Professional Electrician & Installer February 2025

Page 1


18 Why the Elucian by Click consumer unit and circuit protection range is on an upward curve

Special Reports

21 Three challenges electrical contractors face when it comes to winning government bids and tenders, and how to best overcome them

24 Is interactive learning a better method of teaching for today’s generation of electricians?

Safety Act 2022 and how to manage product information

44 Unravelling the mysteries of unidirectional and bidirectional protective devices

46 A guide to the basics of LED strip selection and installation

The team at NAPIT ‘codebreak’ more of

A look at overcurrent, short-circuit

51 Why the latest Tethered Tools are essential for professionals who work at height

52 How Chauvin Arnoux’s Power Logging Equipment offered a ‘Pearl of Wisdom’ to Astral Electrical 54 Gary Fisher of Lougar Electrical reviews the Super Rod Jakoda STH (Socket Tester Holder)

56 Pete Monfort get his hands on the Megger EVCA210 Electric Vehicle Chargepoint Adaptor

59 Charting Carhartt’s 136 year journey to workwear success

Is interactivity the best teaching method?

Products & Business Solutions

63 Five top tips to help you better manage your business in 2025

64 What was the inspiration behind recent improvements to Enkin’s dimming modules?

67 If you need fire alarm ancillaries and products, look no further

68 How is the Shelly device being used to innovate electrical installations?

70 Which products have been specified, and where?

72 Rounding up the newest products, tools and equipment to help you with your work

Prize Draws

49 WIN! We have 10 x Ledlenser W1R Work clip lights up for grabs

53 WIN! 5 x Hultafors

Maintenance Pouches to be won this month

Meet the team

Editor

RICHARD BOWLER

email: pe@hamerville co uk

Digital Manager

REBECCA MCGEOCH

email: rmcgeoch@hamerville co uk

Digital Assistant

ADAM ROBERTS

email: aroberts@hamerville co uk

Advertisement Manager

ANTHONY SCOTT

email: ascott@hamerville co uk

Assistant Advertisement Manager

IAN TURNER

email: ianturner@hamerville co uk

Design

ADEEL QADRI

Production Assistant

KERRI SMITH

Group Production Manager

CAROL PADGETT

Distribution Manager

KARL CLARK

Printed by:

PCP TELFORD

Published by:

HAMERVILLE MEDIA GROUP

Regal House Regal Way

Watford, Herts, WD24 4YF

Tel: 01923 237799

Fax: 01923 246901

Email: pe@hamerville co uk

PROFESSIONAL ELECTRICIAN is the business journal for the electrical contracting industry It is available to the trade at leading electrical wholesalers throughout the UK © 2025

Subscriptions to PROFESSIONAL ELECTRICIAN are available Please contact us for rates

Image References (Adobe Stock):

Pg 21 Tenders © Sviatlana

Pg 22 Planning © PhuShutter

Pg 29 CPD sign © BeenaTreena

Pg 41 Contractor © ZPhoto83

Pg 42 Golden thread © Candystripe

Editor’s Viewpoint

Your health is your wealth

In the clamour to ensure work is carried out and completed on time, particularly in these days of increasingly crazy expectations, margins and deadlines, it can be tempting for professionals to take chances on-site, not least with their own health and safety But, realistically, what good are you to your business if you’re not able to be there in body?

Despite best efforts to raise awareness of the importance of following the correct health and safety processes on-site, and the myriad of new laws and legislation that have been introduced to ensure their proper implementation, alarming statistics have emerged that suggest almost all trade professionals have paid a physical price for what they do

According to research by Direct Line Business Insurance, 95% of trade professionals have been injured at work, with half (50%) of tradespeople acknowledging that health and safety requirements and procedures aren’t consistently followed on-site.

Analysis of new Health and Safety Executive data reveals that 47,000 people working in construction trades suffered a non-fatal injury at work in the three-year period 2021/22 – 2023/24 There was also nearly one fatality a week (51 fatal injuries) in the construction industry in 2023/24

The impact of workplace injuries is farreaching, with more than a quarter (26%) of injured tradespeople surveyed requiring six months or longer off work to recover Worryingly, 96% of tradespeople report not knowing anyone in their field who has avoided workplace injuries, highlighting the widespread nature of the issue.

According to the Health and Safety Executive data, approximately 425,000 working days were lost in 2021/222023/24 in the construction sector due to workplace injury, severely disrupting livelihoods and placing significant strain on businesses Health and safety awareness is a critical issue, with nearly one in five (18%) tradespeople admitting

they’re not fully informed about relevant rules and regulations.

Just a third (37%) of tradespeople would speak to a trainee or apprentice onsite if they weren’t following health and safety procedures and less than half (41%) of tradespeople would intervene if a health and safety breach put their own safety at risk

“The impact of workplace injuries is far-reaching, with more than a quarter (26%) of injured tradespeople surveyed requiring six months or longer off work to recover.”

Concerningly, less than two fifths (37%) of those accountable for safety on-site would actually address a colleague for not following health and safety procedures.

The results provide pretty grim reading and show there’s still much work to do to ensure that individuals, no matter which construction sector they’re representing, are more likely than not to return home to their loved ones at the end of each working day

One solution could be for more senior staff to take a real lead in this area, with company rewards provided to individuals and employees who have delivered improved or exemplary health and safety performance over a given period of time

After all, a company is only as strong as its workforce. Yet if members of that workforce are missing through injury well, you can work out the maths. Have a good month, enjoy the issue and, most importantly, stay safe.

Richard

B

o wler

Major seminar to tackle challenges faced by electrical industry

As the UK heads towards a low-carbon electrified future, the need for the electrical installation industry to modernise will be under the spotlight this coming April (3rd) at the 2025 Electrical Installation Seminar, organised by Electrical Safety First.

The theme for this year’s event is ‘Demand and Supply’ and will focus on the issues associated with infrastructure modernisation and the increasing demands on the UK’s building stock

Expert speakers will discuss how energy provisions and services are changing and the subsequent impact on the workforce in terms of safety, quality and competency requirements.

Held at the historic IET building in Central London, this event will feature a range of engaging presentations and

panel discussions will highlight learnings from the UK’s energy transition to date, and considerations to be made now for a successful future It brings together more than 100 experts and leaders to explore critical issues, solutions, and insights into safer electrical installation

Luke Osborne, Deputy Technical Director of Electrical Safety First, says: “We encourage our speakers not only to share their concerns, but also offer best practice solutions, whilst looking to the future on upcoming developments in the electrical installation sector The seminar is the perfect platform to share expertise, future-proof your business, get feedback about your ideas from fellow professionals, and meet potential clients

The Electrical Installation Seminar will be attended by manufacturers, wholesale retailers, apprentices, educational organisations, installers, government bodies, insurers, housing associations and fire and rescue services

EIC celebrates anniversary with monthly challenges

The Electrical Industries Charity (EIC) is marking its 120-year milestone anniversary by inviting industry professionals to help the organisation take on one of its monthly challenges

Founded in 1905, the EIC has transformed from modest origins into a vital resource for countless individuals and families across the industry Through financial assistance, emotional support and access to invaluable resources, EIC has helped turn challenges into opportunities for thousands.

Throughout 2025, EIC is inviting electrical professionals to take part in its monthly challenges, each inspired by its anniversary Whether it’s running 120 km in February, completing 120 daily squats in March, or dedicating 120 minutes to mental health awareness in May, there’s something for everyone

CEO, Jess Vailima, is leading the charge for this special anniversary year

with an inspiring series of fundraising challenges spanning the UK

From the thrilling heights of the world’s fastest zip line in Wales to the iconic Kiltwalk in Scotland, an adrenaline-filled abseil down Belfast’s Europa Hotel and a soon-to-be-announced London challenge, Jess’s journey reflects the diverse reach of the EIC

How you can help

Participants are being encouraged to join Jess on one of the aforementioned challenges or you can take on your own challenge to support EIC’s £120,000 fundraising target. Rally your community, donate, or simply spread the word Every contribution makes a difference

l Zipline @ Zipworld, Penrhyn Quarry: 15 March – Entry: £105

l Kiltwalk Glasgow: 26 April – Entry via Kiltwalk’s website

l Abseil @ Europa Hotel, Belfast: 12 October – Entry: £35

l London Challenge: TBC

To get involved or learn more visit the link below or email: fundraising@electricalcharity.org

GET

Charge ahead with battery

HiKOKI Power Tools is kicking off 2025 with an unbeatable offer for professional tradespeople.

Running until 31st March, customers who purchase select HiKOKI 36 V Multi Volt cordless tools from approved UK/ROI dealer can get a free cutting-ed 36 V/18 V Multi Volt Tabless Li-Ion Battery (4.0 Ah/8.0 Ah).

This exclusive deal means you can get

hands on HiKOKI’s latest ttery innovation, the BSL3640MVT Multi Volt Tabless Battery With advanced tabless cell technology, the battery delivers up to 2,160 watts of power, 50% more than previous models. Designed to duce internal resistance heat, the battery ensures superior performance, extended runtimes and faster charging, fully charging in just 40 minutes when paired

Employee-owned manufacturer, Gripple, has welcomed the visit of HM Lord-Lieutenant of South Yorkshire, Professor Dame Hilary Chapman DBE RN, to its manufacturing site in Sheffield.

As the King’s representative in the county, the Lord-Lieutenant came to present Gripple with the King’s Award for Enterprise in Innovation, an accolade it won last year for its revolutionary construction product, Fast Trak.

The visit started with a behind the scenes tour of the manufacturer’s Norfolk Bridge Works in Sheffield, where Fast Trak is made A BREEAM excellent facility, the site opened in 2021 and is capable of producing more than 300,000 metres of bracket and track every year

This was followed by the award presentation, taking the firm’s total to six King’s or Queen’s Awards for Enterprise

Professor Dame Hilary Chapman said: “It was a privilege to visit Gripple and present the company with a thoroughly deserved King’s Award for Enterprise.

“A proud Sheffield business and active participant in the community, it is a shining example of South Yorkshire’s rich manufacturing heritage I would like to thank Gripple for the warm hospitality and I hope to return in the future to see the brand’s continued success ”

with the UC36YSL2 charger

Choose from the versatile C3606DPAJVZ Plunge Saw Kit, the precise C3612DRAW4Z Compound Mitre Saw, the durable C3610DRJW4Z Table Saw or the reliable EC36DAW4Z Compressor, and this promotion will ensure your toolkit is powered for peak performance

Don’t miss out – claims must be submitted within 28 days of purchase.

For full terms and conditions, visit HiKOKI’s official website

Accredited by The CPD Group, ‘The CPD Zone’ has proved a big hit since launch with hundreds of readers downloading a bespoke, personalised certificate of proof in every issue

This book wraps up the content from the first six ‘CPD Zone’ sections of 2024 to offer professionals a valuable 104-page resource

The CPD Book: Volume One 2024 is free to access and is available now on the PE website You can also request a download link while you’re there

Make a trip to the Hub in 2025

Trafford & Stockport College is urging local professionals to boost their green skills and credentials in 2025 by taking advantage of the Green Skills Hub.

The Trafford & Stockport College Group prioritises upskilling businesses and individuals in the local community through investing in new, green technology

So, if you’re a business local to Stockport or Trafford, the Green Skills Hub can provide essential training for you and your employees

The hub was launched at Stockport College last year, with an additional site at Trafford College (Stretford Campus)

Employees can complete fundamental training linked to air source heat pumps, solar thermal, solar photovoltaic, and other key electrical technologies, such as electrical vehicle charging and battery storage

With the installation of an EV hub at Stockport and a heat source hub at Stretford, both colleges offer an interactive and immersive experience designed for you to be able to keep up with ongoing changes in your industry and future careers

Through upskilling in green skills, you and your business can be part of the regional contribution to achieving Net Zero Carbon From Electric/Hybrid Vehicle Awareness to Waste Management and Environmental courses, your business is covered across all the crucial areas

Even if there’s an area that’s not listed on the college website, there’s still the capacity to deliver bespoke programmes, tailored to your specific training needs

Licence to upskill with new XS Training courses

XS Training has announced the launch of two new training courses to help electrical professionals to upskill in Solar PV and Electrical Energy Storage Systems.

The move to greener and renewable energy sources continues to grow year on year, particularly in the domestic market as Solar Photovoltaic Systems and Electrical Energy Storage Systems continue to become less expensive and more efficient

XS Training offers an on-site three-day course in Solar PV Systems and a two-day course in Energy Storage Systems, at its Training & Test Centre in Leeds

(Please note: these are not currently available as online courses)

These will be delivered from the awarding body City & Guilds and is one of the current qualifications required to gain MCS accreditation.

MCS is required by many energy companies for any excess energy that is exported back to the grid to be paid to the customer.

Courses taking place this month: Installation and Maintenance of Small

Solar Photovoltaic Systems course:

Feb 24th – 26th

Learners must achieve the following mandatory units:

l 301 Installation and maintenance of small solar photovoltaic systems –online knowledge test

l 302 Installation and maintenance of small solar photovoltaic systems –practical assignment

Electrical Energy Storage Systems course: Feb 27th – 28th

Learners must achieve the following mandatory units:

l 301 Design, installation and commissioning of small electrical energy storage systems – online knowledge test

l 302 Design, installation and commissioning of small electrical energy storage systems – practical assignment

XS Training can offer these as separate courses or as a combination of the two Contact the team at: enquiries@xstraining.com for more details.

Drayton continues to celebrate its 75th year in business with a host of sustainability milestones, and by securing Made in Britain accreditation.

As 2025 begins, Drayton is celebrating its recent Made in Britain accreditation. The Drayton factory in Plymouth is where the iconic TRV4, motorised values and other well-loved heating controls roll off the lines, all of which will feature the Made in Britain label

The Made in Britain Registered Trademark is designed to help consumers, buyers, specifiers, and in Drayton’s case, installers, identify products made in the UK.

Alongside this accreditation, Schneider Electric, Drayton’s parent company, has been awarded for its stellar sustainability credentials, winning Most Sustainable Company of 2024, as named by TIME and Statista The win saw the company pip the likes of NEC Corp, Siemens, PayPal, HP and Microsoft to the post

As part of Schneider’s global network of sustainable businesses, Drayton has placed great focus on creating sustainable manufacturing and operations at its Plymouth site, which has operated as Zero to Landfill, going over and above IOS14001, for the past nine years

As evidenced since 2017, effective

energy management has reduced the carbon footprint of the Plymouth factory from over 600 tones to just under 50

This has been achieved through the purchase of 100% green energy, efficient gas heating and various other energy efficiency projects This includes the introduction of a new variable-output air compressor and smart energy monitoring via EcoStruxure

Additionally, the heating controls manufacturer continues to run Single Use Plastic initiatives, sourcing more sustainable alternatives for the production and packaging of its popular products

ON AN UPWARD CURVE

Following its launch by Scolmore in June 2021, the award-winning Elucian by Click consumer unit and circuit protection range has rapidly grown to become a number one choice for the professional electrical contractor. Here we find out more about some of the latest developments with the brand.

Designed with the installer in mind, Elucian is an extensive range of consumer units and circuit protection devices. Ensuring compliance with BS 7671, the range has comprehensive options for every installation, including Main Switch units, RCBO units, Split Load units and Combination units

The consumer units are functional, stylish, and innovative and provide an ideal solution for any residential or light commercial environment

Furthermore, they’re packed with features to make installation quick and simple for electricians

Consumer units

The consumer unit collection comprises various configurations and falls under five main product groups:

1 100 A Mains Switch Consumer Unit – 6, 8, 10, 12, 14, 16 and 20 way

2 Dual RCCB Consumer Unit – 100 A Mains Switch + 2 x 80 A Type A RCCB

3. Dual RCCB/SPD Consumer Unit – 100 A Mains Switch + 2 x 80 A RCCB + 2 Pole SPD

4 Combination Unit – 100 A Mains Switch + 2 x 80 A RCCB – 8, 10, 12 and 16 way

5. RCD Incomer – Mini Board – RCD

Let’s now highlight some of the key features that make these units stand out in the marketplace and help installers make

an informed choice:

Non-combustible enclosures

BS 7671 The Wiring Regulations in 2015 required consumer units and similar switchgear assemblies in domestic premises to have a non-combustible enclosure

Mains Switch Tail Clamp

Each consumer unit comes supplied and pre-fitted with a Mains Switch Tail Clamp to ensure no undue stress is present on the Mains Tails terminations This, in turn, ensures that they do not come loose and helps fix the Mains Switch Isolator more securely to prevent any movement. The Mains Switch Tail Clamp will accept a maximum of 25 mm² double insulated tails

Knockouts

The units all come supplied with a wide range of 40, 32, 25 and 20 mm knockouts, making each board universally adaptable for all installation and cable types

Rear knockouts

The units also come supplied with rounded rectangular knockouts for easy removal and to provide ample cabling capacity for any installation type Each knockout will be supplied with a 0 5 M grommet strip to allow a smooth entry into the board, protecting cable from any potential sharp edges

Earth and Neutral Bar configuration

Each unit has its own specifically configured Earth and Neutral Bar to allow for best practice installation of each board type, neatness of connections and ease of circuit identification

Backed off Neutral and Earth Bar screws For added convenience and to allow quick and easy termination

Keyway Din Rail

A fast release Keyway Din Rail allows for ease of installation

MCB style solid blanks for any unused ways

These are din rail mountable and can only be removed when the cover is removed, thus providing additional safety

Circuit protection

The Elucian range of protective devices are easy to install, suitable for residential and light commercial environments, and provide protection against a range of faults to ensure safety against electrocution and fires. The range comprises: MCBs, Isolators, SPDs, Blank Modules, RCDs, RCCBs, RCBOs, AFDDs and Contactors

Continual investment

Having established a firm footing in the circuit protection sector of the electrical accessories market with its comprehensive line up of products, Scolmore has continued to invest in the Elucian range to provide electricians with products that offer them convenience and easy installation solutions

Since launch a further 16 products have been developed and added to the range, either to complete the product line up or to provide a solution to a particular installation issue These include SPD populated units; modular contactors; single module SPDs; unpopulated consumer units, an energy meter (MID

approved) and dual row consumer units Click has also expanded its range of RCBO devices since launch, with the addition of a 25 A RCBO, as well as a compact 1 Pole and switched Neutral (Type A) RCBO

The most recent development is the launch of a bidirectional RCBO This came hot on the heels of Amendment 3 of BS 7671 (BS 7671: 2018+A3:2024) (see the technical article on pages 44 & 45 for more details), which followed the issue of a technical bulletin by BEAMA in 2024 which detailed a concern where, under certain circumstances, protective devices had the potential to fail and safely operate when required where current flowed in either direction

Which RCBO?

unswitched Neutral, were the norm, and their uses ranged from socket circuits and lighting circuits across the board As such, they were found in many typical installations

The Elucian Bidirectional RCBO is crucial for ensuring user protection in the event of a fault during a loss of supply. These devices are commonly used with generating sets, where the current can flow in both directions, ensuring that the installer is still protected under fault conditions

With three different RCBO types available, Click Scolmore provides some insight into each one and their specific uses:

l Standard RCBOs, known as 1 pole plus

l The second iteration of the device was similar to the aforementioned but included a switch neutral, and this version is quickly becoming the ‘new norm’ for contractors. These devices are typically used where the installation or the piece of equipment it is serving requires the Neutral to be disconnected For example, Regulation 722 531 3 1 requires RCDs to disconnect all lives

l The latest device is the bidirectional RCBO which includes a switched Neutral These would be used where energy flow is possible in both directions from a generating set and this is outlined in Regulation 530 3 201 Examples of such installations would include, but are not limited to, PV systems, battery storage systems and EV chargers

Elucian by Click – the brand to watch Click Scolmore will continue to invest in its growing Elucian range to ensure contractors and installers have access to a broad range of circuit protection products that best suits their requirements and that are compliant with all the latest regulations

BROWSE THE FULL ELUCIAN BY CLICK CIRCUIT PROTECTION RANGE AT: WWW.RDR.LINK/EBK008

LOVE ME A TENDER

Jason Cooney, Founder of Tsaks Consulting, highlights three challenges electrical contractors face when it comes to winning government bids and tenders, and how to ultimately overcome them.

The dreaded tender or bid Always a hassle for contractors that love being on the tools. Writing a winning bid is not just about technical expertise; it’s about strategic planning, risk management, and effective communication

Add to that a busy contracting business to run as well as government documentation requirements and you have both a challenge and a potential lucrative opportunity on your hands

Here are three common challenges electrical contractors face during the bidding process and some strategies to overcome them:

Challenge 1: Struggling to develop social value and local content initiatives

Social value and localisation questions are becoming increasingly common – and a dealbreaker in government bids These

questions assess your ability to contribute positively to the local community and economy. Without a clear plan, electrical contractors may struggle to articulate their social value proposition and score well for social value

Overcoming the challenge:

1 Identify your social value strengths

Assess your organisation’s existing social value initiatives, such as community partnerships, employee volunteering programs, or sustainable practices. If you don’t have any, put some in place as part of the bid preparation process and ensure you develop relationships with community organisations in the local area where the proposed works will take place

2 Quantify your impact

Use metrics to measure the social and economic impact of your activities This

will help you demonstrate the value you bring to the community If you can’t put a number on how many hours you will contribute to an initiative or the actual amount of funds you will donate to the charity of cause, then the initiative will not have the credibility to score well

3 Collaborate with local partners

Partner with local businesses, charities, and community organisations to enhance your social value proposition This shows you are putting in the work and gives your proposal more credibility.

4 Build a strong local supply chain

Prioritise local suppliers to support the local economy and demonstrate your commitment to localisation This needs to be integrated into your bid and you need to showcase the local partnerships you have developed

Challenge 2: Limited supporting documentation for modern slavery, environmental and other questions

When working on a government bid, you will often be requested attached documents such as Modern Slavery Statements or Safety Policies, that you may have never heard of More often than not they’re part of the mandatory criteria which means you will need to attach with documents and comply or your tender will not pass the first decision gate and be considered

Overcoming the challenge:

1 Purchase template documents

This is the relatively easy way out that still requires some time and effort With a quick Google search, you will generally find a company that sells a template for the document you require Download the template and then tailor it to the project and your business

2. Review other policies and create your own

This method is a little more time-consuming You can normally download similar policies from other businesses across the UK that have their policies readily available Use these as a guide to create your own policies and ensure you brand them according to your own brand

3 Tailor, tailor, tailor

Regardless of which solution you adopt, you will need to tailor the policies and documentation to your operations and the bid (where appropriate). When procurement teams review your bid, they will generally review the supporting documentation in detail to ensure compliance

Challenge 3: Lack of a bid library – and a long bid preparation process

A bid library can significantly streamline the bidding process by providing a centralised repository of past bids, templates, and supporting documentation. Put simply, it’s easier and quicker to write a bid when all your previous bids, documents and certificates are all organised and easy to find

Most electrical contractors either don’t write bids and tenders often enough to create one or haven’t had the time to put one in place This leads to you wasting valuable time and resources on repetitive tasks involved in writing bids and ending up in a complete mess

Overcoming the challenge:

1 Create a centralised repository

Establish a secure and accessible platform to store all relevant tender documents, including bids, proposals, and supporting materials

2 Develop standard templates

Create standardised templates for common tender documents such as executive summaries and risk assessments.

3 Organise your documentation

Categorise and index your documents to facilitate easy retrieval

4 Leverage bid management software

Consider using specialised bid management software to automate tasks and improve efficiency. AI helps to write a first draft –and then it’s time to tailor your response.

5 Conduct regular reviews and updates

Regularly review and update your bid library to ensure it remains relevant and accurate

By addressing these challenges

proactively, you can improve your chances of winning tenders and delivering exceptional results. Remember, successful tendering requires a combination of technical expertise, strategic planning, and effective communication

GETTING INTER-ACTIVE!

Just how effective is interactive, hands-on learning in developing the future generation of electrical professionals? Matthew Davies, Teacher and Lead in Electrical Installation at Tameside College shares his experiences.

QWhat is your electrical industry background and how did you get into teaching?

I started my apprenticeship at 17 Electrical installation wasn’t something that I had necessarily envisaged, however an opportunity came to light and it was something I decided would be advantageous to me personally

I completed my apprenticeship and worked largely throughout the industrial sector of the industry, which involved work on the railways, in large factories and other such environments

After getting some experience under my belt I decided give it a go on a selfemployed basis This was a great decision and one that formed my ability to run and manage jobs and take on large amounts of responsibility

With regard to teaching, it is something

which I had thought about for a long time. During my time working self-employed, I completed an HND in construction and property and also a BSc (Hons) in Quantity

Surveying These qualifications increased my motivation for the academic side of the industry and gave me a desire to implement my knowledge and help learners to achieve

I have long thought that the construction industry in general is commonly seen as purely ‘hands-on’, however I am a massive advocate of how academic

and practical principles should be interlinked

QWho do you work for and what sort of courses do you provide?

I currently teach at Tameside College, where we provide a high quality teaching environment across multiple courses We offer courses from Level 1 though to Level 3 technical, whilst also teaching apprenticeships. Further to this we have an excellent commitment to our adult provisions which is really important as this allows adults a further chance of achieving their desired qualifications

QAlthough much of teaching comes in the form of spoken or written word, you've decided to take a different approach to things with interactive displays/sessions – why is this, and what value do you think it brings to delegates? Teaching provides me the opportunity to not only help learners achieve but also make learning an engaging environment

Interactivity is increasingly important as we have moved towards a largely digital society, so we can now make use of resources such as Padlet, where group collaborative learning is made engaging and allows real time feedback, peer collaboration and also creates excellent discussion opportunities

We also utilise the new Tradefox App which offers a fantastic opportunity to provide safe isolation training in a simulated manner This works excellently on the touch screen whereby learners can complete the full safe isolation procedure in a controlled classroom environment

There are further developments in the use of interactive resources at our college

and we now have a fully immersive iHub, which provides learners the opportunity to virtually work in various construction environments, creating a real world learning scenario

QTell

us more about some of the interactive displays/products you have on offer, how they work/function and the subjects they cover?

In addition to the aforementioned resources, we’ve been able to introduce QR codes for revision resources, while learners have created display boards to help cover the theory of wiring of lights, sockets etc Furthermore, the creation of infographic posters for testing, safe isolation, common tools used etc has proved a useful aid

QDoes

interactivity in teaching also make it a more enjoyable experience for the teacher/lecturer?

I believe that one of the main requirements as a teacher is to have a passion for what you are teaching This passion is then transferred on to your learners Using interactive resources allows more engagement which in turn makes teaching more enjoyable for both learners and us as teachers.

QHave you had a hand in creating any of the interactive items you use to teach?

I’ve spent time creating interactive items, including the revision packs which are accessible by QR codes and offer a number of revision methods, either in the form of interactive quizzes, exam style questions or flashcards. Where possible, I also try to create interactive game style

“Interactivity is increasingly important as we have moved towards a largely digital society...”

lesson resources that bring a competitive element to learning.

One big thing I’ve decided to implement this year across electrical is a fully digital practical training book – this has streamlined the feedback process whilst allowing learners greater insights into their strengths and also areas of development

QDo you think interactivity and fun/stimulation is going to be a key way of encouraging young adults into this profession in the future?

I do believe this is an advantageous way of enticing young people into the electrical industry The world in general is becoming more technologically advanced and it is important to allow technology and interactivity to be used in a positive way

QWhat sort of impact has interactivity had on the results/performance of the delegates that you teach?

In terms of engagement and retention of knowledge, the use of interactive resources has been massively positive We’ve seen a much increased level of feedback because learners engage greatly when teaching is offered in the form of, say, verbal recording or short video recording There’s no doubt that my learners are far more receptive to these methods of feedback.

ELEX 2025

Help to shap e the future

In the first of a regular column, offering advice and updates on electrical qualifications and recommended training routes, Kevin Sparrow, Industry & Portfolio Manager at EAL Awards, explains why you can help steer the future of technical qualifications by joining EAL’s Qualification Development Advisory Group (BSE).

Employers and contractors in the BSE sector have an invaluable opportunity to influence the future of technical education by joining EAL’s Qualification Development Advisory Group (QDAG).

W h y g e t i n v o l v e d ?

Whether you are a micro-business, sole trader, or larger contractor, this initiative allows you to directly impact the development of technical qualifications such as BSE T Level qualification and assessments.

T i m e f o r T ?

T Levels are currently the cornerstone of technical education, designed to bridge the gap between classroom learning and the real-world demands of the workplace. They are crucial in helping young people progress into apprenticeships and even higher education

However, for these qualifications to truly meet industry needs, the input of experienced professionals is essential, especially in our highly skilled sector

By joining the advisory group, you will play a key role in shaping these qualifications to reflect the practical skills and technical expertise required for today’s industry challenges

Participating in the QDAG provides more than just the satisfaction of contributing to the future of your trade, it also delivers tangible benefits for your business. Your input will help tailor technical qualifications to meet the demands of employers

This ensures that future workers are better equipped with the versatile, high-demand skills required in small, agile businesses and larger enterprises.

W h a t t o e x p e c t

As a participant, you will gain early access to updates on qualifications

This foresight enables better planning for future hiring, training, and workforce development needs.

Engaging with other industry professionals, contractors, and education providers creates valuable connections Thi collaborative approach h strengthen the BSE sector fostering innovation and s knowledge

This initiative is open to al BSE employers, from sole traders to larger contractors No matter

the size of your business, your voice matters and can help shape qualifications that truly reflect the industry's needs. The time commitment is a few hours over the year, and all meetings are online

H o w t o j o i n

This is a great opportunity to influence the future of technical qualifications and contribute to a skilled workforce for the BSE sector

Your expertise is invaluable in shaping qualifications that will drive the industry forward

By participating, you will support education and ensure that the next generation of aspiring apprentices is ready to meet the challenges of our se

You can register you interest today by completing EAL’s online form, which can be accessed through the RDR.Link below.

To register your interest, fill out the contact form at: WWW.RDR.LINK/EBK010

ENTER THE CPD ZONE AND EARN 1 CPD CREDIT

TOWARDS YOUR PROFESSIONAL RECORD!

continuing professional development (CPD) can be broadly defined as any type of learning you undertake which increases your knowledge, understanding and experiences of a subject area or role. To help professionals to better document and prove this process, our CPD Zone contains content and articles that have been checked, verified and accredited by a third-party specialist organisation

Collectively, the content within this section has been deemed worthy of 1 x CPD credit, or one hours’ worth of CPD

Once this content has been consumed, readers will have the opportunity to scan a QR code which will provide a bespoke, downloadable certificate that can be used as part of a

professional’s ongoing CPD record

This means that if you’re a monthly reader of PE, you could earn up to 11 credits, or 11 hours’ worth of CPD, just by reading a regular copy of your favourite independent industry magazine in 2025

DO NOT SCAN THE QR CODE UNLESS YOU HAVE READ ALL OF THE CONTENT WITHIN THIS SECTION!

A large element of CPD involves self-certification and relies on professionals being honest about what they have actually read, consumed and digested A QR code and RDRLink code have been placed with the final article in this month’s CPD Zone and ONLY once you have read ALL of the articles within this section, should you then scan/enter the code to receive your bespoke certificate

By skipping any of these steps, you’re not just cheating the system, but yourself and your fellow professionals at the same time!

NEW USERS – ACCESS YOUR BESPOKE CPD CERTIFICATE IN FIVE STEPS

1. Read ALL of the content and articles included within this month’s CPD Zone

2. Scan the QR code or enter the RDRLink code with the last article in this section

3. Enter your email address.

4. Fill out your details on the contact form.

5 Download your certificate for use as part of your annual CPD record

PREVIOUS USERS – ACCESS YOUR CPD CERTIFICATE IN FOUR STEPS

1. Read ALL of the content and articles included within this month’s CPD Zone

2. Scan the QR code or enter the RDRLink code with the last article in this section.

3. Enter your name and email address.

4. Download your certificate for use as part of your annual CPD record

All certificates are valid for one year from the issue date If you’re having any issues with downloading your certificate or using the system, please email us at: pe@hamerville.co.uk

THE CODEBREAKERS

ROBERT GRAY: INTERESTING SETUP GOING ON HERE

A periodic inspection and testing of an electrical installation is subject to limitations, within Section D of an EICR, where concealed cables in the fabric and containment have not been inspected.

With this type of installation, it may not be obvious or may not be considered to investigate the external parts of the property to inspect any accessories or wiring systems This setup would appear to be for a ‘smart’ television installation where power, HDMi and data cables are needed at the rear of the T V, so the client would not appreciate internal room concealment or surface containment

The solution installed has several issues:

l Mini trunking is not designed for exterior installation with no IP, Ultraviolet protection

l The surface pattress boxes with blank plate gain are not designed for this use.

l There is a lack of mechanical protection especially with access to bins, and evidence of damage to the pattress boxes

l Potential clash with band I and II cables.

There’s also an additional cabling installation, in the top right of the image, for an upstairs room with lack of protection for the cables

There’s a risk of ingress of moisture into the internal electrical accessories due to the incorrect installation methods, and this would include cables passing through the cavity void which may include some form of insulation material which can affect the cable rating or the insulation Care must be taken when the periodic inspection is carried out, as in the summer the evidence of water ingress may not be present

Therefore, the classification code would be a C3, Improvement recommended unless there was evidence of moisture within the internal accessories or back boxes In the latter case it would attract a C2, Potentially dangerous urgent remedial ac tion required

THE BOOK AND CRACK THOSE CODES! Updated for BS 7671:2018+A2:2022, NAPIT ’s EICR Codebreakers publication is purpose -written to

inspectors and clients, and now includes updates to align with Amendment 2 of the IET 18th Edition Wiring Regulations The book is the per fect technical aid for electrical professionals and their customers

Need help with cracking those all-impor tant EICR codes? Ever y month the technical team at NAPIT will be studying your latest ‘Caught on Camera’ photos and offering advice on the next steps, should you find a similar installation. If you want the team at NAPIT to help crack your codes then send your pic tures through to us at: pe@hamer ville.co.uk

BS 7671 covers installations within the UK and some other jurisdic tions, unfor tunately Dublin does not fall under the requirements, therefore would not be subjec t to an Elec trical I nstallation Condition Repor t

The requirements in I reland fall under National Rules for Elec trical I nstallations E T101, where the term for the repor t remains as a Periodic I nspec tion Repor t and has four obser vation numbers:

1. Requires urgent attention.

2. Requires improvements

3. Requires some attention

4. Does not comply with the current National Rules for Elec trical I nstallations.

Although this installation would not be covered by an EICR, we will consider it as if it was.

A socket- outlet has been installed at a high level, without any means of securing to the building struc ture This may not attrac t attention, although depending on what it has been installed for, it can present a danger to those using it

I t could be used for festive or celebration periods for decorative lighting, which would involve staff plugging into an unsecured socket- outlet. This could place strain on the cables, terminations and any equipment plugged into the socket- outlet

Therefore, the classification code would be a C 3 , I

ed unless there was evidence of damage or loose connec tions to the socket- outlet or back box I n that case it would attrac t a C

rem ed i a l a c t io n requ i re d .

The Observations, Regulation infringements and Codes applicable to this observation would be: W

If Evidence of damage or loose connections, then:

The A2:2022 18th Edition Codebreakers publication is priced at £22.00 (members) and £24.00 (non-members). It is available in both hard copy and digital versions * Price is VAT exempt and excludes postage and packaging.

WILLIAM M CULLETON: THIS WAS SPOT TED IN THE BAR OF A WELL KNOWN HOTEL IN DUBLIN! C2 PERHAPS…?

OVERCURRENT

SHORT-CIRCUIT CURRENTS

The aim of this article from the experts at NICEIC is to look at overcurrent; and, in particular, short-circuit current, and how the requirements of BS 7671 are applied. The adiabatic equation given in regulations 434.5.2 and 543.1.3 will be introduced and used within a typical example to indicate its application within short-circuit current analysis.

The different types of current that can lead to an overcurrent occurring in a circuit are shown in the block diagram of Fig 1.

Fault current

Fault-current consists of two types of fault, as shown in Fig 1 – earth faults and short-circuits

l Earth fault currents flow when there is fault between a live conductor and earth as shown in Fig 2a

l A short-circuit current flows as a result of a fault between live conductors, for example line-to-line or line-to-neutral, as shown in Fig 2b

The anticipated fault current in such a circuit is called the prospective fault current (Ipf) This article will only consider short-circuit currents between live conductors

Short-circuit current

The short-circuit loop is indicated by the red line in Fig 2b Because of the higher values of current typically associated with short-circuit conditions, care must be taken when selecting appropriate switchgear and protective devices

Regulation 434 5 1 requires that the rated short-circuit breaking capacity of each circuit protective device shall normally not be less than the maximum prospective fault current at the point at which the device is installed

However, a protective device having a lower breaking capacity is permitted if another protective device having the necessary rated short-circuit breaking capacity is installed on the supply side,

as shown in Fig 3

In this situation, the characteristics of the devices shall be co-ordinated so that the energy let-through of these devices does not exceed that which can be withstood, without damage, by the device(s) on the load side

In domestic (household) or similar premises, where a consumer unit to BS EN 61439-3 is used and the maximum prospective fault current declared by the distributor is 16 kA, it is not necessary to measure or calculate prospective fault current at the origin of the supply This specific conditional short-circuit rating applies when using an upstream BS 88-3 (formerly BS 1361 type II) fuse-link with a maximum 16 kA PSCC at the service cut-out and not at the consumer unit

The relationship between the protective device and the cable While regulation 434.5.1 typically relates to a protective device and its ability to withstand the effects of the maximum prospective fault current, regulation 434 5 2 is concerned with limiting the heat that will be added to the current-carrying conductor while such a fault exists.

For any applicable disconnection time the maximum energy withstand of the cable must be equal to or greater than the let-through energy of the protective device Where this is not the case, there is the risk that under fault

conditions the insulation may suffer thermal damage

The time (t), in which a given fault current will raise the live conductors from the highest permissible temperature in normal duty to the limiting temperature, can, as an approximation, be calculated from the adiabatic equation given in regulation 434 5 2:

“The thermal withstand of the cable must be greater than or equal to the let-through energy of the protective device.”

short-circuit occurring on a cable supplying a load, and referring to Fig 4, consider a fault occurring at position B, which due to a loose connection has some additional impedance. If the total impedance of the line-neutral loop is 4 Ω, what effect will this have upon the circuit cable?

It should be remembered that an earth fault has a maximum disconnection time of 5 s for TN systems (411 3 2 3) However, there is no such limitation on time given in regulation 434.5.2 for short-circuit currents Nevertheless, a check must be made to ensure that the protective device operates before the cable becomes damaged

Transposing the equation further to express the terms of the thermal relationship gives:

k2S2 = I2t

On one side is the thermal withstand of the cable k2S2 and on the other side is the let-through energy I2t of the protective device. The maximum thermal withstand of the cable depends on its cross-sectional area S, and k, which is a factor that takes account of the material properties of conductors and insulation

As mentioned previously, the thermal withstand of the cable must be greater than or equal to the let-through energy of the protective device therefore, k2S2≥ I2t

Example

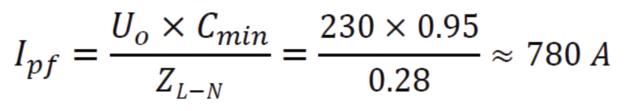
To illustrate the effects of a

The circuit has been installed using a two-core 1 5 mm2 steel-wire armoured cable having copper conductors with 70°C thermoplastic insulation It is protected by a BS 88-3 fuse system C, rated at 20 A Under no-fault conditions, the line-neutral loop impedance values at the supply and load can be taken as 0 28 Ω and 0 62 Ω respectively The effects of voltage drop at the load have been ignored

The application of the regulations of Chapter 43 shall take into account both the minimum and maximum fault current conditions; so that the highest energy let-through is considered (533 3) Regulations 411.4.4 and 411.5.4 incorporate a voltage factor into the equations given This voltage factor C takes account of voltage variations depending on time and place, changing of transformer taps and other considerations The voltage factor C is not intended to take into account any fault impedance

The values of C for a low voltage installation are given in Table 1, and are reproduced from Table 7 of PD CLC/TR 50480: 20111 Determination of cross-sectional area of conductors and selection of protective devices.

The voltage factor used is dependent upon what is being considered For example, when estimating maximum fault currents, Cmax is applied When determining maximum disconnection times, Cmin is used.

The prospective fault current at position B will be:

From Fig 3A1 of BS 7671, the disconnection time for the protective device is approximately 25 seconds

What will be the maximum time the cable can withstand this level of fault current?

Using Table 43 1, the value of k for 70° thermoplastic insulated copper conductors is 115

The calculations show that the cable will certainly suffer some degradation as the disconnection time exceeds the time limit at which the cable can withstand the fault current.

The prospective fault current at position A:

From Fig 3A1, the disconnection of the protective device occurs in a time less than 0.1 seconds, therefore the cable will not be exposed to damage, and the fault current is within the rated breaking capacity of the device

The two values of prospective fault current calculated highlight the condition that the most onerous situation arises when the short-circuit current is relatively low, such as at position B

Summary

This article has considered fault current and in particular focused on the effects of a short-circuit fault occurring between two live conductors.

In the example given, the adiabatic equation was used to illustrate the effects and possible damage that may occur to a cable during a short-circuit fault

As such, for any relevant disconnection time, and to prevent thermal damage to the cable insulation during a fault, the maximum energy withstand of the cable must be equal to or greater than the let-through energy of the protective device

HOW TO AVOID LIGHT POLLUTION

Mitchell Waite, Product Manager at Collingwood

Lighting, looks at how to install external lighting to avoid light pollution and meet many councils’ DarkSky policies.

While we need good outdoor lighting for safety, for work or to simply enjoy an outdoor meal on a warm summer’s evening, light pollution can be a problem As such, if you’re installing external lighting, you must ensure you get it right to meet most councils’ DarkSky initiatives

One thing you should always do is to take step back from the project that you’re lighting and consider the impact it will have on the surrounding areas and the darkness of the night sky The opening question you should always ask is whether your customer actually needs the lighting in the first place

Direct the light

If the answer is “yes”, you should only light the area that needs it. This means that the luminaire should have hoods or shielding so that you can target its direction to ensure there is no light spillage causing glare Think about the beam angle that you’re using and what you’re lighting

Where you can use wall lights, don’t mount them too high above the area you’re lighting as this will give a steep tilt angle that can cause unwanted light pollution. If you do use uplights ensure that you direct the light and contain it to the area that you’re lighting Luminaires with asymmetric beams will focus the light in one direction, making it easier to achieve this

Avoid upward light spill

The glow that we see at night from artificial lighting is due to unwanted light spilling upwards and away from its intended area

Where you’re using a wall light always check its upward light output ratio (ULOR), which is the percentage of light that it emits

above the horizontal plane For DarkSky approval it should have a ULOR of less than 0 5% or 50 lumens

Well-designed fittings will have high quality optics so that you can accurately direct the light where you need it, whether that’s downwards or focussed on the object that you’re lighting with minimal or no spillage.

Lower lux

The DarkSky initiative also specifies that you should keep lux levels low where possible and to not use overly bright lights The illuminance needed will depend on what the lighting is for, and you will need to refer to appropriate standards for each situation

Lighting control

In addition to controlling where the light goes, your customer should only have it on when they really need it And, on occasions when usage is low, it should be dimmed to reduce the light and save energy

Implementing control scenarios is far simpler for LED lighting than, for example, metal halide lamps that are in many older installations While the former are easily dimmed, the latter can only dim down to 50% of their rated power. In addition, LED lighting will switch on and off immediately in response to timers, or PIR sensors, whereas metal halide sources are slow to turn on

Colour matters

The correlated colour temperature (CCT) also matters DarkSky requirements are for a CCT of 3000K or warmer because this is less likely to

scatter in the atmosphere than higher colour temperatures that have short-wavelength ‘blueish’ light

This is particularly important for nocturnal animals and insects If, for example, bats are known or suspected to be in the area then the amount of upward light spillage, particularly the blue light content of higher CCT values, can affect their circadian rhythms.

Be sustainable

In general, you should assess how much light the fitting produces relative to the amount needed for the task LED lighting produces more lumens per watt than other sources, so they’re more energy efficient Some are more efficient than others so it’s worth checking the lumen output of a fitting rather than just its wattage. LED luminaires also have a long life, so they will not need replacing as often and some have replaceable parts so your customer will not always need to install a new fitting LED lighting provides a sustainable option and, if you pick the right fittings, they’ll enable you to meet the DarkSky commitments of many local councils

In conclusion, as the Institute of Lighting Professionals Guidance Note 1 for the reduction of obtrusive light states: make sure that you install ‘the right light in the right place at the right time, under the right control ’

BROWSE THE LATEST EDITION OF THE COLLINGWOOD LIGHTING CATALOGUE ONLINE AT: WWW.RDR.LINK/EBK013

FOR SAFER BUILDINGS

The Building Safety Act 2022 has introduced significant changes and responsibilities for the construction and maintenance industries. Clare Klug, Product Marketing Manager at Trimble Luckins, looks at how to manage product information for safer buildings.

The construction industry has long-since focused on health and safety practices on-site but the Building Safety Act 2022 shifts the mandate by stretching the responsibility to serve all those occupants of the building throughout its lifespan

A key focus of the Act is now the management of product information, which is deemed critical for ensuring safety and compliance throughout the lifecycle of a building The Act underscores the importance of accurate documentation, traceability, and accountability across the supply chain – from manufacturers to building owners As such, effective product information management is now essential for meeting these new regulatory standards

Emphasis on accurate documentation and record-keeping

With additional scrutiny on safety and information, one of the fundamental requirements of the Act is the need for precise documentation and thorough record-keeping The safety and compliance of a building depends on reliable and up-to-date information about the products used during construction and maintenance.

This is where the role of manufacturers becomes pivotal They’re responsible for providing accurate, regularly updated product data and making it easily accessible to contractors, sub-contractors, engineers, and building owners To meet these demands, many in the industry turn to established datapools that offer

comprehensive, verified product information

These platforms remove the burden from contractors by maintaining a central database of product information, which is automatically updated via API As an example from the MEP industry, a unique TSI code assigned to each product ensures quick and easy reference to the relevant data.

By using this identifier, contractors can seamlessly integrate product information into their internal systems and project documentation, ensuring compliance with the Building Safety Act

Longevity and digital record-keeping

The Act introduces the concept of a “Golden Thread” of information, which

refers to a continuous digital record of all data related to a building’s design, construction, and ongoing maintenance

This is especially important for high-rise buildings, where safety is a top priority

The Golden Thread ensures that every product installed in the construction process is recorded, and that the information is kept up-to-date and easily accessible throughout the building’s lifecycle

The Act goes one step further and suggests that documentation be kept for a minimum of 15 years This certainly requires changes in working practices, with many UK contractors using industry established datapools to reference as part of their digital evidence. This enables them to leverage resources from data experts that specialise in liaising with manufacturers and wholesalers to ensure the information is accurate

Product traceability

Traceability is essential for ensuring that the products specified for a building are the same ones installed on-site. Often, what is specified by the contractor can be replaced with other products due to availability or convenience However, this can pose risks to the building’s safety and compliance

Under the Act, maintaining the thread of information from specification through installation and into maintenance is crucial Accurate product information allows for quick response times and safe replacements when components need to be changed during a building’s lifespan.

Whether it’s 10 or 20 years later, having a complete record ensures that like-for-like replacements are made, preserving the safety and integrity of the structure A verified product database ensures that all manufacturers, contractors, and building owners have access to the most current and accurate data at any time

Digital twin technology

Upon the completion of a construction project, it is now standard practice for contractors to provide a digital twin or as-built model of the building These digital representations contain detailed information about the building’s systems, including the materials and products installed

This approach m building owners an teams to access th need for future rep integrating produc these models, stak reference the exac materials used If an issue arise system years later, be consulted to ide involved and retrie or safety documen streamlined process saves time and ensures that any future work on the buildin high standards as t e o g a construction

Enhancing safety

Safety is at the core of the Act, and managing product information effectively is key to ensuring it Installation guides, maintenance manuals, and safety certifications must be readily accessible to everyone involved in the building’s lifecycle Housing this information in a central, verified database makes it easy for contractors, engineers, and building owners to retrieve the necessary documentation when needed Having accurate, accessible information instils confidence that the products being used meet regulatory standards and are safe for long-term use. This not only helps ensure compliance with the Act but also provides peace of mind that the materials specified and installed will perform as intended without unforeseen safety issues arising down the line

Responsibilities across the supply chain

The Building Safety Act imposes new duties on every participant in the supply chain, from manufacturers and suppliers to building owners. Each party must collaborate to ensure the safety and compliance of the products used:

● Manufacturers must supply fully attributed product information and prove compliance with regulations They are responsible for ensuring that the information is provided in a format

that can be integrated into various systems used across the supply chain

● Wholesalers are required to ensure that the products specified by contractors are supplied without substitutions based on stock availability or pricing preferences.

● Contractors are now held accountable for assembling accurate documentation throughout the building’s lifecycle, ensuring that all records are robust and accessible

● Building owners must have access to this information for ongoing maintenance and regulatory compliance, ensuring that the building remains safe for occupants

Conclusion

The Building Safety Act 2022 sets new standards for product information management, with a strong emphasis on accuracy, traceability, accessibility, and safety By leveraging a robust database which provides stakeholders with what they need to uphold their responsibilities, the industry can meet these regulatory demands, ensuring safer buildings and better outcomes for everyone involved

DIRECTIONALLY CHANGED

In this article, Andrew Duffen, Technical Commercial Engineer at NAPIT, seeks to unravel the mysteries of unidirectional and bidirectional protective devices.

With the introduction of Amendment 3 of BS 7671, the requirement for the installation of bidirectional protective devices for all sources of supply, including grid connections, generating sets, i e battery storage, solar PV and electric vehicles, with the ability to power back to the charger (vehicle-to-grid), has been addressed

Amendment 3 is a standalone document and has to be included with the current version of BS 7671:2018+A2:2022 and Corrigendum (May 2023). It is a free-to download PDF and should be appended to your brown copy of BS 7671:2018

A key principle of this amendment is the safety and compliance of electrical installations as more users become prosumers in this modern world, the growth in the renewable energy market in the UK and the rising cost of energy

There are two definitions for BS 7671 in Amendment 3, describing both types of protective devices

What is a unidirectional protective device?

For a unidirectional protective device, BS 7671 Amendment 3 states:

“A protective device where it is intended by the manufacturer that a source of supply is only connected to one defined set of connection terminals ”

Unidirectional protective devices are labelled to show the line and load terminals and are intended to function when the source of supply connects solely in one direction, from the supply to the load It is essential to pay attention to the connection terminations as specified on the device, shown in Fig 1.

An example of this type of device is a Residual Current Breaker with Overcurrent (RCBO) Not all RCBOs are unidirectional; some RCBOs now incorporate technology that prevents the RCBO from being damaged when the source of supply is derived from either direction, making them bidirectional protective devices

What is a bidirectional protective device?

The definition of a bidirectional protective device in Amendment 3 is defined as:

“A protective device where it is intended by the manufacturer that a source of supply is connected to either or both sets of connection terminals.”

Fig 1: Unidirectional Protective Device
Fig 2: A Bidirectional Protective Device
“ ... a bidirectional protective device doesn’t have line and load terminal markings, which allows it to safely accommodate a source of supply from either direction without risk of damage.”

A n e x a m p l e o f t h i s t y p e o f d e v i c e

w o u l d b e a R C C B , s e e F i g 2

G e n e r a l l y, R C C B s w i t h i n c o n s u m e r

u n i t s a r e i n t w o - m o d u l e - s i z e s , a n d d o

n o t u s u a l l y h a v e a n i n a n d o u t

i n d i c a t i o n ; t h e r e f o r e , t h e y a r e

c l a s s i f i e d a s b i d i r e c t i o n a l p r o t e c t i v e

d e v i c e s , t h o u g h t h e y c o u l d b e m a r k e d

t o d i s p l a y w h e r e t h e n e u t r a l o r l i n e

s h o u l d b e t e r m i n a t e d

RCCBs installed in split load consumer units are not suitable for the connection of solar PV or battery storage systems.

How will Amendment 3 affect existing installations?

Careful consideration should be given to existing installations in regards to carrying out electrical installation condition reports (EICR). Inspectors carrying out these reports will need to give a classification code if a unidirectional protective device was installed with connections for more than one source of supply, such as a generating set

To correctly assign classification codes when conducting EICRs, NAPIT and WRAG recommends checking with the manufacturer to establish if the protective devices being installed are bidirectional or unidirectional protective devices and to receive a declaration of conformity which shall be appended to the EICR, as shown in Fig 3

“Selection and erection of equipment for protection shall take account of appropriate use of either a unidirectional protective device or a bidirectional protective device ”

With rapid growth in the renewable energy industry, bidirectional protective devices will become the standard.

In regard to existing installations of generation sets, where it is unclear if the protective device is either unidirectional or bidirectional, inspectors must confirm the protective device type with the manufacturer, with either written or published confirmation of device type.

Conclusion

After the release of Amendment 3, all sources of supply for connection to either set of terminals, including generation sets, must now be protected by a bidirectional protective device Designers, installers and inspectors must be aware of Amendment 3, ensuring that all electrical installations that have sources of supply operating in either direction, such as generating sets, comply with the amendment Regulation 530 3 201 states:

Once this information is gained, it will aid the inspector in determining any potential classification code required for an EICR

Further information on uni and bidirectional devices can be found in the On-site Solutions publication, available at NAPIT Direct FOR MORE INFORMATION ON NAPIT SCHEME REGISTRATION VISIT: WWW.RDR.LINK/EBK051

Fig 3: Example of a NAPIT Electrical Installation Condition Report (EICR)

The experts at ROBUS guide you through the basics of LED strip selection and installation.

LED strip has been a game-changer in recent times While you’re probably familiar with the exceptional energy efficiency of LEDs, the advantages of mounting LED diodes on a flexible circuit board are still emerging Simply put, LED strip is essential to the electrician’s toolkit

The first step to an LED strip installation You cannot choose LED strip without having a clear idea of what the result should look like Can you picture it? Having this defined vision to refer to will make the next steps easier

Consider the following:

l Where will you be installing your strip?

l Is the location outdoors or indoors?

l Is there potential for water or dampness in this space?

l What kind of ambience are you aiming for? Should it be vibrant and crisp, or soft and atmospheric?

l Will the LED strip be visible or concealed?

l Is there a preference for a continuous stream of light effect?

Once you’ve identified those factors, you’re ready to start the process of selecting your LED strip!

Light effect: dotted or dotless? Why pick one lighting effect over the other? As a brand, ROBUS has a variety of dotted and dotless strip to choose from, so it’s helpful to understand the difference Take a look at the table in Fig 1 to understand the benefits of both

The key to deciding between these two options is understanding the location of the fitting and the preferred lighting effect

Once you make your choice, it is time to decide what colour lighting you require.

Colour: over 16 million options

One of the most appealing advantages of installing LED strip is the range of colour variations made possible by LED technology. RGB LEDs alone offer over 16 million possible colours, achieved by blending the primary colours of red, green, and blue – hence the name, RGB

Prefer a minimalist white aesthetic?

While RGB LEDs can approximate a white hue, you'll need a dedicated white LED chip if you want a pure white tone.

Ingress protection: how exposed is your light fixture?

Different types of LED strip come with different ingress protection ratings (IP ratings) to suit the diverse applications for which the lighting may be used. This is because electrical goods can deteriorate or malfunction when water or dust enters the fixture

Therefore, if the lighting is to be installed outdoors or in an area prone to water residue (such as a bathroom or bar), a higher-level IP rating is necessary.

Extrusions: one to match every application

Extrusions are solid, semi-hollow, or hollow aluminium casings that can be equipped with high-quality diffusers and mounting accessories. LED extrusions, also known as profiles, prevent damage and dissipate heat Additionally, they can enhance lighting by providing streamlined effects Exposed LED chips are vulnerable to accidental knocks and scuffs from everyday occurrences, and these lightweight extrusions act as an attractive protective shield

Wattage: what wattage and why?

It’s all down to LED density! Lower wattages are generally more suitable for accent and background lighting purposes, whereas higher output is preferred for functional lighting in areas such as offices and corridors

When it comes to LED strip, the more LEDs on a strip the more light output is produced Equally true is that the more LEDs on the strip, the more seamless the light distribution

Driver: how to choose your power supply

The type of driver you require will depend on the specific LED strip selected, the necessary length, the IP rating and the dimming capabilities required. It’s important to choose the correct driver for your installation because if it has a lower voltage than your strip, there’s a potential risk of fire

To find out what driver you need you will require the following information:

1. The LED strip voltage

2 The wattage of the LED strip

3. The length of LED strip required

4. Multiplication of the wattage by the length (W/m)

Now you know what voltage driver you need and at what wattage per metre! You can safely pair a driver that has a higher capacity than the LED strip’s power draw

Please note: you should never use a driver that has a smaller capacity than the max power of your LED strip.

Want to keep learning? You can find out about connectors, controllers, and more in The ROBUS Guide: How to Land Your LED Strip

BROWSE OR DOWNLOAD THE ROBUS ‘HOW TO LAND YOUR LED STRIP’ GUIDE BY VISITING: WWW.RDR.LINK/EBK015

CPD ZONE! SCAN THE QR CODE TO CLAIM YOUR CPD CREDIT FOR THIS EDITION OR VISIT: WWW.RDR.LINK/ EBK016

LEDLENSER CLIP LIGHTS TO BE BAGGED!

We have 10 x W1R Work clip lights up for grabs.

Ultra-compact, powerful and versatile, the Ledlenser W1R Work is a handy clip light for trade professionals and security personnel It can easily be attached at any time by clip or magnet, allowing it to be connected to work clothing, caps or metal surfaces

The column where you get to put your lighting questions to the head of the Ovia lighting business, Mike Collins, and his team of technical experts

QWHEN REPLACING LARGER RECESSED LIGHTS –TUNGSTEN R64, FOR EXAMPLE – DO YOU HAVE A RECESSED DOWNLIGHTER WITH A LARGE DIAMETER TO ENABLE STRAIGHT REPLACEMENT FOR LED?

For the replacement to be a direct one you would need to know the lumen output and spread of light of the luminaire in question If we take as an example an R64 40-Watt version, this has a lumen output of 380. The Ovia Inceptor Milli downlight is a much more energy efficient option, with a selectable power rating of 4 W or 6 4 W producing a lumen output of 430/480/720/780 dependant on the wattage and CCT selected

The Inceptor Milli is a dimmable, fixed, fire and acoustic rated LED downlight which is quick and easy to fit and offers a raft of features at the flick of a switch We’ve just launched a new range of conver ter plates for the Inceptor Milli standard luminaire which will allow it to be retrofitted into ceilings that have holes bigger than Ø75 mm already cut in them The Inceptor Milli standard luminaire has a Ø64-75 mm cut-out, and with this new conver ter plate, the cut-out increases to a maximum size of Ø120 mm, making it ideal as straight replacement for larger downlights

The superior Ledlenser light quality provides precise illumination in two different brightness levels. With its 360° swivel joint and swivelling lamp head, the W1R Work provides light exactly where it is needed The integrated battery can be charged quickly and easily via USB-C Other features include a nubbed surface for a strong grip, a handy transport lock and a low battery warning function.

Features and benefits at a glance:

l Ultra-compact, rechargeable clip light with two brightness levels

l 360° swivel joint and swivelling lamp head for precise and flexible illumination

l Flexible mounting via robust clip or magnet

l Integrated li-ion battery; easily rechargeable via USB-C, with battery and charge level indicator

l Transport lock prevents light from being accidentally turned on

HOW TO ENTER

Deadline for entries: 10/03/2025

Usual

The conver ter plates are made from pressed stainless steel and available in five finishes – white, black, chrome, satin chrome and antique brass

The Inceptor Milli allows you to switch between 6.4 W and 4 W power outputs using a single switch and has the option to switch between the colour temperatures 2700K, 4000K and 6500K It also has an adjustable insulation suppor t bracket on the back of the luminaire, allowing installation under neath insulation The luminaires are supplied pre-wired with a Fast-Fit, 3-Pole & Loop Flow connector.

Inceptor Milli has been tested and meets the requirements of TM66 Assured Product Verification Scheme

Working on your own? Need some technical advice? Don’t know where to turn? Ask Megger What it doesn’t know about installing and testing electrical systems isn’t worth knowing Every question will be answered by the Megger Technical Team, and the best will be published in Professional Electrician So, take advantage of the ‘ every question answered’ guarantee today Email your questions to: meggermeasures@hamerville co uk

You ask: IS THERE A QUICK WAY OF TRANSFERRING DETAILS OF PAT ASSETS AND TEST RESULTS INTO A DIGITAL CERTIFICATION REPORT?

Megger says:

There is if you ’ re using Megger’s new PAT250 handheld portable PAT tester, which is available in two versions: the PAT250SX with standard batteries and PAT250SRX with rechargeable batteries Both models provide everything you need for PAT testing and both offer the convenience and flexibility of remote operation from a smartphone, tablet or computer running Megger’s new CertSuite PAT software Not only does this software allow you to control tests from your own device, but it also lets you capture test results automatically so that you can produce test reports quickly and effortlessly You can even set up and store custom test sequences, which can save you a lot of time All PAT250 testers are supplied with a 12-month renewable licence for CertSuite PAT, which is available in iOS and Android versions as well as a version which runs in any modern web browser CertSuite PAT stores test results securely and is pre-loaded with customisable test reports Regular updates ensure that it always meets the latest regulations and standards And, if you ’ re already using Megger CertSuite Installation, CertSuite PAT can be added so that you have combined access to both Apps

With workplace safety a top priority, KNIPEX’s range of Tethered Tools have become an essential choice for professionals who work at height, reducing the risk of accidents caused by falling tools. We discover why this is the case.

A HEAD FOR HEIGHTS

Working at height remains one of the leading causes of workplace fatalities and major injuries in the UK, according to the Health and Safety Executive (HSE).

To help mitigate these risks, KNIPEX’s Tethered Tools are designed to keep tools secure and prevent accidental drops that could cause injury or damage below by including a tether attachment point so each tool can be safely attached to the user

Popular products

Among the most popular tools in the tethered range are the KNIPEX Cobra (87 02 300 T) water pump pliers, which feature a push-button adjustment, self-clamping capabilities on pipes and nuts and specially hardened gripping teeth for strong performance

The range also includes the KNIPEX CoBolt (71 02 200 T) compact bolt cutters, which easily slice through wire, bolts, nuts

and nails and the X-Cut (73 05 160 T) compact diagonal cutter which needs 40% less force compared with standard diagonal cutters of the same length

Continuing to innovate

KNIPEX, always looking to innovate, has also introduced new comfort handles with KNIPEXtend, which allow its new TetheredTool Clips (00 62 10 T) to be easily attached to any pliers with these updated handles Each clip features a metal fastening eyelet that connects to a tethered tool lanyard, securely preventing the pliers from falling during work at height. The clip is quick and simple to attach – no tools needed, just slide it into place

Easily attached

These tools all attach effortlessly to the comprehensive KNIPEX Tethering System Set (00 50 04 T BK) which has been put through multiple rigorous drop tests and

can safely hold tools up to 1 5 kg The set includes a lanyard, three adapter straps and two high-strength carabiners with screw locks, offering flexible attachment options to meet different on-site needs. This versatile system helps tradespeople prevent tool loss, protect workers below and minimise potential damage to surroundings

Dedicated to health and safety

This range of tools and accessories exemplify KNIPEX’s dedication to health and safety, offering a trusted option for those working at height who need secure, high-quality equipment. With their robust materials and user-friendly designs, KNIPEX tethered tools help professionals work safely and efficiently, reducing the risks associated with height-related tasks

LOG SORTS THE JAM

In this real-life case study, Zack Hartley, Technical & Applications Engineer at Chauvin Arnoux UK, recounts how the PEL103 offered a ‘Pearl of Wisdom’ to Astral Electrical.

Pearl Window Systems of Bolton recently had an issue with its incoming supply after the fitment of a new 3-phase electricity meter and significantly reduced capacity main fuses by the DNO Concerned that this could potentially jeopardise the smooth running of its facility, the company reached out to Astral Electrical for help

The original incoming supply was fused at 100amps per phase, and Pearl had been operating on that supply for 25 years without any issues or incidents. That was until the DNO sent somebody to fit a new electricity meter!

Shortly after fitment the customer noticed an increasing discolouration of the plastic meter housing where one of the tails entered, and promptly phoned to report the finding

The DNO sent an Engineer out to investigate, who quickly fixed the issue, revealing that one of the phase conductor terminations hadn’t been torqued down properly. However, while they were there, the Engineer also advised Pearl that according to the DNO records the supply was supposed to be fused at 60 A per phase, and promptly changed out the fuses

Concerned that the reduced capacity supply wouldn’t be big enough for the

multitude of loads in its 80,000 square foot facility, and not wanting to experience any supply disruption, Pearl contacted Allan Duckworth of Astral Electrical Services to come in and perform a maximum demand survey

Allan set about hiring a Chauvin Arnoux PEL103 Power & Energy Logger, and once he had received it, contacted the CA UK office to seek help in connecting and setting up the instrument

In-person visit

Allan expected to be pushed towards an explainer video or talked through the process on the phone, but since it was only a 40-mile drive across the Pennines from the CA offices to Westhoughton, I jumped into a car and headed over

The moment the PEL103 was connected to the installation currents of up to 65 A were seen on the instrument display These were being drawn on all 3-phases, and obviously slightly exceeded the rating of the cut-out device.

However, as that was just a snapshot in time and Pearl needed to see what happened over the course of a normal manufacturing week, the PEL103 was set up and left to log for seven days to determine the actual maximum demand of the installation

The requirement was to just log current consumption, and so no voltage connections were made which meant no exposure to live circuits was necessary, just the simple looping of the flexible current sensors around the meter tails

The following week the PEL was disconnected and the data downloaded

into the analysis software where the one-minute aggregated data showed average currents up to 67 59 A had been drawn, as shown in the first graph (Fig 1) However, switching in the Min/Max data which includes one second measurements, as shown in the second graph (Fig 2), revealed shorter duration currents of up to 142 4 A had been drawn

Zooming in on some of those events showed high current durations of several seconds (Fig 3) These were most likely due to motor inrush currents that occurred during equipment startup or other similar surges. One particular event is pictured that occurred for just six seconds.

Armed with the seven-day current log information Pearl Windows re-contacted the DNO to advise them of their findings and submitted the PEL report as supporting evidence To everyone’s relief the DNO contacted Pearl shortly afterwards and arranged to attend to install a new 125 A 3-phase supply, for which there was no charge

This is one of a growing number of cases where Power & Energy Loggers, capable of producing the necessary accurate and credible measurements required to convince DNOs, have done just that.

Whether you need to measure maximum demand, out of limits voltage excursions, issues with harmonics, or a multitude of other mains supply parameters, Chauvin Arnoux PELs have you covered

WIN A HULTAFORS MAINTENANCE POUCH!

We’ve got five to give away this month.

ow you have the chance to keep all your favourite tools close at hand with Hultafors’ maintenance pouch Equipped with 14 pockets and tool holders, this pouch has room for it all, including a tape sling and a sleeve that holds a flashlight or voltage tester for easy access A premium quality pouch made of durable and flexible 1680 Denier ballistic polyester fabric, it's easy to attach to your belt and stays in place throughout the working day

Features and benefits at a glance:

l 14 pockets and tool holders

l Electrical tape strap

l Made of 1680 Denier ballistic polyester

l Fits belts up to 50 mm

l Dimensions: 28 x 20 x 10 cm

HOW TO ENTER

TO HAVE AND TO HOLD

In my experience the best inventions usually tend to come from within our trade, so I was really excited to try out this little nugget from Duncan Thomson, a Customer Care Engineer/Electrician, who, along with the good folk at Super Rod, has helped to turn a useful, simple idea into a reality

Most of you reading this will be familiar with that sinking feeling of realising you’ve left your socket tester on-site or not being able to find a suitable place to house it to avoid damage The Jakoda STH (Socket Tester Holder) with multi-function tester nulling feature solves this issue and essentially does exactly what it says on the tin!

Re q u i r i n g n o b a t t e r i e s , t h e u n i t i s b a s i c a l l y a h a r d p l a s t i c s o c ke t o u t l e t , o n l y 2 3 0 m m l

ke

Thanks to its durable plastic hook, you can simply clip the Jakoda STH to the side of your toolbox, or even your trouser belt, for better accessibility when in constant use on-site It also helps to ensure the tester is on show and in your eyeline at all times, eliminating the risk of leaving your tester on-site at the end of a project

Find your tester easily

The unit also alleviates the issue of having to route around in your toolbox to find your small plug in tester (which is no doubt buried at the bottom), passing all the other sharp and awkward tools while you do so and potentially causing damage to yourself or the socket tester

One thing that must be stressed is that this item is purely for use in a ‘dead’ environment. Any live connection will only cause harm to the user and more than likely damage the device, so there’s no trying to make this a ‘live’ piece of kit –you’ve been warned!

function – the ability to ‘null’ your MFT device (the mains plug part of your tester, which is used to test live results)

Within the socket tester itself, there is a nulling option, so before you start testing the power ring final and radial circuits you must remember to null the actual tester first so as to get a more accurate result on the circuits tested All you need to do is simply your tester into the Jakoda STH and press the test button and your plug and leads of the MFT are nulled

9 0 kg To t h i s , y o u c a n a t t a c h y o u r p l u g - i n t e s t e r ( w h i c h i s m o r e t h a n l i ke l y

u s e d o n m o s t w o r k s p r o j e c t s f o r

c h e c k i n g p o l a r i t y o f p o w e r o u t l e t s ) ,

So, we’ve established that this piece of kit is a cracking method for keeping a valued part of your arsenal safe and to hand It does, however, have another

Gary Fisher of Lougar Electric reviews the Super Rod Jakoda STH (Socket Tester Holder).

O v e r a l l , I ’ v e f o u n d t h i s d e v i c e t o b e a

r e a l l y h a n d y a d d i t i o n t o m y t o o l k i t ,

e s p e c i a l l y o n j o b s w h e r e t e s t i n g n e e d s

c a r r y i n g o u t r e g u l a r l y I ’ m e v e n t h i n k i n g

o f g e t t i n g a n o t h e r o n e t h a t w e c a n u s e

j u s t f o r t h e t e s t i n g s i d e o f t h e b u s i n e s s

Personally, I prefer to have it hooked around my trouser belt, which I find most useful, as it’s always there as I’m walking around site testing and has saved an

“I’ve found the device to be a really handy addition to my toolkit, especially on jobs where testing needs carrying out regularly.”

awful lot of time and hassle I do also hook it to the side of my toolbox at times, as it reminds me to carry out tests

Like most products that Super Rod gets behind, this is another simple but extremely useful tool which helps to make life on-site just that bit easier for us electricians I just wish I’d have come up with a similar idea a number of years ago

VISIT THE SUPER ROD JAKODA STH (ITEM CODE SRSTH)

PRODUCT INFORMATION PAGE AT: WWW.RDR.LINK/EBK024

Pete (Monty) Monfort, Director of Arena Training Centre and Monty Electrics, tests the Megger EVCA210

Electric Vehicle

Chargepoint Adaptor and gets to grips with testing procedures for Electric Vehicle Supply Equipment.

“IT OFFERS EVERYTHING YOU NEED TO TEST EVSE”

The UK EV market is on the rise with 2023 seeing the sector grow by 34% on 2022, and a predicted 21% increase of the new car market in 2024 With new car manufacturers appearing, such as the Chinese BYD which looks set to give Tesla a run for its money, the market for electricians capable of installing, testing and maintaining Electric Vehicle Supply Equipment (EVSE) can only grow.

The Megger EVCA210 EV chargepoint adaptor is a compact unit which allows you to fully test Mode 3 AC Electric Vehicle Chargepoints Even if you’re not looking to install EVSE you will most likely still come across installations that require some testing

Why do we need this type of device in the first place?

The EVCA210 is literally one of the cheapest EV adaptors money can buy since it effectively mimics the connection of the vehicle to the socket outlet

The adaptor allows you to carry out a series of tests specific to EVSE, provides an interface between the socket outlet and your Multi-Function Tester (MFT) and

can also permit the connection of a load to test functionality Without one you will not be able to test EVSE

The test procedure

The testing procedure is as for any new electrical circuit with some additional pretests Following visual inspection and the usual dead tests:

1. The EVCA210 allows you to check for dangerous voltage on the protective earth via the touch button (remember to use a bare finger since the tester uses a discharge test) This identifies line to earth misconnections and, more importantly, when there may be a dangerous network fault such as an OPEN PEN conductor which your usual testing may not have identified.

2. The PE and CP error buttons then permit you to introduce an earth fault and a communication error, both of which must result in the EVSE disconnecting and stopping charging

The EVCA210 has some additional dials which allow the user to set the charging

rate (e.g. 16 A or 32 A etc.) and the charging state (disconnected, connected and calling for charge and connected and charging) Heavy duty chargers with cooling fans can also be selected

“The Megger EVCA 210 is a sturdy, well-built unit that makes comprehensive testing of EVSE possible.”

The remaining live circuit tests such as loop Impedance tests and RCD can then be carried out using the 3-pin socket outlet or the 4 mm probe plugs, common to all testers built into the EVCA210 You will need a suitable MFT such as the Megger X1 to fully test the earth loop impedance and RCD functionality comprised in EVSE

Things to watch out for

l When carrying out the earth loop impedance test your MFT will need to have suitable functionality in order not to trip the 6 mA RDC-DD

l RCD tests take a little longer than usual because, after re-setting, the EVSE needs to carry out its internal checks before reconnecting the supply to the test box Where the DC ramp test is applied to confirm that the RDC-DD trips at 6 mA the test is carried out on both sides of the AC wave, but due to the protection normally being built into the EVSE the second test requires the vehicle to be disconnected in order for the EVSE to re-set. This can be done using the CP dial on the EVCA210 by flicking it from connected to disconnected and back again

l If you’re carrying out earth loop impedance and prospective fault current measurements on properties with local invertors such as V2G/V2H

EVSE, Solar PV or battery storage, the measurements can be distorted by the presence of local invertors and they must be isolated prior to testing The IET Code of Practice Electric Vehicle Charging Equipment Installation 5th Edition provides further guidance

l Some EV chargers use CT clamps which are small devices that detect current flow These are normally connected to the meter tails and this allows the EVSE to monitor the current load on the house. This is often displayed to the customer via an interface such as a mobile phone App It’s important that the CT clamp is correctly orientated otherwise the App will report load export when it should be registering import In the absence of

an actual EV the function can still be tested since the EVCA210 allows the installer to plug in a small load such as a portable heater The App can then be checked to confirm that the load is being reported correctly

l The EVCA210 has input connectors for an oscilloscope This permits deeper testing of functionality, an example of which might be to analyse signal duty cycles to check that maximum charging currents are as expected.

Conclusion

The Megger EVCA210 is a sturdy, wellbuilt unit that makes comprehensive testing of EVSE possible The instruction manual is straightforward and Megger has produced a series of short videos that I personally preferred to reading manuals and allowed me to master the functionality in less than half an hour.

The EVCA210 buttons are easy to understand, the pre-tests being located on one side, with clear indicator LEDs and connection points on the other side The unit comes with a carry bag and a type 1 to type 2 adaptor for less common connectors

Price-wise the Megger EVCA210 is really competitive, comprising all the functionality you would ever need to comprehensively test EVSE. Furthermore, it really does become best value when purchased as a set with the all new Megger X-1 MFT

STANDING THE TEST OF TIME

From humble beginnings in a small Detroit loft to an iconic workwear brand that is known and respected across the world, 2025 marks 136 years of Carhartt. Here we learn more about the company’s journey.

Founded in 1889 by travelling salesman Hamilton Carhartt in Detroit, Michigan, Carhartt began life as a small company dedicated to producing durable workwear for railroad workers. Armed with just two sewing machines, a half-horsepower electric motor and five employees, the company’s initial operation was modest to say the least, yet Hamilton Carhartt's vision and dedication to quality and customer satisfaction laid the foundation for what has become one the world’s most respected names in workwear and its motto of ‘honest value for an honest dollar’ is as relevant now as it was back then.

Back to the future

Every company needs a mission statement and from the outset Carhartt was committed to understanding and meeting the needs of workers In fact, the company's first products were overalls, designed with the input of the railroad workers who would wear them These garments were made from denim and duck canvas and featured triple-stitched seams and heavy-duty

rivets – innovations that quickly set Carhartt apart in the increasingly crowded workwear market

The reputation of Hamilton Carhartt’s workwear quickly spread and soon it wasn’t just those on the railroads who were wearing his clothing. With demand from tradespeople and manual workers across various industries, the early 20th century was a period of rapid expansion for the company

It built multiple factories across the United States and Canada including major facilities in Detroit and Ontario As well as increased production and the ability to reach an even broader audience,

Hamilton Carhartt was also a pioneer in improving working conditions within his own factories, ensuring fair wages and safe working environments.

Weathering the storm

During World War I, Carhartt produced uniforms for American soldiers, further establishing its reputation for reliability and quality Then the Great Depression hit and, after having enjoyed almost three decades of continual growth, the company suddenly faced significant challenges.

Meeting these challenges head-on, the firm stayed true to its core market and continued to adapt and innovate. Carhartt's customer-centric approach was revolutionary for the time and set the foundation for its reputation for quality

Designed to withstand the rigors of farm and ranch work, the introduction of the Carhartt Chore Coat in 1923 exemplified this and it remains an enduring symbol of Carhartt's dedication to meeting the needs of working people

When Hamilton Carhartt tragically died in 1937 in a car accident, it was his son, Wylie, who took over the business World War II marked another critical period for Carhartt, as the company once again contributed to the war effort by manufacturing uniforms for the military.

With the post-war era bringing significant industrial growth in America, Carhartt was well-positioned to meet the demands of the expanding workforce and introduced new products such as insulated coveralls and specialised work jackets that empowered hardworking people to get the job done

Cultural icon

Carhartt has always understood the importance and power of advertising and promotion The Carhartt logo, designed in the 60s, became instantly recognisable and the following two decades saw Carhartt transition from a well-known trade brand into the cultural icon it is today This shift was fuelled by the growing popularity of the Carhartt jacket, particularly the Detroit Jacket, among blue-collar workers, outdoor enthusiasts and eventually, mainstream consumers

While the company’s core market was, and always will be, tradespeople, over the years its appeal has expanded to include a wide range of consumers who appreciate its rugged style and authenticity

Over the last 30 years Carhartt's reputation for durability and quality has resonated across a broad audience, leading to its adoption by diverse groups, ranging from hip-hop artists to skaters and hipsters

JOYS OF SPRING

Ryan Rhodes, Commercial Products Manager at the M.K. Morse Company, advises on how to avoid common frustrations when using your hole saw.

The new Morse spring-loaded pin drive hole saw arbor is designed for professionals who demand efficiency and precision and want to optimise their cutting tasks

No longer do you have to look inside the hole saw to ensure the pins are properly aligned before you start threading the pin ring The arbor’s innovative spring-loaded pin-drive mechanism allows users to seamlessly switch between hole saws in seconds

Built to withstand the tests of time

Crafted from high-quality materials, the arbor is built to withstand heavy use and deliver consistent performance, job after job Many users of traditional arbors have seen the pin ring start to back out of a hole saw when running at high RPMs, essentially fusing the arbor threads to the saw This then means having to put the hole saw and arbor in a vice and using a wrench or screwdriver to break the two pieces apart

The new design makes blade changes a breeze compared to the old design; you no longer need to align the pins, or worry about the saw getting stuck on the arbor from the pin ring backing out.

The robust pin drive system ensures a snug and secure fit, reducing wobble and enhancing accuracy while keeping your pins engaged in all applications

Compatible with a wide range of hole saws, the arbor is engineered for ease of use, simplifies installation, and reduces common problems that occur with pin-drive arbors

GET DOWN TO BUSINESS

The team at Fergus offer five top tips to help you better manage your business in 2025.

Fr o m c o m m u n i c a t i n g o f f i c e

h o u r s a n d e m e r g e n c y

c o v e r t o b u d g e t i n g a n d

h a n d l i n g l a t e p a y m e n t s , t h e r e ’s p l e n t y t o o r g a n i s e

o v e r t h e n e x t 1 2 m o n t h s

F e r g u s , t h e a l l - i n - o n e j o b

m a n a g e m e n t s o f t w a r e, i s h e r e t o

h e l p, w i t h f i v e t o p t i p s t o g e t y o u r

b u s i n e s s s o r t e d f o r 2 0 2 5

1. Get paid on time

W i t h F e r g u s’ q u i c k a n d e a s y t o o l s ,

y o u c a n c r e a t e a n d s e n d i n v o i c e s i n

s e c o n d s a n d i n s t a n t l y s e e w h i c h

c l i e n t s h a v e p a i d a n d w h i c h o n e s s t i l l

o w e I f a n i n v o i c e i s n ' t p a i d i n 3 0

d a y s , t h e s y s t e m a u t o m a t i c a l l y s e n d s

a r e m i n d e r t o t h e c u s t o m e r s o

t h e r e ’s n o n e e d f o r a w k w a r d

c o n v e r s a t i o n s F e r g u s h a s a l s o a d d e d Ta p t o Pa y t o t h e F e r g u s G o

2 Keep clients in the loop

Avoid confusion by clearly communicating your office hours, holiday closures and emergency contacts Fergus lets you send automated SMS messages to inform clients of your plans, ensuring they know who to contact and when you’ll be back

3. Streamline admin and scheduling

Make life simpler by consolidating all your quotes, communication, job scheduling and invoicing into one system Fergus centralises these tasks, cutting down on time-consuming admin and reducing the risk of errors

whether it’s online submissions or phone and in-person requests, Fergus ensures no potential lead is missed The feature also integrates seamlessly with the Fergus Go App, so you can manage enquiries from anywhere

5. Consider switching your JMS

If your current job management software isn’t meeting your needs, consider a switch for 2025 Many business owners avoid switching providers because they worry it will be too disruptive or that the transition will be complicated Fergus makes sure the migration process is smooth We handle all the data transfer and onboarding to make the switch quick and easy. Our dedicated support team is on hand to guide you through the process and ensure your business can continue operating with minimal disruption

A p p, s o y o u c a n a c c e p t c o n t a c t l e s s p a y m e n t s t h r o u g h c r e

i t c a r d , A p p

Pa y, S a m s u n g Pa y o r G o o g l e Pa y, a n d c l i e n t s c a n p a y w i t h j u s t a q u i c k

t a p a t t h e j o b s i t e

4. Fill your 2025 order book Fergus’s new enquiry management feature makes handling new customer requests a breeze With simple instructions for platforms like Wix and Squarespace, you can embed a custom enquiry form directly into your website Enquiries are automatically tracked in a dedicated dashboard where you can monitor their progress at a glance You can also add enquiries manually, so

THAT’S BETTER!

The Enkin development team consists of electrical experts that hold a combined 60 years of experience, with several members of the team still active in the trade This means that we have a greater understanding of the issues faced by electricians utilising dimmers into any project, no matter the complexity, from installation issues to compatibility constraints

Along with a keen determination to produce cutting-edge lighting solutions, Enkin ensures that investing back into our current modules is our number one priority

We’ve made significant technological advancements that have undoubtedly set a new standard for dimming technology, but we recognise that there’s always room for improvement, not just for the end user, but for the professionals installing our modules as well

As such, we’re excited to announce significant improvements to several existing products within our range, as well as introducing our latest product launch

Listening to customer feedback

Our mission will always be to provide working solutions to an often-overlooked element of home lighting and provide electricians and end-users alike with a product that will revolutionise the safety and reliability of their lighting setup

With these modifications, we’re showing that Enkin is listening and investing back into itself for the benefit of our clients

u e inspiration behind recent improvements to some of the brand s dimming modules, while also introducing a brand new product.

Let’s now take a look at some of the key improvements that have been made to Enkin’s PDM150, PDM400 and PDM250 dimmer modules:

Module housing improvements

We’ve modified the shape of the module housing to include channels on either side of the casing that slot easily over pattress box threads for a more comfortable fit. This keeps our modules up-to-date with back box upgrades and allows more clearance during installation

Visible set-up buttons

The black set-up button has been replaced with a contrasting green button for easy location during installation

Pre-set minimum brightness

Dimmers are now pre-set with a minimum ambient light output This can be changed to zero using the set-up buttons

Upgraded dimmer stalk across all dimmers

All dimmer stalks now have improved tactility, offering a more comfortable resistance for precise dimming. These are now standard across all of the dimmers in our range

Compatibility research

With continued research and compatibility testing, we've expanded our list of ranges that are fully compatible with Enkin modules For a comprehensive list of these compatible ranges, visit: enkin.com

Introducing the PDI200 Intermediate Dummy Dimmer

The latest addition to the Enkin range, the PDI200 intermediate dummy dimmer module is designed to replace a simple on/off rocker switch for a dimmer module with intermediate switch capabilities This allows you to match your dimmer switches for a more visually cohesive switch plate.

The dummy dimmer only performs simple on/off functions and allows individuals to control lights from more than one location

NO CAUSE FOR ALARM

Have you run out of sounder circuits? Are devices triggering during routine maintenance? Have you got some equipment or log books you need to house in a durable enclosure? Do you need a remote indicator for an out of sight detector? Whatever the issue, C-TEC has a solution, as we discover.

From remote LED indicators to isolatable relays, hush buttons to sounder circuit extenders, C-TEC’s low-cost fire alarm ancillaries are among the most popular around With hundreds of thousands already installed, they serve as practical, reliable and quality additions to any life safety system

With a comprehensive selection on offer, the range includes: Fire Alarm Mains Isolator Keyswitch, Remote LED Indicator, 24 V 5 A Relay On A Plate, 24 V 5 A Isolatable Relay On A Plate, Auxiliary Device Isolator, 4 Zone Sounder Circuit Extender Kit, 24 V BS 5446-3 Vibrating Pillow Pad, Alert Buddy Portable Deaf Persons Alert System, Document Box, High Security Premises Information Box 24 V Isolated Failsafe Monitoring Unit, Conventional Sounder Isolator Controller, Sounder Isolator Module, Adaptable Conduit Boxes, Single Gang Surface Interface Plate (shallow (20 mm)) and 24 V Red Polarised Fire Bell.

Let’s now take a closer look at some of the key products within the range:

Fire Alarm Mains Isolator Keyswitch

This Allows the mains to a fire alarm control panel to be switched on or off as per the requirements of BS 5839-1 Available in red or white with or without an LED Indicator (surface or flush) it’s double pole and fitted with a 5 A fuse. Supplied with a special key that is only available to the responsible person, it is able to be wired with 1 x 2 5mm2 cable or 2 x 1 5mm2 cable to ensure only independent sole main supplies are used to the fire panel as per BS 5839-1 requirements

Remote LED Indicator

A high-quality remote LED indicator specifically designed for use in fire alarm systems. The unit incorporates a high intensity, wide-angle red LED which is clearly

visible from the front of the plate when active Ideal for indicating the activation of hidden or out of-sight fire detectors, for example, it includes a white ‘write on area allowing installers to add equipm locations. It easily fits on standard UK flush or surface mount back boxes.

Adaptable Conduit Boxes

onto a surface or in recesses behind ceiling tiles and plasterboard and they feature multiple access wiring points as well as lots of working space.

24 V BS 5446-3 Vibrating Pillow Pad

This product can be used in conjunction with a BF320JP connection plate to warn the hearing impaired of a potential fire alarm or evacuation alert condition It vibrates and pulses on and off when triggered as per the requirements of BS

A bespoke alternative to standard metal conduit boxes, these products simplify the installation of C-TEC manufactured fire detector bases, base sounders and bas sounder VADs onto ceiling tiles, solid ceilings, wooden beams, etc The boxes can be mounted directly

supplement the audible and/or visual indication alerts provided by a system’s sounders and/or VADs The wide 10-30 V DC voltage range means it can also be connected to many third-party connector plates (subject to testing). The unit includes a 2 m connection lead with a locking mini-XLR connector to prevent accidental removal

SHELLY’S BIG FOR BEN

In this article we find out more about how Shelly devices are empowering users to create smarter, more efficient environments that enhance comfort, convenience, and productivity, and we get feedback from one very happy user.

In the rapidly evolving world of smart technology, electricians are under constant pressure to deliver seamless, efficient, and value-driven solutions for their clients. As the scope of technology increases, installers who don’t specialise in the field often face challenges – from high costs and steep learning curves to the need for extensive rewiring

Shelly changes that With a market cap of 610 million EUR (SLYG F) and a new Shelly device installed every 6 5 seconds globally, its influence is undeniable.

A series of WiFi operated relays, switches and sensors, Shelly devices are compact enough to be installed in almost any pattress box, appliance or fuse board style enclosure It uses existing and familiar wiring infrastructure to connect devices to the internet

With Shelly, customers can control lighting, heating, blinds, and more, from a browser, free mobile App or custom API driven application. The best part? Shelly is affordable, versatile, and can be installed in under ten minutes

Elevating electrical installations

Ben Pratt (pictured), the founder of B Electrical, has found that Shelly smart devices are the perfect tools to elevate his electrical installations

With over a decade of experience in the field and a growing interest in automation, Ben has made Shelly a core part of his work – and the results speak for themselves

Ben’s journey into smart automation began as a response to increasing client demand for energy-efficient solutions

“More people are asking for smart features in their homes and businesses,” he explains

“It’s no longer a luxury – it’s becoming the standard ”

B Electrical was founded on the principle of blending traditional electrical expertise with innovative technology, and Shelly has become a crucial partner in helping achieve that goal

Here, Ben provides further detail by answering a few quick questions:

QHowdid you first come across Shelly devices, and what made you

decide to incorporate them into your electrical installations?

I was looking for a wireless retrofit solution for some LED strips. Nothing on the market matched Shelly in terms of flexibility, ease of installation, and price point

I installed a Shelly relay, and the simplicity blew me away Unlike other systems that require hubs or complex rewiring, Shelly integrates directly with existing electrical systems without the need for additional hardware

The relay fitted neatly behind the existing light switch, and within minutes, I had automated lighting controllable from my phone and light switch

QBefore using Shelly, what kind of smart home tools did you use, and how does it compare?

I used WiFi-enabled fused connection units from a few well known industry brands but they required significant rewiring to achieve the same results as the Shelly devices and often impacted the aesthetics of the installation

Shelly has this perfect balance between professional-grade functionality and user-friendliness. It’s sophisticated enough for commercial use but also simple enough for home projects too

Other systems can be too complex to set up without proprietary hubs Shelly doesn’t need a hub – it integrates directly with the existing Wi-Fi network Plus, the range of devices is extensive You can automate lighting, heating, and even roller shutters, all within the same ecosystem.

QFrom an electrician’s perspective, what makes Shelly easy to work with?

Shelly devices fit behind standard switches or within electrical DIN enclosures, which means I can install them quickly without needing extra space They’re compatible with over 200 platforms like Google Home and Alexa, and the integrations are seamless Devices pop up automatically, and the instructions are simple to follow. A typical install involves cutting power, wiring the Shelly behind a switch or socket, and connecting it to WiFi There’s no need to replace switches or set up hubs – it’s all done in under 15 minutes

QHow does Shelly benefit your clients, both residential and commercial?

Shelly is incredibly cost-effective. Clients love that they can achieve full automation at a fraction of the price compared to other systems I’ve seen projects save near on 75% on materials and labour by choosing Shelly over conventional smart solutions For homeowners, Shelly provides an affordable and simple way to step into smart living by automating lights and

appliances without breaking the bank For commercial projects,

Shelly focuses on efficient energy management I’ve installed the relays in offices and warehouses, enabling businesses to monitor and cut down on energy consumption, ultimately lowering costs and improving sustainability.

QHow do you typically use Shelly devices in your daily electrical work?

Lighting control is the most common use of Shelly devices in my installations Being able to pull all lights into a central control system wirelessly, fed from different circuits, all whilst maintaining the existing control at the switch, is great. Shelly even remembers the switch’s state, so there’s no visible sign of automation

QHow can you use Shelly products as a tool to reduce overall energy costs?

Shelly’s energy metering provides real-time tracking of both consumption and production With built-in power monitoring, you can precisely record energy usage for any connected device and seamlessly integrate with other Shelly relays to automate electrical systems

I’ve used Shelly to help residential and commercial clients identify high-energy appliances and create automated schedules and scenes that power down devices during off-peak hours This small adjustment leads to noticeable savings over time

QWhat advice would you give to electricians considering Shelly for the first time?

Start with a simple install – like a light switch relay or smart plug The App is easy to navigate, and the process is straightforward. Once you try it, you’ll want to explore more advanced products like the energy monitors or temperature sensors Shelly opens up so many possibilities, whether you’re working on home automation or larger-scale commercial projects

QWhy should electricians embrace smart automation in general?

Automation is the future. Clients expect smart solutions, and as electricians, staying ahead of the curve is crucial Shelly simplifies the process, making our jobs easier while adding value for clients

QAny final thoughts you’d like to share with readers?

With Shelly as a part of my toolkit, I’ve expanded my service offerings and futureproofed my business. Smart automation is the next big step for electricians, and Shelly makes it accessible and affordable – that’s why it’s now a key part of my work BROWSE

School’s in as NVC upgrade delivers major energy savings

Bradford Grammar School (BGS), a high-performing independent grammar school, has partnered with NVC Lighting to transform its estate and achieve savings of over £65,000 annually on energy costs.

The school has been working closely with NVC Lighting on a major lighting upgrade, replacing its outdated and inefficient fluorescent and incandescent lighting with high performance LED products and solutions

This extensive project involved installing commercial LED lighting throughout the school, from the historic Price Hall to a range of traditional and modern classrooms, cutting-edge sports facilities, and the theatre.

The upgrade has also encompassed all corridors, stairwells, kitchens, workshops, laboratories, and outdoor areas such as pathways and car parks

NVC Lighting additionally provided all the emergency lighting required, all fully integrated into the school’s building management system

Ian Clint, Head of Estates at BGS, said:

“This project has been a great success and one I’m extremely proud of By

working closely with NVC Lighting s expert team, site surveys and assessments demonstrated the significant benefits of the scheme, addressing rising energy costs and the opportunity to reduce our carbon footprint, while also enhancing the learning environment to improve student performance and well-being ”

Outstanding results

The result for BGS has been outstanding. With NVC Lighting’s high-quality solutions installed, integrated with smart lighting control technology, the school has made a 34% saving in its energy costs, over £5,500 per month

“The buildings at BGS are architecturally stunning, and the entire school community is extremely proud of them," Ian continued

"We now have a lighting scheme across the estate that exceeds the standards of a high-performing educational facility. I’d like to thank NVC Lighting for the exceptional support

“The company has gone above and beyond – not only providing superior, cost-effective lighting solutions, but also excelling in product availability, delivery

times, and customer service throughout the project ”

As a leader in the education sector for LED lighting, NVC Lighting offers schools and colleges a complete end-to-end service, from site surveys and assessments, right through to technical support and design services.

The company’s LED lighting solutions are high quality, easy to install and maintain, and can be integrated with smart lighting control technology to maximise energy savings and positively impact student and staff performance

As part of the scheme, a range of products from NVC Lighting’s extensive range of commercial LED lighting solutions were installed, including the company’s popular YALE PRO (surface and suspended lighting solution), along with STERLING PRO (ENEC approved LED panels), DENALI (IK10 and IP65 rated circular bulkhead for amenity spaces), WESTMINSTER (IP54 rated low glare downlight) and WASHINGTON (IP54 rated wide beam recessed downlight)

GET MORE DETAILS ON NVC LIGHTING’S EXTENSIVE RANGE OF SOLUTIONS AT: WWW.RDR.LINK/EBK032

Luceco provides the perfect fit at Glasgow offices

After previous work on a different floor of 2 West Regent Street in Glasgow, Luceco has partnered with local contractors, Electrical Solutions (Scotland), to provide a lighting design that met the brief of the consultant’s lighting requirements

The biggest challenge that had to be overcome was the unconventional luminaire cut-out size, measured at 1200 x 300 mm, as Chris Bryant, Group Managing Director of Electrical Solutions (Scotland) explains:

“We needed to provide a cost effective lighting solution to fit into a non-standard suspended ceiling, that resulted in a comfortable, well-lit commercial working space while also reducing future running costs

“We had worked with Luceco on a previous floor in this building, so we knew that the team would be able to help us find a solution ”

To fit the non-standard ceiling requirement, Grahame Scott, Luceco’s Project Manager, suggested using Luceco’s LuxPanel Extra lighting, a recessed panel fitting from the commercial range

The LuxPanel Extra is a slimline backlit LED panel with TPa rated diffusers, long life drivers, and IP65 protected options Backlit LED panels mount the modules to the back of the panel’s body, allowing for direct downward distribution from the modules themselves Due to the direct light, there is no requirement for an LGP This allows a backlit panel to offer increased performance in terms of lumen per watt and balanced light distribution

Installation is achieved easily and efficiently with a plug and play ENEC approved loop in-out driver and rear safety wire suspension points.

Grahame said: “We re-engineered our LuxPanel Extra luminaires to appropriately fit the Armstrong SAS330 ceiling they needed to fit in to We then used our Platinum downlighters around the perimeter of the space to compliment the lighting design and achieve the best look for the office space in West Regent Street ”

All-Dim: a new era in LED dimming technology

In the ever evolving world of lighting, All-Dim has emerged as a game-changer, redefining what LED dimming can achieve

Designed with versatility and performance in mind, this dimmer is packed with features that meet the modern needs of residential, commercial, and industrial lighting

Whether you're an electrician seeking simplicity, a homeowner aiming for ambience, or a facility manager striving for efficiency, All-Dim delivers And, when paired with All LED lighting solutions, it becomes an unbeatable combination for optimal performance

Let's explore the standout features that set All-Dim apart:

One of the most compelling features of All-Dim is its programmable leading edge and trailing edge modes Traditionally, dimmers were limited to one mode, often causing compatibility issues with different types of LEDs It allows users to switch between these modes seamlessly, ensuring smooth operation with a wide variety of fixtures. This flexibility

eliminates the guesswork, ensuring optimal dimming performance regardless of the lighting setup

With a load capacity ranging from 5 to 150 W, it’s as versatile as it is powerful

Whether you're dimming a single low-wattage accent light or a room filled with powerful LED fixtures, this broad power range means it caters to both modest home applications and larger-scale installations

The dimmer’s ability to support unlimited luminaire quantity sets it apart from traditional dimmers This is especially valuable for larger installations, where multiple luminaires are connected Instead of needing multiple dimmers or worrying about exceeding a limit, users can control numerous fixtures effortlessly, making it ideal for expansive spaces such as office floors, auditoriums, or hospitality venues

The programmable minimum brightness setting is a standout feature for creating tailored lighting environments. Many dimmers can struggle at low brightness, causing flickering or shutdowns With All-Dim, users can set the minimum brightness level, ensuring smooth transitions, even at the lowest levels.

When use

All LED lig this featur the ability to create soft, ambient lighting or conserve energy

At the core of its exceptional performance is its Advanced OptiDim Technology This proprietary feature optimises the dimming curve, providing smoother, more consistent control over a broad spectrum of LED types. Coupled with its wide dimming compatibility, All-Dim can handle an array of LED brands and types, solving the common problem of compatibility issues that plague many dimmers

All-Dim’s design is as thoughtful as its technology The slightly off-centre spindle ensures easy alignment during installation, providing a clean, professional appearance The dimmer’s compact size, complete with an earth lug void, ensures it fits neatly into existing spaces, making it perfect for retrofitting older installations as well as new builds

Electricians and Installers will appreciate the large terminals that simplify wiring These terminals provide ample space for secure connections, making installation faster and more reliable This user-friendly design feature aligns perfectly with All LED's reputation for quality and ease of use

Its TRIAC dimmable capability ensures it remains compatible with traditional phase-control dimmers. Additionally, the availability of dummy dimmer and grid dimmer options makes it highly adaptable, allowing it to integrate effortlessly into various control systems

GET MORE DETAILS ON ALL-DIM FROM ALL LED BY VISITING: WWW.RDR.LINK/EBK033

ROBUS

VEGAS Strip Range

ROBUS continues to deliver innovative solutions for LED strip installations, offering a wide range to suit any project Whether it’s the highly adaptable VEGAS PRO for professional setups or the adjustable VEGAS TUNABLE for customised white lighting, you’re covered The VEGAS range now includes new additions: VEGAS ZED, VEGAS COB EXPRESS 2700K, and VEGAS EVERYDAY, ensuring there’s a perfect fit for every application. With a sleek new look, VEGAS SMD strips are now easy to differentiate at a glance, ultimately making your workday easier To top it off, their clear, easy-clip connectors guarantee a hassle-free installation – no soldering and no dark spots.

SCOLMORE

Compact Panel Mounts

CED ELECTRICAL Airmaster Heating Range & Slim-line Panel Heaters

GEMIREL CHUMPFix

Precious P Preci re reec c r ious

Over the past 30 years Airmaster has established itself as a major player in the UK space heating market with ranges of convector and fan heaters, oil filled radiators as well as infrared, patio and tubular heaters Innovative new products have been added on a regular basis with PTC portable heaters, Wi-Fi enabled panel heaters and bathroom downflow heaters being recent examples But in the midst of this collection of 50+ heaters is a real jewel in the crown – the Airmaster slim-line panel heater range These wall mounted heaters are available in four power levels– 750, 1,000, 1,500 and 2,000 W Easy to install with pre-mounted wall brackets, these white compact units don’t take up much space and come with a corrosion resistant powder coated steel body and a highly efficient sheathed heating element Featuring LCD 24/7 digital heating controls, these panel heaters run silently and feature overheat protection for added peace of mind Lot compliant with an open window function, these IP24 rated units are CE and UKCA approved, RoHS and Lot 20 compliant

Launched last month, CHUMPFix is a first of its kind product, being the only tool to provide a secure method of fixing anything that requires two or more screws, while simultaneously re-enforcing the plasterboard It can be used in the installation of pendants, smoke alarms, chandeliers, lights, pull cords, surface sockets, fire call points and much more With no requirement for drilling holes for plugs, CHUMPFix spreads the weight of the fitting across a large area of plasterboard, ensuring there’s no risk of plasterboard failure caused by drilling near to the edges of board A high-quality fixing with exact specifications for precision installation and maintenance processes, CHUMPFix is manufactured in the UK with ISO9001 quality assurance

In the latest development for its innovative IEC Lock range, Scolmore has launched new compact C13 Panel Mounts, which will allow an increased number of outlets to be housed within a PDU (Power Distribution Unit) The new products have been designed to enhance the IEC Lock panel accessories offer, with 1 Tier, 2 Tier and 3 Tier C13 IEC Lock Panel Mounts in a smaller, more compact size now available. The panel mounts feature optional locking tabs that are positioned on the right side as standard They’re built with a 1 5 mm panel thickness and feature 6 3 mm terminals, ensuring robust and reliable connectivity. The refined, space-saving design of these new panel mounts makes them more installation-friendly They can accommodate a diverse range of application needs and provide installers with a comprehensive solution that can be adapted to their specific requirements.

Designed to last the task, Luceco has added eight new products to its popular range of inspection work lights – all designed to provide reliable, high quality, innovative lighting tools for trade and recreational uses

All high-output portable solutions benefitting from the latest in LED technology, they’re high-lumen, durable and hardwearing with multiple lighting modes and mounting options to cater for all work inspection scenarios The new products boast high-capacity batteries, efficient power management for extended operation, as well as USB power banks, magnetic clamps and foldable designs

The new products include:

Twin Panel Magnetic Clamp Light with Power Bank

This product has an adjustable light for precise or 360˚ coverage and hands-free operation, with a built-in tripod, clamp and magnetised fixing

Rechargeable Magnetic Clamp Spotlight

This has three lighting modes for multi-use functionalities, including a red warning light for safety and visibility. It offers up to three hours working time

Flexible Hose Inspection Torch

This features a 360° rotating flexible hose, four light modes up to 1,000 lumens, and a long-lasting 2,500 mAh battery for up to eight hours of use. It offers durable, IP54-rated housing, a foldaway hook for easy storage, and smart USB Type-C charging

High Power Durable Spotlight (10 W, 850 lm, IP20)

Versatile Fan Light

This features a 360˚ rotating head for optimal illumination and offers both low and high brightness modes It also includes customisable fan modes and a built-in 4,000 mAh USB power bank to charge devices

Three new torches

These high-quality LED torches deliver up to 6500K illumination with adjustable beam control for short and long distances. There are three lighting modes, tactical grips, and pocket clips for easy carrying The durable die-cast aluminium body is IP44-rated for outdoor use and powered by long-lasting 18650 Li-ion batteries.

Luceco products are trusted, tested, and engineered with customer and user feedback to create solutions for every situation. The inspection work light range utilises additional features including power banks and battery control to give torches a long-extended life, built in UV light options, magnets, and clamps so lights can be placed anywhere they’re needed, providing open area lighting for illumination across an entire space

MARTINDALE ELECTRIC

Tailored Lock-off Kits

MAKITA

Battery Powered Bluetooth Speaker

r s h a v e t h e r i g h t t o o l s f o r

c l e a n i n g , s e r v i c i n g o r r e p a i r i n g e l e c t r i c a l

e q u i p m e n t w h i l e m a i n t a i n i n g t h e h i g h e s t

s a f e t y s t a n d a r d s F o r d o m e s t i c e l e c t r i c a l

i n s t a l l a t i o n s , t h e LO K K I T D O M k i t

i n c l u d e s e s s e n t i a l i t e m s f o r s a f e

i s o l a t i o n p r o c e d u r e s , s u c h a s t h e

M a r t i n d a l e LO K 2 a n d LO K 1 5 i s o l a t i o n

l o c k s , p e r f e c t f o r d o m e s t i c d i s t r i b u t i o n

b o a r d s . A l l c o m p o n e n t s a r e h o u s e d i n a

r o b u s t c a r r y c a s e F o r i n s t a l l e r s w o r k i n g

o n a w i d e r r a n g e o f m i n i a t u r e c i r c u i t

b r e a ke r s ( M C B s ) , t h e LO K K I T 2 P LU S k i t

i n c l u d e s f o u r d i f f e r e n t M C B l o c k s ,

p r o v i d i n g c o m p a t i b i l i t y w i t h m o s t

s t a n d a r d s y s t e m s F o r c o m m e r c i a l a n d

i n d u s t r i a l m a i n t e n a n c e, t h e LO K K I T 1

p r o v i d e s a 1 3 - p i e c e l o c k- o u t k i t d e s i g n e d

t o m e e t t h e n e e d s o f p r o f e s s i o n a l s

w o r k i n g i n l a r g e r f a c i l i t i e s . F o r e v e n

g r e a t e r v e r s a t i l i t y, t h e LO K K I T P R O h a s

t h e m o s t c o m p r e h e n s i v e r a n g e o f

M a r t i n d a l e l o c k i n g - o f f d e v i c e s , i n c l u d i n g

o p t i o n s f o r c a r t r i d g e f u s e i s o l a t i o n , 1 3 A

p l u g l o c k s , a n d c a b l e l o c k s T h i s m a ke s

i t t h e u l t i m a t e c h o i c e f o r c o n t r a c t o r s a n d

m a i n t e n a n c e t e a m s o p e r a t i n g i n

c o m p l e x i n d u s t r i a l a n d c o m m e r c i a l

e n v i r o n m e n t s .

G E T M O R E P R O D U C T D E TA I L S

W W W. R D R . L I N K / E B K 0 3 9

Makita has launched a new cordless Bluetooth speaker designed for versatility and quality sound. Powered either by Makita’s 18 V LXT or 40 V Max XGT batteries, or AC mains power, the MR014G XGT/LXT Jobsite Speaker has been built to withstand the toughest work environments, offering professionals with a choice of music, podcasts, playlists, or even karaoke. The unit is packed with a range of notable features that provide crystal clear, high-quality sound with powerful deep bass, making it an ideal sound system companion on a busy jobsite Offering 1 8x higher sound pressure levels compared to older models plus an equaliser to adjust levels to suit the choice of music, it includes a 140 mm woofer and a 40 mm tweeter to deliver 20 W of high-quality sound and an impressive max volume of 99 dB(A) With a choice of AUX or Bluetooth connection – communicable up to 100 metres and guaranteed to 30 meters, it also includes True Wireless Stereo function enabling connection to a second MR014G Speaker to deliver stereo sound In fact, it can connect with up to ten compatible units to boost the reach of the audio, which is ideal for large scale locations that require a wider coverage of synchronised sound

THORN LIGHTING THORNeco Amy

Ideal for circulation corridors, reception schools, universities, offices, and meetin rooms, Amy redefines lighting solutions its features The perfect addition to your THORNeco product range, Amy offers the VARIO feature (Colour Temperature Switch), allowing contractors to easily adjust the colour temperature on-site wi of a switch Similarly, the FLEX feature (Lumen Output Switch) will enable them to choose the preferred lumen output on-site with a simple switch With these features providing the flexibility to adapt both lighting levels and colour temperature to a project's specific requirements, choosing Amy is easy thanks to tool-free installation. The homogeneously lit opaque white diffuser delivers even, high-quality light, replacing traditional CFL downlights, while the IK06 rating offers peace of mind Plus, it is easy to adapt to an emergency version on-site using the JUST Emergency PLUG&PLAY kit, ensuring safety and compliance

What do you want? Quick and easy installations you can rely on! When do you want it? Now!

ROBUS hears you, that’s why its New Product Development team has been working behind the scenes to create all-in-one, highly customisable EXPRESS luminaires. All EXPRESS ranges are optimised with features that make your workday easier, and include a host of features and benefits, such as:

- Multi-Wattage

- Selectable Colour Temperature

- Integrated or Plug & Play Accessories

- Contractor-led Design

- Extended & On-Site Warranty

EXPRESS luminaires prepare you for the unexpected with adaptable power and CCT options for those last-minute on-site changes No more racing back to the store! With easy plug & play upgrades, EXPRESS future-proofs your installations while minimising stock and maximising solutions Now you can confidently stock up, even when project details are not finalised EXPRESS ranges are backed by an extended on-site warranty in addition to the ROBUS comprehensive two year on-site warranty Now that’s quality thinking!

TRIUMPH EXPRESS

Have your downlight installations become a bit of a squeeze? Extra air-tight ceilings are putting downlights to the test TRIUMPH EXPRESS is downsized to meet

the challenge. This super hallow fire rated downlight features a 31 mm recessed depth, perfect for shallow ceiling spaces with a depth of 40 mm ROBUS has adjusted its two-part connector to a stacked design for maximum space efficiency. The onnector still includes a first-fix to safely hold your cable in the terminal, allowing you to run tests and complete the installation at your convenience There’s also a slimmed d twist & lock customisable trim for a streamlined, barely-there finish Featuring CCT4 and dual-wattage, you can quickly adjust to customer preferences on the go Buy individually or save big with an eight-pack. TRIUMPH EXPRESS TILT is also available

job your client asks, “Can you upgrade these to emergency?” you can say “yes”, minus the eye-rolling! You won’t have to return to the manufacturer for conversions, instead, you can simply plug-in a microwave sensor, a corridor sensor, and/or an emergency pack as required Play it as it lies with GOLF EXPRESS MODULAR’s plug & play upgrades

VEGAS COB EXPRESS

GOLF EXPRESS MODULAR

A quick installation is of limited value if you can't adapt to changing conditions GOLF EXPRESS MODULAR has all the express features that you love – push & pop casing, twist-lock diffuser, single screw mounting, a hinged LED tray, multi-wattage power switch, and CCT3 selectable – with a new modular design for speedy upgrades Now key components are interchangeable, so if halfway through a

What are an electrician’s two favourite words? ‘No soldering’! VEGAS COB EXPRESS lets you grab & go dotless LED strip in three easy steps Firstly, select your preferred strip length off-the-shelf in 1, 3, and 5 m Secondly, pick your driver Thirdly, choose your oller Simple! Team with OBUS’ transparent easy-clip connectors for a fast and easy installation The result is a stunning dotless stream of light, perfect for lighting that is on display No need to install extrusions to achieve a smooth light effect as chip-on-board OB) technology creates ppearance of a seamless, uniform light panel

Choose a minimalist white aesthetic with 3000K or 4000K, or embrace endless colour options with RGBW. Experience pre-cut, pre-soldered, pre-packed dotless LED strip today

BROWSE THE FULL RANGE OF ROBUS EXPRESS PRODUCTS AT: WWW.RDR.LINK/EBK042

ATC ELECTRICAL

Sun Ray RF Range W

c o n t r o l , e f f i c i e n c y, a n d c o n v e n i e n c e t h a t

t r a d i t i o n a l h e a t i n g m e t h o d s s i m p l y

c a n n o t m a t c h T h e l a t e s t g e n e r a t i o n o f

e l e c t r i c h e a t i n g s o l u t i o n s , e xe m p l i f i e d b y

t h e S u n Ra y R F Ra n g e, d e m o n s t r a t e s

h o w f a r t h i s t e c h n o l o g y h a s c o m e T h i s

u n i q u e r a n g e i n c o r p o r a t e s a n R F ( r a d i o

f r e q u e n c y ) g a t e w a y w h i c h p r o v i d e s

c o n n e c t i v i t y a n d s m a r t h o m e i n t e g r a t i o n

T h i s a l l o w s u s e r s t o c o n t r o l t h e i r h e a t i n g

f r o m a n y w h e r e v i a s m a r t p h o n e A p p s f o r

u p t o 3 0 h e a t e r s i n v a r i o u s z o n e s o r

r o o m s i n t h e h o u s e, h o s t e l o r h o t e l

C o m p a t i b l e w i t h v o i c e a s s i s t a n t s l i ke

A m a z o n A l e x a a n d G o o g l e H o m e, t h e y

r e p r e s e n t a s i g n i f i c a n t l e a p f o r w a r d i n

h e a t i n g c o n v e n i e n c e a n d c o n t r o l T h e

b e n e f i t o f s u c h c o n n e c t i v i t y e x t e n d s

b e y o n d m e r e c o n v e n i e n c e W i t h

f e a t u r e s l i ke P I D I n t e l l i g e n t C o n t r o l a n d

A d a p t i v e St a r t Te c h n o l o g y, t h e s e

s y s t e m s l e a r n f r o m u s a g e p a t t e r n s a n d

o p t i m i s e e n e r g y c o n s u m p t i o n ,

p o t e n t i a l l y l e a d i n g t o s i g n i f i c a n t c o s t

s a v i n g s o v e r t i m e. T h e i n c l u s i o n o f O p e n

W i n d o w Te c h n o l o g y m e a n s t h a t t h e s e

s y s t e m s a u t o m a t i c a l l y a d j u s t h e a t i n g

w h e n v e n t i l a t i o n i s d e t e c t e d , p r e v e n t i n g

e n e r g y w a s t e.

G

STANIC Duo Cooker Outlet

A seamless revolution in electrical cooker connection design, the Duo is a ground-breaking electrical device that masterfully combines a socket and outlet plate into one sleek, unified unit, delivering simplicity and functionality Perfectly tailored for both residential and commercial spaces, the Stanic Duo makes electrical cooker and hob installations smoother, safer, and smarter than ever before At its core the Stanic Duo is a cooker flex outlet plate that boasts compatibility with cable sizes up to 10 mm This ensures it meets the diverse needs of electricians, builders, and anyone looking to enhance their spaces with a practical yet aesthetically pleasing solution The product is designed for reliability, down to its smallest details. Featuring M3.5 screws in the cord grip, it ensures secure and long-lasting connections, a critical component to deliver the durability professionals demand Whether you’re working on a complex commercial build or upgrading a home for modern convenience, this device performs with precision and elegance

BG ELECTRICAL

Waterproof Single Socket for EVs

BG has launched an IP66-rated single socket housed in a high impact weatherproof casing, designed for domestic installation for Mode 2 Electrical Vehicle (EV) charging certified to BS 1363/EV The new product is ideal for households where an EV charger set up is not a suitable or viable option. The socket is also suitable for other domestic outdoor power needs This go-to alternative for domestic EV charging is unmatched in its class for durability, ease of installation and safety, certified to BS 1363/EV The IP66 rating guarantees protection against water and dust ingress in the most arduous of conditions, making the product perfect for external use The socket has been rigorously tested to endure the prolonged high-load conditions typical of Mode 2 charging, making it ideal for UK 3-Pin to Mode 2 EV Charging Additionally, the socket meets high product quality standards, achieving the prestigious ASTA approval mark – a recognised symbol of quality and reliability The weatherproof casing has integrated fast fix screws and multiple drill out entry points (one at the rear and one on each side) for ease of installation. There are multiple knockouts accommodating 5 x 20 mm fittings No separate screws or screw covers are needed, and the installer can choose the most convenient entry point without the need for drilling or modifying the socket, even in tight, awkward spaces.

Proteus consumer units

offer style and functionality

Proteus Switchgear has been at the forefront of innovation in the electrical industry, bringing unique and forward-thinking products to market. The brand’s latest launch – the new Proteus consumer unit range – offers a product manufactured from innovation, collaboration, and dedication to excellence

Designed and developed entirely in-house, the range was brought to life in close consultation with contractors to ensure it meets real-world needs From the first sketches to the final product, every detail has been carefully considered and after significant investment in multiple cutting-edge manufacturing processes, Proteus presents a consumer unit that’s as functional as it is visually striking

The new consumer unit boasts a flush door design with elegant, rounded corners, curved cover and a matt white finish to suit modern interiors, ensuring it complements any domestic setting The removable door features a spring-loaded hinge, and rubber stops for a soft close, enhancing the installation and labelling of the circuits For added security, a removable key lock blank located on the door can be easily removed and a key lock can be fitted, offering flexibility for various installations.

The unit has been engineered with the installer in mind, with multiple knockouts in the top, bottom, and base, alongside a new cable entry plate, supplied free with every board, to protect rear-entry cables. The set of 20 mm knockouts on the base provide the option to bring cables in

directly behind the din rail, where there’s plenty of wiring room. Inside, the numbered and coloured earth and neutral bar, complete with a built-in spirit level, ensures accuracy and ease of wiring, plus, the ample space on the right-hand side allows for effortless routing of meter tails to the isolator

Proteus’ pioneering range of bidirectional circuit protection devices sit comfortably in this new selection of boards, offering utmost protection and aesthetic with their matching profiles

Also, a patented dual screw isolator, new and exclusive to the Proteus brand, delivers enhanced safety, superior connections, and increased terminal

length for greater connectivity, making it a standout feature in this range.

As a brand that’s committed to sustainability, Proteus has packaged this range in 100% recyclable materials that are made from recycled content The packaging also includes a handy fixing template to make installation even smoother.

BROWSE THE NEW PROTEUS CONSUMER UNIT

RANGE BY VISITING: WWW.RDR.LINK/EBK046

PAPERDROP Job Management System

When it comes to running a contracting business, being efficient is essential With PaperDrop's job management system, contractors can streamline operations, gain better control, and stay organised, allowing them to focus on what really matters: getting the job done. The PaperDrop system is built by contractors, with contractors in mind, tackling everyday challenges such as job management, documentation, and invoicing Need to capture photos, secure approvals, or log materials on the go? PaperDrop has you covered, all from one App that seamlessly integrates into your workflow No more scrambling for lost receipts or chasing up on unpaid invoices; PaperDrop keeps everything in one place, easily accessible whenever you need it With intuitive tools designed to cut down admin time, PaperDrop not only helps you stay organised but also boosts productivity by simplifying the day-to-day tasks that can eat up your schedule.

INTEGRAL LED

Hydra Pro Batten

NET XL Shelly PRO 3EM

Did you know Shelly can help reduce your carbon footprint and energy bills by up to 40%? With built-in, real-time power monitoring, you can accurately record power consumption data for any connected device, with precision of up to 1%, and work with other Shelly relays to automate your electrical devices accordingly The Pro series, including the Shelly PRO 3EM, extends this functionality beyond individual appliances, able to gauge the power energy usage of the entire house, as well as gauging energy production from multiple renewable sources like solar panels or wind turbines These power-metering models can notify you if lights have been left on or rooms heated unnecessarily Designed to be mounted directly onto the DIN rail in a standard DIN enclosure fuse style box, they’re the perfect choice for integration into sophisticated smart setups or new installs. The Pro series also includes a LAN port for local network connections, offering increased flexibility, tighter security, and WiFi free connections All Shelly PRO devices feature overvoltage and overpower protection of the load, to protect electrical appliances and machines from dangerous peaks Offering a uniquely detailed bird’s-eye view over commercial energy use, the PRO 3EM is one of Shelly’s dedicated power monitors, which are a series of DIN-mountable 3-phase energy metres capable of measuring between 120 and 400 Amps per phase The PRO 3EM reports accumulated energy as well as instantaneous voltage, current, and power factor per phase in real-time The unit can also be connected to other Shelly devices to create custom scenes

Integral LED has unveiled its latest luminaire range with modular functionality, the Hydra Pro Batten Designed to withstand even the harshest environments, whilst being flexible to every installation, the unit brings together outstanding durability, flexibility and efficiency All Integral LED Hydra Pro battens feature CCT switching functionality (4000K, 5000K, 6500K) and four wattage options technology, offering a highly customisable lighting solution. With optional plug and play accessories; microwave sensor, corridor sensor and emergency conversion kit; the Hydra Pro can evolve alongside your requirements, whether used for energy-saving motion detection or critical emergency lighting functionality Several models of the Hydra Pro come with a PWM corridor sensor already installed, providing intelligent lighting control and enhanced energy efficiency right out of the box. Engineered for durability, the product features a corrosion resistant polycarbonate body with an impressive IP66 rating and IK08 impact resistance, making this batten range ideal for demanding interior and exterior applications, including car parks, warehouses, storage facilities, food preparation areas, and industrial and agricultural settings

Case Management solution will help landlord challenges

innovative HomeLINK Case Management (HCM) system, an advanced tool designed to address landlords’ biggest challenges in maintaining safe and compliant homes

HCM provides landlords with a comprehensive, intuitive solution to manage issues like damp and mould, with plans to expand into fire and CO compliance and decarbonisation in future updates

HomeLINK is a leading provider of smart property management solutions, dedicated to helping landlords create healthier, safer living environments through advanced technology and data-driven insights HomeLINK solutions are trusted by landlords across the UK, supporting their efforts to stay compliant, enhance tenant satisfaction, and achieve sustainability goals

Informed by feedback from customers and recent industry legislation, Aico created HCM to help property managers meet compliance requirements and streamline complex processes This launch is timely, as landlords face increasing regulatory pressures to maintain safer, healthier living environments for residents

HCM’s development reflects five big challenges identified from customer insights and feedback following Aico’s recent live events These challenges include identifying and managing cases, analysing data, recording actions and interventions, and communicating with

make a transformative impact

Aico’s HomeLINK Case Management System helps landlords address each stage of case management with greater ease and effectiveness, with features and benefits that include:

Identify

HCM empowers landlords to identify potential property issues quickly By using data insights and resident surveys, landlords can proactively detect and assess problems, enabling faster, more targeted responses.

Manage

HCM allows landlords to manage their entire property portfolio without requiring pre-installed hardware, although optional device installation can provide deeper insights Cases are easily created and assigned to team members, with task management features that ensure issues are tracked and resolved from start to finish

Analyse

With powerful new data visualisations, landlords gain unique insights into property conditions, including comparisons with portfolio and national averages HCM also enables landlords to overlay interventions, such as upgrades to insulation or heating, to see whether these efforts improve outcomes over time.

HCM’s comprehensive record-keeping captures every detail of case management, from maintenance updates to resident feedback, ensuring full transparency and compliance Additionally, a complete audit trail for each case guarantees accurate record-keeping and supports regulatory requirements

Communicate

Landlords can now communicate directly with residents through the HomeLINK Resident App, keeping them informed and engaged. The platform allows landlords to request surveys and up-to-date photos of issues, with tools to track changes over time, improving tenant satisfaction

Integrated Seamlessly with the HomeLINK Portal

HCM will be available to all existing HomeLINK customers as an integrated extension of the current portal, allowing them to manage cases with the same ease and reliability they expect from HomeLINK’s platform This seamless integration provides landlords with a unified, comprehensive solution for managing compliance, improving tenant experiences, and maintaining high standards across their portfolios.

GET MORE DETAILS ABOUT AICO’S HCM SYSTEM BY VISITING: WWW.RDR.LINK/EBK050

C AM E RA CAUGHT ON

JOHN RAMSAY: 3 PHASE TAILS ENTRY…

ADVERTISER INDEX

Here is a useful summary of all the adverts that appear in this issue of Professional Electrician. Each is listed with its page number and a direct URL that will get you straight to the relevant online information.

All Electrical Training Ltd ..........................page 71

www.rdr.link/EBK100

ALL LED Ltd ....................................inside front cover

www.rdr.link/EBK101

ATC Electrical .....................................................page 66

www.rdr.link/EBK102

CED Electrical Group .....................................page 61

www.rdr.link/EBK103

Chauvin Arnoux UK Ltd................................page 55

www.rdr.link/EBK104

CHUMPFix.............................................................page 61

www.rdr.link/EBK105

CMD Ltd .................................................................page 17

www.rdr.link/EBK106

C-TEC Ltd ..........................................................pages 8, 9

www.rdr.link/EBK107

D-Line (Europe) Ltd .......................................page 71

www.rdr.link/EBK108

Drayton Controls .............................................page 31

www.rdr.link/EBK109

Electrorad UK Ltd ............................................page 13

www.rdr.link/EBK110

ELEX .........................................................................page 26

www.rdr.link/EBK111

Elite Security Products Ltd ........................page 62

www.rdr.link/EBK112

Enkin .......................................................................page 20

www.rdr.link/EBK113

EnviroVent Ltd ..................................................page 23

www.rdr.link/EBK114

IDEAL INDUSTRIES EMEA ..............................page 6

www.rdr.link/EBK115

Lawson Fuses Ltd ............................................page 43

www.rdr.link/EBK116

LEDVANCE Ltd ...................................................page 65

www.rdr.link/EBK117

Luceco Group .....................................................page 10

www.rdr.link/EBK118

Martindale Electric Co. Ltd ........................page 28

www.rdr.link/EBK119

ML Accessories Ltd .........................................page 14

www.rdr.link/EBK120

ML Accessories Ltd .........................................page 45

www.rdr.link/EBK121

NAPIT ......................................................................page 43

www.rdr.link/EBK122

NetXL Distribution Ltd .............inside back cover www.rdr.link/EBK123

Niglon Ltd .............................................................page 58

www.rdr.link/EBK124

Ovia Lighting ......................................................page 40

www.rdr.link/EBK125

Powered Now .....................................................page 37

www.rdr.link/EBK126

ProofVision..........................................................page 39

www.rdr.link/EBK127

Rhino Products Ltd .........................................page 66

www.rdr.link/EBK128

ROBUS ................................................................pages 4, 5 www.rdr.link/EBK129

Rointe ..............................................outside back cover

www.rdr.link/EBK130

Scolmore International Ltd .......................page 65 www.rdr.link/EBK131

Selectric .................................................................page 15

www.rdr.link/EBK132

Thorn Lighting ..................................................page 62 www.rdr.link/EBK133

Trafford & Stockport College Group ....page 40 www.rdr.link/EBK134

Trimble Luckins ...............................................page 48

www.rdr.link/EBK135

UNICRIMP Ltd ....................................................page 58

www.rdr.link/EBK136

Zzeus Training Ltd ..........................................page 34 www.rdr.link/EBK137

Turn static files into dynamic content formats.

Create a flipbook
Issuu converts static files into: digital portfolios, online yearbooks, online catalogs, digital photo albums and more. Sign up and create your flipbook.