Régulation PID par la pratique avec Raspberry Pi et Arduino Uno (Extrait)

Page 1

Régulation PID par la pratique avec

Raspberry Pi et Arduino Uno

livres
Dogan Ibrahim

Régulation PID par la pratique avec

Raspberry Pi et Arduino Uno

● Dogan Ibrahim

• Droits de reproduction © 2023 – Publitronic - Elektor International Media

• Toute reproduction ou copie, même partielle, de ce livre, et sur quelque support que ce soit, sans l'accord écrit de l'éditeur, est interdite.

• Le code de la propriété intellectuelle du 1er juillet 1992 interdit expressément la photocopie à usage collectif sans autorisation des ayants droit.

No part of this book may be reproduced, in any form or means whatsoever, without permission in writing from the publisher. While every precaution has been taken in the preparation of this book, the publisher and author assume no responsability for errors or omissions. Neither is any liability assumed for damages resulting from the use of the information contained herein.

La protection du droit d'auteur s'étend aux illustrations, y compris aux circuits imprimés et aux projets y relatifs. En conformité avec l'article 30 de la Loi sur les brevets, les circuits mentionnés ne peuvent être exécutés qu'à des fins particulières ou scientifiques et non pas dans ou pour une entreprise ; ces exécutions et/ou applications se font en dehors de toute responsabilité de l'éditeur.

Conformément au droit d'auteur, ce copyright ne s'applique pas à certains schémas reproduits dans ce livre à titre de citation et d'illustration des propos et de la démarche intellectuelle de l'auteur, avec l'aimable autorisation des ayants droit.

L'éditeur remercie d'avance le lecteur qui prendra la peine de lui signaler les erreurs éventuelles qui auront échappé à sa vigilance (écrire à redaction@elektor.fr).

• ISBN 978-2-86661-216-0

978-2-86661-217-7

• 1e édition — 1er tirage - 07/2023

Version papier

Version numérique

• Maquette : www.d-vision.nl | Julian van den Berg

Coordination : Mariline Thiebaut-Brodier

Traduction : Magda Lorne

Imprimé en Allemagne par Media-Print Informationstechnologie

● 4
SOMMAIRE ● 5 SOMMAIRE Avant-propos ....................................................... 9 Chapitre 1 • Asservissement .......................................... 11 1.1 Boucle ouverte et boucle fermée .................................... 11 1.2 Microcontrôleur dans la boucle ..................................... 12 1.3 Conception du système asservi ..................................... 15 Chapitre 2 • Capteurs ................................................ 16 2.1 Capteurs dans la régulation par ordinateur ............................. 16 2.2 Capteurs de température ......................................... 18 2.2.1 Capteurs de température analogiques ............................ 18 2.2.2 Capteurs de température numériques 25 2.3 Capteurs de position 26 2.4 Capteurs de vitesse et d’accélération ................................. 29 2.5 Capteurs de force .............................................. 30 2.6 Capteurs de pression ............................................ 31 2.7 Capteurs pour les liquides 33 2.8 Capteurs de débit .............................................. 36 Chapitre 3 • Fonctions de transfert et réponse temporelle ................... 38 3.1 Aperçu ...................................................... 38 3.2 Systèmes du premier ordre 38 3.2.1 Temps de réponse 41 3.3 Systèmes du second ordre ........................................ 44 3.3.1 Réponse temporelle......................................... 46 3.4 Retard ...................................................... 52 3.5 Fonction de transfert d’un système en boucle fermée 53 Chapitre 4 • Systèmes à temps discret (numériques) ....................... 54 4.1 Aperçu ...................................................... 54 4.2 Échantillonnage ................................................ 54 4.3 Transformation en Z 58 4.3.1 Fonction de type échelon unitaire 58 4.3.2 Fonction de type rampe unitaire ................................ 59 4.3.3 Tableaux des transformations en Z . . . . . . . . . . . . . . . . . . . . . . . . . . . . . . 59
Régulation PID par la pratique ● 6 4.4 Transformée en Z d’une fonction exprimée sous la forme d’une transformée de Laplace ............................................. 59 4.5 Transformation en Z inverse ....................................... 61 4.6 Fonction de transfert d’impulsions et manipulation des schémas fonctionnels 62 4.6.1 Systèmes en boucle ouverte 63 4.7 Réponse temporelle en boucle ouverte ................................ 64 4.8 Réponse temporelle du système en boucle fermée ........................ 68 Chapitre 5 • Régulateur PID dans les systèmes à temps continu .............. 71 5.1 Aperçu 71 5.2 Régulateur proportionnel avec un système du premier ordre ................. 72 5.3 Régulateur à action intégrale avec un système du premier ordre .............. 73 5.4 Régulateur à action dérivée avec un système du premier ordre ............... 74 5.5 Régulateur proportionnel + action intégrale avec un système du premier ordre 75 5.6 Régulateur proportionnel + action intégrale + action dérivée avec un système du premier ordre 76 5.7 Effets de la modification des paramètres PID 77 5.8 Mise au point d’un régulateur PID ................................... 79 5.8.1 Méthode de réglage de Ziegler et Nichols en boucle ouverte............. 79 5.8.2 Réglage PID de Cohen-Coon en boucle ouverte ..................... 80 5.8.3 Réglage en boucle fermée 85 5.8.4 Réglage pratique du régulateur PID.............................. 87 5.9 Régulateur PID à réglage automatique ................................ 88 5.10 Augmentation et diminution des paramètres PID ........................ 88 5.11 Saturation par l’action intégrale 89 5.12 Coup de pied de l’action dérivée 89 5.13 Utilisation du simulateur de régulateur PID ............................ 90 Chapitre 6 • Régulateur PID numérique ................................. 92 6.1 Aperçu 92 6.2 PID numérique 92 6.3 Choix de la période d’échantillonnage, T .............................. 93 6.4 Mise en œuvre de l’algorithme PID par un microcontrôleur .................. 94 Chapitre 7 • Régulation de température en mode tout ou rien . . . . . . . . . . . . . . . . 97 7.1 Aperçu 97
SOMMAIRE ● 7 7.2 Régulateurs de température . . . . . . . . . . . . . . . . . . . . . . . . . . . . . . . . . . . . . . . 97 7.3 Projet 1 : régulateur de température de type ON-OFF sur Arduino Uno 98 7.4 Projet 2 : régulateur de température de type ON-OFF avec hystérésis sur Arduino Uno 103 7.5 Projet 3 : régulateur de température de type ON-OFF avec consigne variable (boutons) sur Arduino Uno 105 7.6 Projet 4 : régulateur de température de type ON-OFF avec consigne variable (codeur rotatif) sur Arduino Uno 109 7.7 Projet 5 : régulateur de température de type ON-OFF sur Raspberry Pi 4 113 Chapitre 8 • Régulation de température de type PID sur Raspberry Pi......... 124 8.1 Aperçu ..................................................... 124 8.2 Projet 1 : mesure de température avec une thermistance.................. 124 8.3 Projet 2 : réponse temporelle à un échelon d’un système en boucle ouverte 128 8.4 Projet 3 : régulation de température de type PI ........................ 137 8.5 Projet 4 : régulation de température de type PID ....................... 143 8.6 Utilisation du simulateur de boucle PID .............................. 149 Chapitre 9 • Régulation de température de type PID sur Arduino Uno ......... 151 9.1 Aperçu 151 9.2 Projet 1 : mesure de température avec une thermistance.................. 151 9.3 Projet 2 : régulation de température de type PID ....................... 153 9.4 Projet 3 : régulation de température de type PID cadencée par des interruptions sur Arduino Uno ........................................ 159 9.5 Projet 4 : régulation de température de type PID avec bibliothèque PID sur Arduino Uno ................................................. 162 Chapitre 10 • Pilotage de moteurs à courant continu avec Arduino et Raspberry Pi........................................... 168 10.1 Aperçu . . . . . . . . . . . . . . . . . . . . . . . . . . . . . . . . . . . . . . . . . . . . . . . . . . . . 168 10.2 Types de moteurs électriques 168 10.3 Moteurs à courant continu à balais 169 10.3.1 Moteurs BDC à aimants permanents ........................... 170 10.3.2 Moteurs BDC à enroulement en série ........................... 170 10.3.3 Moteurs BDC à enroulement en dérivation . . . . . . . . . . . . . . . . . . . . . . . 171 10.3.4 Moteurs BDC à enroulement composé 171 10.3.5 Moteurs BDC à excitation séparée ............................. 172
Régulation PID par la pratique ● 8 10.3.6 Servomoteurs ........................................... 172 10.3.7 Moteurs pas-à-pas 173 10.4 Moteurs à courant continu sans balais 174 10.5 Choix du moteur ............................................. 174 10.6 Fonction de transfert d’un moteur à courant continu à balais .............. 174 10.7 Moteur à courant continu utilisé dans les projets 177 10.8 Projet 1 : pilotage de la vitesse et du sens de rotation d’un moteur avec un circuit intégré à pont en H ........................................ 179 10.9 Projet 2 : affichage de la vitesse du moteur avec Arduino Uno 186 10.10 Projet 3 : affichage de la vitesse du moteur sur écran LCD avec Arduino Uno .. 190 10.11 Projet 4 : affichage de la vitesse du moteur avec Raspberry Pi ............ 193 10.12 Projet 5 : affichage de la vitesse du moteur sur un écran LCD avec Raspberry Pi .................................................... 195 10.13 Projet 6 : caractérisation d’un moteur à courant continu avec Raspberry Pi .... 198 10.14 Projet 7 : régulation PID de la vitesse du moteur avec Raspberry Pi 200 10.15 Projet 8 : régulation PID de la vitesse du moteur avec Arduino Uno 204 Chapitre 11 • Surveillance de niveau d’eau .............................. 209 11.1 Aperçu . . . . . . . . . . . . . . . . . . . . . . . . . . . . . . . . . . . . . . . . . . . . . . . . . . . . 209 11.2 Module émetteur-récepteur à ultrasons ............................. 209 11.3 Projet 1 : mesure de distance avec un module à ultrasons HC-SR04 et Arduino Uno .................................................... 209 11.4 Projet 2 : mesure de la distance avec un module à ultrasons HC-SR04 et Raspberry Pi .................................................... 213 11.5 Projet 3 : réponse à un échelon avec Raspberry Pi 216 11.6 Projet 4 : régulation de type PID du niveau d’eau avec Raspberry Pi ......... 220 11.7 Projet 5 : régulation de type PID du niveau d’eau avec Arduino Uno ......... 226 Chapitre 12 • Régulation de type PID pour piloter la luminosité de LED........ 231 12.1 Aperçu 231 12.2 Projet 1 : réponse temporelle d’un système de commande de luminosité d’une LED avec Raspberry Pi 231 12.3 Projet 2 : régulation de type PID de la luminosité d’une LED avec Raspberry Pi 235 12.4 Projet 3 : régulation de type PID de la luminosité d’une LED avec Arduino Uno .. 240 12.5 Projet 4 : régulation de type PID de la luminosité d’une LED avec une bibliothèque Arduino Uno ........................................... 243 Index 246

Avant-propos

Les microcontrôleurs sont des circuits intégrés très populaires, couramment utilisés dans de nombreuses applications de surveillance et de commande électroniques, que ce soit dans le domaine industriel et commercial ou encore domestique. On estime que dans les pays développés, il y a plus de cinquante microcontrôleurs dans chaque foyer. Les appareils domestiques qui contiennent des microcontrôleurs sont les fours à micro-ondes, les imprimantes, les claviers, les ordinateurs, les tablettes, les lave-linge, les lave-vaisselle, les téléviseurs, les smartphones et bien d’autres encore.

Arduino Uno est une plateforme de développement à microcontrôleur, à code source ouvert, comprenant du matériel, un environnement de développement intégré (EDI) et un grand nombre de bibliothèques. Arduino Uno est soutenu par une large communauté de programmeurs, d’ingénieurs en électronique, de passionnés et d’universitaires. Il existe de nombreuses variantes de la carte Arduino Uno originale. Bien qu’elles soient destinées à différents types d’applications, elles peuvent toutes être programmées avec le même EDI et, en général, les programmes peuvent être transférés d’une carte à l’autre. C’est peutêtre l’une des raisons de la popularité de la famille Arduino. En outre l’environnement Arduino Uno est complété par un très grand nombre de bibliothèques logicielles pour de nombreux périphériques qui peuvent facilement être pris en compte dans les programmes. Ces bibliothèques font de la programmation un jeu d’enfant et raccourcissent le temps passé au développement. L’utilisation de bibliothèques facilite également le test des programmes, car la plupart d’entre elles sont livrées entièrement testées et fonctionnelles.

Le Raspberry Pi 4 est l’une des dernières versions du célèbre nano-ordinateur. Il peut être utilisé dans de nombreuses applications telles que des centres multimédias audio et vidéo, des ordinateurs de bureau, des régulateurs industriels, des robots, des jeux et de nombreuses applications domestiques et commerciales. En plus des fonctions des autres nano-ordinateurs Raspberry Pi, le Raspberry Pi 4 est également doté de la connectivité Wi-Fi et Bluetooth, ce qui le rend très intéressant pour les applications de commande et de surveillance à distance, via l’internet.

Ce livre traite de l’utilisation du Raspberry Pi 4 et de l’Arduino Uno dans des applications de régulation avec l’algorithme PID. Le livre commence par la théorie de base sur les systèmes de régulation en boucle ouverte et en boucle fermée. Des projets fonctionnels et testés sont proposés pour piloter des systèmes réels avec des régulateurs PID. La réponse temporelle en boucle ouverte, le réglage des paramètres PID et la réponse temporelle en boucle fermée des systèmes présentés sont expliqués en détail avec les schémas fonctionnels, les câblages des circuits, les algorithmes des régulateurs PID et les listings complets des programmes pour le Raspberry Pi et l’Arduino Uno. Les projets présentés dans ce livre devraient permettre d’enseigner la théorie et les applications des régulateurs PID. Ils peuvent être facilement modifiés pour d’autres applications. Les projets donnés pour le Raspberry Pi 4 devraient fonctionner avec tous les autres modèles de la famille Raspberry Pi.

Les lecteurs sont censés avoir une certaine expérience de la programmation de l’Arduino Uno avec l’EDI Arduino. Il en va de même pour le Raspberry Pi avec le langage de pro-

● 9

Régulation PID par la pratique

grammation Python 3. La connaissance des composants électroniques usuels ainsi que des notions de mathématiques élémentaires seront également utiles.

Tous les programmes présentés dans le livre sont contenus dans un fichier d’archive que vous pouvez télécharger gratuitement sur le site web d’Elektor.

Rendez-vous sur : www.elektor.fr/books et entrez le titre du livre dans le champ de recherche.

J’espère que vous prendrez plaisir à lire ce livre et qu’à la fin, vous en saurez plus sur la théorie et les applications pratiques des régulateurs PID.

10
Dogan Ibrahim Londres, 2022

Chapitre 1 • Asservissement

1.1 Boucle ouverte et boucle fermée

Les techniques d’asservissement couvrent tous les aspects de la gestion d’un système dynamique, également appelé installation ou process. Une installation peut être un système mécanique, un système électrique, un système thermique, un système fluidique ou une combinaison de ces systèmes.

Une installation peut avoir une ou plusieurs entrées et une ou plusieurs sorties. Le comportement dynamique d’une installation est décrit par des équations différentielles. Si nous connaissons le modèle (ou les équations différentielles) ainsi que les signaux d’entrée et les conditions initiales d’une installation, nous pouvons facilement calculer ses signaux de sortie. En général, une installation est un système à temps continu dont les entrées et les sorties sont également continues dans le temps. Par exemple, un moteur électromagnétique est une installation à temps continu dont l’entrée (par exemple la tension ou le courant) et la sortie (par exemple la vitesse ou la position) sont également continues dans le temps.

Les techniques d’asservissement sont basées sur plusieurs théories : modélisation des systèmes, rétroaction, réponse des systèmes et stabilité. Par conséquent, les techniques d’asservissement ne sont pas limitées à une seule discipline d’ingénierie, mais s’appliquent également à différents domaines techniques : mécanique, chimie, aéronautique, génie civil et électrotechnique.

Une installation est normalement un système en boucle ouverte (figure 1.1) dans lequel un actionneur sert à commander directement l’installation sans appliquer de rétroaction. Par exemple, un moteur est censé tourner lorsqu’une tension est appliquée sur ses bornes d’entrée, mais nous ne savons pas de combien le moteur tourne puisque nous ne connaissons pas sa sortie. Si l’arbre du moteur est chargé et que le moteur ralentit, nous n’en savons rien. Comme le montre la figure 1.1, une installation peut également subir des perturbations externes qui affectent son comportement et, dans un système en boucle ouverte, il n’y a aucun moyen de connaître ou de minimiser ces perturbations.

Contrairement à ce qui se passe dans un système de commande en boucle ouverte, dans un système en boucle fermée (figure 1.2), la sortie réelle de l’installation est mesurée et comparée à ce que nous aimerions voir en sortie. La mesure de la sortie est appelée

Chapitre 1 • Asservissement ● 11
Figure 1.1 : système en boucle ouverte.

Régulation PID par la pratique

signal de retour. La différence entre la valeur de sortie souhaitée (consigne) et la valeur de sortie réelle est appelée signal d’erreur. Le signal d’erreur est utilisé pour forcer la sortie du système à un point de fonctionnement tel que la consigne et la valeur de sortie réelle sont égales, c’est-à-dire que le signal d’erreur est nul. L’un des avantages de la commande en boucle fermée, ou commande par rétroaction, est sa capacité à compenser les perturbations et à produire une sortie correcte même en présence de perturbations. En outre, la sortie de l’installation se stabilise et reste à la valeur souhaitée. Par exemple, dans un système de commande de la vitesse d’un moteur, la vitesse du moteur reste la même lorsqu’une charge est appliquée sur l’arbre du moteur. Généralement on utilise un régulateur pour lire le signal d’erreur et piloter l’installation de telle manière que l’erreur tende vers zéro.

Les capteurs sont des dispositifs qui mesurent la sortie de l’installation. Par exemple, une thermistance est un capteur utilisé pour mesurer la température et peut être installée dans un système de commande thermique en boucle fermée. De même, un tachymètre ou un codeur peuvent servir à mesurer la vitesse de rotation d’un moteur et être employés dans des applications de pilotage de la vitesse d’un moteur en boucle fermée. Notez que dans les systèmes électriques, un amplificateur de puissance peut être nécessaire après le convertisseur numérique-analogique pour piloter l’installation.

Comme vous le découvrirez dans un chapitre ultérieur, la plupart des capteurs sont des dispositifs analogiques fournissant des signaux de sortie analogiques en tension ou courant. Ces capteurs peuvent être utilisés directement dans des systèmes analogiques où les entrées, le régulateur, l’installation et les sorties traitent tous des variables analogiques.

1.2 Microcontrôleur dans la boucle

De nos jours, pratiquement tous les systèmes asservis sont basés sur un microcontrôleur, qui est utilisé comme dispositif de commande central. Certains capteurs (température, pression, humidité, etc.) fournissent des signaux de sortie numériques et peuvent être connectés directement à un microcontrôleur. Les capteurs analogiques ne peuvent pas être reliés directement à un microcontrôleur. Un convertisseur analogique-numérique (CA/N) est nécessaire pour convertir le signal analogique du capteur en signal numérique afin qu’il puisse être appliqué à un microcontrôleur.

La figure 1.3 montre un système asservi numérique dans lequel l’entrée et la sortie du capteur sont supposées être analogiques. Un CA/N convertit périodiquement le signal d’erreur en signal numérique et l’envoie à un régulateur numérique qui est généralement un microcontrôleur. Le microcontrôleur met en œuvre un algorithme de régulation (par exemple de type PID) et son signal de sortie est converti en signal analogique à l’aide d’un

12
Figure 1.2 : système en boucle fermée.
entrée sortie écart régulateur installation capteur rétroaction

convertisseur numérique-analogique (CN/A) afin qu’il puisse piloter l’installation pour régler la sortie de l’installation sur la valeur souhaitée.

installation microcontrôleur CA/N CN/A

entrée sortie capteur

La figure 1.4 présente le schéma fonctionnel d’un système asservi numérique dans lequel le CA/N est représenté sous la forme d’un échantillonneur. La plupart des microcontrôleurs intègrent des modules CA/N et CN/A et ceux-ci sont représentés comme faisant partie du microcontrôleur sur la figure 1.4.

microcontrôleur

algorithme de régulation

entrée sortie CN/A installation capteur

Sur la figure 1.4, l’entrée et la sortie du capteur sont des signaux analogiques. Une variante de ce système est illustrée à la figure 1.5, où l’entrée est numérique ; soit elle est codée en dur dans le logiciel du microcontrôleur, soit elle est saisie à l’aide d’un dispositif d’entrée approprié, tel qu’un clavier. Ici, on se sert d’un capteur à sortie numérique, directement connecté au microcontrôleur.

entrée

clavier sortie capteur

microcontrôleur CN/A installation

La figure 1.6 montre un système analogique typique de contrôle de la vitesse. Ici, la consigne de vitesse est réglée à l’aide d’un potentiomètre. La vitesse du moteur est mesurée avec un tachymètre et envoyée à un amplificateur différentiel. La sortie de cet amplificateur est le signal d’erreur qui est transmis à un régulateur analogique composé d’amplificateurs opérationnels. La sortie du régulateur pilote le moteur à travers un amplificateur de puissance pour atteindre la vitesse souhaitée.

Chapitre 1 • Asservissement ● 13
Figure 1.3 : système asservi numérique. Figure 1.4 : schéma fonctionnel d’un système asservi numérique. Figure 1.5 : une autre variante de l’asservissement numérique.

amplificateur différentiel

régulateur moteur

amplificateur de puissance

compte-tours

potentiomètre

La figure 1.7 montre l’équivalent numérique de la figure 1.6. Ici, un codeur numérique mesure la vitesse du moteur et celle-ci est transmise au microcontrôleur avec la consigne de vitesse, qui est réglée à l’aide d’un clavier. Le microcontrôleur met en œuvre l’algorithme d’asservissement et envoie son signal de sortie à l’amplificateur de puissance sous la forme d’un signal modulé en largeur d’impulsion (MLI). Ce signal MLI est alors appliqué au moteur pour régler sa vitesse à la valeur souhaitée.

Puisqu’une installation peut être pilotée avec des signaux analogiques, vous pourriez être tenté de demander : « Pourquoi utiliser un régulateur numérique ? » Dans les années 1960, les ordinateurs et les microcontrôleurs étaient des appareils encombrants et très chers, et leur utilisation comme régulateurs numériques n’était pas justifiée. Ils n’étaient utilisés que dans les grandes installations coûteuses, telles que les grands sites de traitement chimique ou les raffineries de pétrole. Depuis l’introduction des microcontrôleurs dans les années 1970, le prix et la taille des régulateurs numériques ont considérablement diminué. Cette évolution, ainsi que la baisse du prix d’autres composants numériques tels que les mémoires, ont fait monter en flèche l’intérêt pour l’utilisation du régulateur numérique au cours des dernières décennies.

Les régulateurs numériques présentent plusieurs avantages par rapport aux analogiques :

• Interface utilisateur améliorée. Les régulateurs numériques peuvent afficher les paramètres et la réponse du système sous forme graphique sur un moniteur.

• Les régulateurs numériques peuvent être configurés pour être adaptatifs. Des algorithmes de régulation complexes peuvent être facilement mis en œuvre à l’aide de régulateurs numériques.

• Le coût des régulateurs numériques est inférieur à celui des analogiques, surtout s’il faut ajouter au système des boucles de régulation supplémentaires.

Régulation PID par la pratique ● 14
Figure 1.6 : système analogique de contrôle de la vitesse. Figure 1.7 : système asservi numérique pour la vitesse. clavier entrée microcontrôleur CN/A amplificateur de puissance moteur codeur

• Les régulateurs numériques sont faciles à régler. Il suffit de modifier les paramètres pertinents dans le logiciel.

• Les régulateurs numériques sont plus fiables que les analogiques et ne sont pas affectés par des facteurs environnementaux tels que le vieillissement des composants, les tolérances des composants, etc.

• Les régulateurs numériques peuvent être facilement modifiés par logiciel. En revanche, la modification d’un régulateur analogique nécessite généralement un nouveau câblage ou l’utilisation de composants différents ou supplémentaires.

• Presque tous les régulateurs analogiques ont été remplacés au fil du temps par des numériques.

1.3 Conception du système asservi

La conception d’un système asservi est un processus d’ingénierie qui doit être réalisé de manière systématique. Les principales étapes de la conception d’un système asservi physique peuvent être résumées comme suit :

• Définir les entrées et sorties du système

• Définir la variable à commander

• Déduire un modèle mathématique (équations différentielles) du système

• Décider de l’utilisation d’un régulateur analogique ou numérique

• Choisir un capteur approprié

• Choisir un microcontrôleur (en cas de commande numérique)

• Choisir d’autres composants tels qu’alimentation, amplificateur opérationnel, amplificateur de puissance, etc.

• Dessiner un schéma fonctionnel du système

• Décrire le régulateur à utiliser et élaborer l’algorithme d’asservissement

• Ajuster les paramètres du régulateur choisi

• Simuler le système global (si des outils de simulation tels que MATLAB sont disponibles)

• Assembler le système et observer son comportement. Si la réponse du système est conforme aux attentes, le projet est terminé. Si, en revanche, le système ne se comporte pas comme prévu, il faut revenir en arrière pour choisir un régulateur différent ou pour réajuster les paramètres du régulateur, refaire la simulation et les essais.

Chapitre 1 • Asservissement ● 15

Chapitre 2 • Capteurs

2.1 Capteurs dans la régulation par ordinateur

Les capteurs sont des éléments importants de tous les systèmes en boucle fermée. Un capteur est un dispositif qui émet un signal lié à la mesure (c’est-à-dire en fonction) d’une grandeur physique, telle que la température, l’humidité, la vitesse, la force, la vibration, la pression, le déplacement, l’accélération, le couple, le débit, la lumière ou le son. Les capteurs sont utilisés dans les systèmes en boucle fermée, dans les boucles de rétroaction, et ils fournissent des informations sur la sortie réelle de l’installation à laquelle ils sont reliés. Par exemple, un capteur de vitesse émet un signal proportionnel à la vitesse d’un moteur et ce signal est soustrait de l’entrée de référence de la vitesse souhaitée afin d’obtenir le signal d’erreur. De même, un capteur de niveau de liquide émet un signal proportionnel au niveau de liquide dans un récipient. Un tel capteur est utilisé pour surveiller le niveau d’un liquide.

Les capteurs peuvent être divisés en deux groupes : les modèles capteur analogique et les modèles capteur numérique. Les capteurs analogiques sont largement utilisés et leurs sorties sont des signaux analogiques (par exemple, tension ou courant) proportionnels à la quantité physique à mesurer. La plupart des variables environnementales dans le monde sont analogiques par nature, par exemple la température, l’humidité, la pression, etc. Un capteur de température analogique fournit une tension analogique directement proportionnelle à la température mesurée. Les capteurs analogiques ne peuvent être connectés aux microcontrôleurs qu’à l’aide de convertisseurs analogiques-numériques (CA/N).

Les capteurs numériques ne sont pas très courants et ils fournissent des signaux de sortie numériques, à savoir un niveau logique ; ils peuvent être directement connectés à un ordinateur. L’avantage d’utiliser des capteurs numériques est qu’ils sont plus précis et plus stables que les capteurs analogiques et qu’ils peuvent être directement reliés à un ordinateur. Les capteurs numériques ont également tendance à être plus chers que leurs équivalents analogiques.

Le choix d’un capteur pour une application particulière dépend de plusieurs facteurs tels que la disponibilité, le coût, l’exactitude, la précision, la résolution, la gamme et la linéarité du capteur. Certains paramètres importants liés aux capteurs sont décrits ci-dessous.

Gamme : la gamme ou plage d’un capteur spécifie les valeurs limites supérieure et inférieure qu’il peut mesurer. Par exemple, si la plage d’un capteur de température est spécifiée comme étant comprise entre 10 et 60 ºC, le capteur ne doit être utilisé que pour mesurer des températures comprises dans cette plage.

Résolution : la résolution d’un capteur est définie comme la plus grande variation de la valeur mesurée qui n’entraînera pas de modification de la sortie du capteur, c’est-à-dire que la valeur mesurée peut varier de la quantité indiquée par la résolution avant que cette variation ne soit détectée par le capteur. En général, plus cette valeur est petite, meilleur est le capteur, et les capteurs à large plage ont une résolution plus faible. Par exemple, un capteur de température avec une résolution de 0,01 ºC est meilleur qu’un capteur avec une résolution de 0,1 ºC.

Régulation PID par la pratique ● 16
Chapitre 2 • Capteurs

Sensibilité : la sensibilité d’un capteur est définie comme la pente de la courbe caractéristique de sortie. Plus généralement, il s’agit de la variation minimale d’une grandeur physique qui créera un changement de sortie détectable Par exemple, un capteur de température typique peut avoir une sensibilité de 1 ºC. Cela signifie que la tension de sortie ne changera pas si le changement de température est inférieur à 1 ºC.

Précision : la précision d’un capteur est la différence maximale qui existe entre la valeur réelle et la valeur indiquée à la sortie du capteur. La précision peut être exprimée en pourcentage de la pleine échelle ou en termes absolus.

Répétabilité : la répétabilité d’un capteur est la variation des valeurs de sortie à laquelle on peut s’attendre lorsque le capteur mesure la même quantité physique dans les mêmes conditions. Par exemple, si la tension d’une résistance est mesurée plusieurs fois au même moment, on peut obtenir des résultats légèrement différents.

Linéarité : un capteur idéal devrait avoir une fonction de transfert linéaire, c’est-à-dire que la sortie du capteur devrait être exactement proportionnelle à la valeur mesurée. Par exemple, la sortie du capteur de température LM35 est linéaire et est spécifiée à 10 mV/ºC. À 10 ºC, la tension de sortie est de 100 mV ; à 20 ºC, elle est de 200 mV et ainsi de suite. Dans la pratique, tous les capteurs présentent une certaine non-linéarité en fonction des tolérances de fabrication et des conditions de mesure.

Offset : l’offset (ou décalage) d’un capteur est définie comme la valeur de sortie présente alors même que la grandeur d’entrée est nulle. Par exemple, la sortie d’un capteur de force devrait être nulle si aucune force n’est appliquée au capteur.

Réponse dynamique : la réponse dynamique d’un capteur spécifie les limites des caractéristiques du capteur lorsque celui-ci est soumis à une variation de fréquence sinusoïdale. Par exemple, la réponse dynamique d’un microphone peut être exprimée sous forme de largeur de bande à 3 dB de sa réponse en fréquence.

Temps de réponse : les capteurs ne modifient pas leur état de sortie immédiatement lorsqu’un changement de paramètre d’entrée se produit. Par exemple, un capteur de température ne donne pas une nouvelle lecture dès que la température change, mais il faut un certain temps avant que la sortie ne change. Le temps de réponse peut être exprimé en microsecondes, millisecondes ou secondes, selon le capteur utilisé. Dans la plupart des applications, on préfère les capteurs avec un temps de réponse court, bien que plus coûteux.

Autoéchauffement : les températures internes de certains capteurs peuvent augmenter lorsqu’ils sont utilisés en continu pendant de longues périodes, c’est que l’on appelle l’autoéchauffement. L’autoéchauffement n’est pas souhaitable car il peut entraîner une modification de la sortie du capteur. Par exemple, un capteur de température qui présente un autoéchauffement peut fournir des résultats erronés et fluctuants s’il fonctionne pendant une longue période.

Chapitre 2 • Capteurs ● 17

Taille physique : la taille physique d’un capteur peut être importante dans certaines applications. Les utilisateurs doivent vérifier les dimensions d’un capteur avant d’envisager son utilisation.

Tension de fonctionnement : il s’agit également d’un facteur important à prendre en compte avant d’utiliser un capteur. La tension de fonctionnement, ainsi que les tensions minimale et maximale qui peuvent être appliquées au capteur, doivent être connues avant sa mise en œuvre. Par exemple, si la tension de fonctionnement spécifiée est de +3,3 V, il ne faut pas dépasser cette valeur.

Dans la suite de ce chapitre, nous aborderons le fonctionnement et les caractéristiques de certains capteurs courants.

2.2 Capteurs de température

La température est l’une des variables physiques fondamentales dans la plupart des applications liées à la chimie. La mesure précise et fiable de la température est importante dans toutes les applications de contrôle des process. Le choix d’un capteur de température dépend de la précision requise, de la plage de température à surveiller, du temps de réponse, du coût et de l’environnement dans lequel il sera utilisé (par exemple chimie, génie électrique, mécanique, écologie, etc.) Les capteurs de température sont disponibles en version analogique ou numérique. Les deux types de capteurs sont décrits brièvement dans les sections suivantes.

2.2.1 Capteurs de température analogiques

Les capteurs de température analogiques les plus couramment utilisés sont les thermocouples, les sondes à résistance (Resistance Temperature Detector, RTD), les thermistances et les capteurs sous forme de puces (circuits intégrés). Le tableau 2.1 présente les caractéristiques de base des différents types de capteurs de température analogiques.

Tableau 2.1 : capteurs de température analogiques.

Thermocouples

Les thermocouples (figure 2.1) sont les mieux adaptés aux mesures de températures très basses ou très élevées. Ils présentent l’avantage d’être peu coûteux, très robustes et de pouvoir être utilisés dans des environnements chimiquement agressifs. La précision typique d’un thermocouple est de ±1 ºC. Les capteurs de température à thermocouple peuvent être fabriqués dans différents matériaux conducteurs pour différentes plages de température et caractéristiques de sortie. Le type d’un thermocouple est identifié par une lettre de l’alphabet. La figure 2.1 présente les plages de température des différents thermocouples. Notez

18
Régulation PID par la pratique ●
Capteur Plage de température (ºC) Précision (± ºC) Coût Robustesse Thermocouple −270 à +2600 1 Faible Très élevée Sonde à résistance −200 à +600 0,2 Moyen Haute Thermistance −50 à +200 0,2 Faible Moyenne Circuit intégré −40 à +125 1 Faible Faible

qu’un code de couleur des conducteurs sert à identifier les thermocouples. Les matériaux utilisés pour fabriquer les thermocouples sont illustrés à la figure 2.2. Par exemple, l’un des thermocouples bon marché les plus couramment utilisés est le type K, constitué d’une jonction chromel/alumel, identifié par un conducteur de couleur verte, et dont la plage de température s’étend de −180 ºC à +1300 ºC.

Pour obtenir la température d’un thermocouple, on utilise généralement un amplificateur de thermocouple. La température fournie par l’amplificateur dépend de la tension de la jonction de référence. La tension à la jonction de référence dépend de la différence de température entre le point de soudure froide et le point de soudure chaude. Par conséquent, vous devez connaître la température à la jonction de référence. Le module amplificateur de thermocouple MAX6675 (figure 2.3) est livré avec un capteur de température intégré

Chapitre 2 • Capteurs ● 19
Figure 2.1 : types de thermocouples. Figure 2.2 : matériaux utilisés dans différents thermocouples.

Régulation PID par la pratique

pour mesurer la température au point de soudure froide et amplifie également la petite tension du thermocouple à la jonction de référence afin que vous puissiez la lire à l’aide d’un microcontrôleur.

Les thermocouples sont disponibles sous différentes formes. Certains capteurs sont équipés de fiches à deux pôles pour faciliter le raccordement à un appareil de mesure. La figure 2.4 présente quelques-uns des thermocouples les plus courants.

Sondes à résistance

Les sondes à résistance (ou capteurs à résistance thermométrique) sont des capteurs dont la résistance varie en fonction de la température. La résistance augmente avec la température du capteur. La relation entre la résistance et la température est bien connue et reproductible dans le temps. Les sondes à résistance sont des dispositifs passifs qui ne produisent aucun signal de sortie. En général, leur résistance est mesurée en faisant passer un petit courant électrique à travers elle et en mesurant ensuite la tension à leurs bornes. Il faut veiller à ne pas faire passer de courants élevés, car la sonde risque de s’échauffer. En règle générale, la sonde est traversée par un courant de 1 mA ou moins. La figure 2.5 présente quelques sondes à résistance. Elles ont une excellente précision sur une large gamme de températures et certaines d’entre elles ont une précision supérieure à 0,001 ºC. Un autre avantage des sondes à résistance est que leur dérive est inférieure à 0,1 ºC par an.

20
Figure 2.3 : module amplificateur de thermocouple MAX6675. Figure 2.4 : quelques thermocouples.

Pour obtenir une stabilité et une précision élevées, les sondes à résistance doivent être exemptes de contamination. En dessous de 250 ºC, la contamination n’est pas un problème, mais au-delà de cette température, des techniques de fabrication spéciales sont utilisées pour minimiser la contamination. Les sondes à résistance sont généralement fabriquées sous deux formes : bobinée ou à couche mince. Les sondes à résistance de type bobiné sont fabriquées en enroulant un fil de platine très fin autour d’un matériau non conducteur jusqu’à l’obtention de la résistance requise. Les sondes à résistance à couche mince sont fabriquées en déposant une couche de platine sous forme d’un motif de résistance sur un substrat en céramique. La norme des sondes à résistance la plus couramment utilisée est la norme CEI 751, basée sur le platine avec une résistance de 100 Ω à 0 ºC.

Pour une précision élevée, il est recommandé d’utiliser un module convertisseur « sonde à résistance/numérique » comme le MAX31865 (figure 2.6). Cette puce est optimisée pour les sondes à résistance en platine. Une résistance de référence précise permet de définir la sensibilité de la sonde. Un CA/N intégré renvoie sous forme numérique le rapport entre la résistance de la sonde et la résistance de référence. En connaissant la résistance de référence, vous pouvez facilement calculer la résistance de la sonde et donc la température mesurée, soit à partir de tableaux avec des paires « résistance-température », soit en utilisant la fonction d’une bibliothèque.

Chapitre 2 • Capteurs ● 21
Figure 2.5 : quelques sondes à résistance. Figure 2.6 : module convertisseur « sonde à résistance/signal numérique » MAX31865.

Thermistances

Le terme thermistance dérive des mots « thermique » et « résistance ». Les thermistances sont des semi-conducteurs passifs, sensibles à la température : leur résistance électrique varie fortement lorsqu’elles sont soumises à une faible variation de température. Les thermistances sont fabriquées dans une grande variété de tailles et de formes (figure 2.7). Les perles, les disques, les rondelles, les plaquettes et les puces sont les types de thermistances les plus couramment utilisés.

Les thermistances sont généralement disponibles en deux types : coefficient de température négatif (CTN) et coefficient de température positif (CTP). Les thermistances à CTP sont généralement utilisées dans les circuits de puissance pour la protection contre les courants d’appel. Les thermistances à CTN présentent de nombreuses caractéristiques intéressantes pour la mesure de la température. Leur résistance électrique diminue avec l’augmentation de la température (figure 2.8) et la relation résistance-température n’est pas très linéaire. La résistance d’une thermistance est référencée à 25 ºC et, pour la plupart des applications, la résistance à cette température est comprise entre 100 Ω et 100 kΩ.

● 22
Régulation PID par la pratique
Figure 2.7 : différentes formes de thermistances. Figure 2.8 : caractéristique R/T typique d’une thermistance.

Les avantages des thermistances à CTN sont les suivants :

Sensibilité : l’un des avantages des thermistances par rapport aux thermocouples et aux sondes à résistance est leur forte variation de résistance en fonction de la température, typiquement −5% par ºC.

Petite taille : les thermistances sont très petites, ce qui leur permet de réagir très rapidement aux changements de température. Cette caractéristique est très importante dans les systèmes de régulation de température où une réponse rapide peut être requise.

Robustesse : la plupart des thermistances sont robustes et supportent mieux les chocs mécaniques et thermiques ainsi que les vibrations que les autres types de capteurs de température.

Mesure à distance : les thermistances peuvent être utilisées pour mesurer la température à des endroits éloignés grâce à de longs câbles, car la résistance d’un long câble est insignifiante par rapport à la résistance relativement élevée d’une thermistance.

Petit prix : les thermistances sont moins chères que la plupart des autres types de capteurs de température.

Interchangeabilité : les thermistances peuvent être fabriquées avec des tolérances très étroites. Par conséquent, il est possible de les remplacer sans avoir à recalibrer le système de mesure.

Les thermistances peuvent souffrir de problèmes d’autoéchauffement en raison du courant qui les traverse. Lorsqu’une thermistance s’échauffe, la valeur de la résistance diminue par rapport à sa valeur réelle, ce qui entraîne des erreurs dans la température mesurée. Il est donc important de réduire au minimum le courant électrique qui traverse une thermistance.

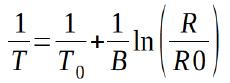
Les thermistances peuvent être utilisées dans des circuits en série avec une résistance fixe précise et connue. En mesurant la tension aux bornes de la thermistance, vous pouvez calculer sa résistance. Il est également possible de concevoir des circuits à courant constant, à pont ou à amplificateur opérationnel pour mesurer la résistance d’une thermistance. Après avoir trouvé la résistance d’une thermistance, vous pouvez calculer la température à l’aide de tableaux (si disponibles) ou d’une fonction de bibliothèque (si disponible), ou utiliser l’équation standard de Steinhart-Hart donnée ci-dessous :

Chapitre 2 • Capteurs ● 23
ou

Où T0 est la température ambiante en K (298,15), B est la constante de température de la thermistance, R0 est la résistance de la thermistance à température ambiante, et R est la résistance mesurée de la thermistance.

Un exemple est donné ci-dessous.

Exemple

La constante de température d’une thermistance est B = 2910. De plus, sa résistance à la température ambiante (25 ºC) est de 1 kΩ. Cette thermistance est montée dans un circuit pour mesurer la température et on constate que la résistance de la thermistance est de 800 Ω. Calculez la température mesurée.

Solution

Ici, vous savez que B = 2910, T0 = 298,15, R = 800 Ω et R0 = 1000 Ω

Kelvin

ou T = 310,24 − 273,15 = 37,09 ºC

Circuits intégrés

Les capteurs analogiques à circuit intégré sont des dispositifs à semi-conducteur. Ils diffèrent des autres capteurs par certains aspects fondamentaux :

• Leur taille est relativement petite.

• Leurs sorties sont linéaires.

• La plage de température est relativement limitée.

• Leur coût est relativement faible.

• Ils n’ont souvent pas de bons contacts thermiques avec le monde extérieur et, par conséquent, il est généralement plus difficile de les utiliser autrement que pour mesurer la température de l’air.

• Une alimentation est nécessaire pour faire fonctionner ces capteurs.

Le capteur de température à circuit intégré analogique peut être à sortie en tension ou en courant. Dans cette section, nous examinons les caractéristiques de quelques capteurs couramment utilisés.

LM35DZ

Il s’agit d’un capteur de température populaire à trois broches (figure 2.9) dont la tension de sortie est linéaire, avec une pente de 10 mV/ºC. Par exemple, à 10 ºC la tension de sortie est de 100 mV, à 20 ºC elle est de 200 mV et ainsi de suite. Ce capteur a une plage de température de 0 ºC à +100 ºC (la version CZ de ce capteur a une plage de température plus large, −20 ºC à +120 ºC). La précision de ce capteur est de ±1,5 ºC et la tension de fonctionnement est comprise entre 4 et 30 V.

Régulation PID par la pratique ●

24

Le LM34 est similaire au LM35DZ, mais il mesure en degrés Fahrenheit. Les LM134, AD590 et AD592 sont des capteurs de température à sortie en courant dont l’intensité est directement proportionnelle à la température mesurée. Par exemple, la pente pour le signal de sortie de l’AD590 (figure 2.10

TMP36

Il s’agit d’un autre capteur de température à circuit intégré analogique très répandu. La taille et la configuration du capteur sont identiques à celles de la figure 2.9. La sortie du TMP36 est linéaire par rapport à la température mesurée, donnée par la formule : Vo – 500 / 10, où Vo est la tension de sortie du capteur en millivolts.

2.2.2 Capteurs de température numériques

Ces capteurs produisent des signaux de sortie numériques et peuvent donc être directement reliés à des microcontrôleurs. Les signaux de sortie ne sont pas standard et la température mesurée peut être calculée par logiciel à l’aide d’un algorithme approprié. Le tableau 2.2 donne une liste de quelques capteurs de température à sortie numérique courants.

Tableau 2.2 : quelques

de température à sortie numérique.

Chapitre 2 • Capteurs ● 25
Figure 2.9 : capteur de température LM35DZ. Figure 2.10 : capteur de température AD590.
Capteur Sortie Erreur maximale Plage de température LM75 I2C ±3 ºC −55 ºC à +125 ºC TMP03 MLI ±4 ºC −25 ºC à +100 ºC DS18B20 1 wire ±0,5 ºC −55 ºC à +125 ºC AD7814 SPI ±2 ºC −55 ºC à +125 ºC MAX6575 1 wire ±0,8 ºC −40 ºC à +125 ºC DHT11 série, 1 wire ±2 ºC 0 ºC à +50 ºC DHT22 série, 1 wire ±0,5 ºC −40 ºC à +80 ºC
capteurs

Régulation PID par la pratique

DHT11 et DHT22 (figure 2.11) sont des capteurs à sortie numérique à trois bornes très populaires. Ces deux composants peuvent mesurer la température et l’humidité relative. Des bibliothèques Arduino et Raspberry Pi sont disponibles pour ces deux capteurs afin de lire facilement les données de température et d’humidité.

2.3 Capteurs de position

Les capteurs de position sont utilisés pour mesurer la position d’objets en mouvement. On en trouve essentiellement de deux types : ceux qui mesurent les mouvements linéaires et ceux qui mesurent les mouvements angulaires.

Potentiomètre

Le capteur de position le plus simple est le potentiomètre. Deux types de potentiomètres sont disponibles : linéaire ou rotatif. Dans une application typique, on applique une tension fixe aux bornes du potentiomètre et on mesure la tension sur le curseur. Cette tension est proportionnelle à la position du curseur, sa mesure permet donc de connaître la position du curseur. La figure 2.12 montre un potentiomètre linéaire. Si la tension appliquée est Vi, la tension aux bornes du curseur est donnée par :

Va = k Vi y

où y est la position du curseur par rapport au début du potentiomètre, et k est une constante.

26
Figure 2.11 : capteurs DHT11 et DHT22. Figure 2.12 : potentiomètre linéaire.

La figure 2.13 montre un potentiomètre rotatif qui peut être utilisé pour mesurer la position angulaire. Si Vi est à nouveau la tension appliquée, la tension aux bornes du curseur est donnée par :

où θ est l’angle du curseur et k est une constante.

Les autres types de capteurs de position sont les capteurs capacitifs, les capteurs inductifs, les transformateurs différentiels variables linéaires (LVDT), les codeurs linéaires magnétiques, les codeurs optiques, les capteurs à ultrasons, etc. Les capteurs de position capacitifs reposent sur le fait que la capacité d’un condensateur à plaques parallèles varie en fonction de la distance entre les plaques. Ces capteurs sont utilisés dans des applications micrométriques et millimétriques où leur résolution peut être de l’ordre du nanomètre (par exemple le modèle 4810 de MicroSense).

Transformateur différentiel

Les transformateurs différentiels (à translation) (figure 2.14) sont constitués d’un enroulement primaire et de deux enroulements secondaires sur un cylindre creux. Un noyau magnétique se déplace à l’intérieur du cylindre, et le mouvement de ce noyau fait varier le champ magnétique reliant l’enroulement primaire aux enroulements secondaires. Le déplacement du noyau vers une position augmente la tension induite dans une bobine secondaire et diminue la tension induite dans l’autre bobine secondaire. La différence de tension nette est proportionnelle à la position du noyau à l’intérieur du cylindre. Ainsi, en mesurant la tension induite, on connaît la position du noyau.

Les avantages du transformateur différentiel sont les suivants :

• faible coût

• conception robuste

Chapitre 2 • Capteurs ● 27
V
θ
a = k Vi
Figure 2.13 : potentiomètre rotatif.

Régulation PID par la pratique

• pas d’effet d’hystérésis

• temps de réponse rapide

• pas de résistance au frottement

• durée de vie longue

Pour être juste, le principal inconvénient du transformateur différentiel est que le noyau doit être en contact direct avec la surface mesurée, ce qui n’est pas toujours possible.

Codeurs

Le codeur linéaire magnétique est composé d’une tête de lecture et d’une échelle magnétisée ; il délivre un signal de sortie analogique ou numérique. Lorsque la tête de lecture passe le long de l’échelle magnétisée, le capteur détecte le changement de champ magnétique et émet un signal indiquant la position de la tête.

Les codeurs optiques sont des capteurs couramment utilisés pour mesurer la position ou la vitesse d’un corps en rotation. Il existe plusieurs types de codeurs optiques. Dans sa version la plus simple, ce composant est constitué d’un arbre relié à un disque circulaire percé de trous (figure 2.15). Un faisceau lumineux rayonne d’un côté et un détecteur de lumière est placé de l’autre côté. En comptant les trous qui passent devant le capteur, on peut déterminer la position ou la vitesse de l’arbre en rotation. D’autres types de codeurs optiques utilisent le principe de l’effet Hall : un ou plusieurs petits aimants sont fixés au rotor et le champ magnétique est détecté lorsque le rotor tourne. En utilisant deux aimants de ce type, il est possible de déterminer le sens de rotation du rotor.

28
Figure 2.14 : transformateur différentiel (Linear Variable Differential Transformer). Figure 2.15 : codeur optique.
● 246 Index A A201 30 accélération 29 action dérivée 71 action intégrale 71 action proportionnelle 71 AD590 25 AD592 25 ADXL203 29 aimants permanents 169 algorithme de régulation 12 amplificateur de thermocouple 19 arrêt thermique 179 asservissement 11 attachInterrupt(interrupt number,....,....) 187 autoéchauffement 17, 23 B bibliothèque PID 162 bloqueur d’ordre zéro 56 Bluetin_Echo 214 BMP280 32 Brett Beauregard 162 bus SPI 114 C CA/N 12 capteur à effet Hall 178 capteur analogique 16 capteur de niveau de liquide e-Tape 34 capteur numérique 16 capteurs 12, 16 capteurs à roue à aubes 34 capteurs de débit 36 capteurs de force 30 capteurs de position 26 capteurs de pression 31 capteurs de pression absolue 31 capteurs de pression différentielle 31 capteurs de pression relative 31 capteurs de température analogiques 18 capteurs de température numériques 25 capteurs de vitesse et d’accélération 29 capteurs pour les liquides 33 caractérisation d’un moteur à courant continu 198 chantillonneur 54 Chien-Hrones-Reswick 83 choix d’un moteur électrique 174 Ciancone-Marline 83 circuits intégrés 24 CN/A 13 codeur à deux phases 178 codeur linéaire 28 codeur numérique 14 codeur rotatif 109 codeurs optiques 28 coefficient d’amortissement 46 coefficient de température négatif 22 coefficient de température positif 22 Cohen-Coon 80 collecteur 169 commutateur MOSFET 128 Compute() 163 connecteur JST 177 consigne 79, 97 constante de temps 41 contrôle à modèle interne 83 convertisseur analogique-numérique 12 convertisseur de niveau logique 195 convertisseur numérique-analogique 13 couple 168 CTN 22 CTN 3950 124 CTP 22 cuve 220 D Dahlin 71 dead-beat 71 débitmètres magnétiques 34 débitmètres volumétriques 34 dépassement 77 dépassement maximal 49 détecteur de lumière 28 DHT11 26 DHT22 26 DIFCUL 216
Régulation PID par la pratique
Index ● 247 DIR 200 distance par rapport à l’objet 210 diviseur de tension résistif 213 E échantillonnage 54 échelon 79, 128 Echo 213 EDI de Thonny 136 effet Hall 28 émetteur-récepteur 33 EMG30 177 EncoderISR 187 entrée de type rampe 56 F FlexiForce 30 fil violet 193 fonction de transfert d’impulsions 62 fonction de type échelon unitaire 58 fonction de type rampe unitaire 59 fréquence propre 46 FS2012 37 FT-210 36 G gain maximal 85 gamme 16 GetDirection() 163 GetKd() 163 GetKi() 163 GetKp() 163 GetMode() 163 H HC-SR04 210 hystérésis 103 I interchangeabilité 23 Internal Model Control 83 interruption du Timer 159 J jauges de contrainte 30 jonction chromel/alumel 19 jonction de référence 19 L Lambda 83 langage de description de programme 95 LDR 231 lead-lag 71 LED 231 linéarité 17 lit chauffant 124 LM34 25 LM35DZ 24 LM134 25 LMD18200 179 LV170 35 M MAX6675 19 MAX31865 21 MC3002 114 millis() 187 mini-capteur de niveau de liquide 35 mise en œuvre de l’algorithme PID par un microcontrôleur 94 MLI 14 mode « bureau » 136 mode « commande » 136 modification des paramètres PID 77 modulation de Largeur d’Impulsion 128 modules à ultrasons 33 moteurs à courant continu à balais 169 moteurs à courant continu sans balais 174 moteurs BDC 169 moteurs BDC à enroulement composé 171 moteurs BDC à enroulement en dérivation 171 moteurs BDC à enroulement en série 170 moteurs BDC à excitation séparée 172 moteurs électriques 168 moteurs pas à pas 173 MPL3115A2 32 MPRLS 3965 31 N niveau de l’eau 216 noyau magnétique 27

Régulation PID par la pratique

● 248 O obstacle 209 ODD/SIGN 115 offset 17 Outils 166 P paire LED-LDR 239 paramètres de l’installation 79 PCF8574T 99 pente initiale 42 période d’échantillonnage 93 perturbation 242 perturbations 11 PhaseA 204 PhaseB 204 phototransistor 33 PID Loop Simulator 90 pilotage de moteurs à courant continu 168 placement des pôles 71 polynôme du numérateur 61 pompe à eau 216 pont en H 179 potentiomètre 26 précision 17 prédiviseur 159 Program Description Language 95 R rapport cyclique 130 registre de comparaison 159 réglage automatique 88 réglage pratique du régulateur PID 87 régulateur 12 régulateur à action dérivée 74 régulateur à action intégrale 73 régulateur PID numérique 92 régulateur proportionnel 72 régulateur proportionnel + action intégrale + action dérivée 76 régulateur proportionnel et intégral 75 régulation de température en mode tout ou rien 97 répétabilité 17 réponse à une perturbation 148 réponse du système aux perturbations 243 réponse dynamique 17 réservoir 220 résistance de tirage vers le haut 187 résolution 16 retard 52 rétroaction 12 rotor 169 roue en plastique 177 routine du service d’interruption 159 RPLCD 118 RTD 18 S saturation par une action intégrale 89 SCL 190 SDA 190 sensibilité 17, 23 série de puissances 61 servomoteurs 172 SetMode() 163 SetOutputLimits(min,max) 163 SetSampleTime() 163 SetTunings(Kp,Ki,Kd) 163 SetupPlot() 200 SGL/DIF 115 signal d’erreur 12 signal échantillonné 56 signal modulé en largeur d’impulsion 14 sondes à résistance 18, 20 sondes à résistance à couche mince 21 sondes à résistance de type bobiné 21 stator 169 Steinhart-Hart 23 structure parallèle 92 surveillance de niveau d’eau 209 système asservi numérique 13 système à temps continu 11 système de commande de luminosité d’une LED 231 système dynamique 11 système numérique 54 systèmes asservis des processus 71 systèmes du premier ordre 38 systèmes du second ordre 44 systèmes thermiques 52
Index ● 249 T tachymètre 29 taille physique 18 TCCR0B 182 TCCR1B 182 TCCR2B 182 temps de montée 42, 48, 77 temps de pic 48 temps de réponse 17, 41 temps d’établissement 42, 49 tension de fonctionnement 18 thermistances 18, 22 THIGH 103 TLOW 103 TMP36 25 Traceur série 155, 166 transformateurs différentiels 27 transformée en Z inverse 61 Trig 213 TXS0102 115 type K 19 Tyreus-Luyben 83 V vitesse du moteur 193 vitesse du son 214 W windup 89 Y YF-S201 36 Z Ziegler et Nichols 79

Régulation PID par la pratique

avec Raspberry Pi et Arduino Uno

Arduino Uno est une plateforme de développement à microcontrôleur, à code source ouvert (matériel, EDI et bibliothèques). Arduino Uno est soutenu par une large communauté de programmeurs, d’ingénieurs en électronique, de passionnés et d’universitaires. Grâce aux bibliothèques, la programmation devient un jeu d’enfant et est rapide. Les bibliothèques entièrement testées et fonctionnelles facilitent le test des programmes. Le Raspberry Pi 4, une version récente du célèbre nano-ordinateur, est au cœur de nombreux appareils multimédias, mais aussi de régulateurs industriels, robots, jeux et autres applications domestiques et commerciales. Grâce à sa connectivité Wi-Fi et Bluetooth, le Raspberry Pi 4 est parfait pour la commande et la surveillance à distance, via l’internet. Ce livre met en œuvre le Raspberry Pi 4 et l’Arduino Uno dans des applications de régulation avec l’algorithme PID. Après un peu de théorie sur les systèmes de régulation en boucles ouverte et fermée, il décrit des projets fonctionnels et testés pour piloter des systèmes réels avec des régulateurs PID. La réponse temporelle en boucle ouverte, le réglage des paramètres PID et la réponse temporelle en boucle fermée des systèmes présentés sont expliqués en détail (schémas fonctionnels, câblages des circuits, algorithmes de régulation PID, listings complets pour les deux cartes).

Ces projets permettent d’enseigner la théorie et les applications des régulateurs PID. Ils sont faciles à modifier pour d’autres applications. Les projets pour le Raspberry Pi 4 sont adaptables à tous les autres modèles de la famille Raspberry Pi.

Le livre couvre les sujets suivants :

> Systèmes de régulation en boucles ouverte et fermée

> Capteurs analogiques et numériques

> Fonctions de transfert et systèmes à temps continu

> Réponses temporelles des systèmes des 1er et 2e ordres

> Systèmes à temps discret (numériques)

> Régulateurs PID dans les systèmes à temps continu

> Régulateurs PID numériques

> Régulation de température tout ou rien avec Raspberry Pi et Arduino Uno

> Régulation de température PID avec Raspberry Pi et Arduino Uno

> Pilotage de moteurs à courant continu avec Raspberry Pi et Arduino Uno

> Régulation PID pour surveiller un niveau d’eau avec Raspberry Pi et Arduino Uno

> Régulation PID pour piloter une LED avec Raspberry Pi et Arduino Uno

Le professeur Dogan Ibrahim est titulaire d’une licence en génie électronique, d’une maîtrise en automatisme et d’un doctorat en traitement des signaux numériques.

Dogan a travaillé dans de nombreuses sociétés industrielles avant de revenir à la vie académique. Il est l’auteur de plus de 70 livres techniques et a publié plus de 200 articles techniques sur l’électronique, les microprocesseurs, les microcontrôleurs et les domaines connexes.

Tous les programmes du livre sont disponibles gratuitement sur le site web d’Elektor. Rendez-vous sur : www.elektor.fr/books et entrez le titre du livre dans le champ de recherche.

éditeur : Publitronic SARL di usion : GEODIF 34,95 €

Elektor International Media www.elektor.fr

livres

Turn static files into dynamic content formats.

Create a flipbook
Issuu converts static files into: digital portfolios, online yearbooks, online catalogs, digital photo albums and more. Sign up and create your flipbook.