Revista interactiva Geotecnia 271 marzo-mayo 2024

Page 1

ÓRGANO OFICIAL DE LA SOCIEDAD MEXICANA DE INGENIERÍA GEOTÉCNICA, A. C. WWW.SMIG.ORG.MX

a) Detonación sin retardos

c) Poscorte con 5 retardos

b) Precorte con 5 retardos

d) Poscorte con 14 retardos

MODELADO DEL MECANISMO DE FRACTURA DE ROCAS PROVOCADO POR EXPLOSIVOS MEDIANTE EL MÉTODO DE ELEMENTOS DISCRETOS

EVIDENCIAS DEL EFECTO DEL CREEP EN EL COMPORTAMIENTO DE LAS ARCILLAS DEL VALLE DE MÉXICO

ISSN: 2594-1542
MAYO 2024
MARZO
271
❘ Núm. 271 19 20 30 1 2 3 18 8 10 17

Mesa Directiva 2023-2024

Presidente

Ricardo Enrique Ortiz Hermosillo

Vicepresidenta

Natalia del Pilar Parra Piedrahita

Secretario

Miguel Ángel Mánica Malcom

Tesorera

María del Carmen Cabrera Velázquez

Vocales

María Elena Acevedo Valle

Jorge Armando Rábago Martín

Yary Yanela López Calix

Giovanni A. Quintos Lima

Yoleida del Valle Suárez Arellano

Gerente

Brenda Aguilar Silis

Delegaciones regionales

Baja California

Michoacán

Occidente Puebla

Querétaro

Sureste Tabasco

Veracruz

Representaciones

Chiapas

Ciudad Juárez

Irapuato

Monterrey

Síguenos en @smiggeotecnia

Sociedad Mexicana de Ingeniería Geotécnica inggeotec

1er Simposio Internacional sobre Depósitos de Jales

El pasado 25 de enero se cumplieron cinco años de la fatídica falla de la presa de Brumadinho, evento que marcó un hito en la historia de la gestión de depósitos de jales y dio lugar a una serie de cambios en la industria minera, ámbito en el que se han realizado grandes esfuerzos a nivel internacional para mejorar la operación, seguridad y estabilidad de estas estructuras de almacenamiento.

La participación de la ingeniería geotécnica en la evaluación, análisis, diseño, gestión e investigación del comportamiento de los depósitos de jales ha aportado avances importantes en el desarrollo de proyectos que cuenten con un adecuado análisis técnico y que permitan a la industria minera mantener operaciones sostenibles económicamente y con altos estándares de seguridad.

Las unidades mineras operan de una forma muy dinámica, con cambios frecuentes en las condiciones que afectan las estructuras de almacenamiento de jales, entre ellos, características del sitio de explotación de acuerdo con la ley del mineral, procesos de molienda y metalúrgicos, y disposición; esta actividad tan dinámica requiere los esfuerzos de todos los profesionales involucrados para mantener operaciones sustentables.

La participación de los geotecnistas debe extenderse a una colaboración más estrecha con el gremio minero, involucrándose activamente en la gestión interna de los depósitos, dando seguimiento al cumplimiento de diseños de ingeniería, especificaciones técnicas, implementación adecuada de controles de aseguramiento y calidad (QA/QC), documentación de las condiciones de los depósitos en todo su ciclo de vida, manejo de riesgos y soluciones que atiendan cambios en la operación minera manteniendo o mejorando las condiciones de seguridad de los depósitos de jales.

Durante el mes de marzo se llevará a cabo el 1er Simposio Internacional sobre Depósitos de Jales, con la presencia de reconocidos expertos en el tema y la participación de profesionales involucrados en la industria minera, con el objetivo difundir los avances más recientes y las mejores prácticas sobre la planeación, diseño, construcción y operación de los depósitos de jales en las diferentes etapas de su ciclo de vida, con un enfoque en el análisis y gestión de riesgos. Esta es una oportunidad para que un mayor número de geotecnistas, así como de especialistas en otras disciplinas relacionadas con el tema, puedan conocer los retos a los que debemos enfrentarnos con un alto compromiso y ética profesional.

Geotecnia, año 13, núm. 271, marzo-mayo 2024, es una publicación trimestral editada por la Sociedad Mexicana de Ingeniería Geotécnica, A.C. Valle de Bravo 19, colonia Vergel de Coyoacán, alcaldía Tlalpan, CP 14340, teléfono (55) 5677 3730 · www.smig.org.mx.

Editor responsable: Carlos Roberto Torres Álvarez. Reserva de Derechos al Uso Exclusivo núm. 04-2017-060819470900-102, otorgada por el Instituto Nacional del Derecho de Autor. ISSN: en trámite. Responsable de la última actualización de este número: Ediciones de la Sierra Madre, S.A. de C.V., 8 de Septiembre 42-2, colonia Daniel Garza, alcaldía Miguel Hidalgo, CP 11830, Ciudad de México. Fecha de última modificación: 29 de febrero de 2024.

Los artículos firmados son responsabilidad de los autores y no reflejan necesariamente la opinión de la SMIG. Los textos publicados, no así los materiales gráficos, pueden reproducirse total o parcialmente siempre y cuando se cite la revista Geotecnia como fuente. Para todo asunto relacionado con la revista Geotecnia, dirigirse a helios@heliosmx.org.

Marzo - Mayo 2024
María Elena Acevedo Valle Vocal de la Mesa Directiva 2023-2024
Ir a TexTo CorrIdo
1 39 42 43 44 45 46 48 38 40

CONVOCATORIA

Además de comentarios y sugerencias de sus lectores sobre los contenidos, Geotecnia está abierta a las colaboraciones de los profesionales vinculados a la especialidad. De igual forma se invita a presentar artículos que permitan inaugurar una nueva sección en la que se haga prospectiva o se aborden casos insólitos en el ejercicio de la especialidad. Quien desee proponer trabajos debe comunicarse a través de helios@heliosmx.org para ser informado de los requisitos para el envio de materiales. Los textos serán puestos a consideración del Consejo Editorial para su eventual publicación.

Contenido

3 Conversando con…

Amar lo que uno hace

Elvira León Plata

8 Semblanza

James K. Mitchell

10 Artículo técnico

Evidencias del efecto del creep en el comportamiento de las arcillas del Valle de México

Renata Alejandra González Rodríguez y cols.

17 CALENDARIO

20 Tema de portada /

Dirección general

Ricardo Enrique Ortiz Hermosillo

Dirección ejecutiva

Natalia del Pilar Parra Piedrahita

Consejo Editorial

Juan de Dios Alemán Velásquez

Gabriel Yves Armand Auvinet Guichard

Roberto Avelar Cajiga

María del Carmen Cabrera Velázquez

Jorge E. Castilla Camacho

Francisco Alonso Flores López

Moisés Juárez Camarena

Germán López Rincón

Raúl López Roldán

Miguel Ángel Mánica Malcom

Héctor Moreno Alfaro

Rodrigo Murillo Fernández

Ricardo Enrique Ortiz Hermosillo

Alexandra Ossa López

Walter Iván Paniagua Zavala

Margarita Puebla Cadena

Luis Bernardo Rodríguez González

Juan Jacobo Schmitter M. del C.

Guillermo Springall Cáram †

Carlos Roberto Torres Álvarez

Comercialización

Brenda Aguilar Silis

Realización

HELIOS comunicación

+52 (55) 29 76 12 22

Dirección ejecutiva

Daniel N. Moser da Silva

Dirección editorial

Alicia Martínez Bravo

Contenidos

PORTADA: MODELO DE ELEMENTOS DISCRETOS DE SECCIÓN DE EXCAVACIÓN DESPUÉS DE LA VOLADURA. IMAGEN

OBTENIDA MEDIANTE EL SOFTWARE PFC V5

FOTO DE PORTADA: HAZEL FERNANDO GONZÁLEZ RENDÓN

Ángeles González Guerra

Diseño

Diego Meza Segura

Dirección comercial

Daniel N. Moser da Silva

Comercialización

Laura Torres Cobos

Difusión

Bruno Moser Martínez

Dirección operativa

Alicia Martínez Bravo

❘ Núm. 271
18 RESEÑAS - Tesis
19 RESEÑAS - Libros
Artículo técnico Modelado del mecanismo de fractura de rocas provocado por explosivos mediante el método de elementos discretos Hazel Fernando González Rendón y cols.
La geotecnia en la historia Presas de enrocamiento con cara de concreto en México, 1920-1960 Rodrigo Murillo Fernández y María Guadalupe Barrios Galván 38 Legislación NTC-Excavaciones Juan J. Schmitter Martín del Campo 39 CULTURA
Anecdotario Fernando Hiriart Balderrama Francisco Labastida Ochoa 42 Geotecnia para la energía: desafíos y oportunidades 42 Métodos geofísicos para detección de cavidades 43 Consideraciones de flujo de agua y riesgo en el análisis y diseño de depósito de jales 44 Uso de geosintéticos en vías férreas 45 CAPÍTULOS ESTUDIANTILES Licenciatura de la Benemérita Universidad Autónoma de Puebla 45 Posgrado de la Universidad Nacional Autónoma de México 46 Posgrado de la Universidad Autónoma de Querétaro 46 Licenciatura de la Universidad Nacional Santiago Antúnez de Mayolo 48 DELEGACIONES REGIONALES Reunión ordinaria Delegación Regional Baja California 48 Asamblea ordinaria Delegación Regional Puebla
30
40
2 19 20 30 1 2 3 18 8 10 17

Hortensia Elvira León Plata CONVERSANDO

Amar lo que uno hace

Aunque hace tiempo podría haberse jubilado, no lo ha hecho. “Muchos colegas me preguntan por qué no me he jubilado. Yo les digo que porque todavía me falta mucho por hacer. Y mientras la cabeza, las manos y las piernas me funcionen, seguiré disfrutando mi profesión y la geotecnia”.

“S

oy una médica frustrada, porque hice mis exámenes para estudiar medicina en Bogotá, Colombia, y para no quedarme sin hacer nada en ese primer semestre de libertad educativa entré a la Escuela Colombiana de Ingeniería por recomendación de un amigo de la infancia” –nos cuenta Elvira León Plata.

Le gustó el ambiente de la escuela, que se había creado hacía apenas dos años, con grupos muy pequeños y un ambiente académico muy familiar.

Corrían los años setenta del siglo pasado; la participación de las mujeres en carreras de ingeniería era limitada. “Pero en el primer semestre de ingreso –relata Elvira– entramos 10 mujeres en un grupo de 100 alumnos. No éramos muchas, pero estábamos teniendo mayor participación en las carreras que antes eran exclusivas de los hombres”.

Según expresa, el comportamiento de los varones era respetuoso: “Nos cuidaban mucho. Como veían que las mujeres éramos más dedicadas y ordenadas, buscaban trabajar con nosotras en las tareas y los exámenes. Los maestros eran muy accesibles.

”Yo empecé a tomarle mucho cariño a la ingeniería ambiental, al igual que a mi maestro, puesto que lo admiraba mucho. Pero también me estaban gustando los suelos, y como mi tía vivía aquí en la Ciudad de México, y siempre ha sido un punto importante para el estudio de los suelos, me metí más a estudiar la parte de los suelos, aunque empecé a trabajar en otras áreas

Marzo - Mayo 2024
CON...
Ir a TexTo CorrIdo 3 39 42 43 44 45 46 48 38 40
Con Leonardo Zeevaert, Eulalio Juárez Badillo y compañeros de la maestría.

Con el gran geólogo Federico Mooser.

de la ingeniería antes de culminar la carrera, por aquello de que hay que practicar para saber qué hacer”.

Le pedimos que comparta algunos hechos que considere relevantes, anécdotas de la época de estudiante, y abunda: “Cuando estudiaba, yo me involucré en las relaciones públicas en mi escuela. Organizaba actividades, me gustaba muchísimo participar en las cuestiones tanto culturales como deportivas”. Era Elvira la encargada de distribuir el periódico, y su interés por las actividades sociales le permitió tener una relación fluida con estudiantes, profesores y trabajadores administrativos. “Y no solo en el ámbito de la escuela –puntualiza–, también en lo familiar”.

Su primer trabajo profesional fue en el departamento de vías terrestres de una empresa para colaborar en el diseño de carreteras. “Ahí empecé a aprender un poco más de lo que se necesitaba y vi que los suelos eran también muy importantes para las carreteras. Eso fue lo que empezó a ‘picarme’ para especializarme finalmente en geotecnia”.

Al terminar su carrera ingresó a otra empresa. “Me enviaron a un pueblito con una brigada topográfica a empezar a echar la línea de la carretera que pasaría por el pueblo. Lo más curioso es que el único hotel que tenía el pueblito era adonde llegaba el abogado que iba cada ocho

El libro negro que hicimos con el ingeniero Santoyo, Federico Mooser y Efraín Ovando fue una gran satisfacción personal para mí, un trabajo de largo aliento. Llevábamos muchos años escribiendo capítulos y corrigiéndolos. Luego, el libro Ingeniería de cimentaciones profundas de la Sociedad Mexicana de Ingeniería Geotécnica; el ingeniero Santoyo había empezado a escribir el capítulo de exploración; lo retomó José Segovia para terminarlo, ambos fallecieron así que Walter Paniagua me pidió concluirlo. El ingeniero Santoyo nos instaba a escribir sobre mecánica de suelos. Muy enriquecedor en geología trabajar con Federico Mooser.

días a resolver problemas; un médico especialista iba también cada semana a atender consultas y una maestra de inglés iba a dar clases”.

Todas las personalidades que acudían al pueblo a trabajar coincidían en ese hotelito. Este trabajo fue su primera experiencia de vivir sola. “Manejaba una pick up en carretera, me gustaba mucho el trabajo en campo; me sentía muy confiada porque era una época muy tranquila. No había proliferado el problema de narcotráfico, ni de guerrilla y paramilitarismo. Eso me ayudó a tener un carácter aventurero y de viajera que sigo manteniendo”.

Entonces surgió la idea de viajar a México. “Durante ese primer año de graduada y trabajando, le pedí a mi tía –que vivía aquí en México– que me averiguara en la UNAM las condiciones para hacer un posgrado; la otra opción era Inglaterra, pero no tenía a alguien allá, y el inglés no es mi fuerte”.

Llegó a México a presentar su examen de admisión y lo aprobó exitosamente. “Coincidí con un grupo multicultural: había chinos, dominicanos, otra colombiana, un peruano, un argentino”.

Sus primeros tiempos le bridaron experiencias gratas, relata: “Mi tía tenía muchas amistades, y todas se volcaron en atenciones conmigo, nos invitaban a comer, a cenar, a hacer vida nocturna. Conocí el tequila fuertemente, dejé el cigarrillo. El gusto por la comida ya lo traía, por los antecedentes de mi tía. México me encantó. Aprecié mucho que los hombres eran caballerosos. Nos abrían la puerta del auto, nos acercaban la silla, nos daban nuestro lugar en las entradas. Esa caballerosidad mexicana es de lo que más me gustó. El varón mexicano es muy atento con la mujer”.

Una de sus primeras experiencias importantes en lo académico fue tener a Eulalio Juárez Badillo como profesor. “Su libro lo leíamos en toda América Latina. Conocer a Juárez Badillo también fue enriquecedor, conocer a Alfonso Rico (él iba periódicamente, yo no tuve clases con él). Encontrar uno en las aulas o cruzarse en los pasillos a los líderes de la ingeniería de México, no solo ya en los libros… ese acercamiento fue muy interesante, porque a través de los semestres que siguieron, el grupo en el que yo estaba, esta comunidad académica, tuvimos un maestro que nos lideró en trabajos de investigación, el doctor Abraham Díaz R., y periódicamente hacíamos comidas en los laboratorios, en el jardín de la División de Posgrado, y se

❘ Núm. 271 CONVERSANDO CON... ❘ Amar lo que uno hace
4 19 20 30 1 2 3 18 8 10 17

sumaban Juárez Badillo, Leonardo Zeevaert y Guillermo Springall.

”La convivencia no fue solo académica, sino que había un acercamiento de tipo personal donde se fomentaba muchísimo la camaradería; también los profesores invitaban a alumnos a sus casas a convivir, a eventos familiares. Fue una época muy enriquecedora desde el punto de vista humano y académico”, recuerda Elvira León Plata.

Obligado a pedirle algunas anécdotas sobre la convivencia con tales maestros, nos cuenta: “A mí me marcó muchísimo. Con el doctor Zeevaert aprendí los muestreos inalterados de las arcillas. Era un hombre muy cuidadoso, muy exigente en sus clases. Yo personalmente sentí que me estaba formando en mi carácter como ingeniera de suelos, porque debía ser una persona más estudiosa en mis cosas. Como profesor era muy exigente, muy gruñón. No le gustaba que la gente llegara tarde a su clase, o tener en clase a gente que no tuviera la preparación de ingeniería civil, como eran los geólogos o los agrónomos. Entonces él se enojaba mucho, y si estas personas persistían en sus clases, era mucho más exigente con ellos, hasta el punto en que muchos se retiraron, y otros tantos reprobaron la materia.

”En las comidas que organizábamos los conocí más de cerca. El doctor Juárez Badillo era

un hombre muy culto, interesado también en la naturaleza y la filosofía, pero en las comidas era muy codo; dijo que nunca iba a pagar una comida, pero que él nos llevaría una botellita de mezcal tamaulipeco”.

Al respecto, cuenta Elvira algo en particular, no sin una sonrisa: “En una ocasión, cuando cortábamos la rosca de Reyes, lo pescamos cuando le salió el niño, y se lo dejó en la boca. Cuando recogimos los vasos de atole, en su vaso estaba el niño: no quería pagar los tamales. Le dijimos que tenía que ponerse guapo con la lana; levantaba las cejas, y tenía un tono de voz grave, particular. Yo le dije: ‘Acá está su vaso, doctor; ni modo que el de al lado le haya echado el niño’. Lo tuvo que aceptar”.

Como maestro, Juárez Badillo daba sus clases de forma muy coloquial, con adivinanzas, juegos de palabras, referencias filosóficas. Nuestro problema con él era que teníamos que aprendernos de memoria su teoría y todas las ecuaciones que veíamos en el curso. Era muy teórico. Y el día que presenté mi examen para titularme él me dijo que no acudiría porque no era un tema que le interesara, y que él me daba por aprobada”.

De Guillermo Springall en ese ámbito recuerda que “era un melómano de tiempo completo excelente maestro, muy práctico. Entre él y Abraham Díaz nos ponían a leer mucho y eso a

Marzo - Mayo 2024 Amar lo que uno hace ❘ CONVERSANDO CON...
En Punto Chapultepec, 263 m por encima de la banqueta, en Paseo de la Reforma. 5 39 42 43 44 45 46 48 38 40

uno lo ayudaba. Las lecturas eran muy buenas. Springall le daba importancia a la práctica: nos llevaba a ver proyectos con Jaime Martínez Mier, a ver las obras y los diseños que había hecho el ingeniero Springall, que además era un hombre muy simpático, extremadamente agradable para platicar de música, para comentar la vida, de su familia. Yo me llevaba muy bien con sus hijos –la mayoría ahora son arquitectos y trabajo con ellos en algunos proyectos.

”Guillermo Springall me invitó a trabajar cuando los sismos del 85; yo estaba haciendo mi tesis para recibirme. Me pidió ir a trabajar con él porque necesitaban manos y ojos para revisar edificios, y acepté su invitación. Pero como yo tenía una visa de estudiante, me dijo: ‘¿Qué hacemos?’ En esa época no me había casado aún con Fernando Vera, mexicano él, así que le dije a José Springall, hermano de Guillermo: ‘Oiga, ¿y si viene Fernando y él da los recibos de honorarios y cobra?’ ‘¡Bueno, está bien!’, respondieron; le decían a Fernando que él era aviador porque iba a la oficina solo a cobrar. ¡A mí me parecía tan gracioso!”

”Lo que más le agradezco a Guillermo Springall es que me haya llevado a trabajar con él, que me diera un lugar en su empresa y en su vida personal. Me llevaba muy bien con su familia, desde el punto de vista personal, y también con sus empleados. Yo disfruté mucho trabajar en su empresa”.

Después de culminar su maestría, Elvira León Plata se había propuesto regresar a Colombia.

“Cuando empecé a trabajar con el ingeniero Springall me dije: pues me quedo en México. En el ínter, Salinas de Gortari asumió como presidente y se redujo la contratación de obra por parte del gobierno. Entonces, cuando terminé mi maestría, hice mi trabajo final y decidí regresar a Colombia.

”En Colombia conseguí trabajo, en una de las empresas de ingeniería más grandes del país; trabajé muy a gusto, estuve contenta porque estaba cerca de mi mamá, de mi hermana (la única que vive allá), y cuando se recrudeció el problema del narcotráfico ya salía muy poco a campo. Me casé en Colombia y regresamos a México.

”En la entonces Sociedad de Mecánica de Suelos pregunté por opciones de trabajo y me dijeron que en TGC necesitaban ingenieros especializados en geotecnia. Me entrevistó Carlos Gutiérrez, que era el gerente de Geotecnia. Él me contrató inmediatamente porque el perfil que buscaban eran maestros en ingeniería que hubieran tomado clase con Zeevaert”.

De eso hace 34 años y sigue Elvira trabajando en TGC. De los primeros años recuerda: “Me sentaron cerca del ingeniero Enrique Santoyo Villa. Yo le tenía mucho miedo porque tenía fama de ser muy exigente, muy duro. Yo lo veía seco, muy serio; no trabajaba directamente con él, y era muy poco lo que hablaba con él, trabajaba fundamentalmente con muestras de laboratorio. Si no está uno en campo, en el laboratorio no sabemos con qué muestras vamos a diseñar”.

Cuando nuestra interlocutora ingresó a TGC se estaba desarrollando la renivelación de la Catedral de la Ciudad de México. Le pidieron que fuera a revisar las estaciones piezométricas que se habían instalado. “Empecé a estudiar la historia, qué se iba a hacer, cómo se iba a renivelar. Colaboré con el ingeniero Santoyo en toda la instrumentación que existía en la Catedral: aprendí mucho con él.

”Seguía siendo un hombre muy exigente. En mi opinión, cuando sus hijos se casaron y él se volvió abuelo, su trato se volvió muy afable, y era de contar unos chistes y anécdotas buenísimos. Luego se burlaba de uno por cualquier tontería. Con mi hijo era muy cariñoso; mi hijo lo saludaba con un ‘Hola, Santoyo’, y platicaban. Se volvió ‘corazón de pollo’ cuando fue abuelo. Venían sus nietos a visitarlo y yo veía que había cambiado”.

Le preguntamos por su participación en el ámbito académico. “En el año 1991 me invitó quien era director de la Escuela de Ingeniería de

❘ Núm. 271 CONVERSANDO CON... ❘ Amar lo que uno hace
6 19 20 30 1 2 3 18 8 10 17
Clase con sus alumnos en la excavación del Park Hyatt Polanco.

la Universidad La Salle, por sugerencia de mi esposo, quien es maestro ahí. Necesitaban un maestro de Mecánica de Suelos y me llamaron. Estuve dando clases un semestre. Al semestre siguiente me embaracé, pero se quedaron sin jefe de la carrera de Ingeniería Civil y me dieron el cargo hasta que en agosto tuve que retirarme porque por cuestión del embarazo ya no iba a poder seguir trabajando”.

Se fue Elvira a Colombia a tener a su hijo, porque tenía allá un seguro de gastos médicos muy bueno, y luego regresó a México. Tiempo después, en 2010, la convocaron para dar la clase de Cimentaciones, y aceptó darla a estudiantes del octavo semestre.

“Sigo dando esa materia, y me gusta que sea una clase lo más práctica posible porque los problemas que resolvemos son proyectos reales, sean edificios o excavaciones; llevo a los alumnos a que las vean, les cuento las anécdotas, la experiencia que hemos tenido en edificios con los clientes, con los arquitectos, con los estructuristas y con los constructores”.

Ha participado en la edición de libros. “El libro negro que hicimos con el ingeniero Santoyo, Federico Mooser y Efraín Ovando fue una gran satisfacción personal para mí, un trabajo de largo aliento”, nos dice.

“Llevábamos muchos años escribiendo capítulos y corrigiéndolos. Luego, el libro Ingeniería de cimentaciones profundas de la Sociedad Mexicana de Ingeniería Geotécnica; el ingeniero Santoyo había empezado a escribir el capítulo de exploración; lo retomó José Segovia para terminarlo, ambos fallecieron así que Walter Paniagua me pidió concluirlo”.

También ha escrito algunos artículos sobre mecánica de suelos y participó en algunos de los libros generados por TGC. “El ingeniero Santoyo –comenta Elvira León Plata– nos instaba a escribir sobre esos temas. He participado como conferencista en varios eventos sobre excavaciones, sobre cimentaciones profundas, entre otros temas, y he sido panelista en mesas con el tema de la mujer en la ingeniería”.

Consultada respecto a cuáles han sido las obras en lo que respecta a la geotecnia que más le han dejado como experiencia profesional, nos contesta sin dudar: “La renivelación de la Catedral de la Ciudad de México, porque me ofreció un cúmulo de conocimiento histórico, arquitectónico, arqueológico… creo que el haber estado bajo la Catedral, en sus criptas, a todos quienes participamos ahí nos ha dejado

Con el doctor

Zeevaert aprendí los muestreos inalterados de las arcillas. Era un hombre muy cuidadoso, muy exigente en sus clases. Yo personalmente sentí que me estaba formando en mi carácter como ingeniera de suelos, porque debía ser una persona más estudiosa en mis cosas. Como profesor era muy exigente, muy gruñón. No le gustaba que la gente llegara tarde a su clase, o tener en clase a gente que no tuviera la preparación de ingeniería civil, como eran los geólogos o los agrónomos. Entonces él se enojaba mucho, y si estas personas persistían en sus clases, era mucho más exigente con ellos, hasta el punto en que muchos se retiraron, y otros tantos reprobaron la materia.

algo importante, aunque mi participación fue pequeña, comparada con la de otros destacados ingenieros bajo la dirección de Santoyo y Tamez”.

Aunque no en la misma medida, otros diseños que ha realizado le han dejado satisfacción, como la segunda Torre Arcos II y los edificios bajos, junto al arquitecto Teodoro González de León. “Disfruté mucho trabajar con él y con Francisco Serrano, otro gran amigo, un arquitecto con quien trabajo muy a gusto. También participé en muchos edificios en Santa Fe, en el Centro Comercial. Fue mucho aprendizaje, porque hay ahí rellenos de minas. Muy enriquecedor en geología trabajar con Federico Mooser”.

El trabajo en la Torre KOI, en Monterrey, fue para nuestra interlocutora otro trabajo de mucha satisfacción. Junto a Roberto Stark diseñó la cimentación del que en su momento fue el edificio más alto, “una cimentación especial para una gran torre. He diseñado muchos edificios en Monterrey, y eso ha sido muy enriquecedor profesionalmente”.

De cualquiera de esas obras que me acaba de mencionar le pedimos destacar alguna en particular: “La torre Punto Chapultepec, porque en ese momento fue el primer edificio en México que llegaba a 40 metros de excavación. Ahora ya hay otros, incluso se ha llegado a 50 metros. Con la tecnología aplicada en México no se nos movió el talud y aprendimos mucho. El que la obra haya ganado tantos premios indica su calidad, y que el diseño geotécnico haya sido calificado como uno de los cinco mejores del mundo en ese momento me deja un buen sabor de boca”.

Consultada sobre alguna idea para transmitirles a los jóvenes ingenieros civiles, Elvira León Plata dice: “A ellos y a todos los profesionales, a cada persona, amar lo que uno hace. No es solo por dinero. Qué mayor satisfacción que ver un proyecto hecho realidad. Hay que amar lo que hacemos”.

Aunque hace tiempo habría podido jubilarse, no lo ha hecho. “Muchos colegas me preguntan por qué no me he jubilado. Yo les digo que porque todavía me falta mucho por hacer. Y mientras la cabeza, las manos y las piernas me funcionen, seguiré disfrutando mi profesión y la geotecnia

Entrevista de Daniel N. Moser

Apreciamos su opinión e información sobre el tema de este artículo. Escríbanos a helios@heliosmx.org

Marzo - Mayo 2024 Amar lo que uno hace ❘ CONVERSANDO CON...
7 39 42 43 44 45 46 48 38 40

James Mitchell, maestro e investigador consumado, murió a los 93 años habiendo hecho importantes contribuciones en el área del comportamiento del suelo y la evaluación de las propiedades de los suelos, entre otros.

James K. Mitchell falleció tranquilamente en su casa en Massachusetts el 17 de diciembre de 2023. Nacido en Manchester, New Hampshire, el 19 de abril de 1930, Jim se graduó en ingeniería en el Instituto Politécnico Rensselaer en 1951, obtuvo su título de maestría en 1953 y el doctorado en 1956, ambos del Massachusetts Institute of Technology (MIT). Trabajó como ingeniero de suelos en la US Army Engineer Waterways Experiment Station en Vicksburg, Mississippi, en 1955, y de 1956 a 1958 como oficial en el Cuerpo de Ingenieros del Ejército de Estados Unidos.

Se integró a la Universidad de California en Berkeley como profesor asistente en el Departamento de Ingeniería Civil en 1958 y, junto con sus colegas H. Bolton Seed y Carl L. Monismith, fue pieza clave en el desarrollo de un programa de enseñanza e investigación de clase mundial acerca de ingeniería geotécnica y geoambiental. Fue un maestro e investigador consumado. Recibió el Premio a la Enseñanza Distinguida de la UC Berkeley en 1963 y fue nombrado

“Profesor Edward G. Cahill y John R. Cahill de Ingeniería Civil” en 1989. Su ética de trabajo no tenía paralelo, y cuando se retiró de Berkeley, en 1993, había dirigido 61 tesis doctorales y se había desempeñado como miembro de comité en muchas otras. Se dedicó al servicio académico y profesional y en Berkeley se desempeñó como jefe del Departamento de Ingeniería Civil de 1979 a 1984 y también participó en numerosos comités académicos del Senado. Después de 35 años de servir como miembro del profesorado en la UC Berkeley, Jim se retiró en 1993 y se integró como académico del

Septiembre de 2014. Jim realizando un trabajo de consultoría en la ciudad de Jersey, Nueva Jersey. Lo acompañan Dimitris Dermatas, del Instituto de Tecnología Stevens, y Bruce Sass, de Geosyntec.

Virginia Tech en 1994, donde ocupó el puesto de Profesor Distinguido de esa universidad. Se retiró de Virginia Tech en 1999, pero se mantuvo activo en la orientación de la investigación, la enseñanza conjunta de cursos y la presentación de seminarios hasta muy poco tiempo antes de su fallecimiento. El último estudiante al que coasesoró terminó su doctorado en 2021, y Jim dejó pendiente al menos un artículo del que fue coautor y que aún está en revisión para una conferencia que se celebrará en 2024.

En su investigación hizo muchas contribuciones importantes en el área del comportamiento del suelo y en la evaluación de las propiedades de los suelos. Su trabajo de doctorado en el MIT sobre el entramado de la arcilla compactada (bajo la dirección del profesor T. William Lambe) y sus primeras investigaciones en Berkeley acerca de arcillas compactadas, la estabilización de suelos y los aspectos dependientes del tiempo del comportamiento del suelo sentaron las bases para la orientación de toda su carrera hacia el comportamiento de los suelos. Eso también lo llevó a incursionar en las pruebas in situ para la determinación de las propiedades del suelo lunar y la transitabilidad para los alunizajes del cohete Apolo de la NASA. Este trabajo condujo a muchos desarrollos adi-

❘ Núm. 271
SEMBLANZA
Ir a TexTo CorrIdo 8 19 20 30 1 2 3 18 8 10 17
FOTOGRAFÍA PROPORCIONADA POR RUDY BONAPARTE.

cionales y proporcionó gran parte de las bases para desarrollar los métodos modernos de pruebas in situ que se utilizan actualmente. Su lista de publicaciones contiene más de 500 artículos en revistas, ponencias para congresos, informes, conferencias magistrales y conferencias invitadas a lo largo de muchos años. La contribución más notable de Jim es su libro Fundamentals of soil behavior, publicado por primera vez en 1969, y estaba trabajando en la cuarta edición de este texto junto con los coautores Kenichi Soga, de la UC Berkeley, y Catherine O’Sullivan, del Imperial College de Londres. Entre los muchos premios de Jim se incluye su ingreso a la Academia Nacional de Ingeniería (1976) y a la Academia Nacional de Ciencias (1998) de Estados Unidos, un honor otorgado a muy pocos ingenieros civiles. De la ASCE recibió el Premio Middlebrooks cuatro veces (1962, 1970, 1973 y 2001), la Medalla Norman de la ASCE dos veces (1972 y 1995), la Medalla H. Bolton Seed de la ASCE (2004), y el Premio OPAL de la ASCE en Educación en 2006; fue nombrado Miembro Distinguido de la ASCE en 1993. Entre sus conferencias más notables se encuentran la Conferencia

Terzaghi de la ASCE en 1984, la Conferencia Rankine de la Sociedad Geotécnica Británica en 1991 y la Decimoséptima Conferencia Nabor Carrillo de la Sociedad Mexicana de Ingeniería Geotécnica en 2004.

Conferencia ASCE de 2001 Blacksburg. Jim Mitchell, Turan Durgunoglu y Ralph Peck.

Jim fue un gran amigo y mentor para muchos de sus colegas y estudiantes. A pesar de sus logros, era humilde y siempre estaba dispuesto a aprender algo nuevo. Le encantaba el aire libre y la música, y era un consumado saxofonista, una vocación que disfrutó durante toda su vida. Su fallecimiento es una pérdida para todos los que tuvimos la suerte de conocerlo

Tomado de www.issmge.org/news/in-memoriam-james-k-mitchell Traducido del inglés por Raúl Esquivel Díaz.

Apreciamos su opinión e información sobre el tema de este artículo. Escríbanos a helios@heliosmx.org

Marzo - Mayo 2024
❘ SEMBLANZA
James K. Mitchell
FOTOGRAFÍA PROPORCIONADA POR TURAN DURGUNOGLU. 9 39 42 43 44 45 46 48 38 40

Evidencias del efecto del creep en el comportamiento de las arcillas del Valle de México

El Valle de México está conformado por depósitos de arcilla que se caracterizan por su alto contenido de agua, compresibilidad y baja resistencia al esfuerzo cortante. Este tipo de suelos ha motivado por años el estudio de sus características y comportamiento y ha planteado grandes desafíos en la construcción de diversas estructuras. Investigaciones recientes han centrado su atención en entender el comportamiento viscoso de las arcillas del Valle de México y los efectos que ejercen sobre los asentamientos a largo plazo, así como los cambios en sus propiedades mecánicas.

El Valle de México, situado al sur de la cuenca, está rodeado por las cadenas montañosas de Monte Alto, Monte Bajo, Las Cruces, Pachuca, así como la Sierra Nevada y la serranía de Chichinautzin. El valle era una cuenca abierta que desaguaba hacia el sur. Sin embargo, con la formación de los volcanes que constituyen la Sierra Chichinautzin, se transformó en una cuenca endorreica de sedimentación, donde la predominancia del entorno lacustre favoreció el desarrollo de colonias de microorganismos y la acumulación de considerables volúmenes de cenizas y otros materiales piroclásticos. La degradación química de estos materiales dio lugar a la formación de depósitos de arcillas y limos arcillosos, que se caracterizan por su alto contenido de agua, compresibilidad y baja resistencia al esfuerzo cortante, como lo han señalado Ovando Shelley et al. (2007, 2022).

Esta condición ha generado históricamente grandes desafíos en la construcción de edificios y otras estructuras, y ha propiciado el estudio constante de las características y el comportamiento de los suelos que conforman dicho valle, siendo un tema recurrente el de la compresibilidad y la generación de modelos de comportamiento capaces de describir y predecir con mayor precisión la evolución de los asentamientos en el tiempo, así como los cambios en el estado de esfuerzos al interior de la masa de suelo. Como parte de estos estudios, durante los últimos años se han realizado investigaciones relevantes para caracterizar y conocer el comportamiento viscoso de las arcillas del Valle de México, el cual se refleja en los asentamientos del suelo como un componente adicional dependiente del tiempo, comúnmente conocido como consolidación secundaria.

❘ Núm. 271 ARTÍCULO TÉCNICO
Ir a TexTo CorrIdo 10 19 20 30 1 2 3 18 8 10 17

Costra superficial

Formación Arcillosa Superior (FAS)

Este enfoque implica que se separen los efectos de consolidación primaria de la secundaria, considerando que esta última se desarrolla una vez terminada la primaria, o que se consideren despreciables los efectos secundarios al inicio. Algunos autores que así lo han considerado son Leonards (1977), Ladd et al. (1977) y Jamiolkowski et al. (1985).

Hipótesis B. Con base en el comportamiento observado, se supone que tanto la consolidación primaria como la secundaria inician simultáneamente. Implica que se obtendrían mayores asentamientos al final de la consolidación primaria que los calculados con teorías tradicionales como la de Terzaghi. Algunos autores que así lo han supuesto son Sukjle (1969), Bjerrum (1967), Lerouil et al. (1985), Zeevaert (1986) y Marsal (1961).

Formación Arcillosa Inferior (FAI)

Formación

Arcillosa Profunda (FAP)

Figura 1. Estratigrafía y estado de esfuerzos del terraplén de referencia.

La consolidación secundaria, también conocida como creep (fluencia lenta), ocurre en suelos finos saturados como resultado de la reorganización de las partículas del suelo bajo un esfuerzo efectivo casi constante. La evidencia más clara de la compresión secundaria es el asentamiento que ocurre después de la finalización de la consolidación primaria, la cual está asociada a la disipación del exceso de presión de poro que sufre el suelo durante un proceso de carga. Según Buisman (1936), la relación entre la deformación y el logaritmo del tiempo es esencialmente lineal en la etapa de compresión secundaria.

Ladd et al. (1977) han distinguido dos líneas de pensamiento al respecto:

Hipótesis A. Supone un comportamiento logarítmico lineal decreciente con el tiempo, en la curva deformacióntiempo (en escala semilogarítmica) en el intervalo secundario, después de haber finalizado la consolidación primaria.

Durante las últimas décadas, en México y otros países la investigación relacionada con la caracterización del comportamiento viscoso de los suelos durante el proceso de consolidación y la forma de modelarlo ha aumentado notablemente. Con ello, se han definido nuevos modelos de comportamiento con distintos grados de sofisticación y complejidad para reproducir el comportamiento dependiente del tiempo de arcillas blandas. Estos modelos se pueden clasificar en dos grandes grupos: los llamados “modelos de creep” (e.g. Yin y Graham, 1989, 1994, 1999; Borja y Kavazanjian, 1985) y los denominados “modelos de velocidad de deformación” (Adachi y Okano, 1974; Oka, 1981; Adachi y Oka, 1982; Sekiguchi, 1977, 1985). Los modelos de velocidad de deformación (rate models) permiten tomar en cuenta el comportamiento del suelo en función del tiempo de una manera directa, mientras que para el creep lo hacen de una manera indirecta. Por otro lado, en los modelos de creep el comportamiento del suelo en función del tiempo se toma en cuenta de manera indirecta, en tanto que el creep se estima de forma directa a través de su formulación matemática (González, 2022). Cada uno de estos tipos de modelo ofrece ventajas y desventajas de la implementación numérica. Estudios comparativos, entre varios de los modelos analíticos de consolidación secundaria en las arcillas del Valle de México, se pueden encontrar en Jaime y Paniagua (1993, 2021), Ossa (2004), González (2022) y González et al. (2021).

EVALUACIÓN DEL CREEP Y SUS EFECTOS EN EL COMPORTAMIENTO DE LA ARCILLA EN EL VALLE DE MÉXICO

Si bien el efecto del creep en el comportamiento de las arcillas en el Valle de México ha sido identificado y estudiado desde hace décadas (Mesri, 2001; Paniagua, 1989; Ovando-Shelley, 2007), la información del monitoreo de su comportamiento y evolución de propiedades ha sido limitada. No obstante, en años recientes, a través del seguimiento de tramos de pruebas y de estudios de laboratorio complementarios, se ha podido identificar plenamente el efecto en los asentamientos y cambios en las propiedades dinámicas de estas arcillas.

Marzo - Mayo 2024
❘ ARTÍCULO TÉCNICO
Evidencias del efecto del creep en el comportamiento de las arcillas del Valle de México
Profundidad (m) 0 10 20 30 40 50 60 qc (kPa) 0 200 400 600 800 σ total (kPa) u (kPa) σ efectivo (kPa) CPT-1 Terraplén
de referencia
11 39 42 43 44 45 46 48 38 40

Efectos en los asentamientos

Caso de estudio

El caso de estudio corresponde a un terraplén de prueba de 40 m × 20 m construido en el antiguo Lago de Texcoco (II UNAM, 2016) , conformado por una capa de tepetate de altura máxima central de 1.80 m cuyo espesor disminuye hacia las orillas con una pendiente de 1.15%. Sobre esta capa se ubica una estructura de pavimento flexible de 0.6 m de altura y pendiente transversal simétrica de diseño de 1.25%, que transmite una carga al suelo de 37 kPa. Este terraplén funcionó como referencia para comparar el desempeño que presentaran otros tramos de prueba construidos sobre el mismo suelo mejorado o cimentado a través de diferentes técnicas.

Estratigrafía y propiedades

Para conocer las condiciones del subsuelo en el sitio, se llevaron a cabo exhaustivas campañas de investigación de campo y laboratorio (Geotec, 2013; II UNAM, 2015 y 2016).

Con base en los resultados del CPT-1 y SPT-1 y el perfil inicial de presión de poro derivado de la estación piezométrica, se logró establecer las condiciones estratigráficas iniciales del sitio (figura 1), el cual está conformado por una capa de limos arcillosos secos y de baja plasticidad, conocida como Costra Superficial, seguida de un estrato de arcilla de alta compresibilidad con intercalaciones de lentes de arena limosa, denominada Formación Arcillosa Superior (FAS). Subyacente a esta se localiza la Capa Dura, formada por arena muy compacta e intercalaciones delgadas de limos, a la que subyacen la Formación Arcillosa inferior (FAI), una segunda Capa Dura y la Formación Arcillosa Profunda (FAP).

Finalmente, por debajo de la FAP se localizan los Depósitos Profundos, considerados como una frontera incompresible

pero permeable, formados por limos consistentes y arenas limosas intercaladas con capas de arcilla muy compacta. Con base en los resultados de laboratorio y las simulaciones de estas mismas pruebas en la interfaz del Soil Test de Plaxis, se establecieron las propiedades con las que se caracterizó cada uno de los estratos.

Estimación de los asentamientos con y sin creep

La modelación del comportamiento de la arcilla por debajo de este terraplén se realizó mediante un análisis numérico utilizando el código de elementos finitos Plaxis (Brinkgreve et al., 2019). Se eligió modelar la porción central, donde se ubica la mayoría de los instrumentos, mediante simulaciones 2D y asumiendo condiciones de deformación plana. Para las simulaciones numéricas, se utilizaron los modelos de comportamiento Soft Soil (SS), Soft Soil Creep (SSC), Creep SCLAY-1 (CSC1) y MODIIGM, cuyos detalles son presentados por González (2022), de los cuales los tres últimos consideran la viscosidad del suelo y por lo tanto la dependencia de los asentamientos a largo plazo respecto del tiempo.

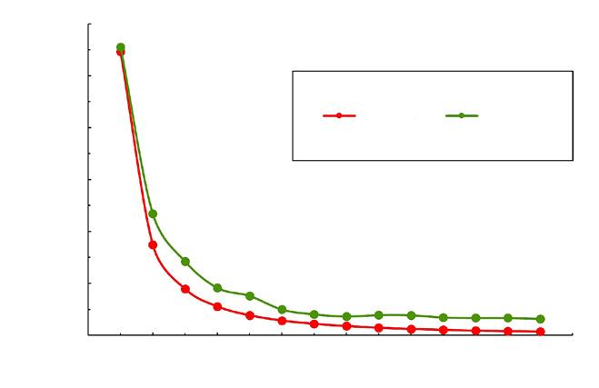
Los resultados de la simulación se compararon con las mediciones de campo. En la figura 2 se muestra la evolución de los asentamientos del suelo, al centro del TR, correspondiente tanto a las mediciones de campo como a los resultados de la simulación. Después de los 200 días, las mediciones de campo mostraron un comportamiento anormal, con cambios abruptos en la velocidad de asentamiento, aunque después de 900 días las lecturas se estabilizan. En esta misma figura se puede observar una comparación de las predicciones de asentamientos hechas con los tres modelos que consideran el creep (SSC, SCS1 y MODIIGM): muestran un muy buen ajuste con respecto a los asentamientos medidos

❘ Núm. 271 ARTÍCULO TÉCNICO ❘ Evidencias del efecto del
en
creep
el comportamiento de las arcillas del Valle de México
Estrato Profundidad (m) Ƴ (kN/m3) E´ (kPa) c (kN/m2) k (m/día) νur ´ e0 λ ҡ Ψ OCR φ´ (°) Ko M ηko β μ α0 Desde Hasta Costra 0.00 0.80 14.50 10000 20 9.99E-02 0.25 - - - - - 35 0.430 FAS 1 0.80 6.00 11.62 - - 9.50E-04 0.20 6.67 1.6 0.12 0.051 1.32 45 0.293 1.85 1.34 0.91 6.33 0.1 FAS 2 6.00 10.00 11.90 - - 1.70E-04 0.20 7.74 3.15 0.14 0.099 1.33 38 0.384 1.55 1.04 1.01 8.37 0.45 LENTE 1 10.00 10.60 15.00 15000 25 4.80E-02 0.33 - - - - - 35 0.430 FAS 2 10.60 20.00 11.90 - - 1.70E-04 0.20 7.74 3.15 0.14 0.099 1.33 38 0.384 1.55 1.04 1.01 8.37 0.45 FAS 3 20.00 34.80 12.00 - - 9.25E-04 0.20 6.53 2.75 0.099 0.099 1.31 40 0.357 1.64 1.12 1.02 8.05 0.65 CD1 34.80 36.00 18.00 30000 30 9.99E-02 0.33 - - - - - 45 0.290 FAI 36.00 43.80 13.64 - - 4.00E-04 0.30 3.42 1.03 0.052 0.048 1.4 39 0.371 1.59 1.08 1.02 13.07 0.63 CD2 43.80 49.20 18.00 30000 30 9.99E-02 0.33 - - - - - 45 0.290 FAP 49.20 60.00 14.20 - - 4.00E-04 0.30 3.42 1.03 0.052 0.048 1.4 39 0.371 1.59 1.08 1.02 13.07 0.63 Para obtener λ*, κ* y μ* de los modelos Soft Soil, Soft Soil Creep y Creep SCLAY-1, dividir λ, κ y μ entre (1+e0) (Brinkgreve et al., 2019). 12 19 20 30 1 2 3 18 8 10 17
Tabla 1. Propiedades de los materiales arcillosos y arenolimosos

Instrumentación

MODIIGM Punto central

CSCI Punto central

SSC Punto central

SS Punto central

Instrumentación

MODIIGM Punto central

CSCI Punto central

SSC Punto central

SS Punto central

σdc2

σdc1

Esfuerzo desviador (σ1 – σ3) (kPa)

Eeq1 Eeq2

Deformación axial unitaria, ε (%) ε1 ε2

Módulo dinámico Eeq

Mr1 N Mr Mr

Módulo resiliente, Mr Esfuerzo desviador, σ d

Deformación, ε

en campo a largo plazo. En contraste con estos resultados, los asentamientos obtenidos con las simulaciones del Soft Soil subestiman el desarrollo de asentamientos a largo plazo y sobrestiman los asentamientos a corto plazo.

La figura 2 muestra, además, que los modelos Soft Soil Creep, Creep SCLAY-1 y MODIIGM logran simular asentamientos a largo plazo de manera muy aproximada respecto a los valores registrados por la instrumentación. Sin embargo, para el caso de los asentamientos presentados durante las etapas constructivas y para etapas tempranas de consolidación, el modelo MODIIGM presenta una mejor aproximación.

Efectos del creep en las propiedades dinámicas Como se ha mencionado ya, en años recientes las arcillas del antiguo Lago de Texcoco han sido el centro de una

amplia investigación, que ha incluido pruebas de campo y de laboratorio, con el objetivo de conocer su comportamiento esfuerzo-deformación-tiempo ante la presencia de cargas estáticas y dinámicas. En esta sección se presenta la influencia del creep en las propiedades dinámicas y resilientes del suelo estudiada a través del monitoreo del cambio del módulo dinámico equivalente de Young y el módulo resiliente.

OBTENCIÓN DEL MÓDULO DINÁMICO EQUIVALENTE DE YOUNG Y EL MÓDULO RESILIENTE

El módulo dinámico equivalente de Young (Eeq) representa la relación entre la deformación unitaria axial (ε) y el esfuerzo desviador (σd) necesario para ocasionar dicho nivel de deformación, y constituye uno de los parámetros más importantes para calcular y analizar en la dinámica del

Marzo - Mayo 2024
❘ ARTÍCULO TÉCNICO
Evidencias del efecto del creep en el comportamiento de las arcillas del Valle de México
Figura 2. Desplazamiento vertical de un punto al centro del terraplén.
Tiempo (días) 0 200 400 600 800 1000 1200 1400 1600 Asentamiento (m) –0.10 –0.30 –0.50 –0.70 –0.90 –1.10
Figura 3. Definición de módulos Eeq y Mr (Romero, 2017).
Tiempo (días) 1 10 100 1000 10000 Asentamiento (m) –0.10 –0.30 –0.50 –0.70 –0.90 –1.10
13 39 42 43 44 45 46 48 38 40

ARTÍCULO TÉCNICO ❘ Evidencias del efecto del creep en el comportamiento de las arcillas del Valle de México

Tiempo necesario para la disipación del exceso de presión de poro

Etapa 1

Consolidación primaria

Primera medición de Eeq y Mr

Segunda medición de de Eeq y Mr Tercera medición de de Eeq y Mr

24 horas 24 horas

Etapa 2 Etapa 3

Consolidación secundaria

Figura 4. Etapas de medición de los módulos Eeq y Mr durante el proceso de consolidación (García-Quirós et al., 2020).

Figura 5. Curva de compresibilidad de la muestra SS-16 M3-1 (García-Quirós et al., 2020).

Tabla 2. Características de la muestra SS-16 M3-1 (GarcíaQuirós et al., 2020)

Profundidad

Características de la muestra SS-16 M3-1

7.90-8.10 m

Contenido de agua (w) 247.70 %

Límite líquido

Límite plástico

Clasificación

γ

Gs

eo

Saturación

suelo, ya que es esencial para realizar análisis de respuesta sísmica y diseño de cimentaciones (figura 3a).

Según la norma ASTM D 3999, el módulo dinámico equivalente de Young (Eeq) se puede obtener de la siguiente manera:

Eeq = σd / ε

donde:

Eeq = módulo dinámico equivalente de Young (MPa)

ε = deformación unitaria axial recuperable (mm/mm)

σd = esfuerzo desviador (kg/cm2)

El módulo resiliente (Mr) permite predecir los esfuerzos recuperables (resilientes), las deformaciones y las deflexiones en un pavimento; asimismo, se utiliza en el diseño de los espesores de las estructuras de pavimentos. El módulo resiliente (figura 3b) se define como la magnitud del esfuerzo desviador repetido aplicado en compresión axial dividido entre el valor de la deformación axial recuperable. Por lo tanto, se tiene lo siguiente:

Mr = σd / εaxial recuperable

donde:

σ3 = esfuerzo principal menor (kg/cm2)

σ1 = esfuerzo principal mayor (kg/cm2)

σ d = esfuerzo desviador = σ 1 – σ 3 (kg/cm2)

ε = deformación axial recuperable

García-Quirós et al. (2020) realizaron pruebas triaxiales cíclicas a carga controlada en condiciones consolidadas no drenadas (CU), aplicando ondas de tipo senoidal para la determinación del módulo dinámico equivalente de Young ( E eq) y onda haversiana para la medición del módulo resiliente ( M r ). Los procedimientos con los cuales se midieron en laboratorio los módulos E eq y M r fueron los indicados en las normas ASTM D-3999 y AASHTO T-307, respectivamente. Para determinar la influencia del creep en la rigidez dinámica de un suelo compresible, en cada uno de los incrementos de esfuerzos efectivos aplicados se midieron los módulos Eeq y Mr. La primera medición se realizó al término de la etapa de la consolidación primaria

❘ Núm. 271
274.34%
87.07%
SUCS CH
m 1.22
t/m³
3.19
8.10
100%
∆V
t Relación de vacíos, e 9 8 7 6 1 10 100 Esfuerzo efectivo, σ (kPa)
3-1
'p=29 kPa
SS-16 M
σ
14 19 20 30 1 2 3 18 8 10 17

Módulo dinámico equivalente Young, Eeq (MPa)

40 35 30 25 20

Evidencias

del efecto del creep en el comportamiento de las arcillas del Valle de México

Etapa 1 Etapa 2

σ’=90 kPa

σ’=40 kPa descarga

σ’=60 kPa

σ’=07 kPa descarga

σ’=40 kPa

σ’=25 kPa

σ’=15 kPa

σ’=07 kPa

σ’p= 29 kPa

ym =1.22 g/cm3

ω = 247.70%

e0 = 8.10

Gs = 3.19

Sr = 97.70%

Ip = 187.28% Módulo de resiliencia, Mr (MPa)

σ’=90 kPa

σ’=40 kPa descarga

σ’=60 kPa

σ’=07 kPa descarga

σ’=40 kPa

σ’=25 kPa

σ’=15 kPa

σ’=07 kPa

Esfuerzo desviador, σd (kPa)

Etapa 3 Etapa 1 Etapa 2 Etapa 3

(etapa 1). Posteriormente, se continuó con el proceso de consolidación secundaria, manteniendo el mismo valor del esfuerzo efectivo aplicado. La consolidación secundaria se dividió en dos etapas: 24 horas (etapa 2) y 48 horas (etapa 3) posterior al término de la consolidación primaria. Al finalizar cada una de dichas etapas, se realizó la medición

de los módulos. En la figura 4 se muestra un diagrama que ejemplifica la forma en que se desarrolló la etapa de ensayes y medición de los módulos, además de las etapas en las que se realizó la consolidación primaria y secundaria. El procedimiento anterior se realizó para un total de ocho o nueve incrementos de esfuerzo efectivo, incluyendo etapas de carga y descarga de la curva de compresibilidad (figura 5). Los parámetros de la muestra ensayada se presentan en la tabla 2.

RESULTADOS

EXPERIMENTALES DEL ANÁLISIS

Para hacer el análisis de la influencia del creep en la rigidez dinámica de las arcillas, se establecieron relaciones entre los módulos y diferentes parámetros obtenidos durante la aplicación de los ensayes triaxiales, tales como el efecto del esfuerzo desviador (σd), la deformación unitaria (ε), esfuerzo efectivo de consolidación (σ›), esfuerzo de fluencia (σ’ P), relación de vacíos (e) e índice de plasticidad (IP).

σ ’p= 29 kPa

ym =1.22 g/cm3

ω = 247.70%

e0 = 8.10

Gs = 3.19

Sr =97.70%

Ip = 187.28%

En la figura 6 se muestra el comportamiento de los módulos vs. el esfuerzo desviador cíclico inducido. Para cada uno de los esfuerzos efectivos aplicados y en sus respectivas etapas de consolidación, de forma general se puede apreciar que, a medida que se aumenta el valor del esfuerzo desviador aplicado, se genera una degradación de los valores de los módulos. Este comportamiento es independiente del módulo, es decir, la degradación del módulo al aumentar el esfuerzo desviador ocurre tanto para el módulo dinámico equivalente de Young como para el módulo de resiliencia, y tanto para el tramo de carga como para el tramo de descarga en cada una de las probetas ensayadas.

En la figuras 6 y 7 se puede observar, además, que el efecto del creep en la rigidez dinámica de las arcillas del antiguo Lago de Texcoco es tal que tanto el módulo dinámico equivalente de Young ( E eq ) como el módulo de resiliencia ( M r) experimentan un incremento al comparar los valores obtenidos al término de la consolida -

Marzo - Mayo 2024
Figura 7. Curva σd vs. Mr, muestra SS-16 M 3-1 (García-Quirós et al., 2020) Figura 6. Curva σd vs. Eeq, muestra SS-16 M 3-1 (García-Quirós et al., 2020)
10 5 0 –2 0 2 4 6
20
15
8 10 12 14 16 18
40 35
25 20 15 10 5 0 –2 0 2 4 6 8 10 12 14 16 18 20
30
σ
Esfuerzo desviador,
d (kPa)
❘ ARTÍCULO TÉCNICO 15 39 42 43 44 45 46 48 38 40

ción primaria con los obtenidos durante la consolidación secundaria. Los valores de ambos módulos obtenidos durante la consolidación secundaria exceden cerca de un 20% los valores obtenidos durante la consolidación primaria.

COMENTARIOS GENERALES

La consolidación secundaria es un fenómeno que ocurre en los suelos finos saturados debido a las características viscosas de estos. Puede ejercer una influencia significativa en los asentamientos a mediano y corto plazo, causados por la aplicación de carga directa sobre el suelo y también por el incremento de esfuerzos efectivos que ocurren en la masa de suelo, debidos al bombeo agua de los acuíferos. Adicionalmente, la consolidación secundaria suele modificar las propiedades mecánicas de los suelos, y por lo tanto genera cambios en la respuesta dinámica de estos

Referencias

Adachi, T., y F. Oka (1982). Constitutive equations for normally consolidated clay based on elasto-viscoplasticity. Soils and Foundations 22(4): 57-70.

Adachi, T., y M. Okano (1974). A constitutive equation for normally consolidated clay. Soils and Foundations 14(4): 55-73.

Bjerrum, L. (1967). Engineering geology of Norwegian normally consolidated marine clays, as related to settlement of buildings. Géotechnique 17: 81-118.

Brinkgreve, R. B. J., et al. (2019). PLAXIS 2018. Manual de usuario.

Borja, R. I., y E. Kavazanjian (1985). A constitutive model for the stress-strain-time behaviour of ‘wet’ clays. Geotechnique 35(3): 283-298.

Buisman, A. S. (1936). Results of long duration settlement tests. Proceedings of the 1st International Conference on Soil Mechanics and Foundation Engineering F-7: 103-106. Cambridge.

García-Quirós, J. I., et al. (2020). Influence of secondary consolidation on the dynamic stiffness of a compressible soil (clays). Tecnología en Marcha 33: 227-242.

Geotec (2013). Estudios de exploración del subsuelo y pruebas de laboratorio en el terreno para atender la demanda de servicios aeroportuarios en el centro del país. México.

González, R. A., M. Mánica y E. Ovando Shelley (2021). Simulation of the time dependent behaviour of a test embankment on soft soil. Proceedings of the Institution of Civil Engineers Geotechnical Engineering 176(2): 178-193.

González, R. A. (2022). Modelo elastoviscoplástico anisótropo de consolidación y su implementación en Plaxis. Tesis de doctorado. Facultad de Ingeniería, División de Estudios de Posgrado. Universidad Nacional Autónoma de México.

Instituto de Ingeniería. Universidad Nacional Autónoma de México, II UNAM (2014-2015). Revisión y evaluación en geotecnia y estructuras para resolver la problemática del transporte aéreo en el centro del país. Informe técnico. Convenio de Colaboración ASAUNAM-13-002.

II UNAM (2016). Investigaciones y estudios especiales relacionados con aspectos geotécnicos del Nuevo Aeropuerto Internacional de la Ciudad de México (NAICM) en el vaso del ex Lago de Texcoco, Zona Federal. Informe técnico. México.

Jaime, A., y W. I. Paniagua (1993). Compresibilidad secundaria de arcillas. Un estudio comparativo. Simposio Envejecimiento de Suelos. Sociedad Mexicana de Mecánica de Suelos.

Jaime, A., y W. I. Paniagua (2021). Compresibilidad de arcillas, incluyendo compresión secundaria. Geotecnia 259: 16-33. Sociedad Mexicana de Ingeniería Geotécnica.

Jamiolkowski, M., et al. (1985). New developments in field and laboratory testing of soils: general report. Proceedings of the 11th International Conference on Soil Mechanics and Foundation Engineering: 587-590. San Francisco.

Ladd C. C., et al. (1977). Stress deformation and strength characteristics. Proceedings of the 9th International Conference on Soil Mechanics and Foundation Engineering: 421-494. Tokio.

Leonards, G. A. (1977). Discussion. Proceedings of the 9th International Conference on Soil Mechanics and Foundation Engineering: 384-386. Tokio.

Lerouil, S., et al. (1985). Stress-strain rate relation for the compressibility of sensitive natural clays. Géotechnique 35(2): 159-180.

Marsal, R. J. (1961). Estudio sobre la predicción teórica de asentamientos y presiones de poro en suelos saturados. Publicación 38. México: Instituto de Ingeniería, UNAM.

Mesri, G. (2001). Primary compression and secondary compression. Proceedings of the Symposium on Soil Behavior and Soft Ground Construction. Publicación especial 119: 122-166.

Oka, F. (1981). Prediction of time dependent behaviour of clay. Proceedings of 10th International Conference on Soil Mechanics and Foundation Engineering: 215-218. Tokio.

Ossa López, A. (2004). Modelo elastoviscoplástico (EVP) para el estudio de la consolidación unidimensional de suelos. Tesis de maestría. Facultad de Ingeniería, División de Estudios de Posgrado, UNAM.

Ovando Shelley, E., A. Ossa y M. P. Romo (2007). The sinking of Mexico City, its effects on soils properties and seismic response. Soil Dynamics and Earthquake Engineering 27: 333-343.

Ovando Shelley, E., et al. (2022). Aprendiendo de los sismos. Los sismos de septiembre de 2017. Cap. 4 Condiciones geotécnicas.

Paniagua, W. I. (1989). Compresibilidad de arcillas, incluyendo compresión secundaria. Tesis de maestría. Facultad de Ingeniería, División de Estudios de Posgrado, UNAM.

Romero, O. (2017). Evaluación comparativa del módulo dinámico y resiliente en las arcillas del ex Lago de Texcoco. Tesis de maestría. Programa de Maestría y Doctorado en Ingeniería, UNAM.

Sekiguchi, H. (1977). Rheological characteristics of clays. Proceedings of the 9th International Conference on Soil Mechanics and Foundation Engineering: 289-292. Tokio.

Sekiguchi, H. (1985). Macroscopic approaches-static-intrinsically time-dependent in constitutive laws of soils. Proceedings of the 11th International Conference on Soil Mechanics and Foundation Engineering: 66-98.

Sekiguchi, H., y H. Otha (1977). Induced anisotropy and time dependency in clays. Proceedings of the 9th International Conference on Soil Mechanics and Foundation Engineering 17: 229-238. Tokio.

Sukjle, L. (1969) Rheological aspects of soil mechanics. Londres: John Wiley & Sons.

Yin, J. H., y J. Graham (1989). Viscous-elastic-plastic modelling of one-dimensional time-dependent behaviour of clays. Canadian Geotechnical Journal 26(2): 199-209.

Yin, J. H, y J. Graham J. (1994). Equivalent times and one-dimensional elastic viscoplastic modelling of time-dependent stress-strain behaviour of clays. Canadian Geotechnical Journal 31(1): 42-52.

Yin, J. H., y J. Graham (1999). Elastic viscoplastic modelling of the time-dependent stress-strain behavior of soils. Canadian Geotechnical Journal 36(4): 736-745.

Zeevaert, L. (1986). Consolidation in the intergranular viscosity of highly compressible soils. Consolidation of soils: Testing and evaluation, ASTP STP 892.

Apreciamos su opinión e información sobre el tema de este artículo. Escríbanos a helios@heliosmx.org

❘ Núm. 271
ARTÍCULO TÉCNICO ❘ Evidencias del efecto del creep en el comportamiento de las arcillas del Valle de México 16 19 20 30 1 2 3 18 8 10 17

2024

16 al 18

Abril 12ª Conferencia internacional “Tunnel safety and ventilation”

Graz, Austria www.tunnel-graz.at

19 al 24

Abril World Tunnel Congress Shenzhen, China wtc2024.cn

6 al 9 Mayo 7º Simposio Internacional de Túneles y Lumbreras en Suelos y Rocas

Ciudad de México

www.smig.org.mx

30-31 Mayo 4º Simposio Internacional de Suelos No Saturados En línea

www.smig.org.mx

24 al 28

Junio IABMAS 2024

Copenhage, Dinamarca iabmas2024.dk

23 Agosto Octavas Jornadas

Luso-Españolas de Geotecnia

Lisboa, Portugal

semsig.org/8-jornadas-lusoespanolas-de-geotecnia-lisboa-23de-agosto-2024

26-30 Agosto 18ª Conferencia Europea de Mecánica del Suelo e Ingeniería Geotécnica

Lisboa, Portugal www.ecsmge-2024.com

3-7 Septiembre XXXII Reunión Nacional de Ingeniería Geotécnica

XXIII Reunión Nacional de Profesores de Ingeniería Geotécnica

Ciudad de México www.smig.org.mx

12-16 Noviembre XVII Conferencia Panamericana de Mecánica de Suelos e Ingeniería Geotécnica

La Serena, Chile panamgeochile2024.cl/es

Marzo - Mayo 2024
CALENDARIO Ir a TexTo CorrIdo 17 39 42 43 44 45 46 48 38 40

TESIS

Aprovechamiento y estudio de las propiedades geotécnicas de suelos naturales con fracciones de arcilla estabilizada químicamente con óxido de calcio

Tesis de Mario Édgar Amaya Navarrete

Para obtener el grado de doctor en Ingeniería Civil Programa de Maestría y Doctorado en Ingeniería.

Universidad Nacional Autónoma de México

Director: Eduardo Botero Jaramillo

La investigación se centra en el estudio de la estabilización química con óxido de calcio (CaO), cal viva, adicionado en la cantidad óptima a los suelos naturales compuestos por fracciones de arcilla para inducir la producción de reacciones puzolánicas, similares a los generados por el cemento Pórtland, que les permite su aprovechamiento en los proyectos de infraestructura civil.

La investigación aborda dos aspectos fundamentales para la comprensión de los efectos fisicoquímicos que se desarrollan por la estabilización química entre los minerales de arcilla y la cal adicionada; por una parte, los estudios químicos en términos de composición mineralógica, composición elemental, morfología y cementación; por otra parte, los estudios físicos en términos de parámetros geotécnicos. Se evalúan mezclas estabilizadas en laboratorio y mezclas procedentes de plataformas estabilizadas in situ . El estudio incluye los siguientes análisis y pruebas: de pH (Eades y Grim), de difracción de rayos X (DRX), de separación e identificación de los minerales de arcilla, de fluorescencia de rayos X (FRX), de microscopía electrónica de barrido (SEM), análisis termogravimétricos (TG/

DTG), de espectroscopía de rayos X de energía dispersiva (EDS) y pruebas de laboratorio de caracterización geotécnica, contenido de agua, densidad de sólidos, límites de Atterberg, tamaño de partícula, compactación, de resistencia CBR y expansión, de resistencia a la compresión no confinada (UCS), pruebas de módulo resiliente (Mr), triaxial tipo CU, pruebas de permeabilidad y de compresibilidad isótropa.

El conjunto de resultados obtenidos a corto y a largo plazo son consistentes con diversas investigaciones desarrolladas en escala mundial; por ejemplo, la estabilización propicia la disminución del contenido de agua y de la plasticidad, modifica los parámetros de compactación e induce el aumento significativo y paulatino de los parámetros de resistencia y mitiga los cambios volumétricos. La demanda de cal óptima para lograr la estabilización química y los cambios fisicoquímicos que ocurren por la producción puzolánica dependen del tipo y la cantidad de minerales de arcilla presentes en los suelos naturales.

Los resultados ponen en evidencia cambios físicos favorables que enriquecen el conocimiento de la aplicación de la estabilización de suelos naturales para fines de su aprovechamiento y promueven el desarrollo de más investigaciones para vincular la química de las reacciones puzolánicas con los efectos físicos que se evalúan en la ingeniería civil. Una contribución adicional es una propuesta de un protocolo para el diseño de mezclas estabilizadas con CaO

Revisión de la vulnerabilidad de la cimentación de la parroquia de San Nicolás Tetelco en la alcaldía Tláhuac, CDMX

Tesis de César Osvaldo Santillán Anastacio

Para obtener el grado de maestro en Ingeniería CivilGeotecnia

Escuela Superior de Ingeniería y Arquitectura.

Instituto Politécnico Nacional

Director: Félix Sosa Contreras

La parroquia de San Nicolás Tetelco presenta daños significativos que han sido documentados en diferentes reportes fotográficos y estudios estructurales y de mecánica de suelos. En estos trabajos previos se recomendó el procedimiento de mejoramiento de suelo por medio de in-

yecciones, con el fin de disminuir los posibles daños futuros. Se investigó la historia del templo reuniendo la mayor cantidad de información disponible; se revisó geotécnicamente la cimentación y se propuso una metodología para calcular las propiedades mecánicas del suelo mejorado.

Después se generaron dos modelos de elementos finitos en tres dimensiones, uno para el caso de condiciones iniciales y el otro para el caso de condiciones mejoradas. Finalmente, se determinó su vulnerabilidad de forma cuantitativa y cualitativa para comparar ambas condiciones de trabajo.

Lo anterior para complementar el proyecto de rehabilitación integral programado para la parroquia

❘ Núm. 271
RESEÑAS
Ir a TexTo CorrIdo 18 19 20 30 1 2 3 18 8 10 17

LIBROS

CONTENCIÓN, TRATAMIENTO Y MEJORAMIENTO DE SUELOS

Volumen 1

Walter I. Paniagua, editor

Sociedad Mexicana de Ingeniería Geotécnica, 2023

Esta obra presenta temas que se tratan frecuentemente en la aplicación de la ingeniería geotécnica. El contenido se ha dividido en cuatro partes: I) Contención de excavaciones, II) Refuerzo de suelos, III) Mejoramiento de suelos y IV) Control de agua. Los capítulos contie-

ESTRUCTURA Y MICROMECÁNICA DE MEDIOS GRANULARES

Gabriel Auvinet y Jesús Sánchez

Instituto de Ingeniería de la Universidad Nacional Autónoma de México y Sociedad Mexicana de Ingeniería Geotécnica, 2023

Para explicar y predecir el comportamiento de los materiales granulares se ha recurrido tradicionalmente a los conceptos de la mecánica de los medios continuos. Sin embargo, desde los inicios de la mecánica de suelos se señalaron las limitaciones de la hipótesis de continuidad para la descripción del comportamiento de estos materiales. Los resultados obtenidos que consideran tal hipótesis han sido aceptables en términos macroscópicos, pero no proporcionan una representación adecuada de la física de los medios granulares. La necesidad de una teoría específica para medios granulares considerados como agregados de elementos discretos es, por tanto, obvia. Los esfuerzos para desarrollar una teoría de este

DESIGN OF SHALLOW AND DEEP FOUNDATIONS

Lymon C. Reese, William M. Isenhower, Shin-Tower Wang Wiley, 2006

Design of shallow and deep foundations presenta un compendio amplio y actualizado de la ingeniería de cimentaciones partiendo de los conceptos básicos hasta el análisis de cimentaciones en suelos especiales. A diferencia de otras publicaciones del mismo tema, los autores presentan en sus últimos capítulos desarrollos novedosos para el análisis asistido por computadora, haciendo énfasis en metodologías para la evaluación de la interacción suelo-estructura.

Escrito por ingenieros destacados en el campo de las cimentaciones, el libro en sí representa un curso completo y

nen información actualizada, asociada con aspectos teóricos y prácticos, y además se incluyen ejemplos de aplicación que facilitan la comprensión al lector. El contenido refleja la experiencia y el profesionalismo de los autores, y se anticipa que las contribuciones vertidas en este libro serán una valiosa fuente de consulta para la comunidad de la ingeniería geotécnica, incluyendo constructores, diseñadores, investigadores, profesores y estudiantes

tipo han sido numerosos, pero solo parcialmente exitosos. En efecto, para tomar en cuenta explícitamente el carácter discontinuo de los medios granulares es necesario desarrollar un modelo descriptivo aceptable de su estructura, es decir, de su configuración geométrica, e introducir hipótesis realistas respecto a las interacciones mecánicas que se presentan entre sus elementos constitutivos. Ambos aspectos presentan dificultades considerables.

En este libro se recopilan y presentan los resultados de trabajos desarrollados principalmente en la Universidad Nacional Autónoma de México durante más de 50 años. Se pretende transmitir al lector la idea fundamental de que, para comprender mejor el comportamiento global de los medios granulares, resulta de gran utilidad entender los fenómenos que ocurren a la escala de las partículas.

El libro está dirigido principalmente a especialistas en geotecnia. Sin embargo, la información puede ser de interés para cualquier área del conocimiento que trate con medios granulares

detallado de cimentaciones superficiales y profundas; aborda los siguientes temas:

• Estudios previos, papel de la ingeniería geológica, fundamentos de mecánica de suelos y exploración del subsuelo.

• Principales tipos de cimentaciones, aspectos a considerar en el diseño de cimentaciones estables, teorías de capacidad de carga y cálculo de asentamientos.

• Principios para el diseño de cimentaciones, diseño de cimentaciones superficiales, diseño de cimentaciones profundas bajo carga axial y lateral.

• Cobertura sobre métodos analíticos asistidos por computadora y métodos para el análisis de interacción sueloestructura.

• Ejemplos de proyectos en los que las cimentaciones han fallado; presenta análisis de las causas de la falla.

• CD-ROM con una versión demostrativa de un software geotécnico adaptado para uso de los estudiantes en el aula

Marzo - Mayo 2024 RESEÑAS
Ir a TexTo CorrIdo 19 39 42 43 44 45 46 48 38 40

Modelado del mecanismo de

fractura

de

rocas provocado por explosivos mediante el método de elementos discretos

En este artículo se describe una metodología para simular el fracturamiento de rocas debido a la detonación de explosivos, además del área de influencia que tiene la explosión en el medio. Se utilizan modelos bidimensionales mediante el método de elementos discretos, recurriendo a un conjunto de partículas circulares unidas entre sí. Las voladuras y los daños en las rocas debidos a la propagación de ondas de esfuerzo se analizan utilizando la teoría de la mecánica del medio continuo.

El mecanismo del daño en el contorno de excavaciones en roca por voladuras se puede acotar a dos etapas. En la primera se disipan ondas de compresión y tensión que provocan la rotura del medio. En la segunda se expande un gran volumen de gases, amplificando la fragmentación del material y desplazando la roca. Para estimar las zonas fracturada y fragmentada se realizan análisis numéricos recurriendo al método de elementos discretos (MED). El medio rocoso se representa por un conjunto de partículas circulares unidas entre sí mediante un modelo de contacto cementado. La voladura se simula con un algoritmo de expansión de partículas.

A partir de las simulaciones se concluye que los resultados del MED son comparables con los de criterios analíticos de

daño en rocas. Asimismo, los modelos pueden reproducir diferentes comportamientos con el cambio de la curva presión-tiempo del explosivo. Además, se observa que la eficiencia del explosivo se ve afectada por el confinamiento del medio y la secuencia de detonación. También se observa una reducción del daño en el perímetro de una excavación con el uso de barrenos de guías en el contorno.

INTRODUCCIÓN

En la ingeniería de rocas, la energía de los explosivos se utiliza para realizar excavaciones. Durante la explosión se disipan ondas de choque y se liberan grandes volúmenes de gases a alta presión en un periodo muy corto (milésimas de segundo).

❘ Núm. 271
TEMA DE PORTADA ❘ ARTÍCULO TÉCNICO Ir a TexTo CorrIdo 20 19 20 30 1 2 3 18 8 10 17

Figura 1. Modelos de ensayes en roca intacta: a) prueba de compresión simple; b) prueba de tensión indirecta; c) ensaye triaxial.

Las ondas de choque generan esfuerzos, deformaciones y vibraciones que fragmentan y fracturan la roca; el nivel de rotura es mayor conforme el material está más cerca del punto de detonación (Fakhimi y Lanari, 2013).

Las voladuras invariablemente causan daños a la masa rocosa circundante a la excavación, y amenazan la estabilidad, el perímetro diseñado y la funcionalidad de las obras (Kumar et al., 2014); por tanto, se debe controlar y cuantificar el daño que causa la detonación en el macizo rocoso. El mecanismo de fracturamiento de la roca no se conoce bien, por lo que las técnicas para estimar el daño son en su mayoría empíricas (Bernaola et al., 2013).

El efecto que tiene la detonación en la roca comúnmente se engloba en tres zonas. En la primera (Rcrush), los esfuerzos de compresión pulverizan la roca alrededor del barreno, en un espacio aproximadamente de 3 a 7 veces el radio del barreno. En la segunda (Rcrack), la onda genera esfuerzos de tensión y crea fracturas radiales al punto de explosión; estas roturas continuarán propagándose si el esfuerzo de la onda de choque excede la resistencia de la roca, aproximadamente de 7 a 12 veces el radio del barreno. En la tercera, la energía de las ondas de esfuerzo decae debido a la mayor distancia respecto al punto de detonación, por lo que no se generan deformaciones permanentes (Oyanguren y Monge, 2004; Hoek y Brown, 1985). El daño en la roca se delimita por el cambio entre la segunda y la tercera zona.

Para simular el mecanismo de detonación y daño por voladura en la roca se han utilizado modelos computacionales; la mayoría de ellos son descripciones continuas del fenómeno basadas en leyes generalizadas de elasticidad junto con ecuaciones constitutivas del material. Los resultados de estos modelos son estimaciones del daño resultante de la onda de choque, pero no pueden calcular el movimiento y separación de los fragmentos de roca (Potyondy y Cundall, 1996).

En este artículo se describe una metodología para simular el fracturamiento de rocas debido a la detonación de explosivos, además del área de influencia que tiene la explosión en el medio. Se utilizan modelos bidimensionales mediante el método de elementos discretos, recurriendo a un conjunto de partículas circulares unidas entre sí. Las voladuras y los daños en las rocas debidos a la propagación de ondas de esfuerzo se analizan utilizando la teoría de la mecánica del medio continuo.

El análisis de los daños en rocas causados por explosivos se centra en la evolución de las grietas y la estimación de la zona fragmentada y fracturada de la roca, según los procesos que ocurren en microsegundos durante la explosión. Asimismo, el daño se cuantifica con base en la longitud de las fracturas desde el contorno de un barreno o de la sección de excavación (área de influencia de la voladura), además de la persistencia y densidad de las grietas.

BASES DEL DISEÑO DE VOLADURAS

Y TEORÍA DEL FRACTURAMIENTO EN ROCAS

En el MED, los materiales están conformados por cuerpos individuales, los cuales pueden ser rígidos o deformables; estos interactúan en zonas de contacto, lo que permite representar fenómenos discontinuos como agrietamiento, grandes desplazamientos y separación del medio (Cundall y Hart, 1992; Potyondy y Cundall, 2004). El macizo rocoso es un material discreto y el daño de la roca por voladura es un problema de desplazamiento de todo el material. Por lo tanto, el MED puede simular eficazmente la voladura en rocas.

Modelo de la roca intacta usando MED

El modelo de contacto junta plana o FJ (flat-joint) supone que la roca se comporta como un material granular cementado en el que la unión es deformable y puede romperse

Tabla 1. Parámetros de resistencia de roca intacta obtenidos mediante laboratorio y simulaciones

Marzo - Mayo 2024
❘ ARTÍCULO TÉCNICO ❘ TEMA DE PORTADA
Modelado del mecanismo de fractura de rocas provocado por explosivos...
Parámetro Laboratorio Simulación Er (%) E 18.7 × 109 (Pa) 18.5 × 109 (Pa) 1.08 ν 0.24 0.24 0 σusc 87.6 × 106 (Pa) 84.3 × 106 (Pa) 3.91 σt 6.7 × 106 (Pa) 6.69 × 106 (Pa) 0.15 x a b c y 21 39 42 43 44 45 46 48 38 40

(completa o parcialmente). Proporciona una interfaz entre dos superficies cementadas planas teóricas que se encuentran conectadas rígidamente a una porción de las partículas que están en contacto.

El comportamiento de un elemento enlazado por FJ es elástico lineal con resistencia al cortante y a la tensión. Cuando estas son superadas, el elemento pasa a un comportamiento con solo resistencia a la fuerza cortante en el deslizamiento (no cementado). Cada contacto admite una fuerza y un momento. Toda la interfaz del contacto FJ tiene una respuesta fuerza-desplazamiento que surge de la unión de todos sus elementos cementados y su evolución al estado no cementado.

Este modelo de comportamiento puede reproducir ángulos de fricción en el material mayores a 30°, relaciones entre la resistencia a la compresión y a la tensión mayores a 6, representar daños parciales en el material (los contactos pueden romperse parcialmente) e incremento en la resistencia del material con el aumento del confinamiento (Potyondy, 2015; Castro-Filgueira et al. , 2017; Matías, 2016). Debido a esto, el FJ representa una herramienta para

la ingeniería de rocas, por lo que se implementó en este trabajo.

En los modelos de medio continuo, las propiedades de entrada se pueden tomar directamente de mediciones realizadas en laboratorio. Por otro lado, en el modelo de contacto juntaplana en el MED, el comportamiento de la roca se representa a partir de las interacciones de los microcomponentes (granos y cemento), cuyas propiedades (conocidas como propiedades de los contactos) comúnmente no se conocen. La relación entre los parámetros del modelo y las del material se encuentra a partir de un proceso de calibración iterativo don-

de las propiedades de los contactos se ajustan para reproducir las propiedades macroscópicas del material objetivo medidas en pruebas de laboratorio (Potyondy, 2017). En este trabajo, las propiedades del modelo de contacto FJ fueron calibradas a partir de pruebas de compresión y brasileñas, proporcionadas por el Laboratorio de Mecánica de Rocas de la Comisión Federal de Electricidad.

Los modelos bidimensionales empleados para pruebas de compresión simple y triaxiales (figura 1 a y c) son rectangulares, de 0.06 × 0.14 m, con 6,598 partículas. En las simulaciones de los ensayes de tensión indirecta o brasileños (figura 1b) son circulares, de 0.06 m de diámetro, y contienen 2,309 partículas. En todos los modelos, el tamaño de los granos obedece a una distribución uniforme de radios entre 7.6 × 10-4 y 4.58 × 10-4 m.

El modelo se calibró de acuerdo con el algoritmo iterativo descrito por Potyondy (2015); después de este procedimiento se llegó a los siguientes valores:

• Partícula/contacto lineal: densidad de grano = 2,340 kg/m3; módulo efectivo = 20.5 GPa; coeficiente de fricción = 0.4; relación de rigidez = 2.3.

• Cementante/contacto junta-plana: módulo efectivo del cementante 20.5 GPa; relación de rigidez del cementante = 2.3; resistencia a la tensión del cementante = 8.8 MPa; cohesión del cementante = 59.98 MPa; ángulo de fricción del cementante = 40°.

En la tabla 1 se comparan los parámetros de resistencia promedio de la roca obtenidos en las simulaciones y en el laboratorio, con un rango de error relativo de 0 a 4% en todos los resultados; con esto se considera una calibración adecuada. Asimismo, en la figura 2 se comparan los ajustes al criterio de Hoek-Brown de los resultados de las pruebas de compresión (simuladas y de laboratorio). De las curvas se puede concluir que el modelo de contacto flat-joint representa con precisión el comportamiento resistente en diferentes confinamientos de la roca probada.

❘ Núm. 271
Figura 2. Ajuste del criterio de Hoek-Brown de los resultados de compresión. Figura 3. Diagrama de la aplicación de la carga explosiva.
Simulación σ 1 (MPa) 500 400 300 200 100 0 0 10 20 30 40 50 60 σ3 (MPa) Cavidad de la voladura Partículas de roca Partícula explosiva Expansión de la partícula explosiva Partículas de roca desplazadas r0 dr TEMA DE PORTADA ❘ ARTÍCULO TÉCNICO ❘ Modelado del mecanismo de fractura de rocas provocado por explosivos... 22 19 20 30 1 2 3 18 8 10 17
Laboratorio

Modelado del mecanismo de fractura de rocas provocado por explosivos...

Simulación de la propagación de ondas en el MED

Para verificar que el modelo calibrado realizará una adecuada representación de la propagación de ondas, en los modelos de las probetas de ensayes de compresión se aplicó un impulso senoidal en un extremo, y en el otro se interpretó la velocidad de propagación de la onda longitudinal, cuyo valor también se obtuvo teóricamente. Estos se compararon con los medidos en el laboratorio (prueba sónica). El error relativo de la velocidad de la onda P entre el valor de la simulación y el valor de laboratorio fue del 3.1% y entre el valor teórico y el valor del laboratorio fue del 22.1%.

Debido al carácter discontinuo del MED, se puede representar el fenómeno de reflexión de ondas. En este trabajo se utilizan condiciones de contorno viscosas que reducen o eliminan la influencia de las ondas reflejadas en el contorno del modelo (Lysmer y Kuhlemeyer, 1969). La condición se aplica como una fuerza en el centro de las partículas que forman parte del borde del modelo cuidando que el número de granos seleccionados sea lo suficientemente grande para no tener espacios sin condición viscosa en el contorno (ecuación 1).

Fvis= −ρrCvn ( Lrn ∑iNnri ) (1)

donde Fvis es la fuerza absorbente, C es la velocidad de la onda, ρr es la densidad de la roca, vn es la velocidad que adquiere la n-partícula, Lr es la longitud de la frontera, rn es el radio de n-partícula y Nn es el número de partículas de contorno. En el modelo más grande empleado en este trabajo (12 m × 12 m) se realizaron simulaciones de propagación de onda

para verificar que el uso de las condiciones de frontera fuera la adecuada y analizar el comportamiento de la propagación de ondas en diferentes partes del modelo, así como posibles cambios en la velocidad de la onda P, ya que la onda pasa por más espacios vacíos que disminuyen su velocidad.

La velocidad de propagación de las ondas en el modelo fue de 3,210 m/s en todos los puntos de medición, lo cual es razonable teniendo en cuenta que el material simulado tiene las mismas condiciones físicas y mecánicas en todas las direcciones. En el caso de la condición de frontera funcionó correctamente, representando un medio infinito y eliminando la reflexión de onda en los bordes del modelo.

APLICACIÓN DE LA CARGA EXPLOSIVA

Simulación de la carga explosiva

Inmediatamente después de la detonación del explosivo, la onda de choque provoca un intenso fracturamiento en los contornos de la perforación y genera una zona pulverizada cercana al punto de detonación; después un gran volumen de gases se expande a través de las grietas existentes, amplifica el fracturamiento y fragmentación del material y el desplazamiento de la roca.

La simulación del efecto de explosión en modelos de partículas cementadas se puede representar mediante dos métodos. En el primero, la energía del choque y la energía del gas se simulan por separado. La presión de choque se aplica indirectamente a las partículas en el límite del barreno mediante una velocidad inicial, que se calcula utilizando la ley de conservación del momento. Luego, en los enlaces rotos (fracturas) que tienen contacto con el barreno, ya sea

Figura 4. Propagación de la onda de esfuerzo en un medio sin discontinuidades: a) efecto de la onda sin caras libres; b) efecto de la onda con una cara libre.

Marzo - Mayo 2024
a) 0.1 ms 0.25 ms 0.5 ms 0.75 ms 1 ms 2 ms Magnitud de fuerza de contacto 1.0000E+05 9.0000E+04 8.0000E+04 7.0000E+04 6.0000E+04 5.0000E+04 4.0000E+04 3.0000E+04 2.0000E+04 1.0000E+04 0.0000E+00 6 m 6 m b) 0.1 ms 0.5 ms 1 ms 3 ms 5 ms 10 ms Cara libre Cara libre Cara libre Cara libre Cara libre Cara libre Magnitud de velocidad de bola 1.0000E+01 9.0000E+00 8.0000E+00 7.0000E+00 6.0000E+00 5.0000E+00 4.0000E+00 3.0000E+00 2.0000E+00 1.0000E+00 0.0000E+00 10 m 8 m
❘ ARTÍCULO TÉCNICO ❘ TEMA DE PORTADA 23 39 42 43 44 45 46 48 38 40

directamente o porque forman una red de grietas, donde algunas están en contacto con el barreno, se aplican fuerzas perpendiculares y opuestas a la dirección de la fractura, que son equivalentes a la presión del gas (Yang et al., 2019).

En el segundo método de simulación se recurre a un algoritmo de expansión de partícula; en él se genera una partícula explosiva en el punto de detonación, la cual expande su diámetro instantáneamente. Durante la expansión, se crea una superposición entre la partícula explosiva y las partículas circundantes. Como las partículas y los contactos se consideran rígidos, se generan fuerzas y momentos que empujan las partículas circundantes en dirección contraria al punto de explosión (Zehua et al., 2020; Xue et al., 2022). Comparado con el primero, este método de simulación requiere menor capacidad de cómputo y tiempo de simulación, lo que permite realizar análisis representativos en modelos de más de un barreno, incluyendo plantillas de barrenación; por estas razones, en este trabajo se utiliza el algoritmo de expansión de partículas.

Las fuerzas generadas por la expansión y superposición de la partícula explosiva deben ser equivalentes a la presión producida por la voladura en el contorno del barreno. La ecuación 2 calcula la presión de la explosión en las paredes del barreno (Pb), considerando el estado de expansión adiabática de los explosivos y el cambio de presión por cargas desacopladas.

Pb= (ρe)(v2 d) 8 ( Rc Rb) 2(r) (2)

donde Rb y Rc son el radio del barreno y el radio de la carga, respectivamente (mm), r es el exponente de expansión adiabática (en promedio de 1.5), vd es la velocidad de detonación y ρe es la densidad del explosivo (kg/m3).

Para calcular la expansión de la partícula explosiva (figura 3), se supone una partícula con un radio inicial (r0); esta se expande hasta alcanzar las paredes del barreno, lo que gene-

ra presión sobre las partículas del contorno del barreno (Pbd). La ecuación 3 y 4 determinan la rigidez (kne) de la partícula explosiva y el factor de expansión (dr) (Zehua et al., 2020). La densidad del explosivo utilizado es de 1.250 kg/m3 y su velocidad de detonación es de 5.200 m/s; estos valores se mantienen constantes para todas las simulaciones.

dr = Pbd*2*r0 *π kn y kne = 2*Pbd*(rmax + rmin)*π rmax – rmin (3 y 4)

donde rmax y rmin son el radio máximo y mínimo que tendrá la partícula explosiva.

El comportamiento de la presión de explosión es función del tiempo; de acuerdo con este, la detonación es ideal o no ideal. La detonación ideal corresponde a explosivos que generan en mayor medida energía de choque (alto explosivo), donde el tiempo de incremento a la presión máxima de detonación (tr) es muy corto y la caída de presión es muy rápida. La detonación no ideal corresponde a explosivos que producen mayor energía de gas, donde el tiempo de subida hasta la presión máxima de detonación es mayor y la caída de presión es lenta (en comparación con la detonación ideal). En este trabajo, el comportamiento presión-tiempo se representa con una función exponencial y se usó un tr de 2 ms (Yilmaz y Unlu, 2013).

Verificación del modelo de la explosión

En la detonación de un barreno en un medio sin discontinuidades, la onda se expande de forma esférica, y a medida que se aleja del punto de explosión se debilita gradualmente. En caso de tener cara libre, se forma un cráter con apertura en dirección a la zona libre y la expansión del material será en el mismo sentido (Saharan et al., 2006).

La figura 4a muestra la fuerza en los contactos después de la detonación de un barreno en el centro de un modelo sin caras libres. Se observa que, a medida que pasa el tiempo, la onda es transmitida radialmente y se atenúa conforme se aleja del punto de detonación, es decir, se forman ondas de esfuerzo. La figura 4b muestra la velocidad de las partículas después de la detonación de un barreno ubicado a 0.5 m de la cara libre. Se aprecia que el material es desplazado hacia la cara libre y forma un cráter con abertura en dirección a ella.

En comparación con otros métodos de simulación, el algoritmo de expansión de partículas distribuye las fuerzas provocadas por la voladura de manera esférica. Sin embargo, los efectos de la onda de choque y la energía de gas no se pueden reflejar por separado. Para verificar la fiabi-

❘ Núm. 271
la
(MPa) 120.0 100.0 80.0 60.0 40.0 20.0 0.0 0 1 2 3 4 5 6 7 Distancia al punto de explosión (m) Valor teórico Valor numérico TEMA DE PORTADA ❘ ARTÍCULO TÉCNICO ❘ Modelado del mecanismo de fractura de rocas provocado por explosivos... 24 19 20 30 1 2 3 18 8 10 17
Figura 5. Curva de atenuación de la onda de esfuerzo.
Esfuerzo máx. de
ona

50 microsegundos

100 microsegundos 150 microsegundos 1000 microsegundos

lidad del método, se simula una detonación en un barreno situado en un modelo de 5 m × 10 m, con monitoreo de esfuerzo radial a cada 0.5 m en dirección longitudinal desde el punto de explosión. Con ello se obtiene la curva de atenuación de la onda de choque, la cual fue comparada con la curva obtenida mediante la ley de atenuación de la onda de choque (ecuación 5).

σr = Pb ( R d )(−α)

donde σr es el esfuerzo radial pico, R es el radio del barreno, d es la distancia desde el barreno al punto de medición y α es el coeficiente de atenuación de presión.

En la figura 5 se observa que los valores numéricos de esfuerzos máximos están relativamente cerca de los valores teóricos, lo que muestra la viabilidad de simular voladura de rocas mediante un algoritmo de expansión de partículas.

RESULTADOS DE LAS SIMULACIONES

La metodología anteriormente descrita se aplicó en diferentes tipos de simulaciones de voladura, ya sea en un barreno o en una plantilla de barrenación. Se analiza la influencia del estado de confinamiento en el material, el tiempo de elevación a la presión máxima de detonación, el daño en la roca (cuantificado por el Rcrush y el Rcrack ), la influencia de la separación entre barrenos, la respuesta de la roca a diferentes secuencias de detonación y los cambios en la calidad del contorno de la excavación con diferentes arreglos de barrenos perimetrales.

En todos los modelos, las líneas rojas representan fisuras (contactos total o parcialmente rotos) y los espacios en blanco representan zonas vacías o cavidades provocadas por la voladura (zonas sin partículas o con partículas desprendidas del conjunto cementado).

Influencia del tiempo de aumento a la presión

máxima de detonación (tr)

Se simuló la detonación de un barreno en un modelo de 3 m × 3 m con seis diferentes comportamientos presión-tiempo. En la figura 6 se observa que, a pesar de ser el mismo explosivo y simularse de la misma manera, la presión máxima de detonación disminuye y el tiempo de caída de presión es más corto a medida que aumenta el tiempo de incremento a la presión máxima de detonación (tr).

La figura 7 muestra el cambio en R crack con los diferentes t r . A medida que el t r aumenta, el R crack es mayor, y por lo tanto también aumenta el número de contactos dañados. Por otro lado, en la figura 8, el R crush disminuye a medida que el t r aumenta. Esto muestra que conforme el tiempo de aumento a la presión máxima es más largo, la detonación cambia de ideal a no ideal. Es decir, en t r cortos se ven mayores efectos de la energía de choque (grandes cavidades y fracturas abiertas), mientras que en t r más largos los efectos se deben a la energía de gas (grandes áreas de fisuras).

Daños en un barreno y comparación con métodos tradicionales de análisis de daños por voladuras Se simula la detonación de un barreno en un modelo de 3 m × 3 m con diferentes estados de confinamiento isotrópico y se compara el daño en el contorno del barreno con los criterios de Dai (2002), Kumar et al. (2016) y Konya (1990). Los tres últimos son criterios para estimar la velocidad pico de las partículas (vpp) a diferentes distancias del punto de detonación; en ellos solo se calculó el Rcrack mediante la estimación de la vpp crítica.

La figura 9 muestra que la presencia de confinamiento influye significativamente en la extensión de las fracturas, ya que esta disminuye un 25% del modelo sin confinamiento a la simulación con 10 MPa de confinamiento. Por otro lado, la eficiencia del explosivo es menor a medida que aumenta el estado de esfuerzos, ya que la zona de fragmentación, la extensión de fracturas y el porcentaje de contactos dañados disminuyen a medida que aumenta el confinamiento.

Comparando el Rcrack (figura 9) estimado por MED y por métodos tradicionales, la zona fracturada calculada por los métodos tradicionales da valores superiores cuando hay condición de estado de esfuerzo; sin embargo, no superan la extensión de fracturas cuando no existe confinamiento en las simulaciones.

Marzo - Mayo 2024
Presión
del
(GPa) 6 5 4 3 2 1 0 0 0.1 0.2 0.3 0.4 0.5 0.6 0.7 0.8 0.9 1.0 1.1 1.2 Tiempo (ms)
Figura 6. Tiempo de subida a presión máxima (simulación numérica)
de la pared
barreno
10 microsegundos 20 microsegundos
❘ ARTÍCULO TÉCNICO ❘ TEMA DE PORTADA 25 39 42 43 44 45 46 48 38 40
Modelado del mecanismo de fractura de rocas provocado por explosivos...

Influencia de la secuencia de detonación entre plantillas de barrenación

Se realizaron cuatro simulaciones en una plantilla de barrenación con diferentes secuencias de detonación. El modelo mide 12 m × 12 m y tiene 263,578 partículas; se impuso un esfuerzo vertical de 10 MPa y un esfuerzo horizontal de 15 MPa (figura 10). Los retardos entre detonaciones fueron de 25 ms.

La simulación a (figura 10b) se realizó detonando todos los barrenos al mismo tiempo. En la simulación b, los barrenos fueron detonados según la numeración indicada en la figura 10c, empleando una técnica de precorte. La simulación c se hizo con la misma secuencia que la simulación b, con la diferencia de que los barrenos de contorno fueron disparados al final (técnica de poscorte). En la simulación d también se empleó una técnica de poscorte utilizando la secuencia indicada por la numeración de la figura 10d; en ella se utilizan más retardos para permitir la salida del material por barreno o por zona, de manera que se obtenga una excavación completa de la sección y evitar pérdida de la energía de la explosión en vibración.

La figura 11a muestra la simulación a después de detonar todos los barrenos al mismo tiempo; el modelo indica que la voladura no logró la excavación de la sección, así como rotura entre barrenos. Además, las fisuras en la sección de excavación fueron menos en comparación con las demás simulaciones; sin embargo, se presentó un mayor número de fisuras en la zona circundante de la sección.

En la figura 11b se presenta la simulación b (técnica de precorte) después de la voladura. En ella se obtuvo una excavación deficiente, ya que la zona inferior de la sección no se excavó. Las fracturas se extendieron en promedio hasta 0.83 m en dirección horizontal y 0.56 m en dirección vertical, desde el contorno diseñado de la excavación. Es decir, fueron más persistentes en sentido del esfuerzo principal mayor (sentido

❘ Núm. 271
Figura 9. Rcrack para diferentes análisis de daños por voladura. Figura 7. Rcrack para diferentes tr
Rcrack (m) 1.5 1.0 0.5 0.0 10 20 50 100 150 1000 Tiempo, tr (µs) 15 10 5 0 Contactos dañados (%) Rcrack Rcrush (cm) 16 14 12 10 8 6 4 2 0 10 20 50 100 150 1000 Tiempo, tr (µs) Rcrush Rcrush Distancia (m) 2.5 2 1.5 1 0.5 0 MED (0 Mpa) MED (10 Mpa) MED (20 Mpa) MED (30 Mpa) MED (40 Mpa) MED (50 Mpa) Dai (2002) Kumar (2016) Konya (1990) MED (vpp ) Rcrack TEMA DE PORTADA ❘ ARTÍCULO TÉCNICO ❘ Modelado del mecanismo de fractura de rocas provocado por explosivos... 26 19 20 30 1 2 3 18 8 10 17
Figura 8. Rcrush para diferentes tr

Modelado del mecanismo de fractura de rocas provocado por explosivos... ❘ ARTÍCULO TÉCNICO

a) Modelo

b) Sin retardos

c) Precorte d) Poscorte

Barreno con carga

a) Detonación sin retardos

c) Poscorte con 5 retardos

Barreno sin carga

Barreno con carga

b) Precorte con 5 retardos

d) Poscorte con 14 retardos

horizontal). Asimismo, las fracturas y fragmentos generados por esta simulación fueron menores a los de las simulaciones c y d

La figura 11c muestra la excavación generada por la simulación c. Se observa un contorno con grandes bloques (piso y paredes o tablas) y áreas que no fueron completamente excavadas. En el caso de las fracturas, estas se extendieron aproximadamente hasta 0.63 m del contorno de diseño de la excavación; no obstante, fueron más persistentes en el perímetro de la sección.

En la simulación d (figura 10d) se obtuvo una excavación completa de la sección; sin embargo, el contorno de la obra fue irregular y presentó grandes bloques sin desprenderse, principalmente en las tablas y el piso. Las fracturas generadas se extendieron aproximadamente 0.48 m fuera del

perímetro diseñado de la excavación, con mayor persistencia en sentido tangencial de la sección.

Influencia de la secuencia de detonación entre plantillas de barrenación

En el modelo utilizado para analizar la secuencia de detonación, se usó una plantilla de barrenación con tres diferentes condiciones de contorno; asimismo, en este análisis se utilizó la secuencia de la simulación d, debido a que tuvo los mejores resultados. En la figura 12 se presentan los tres arreglos de barrenos de contorno. El primer caso está diseñado según las fórmulas empíricas de Konya (1990); en el segundo caso se añaden perforaciones sin carga entre los barrenos cargados en las paredes y el piso; en el tercer caso, los barrenos sin carga del caso anterior se cargan con explosivo.

Marzo - Mayo 2024
Figura 10. Modelo de plantilla de barrenación con diferentes secuencias de detonación. Figura 11. Modelo después de la voladura con diferentes secuencias de detonación.
27 39 42 43 44 45 46 48 38 40
❘ TEMA DE PORTADA

Barreno adicional con carga Caso

La figura 13 muestra los tres modelos después de detonar sin fragmentos o elementos que se separaron por completo del cuerpo de la roca. En el primer modelo (caso 1) se aprecia un contorno no uniforme, donde no se conserva un tramo regular de la excavación; además, se observan grandes bordes sin despegarse del perímetro de la sección. En el caso 2, no hay bloques grandes en el contorno de excavación, lo que significa que es una obra funcional. Sin embargo, el contorno es poco uniforme, principalmente en el suelo. El fracturamiento y la fragmentación tuvo mayor densidad en la dirección de la cara libre, a diferencia del caso 1. En el tercer caso, al igual que en el segundo, no existen grandes bloques en el contorno de excavación; además, se aprecia un perímetro uniforme (en las paredes y el piso de la sección), e incluso se observa la mitad del barreno (media caña), lo que indica una buena voladura. La fragmentación y fracturamiento no tuvo cambios notables con respecto al caso 2.

CONCLUSIONES

El método de elementos discretos puede simular el fracturamiento de materiales, grandes desplazamientos, relaciones entre las resistencias a compresión y tensión mayores a 6, un

aumento de la resistencia al aumentar el confinamiento y la resistencia residual, por lo que se considera una herramienta valiosa para ingeniería de rocas.

El análisis de la respuesta de un medio formado por MED a impulsos controlados permitió observar que estos modelos pueden representar la propagación de ondas, la atenuación de la energía de las ondas y reproducir el fenómeno de reflexión de las ondas.

Con base en el error relativo obtenido de la comparación entre las mediciones de velocidad de propagación de ondas de laboratorio con las de MED y las calculadas con la teoría continua, se concluye que los modelos discontinuos representan una mejor aproximación que las teorías de medio continuo.

Comparando los resultados del monitoreo de la velocidad de la onda de esfuerzo en la simulación de voladura con los valores obtenidos mediante la ley de atenuación de la onda de esfuerzo, se concluye que el fenómeno de detonación en el medio puede representarse mediante la expansión de partículas.

Las simulaciones de voladuras mediante MED pueden analizar daños en rocas con diferentes tiempos de ascenso a

❘ Núm. 271
Figura 13. Secciones excavadas de los diferentes casos de arreglos de contorno. Figura 12. Plantilla de barrenación con tres diferentes condiciones de contorno.
Caso 1
Caso 2
Caso 3
1
2
3
Caso
Caso
28 19 20 30 1 2 3 18 8 10 17
TEMA DE PORTADA ❘ ARTÍCULO TÉCNICO ❘ Modelado del mecanismo de fractura de rocas provocado por explosivos...

Modelado del mecanismo de fractura de rocas provocado por explosivos...

la presión máxima de detonación, confinamiento, distancia entre barrenos y diferentes secuencias de detonación.

El aumento del tiempo de ascenso a la presión máxima de detonación (tr) influye directamente en el cambio de una detonación ideal a una no ideal, por lo que el daño al material será diferente, incluso cuando se simulen explosivos con las mismas propiedades físicas. Por tanto, para obtener resultados correctos, es importante conocer la tr del explosivo. A medida que aumenta el tiempo de ascenso, la zona de fractura aumenta y la zona de fragmentación disminuye.

Mediante simulaciones de voladuras con diferentes estados de esfuerzo, se observó que el confinamiento al que está sometida la roca influye en la eficiencia del explosivo. Cuanto mayor es el confinamiento, más pequeñas son las zonas de fractura y fragmentación provocadas por la voladura.

Según las simulaciones con plantillas de barrenación, las voladuras subterráneas con técnicas de precorte presentan mayor fracturamiento en la dirección del esfuerzo principal mayor. Por otro lado, las voladuras con técnica de poscorte son más eficientes, porque teóricamente, al tener un espacio vacío en el centro, el esfuerzo principal menor es radial y el esfuerzo principal mayor es tangencial a la excavación. Las fracturas se abren fácilmente en dirección perpendicular al esfuerzo principal menor, y por lo tanto el agrietamiento se concentra entre los barrenos de contorno.

Con los resultados de las diferentes secuencias de detonación, se concluye que el MED permite analizar plantillas de barrenación con diferentes secuencias de detonación. Mediante estas simulaciones también se pone en evidencia que los retardos influyen en la calidad de la excavación. La secuencia que permitió la detonación desde el centro del túnel hasta el borde con mayor número de retardos entre disparos tuvo una sección mejor excavada.

La implementación de una cara libre en una voladura genera un mayor fracturamiento y fragmentación en dirección de esta, debido al fenómeno de reflexión de onda. Por otra parte, en las diferentes condiciones de barrenos de contorno, se obtuvieron secciones con diferente uniformidad en el perímetro, congruentes con la realidad, con lo cual se puede plantear el empleo del DEM para el diseño de plantillas de barrenación.

Los resultados ponen en evidencia que el modelado de voladuras mediante MED puede ser una buena alternativa para el diseño de plantillas de detonación y la predicción de la propagación de grietas por explosivos. El enfoque de esta investigación es prometedor para esta clase de problemas de fractura de rocas. En investigaciones futuras será importante comparar las predicciones del modelo con casos reales medidos en campo, así como refinar la metodología de modelado para incorporar más mecanismos subyacentes a los procesos físicos, así como incorporar modelos tridimensionales para analizar efectos como el lanzamiento del material al frente de la excavación, pérdidas de energía de onda y volúmenes de gases, el acomodo de la carga de columna y evaluar la resistencia y el estado de esfuerzos en tres direcciones

Referencias

Bernaola, J., et al. (2009). Perforación y voladura de rocas en minería Madrid: Universidad Politécnica de Madrid.

Castro-Filgueira, U., et al. (2017). Sensitivity analysis of the microparameters used in a PFC analysis towards the mechanical properties of rocks. Procedia Engineering 191: 488-495.

Cundall, P., y R. Hart (1992). Numerical modelling of discontinua. Engineering Computations 9: 101-113.

Dai, J. (2002). Rock dynamics and blasting theory. Beijing: Metallurgical Industry Press.

Fakhimi, A., y M. Lanari (2013). DEM-SPH simulation of rock blasting Londres: McGraw Hill.

Hoek, E., y E. Brown (1985). Underground excavations in rock. Londres: McGraw Hill.

Konya, C., (1990). Manual de perforación. Esing.

Kumar, H. V. et al. (2014). Blast induced damage to surrounding rock mass underground excavation. Journal of Geological Resource and Engineering 2: 13-19.

Kumar, R., D. Choudhury y K. Bhargava (2016). Determination of blast-induced ground vibration equations for rocks using mechanical and geological properties. Journal of Rock Mechanics and Geotechnical Engineering 8(3): 341-349.

Lysmer, J., y R. Kuhlemeyer (1969). Finite dynamic model for infinite media. Journal of Engineering Mechanics 95: 859-877.

Matías, J. (2016). Comparación de modelos de elementos discretos aplicados al comportamiento de roca intacta. Santiago: Universidad de Chile.

Oyanguren, P. R., y L. A. Monge (2004). Mecánica de rocas: Fundamentos e ingeniería de taludes. Madrid: Universidad Politécnica de Madrid.

Potyondy, D. (2015). The bonded-particle model as a tool for rock mechanics research and application: current trends and future directions. Geosystem Engineering 18: 1-28.

Potyondy, D. (2017). Material-modeling support in PFC [fistPkg25] Minneapolis : Itasca Consulting Group. Technical Memorandum ICG77.

Potyondy, D., y P. Cundall (1996). Modeling of shock and gas driven fractures induced by a blast using bonded assemblies of spherical particles. Minneapolis: Itasca Group.

Potyondy, D., y P. Cundall (2004 ). A bonded-particle model for rock. International Journal of Rock Mechanics and Mining Sciences 8(41): 1329-1364.

Saharan, M., et al. (2006). Rock fracturing by explosive energy: review of state of-the-art. International Journal for Blasting and Fragmentation 10: 61-81.

Sun, C. (2013). Damage zone prediction for rock. Utah: Universidad de Utah.

Xue, Y., et al. (2022). Rupture of rock with discontinuities under blasting disturbance: Insights from discrete element method modeling. Simulation Modelling Practice and Theory 116.

Yang, J., et al. (2019). Numerical simulation of column charge explosive in rock masses with particle flow code. Granular Matter 21.

Yilmaz, O., y T. Unlu (2013). Three dimensional numerical rock damage analysis under blasting load. Tunnelling and Underground Space Technology 38: 266-278.

Zehua, Z., et al. (2020). Numerical simulation of rock mass blasting using particle flow code and particle expansion loading algorithm. Simulation Modelling Practice and Theory 104: 102-119.

La Asociación Internacional de Mecánica de Rocas otorgó a este artículo el Best Paper Award en la categoría general, en el Simposio Latinoamericano de Mecánica de Rocas 2022 en Asunción, Paraguay.

Apreciamos su opinión e información sobre el tema de este artículo. Escríbanos a helios@heliosmx.org

Marzo - Mayo 2024
❘ TEMA DE PORTADA 29 39 42 43 44 45 46 48 38 40
❘ ARTÍCULO TÉCNICO

Presas de enrocamiento con cara de concreto en México, 1920-1960

Existen evidencias de que la humanidad empezó a construir presas desde hace 5,000 años, con los primeros diques en Mesopotamia. Las técnicas de construcción fueron perfeccionándose mediante la prueba y el error, empleando diversos materiales y procedimientos. El uso de tierra y rocas complementadas con ramas y madera tuvo cierto éxito, al igual que las mamposterías con diversas argamasas. En todos los casos, el objetivo era almacenar agua y que la estructura durara y resistiera las condiciones climáticas y las avenidas.

La mayoría de las presas construidas están conformadas con las llamadas cortinas flexibles o de terraplén (Murillo, 2012a), las cuales tienen subdivisiones debidas a la composición interna de su cuerpo. Entre ellas se encuentran:

• De sección homogénea. Están formadas principalmente de suelos finos (arcillas, limos), compactados o no, que pueden tener, además, inclusiones verticales como drenes (chimney drain) o muros rígidos o celulares, horizontales o inclinados como filtros de diversos materiales como arena, grava-arena, concreto, acero, etc. (USBR, 1987), así como galerías y conductos (los cuales no son recomendables a través del material impermeable).

• De materiales graduados o zonificadas. Tienen un núcleo de baja permeabilidad confinado entre materiales de mayor permeabilidad (filtros de arena), y estos a su vez son contenidos por materiales de mayor tamaño o respaldos de rezaga o enrocamiento.

• De enrocamiento. La mayor cantidad de material empleado es enrocamiento, sea con cara de concreto o con otros elementos impermeables como la arcilla. En otros países también se utiliza el concreto asfáltico, acero, cobre o geomembranas de polímeros como elemento impermeable.

A mediados del siglo XIX, a raíz de la fiebre del oro en California, cuando se acumulaba el desecho de las minas, surgieron las primeras presas de enrocamiento, principalmente de materiales heterogéneos, con grandes tamaños de enrocamiento colocado a volteo que permitían almacenar el agua para el proceso de los minerales. Para lograr mayor durabilidad se cubría la cara de la cortina con madera.

Aprovechando el desarrollo del cemento artificial (Pórtland) en esa época, se probó el uso de concreto simple y armado como recubrimiento de la cara húmeda. Estas primeras presas de baja altura cumplieron la función de almacenar agua, aun con cierta cantidad de filtraciones, y dieron la oportunidad de probar, a finales del siglo XIX y principios del XX, un nuevo tipo de estructura de cortinas de enrocamiento con cara de concreto (concrete face rockfill dam o CFRD, sus siglas en inglés).

Sin embargo, al incrementarse la altura, registraron deformaciones importantes que llegaron a ocasionar la pérdida total del almacenamiento, lo que motivó que este tipo de presas perdiera popularidad; era evidente que la fuerte deformabilidad del enrocamiento colocado a volteo no era compatible con la rigidez de la cara de concreto.

❘ Núm. 271
GEOTECNIA
LA HISTORIA
LA
EN
Ma. Guadalupe Barrios Galván Gerencia de Estudios de Ingeniería Civil, CFE.
Ir a TexTo CorrIdo 30 19 20 30 1 2 3 18 8 10 17

Presas

Tabla 1. Presas de enrocamiento con cara de concreto construidas en México entre 1920 y 1960

Francisco

Taxhimay, 1934

Venustiano Carranza, 1930

Mixcoac, 1941

Colorines, 1938

Tacubaya, 1938

Álvaro Obregón, 1926

Melchor Ortega, 1933

Gonzalo N. Santos, 1953 Zicuirán, 1957

La Esperanza, 1943

Texcalatlaco, 1943

Becerra C, 1938

Ixtapantongo, 1950

A partir del decenio de 1960, con la llegada y mejoramiento de los compactadores de rodillos vibratorios, la densificación de los materiales mejoró notablemente las características de la deformabilidad y resistencia de los enrocamientos, lo que permitió retomar la construcción de presas de CFRD como una opción viable para alturas mayores de 80 metros.

PRESAS DE CFRD CONSTRUIDAS EN MÉXICO

Hasta el decenio de 1960 México tenía 16 presas de enrocamiento con cara de concreto en operación, que fueron construidas de 1926 a 1959, con alturas de 12.6 a 62.7 m; sus ca-

racterísticas generales se presentan en la tabla 1 y la figura 1 (Conagua, 2024). La mayoría de estas presas tiene la función de almacenamiento para la irrigación, por lo que conservan sus almacenamientos gran parte del año, mientras que las presas de la Ciudad de México tienen almacenamientos temporales, al ser de control de avenidas. Las presas construidas en fechas más recientes son de generación eléctrica y control de avenidas, principalmente.

El elemento impermeable de estas presas es una losa de concreto armado solo para temperatura, integrada por tableros rectangulares del orden de 4 m de ancho y 5 m de longi-

Marzo - Mayo 2024
No. ID Nombre oficial Nombre común Estado Altura de cortina (m) Capacidad al NAMO (hm3) Año 1 2964 Álvaro Obregón Mexquitic San Luis Potosí 20.4 4.3 1926 2 494 Venustiano Carranza Don Martín Coahuila 38.9 1312.9 1930 3 1269 Melchor Ortega Charcas Guanajuato 12.6 0.7 1933 4 1664 Taxhimay Taxhimay Estado de México 43.0 42.8 1934 5 929 Becerra C San Francisco Ciudad de México 16.3 0.04 1938 6 945 Tacubaya Capulín Ciudad de México 24.0 0.6 1938 7 1988 Colorines Estado de México 32.0 2.0 1938 8 1588 Francisco I. Madero El Purgatorio Hidalgo 53.0 25.0 1939 9 939 Mixcoac Canutillo Ciudad de México 32.4 0.6 1941 10 2931 San Ildefonso El Tepozán Querétaro 62.7 48.3 1942 11 948 Texcalatlaco Ciudad de México 25.9 0 1943 12 1585 La Esperanza Hidalgo 28.7 3.9 1943 13 2020 Ixtapantongo Estado de México 28.0 1.7 1950 14 3011 Gonzalo N. Santos El Peaje San Luis Potosí 39.0 6.7 1950 15 2055 Los Pinzanes Estado de México 59.0 3.2 1957 16 2408 Zicuirán La Peña Michoacán 46.0 36.3 1957 Conagua, 2014.
Figura 1. Presas de enrocamiento con cara de concreto construidas en México entre 1920 y 1960.
LA GEOTECNIA EN LA HISTORIA Altura de cortina (m) 80 70 60 50 40 30 20 10 0 1920 1925 1930 1935 1940 1945 1950 1955 1960 Año San Ildefonso, 1942
Pinzanes, 1957
de enrocamiento con cara de concreto en México, 1920-1960 ❘
Los
I. Madero, 1939
31 39 42 43 44 45 46 48 38 40

LA GEOTECNIA EN LA HISTORIA ❘ Presas de enrocamiento con cara de concreto en México, 1920-1960

Eje de la cortina

NAM elev. 127.2 m

NAN elev. 124.25 m

Losa de concreto de espesor variable, mín. 0.2 m en la corona y aumenta 0.05 cm por cada metro de incremento en la altura

Enrocamientoacomodadoamano

Terreno natural elev. 91.0 m

Pantalla de inyecciones

Dentellón de concreto

tud, con espesor mínimo de 0.2 m en la parte superior que incrementa su espesor hacia el desplante 0.03 m cada 10 m de longitud de losa, apoyada en un dentellón de concreto y una pantalla de inyecciones a través de este (figuras 2 y 3).

El sello de las juntas entre las losas es a través de placas de cobre de 1.21 a 1.52 mm de espesor (calibre 18 a 16) dobladas en forma de T insertas en las losas y con fibras de madera o asbesto asfaltadas tanto arriba como abajo de la placa de cobre (figura 4). En las presas Madero y San Ildefonso, bajo las juntas longitudinales se colocó una dala de concreto de apoyo, la cual se impregnó con asfalto para proporcionar una superficie de deslizamiento. En la presa Madero, se instalaron dentellones horizontales en las losas para evitar su deslizamiento sobre la roca acomodada. La aplicación de asfalto también se realizó en el contacto entre dentellón y losas.

La mayor parte del cuerpo de las cortinas se reporta como de enrocamiento a volteo; en otros casos, de enrocamiento colocado en capas horizontales del orden de 0.50 m y bandeado con tractor de orugas, y en muchos casos se aplicó chiflón de agua para facilitar el acomodo, e incluso fue compactado con rodillo liso en algunos casos. Al parecer, en la mayoría el enrocamiento bajo la losa de concreto fue aco-

Enrocamiento a volteo colocado con chiflones de agua

Perfil original del terreno

m mínimo de limpia

Conagua, 1990-2003.

Lámina de cobre No. 16 de 62 cm de ancho

modado a mano (figura 5), o bien fue compactado en capas con espesor de 0.5 metros.

En la zona de desplante de la losa, en todos los casos, se indica una colocación especial para obtener un buen acomodo; su espesor varía de 1 a 2 m en la parte superior y cerca de 3 a 4 m en la parte inferior, con taludes entre 1:1 a 1.27:1 y de 1.3:1 a 1.4:1 en la losa. En algunas presas se colocó mortero de cemento entre los huecos del enrocamiento antes de colocar las losas. Conviene indicar que algunas presas fueron sobreelevadas –como Taxhimay, La Esperanza y San Ildefonso– y no se ha reportado comportamiento anómalo en ellas.

El desuso de este tipo de cortinas después de la década de 1960 se atribuye al comportamiento desfavorable de la presa Guadalupe en el Estado de México, de 28.5 m de altura. En 1948 tuvo un asentamiento de 2.1 m y filtraciones de 4 m3/s por el agrietamiento de la losa en la zona de contacto con el dentellón; fue modificada con un corazón inclinado de arcilla, pero nuevamente se registraron filtraciones de 0.5 m3/s en 1952 (SRH, CFE, II UNAM, 1976), por lo cual se modificó a una sección de materiales graduados. Este comportamiento provocó la desconfianza de continuar con la construcción de cortinas de CFRD en México.

❘ Núm. 271
Figura 2. Estructuración típica de presas de enrocamiento con cara de concreto de principios del siglo XX. El Peaje, San Luis Potosí. Figura 3. Presa Francisco I. Madero, Hidalgo, en 2006. Figura 4. Detalle de la junta típica entre las losas.
1.4:1 600 100
580 1.4:1
Corona elev. 129.2 m
1.5 cm Celotex impregnado en asfalto Variable 0.20 0.20 10 8 Celotex
0.5
32 19 20 30 1 2 3 18 8 10 17

Presas de enrocamiento con cara de concreto en México, 1920-1960 ❘ LA GEOTECNIA EN LA HISTORIA

COMPORTAMIENTO GEOTÉCNICO

Por la época de construcción y la vida en servicio de estas presas, de entre 67 y 98 años, no se cuenta con gran parte de la información de su diseño, construcción y comportamiento. Sin embargo, las autoridades responsables, como la Comisión Nacional del Agua y la Comisión Federal de Electricidad, mantienen su monitoreo periódico a través de inspecciones de seguridad, que permiten evaluar su estado estructural e identificar en algunas sus deformaciones, agrietamientos en losas y filtraciones, principalmente.

Con base en la información disponible de los años recientes (Conagua, 2024), se indican algunas características de su comportamiento en la tabla 2, tales como el asentamiento máximo a nivel corona (d ), desarrollo de grietas, gastos de filtraciones y asentamientos unitarios (d/H ).

El asentamiento unitario en las presas varía entre 0.19 y 2.45%. Aunque el mayor se registra en la presa Mexquitic, sus losas solo muestran agrietamientos pequeños, algunas juntas están parcialmente deterioradas (figura 6) y tiene filtraciones a través del macizo riolítico de la margen derecha; por el contrario, en la presa El Peaje, con menor asentamiento unitario, la abertura de las juntas entre losas, principalmente por la deformación del talud aguas arriba, ha provocado gran pérdida de agua (800 l/s). La deformación unitaria de la presa Los Pinzanes no es representativa de su comportamiento, ya que las mediciones se iniciaron tres años después de terminada, por lo cual no se registró la deformación al final de la construcción y en los primeros almacenamientos.

Por lo general, las presas que mantienen niveles de agua altos por almacenamiento muestran mayores asentamientos en la corona, en comparación con aquellas que eventualmente tienen agua en sus vasos, que no registran deformaciones de importancia.

Desafortunadamente, muchas de estas presas son operadas en la actualidad por usuarios o gobiernos locales, los cuales no han continuado con el registro de deformaciones, o bien se han suspendido las nivelaciones, al considerar en forma errónea que los movimientos se han estabilizado y que no cambiará su comportamiento.

El comportamiento estructural de este tipo de presas, construidas hasta antes de los sesenta, ha sido aceptable; en algunas se han desarrollado problemáticas asociadas

2. Deformaciones y filtraciones en las presas de enrocamiento con cara de concreto construidas en México entre 1920 y 1960

Marzo - Mayo 2024
Figura 5. Colocación a mano del enrocamiento del cuerpo de la cortina. Presa Mexquitic, San Luis Potosí, 1924.
ID Nombre Altura de cortina (m) Asentamiento corona en m (d) Periodo de asentamiento Grietas en Filtraciones máximas (l/s) d/H (%) 2964 Álvaro Obregón (Mexquitic) 20.4 0.50 1926-2014 Losa 50 2.45 494 Venustiano Carranza (Don Martín) 38.9 0.42 1932-1959 Losa y parapeto 67 1.08 1269 Melchor Ortega (Charcas) 12.6 No se aprecia – – No –1664 Taxhimay 43.0 No se aprecia No Pequeñas 929 Becerra C (San Francisco) 16.3 No se aprecia – Losas 3 –945 Tacubaya (Capulín) 24.0 No se aprecia – Parapeto – –1988 Colorines 32.0 No se aprecia – No No –1588 Francisco I. Madero (El Purgatorio) 53.0 0.10 1932-2011 No 20 0.19 939 Mixcoac (Canutillo) 32.4 No se aprecia – Parapeto 31-65 –2931 San Ildefonso (El Tepozán) 62.7 0.5 1942-2005 No Pequeñas 0.80 948 Texcalatlaco 25.9 No se aprecia – – – –1585 La Esperanza 28.7 No se aprecia – – No –2020 Ixtapantongo 28.0 No se aprecia – No Tapón desvío –3011 Gonzalo N. Santos (El Peaje) 39.0 0.45 1950-1989 Parapeto 800 1.15 2055 Los Pinzanes 59.0 0.095 1960-2015 No 7 0.16 2408 Zicuirán (La Peña) 46.0 0.20 1957-2010 Parapeto y losas – 0.43
Tabla
33 39 42 43 44 45 46 48 38 40

LA GEOTECNIA EN LA HISTORIA ❘ Presas de enrocamiento con cara de concreto en México, 1920-1960

principalmente a la deformación, agrietamiento de las losas y la presencia de filtraciones, lo que motivó la realización de trabajos de reparación para mantenerlas funcionales y en condiciones de seguridad adecuadas. Entre las presas cuyo comportamiento se considera importante reportar están las que se enumeran a continuación.

Gonzalo N. Santos (El Peaje)

Ubicada en el estado de San Luis Potosí, 11 km aguas arriba de la capital del estado, esta presa entró en operación en 1953, por lo que al 2024 tiene 71 años en servicio (figura 7). Hasta 1989 registró un comportamiento satisfactorio y se reportaron filtraciones del orden de 10 l/s; sin embargo, aumentaron en forma extraordinaria en los siguientes años hasta alcanzar 600 l/s en 1991 y 800 l/s en 1997.

La deformación máxima medida a nivel de corona fue de 0.45 m entre 1950 y 1989 (39 años), con evidencias de intemperismo en el enrocamiento del cuerpo (riolita). El agrietamiento que se registró en el parapeto cerca de los empotramientos indicó la evolución de la deformación.

La magnitud de las filtraciones obligó a realizar estudios con trazadores y fue posible verificar que las filtraciones ocurrían sobre todo en la margen derecha. Posteriormente, al tener el embalse vacío, se identificaron oquedades, desacomodo de una zona de las losas atribuible a defectos de construcción, el hundimiento de la losa en el tercio inferior

cerca de la margen derecha (figura 8) y, de gran importancia, la abertura de una junta vertical en esta margen, al interactuar con un peñasco rocoso que fue rodeado por la unión del dentellón con la losa. La abertura máxima en la junta fue de 8 cm y produjo la mayor parte de las filtraciones.

Al parecer, las fugas favorecieron la intemperización del enrocamiento y los asentamientos de la cortina, debido a que el agua que percoló a través del pedraplén, además de lubricar los contactos entre los enrocamientos, presenta un alto grado de contaminación. Se analizó el agua en 2014 y tenía una DBO de 3.07 mg/l y una DQO de 40.65 mg/l, así como 23,000 NPM/100 ml de coliformes totales; se incumple así la Ley Federal de Derechos sobre Descargas a Cuerpos de Agua en el primer y tercer parámetro, lo cual es provocado por las descargas de aguas residuales de la población de Pozuelos y de excrementos de ganado en la zona. El agua que se filtra en la galería de la toma tiene un fuerte olor a materia orgánica, que se desprende como ácido sulfhídrico. Este tipo de agua corroe rápidamente los elementos metálicos de la toma y probablemente también acelere el intemperismo del enrocamiento.

Una vez identificadas las discontinuidades, fueron calafateadas y selladas. Sobre la junta tratada se colocó una protección de concreto y la presa volvió a operar adecuadamente hasta 2014. Posteriormente volvieron a incrementarse las filtraciones, por lo cual fue necesario realizar otra vez durante 2022 el sellado de la junta cercana a la margen derecha (figura 9). Entró nuevamente en operación en 2023.

Venustiano Carranza (Don Martín)

La presa Don Martín, localizada en Coahuila, es una de las presas más importantes de esta época; entró en operación en 1930, por lo que al 2024 tiene 94 años en servicio (figura 10). El cuerpo de la cortina está constituido de material semipermeable Reynosa, que corresponde a una grava arcillosa colocada en capas de 0.5 m y compactada con rodillo liso aplicando humedad hasta obtener un peso específico seco de 2.0 t/m3. Tiene un dren horizontal de grava en la mitad aguas abajo de su sección transversal.

❘ Núm. 271
Figura 8. Deformación mayor a 0.5 m en la cara de concreto, mayo de 1995. Figura 7. Vista general de la cara de concreto de la presa El Peaje. Figura 6. Junta de la presa Mexquitic en 2014, con pérdida de recubrimiento. Se aprecia la lámina de cobre. Peñasco rocoso en margen derecha
34 19 20 30 1 2 3 18 8 10 17

Presas

El elemento impermeable lo integra un dentellón de concreto reforzado de 0.76 m de espesor que penetra hasta 8 m al contacto con roca caliza sana y la pantalla de concreto reforzado, la cual tiene escalones en la parte superior para disipar el oleaje. Es la única presa nacional en la que se colocó un recubrimiento de tierra al pie de la cortina sobre la unión entre el dentellón y la cara de concreto.

A partir de 1932 se observó que la línea de saturación dentro de la cortina estaba a 2.3 m sobre el pie, y con niveles de embalse altos, las filtraciones eran de 16 l/s; este comportamiento se repitió en 1958 con niveles altos y filtraciones de 14 l/s. Los asentamientos máximos observados hasta 1959 fueron de 0.42 m; no se cuenta con la actualización de esta información.

Debido al comportamiento registrado, en 1958 se reforzó el talud de aguas abajo con una berma compactada del mismo material, para mejorar la estabilidad de la cortina al modificar el talud de 2:1 a 3:1, hasta 7.8 m debajo de la corona. En la parte inferior se colocó enrocamiento para dar continuidad al dren horizontal.

En 1980 se abrió la junta constructiva vertical de la estación 0+987, la cual, una vez que fue tratada, no ha manifestado movimientos de importancia. En 2004 se abrió la junta vertical de la estación 0+870, sin llegar a nivel de corona; además se desarrolló una grieta horizontal de 3 m de longitud aproximadamente y 2 cm de abertura en esta zona (figura 11). Las filtraciones en esas fechas fueron de 25 a 67 l/s con niveles altos de embalse. Este comportamiento anómalo fue asociado con un aumento de nivel del agua después de mantener niveles bajos por varios años, en combinación con el cambio de dirección del eje de la cortina; en estos cadenamientos se forma una curva convexa (figura 10).

Los Pinzanes, Estado de México

La presa Pinzanes, localizada sobre el río Tilostoc en la cuenca del río Cutzamala, fue terminada en 1957 y es la última

presa de enrocamiento con cara de concreto construida en el país durante muchos años. Tiene una altura máxima de 59 m y 260 m de longitud con corona de 5 m de ancho y un parapeto de concreto de 1.2 m; su trazo en planta es curvo (figura 12).

El cuerpo está constituido de enrocamiento colocado a volteo y solo la zona bajo la cara de concreto es con material acomodado. Las losas de la cara de concreto son de 12 × 12 m con sellos de lámina de cobre en las juntas.

No muestra deterioro significativo por cargas o envejecimiento, solo la pérdida parcial del material bituminoso de sellado en las juntas; aunque se ha señalado la posible disgregación del enrocamiento en el talud de aguas abajo, una fotografía anterior a 1976 muestra el mismo aspecto terroso de la superficie. Hay filtraciones al pie aguas abajo de pequeña magnitud.

Es una de las pocas cortinas a cuya deformación se les da seguimiento, y las mediciones, las cuales son de pequeña magnitud, se iniciaron tres años después de terminada la construcción (CFE, 2016).

COMENTARIOS FINALES

La práctica nacional de construcción de presas de enrocamiento con cara de concreto (CFRD) de la primera mitad

Marzo - Mayo 2024
Figura 9. Junta reparada en la margen derecha de la presa, 2022. Figura 10. Vista general de la presa Don Martin, Coahuila. A la izquierda se aprecia la berma colocada en 1958. EL MAÑANA, 2024. Figura 11. Abertura de la junta vertical y agrietamiento horizontal asociado, 2004.
LA GEOTECNIA EN LA HISTORIA 35 39 42 43 44 45 46 48 38 40
de enrocamiento con cara de concreto en México, 1920-1960

LA GEOTECNIA EN LA HISTORIA ❘ Presas de enrocamiento con cara de concreto en México, 1920-1960

del siglo XX –consistente en colocar y compactar los enrocamientos en capas cercanas a los 0.5 m y aplicar chiflón de agua– permitió que esas primeras presas tuvieran un comportamiento adecuado; sin embargo, no se incrementó la altura de cortinas durante varias décadas.

El uso de alternativas en el tipo de cortina, como las cortinas zonificadas, fue común en las décadas de 1960 a 1980, y al final de ese lapso el uso del concreto compactado con rodillo (CCR) permitió otra opción conveniente para cortinas de mayor altura con sección de gravedad, que desde 1987 se ha aplicado en el país (Murillo, 2012b).

En esa época se construyeron presas de enrocamiento con cara de concreto en varios países; tales fueron los casos de Cethana en Australia, de 110 m en 1971; Alto Anchicayá en Colombia, de 140 m en 1974, y Foz do Areia en Brasil, de 160 m en 1980. En su diseño y ejecución se introducen cambios significativos (Materón, 2017) que permitieron retomar la ejecución de este tipo de cortinas en el país.

La necesidad de construir presas cada vez más altas durante la segunda mitad del siglo XX, aunada a un mayor conocimiento del comportamiento de materiales térreos y pétreos, debido en gran parte a los trabajos del profesor Raúl J. Marsal y su equipo en el Instituto de Ingeniería de la UNAM (Marsal y Reséndiz, 1975), así como el desarrollo de maquinaria y equipos de construcción cada vez más potentes y eficientes, permitieron la construcción de presas de este tipo con mayor altura (Marengo, 2024).

Las presas antiguas de enrocamiento con cara de concreto nacionales han tenido un buen comportamiento, con bajas deformaciones y filtraciones dentro de un margen aceptable, y no han requerido reparaciones mayores. Aunque algunas muestran señales de agrietamiento por deformación y envejecimiento, en ninguna de ellas se ha determinado que

exista riesgo de ruptura de la cortina. Incluso en El Peaje, que ha tenido grandes filtraciones y un proceso de desintegración de su enrocamiento, no existe peligro de falla que provoque una inundación con efectos fatales o pérdida importante de bienes

Referencias

Comisión Federal de Electricidad, CFE (2017). Inspección y evaluación de las condiciones estructurales de 17 presas del Sistema de Aguas de la Ciudad de México.

Comisión Nacional del Agua, Conagua (1991-2003). Presas de México Vols. I-XIX. México: Secretaría de Medio Ambiente y Recursos Naturales.

Conagua (2024). Sistema Informático de Seguridad de Presas. presas. conagua.gob.mx/inventario/hinicio.aspx.

El Mañana (2024). elmanana.com.mx/u/fotografias/m/2022/5/9/ f1280x720-91336_223011_5050.jpg

Marengo, H. (2024). Tendencias actuales en el diseño de presas. www.humbertomarengo.com/_files/ugd/27d07a_97758362ca9f4 62f8f95524031714300.pdf.

Marsal, R., y D. Reséndiz (1975). Presas de tierra y enrocamiento México: Limusa.

Materón, B. (2017). Evolución de presas de enrocamiento compactado con face de concreto en el periodo de 1970 a 2015. Revista Vial revistavial.com/evolucion-de-presas-de-enrocamiento-compactadocon-face-de-concreto-ecfc-en-el-periodo-de-1970-a-2015.

Murillo F., R. (2012a). Cortinas de presas. XXII Congreso Nacional de Hidráulica. Acapulco: Asociación Mexicana de Hidráulica.

Murillo F., R. (2012b). Experiences with RCC dams in Mexico. 6th International Symposium on Roller Compacted Concrete (RCC) Dams. Zaragoza: Sociedad Española de Grandes Presas.

Secretaría de Recursos Hidráulicos, Comisión Federal de Electricidad, Instituto de Ingeniería UNAM: SRH, CFE, IIUNAM (1976). Comportamiento de presas construidas en México. México.

United States Bureau of Reclamation, USBR (1987). Design of small dams. Department of Interior.

Apreciamos su opinión e información sobre el tema de este artículo. Escríbanos a helios@heliosmx.org

❘ Núm. 271
Figura 12. Presa Los Pinzanes, talud aguas abajo, octubre de 2010.
36 19 20 30 1 2 3 18 8 10 17
Marzo - Mayo 2024 37 39 42 43 44 45 46 48 38 40

NTC-Excavaciones Capítulo 5. Verificación de la seguridad de las excavaciones

En la versión vigente de las NTC-Excavaciones, del año 2017, al capítulo 5 se le nombra “Análisis y diseño de cimentaciones”, e incluye dos subcapítulos relacionados con estados límite de falla y con estados límite de servicio.

Para su actualización, que será publicada próximamente, se ha enriquecido tanto el tema relacionado con los estados límite de falla como el relacionado con los estados límite de servicio, además de añadir los temas aspectos sísmicos y excavaciones suspendidas.

En lo relativo al tema del manejo del agua freática, se recomienda no iniciar el bombeo para una excavación antes de realizarla, por los asentamientos indeseables que se podrían generar en las construcciones vecinas. Para evitar falla por subpresión en estratos permeables subyacentes a un estrato permeable, los pozos de bombeo deben atravesar totalmente el estrato permeable.

En el análisis de estabilidad de cortes en suelos arcillosos se recomienda tomar en cuenta que su resistencia al corte puede reducirse hasta un 30% en unas cuantas semanas, por causa del nuevo estado de esfuerzos generado. En los taludes temporales debe revisarse el impacto que en su estabilidad puede tener la propia excavación en proceso y la perforación de los pozos de bombeo.

La estimación empírica de las presiones que actúan sobre sistemas de soporte debe ajustarse, en su caso, para

que resulten por lo menos iguales a la presión hidrostática del agua freática. Debe verificarse periódicamente la carga que reciben los puntales, y reajustarla de ser necesario. Como medida de precaución se recomienda colgar los puntales del primer nivel superior para evitar su colapso accidental.

Para aplicar medidas preventivas o correctivas que eviten percances en las construcciones e instalaciones urbanas vecinas, se debe investigar el tipo y las condiciones de su cimentación. Especial atención debe prestarse a las construcciones “precarias”, que no cumplen con la normativa vigente, por la alta probabilidad de sufrir daños estructurales significativos que conduzcan a su colapso. En el análisis sísmico pseudoestático que se aplique, la carga horizontal provocada se estimará multiplicando el peso del suelo potencialmente deslizante por un coeficiente sísmico horizontal.

Cuando se suspenda el proceso de excavación, se deberán realizar obras necesarias para evitar que se presenten movimientos que puedan dañar las edificaciones e instalaciones colindantes

Apreciamos su opinión e información sobre el tema de este artículo.

Escríbanos a helios@heliosmx.org

❘ Núm. 271 LEGISLACIÓN
Ir a TexTo CorrIdo 38 19 20 30 1 2 3 18 8 10 17

Cultura

Spinoza en el Parque México

Enrique Krauze

Este libro trata sobre la vida personal del autor. A través de una conversación va narrando pasajes de su vida y aprovecha para hacer una descripción del ambiente político y literario de la segunda mitad del siglo XX en México.

A lo largo de sus páginas aparecen distintos personajes; entre ellos destacan en lo político Manuel Gómez Morín, Vicente Lombardo Toledano y Daniel Cossío Villegas. En el ámbito literario sobresalen Octavio Paz, Carlos Monsiváis y otros.

Es de recalcar el detalle con el que trata lo relativo a la inmigración de los judíos a México. El autor emite sus opiniones sobre política, literatura, historia y la academia, así como la influencia

No cosas

Este es un libro de filosofía, y por lo mismo su lectura no es trivial; casi hay que estudiarlo. Sin embargo, vale la pena dedicarle tiempo, porque nos permite reflexionar sobre la vida en la actualidad. Cada uno de sus capítulos trata de un tema reciente y plantea una tesis. En el apartado

“De la cosa a la no cosa” se habla del tránsito del orden terreno (de las cosas) al orden digital (de la información, las no cosas) y se plantean las funciones de cada uno de estos órdenes.

“De la posesión a las experiencias” versa sobre el cambio de paradigma, del orden de las cosas al de las no cosas (información e infómatas); el capítulo relativo al teléfono inteligente, que es el principal infómata de nuestro tiempo, se orienta a lo que es la comunicación digital, a cómo en ella el interlocutor está cada vez menos presente y a las consecuencias que esto acarrea a las personas, al empobrecer la experiencia, a la

de numerosos autores en la cultura mexicana y en la universal.

Si en el título se habla de Baruch Spinoza es porque el autor se reconoce en él, y si se menciona el Parque México es en honor de esa área verde donde el joven Enrique se veía con su ancestro Saúl, polaco de nacimiento y con yidish como lengua primera, y hablaban del maestro Spinoza y del cuadro de Samuel Hirszenberg de 1907 que se reproduce en la portada, con la escena de su excomunión en la sinagoga

Enrique Krauze (1947). Ingeniero industrial y doctor en Historia. Ensayista y editor. Ha escrito más de 20 libros, entre ellos Siglo de caudillos, y La presidencia imperial. Ha producido más de 500 programas y documentales sobre la historia de México.

vez que inunda de estímulos, reprime la imaginación y fragmenta la atención. En la sección correspondiente a las selfies se explica cómo esto lleva a la desaparición de las personas, cargadas de destino e historia, y genera vínculos débiles entre los seres humanos.

El capítulo sobre la inteligencia artificial es tal vez el más complejo del libro. Plantea una tesis epistemológica que sostiene que la inteligencia artificial no forma conceptos y, por lo mismo, no constituye un pensamiento. Este apartado resulta esencial para entender lo que ha sido el proceso de aprendizaje en tiempos de la pandemia. “Vistas de las cosas” se enfoca en sus propiedades y su importancia para la salud mental de los seres humanos; se hace una especial reflexión sobre las “cosas queridas” y la diferencia entre to love y to like

La sección denominada “El silencio” explica detalladamente la necesidad de salirse de la compulsión por la comunicación (que nos hunde en el ruido), ya que la conceptualiza como una hiperactividad destructiva que no permite prestar atención y tener calma contemplativa.

Finalmente, el autor hace una reflexión general y concluye que “solo las cosas queridas están animadas”. Puede decirse que este libro es básico para entender el momento que estamos viviendo en la actualidad

Marzo - Mayo 2024
a TexTo CorrIdo 39 39 42 43 44 45 46 48 38 40
Ir

Francisco Labastida Ochoa

Probablemente algunos ingenieros jóvenes no conocen todo lo que hizo el ingeniero Hiriart, sus principios, sus valores, su talento y lo que contribuyó al desarrollo del país. Espero que estas breves líneas contribuyan a enriquecer el conocimiento que se tiene sobre él.

Don Fernando Hiriart estudió en la Escuela Nacional de Ingeniería, en la que cursó dos carreras: de ingeniero civil y de topógrafo hidrógrafo.

Fue el fundador y el primer director del Instituto de Ingeniería de la UNAM. Fue Doctor Honoris Causa por la UNAM. Recibió el Premio Nacional de Ingeniería. Fue condecorado como Oficial de la Legión de Honor de Francia.

Escribió diversos libros, entre los que solo menciono Hundimiento de la Ciudad de México, Proyecto Texcoco, Contribución a la solución del problema de abastecimiento de agua de la Ciudad de México y Contribución al desarrollo de la ingeniería civil de México

La central hidroeléctrica que hoy lleva su nombre, localizada en el río Tula, cuenta con un túnel de conducción de 21,700 metros y una cortina de 203 metros.

Se inició trabajando a los 24 años de edad en la Comisión Nacional de Irrigación.

Fundó, junto con Bernardo Quintana y Javier Barros Sierra, la compañía Ingenieros Civiles Asociados (ICA).

Aportó su talento al Departamento del Distrito Federal. Fue director general de Inversiones en la Secretaría de la Presidencia, subsecretario de Patrimonio y Fomento Industrial y secretario de Energía, Minas e Industria Paraestatal.

Tuve el honor de trabajar con él en diversas ocasiones. Puedo decir que es el hombre que más influyó, sin ser yo ingeniero, en mi formación profesional. El hombre que más he admirado en mi vida ha sido don Fernando Hiriart: por sus principios, sus valores, su honestidad, no solo en lo económico, también en lo intelectual; por su disciplina, por su excepcional talento, por su gran calidad humana. Es el hombre más inteligente y de pensamiento más profundo que he conocido.

Lo conocí y empecé a tratar en 1968. Trabajaba en ese entonces en la Dirección de Inversiones Públicas, con Julio Rodolfo Moctezuma, un gran mexicano, y cuando examiná-

❘ Núm. 271
Fernando Hiriart Balderrama
ANECDOTARIO
La incipiente familia Hiriart Balderrama. Santa Bárbara, Chihuahua, mediados de 1915.
Ir a TexTo CorrIdo 40 19 20 30 1 2 3 18 8 10 17
COLECCIÓN HIRIART.

En una reunión, Fernando Hiriart –el segundo de la izquierda– departe con amigos y su padre –sentado a la cabecera, del lado izquierdo, con traje oscuro y corbata a rayas. Ca. 1948-1952.

Con su esposa durante un viaje a Europa, 1960.

bamos dos grandes obras que se hacían en ese entonces –el Drenaje Profundo y los interceptores–, el licenciado Moctezuma me dijo: “Paco, ni usted ni yo somos ingenieros; váyase a ver este proyecto con el mejor ingeniero de México, don Fernando Hiriart”.

Don Fernando fue el único asesor externo que tuvo la Dirección de Inversiones Públicas. Por supuesto, no cobró un centavo por su trabajo. Después fue mi jefe, cuando fue el director de Inversiones Públicas. Permítanme contar una anécdota, porque ilustra con claridad cómo era.

Después de formar ICA, decidió regresar al sector público; enterado de ello, el ingeniero Quintana le dijo: “Vas a ganar solo una pequeña parte de lo que ganas aquí, ¿para qué te vas?”. Y el ingeniero Hiriart contestó: “Tuve el propósito de que la ingeniería y las obras civiles las diseñaran y construyeran mexicanos, ya lo logré. Me regreso al sector público”.

Decidió que en el país se debía hacer evaluación ex post de resultados, no solo evaluación ex ante de los proyectos, para evaluar cuánto de lo que se dijo que iba a costar una obra ha-

bía costado y qué beneficios sociales y económicos había generado.

Como resultado de ese trabajo, el primer programa que se evaluó fue el Plan Presidencial Benito Juárez; una buena idea, hacer pequeñas represas de agua para que tuviera la población agua disponible para ellos y los animales y, si era factible, para regar pequeñas superficies de tierra, pero fue muy mal desarrollada.

El trabajo de evaluación se hizo durante unos tres meses; se seleccionaron, por números aleatorios, un número de obras representativas del programa, y se contrataron unos 40 ingenieros civiles para estudiarlos.

La síntesis del trabajo la leyó el ingeniero Hiriart en una reunión con el presidente Echeverría, el secretario de Recursos Hidráulicos, el secretario de Agricultura y el director del programa. Yo acompañaba al ingeniero Hiriart. La síntesis decía:

1. Solo el 7% de las obras están bien, no tienen fallas.

2. En el 93% se cometieron estos errores:

a. Se midió mal el vaso de captación de la obra hidráulica, con la consecuencia que el vaso de la cortina era pequeño y se rompía o derramaba, o era demasiado grande y la inversión era excesiva e improductiva.

b. Se estudió mal el factor de escurrimiento del agua.

c. Cuando la pequeña obra hidráulica tenía capacidad para regar tierras, se les olvidó hacer la obra de toma para sacar y conducir el agua.

d. La maquinaria empleada y los métodos constructivos estaban mal seleccionados y elevaban los costos o no daban los resultados deseados.

e. Un ejemplo de la mala selección de la maquinaria es que, siendo las presas de arcilla, no se comprimía la tierra lo suficiente, porque usaban rodillos simples y no de “pata de cabra”, lo que habría permitido que la tierra estuviera comprimida al 90%. En consecuencia, algunos bordos se rompían.

El director del programa se molestó por el documento y le dijo al presidente Echeverría: “Señor presidente, yo no puedo permitir que el ingeniero Hiriart insinúe que soy un pendejo”, a lo cual el ingeniero Hiriart contestó: “Señor presidente, con todo respeto, yo no insinúo nada, afirmo que el ingeniero es un pendejo”.

Con toda honestidad y valor civil actuó siempre. Ojalá siempre tengamos hombres como él; sólo así se puede hacer un gran país

Apreciamos su opinión e información sobre el tema de este artículo.

Escríbanos a helios@heliosmx.org

Marzo - Mayo 2024
Fernando Hiriart Balderrama
ANECDOTARIO
COLECCIÓN HIRIART. COLECCIÓN HIRIART.
41 39 42 43 44 45 46 48 38 40

Geotecnia para la energía: desafíos y

oportunidades

El pasado 29 de noviembre de 2023, el Comité Técnico Nacional de Flujo de Agua y de Calor en Medios Porosos (FluACaMP), presidido por Norma Patricia López Acosta, organizó la conferencia virtual “Geotecnia para la energía: desafíos y oportunidades”, impartida por el reconocido profesor Marcelo Sánchez Castilla como parte de la serie de conferencias sobre flujo de agua y de calor en medios porosos.

La conferencia tuvo una participación internacional, con registros de distintos países del mundo, entre ellos Ecuador, Panamá, República Dominicana, Guatemala, Colombia, El Salvador, Perú, Honduras, Nicaragua, Venezuela, Chile, Bolivia, Canadá, Noruega, España, Australia y México, que sumaron 164 asistentes.

La conferencia inició mostrando estadísticas que revelan la tendencia de aumento de energías que utilizan combustibles fósiles y que agravan el calentamiento global. Este escenario reflejó una gran oportunidad para desarrollar tecnología geotérmica que permita generar energía con un bajo impacto al ambiente. El desafío consiste en desarrollar una nueva rama de la geotecnia que solucione los problemas asociados a dicho conjunto de técnicas, rama que ha recibido el nombre de energy geotechnics o geotecnia para la energía, y que es la aplicación de los principios geotécnicos para entender y diseñar problemas

de geoingeniería asociados a la producción, intercambio y almacenamiento de energía geotérmica en el subsuelo.

Las formas mostradas para producir energía fueron: a) hidrocarburos no convencionales, b) sistemas geotérmicos mejorados y c) hidratos de metano en sedimentos. Las aplicaciones expuestas para el intercambio o almacenamiento de calor fueron: a) almacenamiento de aire a alta presión en el subsuelo, b) sistemas geotérmicos superficiales y c) almacenamiento subterráneo de hidrógeno. Los ejemplos mostrados de almacenamiento de residuos del sector energético fueron: a) almacenamiento de residuos radioactivos y b) almacenamiento de dióxido de carbono. La conferencia abordó las diferentes oportunidades y desafíos de cada uno de estos campos. Se destacaron las pilas de energía y otras geoestructuras energéticas, ya que satisfacen la necesidad de calefacción y enfriamiento de edificaciones, la cual representa un importante porcentaje de la necesidad global de energía. Adicionalmente, se mostró el estudio de un pilote energético, desarrollado con modelado numérico, un modelo experimental de laboratorio y un ensayo a escala real en un edifico de Texas A&M University.

Al final de la presentación la SMIG le entregó un reconocimiento al profesor Marcelo Sánchez por la impartición de tan interesante conferencia

Métodos geofísicos para detección de cavidades

Los días 30 de noviembre y 1 de diciembre de 2023 se impartió el curso-taller “Métodos geofísicos para detección de cavidades” en las instalaciones del Colegio de Ingenieros Petroleros de México, como parte de las actividades que nuestra sociedad realiza en conjunto con el Colegio de Geofísicos. En este contexto, se invita a experimentados ingenieros geofísicos asociados del colegio que han participado en importantes proyectos de exploración indirecta del subsuelo para detección de cavidades aplicados al tema de cimentaciones en el área de ingeniería civil.

❘ Núm. 271
42 19 20 30 1 2 3 18 8 10 17
Ir a TexTo CorrIdo

El curso tuvo una nutrida asistencia de interesados en el tema, tanto de la rama geofísica como de la civil. El primer día, Magdalena Alvarado Manzano abordó el tema de la ética profesional, y en seguida Marco A. Rubio Ramos dio una plática introductoria sobre teoría básica de generación de cavidades, tipos y procesos de formación de las cavidades tanto naturales como antropogénicas. Posteriormente, Carlos Pita de la Paz, Alan Vladimir Palafox Garduño, Félix Antonio Centeno Salas y Juan Carlos Colchado Casas impartieron los temas relacionados con los métodos de prospección geofísica

del subsuelo: eléctricos (tomografías de resistividad eléctrica), electromagnéticos (georradar, calicatas electromagnéticas) y gravimétricos, como los más apropiados para la detección de cavidades; señalaron la forma de realizar la planeación previa de la prospección, los principios teóricos y de funcionamiento práctico, así como las bondades y limitaciones de cada método y de los equipos.

El segundo día, los expositores lo dedicaron a realizar prácticas de campo en el estacionamiento del colegio, utilizando los diferentes métodos y haciendo participar en grupos a los asistentes para

demostrar el manejo de los equipos, la adquisición de datos, cuidado de la calidad de los datos y su procesamiento e interpretación.

El curso contribuyó a demostrar la importancia del conocimiento geológico y de la prospección geofísica para la exploración del subsuelo orientado a la detección de cavidades, la cual debe complementarse con la exploración directa mediante sondeos mecánicos realizados en los sitios puntuales de las áreas prospectadas, donde fue interpretada la posible presencia de las cavidades para confirmar su existencia

Consideraciones de flujo de agua y riesgo en el análisis y

diseño de depósitos

de jales

El pasado 12 de enero, el FluACaMP organizó la conferencia “Consideraciones de flujo de agua y riesgo en el análisis y diseño de depósitos de jales”.

La conferencia fue impartida por Juan de Dios Alemán Velásquez, ingeniero civil por el Tecnológico de Monterrey con maestría en Ingeniería por el Posgrado de Ingeniería de la UNAM, quien cuenta además con maestría en Administración por el ITAM y diplomado en Alta Dirección Empresarial por el IPADE. Ha recibido distintos premios y reconocimientos, entre ellos la medalla de plata Gabino Barreda al mérito académico de la UNAM en 1990. Fue presidente de la SMIG en el periodo 20112012 y profesor del curso de presas en el Programa de Maestría y Doctorado en Ingeniería de la UNAM de 2015 a 2019. Dirigió la sección de geotecnia en la nueva edición del Manual de Diseño de Obras Civiles de la CFE y ha dirigido más de 200 estudios geotécnicos relacionados con líneas de transmisión, subestaciones, centrales termoeléctricas y eoloeléctricas, presas, entre otros. Se ha desempeñado en múltiples cargos de importancia, como la Subdirección de Estudios y Proyectos en Capufe (20212022) y la Subgerencia de Estudios y Proyectos de Ingeniería Civil en la CFE (2003-2021).

Hubo una nutrida participación internacional, con registros provenientes de Bolivia, Brasil, Colombia, Estados Unidos, México, Nicaragua, Perú y Venezuela, que sumaron 113 asistentes.

La conferencia se inició mostrando los conceptos básicos asociados a los depósitos de jales, y se enfatizó la compleja

caracterización geotécnica vinculada con la operación de este tipo de proyectos. Posteriormente se abordaron los aspectos relacionados con los mecanismos de fallas en los depósitos de jales y su clasificación por causas y magnitud en daño. Se mostraron gráficas con registros históricos que revelan un aumento en la incidencia de fallas, principalmente debido a que el crecimiento de la industria minera demanda depósitos de mayores alturas. Las causas más comunes de falla son: a) inestabilidad de taludes, b) eventos sísmicos, c) falla de la cimentación, d) filtraciones excesivas, e) erosión y f) desbordamiento. Se mostraron las guías técnicas e instrumentos normativos existentes que deben ser considerados en el desarrollo de este tipo de depósitos y se expusieron los elementos principales que componen el concepto riesgo: a) probabilidad de ocurrencia

Marzo - Mayo 2024
43 39 42 43 44 45 46 48 38 40

de un evento con potencial de daño, b) probabilidad de falla dado el evento dañino y c) consecuencias detonadas por la falla. Se enfatizó la necesidad de un conocimiento integral del proyecto, desde la etapa de planeación hasta el postcierre, para la toma de decisiones basada en el riesgo. Se mencionaron los aspectos asociados al proceso de análisis y gestión del riesgo:

a) identificación de los peligros y sus modos de falla, b) análisis de las solicitaciones, c) análisis de probabilidades de falla, d) análisis de las consecuencias, e) niveles y métodos de análisis de riesgos, f) evaluación del riesgo y g) tratamiento del riesgo. Finalmente, se abordaron las consideraciones de riesgo asociadas al flujo de agua. Se mencionó la tendencia de cambio de permeabilidad de los jales relacionadas con el proceso constructivo y de operación del depósito. Se expuso la relación que existe entre la permeabilidad de los jales y el bordo iniciador para evitar que la línea de corriente superior interseque el volumen de material que tiende a deslizarse por inestabilidad del talud. Se mostró una comparación de los gradientes críticos de diseño y los evaluados en algunos depósitos fallados, para demostrar que la falla por tubificación puede presentarse para valores muy reducidos. Se mencionaron algunas medidas que logran mitigar el riesgo asociado al flujo de agua.

Al final de la presentación, la SMIG le entregó un reconocimiento al expositor

Uso de geosintéticos en vías férreas

El pasado 21 de febrero se realizó en la sede de la Universidad de las Américas Puebla (UDLAP) Ciudad de México el seminario “Uso de geosintéticos en vías férreas”, organizado por el Comité Técnico de Vías Terrestres de la SMIG, la UDLAP y el Capítulo Mexicano de la Sociedad Internacional de Geosintéticos (IGS). Este seminario reunió a aproximadamente 80 profesionales y expertos del campo, y en él se abordaron aspectos clave como la normativa, el diseño y las características de los materiales utilizados en el diseño de vías férreas. Con una conferencia magistral y 12 conferencias técnicas, los asistentes

obtuvieron una visión profunda y actualizada sobre los avances en este campo, así como las mejores prácticas y técnicas emergentes.

Además de las sesiones técnicas, el evento también incluyó una Expo, donde los patrocinadores del seminario dieron a conocer detalles técnicos de los diferentes geosintéticos disponibles en el mercado destacando sus beneficios y su aplicabilidad en la ingeniería geotécnica. Esta exposición proporcionó a los asistentes una oportunidad invaluable para explorar de primera mano las últimas innovaciones en el campo y establecer contactos con proveedores y expertos en la industria

❘ Núm. 271
44 19 20 30 1 2 3 18 8 10 17

Capítulos estudiantiles

LICENCIATURA DE LA BENEMÉRITA

UNIVERSIDAD AUTÓNOMA DE PUEBLA

El 10 de noviembre de 2023 se llevó a cabo la ceremonia de toma de protesta al Capítulo Estudiantil de la Licenciatura de la Benemérita Universidad Autónoma de Puebla (BUAP) ante la SMIG. A las 12 h, estudiantes, profesores, ingenieros e invitados especiales se reunieron presencialmente para participar en este relevante evento.

Hirving Hernández, estudiante y maestro de ceremonias, presentó a los miembros del presídium, entre los que se encontraban la vocal y coordinadora de los Capítulos Estudiantiles de la SMIG, Yoleida Suárez; el director de la Facultad de Ingeniería de la BUAP, Ángel Cecilio Guerrero Zamora; el profesor Raúl González Padilla; la tutora del capítulo estudiantil, Araceli Aguilar Mora, y el conferencista magistral, Luis Alfredo Solano Boullón.

La conferencia magistral, titulada “Cálculo de capacidades de carga y asentamientos mediante datos de campo obtenidos por pruebas de presiómetro”, generó un gran interés palpable entre los alumnos.

Yoleida Suárez tomó protesta a la mesa directiva del Capítulo Estudiantil de Licenciatura de la BUAP ante la SMIG y los estudiantes se comprometieron con el proyecto. Su presidente compartió el programa de trabajo para el próximo año de su gestión.

POSGRADO DE LA UNAM

El pasado 5 de diciembre de 2023 se celebró la ceremonia de toma de protesta a la nueva mesa directiva del Capítulo Estudiantil del Posgrado de la UNAM ante la SMIG.

Alexandra Ossa López, investigadora y coordinadora del área de Geotecnia del Instituto de Ingeniería, fue la encargada de inaugurar el evento. En su discurso se refirió a la destacada participación del capítulo estudiantil saliente y todas las actividades académicas llevadas a cabo durante el periodo 2022-2023.

Eduardo Botero Jaramillo, tutor del capítulo entrante, expresó su entusiasmo al guiar a estas nuevas generaciones ávidas de aprendizaje y apasionadas por la geotecnia.

El presidente de la SMIG, Ricardo Ortiz Hermosillo, tomó la palabra para saludar a las autoridades presentes y compartir el objetivo de la SMIG de impartir conocimientos a los estudiantes.

La conferencia magistral fue dictada por Alexandra Ossa López, quien compartió su experiencia en la investigación de las características físicas y mecánicas de los agregados pétreos usados en la construcción de vías férreas.

Posteriormente, Manuel Josimar Barroso, presidente saliente del CE, presentó el informe de las actividades que se desarrollaron durante su periodo de gestión.

En seguida, los estudiantes que integran la nueva mesa directiva protestaron cumplir y hacer cumplir los estatutos que rigen a las organizaciones estudiantiles de la SMIG, y reafirmaron su compromiso con la ética profesional y el desarrollo de la ingeniería geotécnica en México.

El nuevo presidente del capítulo, Ariel Iram Casillas, se refirió a las actividades que se desarrollarán durante su gestión, en un discurso que reflejó el entusiasmo y la dedicación de los estudiantes del CE.

Marzo - Mayo 2024
45 39 42 43 44 45 46 48 38 40

POSGRADO DE LA UNIVERSIDAD AUTÓNOMA DE QUERÉTARO

El 8 de diciembre se renovó la mesa directiva del Capítulo Estudiantil de Posgrado de la Universidad Autónoma de Querétaro (UAQ).

Eduardo Rojas González, investigador y coordinador del área de Geotecnia de la UAQ, dio la bienvenida con un discurso lleno de gratitud por la presencia de autoridades y estudiantes; hizo hincapié en el destacado papel del capítulo estudiantil saliente y en todas las actividades académicas que hicieron del 2022-2023 un periodo memorable.

Posteriormente, Ricardo Ortiz Hermosillo, presidente de la SMIG, compartió su alegría por la continuidad del capítulo estudiantil y destacó la importancia de formarse académicamente y comprometerse con la excelencia en el campo de la geotecnia.

La conferencia magistral, “Retos en la aplicación de la mecánica de suelos no saturados en la ingeniería de pavimentos”, estuvo a cargo de Paul Garnica Anguas, director general del Centro de Investigación y Desarrollo en Infraestructura y Seguridad Vial.

Luego, Rafael Ortiz Hernández, presidente saliente del CE, presentó el informe de actividades que se desarrollaron durante su periodo, y a continuación los integrantes de la nueva mesa directiva del capítulo estudiantil rindieron protesta y manifestaron su compromiso de cumplir y hacer cumplir los estatutos que rigen a las organizaciones estudiantiles de la SMIG.

El acto culminó con la presentación de la presidenta del capítulo estudiantil, Jimena Flores Escareño, quien, con un discurso lleno de entusiasmo, compartió las actividades planificadas para su gestión.

LICENCIATURA DE LA UNIVERSIDAD NACIONAL SANTIAGO ANTÚNEZ DE MAYOLO

La Escuela Profesional de Ingeniería Civil de la Universidad Nacional Santiago Antúnez de Mayolo (UNASAM), ubicada en Huaraz, región de Áncash, en Perú, llevó a cabo la ceremonia de toma de protesta del primer capítulo estudiantil de la asociación GEOUNASAM, al unirse a la SMIG. Esta colaboración permitirá el intercambio académico-científico entre Perú y México, y marca un hito en la historia de esta universidad como la primera institución peruana en formar parte de una sociedad internacional.

El acto de toma de protesta se llevó a cabo en el auditorio del Centro Telemática de la UNASAM, en un entorno representativo de las culturas peruana y mexicana. De manera virtual, la SMIG se hizo presente por medio de la vicepresidenta Natalia del Pilar Parra, del secretario, Miguel Mánica, y de la coordinadora de Capítulos Estudiantiles, Yoleida Suárez Arellano.

Raúl Aguilar Becerril impartió la conferencia magistral titulada “La dinámica de suelos en la práctica profesional”, en la que abordó temas relevantes como la respuesta sísmica, la interacción suelo-estructura y la licuación.

Posteriormente, los estudiantes santiaguinos que integran GEOUNASAM de Ingeniería Civil, junto a su tutor, Elio Milla Vergara, rindieron protesta para cumplir con los estatutos de la SMIG, con lo cual se oficializó la creación del Capítulo Estudiantil de la Universidad Santiago Antúnez de Mayolo.

El vicerrector académico, Marco Silva Lindo, destacó la importancia histórica de este acontecimiento y resaltó el valor de que los estudiantes de la Escuela Profesional de Ingeniería

❘ Núm. 271
46 19 20 30 1 2 3 18 8 10 17

Civil formen parte de la SMIG. Por su parte, Tamara Rodríguez Samuel, decano de la Facultad de Ingeniería Civil, expresó su agradecimiento a los estudiantes por su compromiso y participación en este primer capítulo estudiantil.

Tatiana Nicol Méndez Ortiz, presidenta de GEOUNASAM, presentó el plan de trabajo del capítulo estudiantil para el año 2024.

Elio Milla Vergara, impulsor de la iniciativa, compartió sus expecta-

tivas sobre los futuros proyectos que permitirán el fortalecimiento de las capacidades de los estudiantes santiaguinos.

Esta alianza promete abrir nuevas oportunidades para el desarrollo científico y profesional en el campo de la geotécnica de los estudiantes santiaguinos. Además, fortalece los vínculos y fomenta el intercambio de conocimientos y experiencias en beneficio de ambas comunidades estudiantiles

Marzo - Mayo 2024
47 39 42 43 44 45 46 48 38 40 www.cimesa.net Cimentaciones y obra civil Estructuras subterráneas Obras hidráulicas e industriales Estructuras portuarias Cimesa Geotecnia_feb2023.indd 3 24/02/23 9:54

Reunión ordinaria Delegación Regional Baja California

La delegación de la SMIG en Baja California se reunió el 18 de enero de 2024 para su sesión ordinaria correspondiente. El encuentro tuvo lugar en el municipio de Mexicali, con la hospitalidad de Juan Carlos Coronado Fararoni y su equipo.

En esta oportunidad, tal como se había planificado, se contó con la intervención de David Febres Sánchez, gerente comercial senior de Keller Cimentaciones Latinoamérica, quien disertó sobre el potencial de licuación y los sistemas para su mitigación.

A la reunión acudieron más de 30 personas, entre ellas miembros de nuestra delegación y otros profesionales relacionados con el desarrollo de la geotecnia en la región, así como un buen número de estudiantes de Ingeniería Civil de Mexicali de la Universidad Autónoma de Baja California, el Tecnológico de Tijuana y la Universidad de las Californias Internacional, interesados por esta rama de su

carrera profesional; varios profesionales de otros estados estuvieron conectados a la sesión de manera virtual.

En la plática, que fue en todo momento cautivante, llena de recursos técnicos y experiencias, se dio cuenta de los últimos avances y la práctica actual sobre las características de este fenómeno, las metodologías para su diagnóstico y las estrategias de mitigación. Las preguntas, la discusión y los comentarios revelaron un

Asamblea ordinaria

Delegación Regional Puebla

En el marco de la asamblea ordinaria de la Delegación Regional Puebla ante la SMIG, el 18 de enero pasado Miguel Ángel Mánica Malcom impartió la conferencia “Condiciones no drenadas en análisis numéricos”, en las instalaciones del Colegio de Ingenieros Civiles de Puebla. El tema fue de gran interés para los asistentes, dada su utilidad en el análisis de una amplia gama de problemas geotécnicos. La conferencia, que fue atendida en formato híbrido, tuvo un total de 214 asistentes. Una vez concluida la parte técnica, se procedió a realizar la asamblea ordinaria, en la cual se discutieron detalles sobre

gran interés de los participantes, así como el dominio del tema y la habilidad de facilitación por parte de nuestro invitado.

Quedamos a todos muy agradecidos por esta oportunidad, y comenzamos así un gran 2024, deseando para todos éxito profesional y una activa participación en las actividades de la delegación, bajo la dirección de la mesa directiva. Queda mucho trabajo por hacer, pero estamos en el camino

la elección de la próxima mesa directiva, que se programó, de conformidad con los estatutos vigentes de nuestra sociedad, para el 22 de marzo del año en curso

❘ Núm. 271
Rubén Domínguez Alfaro, Norma Patricia López Acosta Alexandra Ossa López, Yoleida Suárez
48 19 20 30 1 2 3 18 8 10 17
Marzo - Mayo 2024 39 42 43 44 45 46 48 38 40

CDMX 2024

XXXII REUNIÓN NACIONAL DE INGENIERÍA GEOTÉCNICA

XXIII REUNIÓN NACIONAL DE PROFESORES DE INGENIERÍA GEOTÉCNICA

VIGÉSIMOSÉPTIMA CONFERENCIA

“NABOR CARILLO FLORES”

UNDÉCIMA CONFERENCIA

“RAÚL J. MARSAL CÓRDOBA”

SÉPTIMA CONFERENCIA

“LEONARDO ZEEVAERT WIECHERS”

QUINTA CONFERENCIA

“EULALIO JUÁREZ BADILLO”

SEDE:

Hotel Bel Air CDMX - WTC (Antes Crowne Plaza WTC) Dakota 95, Nápoles, Benito Juárez, 03810 Ciudad de México, CDMX

SEPTIEMBRE 2024 Sociedad Mexicana de Ingeniería Geotécnica, AC Mesa Directiva 2023 - 2024
óricos
03 AL 07 DE

Turn static files into dynamic content formats.

Create a flipbook
Issuu converts static files into: digital portfolios, online yearbooks, online catalogs, digital photo albums and more. Sign up and create your flipbook.