Anthem Commumty Structure
Anthem Community Council, Inc
(Other) Anthem Parksldc CommllRlty CommunIty Inc Associations
IOwners I lowncrsllOwncrs
Concepts andDefinitions
Owners
The terms used in the Govemmg Documentssball generally be given their natural, commonly accepted delimuons unlessotherwisespecified.Caprtahzed terms sball be definedas setforthbelow
"Act"The Anzona PlannedCommumnesAct, Anzona ReVISed Statutes, § 33-1801, et seq. as It maybe amended
"Anthem" That certain mixed-use master planned. community located In Mancopa County,Anzona,winch 15 subjecttotheCommumty Covenant andwinch includes Anthem Parksrde
"Anthem Parkstde" The real property descnbed In Exhibit "A, IT together with such addmonal property as IS made subject to tlns Declaration In accordance WIth Article IX. Exlubit IT A" and each Supplemental Declaration whtch subjects property tothe Declaration shall provide alegal descnpnon of the Common Area included therem, If any
"Architectural ReVIew Committee" or "ARC" The comnuttee estabhshed to review plans and specificanons forthe construction or modification of unprovements andto administer andenforcethearchitecturalcontrols descnbed in ArticleIV
"Area of Common Responslblhtyu The Common Area., together WIth such other areas, If any, for which the ASSOCIatIOn hasor assumes responsibihty pursuant tothe terms of this Declaration, any Supplemental Declaration, or other appltcable covenants, contracts, or agreements
"Articles of Incorporation" or "Articles" The Articles of Incorporation of Anthem Parkstde Commumty ASSOCiatIon, Inc.as filed With theAnzona Corporation CommISSIOn., as may be amended
"Assocranon" Anthem Parkside Commumty Association, Inc,an Arizona nonprofit corporation, its successors or assigns
"Base Assessment". Assessments levied on all Lots subject to assessment under ArticleVIIItofundCommonExpensesforthegeneralbenefit of all Lots
"Benefited Assessment" Assessments levied agamst a particular Lot or Lots for expenses incurred ortobe incurred by the AsSOCIatIon for the purposes described in Section 85
"Board of DIrectors" or "Board" The body responsible for adnunistration of the Assocration, selected as provided in the By-Laws and serving the same role as the board of dtrectors under Arizona corporate law.
"Bwlder":AnyPersonwhopurchasesoneor more Lots or parcels of land within Anthem Parkside forfurther subdrvision, development, construction ofDwelhng UrntCs), and/or resale In the ordinary course of Its business
"By-Laws" The By-Laws of Anthem Parkside Commumty Association, Inc, as they maybeamended.
"Class "B" Control Penod" The pencd dunng which the Class "B" Member IS entitled to appointa majcnty of theBoardmembersTheClass"B"ControlPeriodshallexpireuponthe firsttooccur of thefollowing
Ca) when75% of the Lots plannedfordevelopmentundertheMasterPlansfor Anthem Parkside have certificates of occupancy Issued thereon and are owned byClass "A· Members,
(b) December31,2024,provided,intheeventthatDeclarantannexesadditiooal property pursuant to Section 9I at any tune after December 31,2019, the above date shall beextendedforaddrnonalthreeyearpenodsforeachaddinonal500acres,or fraction thereof, of property annexed, or
(c) when, in Its discretion, the Class "B'' Member so determines
"Common Area" All rea! and personal property, mchrding easements, wlnch the Association owns, leases, or otherwise holds possessory or usenghts in for the common use and enjoyment of Owners, mcluding such property as may be designated as Common Area by Declarant The term shall include the limited Common Area, as defined below. and may include, Without limitation, recreational facrbnes, parks. entry features, signage, landscaped medians, nght of ways, lakes, ponds, enhanced and nenve open space, and trails
Notwithstanding the above, theCommonAreashallnotincludeanypropertyownedbythe CounCIL
"Common Expenses" The actual and estunated expenses incurred, or anticipated tobe incurred, bythe Association forthe general benefit ofthe Owners, including any reasonable reserve, as the Board may find necessary and appropnate pursuant tothe Govermng Documents.
"Cornmurutv Covenant" The Declaration of Covenants and Easements for Anthem which governs theentireAnthemcommunityand,amongotherthmgs,establishestheCouncil's authonty to oversee community-wide affairs and provide commumty services and facilities,
"Comrntunty-Wlde Standard" The standard of conduct. maintenance, or other activity generallyprevailingthroughoutAnthemParksideSuchstandardshallbeestablished nullally by DeclarantandmaybemorespecificallydefinedmtheGovermngDocuments.Subsequent amendmentstosuchstandardshallmeetorexceedthestandardssetbyDeclarantandtheBoard dunng theClass"B"Control Penod andtheprevarlmgstandardapphcabletoall of Anthem.The Cornmuruty-Wide Standardmaycontainbothcbjectrveandsubjectiveelementsandmayevolve asdevelopmentprogressesandastheneedsand demands of AnthemParksrdechange
"Council" The Anthem Commumty Council, Inc,anAnzona nonprofit corporation, its successors and assigns
"Declarant"AnthemAnzona,LL C, an Anzona limitedhabrhtycompany,orany successor, successor-in-title, or assign who takes title toany portion of the property descnbed m Exhrbrts "A" or "B" forthe purpose of development and/or saleandwho IS designated as DeclarantmaRecordedinstrumentexecutedbytheunmedratelyprecedingDeclarant,
"DesIgn GUIdelines" The architectural,design, and construction gurdelmes and review procedures pertaining to Anthem Parkside, adopted and adnumstered pursuant to Article N, as theymaybeamended,andthosepertauungtoallofAnthem,asprovided 10 theCommunrty Covenant.
"Dwelhnl! Umt" Any burldmg or structure or portion of a buildmg or structure situated upon aLot and which IS intended for use and occupancy asan attached or detached residence for asingle family
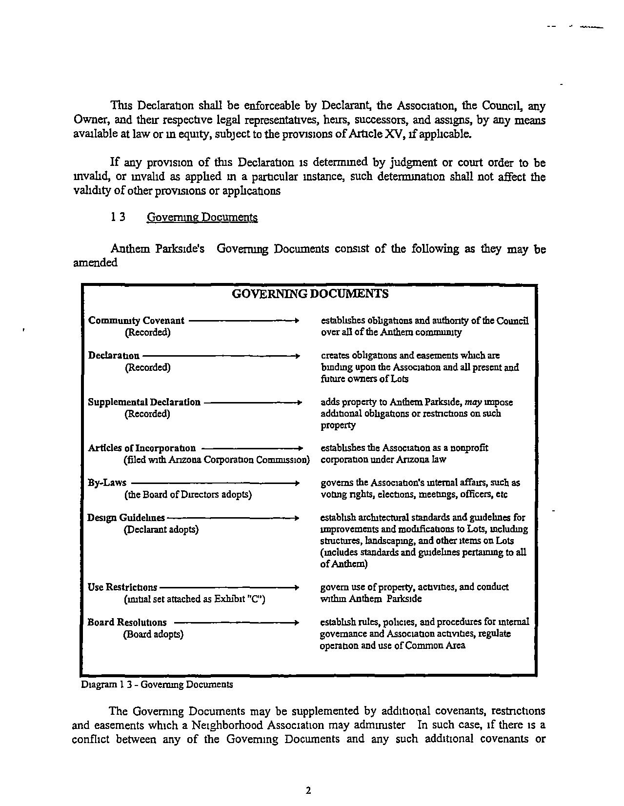
"Governing Docwnents" A collective term refemngtothe various documents described in Section 13, as each maybe amended from tuneto tune
"Ltrmted Common Areall A portion of the Cornman Area pnmanly benefiting oneor more, but less than all. Neighborhoods, asmore partIcularly descnbed in Article XII
"Lot" A portion of Anthem Parksrde, whether Improved or unimproved,which maybe independently owned and conveyed and onwhicha DwellingUmt IS intended for development, use, and occupancy The term shall refer tothe land, If any, which 15 part of theLotaswellas any unprovements, including any DwellingUrut, thereon The boundanes of each Lotshallbe delineated ona Plat
Pnorto Recordation of a subdivision Plat. a parcel of vacant land on which improvements are under construction shall be deemed to contain the number of Lots designated for residential useforsuchparcelontheapplicable prelinunary plat,orDeclarant's SIte plan, whichever IS more current Untila prehnunary plat orsite plan has been approved, such parcel shallcontainthenumber of LotssetbyDeclarantm conformance With theMasterPlans.
"Master Plans" The master land use plans for the development of Anthem Parkside, as of thedateofRecordmgtins Declaration and as theymaybe ameoded, updated,or supplemented fromtunetotune,TheMasterPlansmclude all of the property descnbed In ExhIbit"A"and all oranyportion of thepropertydescnbed In Exhibit "B" TheMasterPlansmaymclude subsequentPlatsandplans approved byMancopaCounty,Anzonaorotherapphcable governmental authonnes, Inclusion of property on the Master Plans shall not, under any circumstances, obligate Declarant to subject such property to this Declaration, norshallthe OlUISSIon ofpropertydescnbed In Bxhibrt "B"fromtheMasterPlansonthedate of Recordmg thts Declaration bar Its later submission to tins Declaration as provided m Article IX.
"Member" A Person who IS a member of the Association pursuant to Section 62.
"Mortgage". A mortgage, a deed of trust, a deed to secure debt,. Or any other fonn of secunty instrument affectIng titletoany Lot A "Mortgagee" sha1l refertoabeneficiaryor holderofaMortgage
"Neighborhood" A group of Lots designated asa Neighborhood, whether ornot governed by a Neighborhood Association, as more particularly described m Section 64, for purposes of sharing Lumted Common Areas andlor receiving other benefits or services from the Association which are not provided toall Lots A Neighborhood maybe compnsed of more than one housing type and may mclude uonconuguoua parcels of property
"Neighborhood Assessments" Assessments levied agamst the Lots in a particular Neighborhood Or Neighborhoods tofund Neighborhood Expenses, as described In Section82
"Neighborhood Association" A condormmwn or other owners association, if any. havmgjunsdiction overany Neighborhood concurrent WIth (but subject to) the jurisdiction of the AsSOClatJOIL Nothing In tlus Declaration shall require the creation of a Neighborhood Associanou,
"Neighborhood Expenses" The actual and estimated expenses which the Association incurs or expects to IDCur for the benefit of Owners withm a particular Neighborhood or Neighborhoods, asmaybeauthonzedpursuanttotlus Declaration or In the Supplemental Declaratlon(s) applzcable tosuch Nelghborhood(s).
"Owner" One or more Persons whoholdthe record title toany Lot, but excluding 1D all cases any Person holding an interest merely assecunty for the performance ofan obligation Ifa Lot IS sold under a Recorded contract ofsale, and the contract specifically so provides, the purchaser (rather than the fee owner) Will be considered the Owner
"Person" A human being, a corporation, a partnership, a trustee, orany other legal entity
'Plat" A Recorded engineering surveyor other surveys foranorany portion of Anthem Parkside, asamendedand snpplemented.
"Pnvate Amemnes'' Certain real property and any improvements and facilities thereon located adjacent to, In the VlCUUty or within Anthem, which are pnvately owned and operated by Persons other than the Association or the Council for recreab.onal and related purposes, ona club membership basisor otherwise, andsballinclude, WIthout Iurutanon, thegolfcourseand all related. and supportmg facrhnes and improvements within the pnvate country club currently knowastheAnthemGolfandCountryClub
"Record." IfRecording, If or "Recorded" Tofile. the filing, or filed of record mtheOffice of the County Recorder of Mancopa County, Anzonaorsuchotherplacewinch IS designated as the official locanon for recording deeds, plats, and similar documents affecting title toreal estate.
"Special Assessment" Assessments levied in accordance With Section 84
"Supj!lemental Declaration" ARecordedinstrumentwinch subjects additionalproperty totins Declaration pursuanttoArticle IX, identifies Common Area withm theadditional property, designates Neighborhoods pursuant toSection 64, and/or imposes, expresslyorby reference, addmonal restncuons, easements, and obhgatIons onthe land descnbed msuch instrument
"Use Restncnons" The initial use restnctrons, rules, and regulations set forth in Exln"bit "C,"astheymaybesupplemented, modified, orrepealedpursuantto Article ill
Article III Useand Condnct
3 I Frameworkfor Regulallon.
TheGoverningDocuments estabhsh, as part of the general planofdevelopmentfor Anthem Parks Ide, a framework of affirmative and negative covenants, easements, and restncnons governing Anthem Parksrde Withm that framework, theBoardandtheMembers must have the abthty to respond to unforeseen problems and changes m circumstances, condmons, needs, desires, trends, and technology Therefore, thisArticle estabbshes procedures for modifying andexpandingthe 1IU1lal UseRestnctionssetforth in Exhibit "C" TInsArncle IS not intended toapplytoorgovernBoard promulgated rulesrelatingtotheuseandoperationof the Conunon Area, winchtheBoardmayadoptbyresolutionpursuanttoItsgeneralpowersand authonty
32 Owners' Acknowledgment and NotIce to Purchasers
All Owners are gwen notice that useof their Lots and the Common Area IS hrmted by the Use Resrncnons EachOwner, by acceptance of adeed,acknowledgesandagreesthatthe
useandenjoymentandmarketabilityofhisorherLotcanbe affected by thisprovision andthattheUseRestnctIonsmaychange from nme totimeasprovidedunderSection 3.3 andthatsuchchangesmaynotbe reflected in a Recorded instrument. All purchasers of Lots are on notice that the Association may have adopted changes.
33.RuleMalong Authonty
(a)Subjecttotheterms of tlusArticleandtheBoard'sdutytoexercisebusiness Judgment and reasonableness on behalf of the Association and Its Members, the Board may modify,cancel, limit, createexceptions to, orexpandtheUse Restncnons TodosotheBoard shall send notice toall Owners at least five busmess days prior tothe Board meeting at which such action IS tobe considered For this purpose, nonce maybesentto each Owner by: U.S. mall; electronic telecommunicanon (l e, fax or "e-mail") WIth confirmation of receipt; or. pubhcatron In the commumty newsletter delivered or mailed to each Owner, provided that such notice is clearly Identified under a separate head1me mthe newsletter Members shall havea reasonableopportunJtytobe heard attheBoardmeeting pnor tosuchactionbemgtaken.
Such action shall become effective, after comphance WIth subsection (c)below, unless Class nAil Members representing a majority of the total votes In the AsSOCIatIon and Class "B" Member. If any, disapprove The Board shall have no obligation tocalla meeting to consider disapproval except upon receipt of a pennon of the Members as required for special meetings In the By-Laws Upon receipt of such petition, the proposed action shallnotbecome effective until after such meeting IS held, and then subject to the outcome of such meeting
(b) Alternatively. the Class I'A II Members representing a majonty of the total votes in the Association, ata meeting duly called for such purpose, may adopt provisions wluch modify, cancel, hrmt, create exceptions to,or expand the Use Restnctions then m effect Such acnon shall require the approval of the Class "BII Member, Ifany.
(c)Pnorto any action taken under this Section beconung effective, the Board shall, m any manner permitted in subsection (a) above, send acopy of the new or modified Use RestrictionstoeachOwnerTheeffectivedateshaIIbenotlessthan30daysfollowmg distnbution to Owners
The ASSOCIatIon shall provide, WIthout cost,a single copy of the Use Restnctrons then in effecttoany requesting Member or Mortgagee The Assocranon may charge a reasonable feefor additional COpies
(d)NoactiontakenundertlusArticleshallhavetheeffect of modrfying,repealmg,or expanding the DesignGmdeunes or any provision of ftns Declaration other than the Use Restncnons In theevent of a conflict between the Design Gwdehnes and theUse Restnctions, theDesign Grudelmes shall control
(e)Use Restrictions maybe Neighborhood specificIn such case. the references In this Article to Owners or Members shall be deemed to refer to the Owners or Members wrthm theaffectedNerghborhoodfs)
Protechon of Owners and Others
Except as may be specifically setforth in tlns Declaration (either initially or by amendment) or In the untial Use Restncncns set forth In Exhibit "C," all Association actions must comply WIththefollowing
(a)SImIlar Treatment Sunilarly SItuatedOwnersshallbe treated simrlarly; provided, the Use Restncnons andrnIes may vary by Netghbcrhocd
(b) DISPlays The nghts of Owners todisplay religious and holiday signs, symbols, and decorations insidetheir Dwelling Units of thelands normally drsplayed in dwellmgs located in single-family residential neighborhoods shallnotbe abndged, except thatthe Association may adopt time, place, and manner restnctions WIth respect to such displays VISIble from or located outside the Dwelling Unit
The Assocranon shallnotregulatethe content of pohncal Signs, however, rules may regulate thetime,place,and manner of po sting such SIgns (mcludrng design cntena).
(c) ActIvrhes Withm Dwelling Urnts The Association shallnot Interfere with the acnvmes camedon witlnn the confines of Dwelling Units, except It may prolubit activities not nonnally associated WIth property restricted to residential use, and It may restnct or prolnbrt any activrtres that create monetary costsforthe Association or other Owners, that create a danger to the health or safety of occupants of other Lots, that generate excessivenorse or traffic, that create unsightly conditions VISIble outside theDwelhng Umt, or that create an unreasonable source of annoyance.
(d)Allocatron ofBnrdens and Benefits The Association sbaIl not alter the allocation of financial burdens among the venous Lotsor nghts tousethe Common Area tothe detriment of any Owner over that Owner's objection expressed In wnnng tothe AsSOCIatIon Notlung m this provision shall prevent the Associanon from changmg the available Common Area, from adopnng generally applicable rules for use of Common Area. or from denying use privileges to those who abuse the Common Area or Violate the Govemmg Documents This provision does not affect thenghtto increase the amount of assessments as provided in Arncle VIII.
(e) Abenabon The Association shallnotprohibrt leasing or transfer of anyLot,or require consent of the Association or Board for leasmg or transfer of any Lot, provided, the Association orthe Board may require a mirumum lease term of upto three months, may require that Owners use Asaocranon-approved lease forms (or includespecific terms 1D. their leases), and may unpose a reasonable review or admnustration feeontheleaseor transfer of anyLotThe 1D1t1al nummum lease term IS set forth In Exhibit "C "
(f) Abndgmg EXisting RIghts The Association may not require an Owner to dispose of personal property that was 1D. oronaLot pnor to the adoption of such rule If such personal property was In comphance with all rules previously In force This exemption shall apply only dunng the penodof such Owner's ownership of the Lot and shall not apply to subsequent Owners who take title to the Lot after adoption of the rule
{g) Reasonable RIghts To Develop No acuoa by the Associanon or Board shall unreasonably unpede Declarant's nghtto develop Anthem Parkside m accordance WIth the Master PlansandnghtsreservedtoDeclarantmthis Declaration,
Thehmitations in thisSectionshallonly hmit rulernakmgauthontyexercisedunder Section33,theyshallnotapplyto amendments tothisDeclarationadoptedm accordance WIth Article XIXandthe Act
Article N Architecture and Landscaping
41. General
Nostructureorthmgshallbeplaced, erected, installed, orpostedonAnthemParkside and no unprovements or other work (including staking, clearing, excavation, grading, and other Site work, exterioralterations of existing improvements, or plantmg or removal of landscapmg) shall take place within Anthem Parkside, except pursuant to approval In comphance WIth tIns Article andthe Design Guidelines
No approval shall be required to repaint the extenor of a structure In accordance with the ongmally approved color scheme orto rebuild in accordance WIth ongmally approved plans and specrficanons Any Owner may remodel. paint, or redecorate the intenor of Ins or her DwelImg Unit without approval However, modifications to the mtencr of screened porches. patios, and sumlarportions of aDwelhngUmt visible from outside thestructureshallbesubjectto approval
AllDwellingUnitssballbe designed byandbuiltmaccordancewiththeplansand specifications of a licensed architect or smnlarly licensed building designer unless otherwise approved by Declarant or Its designee In ItS sale discretion.
TIns Article shallnot apply to the activities of Declarant for solongas Declarant owns any property descnbed in Exhibits "A" or "B," the Associanon dunng the Class "Bit Control Penod,orthe COunCIl.
42 ArchItectural ReVIew
(a) By Declarant. New Construcbon Declarant shallhave exclusive authority to adnumster and enforce architectural controls and to review and act upon all applications for ongmalconstructionwithmAnthemParkstdeTlusnghtshallcontinueuntil100% of theLots planned for development under the Master Plans have been conveyed to Class "A" Members and contain a Dwelhng Umt for wluch a certification of occupancy hasbeen Issued, unless earlier termmated ma wntten instrument executed and Recorded by Declarant In reviewing and acting upon any request for approval, Declarant or Its designee acts solely in Declarant's interest and shall oweno duty toany other Person
Declarant may, m Its sale discretion, designate oneor more Persons from time to tune to acton Its behalf rn reviewing apphcanons hereunder
Declarant may from tuneto time, but shall notbe obligated to, delegate or assign all ora portion of 115 reserved nghts under thisArticle to any other Person or committee, mcludmg the Arclntectura1 ReviewCommittee Any suchdelegationshallbe in wntmg,specifyingthescope ofresponsibihtiesdelegated,andshallbesubjectto (1) Declarant's nght torevokesuch delegationatanytimeandreassume junsdiction overthematterspreviously delegated, and (11) Declarant's nghtto veto any decisionwhich Declarant determmes, In Its sole discretion, to be mappropnate or inadvisable for any reason. So long as Declarant has any nghts under this Article,the junsdicnon of otherentitiesshallbeIimitedtosuchmattersasDeclarant specifically delegates
(b) Architectural ReVlew COmIPlttee, ModIficatIons Pnor to the closeof escrow of thefirstLottoa Class" A"Member,theBoardsballestabhshtheARC,winch sball consist of at leastthreePersonsMembers of theARCshallbe appointed andshallserve at thediscretion of theBoard;provided,however,aslongasDeclarantownsanypropertydescnbed III Exhibits• A· or "BJ It shall be entitled to appomt one member ofthe ARC
TheARCshallhave exclusive junsdiction over modificattons, additions, or alterations made onorto existing structures oronorto Lots containing Dwelling Units (including, Without lumtation,theuntiallandscapingonaLot),theadjacentopenspace,andCommon Area; provided, however, any change tothe Common Area shall require the approval of Declarant as long as Itownsany property descnbed m Exhibits nAil or "B II SUbject to Declarant's nghts under subsection (a) above, the ARC alsomaybe assigned junsdrction over onginalconstruction within Anthem Parksrde
As longasDeclarantownsanyproperty described III Exhibits "A"or"B,"theARCshall notifyDeclarant of anyactiontobetakennudertinsArticle Dunng suchtime,Declarantshall have the nght, in rts sale and absolute discretion, to veto any action taken by the ARC, provided, Declarant's nghttovetomustbe exercised witbm 10 days of Its receipt of notice of action taken bytheARCThepartysubmittingthePlansfor approval shallnotbenotified of theARC's approval or disapproval until after Declarant's nghtto veto has been exercised or has expired,
TheBoard,wtthDeclarant'sapprovalforsolongasDeclarantownsanyproperty descnbed m Exhibits "A" or "B," may create and appomt such subcommittees ofthe ARC as deemed appropnate Such subcommittees maybe estabhshed to preside over particular areas of review(e g ,landscape plans)andshallbegovernedbysuchproceduresasmaybeestablishedby the ARC orthe Board Any action of any subcommittee shall be subject to the review and approval of theARCandDeclarant,foraslongasDeclarantownsanypropertydescnbedm Exhibits "A" or "B II Notwithstanding the above, neither the ARC nor Declarant shall be obligated to review all actions ofany subconmuttees and the [allure to take action In any instance shallnotbeawarver of thenght of theARCorDeclaranttoact III thefuture
(c) ReVIewer: Fees, ASSIstance For purposes of this Article, the entity havmg junsdrcnon In a particular caseshallbe referred to as the "Reviewer II The Reviewer may establish and charge reasonable fees for review of apphcanons hereunder and may require such feestobe paid In full pnorto review of any apphcanon Such feesmay Include the reasonable costs incurred In having any apphcation reviewed by architects, engineers, or other professionals
Declarant andthe Association may employ architects, engineers, or other Persons as deemed necessary to perform the review The Board may Include the compensation of such Persons m the Assccienon's annual operating budget
43 GUidelines and Procedures
(a) DesIgn GUldelmesDeclarantmay prepare Design Guidelines, containing general provisions applicable to all of Anthemandall of AnthemParkside, respectively, aswellas specific provisions winch vary from Neighborhood to Neighborhood, Any portion of the Design Guidelines specific to Anthem Parkside orany Neighborhood may not be In derogation of the architectural, design, and construction standardsand guidelines promulgated for all of Anthem pursuant to the Community Covenant
The Design Guidelines aremtended to provide guidanceto Owners and Builders regarding matters of particular concern to the Reviewer in considenngapphcanons The Design Gwdelmes arenotthe exclusrvebasis for deCISIOns of the Reviewer; and compliance Mth the DesignGuidehnes doesnot guarantee approval of any apphcanon,
Declarant shall have sole andfull authonty to amend the Design Guidehnes specific to Anthem Parksrde aslongasItownsanyportion of Anthem Parkside or has a nght to expand Anthem Parkside pursuant to Section 9 I, notwtthstandmg a delegation of reviewing authonty, unless Declarant also delegates the power to amend Upon termination of Declarant's nghtto amend,the ARC shallhavethe authonty to amend the Design Guidelines specific to Anthem Parkside WIth the Board's and the Council's consent Any amendments totheDesign Guidelmes shan be prospective only and shall not require mcdificanons toor removal of structures previously approved oncethe approved construction or modification has commenced Subject to the Commuruty-WIde Standard, there shall beno other hrmtanon on thescope of amendments to the Design Gtndelmes, and such amendments may remove requirements previously Imposed or otherwise maketheDesign Gwdelmes less restncnve
The Reviewer shall make the Design Guidelines availableto Owners and Builders who seekto engage in development or construction wnhm Anthem Parksrde, In Declarant's sole discretion, the Design Gwdelmes maybe Recorded, mwincheventthe Recorded version, asIt may unilaterally be amended from tune tonme,shall control mthe event of any dispute asto which version of the DesignGuidehnes was meffectatany particular tIme
(b) Procedures Except as otherwise specifically provided mthe Design Guidelines, no acnvmes shall commence onany portzon of Anthem Parkside until an application for approval has been submitted toandapprovedbythe Reviewer Such apphcation shall be in the form required bythe Reviewer and shall mclude information reqwred under the Design Gurdelmes, suchas plans and specifications showing sitelayout, structural design, extenor elevations, extenor materials and colors, landscaping, drainage, extenor hghting, imganon, and other features of proposed construction, as apphcable The Design Guidelines and the Reviewer may require the submission of such additional mformanon as may be reasonably necessary to consider any apphcatron

In reviewing each SUbnuSSIOn, the Reviewer may consider any factors it deems relevant, mcludmg, WIthout !mutatIOn, harmony of external design WIth SUlTOundmg structures and environment Decisions maybe based on purely aesthetic considerations Each Owner acknowledges that determmanons as to such matters are purely subjective and opimons may vary as tothe desiralnhty and/or attractiveness of particular improvements The Reviewer shall have thesole discretion to make final, conclusive, and bmdmg determmations on matters of aesthetic Judgment and such determmanons shallnotbe subject to review so long as made m good faith and in accordance With the procedures set forth herem
The Reviewer shall make a determmation oneach application after receipt of a completed. application and all mfbrmation required by the Reviewer The Reviewer may permit or require that an application for approval be submitted or considered in stages, in which case,a final decision shall notbe requireduntil after the final, required submission stage. The Reviewer may (,) approve the apphcanon, WIthorWIthout conditions, (11) approve a portion of the application and disapprove other portions, Or[m} disapprove the apphcanon,
Reviewer approval shallnot constitute approval of or waiver of approvals or reviews by Mancopa County orany other .12J.UDJCJpaltty or governmental agencyor entity havmgjunsdicnon over architectural or construction matters
The Reviewer shall notIfy the applicant m writing of thefinal determination onany apphcation within 45days after Its receipt of a completed application and all requested information, In the event that the Reviewer fads to respond in a tunely manner, approval shall be deemed to have been given, subject to Declarant's right toveto pursuant to Secnoa 41 However, no approval, whether expressly granted or deemed granted, shall be mconsisteat with the Design Gwdelmes unlessa wntten vanance hasbeen granted pursuant to Section 45
Notice shallbe deemed to have been given at the time the envelope containing the response IS deposited WIth the US Postal Service Personal delivery of such wntten notice shall, however, be sufficient and shall be deemed to have been grven at thetune of delivery totheapphcant
As part of any approval, the Reviewer may require that construction commence in accordance wtth approved plans within a specified nme penodIf construction doesnot commence within the required penod, such approval shallbe deemed Withdrawn and It shall be necessary forthe Owner to reapply for approval before commencing any activities Once construction IS commenced, It shall be dilrgently pursued to completion All work shallbe completed wrthm one year of commencement unless otherwise specified In the notice of approval or the Design Gurdelmes, or unless the Reviewer grants an extension m writing, which It shall notbe obltgated todoIf approved work IS not completed within the required tune, It shall be considered nonconformmg and shall be subject to enforcement action bythe AsSOCIatIon, Declarant, the Council, orany aggneved Owner
Notwtthstandmg the above, landscaping shall be installed, as approved, In the front and Side yards of aLot within 90days from the dateof the mrtral closmg of escrow ontheLotor the Issuance of a certificate of occupancy onthe Lot, whichever IS later Landscaping onall other
portions of the Lot, including the rear yard,shallbe installed withm 180daysfromthedate of the mmal closing of escrow ontheLotorthe Issuance of a certificate of occupancy onthe Lot, whichever IS later 'The Reviewer's decrsrcn as tothe appllcablbty of these mstallatlOll requirements toany particular portion of aLotshallbefinal
The Reviewer may, by resolution, exempt certain acnvrtres from the application and approval requirements of this Article, provided such actrvitres are undertaken m strict compbance WIth the reqwrem.ents of such resolution, For example, Bwlders may submit and receive pre-approval of landscaping orother plans for general application, Such pre-approved plans shall not reqwre resubmission pnor to use ona particular Lot
44 NoWalVer of Future Approvals
Each Owner acknowledges thatthe Persons reviewing applications underthis Article WIll change from tuneto time and that 0PlDlODS on aesthetic matters. aswellas interpretation and apphcatIon of the Design Gutdelmes, mayvary accordingly In addition, each Owner acknowledges that It maynot always be possible to idennfy objectionable features until work IS completed, in which case it may be unreasonable to require changes tothe improvements involved, butthe Reviewer may refuse toapprove similar proposals ui thefuture Approval of apphcations or plans, orm connecaon WIth any other matter requmng approval, shall not constitute bmdmg precedent In any other matter noran estoppel or waiver of the right to Withhold approval astoany sunrlar applications, plans,orother matters subsequently or additionally submitted for approval.
45 Vanances
The Reviewer may authorize vanances from compliance with any of Its gw.dehnes and procedures when CIrcumstances suchas topography, natural obstructions, hardship, or aesthetic or environmental consideranona require, but only In accordance WIth duly adopted regulations. Suchvanancesmayonlybe granted, however,when uruque circumstances dictate andno variance shall (a) be effective unless in wntmg, (b) be contrary totlus Declaration, the Commumty Covenant, orthe Community-Wide Standard, or(c)estopthe Reviewer from denying a vanance mother circumstances For purposes of this Section, the inability to obtain approval of any governmental agency. the Issuance of any permit, orthe terms of any financing shallnotbe considered a hardship warranting avanance Notwithstandmg theabove,the Reviewer may not authonze variances without the wntten consent of Declarant solongas Declarant ownsany portion of Anthem Parkside orhasthe nght to annex any property described m Exhibit "B" orthe Council
46 Lmutanon ofLIablhty
The standards and procedures m tins Article are intended asa mecharusm for mamtaining and enhancing the overall aesthetics of Anthem Parksrde, theydonot create any duty to any Person The Reviewer shallnot bear any responsrbrhty for ensunng (a) structural mtegnty or soundness of approved construction or modiflcanons, (b) comphance With burldmg codes and other governmental requirements, (c) that all Dwelhng Umts are of comparable quality, value,
SIZe, or design, or (d) that Improvements WIll be aestheticallypleasing or otherwise acceptable to neighbonngpropertyownersDeclarant,theAssocranon,theCouncil,theBoard,any committee,oranymember of any of theforegomgshallnotbeheldliableforany c1aun whatsoever ansmgout of construcncn onor modzflcenoas toany Lot. In all matters, th6 ReviewershallbedefendedandindemnifiedbytheAssociationasprovided in Section 76.
4 7 Enforcement
Any construction,alteration,orotherworkdonemviolation of thIs Articleorthe Design Gwdelmes shall be deemed tobe nonconforming Upon wntten request from the AsSOCIatIon, Declarant. orthe Council, Owners shall, at their owncost and expense and wrthm such reasonable tune frame asset forth m such wntten nonce. cure the nonconformance to the satisfaction ofthe requester or restore the Lot and/or Dwelling Unit to substantIally the same condition as existed pnorto the nonconformmg work Should an Owner fail to remove and restore as required, the Association, Declarant, the Council, or their designees shall have thenght to enter the property, remove the violation, and restore the property to substantially the same condmonas previously existed,Allcosts,together WIth theinterestattherateestabhshed by the Board(nottoexceedthemaxrmurnratethenallowedbylaw),maybeassessedagainstthe benefitedLotandcollectedasaBenefited Assessment unlessotherwiseprchibrted In this Declaration.
Allapprovalsgrantedhereundershallbedeemedconditioneduponcompletion of all elements ofthe approved work and aU work previously approved With. respect to the same Lot, unlessapprovaltomodtfyanyapphcatIon has beenobtarned In theeventthatanyPerson faJls to commence and diligently pursue to completion all approved work by the deadlme set forth In the approval, Declarant, the Associanon, or the Council shall be authonzed, after notice to the Owner of the Lot and an opportunity to be heard ill accordance With the By-Laws, to enter upon the Lot and remove or complete any incomplete work. and to assess all costs incurredagainst the LotandtheOwner thereof asaBenefited Assessment unlessotherwiseprohibitedmthis Declaranon,
All acts byany contractor, subcontractor, agent, employee) or invitee of an Owner shall be deemed asanactdonebyoron behalf of such Owner Any contractor, subcontractor, agent, employee. or other invitee of an Owner who falls to comply With the terms and previsions of tIns Article and the Design Guidelmes may be excluded from Anthem Parksrde, subject to the nonce and heanng procedures contained In the By-Laws In such event, neither Declarant, the Associanon,orthe Council, theirofficersanddirectors,shallbeheldbahle to any Person for exercisingthe nghts grantedbythisparagraph.
The ASSOCIation shallbe pnmanly responsibleforenforcement of thisArticle If; however, mthe discretion of Declarant, the AsSOCIatIon falls to take appropnate enforcement action, as authonzed herein, within a reasonable time penod, Declarant, for solongas it O\VDS any property descnbed in Exhibits "A" or "B" to this Declaration, may, but shall notbe obligated to, exercise enforcement nghts In the same manner as set forth above In eddrnon to the foregoing, the Assocranon, the Council, and Declarant shall have the authonty and standing to pursue alllegal and equitable remedies available to enforce the provrstons of this Article and the
decisions of theReviewer If theAssocianon,theCouncil,orDeclarantprevail,theyshallbe entitled to recover allcosts including, WIthout limitanon, attorneys' feesand court costs, reasonably incurred m such action.
4 8 CapacIty Reservation Charge
Totheextent requued, aCapacityReservationCharge(asdefinedmtheAgreementfor TheVIllagesatDesert Hills Water/WastewaterInfrastructurebetweenDelWebbCorporation andCmzensUnlrnesCompany,dated as of September27,1997(the "Agreement"» sballbepaid bya Builder atthe tune of ISsuance of a building permit, and Ul accordance WIth theAgreement, for each Lotor other portion of theProperues that will usethe water.
Article V
5I MaintenanceandRepair
Mamtenance of Lots.
EachOwnershall maintain hrsorherLot,mcludmgtheDwellmgUmtand all landscaping and other improvements compnsing the Lot. aswenasany sidewalk located on or adjacent totheLot and the interior surface of any penmeter wall orfence, in a manner consistent WIth the Governwg Documents,the Commumty-Wrde Standard,andallapphcablecovenants, unless someor all of such maintenancerespcnsibrhty IS otherwise assumed byor assigned to (and accepted by) the Assocrenon ora Neighborhood Associanon, A penmeter wall orfence shallbeanyfence which serves asa boundary between aLot and Common Area" other portions of theArea of CommonResponsrbihty,oranyPnvateAmenity.
A penmeter wallar fence shall beany fence whIch serves asa boundary between aLot andanyareawhich IS notaLot,includingCommonArea, Council ownedproperty,public streets, or any Pnvate Amemty The Council shall mamtam the extenor surface (that portion facmgawayfromtheLot) of all penmeter wallsandfences In addmon, the CouncJ1 shall maintain all wrought iron portions (both extenor and intenor) of any penmeter fence With the exception of wrought iron, each Owner IS responsible for marntammg the mtenor surface of all penmeter walls and fencesonsuch Owner's LotThe Council shall maintain penmeter walls and fences as a Council Expense(asdefined m the Commuruty Covenant),provided,Ifsuchwork IS made necessary bythe actions of theLot Owner. thecosts incurred bythe Council maybe assessed specifically againstthebenefitedLotOwner, in accordance WIth theCommumty Covenant
SomeLotscontamDeclarant-installedwallswhichincludeplanters (I e,built-m containersintended for plant matenal) asa component of thewall If such walls are not penmeter walls as descnbed above, the Lot Owner shall be responsible for mamtammg such wallsandplanters If suchwallsarepenmeterwalls,theCouncilshallmaintainanyplanters located on the exterior Side of thewall and the Owner shall mamtam those planters located onthe mtenor Side of thewall Maintenance of the planters shall Include structural and aesthetic maintenance and keeping and mamtammgplantmg matenals In accordance WIth the CommunityWIde Standard The remainder of the planter wall shall be maintained as descnbed above
In addition to any other enforcement nghts, If an Owner fallsto perform properly hIS or her maintenanceresponsrbihty, the Association may Record a notice of vrolanon and/or perform
such maintenance responstbilitres and assessall costs incurred asa Benefited Assessment m accordance WIth Section 85The Association shall afford the Owner reasonable nonce and an opportunity to cure the problem pnor to entry, except when entry IS required due to an emergency situation,
52 Mamtenance of Neighborhood Property
Upon resolution of the Board, the Owners wrthm each Neighborhood shaIl be responsible for paymg, through Neighborhood Assessments, thecosts of operating, mamtainmg, and msurmg certain portions of the Area of Common Responsibility WIthin or adjacent tosuch Neighborhood, This may mclude, WIthout bnntanon, the costs of mamtammg any signage, entry features,and nght-of-way between the Neighborhood and adjacent public roads, pnvate streets within the Neighborhood, and lakes or ponds within the Neighborhood, regardless of ownership and regardless of the fact that such maintenance maybe performed bythe Association or the Council; provided, however, all Neighborhoods wluch are sunI1arly SItuated shall he treated the same
A Neighborhood Association shall maintain Its common property and any other property for which It has mamtenance responsibrhty m a manner consistent With the Govemmg Documents, the Conunumty-Wide Standard, and all applicable covenants
A Neighborhood Association also shall be responsible for mamtammg and imgatmg the landscaping within that portion of any adjacent Common Area or public nght-of-way lymg between the boundary of its common property and any wall, fence, or curb located on the Common Area or pubhc nght-of-way wrthm 10feet of Its boundary, provided, there shall be no right to remove trees, shrubs, or similar vegetation from tins area Without pnor approval pursuant to Article N
The ASSOCiation may assume mamtenance responsibility for property WIthin any Neighborhood, in addmon to that designated by Supplemental Declaration, either by agreement or because, In the opmron of the Board, a Neighborhood Association fails to perform Its mamtenance responsibrhty orthelevel and quality of service then being provided 1S not consistent WIth the COmIDUIllty4 Wide Standard. AIlcosts of mamtenance pursuant to this paragraph shall be assessed asa Neighborhood Assessment ora Benefited Assessment against only the Lots withm the Neighborhood to wluch the services are provided The provision of services in accordance WIth thisSection shallnot consnrutediscnmmanon WIthin a class
5 3
Remonsiblhtv for RepaIr and Replacement
Unless otherwise specifically provided mthe Govemmg Documents or mother Instruments creating and assigning maintenance responsrbrhty, responsrlnhty for mamtenance shall mclude responsibility for repair and replacement, as necessary to maintain the property toa level consistent WIth the Commumty-Wide Standard
By takmg title to aLot, each Owner covenants and agrees to carry property insurance for the full replacement costofall insurable unprovements on his or her Lot, lessa reasonable deductible, unless either the Neighborhood Association (If any) for the Neighborhood In wluch
theLotis located orthe Assocranon cames such insurance(which theymay,but are not obligated todo hereunder) If the Assocranon assumes responsibility for obtammg any insurance coverage onbehalf of Owners, the premiums for such insurance shall be levied as a Benefited AssessmentagainstthebenefitedLotandtheOwner
Each Owner further covenants and agrees that in the event of damage toor destruction of structures onor compnsmg his Lot, the Owner shall promptly repair or reconstruct in a manner consistent WIth the ongmalconstruction orsuch other plans and specifications as are approved m accordance WIth Article N In the event that such repair and reconstruction cannot be promptly undertaken, the Owner shall clear theLot and maintain It In aneat and attractive condition consistent with the Community-Wide Standard andsballpresentatimetablefor repair and reconstructlon tothe Board wrthm 90 days of the damagmg or destructive event The Owner shallpayanycostswlncharenot covered bymsuranceproceeds
ThisSectionsballalsoapplytoany Neighborhood Associationresponsibleforcommon property wrthm the Neighborhood In the same manner as if the Neighborhood AsSOCIatIon were anOwnerandthecommonpropertywereaLot. Additional Recordedcovenants applicable to any Neighborhood may establish requirements for insurance and more stnngent standards for rebuilding or reconstructIng structures onthe Lots wrtlun such Neighborhood and for clearing and mamtainmg the Lots ID the event the structures are not rebuilt or reconstructed.
Article VI
6I
The AssociatIon and ItsMembers
Function of the ASSOCiation
The AsSOCIatIon shall bethe entity responsible for management, maintenance, operation, andcontroloftheArea of Common Responsrbrhty The Association alsoshallbethepnmary entIty responsible for enforcement of the Governmg Documents The Association shall perform its functions in accordance WIth the Governing Documents and Anzonalaw.
62 Memberslnp
EveryOwnersballbeaMemberofthe Assocranon, Theresballbeonlyone memberslnp perLot If aLot IS ownedbymorethanonePerson,all co-Owners shallsharethepnvilegesof memberslup, subject to reasonable Board regalanon and the restnctlons onvotmgset forth m Section 6 3(c)and In the By-Laws, andallsuch co-Owners shallbe jointly and severally obligated toperformthe responsrbihties of OwnersThe memberslnp nghtsofanOwner which IS nota natural person may be exercised by any officer, director, partner, or trustee. orbythe individual designated fromtimetotimebytheOwnermawntten mstrwnent providedtothe Secretary of the Association
63 Vollng
The Association shall have two classes of membership, Class "A" and Class "B "
(a) Class'IA" Class "N' Members shallbeall Owners except the Class"B" Member, If any Class "N! Members shall haveone equal vote for eachLotm which they hold the interest required formembershipunder Section 62,exceptthatthereshall be only one vote per Lot No voteshallbe exercised forany property winch IS exemptfromassessmentunder Section 810.
(b)Class"B" The soleClass"B" Member shallbe Declarant The Class"E" Member may appoint a majority of themembers of theBoardduringtheClass"B"Control Penod, as specified mthe By-Laws. Addrtronal nghts of theClass"B" Member arespecifiedm the relevant sections of the Govermng Documents
TheClass"B"membershipshall tenomate npontheearlier of (I)twoyearsafterexpiration of theClass"B" Control Penod, or (11) when,mItsdiscretion,Declarantsodeterminesanddeclares in a Recorded mstrument
Upon tenmnanon of the Class "E" membership, Declarant shall bea Class "A" Member entitled to Class I'N' votes for eachLot WIDch It owns
(c) ExercIse ofVotmg RIghts If there 15 more than one Owner ofa Lot. the vote for suchLotshallbe exercised asthe co-Owners determme among themselves and advise the Secretary of the AsSOCIatIon m writing pnor to the vote bemg taken. Absent such advice and ill the event that more than onesuch co-Owner casts a vote, the Lot's vote shallbe suspended and shallnotbe included ill the final votetallyon the matter being voted upon.
64 Neighborhoods
EveryLotshallbe located within a Neighborhood, Unlessanduntiladditional Neighborhoods areestabhshed, Anthem Parkside shall COOSlSt of asmgle Neighborhood Lotswtthm a particular Neighborhood maybe subject to covenants ill addition tothoseset forth In thisDeclarationand, If required by laworotherwiseapprovedbyDeclarant,theOwners within the Neighborhood may be members of a Neighborhood Association madditiontothe AsSOCIatIon
Exhibit "A" to this Declaration and each Supplemental Declaration submitting acdrnonal property totlusDeclaration uunally shallassignthe submitted propertytoaspecific Nerghborbocd (bynameor other rdentrfymg designanon), wluch Neighborhood may be then existing ornewlycreated.SolongasIthasthe nght tosubject additional propetty totlus Declaration pursuant to Section 9 I, Declarant may unilaterally amend this Declaration orany Supplemental Declaration to create Neighborhoods or redesignate Neighborhood boundanes However, twoor more existmg Neighborhoods shaII notbe combmed without the consent of Owners ofa majority of the Lots m the affected Neighborhoods
The Owners withm any Neighborhood may request that the ASSOCiation provide a higher levelof service than lhat which the ASSOCiatIOn generally provides toall Neighborhoods ormay request that the Associationprovidespecialservices for the benefit of Lots tn such
Neighborhood, Thecost of such services, which may Include a reasonable administrative charge In suchamount as theBoarddeemsappropriate(provided,anysuch admuustralIve chargeshall apply ata uniform rate per Lot to all Neighborhoods receiving the same service), shall be assessedagainstthe Lots within such Neighborhood as aNeighborhood Assessment Uponthe affirmative vote, wntten consent, or a combination thereof, of Owners of a mejonty of the Lots withintheNeighborhood,theAssociation shall providethe requested services,
Article vn Association Powers and Responsibilities
7 1
Acceptance and Control of AssociatIon Propet:t'l
(a)TheAssociationmayacquire,hold,lease (as lessor or lessee), operate, and dispose of tangibleandintangiblepersonalpropertyandrealproperty,subjecttotheprovisions of Sections 155 and 18.4 The Association may enter into leases, licenses, or operating agreements for portions ofthe Common Area, for such consideration orno constderation asthe Board deems appropriate, to permit use of such portions of the Common Area by third parties for the general benefit or convenience of Owners and other residents of Anthem Parkside
(b) Declarant and Its designees may convey to the Association, and the AsSOCIation shall accept,personalpropertyandfeentle, leasehold, orotherpropertyinterests In anyreal property, unproved. or ummproved, described In Exhibits "A" or "B 11 Upon Declarant's wntten request, the Association shall reconvey to Declarant any umrnproved portions of the Common Area ongmally conveyed to the Association for no consrderauon, to the extent conveyed by Declarant In error or needed by Declarant to make minor adjustments in property hoes
(C) The Association shallbe responsible for management, operation, and control of the Common Area. subject toany covenants and restncnons set forth m the deedor other instrument transferring such property tothe Association. Wlthout the necessity of complying WIth theproceduressetoutmArttcle ill, theBoardmayadoptsuchreasonable rules regulanng use of the Common Area as It deems appropnate
7 2 MaIntenance of Area of Common Responslblltty.
(a) The Association shall mamtam, m accordance With the Community-WIde Standard, theArea of Common Responsrbrlny, whichmayinclude,butneednotbe limited to
(1) allportions of andstructures SItuated upontheCommonArea (includmg, Without limitation, areas designated as open space oras retennon areas),
(11) landscaping WIthin public rights-of-way withmorabuttmgAnthem Parkside,aod
(111) such portions of any addtttonal property as maybe dictated by Declarant, tlns Declaration, any Supplemental Declaration, any Plat of any portion of Anthem Parkside, or any contract, covenant, or agreement for rnamtenance thereof entered mto by,or for the benefit of. the Association, and which IS not otherwise mamtamed by the Council
The Association shallnotbe hable for any damage or mjury occurring on, or ansing out of the condition property winch Itdoes not ownexcepttothe extent thatIt has been negligent In the performance of Its mamtenance responsibrlrties
(b) The Assccianon shall mamtain theCommon Area faclhties and eqwpment in continuous operation, except forany penods necessary, as determmed mthesole discretion of the Board, to perform required maintenance or repairs, unlessClass "A" Members representing 75% of the votes m the Association and the Class "B" Member. if any. agree m writing to discontinue such operation,
(c)Thecosts associated WIth maintenance, repair, and replacement of theArea of Common Responsibility shall bea Common Expense, provided, the Association may seek reimbursement from the owner(s) of or other Persons responsible for, certain portions of the Area of Common Responsrbrlrty pursuant to this Declaration or other Recorded covenants or agreements with the owner(s) thereof. Maintenance, repair, and replacement of Limited Common Areas shall bea Neighborhood Expense assessed to theNetglIborhood(s)to which such Limited Common Areas are assigned, notWIthstandmg that the AsSOCIatIon maybe responsible for perfonmng such mamtenance hereunder
73. Insurance
(a) ReqUIred Coverages The Association shall obtain the insurance coverage the Board deems necessary or desirable In an effort to satisfy the requirements of the Federal Home Loan Mortgage Corporation,theFederalNationalMortgage Association, theUS Department of Veterans Affairs, andtheUS Department of Housing and Urban Developmeot, as applicable to Anthem Parksrde Accordingly, theBoardshallobtain casualty insuranceforall insurable Improvements. If any. which the ASSOCIation JS obhgated to mamtam. Thrsinsurance shall provide, ata minimum, :lire and extended coverage and shallbe in an amount sufficient tocover the full replacement cost of any repair or reconstruction mthe event of damage or destructionfromanysuch hazard.
TheBoardalsoshall obtain apublic habrhty policy applicable tothe Common Area covenng the Association and the Members for all damage or injury caused bythe negligence of the Association orany of ItS Members or agents, and, If reasonably available, directors' and officers' habrhty insurance The public lrabrhty policy shall havea combined smgle hmit of at least $1,000,00000 Pohcres may contain a reasonable deducnble as determmed bythe Board. Theamount of any deductible shallbetreatedasa Common Expense ora Neighborhood Expense In the same manner as the premiums forthe applicable Insurance coverage, or levied as a Benefited Assessment
In addition to other Insurance required by this Section, the Board shall obtain worker's compensation Insurance, If and to the extent necessary to satisfy the requirements of applicable law, and a fidelity bond or bonds on directors, officers, employees, and other persons handlmg or responsible for the ASSOCIatiOn's funds, If reasonably available If obtained, the amount of fidelity coverage shall atleast equal three months' total assessments plus reserves on hand.
Fidelity coverage shall contain a waiver of all defenses based uponthe exclusion of persons serving Without compensation. All such insurance coverage shall be wntten ill the Association's name
In addmon,the Association shall, If so specified inaSupplemental Declaration apphcabletoany Neighborhood, obtamand maintain propertyinsuranceonthe insurable improvements on theLots withm such Netghborhocd whichinsurance shall comply with the reqmrements of subsection (a)(I) Any suchpoliciesshallprovideforacertificateofinsuranceto be furnished uponrequesttotheOwnerofeachLot insured,
PremiumsforallinsuranceontheAreaof Common Responsibilityshallbe Common Expenses,exceptthat(,)prenuumsfor property insurance onLotswithina Neighborhood shall bea Neighborhood Expense,and(u)prenuumsfor insurance onLimitedCommonAreasmaybe included In the Neighborhood Expenses of the Nerghborhoodfs) towluchsuchLirmtedCommon Areas are assigned unlesstheBoard reasonably deternunes that othertreatment of thepremiums IS more appropnate
(b) Policy Reqrnrements The Association shall arrange foranannualreview of the sufficiency of the insurance coverage It camesfor Itself by oneor more quahfied Persons, at leastone of whommustbe familiar WIth insurable replacement costs ill the Mancopa County, Anzona area. All Association pohcies shall provide for a certificate of insurance to be furmshed tothe AsSOCIatIon and., uponrequest, to each Member insured,
(c) RestoTIng Damaged Improvements In the event of damage to or destrucnon of Common Area or other property wInch the Associanon IS obligated to insure, the Board Or Its dulyauthonzedagentshallfileandadjustall insurance claimsandobtamreliableanddetailed estimates ofthecost ofrepaumg orrestonngthe property 10 substanllallythecondition In which It existed pnortothe damage, allowmg for changes or Improvements necessitated by changes m applicable building codes
Damaged Improvements onthe Common Area shall be repaired or reconstructed unless the Class nAil Members representing at least 80% of the total votes m the Association, and Declarant, If any, decide within 60 days after thelossnotto repair or reconstruct If the damage IS toLurutedCommon Area, 80% of the Owners towhichsuchLuruledCommonArea IS assigned and Declarant, If any, must votenot to reparr or reconstruct
If either the insurance proceeds or estunates oftheloss,or both., arenot available tothe Association within such60-daypenod,thenthepenodshallbeextendeduntilsuch funds or Information are available However, such extension shan notexceed 60 additional days No Mortgageeshallhavethe nght to partrcspate zn the deternunallon of whetherthedamageor destruction tothe Common Area shall be repaired or reconstructed,
Ifa decrston IS made notto restore the damaged improvements, and no alternative Improvements are authonzed, the affected property shall be cleared of all debns and rums and thereafter shall be mamtamed by the ASSOCiation In a neat and attractive, landscaped condition consistent WIth the Community-Wide Standard
Exceptasotherwise required bytheAct,any insurance proceedsremainingafter paying thecosts of repair or reconstruction, or after such settlement as IS necessary and appropriate, shall beretainedbythe Association forthebenefit of Its Members orthe Owners of Lotswithmthe insured Neighborhood, as appropnate, and placed in a capital unprovements account This 15 a covenantforthebenefitof Mortgagees andmaybeenforcedbytheMortgagee of any affected Lot
If insurance proceeds are insufficient to cover thecosts of repair or reconstruction, the BoardmaylevySpecial Assessments tocovertheshortfallagamstthoseOwners responsible for the premiums forthe applicable lI1SUl"3D.ce coverage under subsection (a)
7 4 ComplIance and Enforcement
(a)The Board may impose sanctions for violation of the Governmg Documents after nonce and an opportumty fora beanng In accordance with the procedures set forth In the ByLaws The Board shall establish a range of penalties for such violations, WIth. violations of the Declaration, unsafe conduct, and harassment or intentionally malrcrous conduct treated more severely than other violations Such sanctions may Include. without lnmtanon, those otherwise specifically setforthmtheGovemmg Documents, and(I) Imposmg a graduated rangeof reasonable monetaryfineswInchshallconstituteahenuponthe VIolator's Lot,(u) suspendmg an Owner's nght to vote. (m) suspending any servicesprovided by the AsSOCIatIon. (IV) exercising self-help ortalang action to abate any vrolation oftbe Governing Docwnents m a non-emergency srtuatron, and (v)levymg Benefited Assessments tocovercosts Incurred. bythe Associanon or Council tobnngaLot mto compliance wtth the Governmg Documents
In theevent that any tenant or resident of a Lot other than the Owner VIolates the Governmg Documentsandafine IS unposed,thefineshallfirstbeassessedagainstthe VIolator; provided,however,Ifthefine IS notpaidbythe VIolator withinthettmepenodsetbytheBoard, the Owner shallpaythefine upon notice from the Board For each failure tocomply,the amount of said fineshallnotexceedthe maximum permitted bythe Act
In addition, the Board may take thefollowmg enforcement procedures to ensure comphance WIth the Governmg Documents WIthout the necessity of compliance WIth the notice andheanngproceduressetforthmtheBy-Laws
(1) exercising self-help In any emergency situation (specifically mcludmg, but not hmrted to,the towing ofvelncles that are In violation of parlang rules),or
(u)bnngmgswtatlaworm equity to enjoin any Violation orto recover monetary damages or both.
All remedies set forth m the Goverrung Documents shall be cumulative of any remedies available atlawor In eqwtyIn any action to enforce the Govemmg Docwnents, Ifthe ASSOCiatIon prevails, It shall be entitled to recover allcosts, mcludmg, Without ltmitanon, attorneys' fees and court costs, reasonably incurred 10 such acnon

(b) The decision to pursue enforcement action many particular case shall be left to the Board's discretion, except thatthe Board shallnotbe arbitrary or capricious in takmg enforcement action Without hmmng the generality of the foregomg sentence, the Boardmay determine that, under the circumstances of a particular case (1) the Association's position is not strong enough to justify taking, or It IS not in the Association's best interests (based on hardslnp, expense, or other reasonable cntena) to pursue, anyorfurther action, (11) the covenant, restncnon, or rule bemg enforced IS, or IS hkely tobe construed as, mconsistent with apphcahle law, or (111) although a technical violation may exist or may have occurred, It IS not of such a material nature astobe objectionable to a reasonable person or to justify expencb.ng the Association'sresources Such a decision shall notbe construed a waiver of the right of the Association to enforce such provision ata later timeunder other circumstances or preclude the Association from enforcing any other covenant, restriction, or role
The Association, by contract or other agreement, may enforce applicable cityand county ordinances, If applicable, and Mancopa County or other governmental euthonues may enforce ordmances within Anthem Parkstde
75 ImplIed RIgbts: Board Authonty
The Association may exercise any right or pnvilege givento It expressly by the Governmg Docwnents or reasonably unphed fromor reasonably necessary to effectuate any such nght or pnvilege Except as otherwise specifically provided mthe Governmg Documents or by law,all nghts and powers of the Association may be exercised bythe Board without 3 vote of the membership
76IndemnIficatIOn of Officers. Directors. andOthers
(a)The Association shall mdemmfy every officer,director,and COD1I11lttee member agamst all damages and expenses, mcludmg counsel fees, reasonably incurred ID connection With any action, SUIt, or other prcceedmg (mcludmg settlement of any SUIt or proceeding, If approved by the then Board of Directors) to wlnch he or she may be a party by reason of being or havmg been an officer, director, or committee member, except that such obhgation to indemrufy shall be limited tothoseactionsfor wlncb habihty IS hmited under Anzona law.
(b) The officers, directors, and committee members shall not be liable forany mistake of Judgment, negligent or otherwise, exceptfor their own individual willful nusfeasance, malfeasance. misconduct, orbadfaith The officers and directors shallhaveno personal habihty With respect toany contract orother commitment made or action takenm good faith on behalf of the Association (except tothe extent that such officers or directors may alsobe Members of the Assocratron)
77 Safety and Secunty
Each Owner and occupant of a Lot, and their respective guests and lnvuees, shall be responsible for their own personal safety and the security of their property in Anthem
Parkside. The Association may, but shall Dotbe obligated to, maintain or support certain activities within Anthem Parkside designed to enhance the level of safety or securrty which each person provides for himself and his property. The Association, the Council, and Declarant shall not in any way be considered insurers or guarantors of safety or secunty within Anthem Parkside, nor shall they be held liable for anylossor damage by reason of faIlure to provide adequate security or ineffectivenessof security measures undertaken.
No representation or warranty is made that any systems or measures, including any mechanism or system for limitIng accessto Anthem Parksrde, cannot be compromised or circumvented, nor that any such systems or security measures undertaken WIll in all eases prevent loss or provide the detection or protectIon forwhich the system is designed or intended.. Each Owner acknowledges, understands, and shall be responsible for informing its tenants and all occupants ofits Lot that the Associatlon, Its Board and committees, the CouncIl, and Declarant are not insurers or guarantors of security or safety and that each Person within Anthem Parkside assumes all rrsksof personal injury and loss or damage to property, ineludIng Lots and the contents of Lots, resulnng from actsof third parties,
78 ProVlslon of ServIces
The Association may provide, or provide for, services and facilmes for all or any of the Membersand their Lots, andshallbeauthonzed to entermtoand tennmate contractsor agreements WIth otherentities,including Declarant, toprovidesuchservicesandfacihnesThe Boardmaycharge use orservicefeesfor any suchservices and facilities provided, or may include the costs thereof in the Association's budget asa CommonExpenseandassessIt as part of theBaseAssessment If provided to allLots Byway of example,suchservicesandfacrhnes might include landscape maintenance, trash collection, pestcontrol service, cable television service,security, caretaker, transportation, fireprotection,utilities,recyclmg,any services required by Mancopa Countyorotherapphcablegovernmental authonues, and sinnlar services andfacihnes
Nothing In tlusSectionshallbeconstruedasarepresentationby Declarant orthe Associationasto what, Ifany, services shallbeprovided, In addition,theBoardshallbe permittedtomodifyorcancelexistingcontractsfor services m Its discretion,unlessthe provision of suchservicesisotherwiserequired by theGovemmgDocumentsNon-use of services providedtoallOwnersor Lots asaCommonExpenseshallnotexemptanyOwnerfromthe obhgatrontopayassessmentsforsuchservices
In anycontractsoragreements WIth tlurdpartiesforthe provision of services wrthin AnthemParkside,the ASSOCiatIon mayassigntothe service provider the nght tobill Owners directlyandtopursuealllegalorequitableremediesotherwiseavailabletothe Association in the collection of suchbills Any chargebilleddirectlytoanOwner in accordance WIth sucha contractbetweentheAssociationandthe service providershallbeachargeand continuing hen in favor of theserviceprovideragainsteachOwner's Lot, enforceablebythe service provider orthe AsSOCIatIon (aspertheagreementbetweentheAssociationandthe service provider) 10 the mannerprovidedfortheenforcement of hensforassessments 10 ArticleVIII
7.9 VIew Imparrment
Declarant, the Associahon, or the Council make no guarantee or representation that any viewover and across the Lotsoranyopen space within Anthem will. be preserved without impairment.. Declarant, theAssociation, and the Conncilshall not have the obligahon to relocate, prune, or thintreesor other landscaping exceptasset forth in Article V or as otherwise setforth lD a covenant or agreement binding the Assocsatton. The owner of open space areas shallhavethe right to add trees and other landscaping from timeto time subject to applicable law and the Governing Dccameats, If applicable. Any express or implied easements for VIew purposes or for the passage of lIght and air are hereby expresslydisclaimed.
7.10 RelatIonshIp WIth NeIghborhood AssocIatIons
TheAssociation shall have the power to veto any action takenor contemplated tobe takenbyany Neighborhood Association which the Board reasonably determines tobeadverse to the interests of theAssocianon or Its Members or inconsistent With theCommunity-Wide StandardTheAssociationalso shall have thepowertorequirespecificactiontobetaken by any Neighborhood Assocranon in connection WIth rta obligations and responsibthties, such as requmng specificmamtenanceor repairs oraestheticchangestobeeffectuated and requmng that aproposedbudgetinclude certam items andthat expenditures bemadetherefor
A Nerghborhcnd Association sball take appropriate action required by the Association in a wntten notIce WIthin the reasonable time frame set by the Association in the nonce If the Neighborhood Association fadsto comply, the Association shall havethenghttoeffect such action on behalf of the Neighborhood AsSOCIatIon and levy Benefited Assessments tocoverthe costs. aswellasan admtmstratIve charge and sanctions
711 Election orCounell Board Members
As setforth In, and in accordance with, theCommunity Covenant, theBoardshall provideforthe electron of one or more Persons toserveonthe COunCIl'S board of directors.
Article VID Assceiation Finances
81Budgetmg and Allocatmg Common Expenses
TheAssociation IS authonzed hereby to levyBase Assessments equally agamstallLots subjectto assessmcot underSection86tofundtheCommon Expenses Atleast60daysbefore thebegmnmgofeachfiscalyear,theBoardshallprepareabudget of theestimatedCommon Expenses for the corning year, mcludmg anycontnbunonstobemadetoa reserve fund pursuant to Section 83 Common Expenses shall include the ASSOCiation's contnbutions to the Council 111 accordance WIth the Commumty Covenant Thebudget alsoshall reflect the sources and estimated amounts of fundsto cover suchexpenses. which may include anysurplus to be applied from pnor years,any Income expected from sources other than assessments levied against the Lots, andthe amount tobe generated through the levy of Base Assessments and Special
Assessments against the Lots, including Lots reasonably anticipated to become subject to assessment dunng the fiscal year
The Board shall send a copy of thefinal budget tothe Council and notice of the amount of the Base Assessment to be levied pursuant tosuch budget toeach Owner and tothe Council at least 30 days pnor tothe effective date of such budget Except as required for the exercise of approval nghts under Section 89, the budget shallnotbe subject to Owner approval andthere shall beno obhgation to send each Owner a copy of the budget or call a meeting forthe purpose of consrdenng the budget
If any proposed budget 15 disapproved under Section 89,or the Boardfailsforany reason to determme the budget for any year, then the budget most recently in effect shaIl continue In effect until anew budget is determmed.
TheBoardmay revise thebudgetand adjust theBaseAssessmentfrom tune totune dunng the year, subject to Section 89 and the notice requirements set forth above.
8 2 BudgetIng andAllocatmg NeIghborhood Expenses
The Association 15 authonzed hereby tolevy Neighborhood Assessments equally against all Lots In the Neighborhood which aresubjectto assessment under Section 86tofund Neighborhood Expenses, provided, If so specified In the applicable Supplemental Declaration or If so dtrected by pennon SIgned by a majonty of the Owners within the Nergbbcrhood, any portion of the assessment Intended to benefit particular Owners within a Neighborhood (e g for extenor mamtenance ona structure or for mamtenance of landscepmg wrthm a cul-de-sac) shall be levied on each of the benefited Lots m propornon to the benefit received,
At least 60days before the begmmog of eachfiscalyear,the Board shall prepare a separate budget cavenng the estimated Neighborhood ExpensesforeachNeighborhoodon whose behalf Neighborhood Expenses areexpectedtobe Incurred durmg the COIDIng year Eachsuch budget shall Include any costs for eddttIonal servicesora hrgher level of services which the Owners In such Neighhorbood have approved pursuant to SectIon 64(a) andany contnbutIon to be made toa reserve fund pursuant to Section 83 The budget also shall reflect the sources and estimated amounts of funds tocover such expenses, which may Include any surplus tobe apphed from pnor years, any Income expected from sources other than assessments levied against the Lots, andtheamount required tobegenerated through the levy of Neighborhood and Special Assessments against the Lots In such Neighborhood.
The Board shall cause a copy of the Neighborhood budget and notice of the amount of the Neighborhood Assessment for the cornmg year tobe delivered to each Owner in the Neighborhood at least 30dayspnorto the begmrung of the fiscal year Except as required under Section 89, budget shall notbe subject to Owner approval and there shall beno obhganon tocall a meeting for the purpose of consrdenng the budget
If theproposed budget for any Neighborhood 1S disapproved as permitted under Section 89, or If the Board fails for any reason to deternune the budget for any year, then until such time
asa budget IS determmed, the budget in effectfortheimmediately preceding year shall continue for the current year
The Board may revisethebudgetforany Neighborhood andtheamount of any Nerghborhood Assessment from time to tune dunng the year, subject to Section 89 and the notice requirements set forth above
Allamountscollectedbythe Association as Neighborhood Assessments shall be held in trust and expended solelyforthe benefit of the Neighborhood for winch theywerecollected. Such amountsshallbe accounted forseparatelyfromthe Association's general fund.
8 3
Budgeting for Reserves
The Board shall prepare and review penodically a reserve budget forthe Area of Common Responsibility andfor each Neighborhoodfor winch the Association maintains capital Itemsasa Neighborhood Expense, If anySuchbudgetsshalltake into account the number and nature of replaceable assets,the expected. life of each asset, and theexpected repair or replacement cost If the Board elects, In the exercise of Its business Judgment, to fund reserves, It shallmclude in the Common Expense budgetadopted pursuant to Section 81orthe Neighborhood Expense bndgets adoptedpursuantto Section 82,as appropnate, a Capital contribution to fund reserves in an amount sufficient to rneet the projected need WIth respect both to amount and tuning by annual contnbunons over the budget penod Solongas the Board exercises business Judgment ill deterrrumng the necessity of a reserve fund, and an adequate amount of reserves, the amount of the reserve fund, If any. shallbe considered adequate.
The Board may adopt resolunons regardmg the expenditure of any reserve funds, mcludmg pohcies designatmg the nature of assets for which reserve funds maybe expended. Such pohcres may differ for general Association purposes and foreach Neighborhood. Solong as Declarant owns any property descnbed m Bxhibits "A" or "B," neither the Association nor the Board shalladopt, modify, limit, or expandsuch policies without Declarant's pnor wntten consent
The Board may enter mto agreements With Declarant, on negotiated terms. under which Declarant may cbhgate Itselfto provide reserve funds as needed ona "cash basis" 1I11Ieu of the Association funding reserves onan accrual basis
8 4 SpecIal Assessments
In addition to other authonzed assessments, the Association maylevy Special Assessments tocover unbudgeted expenses or expenses in excess of those budgeted Any such Special Assessment may be levied against the entire membership, If such Special Assessment IS for Common Expenses, or against theLots withm any Netghborhood If such Special Assessment IS for Neighborhood Expenses Except as otherwise specifically provided In this Declaration, any Special Assessment shall require the affirmative voteor wntten consent of Class "A" Members representmg at least two-thirds of the total votes allocated to Lots which WIll be subject to such Special Assessment, and the affirmative vote or wntten consent of the Class "B"
Member, If such exists Special Assessments shall be payable msuch manner and atsuch times asdetennmedbytheBoard,andmaybepayablem installments extendingbeyondthe fiscal year mwhich the Special Assessment is approved.
85. Benefited Assessments
The Association shallbavethepowertolevy Benefited AssessmentsagainstanyLotas follows
(a)tocoverthe costs, including overhead and admmistrative costs, of providing services to Lots upon request of an Owner pursuant toany menu of special services which may be offered bythe Association orthe Council Benefited Assessments for special services maybe levied in advance of the provision of the requested service, and
(b) tocovercostsincurredmbnngmgtheLotintocompliancewiththe Governing Documents orcosts mcurred asa consequence of the conduct of the Owner or occupants of the Lot, their agents, contractors, employees, licensees, mvrtees, or guests; provided, the Association shall give theLot Owner pnor wntten nonce and an opportunIty fora heanng, m accordance with theBy-Laws,beforelevyinganyBenefited Assessment underthis subsection (b).
The Association mayalsolevya Benefited Assessment agamst theLots within any Neighborhood to reimburse the Association forcosts incurred ill bnngingthe Neighborhood into comphance WIth the provisions of the Govermng Documents, provided the Board gives pnor wnttennoticetothe Owners ofLotsmthe Neighborhood andanopportunityforsuchOwnersto be heard before levying anysuchassessment
TheCouncil,porsuanttotheCommunity Covenant, alsosballbeauthonzedtotakesuch corrective action to cure violations of the Govenung Documents ortobnngaLot into compliance with the Commumty-Wtde Standard If theCouncilundertakessuchaction,the Council IS authonzed toassessthe Owner forallcosts incurred.
86. Commencement ofObhganon. TIme of Payment
The obhgatron to pay assessments shall commence astoeachLotonthe first day of the monthfollowing(a)themonthmwluchtheLot IS madesubjecttothis Declaration, or (b) the month In which the Board first detenmnes a budget and levies assessments pursuant to thIs Article, wluchever IS later However, dunngthe time that aLot IS ownedbya Builder for the purpose of development and resale in Its ordmary course of business, suchLot shall be assessed only25%ofthefullBase Assessment rateand25%ofanySpecialAssessmentor Neighborhood Assessment which would otherwise be payable dunng such penod.. The first annual Base Assessment and Neighborhood Assessment, If any, levied oneachLot shall be adjusted according to the nwnber of months remammg In the fiscal year atthetune assessments commence ontheLot
Assessments shall be paid In such manner and on such dates asthe Board may establish, The Board may require advance payment of assessments at closing of the transfer of ntle toaLot and Impose special requirements for Owners With a history ofdelmquent payment If the Board
so elects, assessments may bepard in quarterly or montbly installments Unless the Board otherwise provides, theBase Assessment and any Neignborhocd Assessment shall be dueand payable in advance onthe first day of eachfiscal year If any Owner IS delinquent m paying any assessments or other chargesleviedonIus Lot, the Board may require the outstanding balance on all assessments tobepaid in full immediately
8 7 OblIgatIOn for Assessments
<a) Personal Obhganon Each Owner, by accepting adeador entering intoa Recorded contract of salefor any Lot. 15 deemed to covenant and agree topay all assessments authorized. in the Govermng Documents All assessments, together WIth interest (computed from Its due date ata maximum rate of 18% per annum or such higher rate as the Board may establish, subject tothe bmrtatrons of Anzona law), reasonable late charges as detenmned by Board resolution (as linuted bytheAct), costs, and reasonable attorneys' fees, sball bethe personal obhgatIon of each Owner anda hen upon each Lot until paid in full Upon a transfer of titletoa Lot,the grantee shallbe jointly and severally liable forany assessments and other charges dueat the time of conveyance
The Board's failure to fix. assessment amounts or rates or to deliver or mall each Owner an assessment nonce shall notbe deemed a waiver, modification, or a release of any Owner from the obhganon to pay assessments In such event, each Owner shall continue topayBase Assessments and Neighborhood Assessments onthe same basis as dunngthe last year for wlnch an assessment was made, If any, until anew assessment IS levied, at winch timethe Association may retroacnvely assess any shortfalls in collections
No Owner may exempt himself from habihty for assessments by Don-use of Common Area, abandomnent of Ius Lot, non-use of facrhties or property operated or maintained by the Council, orany other means The obligation topay assessments IS a separate and mdependent covenant onthe part of each Owner No dimmuttcn or abatement of assessments orset-off shall be claimed or allowed for any alleged failure of the AsSOCIatIon or Board totakesome action or perform some function reqwred of It, orfor mconvemence or discomfort arising from the making of repairs or unprovements, or from any other action rt takes.
Upon wntten request from an Owner. Mortgagee, or other Person designated bythe Owner, the AsSOCIatIon shall funush a statement settmg forth the amount of any unpaid assessment agamst such Owner's LotThe statement shall be bmdmg uponthe Assccianou, the Board, and the Owners tothe extent mandated by Arizona law If the AsSOCIatIon fails to provide such statement within 15 days of Its receipt of a wntten request, any hen for unpaid assessments then due shall be exnnguished tothe extent mandated byAnzonalawThe ASSOCiatIOn may require the advance payment of a reasonable processing feeforthe Issuance of such statement
(b) Declaranrs Obhgalion
(1) Pavrnent of the "Shortage" Dunngthe Class "B" Control Period, and with respect solelyto Assocranon expenses (l e, expenses which are not Anthem communityWIde expenses Incurred bythe Council), Declarant shall notbe obligated topay assessments on
its unsold Lotsbut,instead,shallbe obhgated topaythe"shortage"(, e , operating deficit)for eachfiscal year A "shortage" shall exist If Income andRevenues(as defined below)fora particular fiscal year arelessthanExpendItures(as defined below) incurred fortheSamefiscal year Income and Revenues and Expenditures aretobe calculated using the accrual basis of accounting
(A) Income and Revenues are.theamount of all income and revenue of any kind earoed bythe Associanon dunng the subject fiscalyear, including, but not limitedto, assessments, usefees, subsidies (If any) provided by Declarant,and income fromall other sources For purposes ofthts Section, assessments foreachLot are deemed earned on the annual anniversary date of the commencement of assessments with respect to such Lot
(B) Expenditures arethe amount of all actual operating expenses incurred, or obhgated for, by the Association dunng thesubjectfiscalyear, including without lnmtanon (1)any reserve contnbunons for such year,and(2)any budgeted or approved nonbudgeted capital assets acquired dunng thefiscalyear,butexcluding(1)all non-cash expenses suchas depreciation or amortization, (2) expenditures foror purchase of non-budgeted, nonapproved Items,(3)all expenditures madefrom reserve funds,and(4)any amounts levied by the Ccuncilrelating to uou-Assocranon expenses For purposes of this paragraph, "approved" shalI mean pnorwntten approval of Declarant
(C)Any shortage ma particular fiscalyear IS to be offset by any surplus fromapreviousfiscalyearA surplus IS achieved when, usmg an accru.aJ. basts of accounting, Income and Revenues fora particular :fiscal year exceed Bxpendrtures for the same fiscal year
Payment of the shortage shall exempt Declarant from payment of Neighborhood or Benefited Assessments. and any portion of Base and Special Assessments not attnbutable to Council operations. Declarant's obhgancn foranyBase and Special Assessments attnbutable solely to Council operanons shallbe governed by the Community Covenant
(h) OptIon to Pay "Shortage" Following expiration or termmation of the Class "B'' Control Penod, Declarant may annually electeitherto pay the assessments descnbed in subsection (1) aboveoneach of ItS unsold Lots or to pay the shortage for such fiscalyear The Declarant's election may be made separately WIth respect to Base Assessments and Neighborhood Assessments If Declarant electstopay assessments oneach Lot and., after such payment, a shortage exists, Declarant may. but shall Dot be obligated to,paysuch shortage. Unless Declarant otherwise notifies the Board in writing at least 60 days before the beginning of each fiscal year, Declarant shallbe deemed tohave elected to connnue p3YJng on the same basis as dunng the immediately preceding fiscal year
(Ill) SubsldIes/"I" Kmd" ContnbUtion The Association IS specifically authonzed to enter Into subsidy contracts or contracts for "inkmd" contnbutlon of services, matenals, ora combmanon of services and matenals WIth Declarant or other entities for payment of Common Expenses Declarant's payment of assessments may be reduced or abated bythe
agreed value of anysuch services or materials provided by Declarant, in accordance with any such contract or agreement With the Assocrenon.
8 8 Lien for Assessments
Subject to any lumtanons imposed by Anzona law, all assessments and other charges of the Association authonzed In tlns Article or elsewhere in tlns Declaration shall constitute a hen against theLot agamst which they are levied from the tune such assessments or charges become due unnl paid The lien shall also secure payment of interest (subject to the lumtalions of Anzona law),late charges (as limited hythe Act), and costs of collection (mcludmg attorneys' fees, lien feesand admlDlstralIve costs) Such lien shail be supenor to all other liens, except any hen of the Council, thelienor charge of any Recorded first Mortgage (meaning any Recorded Mortgage WIth first pnonty over other Mortgages) made in good fiuth and for value, and those hens deemed by Arizona law to be supenor The lien created by tins ArtIcle shall have prionty overany hen for assessments asserted byanyother CODlIDUDlty or property owners association, including, Without hmrtauon, any Neighborhood Assocranon, The Association may enforce such hen, when any assessment or other charge is dehnquent, by SUIt, judgment, and foreclosure; provided, If enforcement proceedings are not instituted wtthm three years after the full amount of the assessment or other charge becomes due,thehen (but notthe personal oblIgation of the subject Owner) sball be deemed exunguished,
The Association may assign Its bennghts to third parties, mcludmg serviceproviders as described in Section78
The Association maybidfortheLotatthe foreclosure sale and acquire, hold,lease, mortgage, and conveythe Lot 'Wlnle a Lot IS ownedbythe ASSOCIation following foreclosure. (a)no nght tovole shall be exercised on Its behalf, (b) no assessment shall be levied onIt;and (c)each other Lotshallbe charged. In addition to its usual assessment, ItS pro rata share of the assessment that wouldhavebeen charged suchLothad It notbeen acquired bythe Assocraucn, The Association maysuefor unpaid assessments and other charges authorized hereunder WIthout foreclosing or WaIvwg thehensecunng the same
Saleor transfer of anyLotshallnotaffectthe assessment hen orrehevesuchLot from thehenforany subsequent assessments However, saleor transfer of anyLot pursuant to foreclosure of thefirst Mortgage shall extinguish the lien astoany mstallments of such assessments duepnortothe foreclosure The subsequent Owner tothe foreclosed Lotshallnot be personally liablefor assessments onsuchLotduepnortosuch acquisition of title Such unpaid assessments shallbe deemed to be Common Expenses collectible from Owners of all Lots subject to assessment under Section86, including such acquirer, Its successors and assigns
8 9 LimitatIOn on Increases of Assessments
Notwithstanding any provtsion tothe contrary, and except for assessment increases necessary for emergency sttuatrons, the Board maynot impose aBaseAssessmentor Neighborhood Assessment that IS more than 20% greater than such assessments for the
unmedtately precedmg fiscal year without the approval of a majority of theClass"A" Members subject tothe applicable assessment Approval may be indicated byvoteor wntten consent
An emergency situation IS anyone ofthe following
(a)an extraordinary expense reqwred byan order of acourt,
(b) an extracrdmary expense necessary to repair or rnamtain Anthem Parkside orany part of them forwinchthe Association 15 responsible where a threat to personal safetyon Anthem Parkside IS discovered, or
(c)an extraordinary expense necessary to repair or maintain Anthem Parkside orany part of them for which the Association 15 responsible which could not have been reasonably foreseen by the Board m preparmg and drstnbuung thepro forma budget pursuant to Section 8 I. However. pnortothe imposition or collection of such an assessment, the Board shall pass a resolution contammg wntten findmgs as tothe necessity of the extraordinary expense involved and whythe expense was notor could nothavebeen reasonably foreseen m the budgeting process Notice of such resolution shall be provided tothe Members along WIth the notice of suchassessment
The Association's capital expenditures for any fiscal year. other than for repair or replacement, maynotexceed 20% of the budgeted Common Expenses for the current fiscal year WIthout the approval of a majonty of the Class "A" Members Approval maybe mdicated by voteorwntten consent.
810 Exempt PropertY
The followmg property shall be exempt from payment of Base Assessments, Neighborhood Assessments. and Special Assessments-
(a)all Common Area andsuchporlIons of the Area of Common Responsibihty winch are not Lots.
(b) property owned or maintained bythe Council andany other property not subject to this Declaration,
(c) utrhty,and any property dedicated toand accepted byany governmental authonty or public
(d} property ownedbyany Neighborhood ASSOCiatIon for the common use and enjoyment of ItS members, or owned by the members of a Neighborhood Association as tenantsin-common
In addition, both Declarant and the AsSOCIatIon shall have the nght,butnot the obhgatron, to grant exemptions to certain Persons qualifying for tax exempt status under
Section SOl(c) of theInternalRevenueCodesolongassuch Persons own property subject to tins Declarationforpurposeslisted In Section SOl(c)
811 AssIgnment of Rights and Authority tothe CounCIl
In an effort to mnumize admmistrauve costs and create an efficient assessment collection process, and subject tothe lumted revocation nghts set forth below. the Association hereby assigns to the Council all of Its nghts and authonty to invoice and collect assessments provided for In tins ArticleVIII As such,the Association shallprovidetheCouncil with notice of all assessments leviedwitlnn the same tune penod as required for nonce to Owners Such assignmentsball Include allcollectionand enforcement nghts, including liennghts,butsballnot Include the right to prepare and approve the Assocranon's budget Pursuant to such assignment, the Council shall collect all assessments onbehalfof the AsSOCIatIon and shall allocate collected funds between Conned Expenses and AsSOCIatIon Common Expenses Funds allocable to Association Common Expenses shall be chsbursed tothe Association by the Council subject to any contrary agreements between the Council and the Association pertaining totheuse of such funds
The Association's assignment of mvoice and collection nghts and authonty tothe Council maybe revoked, In wholeor In part,only with the pnor wnttenconsentoftheCouncil,and,for solongas Declarant ownsanypropertydescnbedon Exhibits "A"or "B," DeclarantFollowing any partial or complete revocation, such nghts and authonty maybe reassigned, m the Association's discretion, m any succeeding fiscal year
Unless otberwsse specIliedbythe Council, payments received sballbeapplied,as between Council Expenses and AsSOCIatIon Common Expenses, to the oldest outstanding balance If no outstanding balance exists as between either Council Expenses or Common Expenses, fonds sballbe applied first to Council Expenses In noeventshallthe Council be reqwred to allocate assessments received In a manner specifically requested by an Owner orthe Association
ArticleIX Expensroa ofthe Community
9 I ExpanSIon by Declarant
Declarant may from tune to tune subject to the provisions of thisDeclaration allor any portion of the property descnbed In Exhibit "B'' by Recording a Supplemental Declaration descnbmgtheaddmonalpropertytobe subjected A Supplemental Declaration Recorded pursuant to tlus Section shall not require the consent of any Person except the owner of such property,Ifother than Declarant
Declarant's nghtto expand the community pursuant to this Section shall expire whenall property descnbed In Exhibit "B" has been subjected to this Declaration or 40 years after this Declaration IS Recorded. whichever IS earlier Declarant may transfer or assign this nghtto any Person who IS the developer of at least a portion of the real property descnbed m Exhrbtts "A" or
"B n Any such transfer shallbe memonahzed In a written, Recorded instrument executed by Declarant
Declarantreservesthenght,butnottheobhganon, to annexadditionalpropertynot descnbedmBxhibits"A"or"B"totheextentnotprolnbitedunderthe Act Nothmg in tins Declaration shall be construed to require Declarant orany successor to subject additional propertytothisDeclarationortodevelopany of thepropertydescnbed in Exhibit"B" in any manner whatsoever
9 2
ExpanSIon bythe Association,
TheAssociationalsomaysubject additional property to theprovisions of thisDeclaration byRecordingaSupplementalDeclarationdescnbmgtheadditionalproperty.Anysuch Supplemental Declaranonshallrequirethe affirmative vote of Membersrepresenting67% of the Class 1IA" votes In the Association present In person orbyproxyata meetmg duly called for such purpose, and the consent of the owner of the property In addruon, solongas Declarant owns property subject to thisDeclaration or which maybecome subject to tlus Declaration In accordance With Section 9 I, Declarant's consent IS required, Any such Supplemental Declarationshallbe Signed bythePresidentand Secretary of the AsSOCIatiOn, bytheowner of thepropertyandbyDeclarant, if Declarant'sconsent IS required,
9 3 AddItIonal Covenants and Easements
Declarantmaysubjectby Supplemental Declarationanyportion of AnthemParkstdeto additional covenants and easements, including covenants obhgatmg the AsSOCIatIon to maintain and msure such property and authonzmg the AsSOCIatIon to recover itscosts through Neighborhood Assessments If theproperty IS ownedbysomeoneotherthanDeclarant,thenthe consent of tile Owner(s) shallbe necessary and shall be evidenced by their execution of the Supplemental Declaration. Any such Supplemental Declaration may supplement, create exceptions to,or otherwise modify the terms of this Declaratton as It applies tothe subject property In order to reflect the cb.fferent character and Intended use of such property
94 Effect ofFllmg Supplemental Declaranon
Any Supplemental Declaration Recorded pursuant to this Article shall beeffective upon Recording unless otherwisespecified m such Supplemental Declaration On the effective date of the Supplemental Declaration, allLots made subject to this Declaration, whether mmally descnbedmExhibit"A"orannexedpursuanttoa Supplemental Declaration,shallhaveequal vcnngnghtsandanequal,proratashare of habihtyforBaseAssessments
ArticleX Additional Rights Reservedto Declarant
10I Withdrawal of PropertY
Declarant reserves thenghtto amend this Declaration solongas it has anght urulaterally to annex additional property pursuant to this Article, without prior notice and Without the consent
of any Person, forthe purpose of removing property then owned by Declarant, Its affihates, or the AsSOcIatIOn from the coverage of this Declaration, to the extent ongmally Included In error or asaresult of any changes m Declarant's plansforAnthem Parkside, If the property so removed 15 owned by the Assocratron, the Association shall convey such property to Declarant upon the request of Declarant Notwtthstandmg theabove,anyWIthdrawalresultingfromchangesm Declarant's plans for development of AnthemParkstde shall not matenally adversely affectthe overall, uniform scheme of development for Anthem Parkside
102 Markebng and Sales AchVlhes
Notwithstanding any provision In this Declaration, mcludmg Exhrbtt"C," tothe contrary, Declarant and Builders may construct and maintain upon portions of the Common Area and other property owned by Declarant orthe BUilder such facilrtres, acuvmes, and. things as. In thesale opinion of Declarant, maybe reasonably required, convement, or incidental tothe construction or sale of Lots Such permitted facihues, activities,andthmgssballmclude,WIthout hmitation, business offices, SIgns, flags (whether hung from flag polesor attached toa structure), model Lots, salesoffices,holdingorsponsonng special events,andextenorhghtmg features or displays In addition, If reasonably required, convement, or incidental to constructlon orsales acuvrties, Declarant and Bwldersmay park vehicles In areas other than garages or dnveways, mcludmg on streets Declarant and Bwlders shall have easements for access to and use of such facrhtiesatno charge BUIlder's nghts underthts Section 102 aresubjectto Declarant's approval.
10.3 Right To Develop
Declarant and Its employees, agents. and designees shallhavea nght ofaccess and use and an easement over and upon all of the Common Area for the purpose ofmalang, constructing, and mstallmg such unprovements tothe Common Area and tothe property descnbed on Exhibit "B'' as It deems appropnate In Its sale discrenon,
Each Person acquiring an mterest m Anthem Parksrde acknowledges that Anthem Parkside IS a master planned community, the development ofwluch IS likely to extend over many years. and agrees not to protest, challenge. or otherwise object to(a) changes In usesor density of property outside the Neighborhood in whichsuchPerson holds aninterest,or (b) changes mthe Master PlansasItrelatesto property outside the Neighborhood in which such Person holds an interest,
104. RIght To Designate Sites for Governmental and PublIc Interests
Forsolongas Declarant owns any property described m Exhibits "A" or "B," Declarant may designate Sites within Anthem Parkside for government, education, or religious activities and mterests, mcludmg WIthout hrmtanon, fire, police, and unhty facilities, schools and educatronal facrhnes, houses of worship, parks, and other pubhc facilrnes Subject to the approval requirements set forth In Sections 155 and 184, the Sites may include Common Area. In which case the ASSOCIatIon shall take whatever action IS requtred With respect to such siteto penrut such use, mcludmg dedication or conveyance of the Site, if so directed by Declarant
105 RIght To Approve Addlllonal Covenanl,\
No Person shall Record any declaration of covenants, condmons, and restrictions, or declaration of condorrumum. or similar instrument affecnng any portion of Anthem Parkside without Declarant's review and written consent Any Instrument Recorded WIthout such consent shallbe VOid and of no force andeffectunless subsequently approvedbywrittenconsentsigned byDeclarantandRecorded
106 RIght ToTransferor ASSIgn Declarant RIghts
Anyorall of thespecialrightsand obligations of Declarantsetforth in tInsDeclarationor the By-Laws maybe transferred U1 wholeor In part to other Persons, provided, the transfer shall notreduceanobhganonnorenlargearightbeyondthatwhichDeclarant has under thts Declaration or the By-Laws No such transfer or assignment shallbe effective unless It15 in a written, Recordedinstrument SIgned by Declarant The foregomg sentenceshallnotpreclude Declarant from permitting other Persons to exercise, onaone time or lumted basis, any nght reserved toDeclarant 10 tInsDeclarationwhere Declarant doesnotmtendtotransfersuchnght 10 Its entirety, and in such case It shall notbe necessary to Record anywntten assignment unless necessary to evidence Declarant's consent to such exercise
10 7EasementtoInspectand RJght to Correct
DeclarantreservesforItselfandothersrtmay designate thenght,butnotthe obligation, to inspect,monitor, test, redesign, and correct any structure, Improvement, or condition which may exist on any portion of Anthem Parkside, including Lots. and a perpetual non-exclusive easement of access throughout Anthem Parkside tothe extent reasonably necessary to exercise such right, Except lD an emergency, entry onto aLot shall beonly after reasonable noncetothe Owner and no entry into a dwelling shallbe permitted WIthout the consent of the Owner The Person exercising tlus easement shall promptly repair, atsuch Person's own expense, any damage resulting from such exercise
108 RJght toNonce of Desrgn or Construcnon Claims
No Person shall retain an expert for the purpose ofmspectmgthe design or construction of any structures or improvements within Anthem Parkside in connection withor in anticipation of any potential or pending cl3JII1, demand, or htigationinvolving such designor construction unless Declarant and any BUIlder involved m the design or construction havebeen first nonfied In wntmg and given an opportunity tomeet WIth the Owner to dISCUSS the Owner's concerns and conduct their own inspection,
109 ExclUSive RIghts ToUseName of Development
No Person shall usethe name "Anthem Parksrde" or any denvative of such name m any pnnted or promotional matenal WIthOUt Declarant's poor wntten consent However, Owners may use the name "Anthem Parkside" m pnnted or prornottonal matter wheresuch term IS used solelyto specify that particular property IS located within Anthem Parksrde and the ASSOCiatIon shall be entitled to usethe words "Anthem Parkside" mits name
10.10Del Webb Marks
Any use by the Association of names, marks, or symbols of Del Webb Corporation or any of Its affiliates (ccllecnvely "Del Webb Marks") sball more to the benefit of Del Webb Corporation and shall be subject to Del Webb Corporation's penodic review for qnahty control. The Association shall enter mto license agreements WIth Del Webb Corporation, terminable WIth orWIthout cause and ma form specified by Del Webb Corporation in Its sole discretion, WIth respect to permissive useof certain Del Webb Marks The Association shall notuseanyDel Webb Mark Without Del Webb Corporation's pnor wntten consent
1011. TermmatIon of RIghts
Therights contained mthis Article shall terminate npon the earlier of (a) 40 years from thedatethis Declaration IS Recorded, or (b) Declarant's Recording of a wntten statement that all sales activity has ceased. Thereafter, Declarant may continue tousethe Common Areas forthe purposes stated 111 this Article only pursuant toarentalor lease agreement between Declarant and the Associenon which provides for rental payments based on the fair market rental value of any such portion of the Common Areas This Article shallnotbe amended without the written consent of Declarant so long as Declarant owns any property descnbed in Exhibits nAil or "B,"
ArtIcle XI Easements
11 1 Easements In Common Area.
Declarant grants to each Owner a non-exclusive nght and easement of use, access, and enjoyment mandtothe Common Area, subject to
(a)the Governmg Documents andany other applicable covenants (including, but not lmnted to, that certain Deed of Conservatlon Easement Between Del Webb's Coventry Homes. IncandDelE Webb Land Conservancy, Recorded on February 16,1996as Document Number96-0105850, asIt may be amended),
(b) any restnctrons or hnutations contained m any deed conveying such property to the Associanon;
(c)the authonty and nghts of the Council assetforthm tins Declaration andthe Commumty Covenant,
(d)the Board's nght to
(1) adoptrules regulating theuseand enjoyment of the Common Area, mcludmg rules hrrutmg the nwnber of guests who may usethe Common Area,
(11) suspend the nghtofan Owner touse facrhties within the Common Area'
(A)foranypenaddunngwinchanychargeagainstsuchOwner'sLot remains delinquent, and
(B) forapencdnottoexceed30daysforasingle VIolation orfora longer penod In thecase of any continumg violation, of the Governing Documents after notice andaheanngpursuanttotheBy-Laws,
(ill) dedicateor transfer alloranypartoftheCommon Area, subjecttosuch approval requirements asmaybeset forth in this Declaration, ,
(IV) penmtusebyPersonsother than Owners, the" families, lessees,and guests.
(V) mortgage,pledge,or hypothecate anyorall of itsrealorpersonalproperty assecuntyformoneyborrowedordebts mcurred, subjecttotheapproval requirements setforth In Sections155and184,and
(VI) create, enter into agreements WIth, and grant easements to tax-exempt orgamzanons
(e)the nghts of certam Owners tothe exclusive use of those portions of the Common Area designated "Lirmted Common Areas." as described m ArticleXll.
Any Owner may extend his or her nghtofuse and enjoyment to the members of lus or her family, lessees, SOCIal invitees, and occupants of lus orher Lot, as applicable, subject to reasonable regulationbytheBoard An Ownerwho leases InsorherLot In Itsentiretyshallbe deemedtohaveassignedallsuchngbtstothelessee of suchLotforthe penad ofthelease.
11 2. Easements of Encroachment
Declarant grants reciprocal appurtenant easements of encroachment, and for maintenance and useofany permitted encroachment, between each Lot and any adjacent Common Area and between adjacent Lots duetothe unmtennonal placement or settling or slufting of the unprovements constructed, reconstructed., or altered thereon (m accordance with the terms of these restrictions) toa distance ofnot more than three feet. as measured from any pomtonthe corrunon boundary along a line perpendicular to such boundary However, 1D no event shallan easement for encroachment exist If such encroachment occurred dueto WIllful and knowmg conductonthepart of or with the knowledge and consent of,thePersonclaimingthebenefit of such easement
11 3 Easements for UtIlIties, Etc
(a) installation and Mamtenance Declarant reserves for Itself, So longas Declarant owns any property descnbed In Exhtbtt liN' or "B" of this Declaration, and grants tothe Association, the Council, and all utility providers designated by Declarant, perpetual non-
exclusive easements throughout all of AnthemParksrde (but not through a structure) totheextent reasonably necessary forthe purpose of
(1) mstallmg unlines and mfrastructure to serve Anthem Parkside and other portions of Anthem, cableand other systemsfor sendmg and receiving data and/or other electronic signals, secunty and similar systems, walkways, pathways and trails, drainage systems, street hghts, and signage on property which Declarant owns or wrthm public nghts-ofwayor easements reserved for such purpose on Recorded plats,
(n] inspecting, mamtauung, repairingandreplacmg the utilines, infrastructure and other unprovements descnbed m Section II 3(a)(1), and
(in) access toread utihty meters
Notwithstanding the above, Declarant reserves thenghttodenyaccesstoany u1Ihty or service provider, tothe extent permitted by law, or to condrnon suchaccessonthe payment of reasonable consideration
(b) Specrn.c Easements Declarant also reserves for itself the non-exclusive right and power to grant and Record such specific easements as may be necessary, In thesole discretion of Declarant, In connection with the orderly development of any property described In Exhibits lOA" and liB" The locanon of any such easement shallbe subject to the wntten consent of the Owner of the burdened property, which approval shallnot unreasonably be WIthheld,delayed,or condmoned,
(c) Mlmmal Interference. All work associated WIth the exercise of the easements descnbed m subsections (a)and(b) of tills Section shallbe performed m such a manner asto rrururruze interference With the use and enjoyment of the burdened property Upon completion of the work, the Person exercising the easement shall restore the property. tothe extent reasonably possible, to Its condition pnorto the commencement of the work The exercise of these easements shallnot extend to pertmttmg entry mto the structures onany Lot, nor shall It unreasonably interfere WIth the use of any Lot and, except In an emergency. entry onto any Lot shall be made only after reasonable notice to the Owner or occupant of the Lot
II 4 Easements To Serve Addlbonal Property
Declarant hereby reserves for Itself and Its duly authorized agents, successors, assigns, and mortgagees, an easement Over the Common Area for the purposes of enjoyment, use. access, and development of the property descnbed. m Exlubrt "B:' whether ornot such property IS made subject totlus Declaration, This easement includes, but IS not hnuted to,anght of ingress and egress overthe Common Area for construction of roads and for connecting and installmgutilmes on such property
Declarant agrees that It and Its successors or assigns shall be responsible for any damage caused to the Common Area as a result of vehicular traffic connected WIth development of such property Declarant further agrees that If the easement 15 exercised for permanent access to such
property and such property or any portion tllereof benefitmg from such easement is not made subj eettotlus Declaration, Declarant, Its successors or assigns shall enter into a reasonable agreement With the Association to share thecost of any mamtenance wh.1ch the Associanon provides toor along any roadway providing access to such Property
115 Easements forMamtenance. Emergency, and Enforcement.
Declarant grants tothe AsSOCIatIOn and the Council easements over Anthem Parkside as necessaryto fulfill the maintenance responsrbihtres descnbedm Section 72Sucheasements shall include the nght, but notthe obligation, to enter upon any Lot for emergency, security, and safety reasons, to perform mamtenance and to inspect for the purpose of ensuring compliance WIthand enforcing the Governing Documents Such nght may be exercised by the duly authonzed agents and assignees of the AsSOCIatIon and the COunCIl., and all emergency personnel in the performance of their dunes Except in an emergency situation, entry shall beonly dunng reasonable hours and after noncetothe Owner
Declarant grants tothe Associanon and the Council, an easement and the right to enter a Lotto abate or remove, using such measures asmay be reasonably necessary, any structure, thing or condition which VIolates the Govermng Documents Allcosts incurred, including reasonable attorney fees, shall beassessed against the Violator asa Benefited. Assessment
11 6 Easements for Lake and Pond Mamtenance and Flood Water
Declarant reserves far Itself, the Association, the Council, and their successors. assigns, and designees. the non-exclusive nght and easement, but notthe obhganon, to enter upon bodies of water and wetlands located within theArea of Common Responsabihty to(a) install, operate, mamtam, and replace pumps to supply irrigation water to the Area of Common Responsibility; (b) construct, maintain, and repair structures and equipment usedfor retaining water; and (c) maintain suchareas in a manner consistent WIth the Community-Wide Standard- Declarant, the Assocranon, the Council, and the successors. assigns and designees of eachshallhave an access easement over and across any of Anthem Parkside abuttIng or containing bodies of water tothe extent reasonably necessary to exercise thenghts under thisSection.
Declarant further reserves for Itself, the Assocranon, the Council, and their successots, assigns and designees, a perpetual, non-exclusive nght and easement of access and encroachment overthe Common Area and Lots (but notthe dwellings thereon) adjacent toor winun 100feet of bodies of water within Anthem Parksrde, In order to(a) temporanly flood and back water upon and mamtam water oversuch portions of Anthem Parksrde, (b) alter many manner and generally maintain the bodies of waler withm the Area of Common Responstbihty, and (c) mamtain and landscape theslopes and banks pertainmg tosuch areas All Persons entitled to exercise these easements shall use reasonable care In and repair any damage resulting from the mten1J.onal exercise of such easements Nothing herem shall be construed to make Declarant orany other Person liable for damage resultmg from floodmg duetoheavy ramfall or other natural occurrences
117
Easements for Cross-Dramage
Every Lot andthe Common Areashall be burdened with easements for natural drainage of storm water runoff from other portions of Anthem Parkside, provided, no Person sball alter the natural drainage onanyLotto Increase matenallythe drainage of storm water onto adjacent portions of Anthem Parkside without the consent of the Owner(s) of the affected property, the Board, and Declarant aslong as Itownsany property descnbed. in Exhibits "A" or IIB" to the Declaration,
II 8 RIghts to Stonnwater Runoff, Emuen!,
and Water Reclamation.
Declarant hereby reserves for Itself andItsdesigneesall rights to ground water, surface water, storm water runoff and effluent located or produced withm Anthem Parksrde, and each Owner agrees, by acceptance of a deed toaLot,that Declarant shallretainall such nghts Such nghts shall include the reservation of an easement over Anthem Parkstde foraccess, and for installation and mamtenance of facihnes and equipment to capture and transport such water, runoff, and effluent This Section maynotbe amended WIthout the consent of Declarant and the nghts created. in tlus Section shall SUI"VIve termmanon oftlus Declaration,
Article XII Limited Common Areas
12 I PU!]ose
Certain portIons of the Common Areamaybe designated as Lmuted Common Area and reserved forthe exclusrve use or pnmary benefit of Owners and occupants within a particular Neighborhood or Neighborhoods By way of illustration andnot !mutatIon, Lumted Common Areas may include entry features, recreational facrlmes, landscaped. medians and cul-de-sacs, lakes, and other portions of the Common Area wrtlun a particular Neighborhood or Neighborhoods. Allcosts associated With maintenance, repair, replacement, and insurance of an Limited Common Area shallbea Neighborhood Expense allocated among the Owners lD the Neighborhoodfs) to wluch the Limited Common Areas are assigned
122 Deslgnatlon
Inmally, any Limited Common Area shall bedesignatedas such in the deed conveying such area tothe AsSOCiatIOn oronthe subdivision plat relating tosuch Common Area, provided, however, anysuch assignment shallnot preclude Declarant from later assigning use of the same Lmuted Common Area to addmonal Lots andlor Neighborhoods, solongas Declarant hasangbt to subject additional property to tills Declaration pursuant to Section 9 I
Thereafter, a portion of the Common Area may be assigned as Limited Conunon Area and Limited Common Area maybe reassigned upon approval of the Board and thevote of Class "A" Members representing a majority of the total votes in the Association, including a mejonty of thevotes withm the Nerghborhoodls) affected by the proposed assignment or reassignment. A!i longas Declarant ownsany property subject to tlus Declaration orwhichmaybecome subject to this Declaration In accordance With Section 9 I, any such assignment or reassignment shall also require Declarant's wntten consent
123UsebyOthers
The Association may.upon approval of a maJonty of theOwners of Lots In the Neighborhocdts)orboardof directors of theNeighborhoodAssociationfortheNeighborhccd/s) towluchanyLimitedCommonArea IS assigned,pemutOwners of LotsmotherNeighborhoods touse all ora portion of such L1ID1ted Common Area upon payment of reasonable user fees, winchfeesshallbeusedtooffsetthe Neighborhood Expensesatlnbutable to suchLimited Common Area.
ArtIcle XIll Party Wallsand Other Shared Structures
13IGeneralRules of LawtoApply.
Each wall, fence, dnveway, or similar structure builtasa part of the ongmalconstruction ona Lot, other than a perimeter wall or fence as provided m Section 51. whichserves and/or separates any two adjommg Lots shall constitute a party structure To the extent not Inconsistent WIth theprovisions oftlus Section,thegeneralrules oflaw regardingpartywallsand habihty for property damage dueto negligence or willful acts or ODllSSIOns shall apply thereto
132. Mamtenance: Damage and Destructton
Thecost of reasonable reparr and maintenance of a party structure shall be shared equally bytheOwnerswhomakeuse of thepartystructure
If apartystructure IS destroyed ordamagedbyfireorothercasualty,thentotheextent that suchdamage IS notcoveredby insurance and 15 not repaired out of theproceeds of Insurance, any Owner who has used the structure may restore It If other Owners thereafter use the structure. theyshall contribute to the restoration cost 1Il equal proportions However, such contribution will not prejudice thenghttocall for a larger contnbunon from the other users underany rule of lawregardmg Iiahrhty forneghgentor WIllful actsor OmISSiOns
Article XIV Dispute ResolutionandLimitationon Litigation
141 Prerequisites to ActIons Against Declanmt
Pnortofilmga CIVIl action,undertaking any action In accordance withSection 144, or retammg an expert forsuch actions agamst Declarant, orany budder or sub-contractor of any portion of Anthem Parkside, the Board shall notify and meet With the Members to dISCUSS the alleged problem or deficiency Moreover, pnorto talang any action, the Board shall notify the potential adverse party of the alleged problem or deficiency and provide such party a reasonable opportunIty toInspectandrepairtheproblem
142 ImtIatIon ofLloganon by AssocIaoon
In addition to compliance wtth the foregoing alternativedispute resolution procedures, If applicable, the Association shall not imtiare any judicial or adrrurnstratrve proceeding unless first
approved byavoteof Members entitled tocast 75% ofthe total Class .. A" votes in the Association, except that no such approval shall be required for actions or proceedings
(a) mitrated during theClass"B"Control Penod,
(b) imtiated toenforcetheprovisions of t1us Declaration, including collection of assessments and foreclosure ofhens,
(c) mmated to challenge ad valorem taxation or condemnation proceedings,
(d) unnated against any contractor, vendor, or suppher of goodsor services ansmg outofa contract for services or supplies, or
(e)to defend claims filed agamst the Associenon or to assert counterclaims in proceedings msntuted against It
This Section shallnot be amended unless such amendment IS approved by the same percentage of votes necessary to institute proceedmgs
143 Alternatwe Method for ResolVlng Dimutes
Declarant, the Association and Its officers, directors, and COIIlID.Ittee members, aU Persons subject to tlus Declaration, and any Person not otherwise subject to tlus Declaration who agrees to submit to thisArticle(collecuvely,"BoundParties") agree to encourage the amicable resolution of disputes mvolvmg Anthem Parkside, without the emotional and financial costsof litigation Accordingly, each Bound Party covenants and agrees that those claims, gnevances or disputesdescribed in Sections 144 ("Clauns") shallbe resolved usingthe procedures set forthm Section 145m lieu offilmg suitmaoy court
144 Claws
& usedmtins Article, the tenn "Claim" shall refer to any chum, gnevance, or dispute ansmg outofor relating to
(1) themterpretation, apphcation, or enforcement of the Goverrung Documents.
(n) Documents, or the nghts, obligations,aodduties of aoy Bound Partyunderthe Goverrung
(m) the design or construction ofunprovements within Anthem Parkside, other than matters of aesthetic judgment under Article N, which shall notbe subject to review
Notwithstandmg the above, the following shall notbe considered "Claims" unless all parties to the matter otherwise agree to submit the matter to the procedures set forth In Secnon 145
(1) any suit by the ASSOCIation orthe Council tocollect assessments or other amounts due from any Owner,
(u)anysuitbythe Association to obtamequitable relief (e g. temporary restraining order, injunction, or specific performance) and such ancillary relief asthe court may deem necessary in order to maintain the status quo and preserve the Association's ability to enforcethe provisions of ArticlesIll, N, and V of this Declaration(relatingto creation and maintenance of commumty standards),
(111) anyswtbetweenOwners,winchdoesnot include Declarantorthe Association asa party. If such suit asserts a cause of action Independent of the Governing Documents,
(IV) anysuit III winchany indispensable party IS notaBoundParty;and
(V) any SUIt astowinchanyapplicableslatute of hmrtaticns wouldexpire within 180 days of grvmgthe Notice requiredby Section l45(a), unlessthepartyorparties against whom the Claim IS made agree totoll the statute of hnutanons astosuch Claim for such penodasmay reasonably be necessary to comply With thrs Article 145MandatoryProcedures
(a)NotIceTheBoundPartyassertinga Chum ("Chumant") agOU1St anotherBound Party("Respondent")shall glve wntten notice toeachRespondentandtotheBoard,stating plainly and concisely
(I)thenature of theClaim, including thePersons involved andRespondent's role III the Claim,
(II) thelegal basis of theClaim(, e, the specific authontyout of winchthe Claunanses),
(m) Claimant's proposed resolution Or remedy, and
(IV) thatClarmant WIll meet WIth Respondentto dISCUSS goodfaithwaysto resolve the Claun
(b) NegotIatIon and MediatIon TheClaimantandRespondentshallmakeevery reasonable effort tomeet in person and confer for the purpose of resolvmg the Claim bygood faith negotianon If requested In wntmg, accomparued bya copy of the Notice, the Board may appoint a representative to assist the parties In negotiating a resolution of the Claun
If the parties donot resolve the Clarm through negonanon wtthm 30 days of the date of the notice descnbed above (or within such other penodasthe parties may agree upon), Claimant shall have30 additional days to submit the Claim to mediation WIth an enttty designated by the
Association (lithe Assocrauon IS nota party to the Claim) ortoan mdependent agency providing dispute resolution services mthe Mancopa County, Arizona area.
If Claunant does not submit the Claim to mediation within such tune, or does not appear formediationwhenscheduled, Claimant shallbedeemedtohavewaivedtheClaim,and Respondentshallbereleasedanddischargedfromanyand all halnhty toClaimant(butnotthird parties)onaccount of suchClaim
Anysettlement of the Chum throughmediationshallbedocumented in writing by the mediatorandSignedbytheparties If thepartiesdonotsettlethe Claim withm 30daysafter submisston of the matter to the mehanon, or witam such rime as determmed reasonable by the mediator, the mediator shallIssue anonce of termination of the medration proceedings mdicatmg that the parties are at an impasse and the date that mediation was termmated.
(c)Allocanon of Costs of ResolvmgClaunsEachpartyshall bear itsowncosts, mcludmgattorneysfees,andeachpartyshallshareequallyallchargesrenderedbythe medlator(s)
146 Enforcement ofResolunon
Afterresolunon of any Claim, Ifanyparty fails toabidebytheterms of anysettlement, then any other party may fileswt enforce such settlement WIthout the needto again comply WIth the procedures set forth In Section 145 In such event. the party talang action to enforce the settlement shall be entztled to recover from the non-complymg party (or If more than one noncomplyingparty,fromallsuchparties lD equalportions)allcostsincurredmenforcingsuch settlement, mcludmg, WIthout hmitanon, attorneys' fees and court costs
147 Attorneys' Fees
In the event ofan action instituted to enforce anyof the provisions contamed in the Governing Documents, the party prevailing msuch action shall be entitled to recover from the other party thereto as part of the Judgment, reasonable attorneys' fees and costs, including admunstratrve and hen fees. of such SUIt In the event the AsSOCIatIon or Council IS a prevailing party In such action, the amount of such attorneys' fees and costs shall bea Benefited Assessment Withrespecttothe Lot(s) involved mtheaction,
AI1J.cle XV Mortgagee Provisions
The following provisions are for the benefit of holders, insurers, and guarantors of first Mortgages on Lots The provisions of tlua Article apply toboth tlus Declaration and to the ByLaws, notwrthstandmg any other prOVISIOns contained therein.
15 I Notices of Action
An mstituttonal holder, insurer, or guarantor ofa first Mortgage wluch provides a wntten request to the ASSOCIatIon (such request to state the name and address of such holder, msurer, or
guarantorandthestreetaddressoftheLottowhichItsMortgagerelates,therebybecomingan "Eligible Holder"), WIll be entitled to timely wntten notice of
(a)Any condemnation lossoranycasualtylosswhtch affects amatenalportionof AnthemParksideorwhichaffectsanyLotonwhichthereisa first Mortgageheld, insured, or guaranteedbysuch Ehgible Holder;
(b) Any delmquency in thepayment of assessments orchargesowedbyaLotsubject totheMortgage of suchEligibleHolder,wheresuch delinquency has contmuedforaperiodof 60days,oranyotherviolation of the Governing Documents relatingtosuchLotortheOwneror occupant winch 15 not cured within 60 days,
(c)Anylapse, cancellation, ormatenaI modification of any insurance policy mamtained bythe Assocranon,
(d) If theUSDepartmentofHousingandUrban Development is msunng or theUS. Department of Veterans Affairs IS guaranteeing the Mortgage onanyLot,matenal amendment to theGovemmgDocumentsor extraordinary action of the Assocranon, asdefined under VA Pamphlet26-7,or
(e) Any proposed action which would require theconsent of a specified percentage of Ehgrble Holders
152 No Pnontv
No provision of thisDeclaration ortheBy-Laws gives orshallbe construed as giving any Ownerorotherparty pnonty overanynghtsofthefirstMortgageeofanyLot in the case of distnbution tosuchOwner of insurance proceedsor condemnation awardsforlosses to ora taking of theCommon Area
153NotIceto AssocIatIon
Upon request, each Owner shallbe obligated to furnish totheAssociationthenameand address of theholder of anyMortgageencumbenngsuch Owner's Lot
154 Fallure of Mortgagee to Respond
Any Mortgagee whoreceivesa written request from the Board to respond toor consent to any action shallbe deemed tohave approved such action Ifthe Association doesnotreceivea wntten response from the Mortgagee within 30days of the date of the Assocranon's request, provided such request 15 dehvered tothe Mortgagee by certified or registered marl, return receipt requested
155 HUDN A Approval
Dunngthe Class "B" Control Penod, the followingacnons shall require thepnor approval ofthe US Department ofHousmg and Urban Development ortheUS Department of

Veterans Affairs, tf either such agency 18 msunng or guaranteeing the Mortgage on any Lot. merger, consohdanon, or dissolution of the Assocration, annexation of additional property other than that descnbed in Exhibit "B ", dedication, conveyance. or mortgagmg of Common Area, or material amendment of this Declaration The granting of easements for utilities or other similar purposes consistent WIth the intended use of the Common Area shall notbe deemed a conveyance withinthemeaningoftlusSection If theapproval of eithertheUS Department of HousmgandUrbanDevelopmentortheUS Department of VeteransAffairs IS requested pursuant to this Section and the agency whose approval IS requested doesnot disapprove the action by wntten noncetothe AsSOCiatIOn, Declarant, or other Person requesting Its approval wttlnn 30 daysafterthe delivery ofthe approval requesttotheappropnate agency, the action in question shallbedeemedapprovedbysuchagency
Article XVI PrivateAmenities
AccesstoanduseofanyPrivate Ameruty IS stnctlysubjecttothorulesand procedures of the owner of such Pnvate Amemty, and no Person gains anynghtto enter ortouseany Private Arnemty by VIrtue of memberslup In the Assocration, ownership of a Lot, or occupancy of a Dwelbng Urut
All Persons, including all Owners, are hereby advised that no representations or warranties havebeenor are made by Declarant, the Association, any Builder, orbyany Person acting onbehalf of any of the foregoing, WIth regard tothe connnumg ownership or operation of thePnvate Amenities No purported representation or warranty In such regard, wntten or oral, shallheeffectiveunlessspecificallysot forth mawntlenrustrumentexecutedbytheRecord owner of the Pnvate Amemty
Rights tousethe Private Amemtles WIll be granted onlyto such persons, and onsuch terms and ccndmons, as maybe detemuned by their respective owners Such owners shall have the nght, from time totune In their sale and absolute discretion and Without notice, to amend or waive the terms and conditions of use of their respective Pnvate Amenities and to terminate use nghtsaltogether
ArticleXVIIChanges in Ownership ofLois
To facrhtate the Association's compliance With the Act's resale disclosure requirements, anyOwner,otherthan Declarant, desiring tosonor otherwise transfer Me toIusor her Lotshall gIve the Board and the COunCIl'S designee written notice at least 14dayspnortothe pending sale or transfer The written notice shall include the name and address of the purchaser or transferee. the date of such transfer of title, and such other mformation as the Board may reasonably require tocomply With the Act's notice and statement requirements The Associanon may charge the Owner a reasonable feetopayforthe costs incurred In prepanng the statement pursuant tothe Act
The transferor shall continue tobe jointly and severally responsible With the transferee for all obltgations of the Owner of the Lot, mcludmg assessment obhganons, until the date upon which such notice IS received bythe Board, nctwithstandmg the transfer of title
181CondemnaMn
Wheneveranypart of theCommonAreashallbetakenorconveyedonder threat of condemnationbyanyauthontyhavmgthepower of ennnentdomain,theBoardshall determme, m the exercise of Its business judgment, whether each Owner shall be entitled to notice thereof. The Board mayconvey Common Area under threat of condemnation only if approved In writing byatleast67% of theClass "A" Membersmthe Association andDeclarant,aslongas Declarant owns any property described in Exhibits "Air or "B "
TheawardmadeforsuchtakingshallbepayabletotheAssociationas trustee forall Owners tobe disbursed as follows
If the takmg Involves a portion of the Common Area on which improvements have been constructed, the Association shall restore or replace such improvements onthe remaining land included ill the Common Area to the extent practicable, unless, withm 60days after such taking, Declarant, so long as Declarant ownsany property descnbed. In Exhibits "A" or "B" of tins Declaration, and at least 67% of the total Class "N' Members in the Association shall otherwise agree Any such construction shall be In accordance wrth plans approved by the Board The provisions of Section73regardmg funds fortherepair of dsmageordestructionshall apply.
If the taIang doesnot involve any improvements on the Common Area, or tf a decision 15 made notto repair or restore, or tf net funds remam after any such restoration or replacement 1S complete, then such award ornet funds shall be disbursed to the Association and used for such purposesastheBoardshalldetennme
18 2 Parl:IlIon.
Except as penmtted in this Declaration, the Common Area shall remain undivided, and no Person shall bring any action partition of any portion of the Common Area without the wntten consent of allOwnersand Mortgagees ThisSectionshallnotprohibittheBoardfromacqumng anddisposmgoftangiblepersonalpropertynor from acqumngand disposing ofreal property which mayor may notbe subject to tlus Declaration,
18 3 Transfer or Ded1catlon of ConwO" Area.
The Association may dedicate portions of the Common Area to Mancopa County, Arizona, orto any other local, state, or federal governmental or quasr-govemmental entity, subjecttosuchapprovalasmayberequiredby Sections 155and184
18 4 Actions Requmng
Owner Approval
If either theUSDepartment ofHousmg and Urban DevelopmentortheUS Department of Veterans Affairs IS msunng or guaranteeing the Mortgage on any Lot, then the following actions shall requtre the pnor approval of Members representing notless than two-thirds (2/3) of the total Class "A" votes In the Assocrenon and the consent of the Class "B'' Member, If such
exists merger, consohdation, or dissolution of the Association, annexation of additional property other than that descnbed m Exhibit "B'', and dedrcatron, conveyance, or mortgagmg of Common Area.Notwrthstandmg anythmg tothecontrary in Section18IorthisSection,theAssociation, acting through the Board, may grant easements overthe COIDlIlon Area for mstallanon and mamtemmce of cnbnes and dramage facihnes and for other purposes not inconsistent With the intendeduse of the Cornman Area,withouttheapproval of themembership
ArticleXIXAmendmentof DeclaratIon
19I CorrectlveAmendments
In additiontospecific amendment nghtsgrantedelsewhere in t1us Declaration,untilthe first Lot IS conveyed toa Class "A" Member other than a Builder, Declarant may wnlaterally amend t1us DeclarationforanypurposeThereafter, Declarant, ortheBoard WIth consent of Declarant,mayumlateraily amend t1us DeclarationIfsuch amendment IS necessary (a)to bnng any prevision mto compliance WIth any applicable governmental statute, rule, regulation, or judicial determmation, (b)to enable any reputable title msurance company to ISSue title insurance coverage onthe Lots; (c)to enable any msntunonal or governmental lender, purchaser, insurer or guarantor of mortgage loans, including, for example. the Federal National Mortgage Association or Federal Home Loan Mortgage Corporation, to make, purchase. insure or guarantee mortgage loansonthe LoIS, or(d)tosatisfythe requirements ofany local,stateorfederal governmental agency However, anysuch amendment shall not adversely affect the title to anyLotunlessthe Owner shall consent mwntmg
In addition, solongas Declarant owns property descnbed in Exhibits n A" or "B" for development as part of Anthem Parkside, It may unilaterally amend this Declaration forany other purpose, provided the amendment has no matenal adverse effect upon any right of any Owner
192 !3y Members
Exceptasctherwtsespecificallyprovidedaboveandelsewhere m tIus Declaration, t1us Declaration maybe amended onlybythe affirmative voteorwntten consent, orany combination thereof, ofMernbersrepresenting 67% of the Class "A" votesmthe AsSOCIatIon, and the consent of Declarant,solongDeclarantownsanypropertysubjectto t1us Declarationorwluchmay become subject to thisDeclaration In accordance With Section 91
Notwrthstandmg the above, the percentage of votes necessary to amend aspecificclause shall notbeless than the prescnbed percentage of affirmative votes required for action tobe taken under that clause
193 VahdltyandEffecliveDate
No amendment may remove, revoke, or modify anynghtor pnvilege of Declarant without the wntten consent of Declarant (or the assignee of suchnghtor privilege) Additionally, no amendment may remove, revoke, or modify anynghtor pnvrlege of the Council WIthout the Council's wntten consent
[f an Owner consents to any amendment to tlus Declaration orthe By-Laws, it WI.11 be presumed conclusively that such Owner hasthe authonty to consent. andno contrary provision in anyMortgageorcontract between theOwnerandatlurdparty WIll affectthevalidityofsuch amendment
Any amendment validly adopted bythe Association shallbecertifiedbythePresidentor Secretary of the Assocration, andshallbecome effective uponRecordmg,unlessalatereffective dale IS specifiedmthe amendment, Anyprocedural challenge toanamendmentmustbemade withm SIX monthsof lis Recordmgorsuch amendment shallbepresumed to havebeen validly adopted. In noeventshalla change of conditions or circumstances operate to amend any provisions oftlus Declaranon,
NothingmtlusArticleshallbeconstruedtopermittennmanon of anyeasementcreated m this Declarationor Supplemental DeclaratIon WIthout theconsent of theholder of such easement
194 Exlubils
Exhibits "An and "B, n attached to this Declaration are incorporated by this reference and amendment ofsuchexhibitsshallbegovernedbythisArticleExlubn"C" IS incorporated by tlusreferenceandmaybe amended pursuantto Sections 19Iand 192, or as providedmArticle ill
IN WITNESS WHEREOF, the undersigned Declarant has executed t1us Declaration the date and year first wntten above
By Name TItle
AnthemAnzona,LLC, anAnzona hrmted hahihty company -rh""""" E.. • 1.&,,,- , vtCr«. (......,v),J...vf" andManager
STATE OF ARIZONA ) )ss
COUNTY OF MARICOPA )
The foregoing instrument was acknowledged beforemethis 14 t!day of Janua.J19 by Thomas E. Lucas,asthe manager of ANTHEM ARIZONA, LLC,anAnzona hrmted lrabtlrty company
Nolcuy PublIc· Sl.all 01 Anzon; MARICOPA COUNTY Mt Comm Exp Feb 2, 1999 By Name
MACKLE
Notary Public
My Commission Expires --"=""-'=
02-02-99