgócbằng300.Trong mặtphẳngthẳngđứngcóchứaôtô,ngườitabắnquảđạnpháotừchândốcvớigócbắn600 sovớiphươngngang.Lúcbắnthìôtôcáchpháo500m.Muốnđạnbắntrúngôtôthìvậntốc củađạnphảilàbaonhiêu?Chog=10m/s2

ĐS:v=88,9747m/s.

Bài18.MộtvậtđượcnémtừđiểmOnàođó,sauthờigian1s

vậtngaytrướckhichạmđấtcóphươngvuônggócvớivậntốclúcném.Tìmkhoảngcách từđiểmnémtớiđiểmchạmđất?

ĐS:4,9(m).

Bài19.Mộtvậtđượcnémlêntừmặtđấtvớivậntốcvo nghiênggóc vớiphươngngang. 

Cáchđiểmnémkhoảngnàođócótấmthépthẳngđứng,mặtphẳngquĩđạocủavậtvuông gócvớitấmthép,vachạmgiữavậtvớitấmthéplàtuyệtđốiđànhồi.

1.Cho khoảng cách từ tấm thép tới điểm némlàL. Điểm rơi của vật cách tấm thépbao nhiêu?

2.Nếutấmthépchuyểnđộngvớivậntốcuvềphíavậtvàsauvachạmvậtrơitrởvềđúng

điểmnémthìthờigiantừlúcnémđếnlúcvachạmbằngbaonhiêu?

Bài21 Chứngminhrằngtừmộtđộcaonàođósovớimặtđấttanémmộtvậtthìkhiđạt tớitầmxacựcđại,vậntốcbanđầuvàvậntốcngaytrướckhichạmđấtvuônggócvớinhau.

Gợiý:Sửdụngcôngthức: trongđó làvậntốcbanđầu, làvậntốctạithời 0 vvgt

0v

v  điểmt.

Bài22.Từhaiđiểmởcùngđộcaohtrênmặtđấtvàcáchnhaumộtkhoảngl,ngườitađồng thời némhaihòn đá: một hướng lêntrêntheo phương thẳng đứng với vận tốc và một 1v theo phương nằm ngang với vận tốc . Hỏi trongquátrìnhhaihòn đá chuyển động, 2v khoảngcáchngắnnhấtgiữachúngbằngbaonhiêu?Hãyxácđịnhthờiđiểmđó.

Biếtrằngvậntốcbanđầucủahaihònđácùngnằmtrongmộtmặtphẳngthẳngđứng.

ĐS: ; 1

Bài23.Mộtngườiđứngtạichỗnémmộthònđávớivậntốc thìnócóthểrơiđếnmột 0v khoảngcáchkhôngxahơn .Hònđácóthểrơixathêmmộtkhoảngbằngbaonhiêunếu 0x

ngườinémđóđangchạyvớivậntốcvtheohướngném?

Chogiatốctrọngtrườngtạinơinémlàg.Bỏquasứccảncủakhôngkhícũngnhưchiều caocủangườiném.

ĐS: 1.x=Lmax -L = -L; 2.t= 3 0sin2v g    00 0

sincos2 cos vvu vug    

Bài20.Mộtthùnghìnhtrụdàilnghiênggóc vớiphươngngang.Mộtquảcầunhỏbay  vớivậntốcvo theophươngngangvàothùngvàvachạmđànhồivớithùng.Tìmthờigian quảcầuchuyểnđộngtrongthùng?

ĐS: . 22 02v xvv g 

Bài24.NémmộtviênđátừđiểmAtrênmặtphẳngnghiêngvớivậntốc hợpvớimặt 0v  phẳngngangmộtgóc =600 ,biết Bỏquasứccảncủakhôngkhí.  030

14
vậtrơixuốngđất.Vậntốc
15 ĐS:
Lthì 22 0cos 2 x v g  02 cot v tg g  +Nếu >Lthì 22 0cos 2 x v g  0 1 2 0 2 cot11 cos v gLtgtg g v            
+Nếu
 
22 12 dlv vv   2 22 12 lv t vv  

a. TínhkhoảngcáchABtừđiểmnémđếnđiểmviênđárơi.

b. Tìmgóc hợpbởiphươngvéctơvậntốcvàphươngngangngaysauviênđáchạmmặt  phăngnghiêngvàbánkínhquỹđạocủaviênđátạiB.

X= 2 02 202 00   

ĐS:a. ;b.

2 2 0 0 2 2cossin()2 cos3 v v l g g     2 00 2 30; 33 v R g  Bài25. Mộtchiếccôngtenơđặtsaochomặttrênnằmngangđượccầncẩucẩulênthẳng đứng lêncao với gia tốc a=0,5m/s2 Bốn giâysaukhi rời mặt đất người ngồi trên mặt côngtenơnémmộthònđávớivậntốcv0 =5,4m/stheophươnglàmvớimặtphẳngngang côngtenơgóc . 030

a. Tínhthờigiantừlúcnémđáđếnlúcnórơixuốngmặtđất. Biếtcôngtenơcaoh=6(m)

b. Tínhkhoảngcáchtừnơiđáchạmđấtđếnvịtríbanđầucủatấmbêtông(coinhưmột điểm)lấyg=10m/s2 .

ĐS:a. 2s ;b.9,4m t

Bài26.Ngườitađặtmộtsúngcốidướimộtcănhầmcóđộsâuh.Hỏiphảiđặtsúngcách váchhầmmộtkhoảnglbaonhiêusovớiphươngngangđểtầmxaScủađạntrênmặtđất làlớnnhất?Tínhtầmxanàybiếtvậntốcđầucủađạnkhirờisúnglà .0v

Bài27.Dướihầmcóđộsâuh,đặtmộtsúngcối.Hỏiphảiđặtsúngcáchváchhầmkhoảng cáchlbằngbaonhiêuvànòngsúngnghiênggóc bằng baonhiêuso với phương ngang để tầm 

xatrênmặtđấtslàlớnnhất?Tínhtầmxađó.Vận tốcbanđầucủađạnlàV0.

1gh arccos 2v 

Bài28.Mộtbờvựcmặtcắtđứngcódạngmộtphầnparabol(hìnhvẽ).TừđiểmAtrênsườn bờvực,ởđộcaoh=20msovớiđáyvựcvàcáchđiểmBđốidiện trênbờbênkia(cùng độcao,cùngnằmtrong mặtphẳngcắt)mộtkhoảngl=50m,bắnmộtquảđạnpháoxiên lênvớivậntốcv0 =20m/s,theohướnghợpvớiphươngnằmnganggóc =600 .Bỏqua  lựccảncủakhôngkhívàlấyg=10m/s2.HãyxácđịnhkhoảngcáchtừđiểmrơiCcủavật đếnvịtríAnémvật.

NhậnxétNếutavẽphác

họaquỹđạochuyểnđộngcủavật

sau

khinémthìthấyđiểmnémvậtvàđiểmvậtrơilàhaigiaođiểm củahaiparabol.Vịtrícácgiaođiểmđượcxácđịnhkhibiết phươngtrìnhcủacácparabol.

ĐS:AC=42,37m

Bài29. HaivậtnhỏAvàBcùngnằmtrênmộtđườngthẳngđứngnhưngcóđộcaochênh lệch nhaul=2m.Ném đồng thời hai vật lêncaotheo phương hợp vớiphươngnằmnganggóc

và .Haivậtchuyểnđộngngượcchiềuvàcóvận 0 A30 0 B45

tốc ban đầu . Bỏ qua sức cản của không 0A v4m/s;  0B v5m/s  khívàcoiđộcaobanđầuđủlớn,lấyg=10m/s2.Tínhkhoảngcách giữahaivậtkhivậntốctoànphầncủachúngvuônggócvớinhau.

ĐS: d2,7032m 

Bài30.CâubéBđangởbancông.CâubéAđangởdướiđấtvàném

mộtquảbónglên.QuảbóngsaukhivạchmộtđườngcongrơitrúngchâncậubéBvàmất

16
ĐS: 2 0 17
2v1gh1gh.v2ghg2v2v

mộtkhoảngthờigian1s.Biếtrằngcácvéctơvậntốccủaquảbóngkhinémvàlúcrơitrúng châncậubéBvuônggócvớinhau.Lấyg=10m/s2 ,bỏquasứccảncủakhôngkhí.

a)Tínhkhoảngcáchgiữahaicậubé.

b)CâubéBphảinémtrởlạivớitốcđộnhỏnhấtbằngbaonhiêuđểbóngtrúngchâncậu béA,nếubiếtđộcaocủabancônglà3m?

ĐS:a.5m;b.2 5m/s.

Bài31.Ởmépcủamộtchiếcbànchiềucaoh,cómộtquảcầuđồng

chất bánkínhR=1(cm) . Đẩy chotâmO của quả cầu lệch () Rh 

khỏiđườngthẳngđứngđiquaA,quảcầurơixuốngđấtvậntốcban

đầubằng0.Tínhthờigianrơivàtầmxacủaquảcầu(g=10m/s2).

ĐS: ; 101054 33. tgRgRgh g 

  22 101054 27 R X gRgRgh g  

Bài32.Mặttrờinằmởđộcaogóc sovớimặtphẳngngang.Hỏicầnphảinémmộtvật 

trongmặtphẳngthẳngđứngđiquamặttrờidướigócném bằngbaonhiêuđểbóngcủa  vậtđiđượcquãngđườnglớnnhấttrênmặtđất?

+Khi <450 , Vậytacầnnémvậtthẳngđứng =900  

+Khi >450,tacầnnémvậtdướigóc450 

Bài33.Cầnnémmộtquảbóngchuyềnbánkínhrtừđộcaoh=2m,cáchrổbóngl=5m theophươngngangtreoởđộcaoH=3mvớigócném nhỏnhấtlàbaonhiêuđểnóbay  quarổtừtrênxuốngmàkhôngvachạmvớivòngrổ.ChobánkínhvòngrổlàR=2r.Bỏ quabiếnthiênvậntốcbóngtrongthờigianbayquamiệngrổ.

ĐS: 440 

Bài34.TừđiểmAmộtvậtđượcnémxiêngóc,saukhivachạmđànhồitạiđiểmBvới mộtmặtphẳngnghiêng,nónảylênvàlạirơixuốngchínhđiểmA.ThờigianbaytừAđến Blàt1=1,2(s);từBvềAlàt2=1(s).TìmkhoảngcáchAB?

ĐS:6m.

Bài35.Có3viênbinhỏđồngchấtgiốnghệtnhau,đượcthảrơitựdocùngmộtlúc,không vậntốcđầutừbavịtríA(bi1),B(bi2),C(bi3)trêncùngmộtđường thẳngđứng(Hình1).BiếtAD=AB=BC=a,vớiDlàmộtđiểmtrênsàn

màbi1sẽvachạmvớisànởđó.Coicácvachạmtuyệtđốiđànhồixuyên tâm;bỏqualựccảnkhôngkhí;bỏquasựthayđổigiatốcrơitựdogtheo độcao;bỏquathờigianvachạm.Chọnmốcthờigianlúccácbibắtđầu

ĐS:

+Khi =450, tacầnnémvậtthẳngđứng =900 hoặcgóc =450   

rơi.Gọi làthờigianrơitựdocủabi1ởđộcaoađếnkhichạmsànlần

1T đầu.

a.Vẽpháchọađồthịtọađộ-thờigiancủacácviênbitrêncùnghìnhvẽtrongthờigian .Hãymôtảđồthịtrênchotừngviênbi.

1023tT

b.Gọi lầnlượtlànhữngthờiđiểmnhỏnhấtbi2vàbi3 nảylênđạtđộcaolớnnhất 23 , TT saunhữngvachạm.Tìm .23 , TT

c.Tìmđộcaolớnnhấtmỗiviênbisaunhiềulầnvachạm.

18
19

I.3.TÍNHTƯƠNGĐỐICHUYỂNĐỘNG.

Bài1. Haivậtcáchnhau100mchuyểnđộngtrênmộtđườngthẳngđếngậpnhauvớivận tốclầnlượtlà ,trongkhoảng2vậttrênđoạnthẳngmàchúngchuyển vmsvms 5/;5/12 

độngcómộtvậtnhỏluônchuyểnđộngthẳngđềuvớivậntốcv=30m/scùngchuyểnđộng trênđườngthẳngmà2vật(1)và(2)chuyểnđộng.Mỗikhivậttrênđếngặpvật(1)hoặc vật(2)thìvậntốccủanósẽđổihướngngượctrởlạivàcoinhưvẫngiũnguyênđộlớnvận tốccủanó.Hỏikhivật(1)vàvât(2)gặpnhauthìquãngđườngvậtnhỏđiđượccótổng chiềudàilàbaonhiêu?

ĐS:300m.

Bài 2. Hai vật chuyển động với vận tốc không đổi trênhai đường thẳng vuônggóc với nhauchov1 =30m/s,v2 =20m/s.Tạithờiđiểmkhoảngcáchgiữahaivậtnhỏnhấtthìvật mộtgiaođiểm củaquỹđạođoạnS1 =500m,hỏilúcđóvậthaicáchgiaođiểmtrênmột đoạnS2 làbaonhiêu?

ĐS:750m.

Bài3.Mộtôtôđitrongcơnmưavớitốcđộ

54km/h.Gióthổingượcchiềuxechạyvớitốc

độ 3m/s. Một người ngồi trênxe thấy các hạt nước mưa rơi xuống theo phương tạo với đườngthẳngđứngmộtgóc45o

a.Xácđịnhvậntốccủaôtôđốivớigió.

b.Xácđịnhvậntốccủacáchạtnướcmưađốivớimặtđất.

ĐS:a.18m/s;b.18,25(m/s2).

Bài4.HaichấtđiểmchuyểnđộngdọctheotrụcOx.Vậntốccủachấtđiểm(1)và(2)phụ thuộcthờigiantheoquyluật . 121sin2;2sin2 4 vtvt    

Trongđóv();t(). / mss

1.Xácđịnhnhữngthờiđiểmmàvậntốchaivậtbằngnhau.

20 ĐS:b. ; ;c. ,, 2 14a22 TT g  3 1 6a 223 TT g 1x ma ha  2x2 ma ha  3x3 ma ha  21

2.Tronghệquychiếugắnvớivật(2)thìvật(1)chuyểnđộngvớivậntốcbaonhiêu.Tìm nhữngthờiđiểmmàđộlớnvậntốcnàylàlớnnhất,nhỏnhất.

ĐS:1. ;2. Độlớnvậntốclớnnhất tại

Bài8.Trongkhitrờiđangmưađá,mộtôtôchạytrênđườngnằmngangvớivậntốckhông

đổiu=25km/h.Mộthạtmưađárơixuốngvachạmvớitấmkínhchắngióphíatrướcvà

bật ratheo phương ngangcùng chiều chuyển động của xe.Kính chắn giónghiênggóc sovớiphươngthẳngđứng(H.8).Chorằngtrướckhiva 030

chạmvậntốccáchạtmưacóphươngthẳngđứngvàvachạmlà hoàntoànđànhồi,hãytìmvậntốchạtmưađá:

Bài5.Chovậntốcdòngnướclà vàvậntốccủathuyềnkhinướcđứngyênlà .Hỏi

ngườichèothuyềnphảichèotheohướngnàođểthuyềnbịtrôitheodòngnướclàítnhất?

ĐS:Nếu >uthì .Nếu <uthì dv tduvs/ in tdv vu d s/ in

Bài6.Trênboongmộtcontàuthủyđangchuyểnđộngđốivớibờ

sôngvớivậntốcu=15km/hcómộthànhkháchđivớivậntốc

đốivớiboongtàu,theophươnglậpvớitrụcdọccủatàu

góc (xemH.1).Hãytìmvậntốccủahànhkháchđóđốivớibờ.

ĐS:  13km/h. 7 3 u v

Bài7.Mộtbăngchuyềnchuyểnđộngvớivậntốckhôngđổiv.Băngnằmtrongcùngmặt phẳngvớimặtbàn.Mộthộpnhỏđangchuyểnđộngtrênmặtbànvớivậntốcv/2thìđivào băngchuyềntheohướnglậpmộtgóc (=1/9)vớimépbăng. cos Hệsốmasáttrượtgiữahộpvàbănglà .

1.Độlớnvậntốccủahộpđốivớibăngvàolúcbắtđầuchuyểnđộng

trênbăngchuyềnbằngbaonhiêu?

2.Vớiđộrộngtốithiểucủabăngbằngbaonhiêuđểhộpkhôngđirakhỏibăng?

1.trướckhivachạm;

2.saukhivachạm.

ĐS:1.;2. =75km/h. 1343/ vukmh  23 vu 

Bài9.Chocơhệnhưhìnhvẽ.Bchuyểnđộngsangphảivớigiatốc ,cònvậtnhỏAđược a nốivớiđiểmCbằngmộtsợidâykhôngdãnđượcnânglêntheođường dốichínhcủamộtmặttrụcủavậtB.MặtnàycóbánkínhR.Giảsửtại thờiđiểmbanđầuvậtAnằmtrênsànvàđangđứngyên,sợidâyluôn căng.HãytínhvậntốctrungbìnhcủavậtAtrongquátrìnhAđitừsàn lênđếnđiểmcaonhấtcủatrụB(điểmD).

ĐS: v 2 1(48) 2 aR

Bài10.Haivậtm1 vàm2 chuyểnđộngthẳngđềuvớivậntốclầnlượtlà và .Vậtm2 1v2v xuấtpháttừB.

Tìmkhoảngcáchngắnnhấtgiữachúngtrongquátrình

chuyểnđộngvàthờigianđạtđượckhoảngcáchđó? Biết

khoảngcáchbanđầugiữachúnglà vàgócgiữahaiđường l

thẳnglà .

22
 *tkkN   122/ vms  2 tkkN    Vậntốcnhỏnhất tại 120v *tkkN  
u  tdv 
3
0/vu 
0
30
ĐS:1. ;2. 0 7 6 v v . g dv   2 54 75 23

 
v0 O A 

sin 2cos lv vvvv

  

ĐS:  mind 2 2 2 1122

Bài11.Trongphòngcómộtcáiđĩaquayvớivậntốcgóc khôngđổiquanhtrụccốđịnh 

Ođiquatâmđĩavàvuônggócvớiđĩa.Mộtconbọdừabòtrênmặtđĩadọctheobánkính

vớivậntốc đốivớiđĩa(H.V).Hãytìmđộlớnvậntốccủaconbọdừađốivớiphòngvào 0v

thờiđiểmnóởđiểmAcáchtrụcOkhoảngR.

ĐS: 222 0 vvR 

Bài 12.Bánkính của một hànhtinhr=2000km. Vận tốc các điểm trên xích đạo bằng Một vệ tinh chuyển động trong mặt phẳng ksvm,/061 

xíchđạocủahànhtinhtrênquỹđạobánkínhR=3000km,theochiềuquay

củahànhtinhvớivậntốc .Hãytìmvậntốccủavệtinhđốivới ksvm/22  hànhtinh.

ĐS:1,1km/s.

Bài13.MộtđĩanặngbánkínhRcó2dâykhôngdãnquấnvào.

Cácđầutựdocủadâygắnchặt(hình22).Khikhốiđĩachuyển

động thìdâyluôn căng. ở một thời điểm vận tốc góc của đĩa bằng  vàgóc giữa cácdâylà .Tìm vận tốc của tâm đĩa ở thờiđiểmnày.

ĐS: cos/2 R v   

Bài14. TrênhaiđườngtrònbánkínhmỗiđườngbằngR,nằmtrongcùngmộtmặtphẳng, cóhaiôtô và chuyểnđộngvớicácvậntốc và .Kíchthước 1A2A khvvm/201  vv 22 

cácôtôrấtnhỏsovớiR.Vàomộtthờiđiểmnàođóthìcácôtô nằmởcácđiểmMvàCcáchnhauR/2(H.6).

1)Hãytìmvậntốccủaôtô đốivớihệquychiếugắnliềnvớiôtô vàothờiđiểmđó. 2A 1A

2)Hãytìmvậntốccủaôtô đốivớihệquychiếugắnliềnvớiôtô khi ởđiểmD. 2A 1A2A

ĐS:1.10km/h;2.110km/h.

I.4ĐỘNGHỌCTOÁNLÝ.

Bài1.ChấtđiểmbắtđầuchuyểnđộngtừAtheođoạnthẳng ABvớivậntốcbấtkì.LấymộtđiểmOngoàiABlàmcực

vàOAlàm trục cực. Tìm phương trình chuyển động của

chấtđiểmdướidạngtọađộcực.

25

ĐS:   cos2 0 2 2 sincoscot 1cot rr   

Bài2.CóhaitàuAvàBcáchnhaumộtkhoảngađồngthờitàuAvàBchuyểnđộngvới vận tốc không đổi lần lượt làvvàu .TàuB chuyển động trên một đường thẳng  vu  (đườngthẳngnàyvuônggócvớiđoạnthẳngnốicácvịtríbanđầucủahaitàu,còntàuA luônhướngvềtầuB.HỏisaubaolâutàuAđuổikịptàuB?

ĐS: 22 vu av

Bài3.MộtngườidạochơiCđidọctheomộtconđườngthẳngtrùngvớitrụcOxvớivận tốckhôngđổilàv.Conchócủangườinàyởthờiđiểmbanđầu(t=0)ởđiểmA,cáchO mộtkhoảnglàL(OA Ox)bắtđầuchạyvớivậntốckhôngđổilàuluônhướngvềphía  chủ.Saubaolâuconchóđuổikịpchủnếu

Ápdụngkếtquảtíchphân: ;với  >1.

ĐS: 02 Lu t

Bài4. Hệtọađộtrụ.Chuyểnđộngxycloit

Xétchuyểnđộnglănkhôngtrượtcủađườngtròntrênđườngthẳng.Giảsửvậntốccủatâm đườngtrònlàv(t)vàbánkínhcủa đườngtrònlàR.

a.Lậpphươngtrìnhchuyểnđộng của một điểm M bất kì thuộc đườngtròn.

b.Khảosátvậntốcvàgiatốccủa Mnhữnglúcnhữngnóởtrên

tròn.

c.GiảsửV=V0=const,khảosáttínhbiếnđổichuyểnđộngtrênmộtcungquỹđạoứngvới

vònglăncủađườngtròn.

ĐS:a. ;b.Vậntốcvx =0vàvy=0;Giatốc:ax=0vàay=

làchuyểnđộngnhanhdần;nếuπ<φ<2πlàchuyểnđộngchậmdần.

Bài5.(ĐềthiHSGQG2005):MộtcanôchuyểnđộngtừbếnAcủabờsôngbênnàysang bờsôngbênkia.Sôngthẳngvàcóchiềurộnglàb.NgườitadựnghệtọađộOxymàgốcO

tạiA,trụcOxvuônggócvớibờsông,cắtbờđốidiệnởB,trụcOyhướngdọcbờsôngtheo chiềunướcchảy.Docấutạocủadòngsông,vậntốcchảyucủanướctạiđiểmcótọađộx phụthuộcvàoxtheoquyluật:

21 [(1)()()] 5552o xxb u hxu bb 

Trongđóuo làmộthằngsốdương,còn làhàmHeavisidecủabiến . Hàm () 2 hb x () 2 b x

HeavisidecủabiếnXđượcđịnhnghĩanhưsau:

h(X)=0khiX<0

h(X)=1khi X0 

1.Giảsửvậntốccủacanôđốivớinướccóđộlớnvo khôngđổivàluônhướngtheophương vuônggócvớibờsông.

a.Xácđịnhphươngtrìnhquỹđạovàpháchọaquỹđạocủacanô

26
u>v.
2 2 2 0 1x tandx sinx21      
u1 v    
27
đườngthẳngtựacủađường
một
   1 0 sin 1cos 1 M M xR yR Vtdt R       'R c.
tốc: 0V R 0 0 1cos sin x y vV vV     2 0 2 0 sin cos x y V a R V a R    
Vậy Vậntốc: ;Gia
Nếu0<φ<π

b.Khicậpbờbênkia,canôcáchBmộtđoạnbaonhiêu?

c.Chứngminhrằnggiatốccủacanôsovớibờsôngphụthuộcbậcnhấtvàovo Tạisao giatốcnàylạiđổihướngđộtngộttạix=b/2

2.Giảsửvậntốccủacanôđốivớinướcluônhướngtheohướngvuônggócvớibờsong nhưngcóđộlớnthayđổisaochocanôcậpbờbênkiaởđiểmcáchBmộtđoạncvềphía hạlưutheomộtquỹđạothẳng.Lậpvậntốccủacanôtheox.

Bài8.Mộtquảbóngbànbắtđầurơitựdotừđộcaohsovớimặtsàn.Saukhivachạm chạmvớimặtsànnólạinảylênnhưngmấtđimộtphầnđộngnăng.Tínhthờigianchuyển độngcủaquảbóngbànnếucoirằngtỉsốcủađộlớnvậntốccủanósauvàtrướcmỗilần vachạmvớimặtsànkhôngđổivàbằnge(e<1).Giatốcrơitựdobằngg.

ĐS: (sốvachạm ) 12 1 eh t eg   n

 



ĐS:1a. ;1b. 2 2 ()1055202 oo ooo oo ooo

uuuxuxubb yxx hx vvbbvvv

  21 ()20o o

ubsyb v 

Bài9.Mộtđầudâykhônggiãnvắtquaròngrọc cốđịnhtreovậtnhỏB,đầudâykialàđiểmAtrong

tayngườiđitrênmặtphẳngngangtheomộtđường

 

2. 21 1() 5552 o ubxxb v hx cbb

Bài6.MộtchấtđiểmchuyểnđộngtrongmặtphẳngxOy.Tọađộcủachấtđiểmthayđổi theoquyluật , ,vớiA, làhaihằngsốdương.Hãyxácđịnh: xAsint yA(1cost) 

a.Quãngđườngđiđượccủachấtđiểmsauthờigian 

b.Gócgiữavectơvậntốcvàvectơgiatốccủađiểmđó.

ĐS:a. ;b. sA(,)2 va  

Bài7.Mộthạtchuyểnđộngtheomộtquỹđạophẳngy(x)vớivậntốcvcóđộlớnkhông đổi.Hãyxácđịnhgiatốccủahạtvàbánkínhcongcủaquỹđạotạiđiểmx=0,nếuquỹđạo códạng:

a.Mộtparaboly= x2 

thẳngvớivậntốckhôngđổiv0=1m/s.Aluôncách

mặtđấth=1m.Khingườibắtđầuchuyểnđộng,

vậtBởmặtđất,dâyởhaibênròngrọcđềucăng vàcóphươngthẳngđứng.

ĐộcaocủaròngrọclàH=10m.Bánkínhròngrọckhôngđángkể.

a)TìmquanhệhàmsốgiữađộcaocủavậtBvàthờigianngườichuyểnđộng.

b)TìmvậntốccủavậtBkhingườiđiđượckhoảngthờigiant.

c) Để vật chạm tới ròng rọc thì người cần chuyển động trong khoảng thời gian tối thiểu

bằngbaonhiêu?

ĐS:a. ;b. ;c.t=16,73s.

819

Bài 10.HaithanhcứngbằngkimloạicóchiềudàiOA=l1 vàOB=l2 ,liênkếtvớinhau bởikhớpnốiO,đượcđặttrênmặtphẳngnhẵnnằmngang.

b.Mộtelip trongđó , lànhữnghằngsố.

1xy

NgườitakéohaiđầuA,Bcủathanhtheo

cùngphươngABnhưngngượcchiềunhau

vớivậntốckhôngđổilầnlượtlàv1 vàv2.Tìm giatốccủakhớpnốiOlúchaithanhvuônggóc nhau?

28
  
22
       ĐS:a. ;2 R  2a2v  29
B yt
v t  
2
281 t
1
A B 2v  O
v

() () vvll a llll    a 

ĐS: Độ lớn gia tốc khớp nối: Hướng của hợp với thanhOB một 266 1212 22 1212

gócα: 2 12 21 tan al al    

Bài11.MôtchiếccanôxuấtpháttừđiểmAtrênđườngcái,ôtônày cầnđếnđiểmD(trênđồngcỏ)trongthờigianngắnnhất.Biết

thức: (L:chiềurộngconsông),vo vàLlàhằngsố(hình1).Hãytìm: 2o yvvsin L  

a)Giátrịvậntốcconthuyềntínhtronghệquychiếugắnvớibờsông.

b)XácđịnhkhoảngcáchtừđiểmOđếnđiểmthuyềncậpbếnởbờbênkiatheophương Ox.

.Vậntốcôtôchạytrênđườngcái(v1)lớnhơnvậntốc

ClAdD C ; ôtôtrênđồngcỏ(v2)nlần.HỏiôtôphảirờiđườngcáitạimộtđiểmBcáchCmộtđoạn xlàbaonhiêu?

ĐS: ,thờigianngắnnhất x 21 l n 1

2 mn 1 v dln t  

Bài12.Mộtquảbóngđượcnémxuốngmộtmặtsànnằmngang.Độlớnthànhphầnvận tốc quả bóngtheo phương ngangvà phương thẳng đứng thay đổi sau mỗi va chạm theo quyluật:v0xn+1 = x.v0xn vàv0yn+1 = y.v0yn (Trongđó:v0n,v0n+1 tươngứnglàvậntốcsau lầnvachạmthứnvàthứn+1; x , y làhằngsốvànhỏhơn1).Quãngđườngtheophương ngangvàthờigiantừvachạmđầuđếnkhidừnglạilàLvàt0.Tìmgóchợpbởivậntốc

bóngtheo phương ngangngaysauva chạm đầu tiêntheoL,t0, x và y.Cho biết số va chạmlàrấtlớn.

ĐS:

Bài13.Mộtconthuyềnbơiquasôngtheophươngvuônggócvớidòngchảy,vớivậntốc khôngđổilàv1.Tạimọinơidòngchảyluônluônsong songvớihaibờ,nhưnggiátrịvậntốccủanóphụthuộc vào khoảng cách đến bờ, được biểu diễn theocông

ĐS:a. ;b. 222 1o yvvvsin L   o 1

2vL x .v  

Bài14.Trênmặtphẳngnằmngangcómột

cộttrụbánkínhRthẳngđứng,ngườitadùng

mộtsợidâychỉmảnhkhôngdãn,khốilượng

không đáng kể để nối một vật nhỏ với một

điểm trênvành trụ, điểm nàysát mặt phẳng

ngang. Ban đầu vật nhỏ nằm yên trên mặt phẳngvàdâyởtưthếcăng,lúcnàychiềudài

dâylàL. Truyền cho vật vận tốc v0 hướng

vuônggóc với dâyvà vật chuyển động trên mặt phẳng ngang cuốn dâyvào trụ. Hỏi sau baolâudâycuốnhếttrụ?Giảthiếttrongkhichuyểnđộngdâyluônnằmngang.Bỏquama sátvàbềdàycủadây.

ĐS:

Bài15.Mộthạtchuyểnđộngtheochiềudươngcủatrụcoxvớivậntốcsaocho (a vax  làhằngsốdương).Biếtlúct=0hạtởvịtríx=0.

Hãyxácđịnh:

a.Vậntốcvàgiatốccủahạttheothờigian.

b.Vậntốctrungbìnhtrongkhoảngthờigiantừvịtríx=0đếnvịtríx.

30
  1 1 22 0 0 0 1 21 y y x xy vgt tg vL    
31
2 02 L t vR 

ĐS:a.Vậntốc ;giatốc ;b.

Bài16.Mộtchấtđiểmchuyểnđộngchậmdầntrênmộtđườngthẳngvớimộtgiatốcmà độlớnwphụthuộcvậntốctheođịnhluật trongđóalàmộthằngsốdượng.Tại wav 

thờiđiểmbanđầuvậntốccủahạtbằngv0.

Hỏiquảngđườngmàhạtđiđượcchođếnkhidừnglạivàthờigianđiquảngđườngấy?

Bài19.“Runningman”làcâuchuyệnvềmộtcổđộngviêntênlàTiếnchạyđuổitheomột chiếcxebuýtcủađộibóngđámàanhyêuthích.Chpavàblàhaiconđườngthẳngsong songvàngăncáchnhaubởimộtthảmcỏ.TiếnbanđầuởđiểmA,bếnxebuýtởđiểmM, cácđiểmCvàHđượcchọnsaochoACMHlàhìnhchữnhậtcóchiềurộngdvàchiềudài (Hình1). 3 ld 

Bài17.MộtchấtđiểmchuyểnđộngchạmdầntrênbánkínhR.saochotạimỗiđiểmgia

tốctiéptuyếnvàgiatốcpháptuyếnluôncóđộlớnbằngnhau.Tạithờiđiểmbanđầut=0, vậntốccủachấtđiểmđólà .0v

Hãyxácđịnh:

a.Vậntốccủachấtđiểmtheothờigianvàtheoquãngđườngđiđược.

b.Giatốctoànphầntheovậntốcvàquãngđườngđiđược.

ĐS:a. ;b. v0

S Rve 2 2 02 s Rve a R 

Bài18.Mộtconchóchạyvớitốcđộkhôngđổiv1 đuổitheoconthỏ,conthỏchạydọctheo mộtđườngthẳngvớitốcđộv2.Conchóluônhướngđếnvịtrícủaconthỏ.Tạithờiđiểm banđầucảhaiconvậtcùngởtrênmộtđườngthẳngvuônggócvớihướngchạycủathỏvà cáchnhaumộtkhoảnga.

a)Vậntốccủathỏvàchóphảithỏamãnđiềukiệnnàothìchóđuổikịpthỏ.

b)Trongđiềukiệnchóđuổikịpthỏ,tìmquãngđườngmàmỗiconđiđượcchođếnkhigặp nhau.

1.BiếtđộlớnvậntốcmàTiếnkhichạytrêncácđườnglà cònkhichạytrênthảmcỏlà 1v vớin=2và khôngđổi. 21/ vvn  2v

a)Tiếncầnphảichạytheoquỹđạocódạnggồmcácđoạnthẳngnhưthếnàođểthờigian đếnbếnMlàngắnnhất?

b)KhiquansátthấyxebuýtbắtđầurờibếnMhướngvềCvớivậntốckhôngđổivàcóđộ lớn thì Tiến quyết định chạy theo đường thẳng qua thảm cỏ để gặp xebuýt. Từ 22 Vv 

điểmA,Tiếncầnchạytheohướngnàođểgặpđượcxebuýt?

2.Xebuýt chuyển động từ bến M hướng về C với vận tốc không đổi có độ lớn V=36 km/h.TạithờiđiểmxebuýtquađiểmNvới (xemhìnhvẽ)thìTiếnbắt 0 060NAH 

đầudichuyểntừđiểmAvớivậntốcbằngkhông.Tiếnchọncáchchạysaochovéc-tơvận tốccủamìnhluônhướngvềxebuýt,cònđộlớnvậntốcluôntăngđểđảmbảomìnhluôn tiếnlạigầnxebuýtvớivậntốckhôngđổi.Tiếncóđuổikịpxebuýtkhông?Vìsao?

ĐS:1a.Chạytrênđườngmộtđoạn sauđóchạytrêncỏ. 2d3 AI 3 

1b.TiếnchạytheohướngvuônggócvớiAM

32
2 2 a vt  2 2 a w 2 ax v
.
; 3 2 0 2 3 Sv a  0 2 tv a 
ĐS:a.
ĐS:a. ;b.Thỏchạy ;chóchạy 12vv  2 1 122 12 av s vv  12 222 12 avv s vv  33

2.Qũyđạo ;Khiđuổikịpxebus,vậntốccủaTiếnphảiđạt54km/h. 223 rtgLconst 23  

Tốcđộnàykhôngthểđạtđược.

Bài20.Mộtvậtnhỏ,khốilượngmnằmtrênmặtphẳngnghiênggóc sovớimặtngang. 

Hệsốmasátgiữamvớimặtphẳngnghiênglà Ởthờiđiểmt=0,truyềnchovật tan.k

vậntốcv0 theophươngvừasongsongvớiđáymặtphẳngnghiêngvừasongsongvớimặt nghiêng.Chogiatốctrọngtrườnglàg.ChọntrụcOxnằmtrênmặtphẳngnghiêngvàvuông gócvớivéctơv0 nhưhình.HãyxácđịnhvậntốcVcủavậtkhinótạovớitrụcOxmộtgóc .

ĐS: 0 1cos v v   

Bài21.Conđườngngắnnhất

TrênmộtmặtcầubánkínhR,vòngtrònlớn(nghĩalàvòngtrònbánkínhR)làconđường ngắnnhấtgiữahaiđiểm. Gọi  làvĩđộvà  làkinhđộ. Hãy xácđịnhchiềudàicủaconđườngngắnnhấtgiữaParis(1 = 48052’; 1 =2020’)vàTokyo(2 =35042’; 2 =139030’). Giảthiết,TráiđấtcóhìnhcầubánkínhR=6370km.

ĐS:9709,5km.

Bài22.Tathấyrằngkhiquảpháohoatrongkhôngkhílên đếnđiểmcaonhấtvànổthìdườngnhưtấtcảcácmảnhsáng

đềunằmtrênmộtmặtcầucótâmrơivớivậntốctăngdần. Bằngtínhtoánhãykhẳngđịnhđiềuđó.

ĐS: ; 0 2 11 k k vgg reetj kkk 

Bài23.Bốnconrùađứngởbốnđỉnhcủahìnhvuôngcạnha,chúng

bắtđầuchuyểnđộng

vớivậntốckhôngđổi,độlớnvsaochomỗiconrùaluônhướngvềconbêncạnhtheochiều kimđồnghồ.

a.Hỏicácconrùagặpnhauởđâu,saubaolâu?

b. Quỹ đạo chuyển động của mỗi conrùacó dạng như thế nào?Coi mỗi conrùalà một chấtđiểm.

ĐS:a.Bốnconrùagặpnhauởtâmsauthờigian:. t a v 

b.Phươngtrìnhquỹđạocủaconrùalàđườngxoắnlogarit:ri= với i=2,3,4là 2 a4e  

Bài24.Điểmchí

TrụccáccựcBắc–cựcNamhợpvớitrụcMặtTrời–TráiĐấtmộtgóc900 + .

Lúcđôngchí,  =23,440

Trong hệ tọa độ Descartes gắn với Trái  xyz 0,e,e,e, 

Đấtđượcxácđịnhnhưsau:OtrùngvớitâmTráiĐất; : z e trụcnốicáccựcBắc–cựcNam;MặtTrờinằmtrongmặt phẳng(xOz).

a)Hãyxác định tọa độ của các điểm trênTrái Đất lúc MặtTrờimọcvàlúcMặtTrờilặn.

b)TínhthờigiangiữalúcMặtTrờimọcvàMặtTrờilặn

tạimộtđiểmtrênvĩđộ .Đểđơngiản,cóthểbỏquachuyểnđộngquayhằngnămcủaTrái ĐấtchungquanhMặtTrời.

Ápdụng:ởLille(nướcPháp)có  =50038’.

34
       0 1ktk g vveej k    G   M 35

d

Bài2

d 

GọiClàvịtrígặpnhau 21 ; ACvtBCvt 

Ápdụngđịnhlíhàmsốsin

chotamgiácABC

LỜIGIẢI

CHƯƠNGI.ĐỘNGHỌCCHẤTĐIỂM

I.1LỜIGIẢIĐỘNGHỌC

Bài1.Xéttạithờiđiểmt:VậtAởA’

VậtBởB’

Khoảngcáchd=A’B’

10 sin2cos.sin 22

  

Suyra:v2 cógiátrịminkhi()max=1vậy β=900 sin

Dođó (v2)min = 11 sin10,8 d vvkm a 

Bài3.Xétchuyểnđộngtươngđốicủavật1sovớivật2tacó



ĐoạnBHvuônggócvớiđườngthẳngchứa

véctơvậntốc chínhlàkhoảngcách 12v ngắnnhấtgiữahaixe. dmin=BH 

tan 2 1

3 5 v v  00 5,31 9  

dmin=BH=BIsin

=(B0-0I)sin=(B0-0A.tan).sin= 1,166km  

36
-----------------
  với
d   0120 37 0 0
Tacó: sinsinsin dAOvtBOvt   10 sinsinsinsinsin dBOAO   
10sin6053 2cos60sinsin 22
Nhậnxét:dmin(sin)1 2   mn53() dcm
Tacó 21 21 ..sin sinsinsin vtvt vv 
11212 2() vvvvv 

(3cossin)((3)1)(cossin)2

Bài4.Gọid1,d2 làkhoảngcáchtừvậtmộtvàvậthaiđếnOlúcđầutaxét(t=0).

0 3 sin30sin3sin ddvtdvt

dụngtínhchấtcủaphânthứctacó: 1121211121 3(3)()3 sin3sin3sinsin3sinsin dvtdvtdvtdvtdd

0120

Lúcđó: 0 12 21100 0 sin120390()sin30sin120sin30 dddddm 

Vậy,khoảngcáchtừvậthaiđếnOlúcnàylà:d2 ’ =90(m)

Bài5.

KhiBdichuyểnmộtđoạns=v.tthìconkiếnđi

đượcmộtđoạnl=u.t.

Độcaomàconkiếnđạtđược:

với sinsinhlut 222 sinLvt L  2224 . huuLLtvty L  

Vóiy= ĐặtX=t2 2224 . Ltvt 22 yvXLX

Nhậnxét: ylàtamthứcbậchaicóa=-v2<0 ymax tạiđỉnhParabol maxmax.hy   2 44 maxmax22 44()4 LL yy avv  

tại 4 max2 4 L y v  2 222 bL X av 

Vâyđộcaomàconkiếnđạtđượclà: maxmax2 huuL Lyv

Bài6. Chọnhệtrụctọađộkhôngvuônggócnhưhìnhvẽ

GiảsửtàuAchuyểnđộngtrênOyvềO,tàuBchuyểnđộngtrênOxvềO

Phươngtrìnhchuyểnđộngcủachúnglầnlượclà

38

  Áp
    21
 
   0 0 0 3sin3sin(30)3(sin30coscos30sin)       33cossin 22 21 0 3 sin30311cossinsin 222 dd d    0 21 21(3)sin303 313cossin cossin 22 dd dd d       Vậy 212133 3cossin ddddd y    Khoảngcáchgiữahaivậtdmin ymax vớiy=  2(3cossin)   ÁpdụngbấtđẳngthứcBunhiaCôpski: 39 22222
   ymax=2 và  0 3cos cot330 1sing    
Ápdụngđịnhlýhàmsintacó: 12 1122 sinsinsinsinsinsin ddddvtdvt d 
Vì nêntacó: 1 23 v v
1121
0 3 sin303sinsin ddd
Mặtkhác,tacó: 0 0 sinsin(180)sin()sin(30)

60(1) 40(2) yvt xvt  

t=2(s)<4(s). 4a   25 2)(0

Vậyv12 cógiátrịnhỏnhấtkhit=2s.

dOAOBOAOBCOS dxyxy dxyxy

2.60 2cos60 (3)

 

2221002800(4)dvtvt

Vếphảilàmộttamthứcbậchaicógiátrịnhỏnhấtlà min 30017,32 4 dkm a  

Bài7.Chọnmốcthờigianlúc2vậtquaO

-PhươngtrìnhvậntốccủavậtthứnhấttrêntrụcOx:

v1 =v01 +a1t=6+t

-PhườngtrìnhvậntốccủavậtthứhaitrêntrụcOy:

v2 =v02 +a2t=-8+2t

-Khoảngthờigianvậtthứhaidừnglại:v2 =0=>t= 4s

-Vậntốccủavậtthứnhấtđốivớivậtthứhailà:

vvv

112 2

mộttamthứcbậchaicógiátrịnhỏnhấtlà

=>(v12)min = 8,94(m/s)2.21005.20 2

Khiđóv1 =8m/s, .vớiCos =v1/v12 =8/8,94 0,895 (,) 112vv  

=> =26,50 

-Vậyv12 đạtgiátrịnhỏnhấtlà8,94m/stạithờiđiểmt=2svàhợpvớiOxgóc26,50

Bài8. Gọis1 s2 làquãngđườngxeđitronghaigiaiđoạnứngvớigiatốca1,a

2

; 1 1 1 2s t a  2 2 2 2s t a 

tổnggiờigianxeđi

t= . 12 12 12 

ÁpdụngbấtđẳngthứcCôsitacó

222 2 ssss aaaa



1212 1212

Đểthờigianxeđilàngắnnhấtthì

1 2(1)sssa aasa 

Mặtkhács1 +s2 =200(2) suyra s1=66,67m,s2 =33,33m

Vậyt=15,63s

Bài9.Chọntrụctoạđộthẳngđứngchiềudươngtrênxuống

40
Tạithờiđiểmtkhoảngcáchgiữahaitàulà 222 0 2220 222
Thay(1),(2)vào(3)tađược
 1v 2
=>v12 = = 2 2 2 1 vv 
12 =
50 2tt
.Do vuônggócvới .
v
22 (6)(82) tt =>v
.2100
41
Vếphải
t1,,t2làthờigianxeđitronghaigiaiđoạnứngvớigiatốcs1,s2
tacó
22ss tt aa
1212 1221

Phươngtrìnhchuyểnđôngcủakhícầuvàvật

x1=2t

Phươngtrìnhchuyểnđộngcủavật

x2=-18t+5t2

Phươngtrìnhvậntốccủakhícầu1:v1=2m/s(đ/kt7,5s) 

Phươngtrìnhvậntốccủavật2:v2=-18+10t (đ/kt 3s)

Khivậtđangđilênthìkhoảngcáchgiữavậtvàkhícầungàycàngtăng,khivậtlênđên điểmcaonhấtnóđổichiềuchuyểnđôngnhanhdầnđềuđixuống,khoảngcáchgiũavật vàkhícầuvẩntiếptụctăngchođếnkhivậntốccủavậtđạtgiátrịbằngvậntốckhícầu

2m/s.Tacó

v2=-18+10t=2 t=2s 

Khoảngcách:dmax=x1-x2=2t-(-18t+5t2)=20m

Bài10.Dokhốilượngcủanêmrấtlớnsovớikhốilượngcủavậtnêntacóthểcoinêm

đứngyên.Ápdụngđịnhluậtbảotoàncơnăngtatínhđượcvậntốccủavậtkhi rờinêm

là:v= 2() gHh

Vậtvăngraxatheophươngnằmngang,khoảngcách

từvậtđếnchânnêmkhivậtchạmsànlàl=v = 2h g

4() hHh

Vậtrơixuốngmặtbànởxanêmnhấtkhil=lmax.Ápdụngbấtđẳngthứccositacól= lmaxkhivàchỉkhi:

h=H -h hay

h= từđótacólmax =H 2 H

Bài11.Vậntốctrungbìnhcủaôtô1trong1/3quãngđườngđầuvàcuối: '0

thờigianchạycủaôtô1: 1 /3/3/35 /2/23 ABABABAB t vvvv 

*Tươngtựvậntốctrungbìnhcủaôtô2trong1/3thờigianđầuvàcuốicũnglà ./2v

Và: 222 2 3 233232 vtvttvAB AB t v 

*Mà 12 153.1 2 303.702.7030 ABAB ttphuth 

14 ABkm

Bài12. Thờigianbirơiđếnđáyhố: 1 2H t g 

+Thờigiangiữahailầnvachạm: ,dovậntốctheo 2 d t v 

phươngngangkhôngđổinênt2 khôngđổi.

Dođósốlầnvachạm: 1 2

2 tvH n tdg 

2.Quátrìnhvachạmdiễnranhanhcoinhưkhôngmấtthời gianvachạm,mặtkhácdovachạmhoàntoànđànhồinên hướngcủavậntốctrướcvàsauvachạmcùnghợpvới phươngnganggócgiốngnhau.Nhưvậyvachạmlàmcho quỹđạoparabolcủaviênbicắtthànhnhữngđoạnnhỏvàđảochiều.Tuynhiênkhiđảo chiềuvàghéplạisẽcóđượcparabolnhưkhôngvachạm.Từđóchiềudàiquỹđạođược xácđịnh:

= 22 0 () t Svgtdt  

42
43
2
 
v v

Bài13. ChọntrụctọađộOxtrùngvớiOP,chiềudươngtừOđếnP.Khichấtđiểmtrượt trênmángkhôngmasátthìgiatốccủanólà:a=gcosβ>0

Chấtđiểmtrượttheománglàchuyểnđộngnhanhdần đềunênthờigianđitừOđếnPlà: (1) 2 cos OP t g 

Từhìnhvẽ,xét tacó: OPC

hay (2). cos.os cos(-)cos(-) OChc OP

Thay(2)vào(1)tađược:

2cos4os cosos(-)cos+cos(-2) h hc t gc g   

(3)

Đểthờigianvậttrượtlànhỏnhấtthì(3)cómẫusốlớnnhất.Vìgócαcógiátrịxácđịnh

nên(3)nhỏnhấtkhicos(α-2β)=1,hay 2  

Thaysốtađượcβ=150. Thayβ=150 vàα=300 vào(3)tađược: = . 0 0 4cos30 (os301) h

Nhưvậyđểthờigianvậttrượtlànhỏnhấtthìβ=150 vàthờigianvậttrượttừOđếnPlà

mn 1,86h

Bài14. a.Giatốccủacácvậttrênmặtphẳngnghiêng:

a1 =gsin,a2 =gcos

AB=(gsin)t2/2vàAC=(gcos)t2/2

t2 =2t1  (1) 4 tan AC AB 

Mặtkháctan = (2)  tan =2   =63,40 AC AB

b.Đểt1 =t2 thìnêmphảichuyểnđộngvềphíabêntráinhanhnhanhdầnđều

Tronghệquychiếugắnvớinêm:a1n=gsin -a0cos

a2n=gcos +a0sin

Vìt1 =t2  tan = = = =2 AC AB 2 1

n n

a a 0 0

gcos+asin gsinacos  

Thaysốtađượca0 = =7,5m/s2 3 4g

Bài15. Theophươngngang,hìnhchiếuđườngđiquảcầuđượcbiểudiễnnhưhình1

+Vìvachạmđànhồinênvậntốctheophươngngangkhôngđổivàdođókhoảngthời

giangiữahailầnvachạmliêntiếpvớithànhốngcũngkhôngđổi: 2cos x R t v  

*Theophươngthẳngđứng.

+Tạimépống: voy =0

44
00 sin(90)sin(90) OPOC   
 

g
2
g
g
t c
  23 (31)
h
 1,86h
45
t g 

+Vachạmđànhồinênvậntốctheophươngthẳngđứngngaytrướcvàsauvachạmlà khôngđổi. Thờigianquảcầuđitừmiệngđếnđáybằngthờigianđitừđáylênmiệngvà bằng:

2 y H t g 

*Giảsửsaunlầnvachạmvớithành(lầnthứnvachạmởmép)vàklầnvachạmvớiđáy

thìquảcầulêntớimépốngvàlọtrakhỏiống. Tacó: ntx =2kty nRcos =kv 

Trongkhiđómuốnkhôngvachạmthỡvậntốctàu1phảikịpgiảmxuống21,6km/h=

6m/s.Dođókhôngthểtránhvachạm.

Bài17.Thờigianmỗilầnxechuyểnđộnglà: 1151/4 tph 

Thờigianmỗilầnxenghỉ: 151/12() tph

Trongkhoảngthờigianđầuxeđiđượcquãngđường (km)

Cácquãngđườngxeđiđượctrongcáckhoảngthờigiankếtiếpsauđólà:

GọiSlàtổngquãngđườngmàxeđiđượctrongnlần:

nn v v Ssss n  

0 0 12 1 12 442n

Vớiv0=16km/s km (nnguyên)

11 6 21 42 nn S nn

a.KhiS=84km,tacó:  2184Snn



2* H g

Bài16.Gọi và làcácquãngđườngmỗitàuđiđượcchođếnkhitàu1đuổikịptàu 1s2s

2,tacó: (1); (2); (3) 2 11 1 2 svtat 22 svt  21 sLs 

Hay: (4) 2382800tt

Gọi v làvậntốccủatàu1khiđuổikịptàu2,thì: (5) 1 125vv tvvv a 

Thay(5)vào(4)tađược: (6)  2 2538253800 vv

Phươngtrình(6)có2nghiệm: (bịloại)và 3/ vms  15/ vms 

Giảiratađượcn=6(n>0thỏamãn)

NêntổngthờigianxeđitừAđếnBlà: 11 23 65 12 ttth 

VậntốctrungbìnhcủaxetrênquãngđườngABlà: (km/h) 43,8b S v t 

b.KhiS=91=84+7km

Nhưvậy,sau6lầnđivàdừng,xecònđitiếpquãngđường7kmcònlại,vớivậntốc

v7 =7v0 =112km/h.Thờigianđitrênquãngđườngnàylà:

46
47
0 1014 v svt

; ; ;…; (km) 0 2 2 4 v s 0 3 3 4 v s 0 4 4 4 v s 0 4n nv s




7 7

71 16

Bài19.1.Giatốccủahaivậttrênmặtphẳngnghiêngcócùnggiátrịbằng:

tht v 

ThờigiantổngcộngxeđitừAđếnBlà: 117 33 6 16 tttth 

VậntốctrungbìnhcủaxetrênquãngđườngABlà: (km/h) 44,1b S v t 

Bài18.Theogt:tạiđiểmcaonhấtBvậntốcmáybayvB=vo/2,nênbánkínhquỹđạor

02 12 35/s01ins0 in ms aag

Tốcđộcủahaivậtkhiđếnchânmặtphẳngnghiêng:

vasaLms 22250,93/1111 

ms vasaLd222.5.2,55/

thỏamãn: .(1)

222 4 o o v var

+TạiđiểmCnơivậntốccủamáybay

hướngthẳngđứngtừtrênxuống,giatốccủa máybaylàsựtổnghợpcủahaigiatốc:

-giatốchướngtâm:(2) 222 co n vvar a rr 

-giatốctiếptuyếnat (3) 22 cn aaa +Đểtínhat,taxétsựdịchchuyểnnhỏcủamáybaytừCđếnC/,khiđó: ,gọi làthờigianmáybayđitừCđếnC/ tacó: 22 22 2()2o c c c vvarhvvah t

,khi thì suyra: 222cc vvah tt  

Thờigianchuyểnđộngtrênmặtphẳng nghiêngcủahaivật:

2.Khoảngcáchgiữahaivậtkhicùngchuyểnđộngtrênmặtphẳngngang:

Lúcvật2đếnchânmặtphẳngnghiêngthìvật1cáchvật2mộtđoạn:

1121310,61,2dvtt m

Kểtừkhivật2xuốngđếnmặtngangthìkhoảngcáchgiữahaivậtgiảmdầntheothời giantheobiểuthức:

 1211,22 dtdvvtt  

 Đếnthờiđiểmt=0,6ssau(kểtừkhivật2đếnchânmặtnghiêng)thìvật2bắtkịpvật

1.Vịtríhaivậtgặpnhaucáchchânmặtphẳngnghiêngmộtđoạnbằng:

250,63 lvtm 

Bài20.

48
2

22 2 22 109/3 ctc c c vaavaa v aaa r      49
0t / CC 


2222 

. s a v t0,6 5 3 1 1 1   s a v t1 5 5 2 2 2 


Bài21.1.Khikhoảngcáchgiữahaicầuthủlà30m,tamgiácATBvuôngtạiT

Vìkhoảngcáchgiữatrọngtàivàcáccầuthủlàkhôngđổinên:

-vậntốccủatrọngtàiTvàcầuthủAtrênphươngTxbằngnhau;

vậntốccủatrọngtàivàcầuthủBtrênphươngTybằngnhau. 1824

2.XétchuyểnđộngcủatrọngtàitronghệquychiếuquántínhgắnvớicầuthủA:

-cầuthủBchuyểnđộngvớitốcđộ:5+5=10m/s.

-trọngtàichuyểnđộngtrênđườngtrònbánkínhAT–theophươngBy

. / '2410.8/. 30TAy VVms 

Giatốchướngtâmcủatrọngtài–giatốccủatrọngtàitrênphươngTx:

2 232/ 9 TA x V ams AT 

Tươngtự:xéttronghệquychiếugắnvớicầuthủB:  2 23/ 2 TBx y

Vậygiatốccủatrọngtàilà: 222 3,86/xy aaams 

V ams BT 

Bài22.Toathứnhấtvượtquangườiấysauthờigiant1:

ntoađầutiênvượtquangườiấymấtthờigian :n

toađầutiênvượtquangườiấymấtthờigian : 1n 1n t

Toathứnvượtquangườiấytrongthờigian: t

50    2 1 1001 2 2 2002 2 3 3003 1 2 2 2 3 2 at xxvt at xxvt at xxvt     22 21 21021 021 21 4 22 atta xxvtt vtttt   3203232 5 2 a xxvtttt   2 3213221542 .2 22 a a xxxtttttttat      321 2 2 xxx a t   Nếu vậtchuyểnđộngnhanhdần. 31 22 xx x  
vậtchuyểnđộngchậmdần 31 22 xx x  
- Nếu
.3/,.4/ 3030x y VvmsVvms  Vậytốcđộcủatrọngtàilà 22 1 5/ xy VVVms  51
2 2 1at s a S t 2 1 
; 2 2 n at ns a nS t n 2 
t
2 1 2 1  n at ns a nS t n 2(1) 1 
.
nn
S
nn
(1) 2 1 
a
ttt

Bài23. Chọngốcthờigiant=0lỳc2vòngtrònbắtđầutiếpxúcngoài. Tạimộtthờiđiểm

Sau5s,khoảngcáchgiữachúng:d=30,1m 2 min 366dd

t vaaOMvOM

'cossin8

làvậntốcvàgiatốctươngđốicủaM

t vaaOMvOM r

2 'cossin8

làgiatốccôriolitvà

2 2 2 ... '.cos...sin8

t vaaOMvOM r 

làgiatốclytâm

Từhìnhvẽtacó

t vaaOMvOM r

2 'cossin8

Vớirlàbánkínhcong

52 
t 1(1) nnt
nàođósau
               2 2 0 1 2 c1s1os in 22 0 R d ARRRyC vtd ARxDD  Tacó: 0 ' dv  Tasuyra:          4 4 2 22Rd y d x            22 0 22 0 24 . 2.24 2' 2 ' 2 1 Rd dv Rd dd v v vd Cy Cx 2 22 0 2 220 . 24 . 2Rd vdv vvvCCy x       0 224 vR v Rd  Bài24.PhươngtrìnhchuyểnđộngcủaxeđitừA: 22 1011 1 151,5 2 xxatt  PhươngtrìnhchuyểnđộngcủaxeđitừB: 22 2022 1 302 2 xxatt  53   22
44 dxxttttt 
gốcthờigianthìtacóphươngtrìnhchuyểnđộngcủađiểm C:
222222422 12 2525 1,515230165112513,236
mn


613,23,63 dts
Ởđây 
k
  Và  2 2
k
r  
Bài25.
2 2 2
r
2 ... '.cos...sin8
t vaaOMvOM

2
k
 
2

k


2
tk
 
2


2 2 2 'cossin8 tk t vaaOMvOM r 

Kếtquả:

Từ(4):



2 2 2 ... '.cos...sin8 tk t vaaOMvOM r 

2 2 2 'cossin8 t tk vaaOMvOM r 

2 2 2 ... '.cos...sin8 tk t vaaOMvOM r 

2 2 2 'cossin8 tk t vaaOMvOM r 

hướngtheo

2 2 2 'cossin8 t tk vaaOMvOM r

Bài26. 1a.Xétchuyểnđộngcủabi1:

Bi1chuyểnđộngtrênABvớigiatốca1,đếnBhếtthời giantB vàđạttốcđộvB: + + (2)

1sinag 2 1 2 2sin B B ta aat g 

congvàtrụcOx) Thay(3),(4),(5),(7),(8),(9)và(10)vào(6)tanhậnđược:

1 22sinB vaaga

+ (3)

Bi1chuyểnđộngtrênBCvớigiatốca2,đếnChếttổngthờigiant1C: + (4) 2cosag

Khibi1đếnC: 2 1 12 (() )2CB BCB ttbvtta 

Thay(2),(3)và(4)vàotađược: (5) 1 2(ascos)2sin2 cossin C tginbgaa g g 

Xétchuyểnđộngcủabi2:

Bi2chuyểnđộngtrênADvớigiatốca2 đếnDhếtthờigiantD vàđạttốcđộvD: + (6) 2 2 2 2cos D D btb at g  + (7)

22cosDD vatgb

Bi2chuyểnđộngtrênDCvớigiatốca1,đếnDhếttổngthờigiant2C:

54 


Bình

 

 2 2 2 'cossin8 tk t vaaOMvOM r   s(9)2in 2 aavOM kct  1)s(0,in OvOMvMt t     1)3)(1272(44 1 126 2 1 1 22 2 3 2 2 3 12 2 2 xx x dx dy dx dy r                          (làgócgiữatiếptuyếncủađường
55

với

 
phươngbiểuthứctađược
với


   

Thay(1),(6),(7)vàotađược (8) 2 2(ascos)2s2 sins C tginbgbcob g gco

Để (bi2đếnCtrướcbi1),khiđó 21CCtt  0sinos45 c 

Kếthợpvớiđiềukiệnbàitoán 0045  

I.2.LỜIGIẢICHUYỂNĐỘNGNÉM.

Bài1.Theođịnhluậtbảotoàncơnăngthìvậntốc cuốilà 0vv  Kếthợpvớihìnhvẽbêntasuyra: .áp  0 ,2.vv

dụngcôngthức:

sins ginbgbcob g gco

2(ascos)2sin2 cossin ginbgaa g g

sinos2sin2s2(ascos)cossin cgagbcoginb g

Bài2.Gọithờigianphảitìmlàt,khiđóvậntốccủavậttạithờiđiểmtlà: 0 vvgt 

Tacó: 2 000000.0...0vvvvvgtvvvgt 

2 0 00.sin0 sin v vvgtt g  

Kếtquảnàychỉcóýnghĩakhi với 0t làthờigianrơicủavật.Vídụnhưvậtđược 0tt  némtừmặtđấtthìthờigianrơilà: 0 0 2sin v t g   01 sin45 2  

Tứclànếuvậtđượcnémtừmặtđấtthìđểtồntạithờigianthoảmãnđiềukiệnđầubàithì góc phảilớnhơnhoặcbằng450 . 

Bài3.1.Viếtphươngtrìnhchuyểnđộngcủacácvật:

56 +

2 2 21 (() )2CD DCD tt avtta
 
   1b.Tốcđộ
 Tốcđộ
CCttt
            
            
             Lưuývớix,y>0thì 2 2() 0xyxyxyxy  Dovậy (12) 2sin2s2(ascos)0 gagbcoginb      Vậydấucủa phụthuộcvàohiệu hay
cácbi
sau t  sinos c  phụthuộcvào . 57
bi1đếnClàv1C vàbi2đếnClàv2C: = (9) 121()CBCB vvatt  2(ascos) ginb  = (10 212()CDCD vvatt  2(ascos) ginb
haibiđếnCbằngnhau. 1c.Tacó: = - 21
2(ascos)2s2
=…………….
=
việc
đếnCtrướchoặc
 
    khi 2 0 max v L g  0sin2145 
2 0 0sin2vvv LL gg 


 0v  v  2

ChọntrụcOxhướnglên,gốctạimặtđất,t=0khinémvậtAtacó;

2 2 2 300205;25025(1)5(1);1 xttxttt   

1

2.VậtAchạmđấtkhi 2 10;3002050x tt 

Giảipttacó: (loại) 111210;60tsts

VậtBchạmđấtkhi 2 2025025(1)5(1)0x tt 

212211;40() tstsloai

ThờigianchuyểnđộngcủaBlà: . 21110 tts

3.Haivậtcùngđộcaokhi: 2 2 1230020525025(1)5(1) xxtttt  5,3 ts

VậntốccủaAkhiđó: 2033/A vgtms 

VậntốccủaBkhiđó: 2510(1)18/.B vtms 

Bài4.Sauthờigiant,vectơvậntốchaivậtlà

Theođề,vectơvậntốccủahaivậtcóphươngvuônggócvớinhaunên 12.0   vv

Từ(1)và(2),suyra: 0102 260() hvvm g

Bài

Từ(1)và(2)suyra:L= t= 12012)   rv 0102 0102 ()  vv vv g

Vậykhoảngcáchgiữahaihạttạithờiđiểmcácvectơvậntốccủachúngcóphương

vuônggócvớinhaulàL= . 0102 0102 ()  vv vv g

Bài6.Hạtchuyểnđộngnémvớigiatốctrọngtrường .  g

Vậntốchạttạithờiđiểmtlà (1) 0  vvgt

vàđộdờilà (2) ( ởthờiđiểmt=0) 2 00 1 2  rrrvtgt 00  r

58
101 202     
vvgt
2
().()0.()()0  vgtvgtvvvvgtgt (1) 0102 22 01020   vv gtvvt g Mặtkhác: (2) 2  h t g 59
vvgt
010201020102
là 101 202      vvgt vvgt Theođề,vectơvậntốccủahaihạtcóphươngvuônggócvớinhaunên 12.0   vv0102 ().()0   vgtvgt (1) 0102 22 01020   vv gtvvt g Mặtkhác: 2 120(120(12)12 1 2   rrvtat Vì và nên 12 a0   012) r0   120(12)   rvt Suyra: 120(12)   rvt Mà (2) 0(12)0201   vvv0120201vvv
5.Sauthờigiant,vectơvậntốchaivật

Bài10. Cách1:Sửdụngphươngpháptọađộ

ChọnhệtrụcOxynhưhìnhvẽ.Gọi làgócném. 

Cácphươngtrìnhchuyểnđộngcủahònđálà

Khit=1sthì:

Cách2:Sửdụngphươngphápvéctơ

Véctơvịtrícủahònđá:

60 Tacó: (3) 0 1 2      rr vvgt tt Xétcảquátrìnhnémxiênthì 222 0000 ()()2()   vvvgtvgtvvgtgt 2222 002()   vvvgtgt Vìv=v0ởt=0vàtoànthờigianchuyểnđộnglàTnên 22 22 0002()   vvvgTgT MàT  0suyra (4) 0 2 2()   Tvg g Vectơvậntốctrungbình trongthờigian  giâyđầutiênlà V 0 02 ()   Vvgvg g Bài7.Tacó: 0 vvgt   Dođó:  00000 vvvvvgtvgt   Hay 000cos.g.tvvvgtv  Vìtầmbayxacủavậtlà 0cos. Lvt  Suyra: 000 ..sin, vvvvvv L gg    VậyLđạtgiátrịlớnnhấtkhi và vuônggócvớinhau. v  0v  Bài8.Tacó: 0 vvgt   Dođó:  00000 vvvvvgtvgt   Hay  00 00sincos vvvgt vvvgt    61 sin cos v t g    Bài9.Saukhoảngthờigiant,vectơvậntôchaivậtlầnlượtlà: 101 202 vvgt vvgt      Theođềbài: 12vv   Nên 120102 0 0vvvgtvgt       010201020vvvgtgtv   010221011022
vvvv  010221 011022
vv t gvv   
sin()gtcosgtcos0
sin() (coscos)
0 2 0 cos. sint 2 xvt gt yv       
0 0 22 0 022 cos 5 2 sin0 0 2 2 L xvLxvOHL g Lhhm g hg yv yv Lh                

Từhìnhvẽtasuyra: 2 25() hgtm 

Bài11.Cách1:Sửdụngphươngpháptọađộ

ChọnhệtrụcOxynhưhìnhvẽ.Gọi làgócném. 

Cácphươngtrìnhchuyểnđộngcủahònđálà

Bài12. Phươngpháptoạđộ

ChọnhệtrụcxOynhưhìnhvẽ. Gọi  làgócbắncủaviênsỏi.

Cácphươngtrìnhchuyểnđộngcủasỏilà:

       2 s. in cos 2 11 11 yvtgt xvt  

CácphươngtrìnhchuyểnđộngcủaTomlà:

GọikhoảngcáchOBlàS.Tacó:

KhiviênsỏiđậpvàoTomởtrungđiểmđoạnABthì:

GọivậntốccủahònbitạiBlà v 

Gọi . 

DovậntốctạiBvuônggócvớivậntốcbanđầunên:

Bìnhphươnghaivếcủa(1)và(2)rồicộngvớinhau,tađược:

sincos tancotg sin cossin gv v v g      Véctơđộdời: 20 00 (t)r(t)r(t).22t gvtvt s vtt     Dođó: 0 (t)2 vv st     Từhìnhvẽtathấy: Vậy 0t vvgt  2 0 (t)5 22 vvgt stm   

62 22 000 11
rrvtgtvtgt  
(t)22
0 2 0
2 xvt gt yv       
vậtchuyểnđộng
và 0 0 cos sin0 2 xvOHL g yv        0 00 cos sinsin x y vv vvgtvg       
cos sin.t
Saukhi
1giây:
(1)

2 2222 00sin 4 g Sxyvvg

,Oxv
(2) 0 0 0 Từ(1)và(2)tathuđược: 5 2 Sgm  Cách2:Sửdụngphươngphápvéctơ 63
         2 . 2 2 222 yHgt vt tg H xLvt 
          22 sin 2 c. os 2 2 2 11 112 gyHgt t yvt tg H xvtx            s.(2) in c.2(1) os 2 1 12 vtHgt tg H vtx   
(3) 2 2 2 22 14 .H tg H vt 
Rútttừphươngtrình(2)rồithếvào(3)tađược:

Bài13.ChọnhệtrụctoạđộOxy:gốcOởvịtrínémhaivật,gốcthờigianlúcnémhaivật

Vật

Vật

Khoảngcáchgiữahaivật

d= 22 2121 (xx)(yy) 

d= 2 2 000 (vcost)(vsintvt) 

 d=v0.t 22 cos(sin1) 

Bài14.a.x=v0 cos450t

y=H+v0sin450t-1/2gt2

b.Chạmđất 0 c452os 1 45220

Bài15.Chọnhệtrụctọađộ0x,0y,gốctọađộ0trùngvớiđiểmA.

Chọngốcthờigian(t=0)lúcbắtđầuvật1đi.

Theophương0x:

Vậntốcvật1là: = V.cos300 x V

3 40203/ 2 ms

Vậntốcvật2là: 0cos60 x vv 

1 4020/ 2 ms

Theophương0y:

Vậntốcbanđầucủavật1là: 01 .sin3040.20/ 2 Oy VV ms

Vậntốcbanđầucủavật2là:  03 .sin6040203/ 2 Oy Vv ms

Theophương0x:

64 m gtg Hvtg2,8 (14) 4 2 22 1      *
222 2 2 2 11AvtgtAB Brvtgt  Từhìnhvẽtathấy: (4) 2Hgt  (5) 22222 1 c) os()()(2 AB OHvtHK   2 2 2 4tg H H  Rútttừ(4)vàthayvào(5)suyra: m gtg Hvtg2,8 (14) 4 2 22 1     
Phươngphápvéctơ: VéctơvịtrícủaviênsỏivàTomkhigặpnhau:
0
2 1 x0 
1: ;y1=v
t-0,5gt
2: ;y2=v0sin.t-0,5gt2 20 xvcos.t 
65 0 0c45 osv x t 220 0 2 0 c452os 1 y45 v x txgHg
0 2 0   v x txgyHg
txH g g
2
4
= (m/s)
x v 
445c5 os
00012

Phươngtrìnhchuyểnđộngcủavật1: .203. x XVtt 

Phươngtrìnhchuyểnđộngcủavật2: 10 x xvt 

 2010 t 

Giảiphươngtrìnhtađượchainghiệmnhưsau: và (Loại)

Theophương0y:

Phươngtrìnhchuyểnđộngcủavật1: 21 20 2 Htgt 

2205tt

Phươngtrìnhchuyểnđộngcủavật2: 21 203 2 htgt

22035tt

Khihaivậtgặpnhauthìtọađộcủachúnggiốngnhau:



Thế(3)vàophươngtrình(2)tađược:

2 2 12121212 2052035 232232232232

        

Tacóphươngtrìnhbậchaitheo nhưsau: 

Với thếvào(3)tađược: (s)

TọađộgiaođiểmMlà:

120,20,4 232 t

2 2 205200,450,47,2Htt m  

2032030,413,8Xt m

Bài16. Xácđịnhđược (1) 119SLSS

Tínhđượcthờigianchuyểnđộngcủabom 2H T g 

-Viếtđượccôngthứcvậntốccủacácquảbom:

v9 =v0 +8at;v11 =v0 +10at

Tínhđượctầmxacácquảbomkểtừvịtríném (2) 99011110 2H 2H SvT(v8at);SvT(v10at) g g 

- Gọit’=2tlàkhoảngthờigiankểtừlúcthảquảbomthứ9đếnkhithảquảbomthứ11.

Khiđókhoảngcáchgiữahaivịtríthảquảbomthứ9vàthứ11là:

66
  (2) 2
Hhtttt Biếnđổiphươngtrình(1)tađược:
tt 
t  
(1)
203.2010Xxtt
2 2052035
203.202010
(3) 102012 20320232

  67
2 1010370203200

s 
s
0,2
2,75
0,2s 





- Kếthợp(1),(2),(3)thuđược

2 0 2H S2vt18at2at129m g 

Bài17 Chọnhệtrụctọađộ:gốcOtrùngvớinớiđặtpháo,Oytheophươngthẳngđứng

hướnglên,Oxtheophươngnằmngang.Gốcthờigianlàt==làlúcviênđạnđượcbắnra

vớivậntốcv.

Phươngtrìnhchuyểnđộngcủađạntheocáctrụctọađộlà:

x1 =(vcos600).t=0,5vt (1)

và y1=(vsin600).t–5t2 = .v.t-5t2 (2) 3 2

Phươngtrìnhchuyểnđộngcủaôtôtheocáctrụctọađộlà:

x2 =500cos300 +(2,5.cos300).t=250 +1,25.t (3) 33

y2 =500.sin300 +(2,5sin300).t=250+1,25.t (4)

Khiđạnbắntrúngôtôthì:x1 =x2 vày1 =y2

Suyra:5t2 –2,5.t–500=0(5)

Giảipjươngtrình(5)tađược:t1 =10,25312451

hoặct2=-9,753124512<0loại

Vậyvậntốccủađạnpháolà:từx1 =x2

Suyra:0,5vt1 =250 +1,25.t1 tađượcv=88,9747m/s. 33

Bài18. Chọnhệtrụctoạđộnhư hìnhvẽ,trụcOxtrùngvectơvậntốcbanđầu

+TrongthờigianrơivậntốctheophươngOxgiảmdần,khivậtchạmđấtvậntốctheo

phươngOxbằng0.

+Tạiđiểmchạmđất: x

+Thay(3)vào(1)được:

+KhoảngcáchtừOđếnđiểmchạmđấtlà: OD==4,9(m) 222 1 2dd xygt 

Bài19.1.Tấmthépkhônglàmthayđổithànhphầnthẳngđứngcủavậntốc,cònthành phầntheophươngngangđổichiềungượclại. Vìvậyquĩđạonảyratừtấmthép(CE)đối xứngvớiphầnquĩđạokéodàinếucótấmthép(CD). Dođó

điểmrơiEcáchtấmthépđoạn:

3 0sin2 max v

2.Bởivìthờigianchuyểnđộngtrongtrọngtrườngtráiđất(khôngcólựccản)chỉphụ thuộcvàothànhphầnthẳngđứngcủavậntốc,màvachạmlạichỉlàmảnhhưởngđến thànhphầnnằmngangcủavậntốcnênthờigianchuyểnđộngcủavậtkhicótấmthép đangchuyểnđộngđúngbằngthờigianchuyểnđộngcủavậtkhikhôngcótấmthép: (1)

+Xétquátrìnhvachạm:

68 (3) 22 90 1 Lvt'at2vt18at 2 
 69
0v
đ =vot+gxt2
1 2 yđ = gyt2 (2) 1 2 vđx =vo +gxt=0 vo =-gxt (3) 
(1)
xđ = 21 2x gt

xLLL g 
0 0
v
g  
2sin
t

. Thànhphầnvậntốcvậttheophươngngangngaytrướcvachạmlà: 0cos x vv

. Ngaysauvachạm: TrongHQCgắnvớitấmthép,vậtlaovàovàbắnravớivậntốc: 0cos vu 

vv t g gg 

*Nếu khiđóquảcầuvachạmvớiđáythùng: 22 0 0 coscos2.sin 2 x 

v LvgL g 

TrongHQCgắnvớiđất,vậtlaoravớivậntốc:

 0cos2 vu 

+Gọithờigiantừlúcnémđếnlúcvachạmlàt

TrongHQCgắnvớiđất,quãngđườngtheophươngngangcủavậttrướcvàsauvachạm làbằngnhau:

000 coscos2 vtvutt 

sin..cos2 cos vvu t vug 

00 0

+vox =vocos; voy =vosin;gx =-gsin; gy = gcos

+DovachạmvớithànhthùnglàđànhồinênthànhphầnvậntốctheophươngOxlà khôngđổi.DođóphươngtrìnhchuyểnđộngtheophươngOxlàkhôngbịthayđổidova chạm. x=vocos.t+ gxt2 và 1 2

0cossin x vvgt 

*Nếuvx triệttiêutrướckhix=L: quảcầukhôngvachạmvớiđáythùngmàquaytrởlại. + 22 0 0 coscos2.sin 2 x 

 

1 2 cossincot11 2 cos v gLtgxvtgtLtg

Từphươngtrình: 20 0 1 2 0              

Bài21 Gọivậntốcbanđầulà vàvậntốcngaytrướckhichạmđấtlà . 0v

vvgt



0

000000 vvvvgtvvvgt

000cos vvvgtvtg

71

70

 (2)
 
+Thay(1)vào(2)tatìmđược:  
Bài20.ChọnOxynhưhìnhvẽ
v LvgL g
+Thờigianchuyểnđộngtrongthùngbằng2lầnthờigianđểvx triệttiêu:
002cos2 cot x 

+Trườnghợpquảcầuchỉvachạmvớiđáythùngmộtlầnrồirakhỏithùngthìthờigian chuyểnđộngtrongthùngbằnghailầnthờigiantừkhibayvàothùngđếnkhichạmđáy thùng.
g v
 v 
Tacó: (tlàthờigianrơicủavật).

        
Tacó: .
  
    Vìtầmbaycủavậtlà 00 cos. x LvtvtvvgL    000 .sin. vvvvv v L gg    VậyLlớnnhấtkhi hayhaivậntốc và vuônggócvớinhau.  0 sin,1 vv  0v  v   Nhậnxét:Trongvídụnàytađãđưaramộtcôngthứctổngquátlà: 0 vv L g   
Vì theo(3),suyra 000vv 

Côngthứcnàycóthểápdụngchonhiềubàitoánvàchotacáchgiảimớikháđẹpnhư trongvídụquenthuộcsauđây.

Bài22.chọnH.Q.C.gắnvớihònđáthứnhất.Khiđóchuyểnđộngcủahònđáthứhaisẽ làthẳngđều()vớivậntốc: 01122 aaagg

Điềuđócónghĩalàcácthànhphầnthẳngđứngvànằmngangcủa phảibằngnhau: 1v 

00 cossinvvv 

hay 2 00 cos1cosvvv  

Khoảngcáchnhỏnhấtgiữahaihònđádễdàngtìmđượctừ hình3:

Chúý:Haihònđáđạttớikhoảngcáchngắnnhấtnàysauthờigian:

bìnhphương2vếtađược: 22 2222 00 00 cos2coscos vvvvvv 

22 22 00 0 2cos2cos0 vvvvv 

(*)

giảiphươngtrìnhtheoẩncos tađược: (1)

Bìnhphươngcủahợpvậntốc 1v  thỏamãnhệthức:

saochotớithờiđiểmđóhònđáthứnhấtphải chưarơixuốngđất,tứclàphảithoảmãnđiềukiện:

Đểkếtquảtrêncó

Bài23.Gọi:

+ làvậntốccựcđạicủabàntaytạithờiđiểmném. 0v 

+ làvậntốccủangườichạykhiném. v  + làvậntốccủahònđá. 1v  Đểđạtđượckhoảngcáchxanhấtthìviệcnémphảiđượcthựchiệnsaocho của 10 vvv  

hònđáhợpvớiphươngnằmngangmộtgóc .4  

(2) 222 1002cosvvvvv

Thay(1)vào(2)tacó: 2222 100 2 vvvvv 

Khoảngnémxanhấtkhingườiđóđứngtạichỗlà: . 2 0 0 v x g 

Khinémvớivậntốc là: . 1v 2 1v x g 

Vậykhichạynémxahơnđượcmộtkhoảng: 0xxx

72
21vvv td  
2 2 2 1 1sin vv lv dl   
2 2 2 1 2 2 2 2 1 ccos os vv lv vv l v l t td     
g
2 2 2 1 2 
nghĩacầnphảiđảmbảo
h vv lv2
73

        
2 00 1 cos2 2 vv vv
22
2.v xvv g 
0

Bài24.a.ChọnhệtrụcoxygắnovàođiểmAvàtrụcox songsongvớiphươngngangTrongquátrìnhchuyểnđộng

lựctácdụngduynhấtlàtrọnglực .P 

TheođịnhluậtIINewton:

Chiếulên: 0x: x ma00 x a 0y: y Pma ag y 

Phươngtrìnhchuyểnđộngcủavậttheohaitrụcoxvàoy:

Khiviênđárơixuốngmặtphẳngnghiêng:

s(4) in c(3) os   yl xl

Thế(3)vào(1)tarútratthếvào(2)vàđồngthờithế(4)vào(2)tarútra:

cos0vv x  2 0v 

 cos 3 2 cos 2 0 g xlv  hay ; cos 3 2 cos 2 0 0 g v vt

viênđá: =   3cos 2cos 0 g v t 3 20 g v

vvgt y sin0 323 2 sin00 0 vv vv y   = tan 3 1 2 23 0 0  v v v v x y 030

do

0

2 0 cos s)cin(2os g lv 

2 0 .cos c)soscin(oscsin2os g lv  l g v 3 22 0 75

 2

74
Pma  
      
1 s.
c(1)
2 0 0 yvtgt xvt  
2(2)
in
os
    
 2
b.TạiBvậntốccủavậttheophươngox là:
Khivậtchạmmặtphẳngnghiêng:
Suyrathờigianchuyểnđộngtrênkhôngcủa
VậntốctheophươngoytạiB:
nênlúcchạmmặtphẳngnghiêng hướngxuống.  23 0V v y v
R v mmFg h 2 cos  
LựchướngtâmtạiB:

1342

với 6(/)6,522 vvvms xy 

vậy: 214,75 0 ytt 

Lúcđárơixuốngđất: y=0 14,750 02  tt 2s t

a.Khoảngcáchtừnơiđárơiđếnvịtríbanđầucủacôngtenơ:

22 m

Bài25.Sau4sđộcaocủangườiđứngtrênmậtcôngtenơlà: 1() 0 2 54 6 2

Vậntốccủangườilúcđó: s m vat0,5421 

Gọi làvậntốccủaviênđáđốivớingườithìvậntốcviênđáđốivớiđất:

9,4m.  4,7.2Lvt x

Bài26. Phươngtrìnhvậntốccủavậttheophươngox:

Phươngtrìnhvậntốccủavậttheophươngoy:

Phươngtrìnhchuyểnđộng:

Chiếulên:

84,7(/)c5,40.6 os0 ms vv x 

0y: 24,7(/)s25,4 in10 ms vvv y  

Vậy 045

Chọntrụcoxynhưhìnhvẽgắnvàomặtđất.Phươngtrìnchuyểnđộngcủaviênđátheo phươngoy:

Phươngtrìnhvậntốc:

ĐểtầmxaxlàlớnnhấtthìtạiAvậntốccủavậtphảihợpvớimặtngangmộtgóc450 có nghĩalàtạiA:

76 cos 2 g v R  Với:
2 0 22
vvv vvv xy  R g v 33 22 0
222
at H
 0v 01   vvv
0x:
1
 x y v v tg
2
2
 77
1sin 0
yvtgt
cos0vv x 
vvgt y sin0
; xvt cos0 2 sin 2 0 yvtgt 
; cos0vv x  vvgt y sin0

Vậyphảiđặtsúngcáchváchhầmmộtkhoảng:

78 (1) 0 scos in v g vvt xy    Hơnnữataphảicósauthờigiannày:              s2(3) in c(2) os 2 0 0 gh t vt vtl yh xl   Từ(2) (3)kếthợpvới(1) (4) cos0v l t  c)(oscsin os 2 0 g v l Thayttừ(1)vào(3)tađược: ; 2 1 sin 2 0 2 v gh  2 0 2 2 1 cos v gh  Thếvào(4): c)cos(os sin2 2 0 g v l l 2) 1 4 1 ( 2 0 4 0 222 0 v gh v gh g v  Từ(1):            2 0 2 0 2 0 00 2 0 2 0 2 1 2 1 2 21 1 2 1 v gh v gh v gh vvv g v gh v gh t y 2 02 1 v gh v y  2)(1) 1 2)( 1 2)( 1 ( 2 20 0 2 0 2 0 2 0  v v gh v gh v gh vv A 79  maxS  g v v gh g vA 1 2 12 20 0 2        
thì
xacủađạntrênmặtđấtlàlớnnhấtvàtầmxanày 2) 1 4 1 ( 2 0 4 0 222 0 v gh v gh g v l   bằng  g v v gh.1 2 12 20 0         Bài27. PhươngtrìnhchuyểnđộngcủavậttheotrụcOxvàOy: 0x 2 0y xV.t 1 yVtgt 2      +Điềukiệncủal:Saochoviênđạnvượtrakhỏi miệnghầm x=l ;y=h Tacóphươngtrình  Vtgth y  2 02 1 2 0y0y 1 2 0yoy 2 VV2gh t g VV2gh t g        *Ứngvớit1:x=l;y=h g lVVVgh oy x ox 20 2 
tầm

Bài28.ChọnhệtọađộxOyđặttrongmặtphẳng quỹđạocủavật,gắnvớiđất,gốcOtạiđáyvực,Ox nằmngangcùngchiềuchuyểnđộngcủavật,Oy thẳngđứnghướnglên.Gốcthờigianlàlúcném vật.

Hìnhcắtcủabờvựcđượcxemnhưmộtphầnparabol(P1)y=ax2 điquađiểmAcótọa

Suyra20=a(-25)2  a= 4 125

Phươngtrìnhcủa(P1): 24 125 yx 

Phươngtrìnhchuyểnđộngcủavật:

Khửtđitađượcphươngtrìnhquỹđạo(P2):

2 12355 2039 2024yxx

ĐiểmrơiCcủavậtcótọađộlànghiệmcủaphươngtrình:

Suyratọađộđiểmrơi:xC =15,63mvàyC =7,82m.

KhoảngcáchgiữađiểmrơiCvàđiểmnémAlà

 2242,37ACAB ACxxyym 

Bài29. Saukhiđượcném,chuyểnđộngcủahaivậtlàchuyểnđộng

củavậtđượcnémxiên.Trongchuyểnđộngnàyvậtthamgiađồngthời

haichuyểnđộnglàchuyểnđộngthẳngđềutheophươngnằmngang

*Ứngvớit2:x=l+S,y=h *Ứngvớit1:x=l;y=h  g SVVgh y x 22 0 2 0   g lVVVgh oy x ox 2 . 0 2  *Ứngvớit2:x=l+S,y=h  g SVVgh y x 22 . 0 2 0  Đểtầmxatrênmặtđấtmaxthì nênv0x =v0y=vA 045 A 2 cosv 2 Aox0 v2v2vcos  *ĐLBTNLcó: 2 2222 0 A00 11 2mvmghmvv2gh2vcos 2  2 0 1gh cos 2v  *Khoảngcách = g lVVVgh oy x ox 2 . 0 2  02 202 00 v1gh1ghv2ghg2v2v    Tầmxa: = 22 0y022 0x 0 2V2gh2vcos SV. .vsin2gh gg     2 022 20 0 2v1ghv(1cos)2ghg2v  Rútgọncó:S= 2 02
00 2v1gh1ghv2ghg2v2v   
202
độ
l
    
2;
xyh
0 2 2 0 cos1025 2 1 sin510320 2 l xvtt ygtvthtt           


với  2 2 1
yx yxx        25,20 xmym 
2000 12355 2039 2024

(dobỏqualựccảnkhôngkhí)vàchuyểnđộngvớigiatốcgtheophươngthẳngđứng.

ChọnhệquychiếugồmhệtrụctoạđộOxy(Oycóhướngthẳngđứnglêntrên;Oxnằm nganghướngtheochiềuchuyểnđộngcủavật)chọngốcthờigianlàthờiđiểmkhiném vật

KhảosátchuyểnđộngcủacácvậttheohaiphươngOxvàOy.

vvcos vvsingt AxA AyA

VậtB: 0B0B 0B0B   

By Bx         

tvvsingt

an vvcos AyA Ax A

A

A A

Trongkhoảngthờigiantừkhinémhaivậttớikhivéctơvậntốctoànphầncủahaivật vuônggócvớinhauthìkhoảngcáchgiữahaivậttheophươngOxvàOylà:

PhươngOy: ) AB yh(vv)t2,0183m BxAx

 

Bài30.a.ChọntrụctoađộAxynhưhìnhvẽ.

ChuyểnđộngthànhphầntheotrụcAx:

vx =v0cosβ;

x=v0cosβ.t

ChuyểnđộngthànhphầntheotrụcAy:

vy =v0sinβ-gt;

y=v0sinβ.t–gt2/2.



Vì nên 0Bvv   000 .0..0 B xxyy vvvvvv

AB2 =x2 +y2 =(v0cosβ.t)2 +(v0sinβ.t–gt2/2)2 (2)

Thay(1)vào(2)vàt=1s,tađược:

AB2 =-v0sinβ(v0sinβ–g)+(v0sinβ–g/2)2 =5m.

b.QuảbóngdocậubéBnémquaytrởlại.

ChuyểnđộngthànhphầntheotrụcAx:

vx =-v0cosβ;

x=AC-v0cosβ.t

82
VậtA: 00A 00A   
vvcos vvsingt Bx By
GọiαA vàαB lầnlượtlàgóchợpbởivéctơvậntốctoànphầncủavậtAvàvậtBso vớiphươngnằmngang.
Tacó: 00A A 00A 0B0B B 0B0B tvvsingt an vvcos
Điềukiệnđểvậntốctoànphầncủahaivậtvuônggócvớinhaulà: 090
tvsingtvsingt antan1
A         
Khiđótacó: 00A0B0B AB 00A0B0B 22 00A0B0B00B0A0B
1 vcosvcos gt(vsinvsin)gtvvcos()0
  
Thaysốtathuđượcnghiệmcủaphươngtrìnhtrênlà: t0,2569 t0,20150() s slo¹i
83
PhươngOx: ABB x(vv)t1,7982m Axx 
Suyrakhoảngcáchgiữahaivậttạithờiđiểmđólà: 22 ABAB rxy2,7032m 
(v0cosβ)2 =v0sinβ(v0sinβ–gt) (1)

ChuyểnđộngthànhphầntheotrụcAy:

vy =v0sinβ-gt; y=BC+v0sinβ.t–gt2/2.

(2) 2 2 1 cos mmvmgR gR 



1 sin 2coscos ACxACx ygv BC v v 

Từ(1)và(2)suyra: 3 5sin 3 2 cos

lúcđó: 3

đượcvậntốccủavật

 2 2 2 2 2 0 0

tan.tan0* 2 2 gACAgAC C BC v v 

22

22

Giảiratađược:  22 0min vgBCACBC 

Thaysố: 0min25/. vms 

cosp

Theođềbài dovậybanđầutaxem . Rh  A0

      

2

        3 5sin 3 2  vgR

(1)   c9cos os 2 2 vR R v pm 85

84
Phươngtrìnhquỹđạocủaquảbóng:   
2 20 2 0 0
  
KhiquảbóngrơitrúngchâncậubéA:x=0vày=0
2 22
2 2
C BC vv vv         
(*)làphươngtrìnhbậchaivớitanβ.
42 00 00
010 22 AgACgACgACgBC
22 4222 00min 42 00 .2. 1020gACgBCvgBCvgAC vv  
VìACvàBCđãxácđịnh,vậytốcđộv0 cógiátrịnhỏnhấtthỏamãn:
Bài31. BanđầuquảcầuxoayquanhtrụcquaytứcthờiA.Lúcbắtđầurơikhỏibànvận tốccủanólàv,phảnlựcNbằng0,lựclàm cho quảcầuquaytrònquanhAlàtrọnglực :
Theođịnhluậtbảotoànnănglượng:
2

Thay vàophươngtrình(1)ta
cos
vgR 3 2
Giaiđoạntiếptheovậtnhưmộtvậtbịnémxiênvớigóc vàvớivậntốcbanđầu:  vgR 3 2 
2
 
Chọntrục nhưhìnhvẽ . xy0 A0
1 s. in cos yvtgt xvt
Khichạmđất ,nên:yh  ghvtt 2 2 1 sin
Thay vào phươngtrìnhtrêntatìmđược:

Bài32. Xéttrườnghợpgócném : Quãngđườngbóngvậtđiđượcchínhlàtầmxa  

+ S2 =2.OA+L=2.OA+ 2 0.sin2v g 

+TínhOA: . Phươngtrìnhquĩđạocủavật:

2 22 0 1 2cos g ytgxx v   

450,khiđó 

0 1max Sv g 

*Xéttrườnghợpgócném :Quãngđường   bóngvậtđiđượclàS2,gọitầmxalàL



 

'.2 cos M g tgyxtgx v

 

222 0 1 ....cos 2. M MOyAx tgtgv tggtg

+Vậy:  2 222 0 2 0 sin21 cos Sv tgtgv ggtg

'2cos21sin22cos2sin21sin2 . Sv vtgtg tg

 

2'0S  090 0

Khiđó: 2maxmax2cot.Shg

           
g
t g gghgR R t

 
S 
0() 33 15410 0 33 15410 0 2 1 loai
gghgR R
Vậysau thìvậtsẽrơixuốngđất.
t g gghgR R 33 15410 0
Tầmbayxacủavật: . 3 2 . 3 2 c. os SxvtgR
g gghgR R 33. 15410 0 .
gghgR R g R 15410 0 2 27 2 
2
 +Nếu

némdướigóc thì  2 0 1max sin2Sv g   +Nếu 0 45:
S1max khi
vậtđạtđược.
1 1 sin2Sv g 
00 4545
Tathấy:S1 sẽcànglớnnếu càngtăng,suyra 
bằng
2
87
. XéttạiđiểmMquĩđạotiếptuyếnvớitiasángmặttrờithì hệsốgóccủatiếptuyếntại Mđúngbằng vàdođó:   
22 0
. RútxM từ(2)thayvào(1)được
   
  
2222 0 1 cos 2M ytgtgv g 
   2 2 2 2 0 2 0
ggtg 
  
+TìmS2max tadùngPPđạohàm:
khi (trườnghợp khôngxảyra)

+Khi Vậytacầnnémvậtthẳngđứnghoặcgóc450

45:2sin1SS

Vậytacầnnémvậtthẳngđứng

Vậytacầnnémvậtdướigóc450

Bài33.Gọiv1 làvậntốcbónglúcbắtđầuvàorổvà làgóccủa vớimặtphẳngngang. 1v  làgócném. 

+Theophươngngangvậntốcbóngkhôngđổinên: 01coscos x vvv

+Theobảotoàncơnăngthì: 22 102 vvgHh 

v1 khôngphụthuộcgóc vàdođónếu nhỏnhất   

thì cũngnhỏnhất. 

+Nhậnthấytrongnhữngquĩđạobóngbayquarổthìquĩ

đạomàbóngxượtqua2méptrướcvàsaucủavòngrổsẽ

cógóc nhỏnhất.

+Từhìnhvẽtacó: 02 sin30 2 rAMMB R  

+Chọngốcthờigianlàlúcnémbóng,tlàthờiđiểmbóngxượtquarổ:

x=l=v0cos.t (1) 

y=H-h=vosin.t- (2)  21 2gt

0 1 sinsinvgtv  

01coscosvv 

(4)

(3)

+Từ(1);(2);(3);và(4) 2 . Hh tgtgl  

Thaysốđược: 044

Bài34. Chọnhệtrụctoạđộnhưhìnhvẽ.

sin;cosx y gggg

+XétquĩđạongượcvớiquĩđạotừAđếnB.

+Dovachạmlàhoàntoànđànhồinênvậntốc

tạiBcủaquĩđạoB2AvàquĩđạongượcA1Blà

đốixứngnhauquaOy.

12

yy xx

12

vv vv     

+ 22 1122 22 x x Ax x gg xvttvtt 

(1)  122 x x g vtt

+ 22 1122 22 y y Ay y gg yvttvtt 

(2)  122 y y g vtt 

+Thay(1)và(2)vàocácphươngtrìnhxvàytađược:

22 11212 12 ; 6 22 2 y x A AA gg g xttyttABxyttm 

88 21max 2max 2sinS S  *
Kếtluận:
02 1max2max
+Khi
02 1max2max
02 1max2max
45:2sin1. SS

  +Khi
45:2sin1SS

89


-Thời

Vậybi3đạtđộ

caotốiđaởthờiđiểmgầnnhất:

33 1 6a 2223Tt T g 

a. lượtlàh1,h2 vàh3:

1x ma ha 

2x2 ma ha 

3x3 ma ha 

(3)

90
a.Pháchọađồthịtọađộ-thờigianchuyểnđộngcủacácbi Môtả: -Đồthịchuyểnđộngcủabi1a1a2a3a4a5a6a7a8a9a10… -Đồthịchuyểnđộngcủabi2làb1a3 a5c2a6a8c3a10… -Đồthịchuyểnđộngcủabi3làc1c2c3c4 b.Thờigianbi1rơitựdotừđộcaoalà : (1) 1T 2 1 1 2a 2 gT aT g  -Thờigianmộtvậtrơitựdotừđộcao2alà 2 12(2a)4a2t T gg 
lúc
2 14a22 TT g 
Bài35.
Vậybi2đạtđộcaotốiđagầnnhất
(2)
91
gianvậtrơitừdoởđộcao3alà 3 12(3a)6a3t T gg 

I.3.LỜIGIẢITÍNHTƯƠNGĐỐICHUYỂNĐỘNG.

Bài1.Vậntốccủavật(1)đốivớimốcvật(2)là:

112 2 vvv   (m/s). 10112 2  vvv

 v AB t (s)

Thờigiantừbanđầuđếnlúcvật(1)vàvật(2)gặpnhaulà: 10 10 100 12

Quóngđườngvậtnhỏđiđượctổngcộngchođếnlúcvật

(1)vàvật(2)gặpnhaulà:

(m). 3010300svt

Bài2. Gọikhoảngcáchtrênđầucủavật(1)và(2) tớivịtrí giaonhaucủahaiquỹđạolàd1 vàd2.Sauthờigiantchuyển độngkhoảngcáchgiữachúnglà:

2 1122 ()() ddvtdvt 

Khiđạtđượckhoảngcáchngắnnhấtgiữahaivậtthì:

Vậy lúchai vật có khoảng cách ngắn nhất thì vật thứ haicáchgiao điểm trên một đoạn 750m

Bài3. Lầnlượtgọicácvật1:ôtô;2:gió;3:mưa;4:mặtđất

-Theođềv14 =15m/s;v24 =3m/s; hợpvớiphươngthẳngđứnggóc450 . 31v

-Biểudiễncácvectơnhưhìnhvẽ

Nếukhôngcógióthìmưarơithẳngđứngnên

32v 

a,Theocôngthứccộngvậntốc,vậntốcôtôđốivớigiólà 121442 vvv  

Vì nên 1424vv   1442vv  

Dođóv12 =v14 +v24 =15+3=18m/s

b.Vậntốcmưađốivớiđất 343224 vvv  

Từhìnhvẽtacóv32 =v12 =18m/s(tamgiácvuôngcân)

Và nên =18,25(m/s2) 3224vv   2222 343224183vvv

Bài4.1.Vậntốchaivậtbằngnhau:

1sin22sin2 4 tt

1sin2os2sin2 tctt

* os21 cttkkN  

92
= 2 2 2 11221 22 2 2 1 ()2() vvtvdvdtdd   mindd  2 2 2 1 1122 vv vdvd t   
2 2 2 1 22112 2 2 2 1 1122 111
vv vvdvd vv vdvd Sdv     
đó: Sdvt 222   22Sd 2 2 2 1 11221 2 2 2 1 1122 2 () vv vvdvd vv vdvd v     7() 50 20 3500 0 2 11 2 m v vS S  
()
Lúc
 2S
hướngthẳngđứngxuốngdưới
 


2.Vậntốctươngđối:

-Vậntốcnhỏnhất 120os21vct *tkkN   Bài5.Dễthấyrằng,ởđâytaxéthaiH.Q.C.làhợplý.Yêucầuđảmbảochothuyềnbịtrôi theodòngnướcítnhấtcóliênquantớiH.Q.C.gắnvớibờsông,cụthểlàgóctạobởivận tốc củathuyền(đốivớibờ)lậpvớiđườngvuônggócvớibờlàbénhất.TrongH.Q.C. v  gắn liền với dòng nước, người ta đã cho độ lớn vận tốc củatdv  thuyềnvàđòihỏitìmhướngcủavậntốcnày,chẳnghạnnhưgóc tạobởivậntốcnàyvàđườngvuônggócvớibờ.Dotrongđiều  kiệncủabàitoánkhôngnóigìvềtươngquangiữauvà ,nêntdv taphảixéthaikhảnăng:

a) >u.Trongtrườnghợpnàytacóthềđảmbảochèochothuyềnđitheohướngvuông dv gócvớibờ(tứclàthuyềnkhôngbịtrôitheodòng).Theoquytắccộngvậntốc:

Từhình1biểudiễnphươngtrìnhtrên,tanhậnđược:

b) <u.Phươngtrìnhbiểudiễnquytắccộngvậntốc,bâygiờđượcbiểudiễntrênhình tdv

2.Khithay đổi hướng chèo ngọn của vectơ vẽ nên một nửa vòngtròn.Góc cực tiểu tdv

giữavectơ vàđườngvuônggócvớibờtươngđươngvớiđiềukiệnvectơ

v

vớivòngtrònđó.Từđâysuyra:

vu td s/ in

Nhưvậy,khi >uthì ,cònkhi <uthì .Trườnghợp =u tdv tduvs/ in tdv vu td s/ in tdv xindànhchobạnđọcnhưmộtbàitậpnhỏ.

Khixétsựrơitựdocủamộtsốvật,việcchọnH.Q.C.gắnvớimộttrongsố cácvậtđócũngtỏrarấtthuậntiện.TrongH.Q.C.nàychuyểnđộngcủacác vậtsẽlàthẳngđềuđốivớinhau(tấtnhiênởđâybỏquasứccảncủakhôngkhí).Cáchlàm nàythườngđượcgọilà"phươngphápbátướcMunhausen"(bạncóhiểutạisaokhông?).

Tasẽsửdụngphươngphápnàytrongbàitoánsau:

Bài 6. Chúngta lấy bờ sônglàm hệ quy chiếu đứng yênvàtàu thủy làm hệ quy chiếu chuyểnđộng.Khiđó làvậntốctươngđối, làvậntốc 0v

u

kéotheo.Vậntốccủahànhkháchđốivớibờ sẽlàvậntốc v  tuyệtđối.Theocôngthứccôngvậntốc:

Sửdụngđịnhlýcosin chúngtatìmđượcđộlớnvậntốcvcủahànhkháchđốivớibờvà góc giữavậntốcnàyvàtrụctàu: 

1.Chọnhệquychiếuđứngyêngắnliềnvớibàn,cònhệquychiếuchuyểnđộnggắnliền băngchuyền.Khiđóvậntốccủabăngchínhlàvậntốckéotheo .Lúcbắtđầuchuyển vv C 

độngtrênbăngthìvậntốctuyệtđốicủahộpbằngvậntốccủahộp

94
1212
     


12 1sin22sin2 4 1os2 vvvtt vct
-Độlớnvậntốclớnnhất 122/os21vmsct 
2 tkkN  
vvu td  
tduvs/ in
nàytiếpxúc
+ v0v  u
=
 13km/h. 3 7 20 2 0 2 u vuvuv cos 0,33; 7 3 2 10 ssin in v v . 019
Bài7.

đốivớibàntrướckhiđivàobăng,vìvậy .

Vậntốctươngđốicủahộpđốivớibăng

lúcbắtđầuchuyểnđộngtrênbănglà .Theoquytắccộngvậntốc(H.11): .

Sửdụngđịnhlýcosinđốivớitamgiáctađược:

2.Đểtrảlờicâuhỏithứhainênchuyểnsanghệquychiếuquántínhgắnliềnvớibăng. Đốivớibăng,hộpcóvậntốcbanđầu theohướnglậpvớimépbăngmộtgóc nàođó Ov   vàchuyểnđộngthẳng,chậmdầnđềuvớigiatốc g.Yêucầuđộrộngcủabăngnhỏnhất 

màhộpkhôngđirakhỏibăngdẫntớihộpphảidừnglạiởmépbăngđốidiện.Khiđóhộp đi được đoạn đường Đối với chuyển động chậm dần đều của hộp trên băng   sin d s

chuyềncóthểviết: Từhaibiểuthứccuốisuyra: .vgs

vàođịnhlýsinđốivớitamgiáctacó:

Thếvàobiểuthứccủadtanhậnđượcđộrộngcựctiểucủabăngchuyềnđể

Bài8.Chúngtachọnđườnglàmhệquychiếuđứngyênvà

hệquychiếuchuyểnđộng.Chúngtasẽtìmvậntốc

và củahạtmưađáđốivớiđườngtrước

vàsauvachạm,tứclàcácvậntốctuyệtđối 1v  2v  củahạtmưa.Theođềrathì hướngthẳngđứngxuốngdưới,còn hướngnằmngang 1v  2v  (H.9).

Ngaysaukhivachạmvậntốctuyệtđối ,vậntốctươngđối và vậntốckéotheocủa 2v  Ov2  hạtmưa (cũnglàvậntốccủaôtô)liênhệnhaubởihệthức:

Vì và hướngtheophươngngangnên cũnghướngnằmngang,dođó:

Vậntốctươngđối lậpvớipháptuyếnABcủamặtkínhmộtgóc nàođóchínhlàgóc Ov2   phảnxạ.Từphầnđộnglựchọcchúngtađãbiếttrongvachạmđànhồicủamộtvậtvớibề mặtcủamộtvậtnặng,đứngyênthìgóctớibằnggócphảnxạ,cònđộlớnvậntốctớivà vậntốcphảnxạbằngnhau.Vìvậyvậntốc củahạtmưađáđốivớiôtôngaytrướckhi Ov1  vachạmcũnglậpvớipháptuyếnABcủamặtkínhmộtgóc vàvềđộlớn: =

Trướckhivachạmhệthứcgiữavậntốctuyệtđối ,vậntốctươngđối vàvậntốckéo 1v  Ov1  theo là: u 

TừH.9dễdàngchứngminhđược vàvậntốctươngđối lậpvớiphươngngang  Ov1  mộtgóc2.Sửdụnghình9chúngtacũngtìmđượcvậntốccủahạtmưađátrướcvàsau  vachạm: khtumtugvug.().()/ 223431 ==3u=75km/h.

vvuvu OO 221

96
2 v vA 
Ov  AOC vvv  
222 0
OCACA vvvvv  0 7 6 v v 
2cos(180)
22 g dv    sin2 72 49 Dựa
O A v v    s) in( sin 0180
thứccủa
v
21 45 
hộpkhôngđirakhỏibang . g dv   2 54 75
ôtôlàm
97
O
;ởđây: .Từđóchúýđếnbiểu
9 45 11 80 2 0  scoss)in in(
và quavtađược: AvO
sin
u  =+.2vOv2  u
2vu Ov2  vvu O 22
Ov1Ov2
. 
= + . 1v  Ov1  u 
            1 2 1 2
.
uu u
c) os(
c) os(

Giảsửsauthờigian khoảngcáchgiữahaivậtlàngắnnhất.Khoảngcáchđósẽ t là:

'2''cos22BABBBdABB 

c)c)2(os(2os

vvvvtlvvtl

= 2 12 22 122 2 1

Taxembiểuthứctrongcănlàmộttamthứcbậchaiẩnsố ,với ,d t  22 2 2 4sin lv

sẽđạtgiátrịnhỏnhấtkhitamthứcđónhậngiátrịnhỏnhất, hay  mndd 2 122 2 1

12 2cos c)(os vvvv lvv t     

Vàkhoảngcáchbénhấtgiữachúnglúcđósẽlà: a d 4mn  

sin 2cos lv vvvv

  

 mind 2 2 2 1122

Bài11 Tấtnhiênlànênchọnphònglàmhệquychiếuđứngyên,cònđĩalàhệquychiếu chuyểnđộng.Khiđó là

vậntốctươngđối.Vậntốckéotheo là 0v  Cv  vậntốccủađiểmAđốivớiphòng.Vậntốckéotheo hướngvuông Cv 

gócvớiphươngbánkínhOAvàcóđộlớnbằng: .Vậntốccủa vR C conbọdừa đốivớiphònglàvậntốctuyệtđối.Theoquytắccộngvận v tốc: = + .Độlớnvậntốccủaconbọdừađốivớiphòngbằng:

Bài 12 Chọn hệ quy chiếu đứng yênlà hệ mà vận tốc và được chotrong đó. Lấy 1v  2v  hànhtinhlàmhệchuyểnđộng.Vậntốctuyệtđốicủavệtinhđãchovàbằng .Chúngta2v cầntìmvậntốccủavệtinhđốivớihànhtinhtứclàvậntốctươngđối .Giảsửvàothời Ov  điểmnàođóvệtinhđiquađiểmMgắnliềnvớihànhtinhbằngmộtthanhtưởngtượngOM (H.5). Vận tốc của điểm Mtrong hệ quy chiếu đứng yênchínhlà vận tốc kéotheo .Cv Chúngtahãytìmnó.

98
9.KhiAđitừsànlênđếnđiểmcaonhấtcủatrụthìđộdờicủanósẽlà :IA  () 2cos22ADIDDAIIDIA A 4   2 2 2 2 22 2 2 2 IRRRRIA A        48 2 2  R IA TacóthờigianđểtrụdịchchuyểntừEđếnFlà: 2 2 1 Eat F
gianđểtrụđitừEđếnFcũngchínhlàthờigianchuyểndờicủavậtnhỏkhiđitừI đếnA: Suyra: a R a R a AD a EF t    2 22.2. VậntốctrungbìnhcủavậtnhỏA: t IA v v 2 1(48) 2 aR   Bài
 ()()2()cos 12 2 2 2 1 dlvtvtlvtvt  99
Bài
Thời
10.
    
v  0v  Cv  222 0 22 0 vvvvR C 

Turn static files into dynamic content formats.

Create a flipbook
Issuu converts static files into: digital portfolios, online yearbooks, online catalogs, digital photo albums and more. Sign up and create your flipbook.