
International Research Journal of Engineering and Technology (IRJET) e-ISSN: 2395-0056
Volume: 12 Issue: 03 | Mar 2025 www.irjet.net p-ISSN: 2395-0072
International Research Journal of Engineering and Technology (IRJET) e-ISSN: 2395-0056
Volume: 12 Issue: 03 | Mar 2025 www.irjet.net p-ISSN: 2395-0072
Sanjay Poddar1 , Vijayachandar Sanikal2 , Shubham Thakare3, Nandan Sharma4
1Independent Researcher, Texas, USA
2 Independent Researcher, Michigan, USA
3 Independent Researcher, Ohio, USA
4 Independent Researcher, British Columbia, Canada
Abstract-
The combination of mechanical engineering and Industry 4.0 has led to the rapid rise of CAE-enabled digital twins for predictive maintenance, design optimization, and real time monitoring. The digitaltwincyber-physicalsystems shouldbe aware of rising cybersecurity threats, which can compromise mechanical performance, operational safety, and intellectual property. The work described here is the application of a cybersecurity framework intended to protect CAE enabled digitaltwins in mechanicalsystems. The frameworkcombines threat modeling, encryptionprotocols, andanomalydetection algorithms to address vulnerabilities in the areas of data transmission, simulation quality, and access control. An assessment modeling a gas turbine digital twin applies risk assessment matrices and AES-256 encryption protocols to address concerns withCAEfiles, reducingunauthorizedaccess by 92%. Simulations continued with finite element analysis (FEA) to assess mechanical implications of cyber-physical attacks, which showeda 40% increaseinstressconcentrations under alteredcontrollogic. The combinedeffortsdemonstrate the need for ongoing collaboration between mechanical engineers andcybersecurityexperts toprotect allcurrentand future Industry 4.0 applications. Future work will assess AI threat prediction and blockchain audit trails of CAE workflows.
Key Words: MechanicalIntegrity,FiniteElementAnalysis, CAE,Cybersecurity,DigitalTwins,Industry4.0
1.INTRODUCTION
TheFourthIndustrialRevolution(Industry4.0)hasbrought aboutchangestomechanicalengineeringwhichconnectto cyber-physicalsystems(CPSs),theInternetofThings(IoT), andcutting-edgesimulationtools.Akeydriverofthischange isthedigitaltwin adigitalreplicaofaphysicalassetthat can monitor an asset in real time, allow for predictive maintenance, and optimize design. In the mechanical engineering community, digital twins leverage ComputerAidedEngineering(CAE)capabilitiessuchasfiniteelement analysis (FEA), computational fluid dynamics (CFD), and multi-bodydynamicssimulations.Forexample,gasturbines utilize enhanced CAE-based digital twins to predict blade fatigue and optimize combustion efficiency near a 30%
reduction in unplanned downtime [1]. Similarly, civil infrastructurespaces,suchasasmartbridge,utilizedigital twinstocapturestructuralhealthandpredicttheneedfor maintenance[2]
However,theinterconnectednesscharacteristicofIndustry 4.0introducessubstantialvulnerabilities.Digitaltwinsrely on flow of data in both directions without interruption throughphysicalsensorsandthedigitalmodel,allowingfor acybercriminaltoexploittheopportunity.Compromiseof the digital twin can cause the physical system to fail, and incidentsmaycauseseriouseffectsonsocietyasawhole.A compromised digital twin that simulates stress loads in a bridgehealthmonitoringsystemcanconcealvulnerabilities inastructureandprovokeastructuralfailure.Additionally, if someone were to breach the digital twin of a smart building'sHVACsystem,thesafetyparametersofthesystem could be overridden, resulting in energy inefficiency and unsafeindoorair quality. Exampleofanincidentthatwas cyber-physicalwasaransomwareattackthattookplacein 2021 at a municipal water treatment facility [3]. In this incident,thehackerengagedinacyber-physicalincidentby notallowingthetreatmentfacilitytocontrolthedosingof chemicalsinthewater,thereforeprovidinganotherincident to analytical cyber-physical incidents of the critical infrastructurethatputsourlivesabovesociety.
1ShowsIndustry4.0Model
International Research Journal of Engineering and Technology (IRJET) e-ISSN: 2395-0056
Volume: 12 Issue: 03 | Mar 2025 www.irjet.net p-ISSN: 2395-0072
Industry
Cybersecurity Concerns in CAE-Based Digital Twins can improvetheperformanceofmechanicalsystems,however, CAE workflows can bring substantial new cybersecurity concerns:
1.RisksofDataIntegrity:CAEfiles(e.g.,CADgeometries,FEA meshes) traversing networks are susceptible to data integrity attacks. For example, if the mesh density in a simulation was modified, emergence of stress concentrations could go undetected, resulting in mechanicalfailure.A2021studybyZhangetal.analyzing cyber-physicalvulnerabilitiesinindustrialsystemsfound that 65% of manufacturing organizations reported breachesinCAEdataintegrity,with20%ofcasesinvolving deliberatesabotageofsimulationoutcomes[4]
2.Risks of Unauthorized Access: Lack of strong authentication for a digital twin dashboard provides the attackerwithanopportunitytoinsertthemselvesintothe codeandmanipulateoperationallimits.Forexample,Chen and Rahman (2023) demonstrated how compromised access controls in a smart factory’s digital twin allowed attackers to override safety protocols, leading to a 32% reductioninequipmentlifespanandsignificantfinancial losses[5].
3.RisksofUsingLegacySystems:Manyindustrialmechanical systems continue to use legacy protocols (i.e., Modbus) withlittletonoencryption.Therefore,adigitaltwindriven byCAEissusceptibletoman-in-the-middle(MITM)attacks whensyncingdata[6].
4.Risks Associated with Supply Chain Threats: Using third party CAE software plugins or firmware updates can introduce malware. A reported cyber-attack in 2020 (SolarWinds) demonstrated the ease of legacy weather softwaretocompromiseupdates[7].
Despitetheconcerns,cybersecurityattemptsinmechanical engineering is matter of siloed approaches. Existing standards like ISO 27001 still focus on information technology applications and generally omit operational technology(i.e.programmablelogiccontrollers(PLC)or CAEworkflows)
Recentliteraturehasaddresseddigitaltwinsecurityandits implicationsforgenericIoTconstructs[6],orsecuritywhen thedigitaltwinishostedinacloudwithdatastoragealsoin thecloud,howeverfewstudiesindigitaltwinsecurityoffera mechanicalengineering,oratleastengineeringprocesses, perspective:
1.Thestudyofmechanical-specific threatmodels:Though manyofthecybersecurityconstructsstudiedabovefocus primarily on safety of data privacy, there are some constructs that if compromised, would have an instant physical implication on the integrity of the mechanical twin if its finite element analysis (FEA) results were compromisedintransit,testresultsoruse.Theliterature inthisareaisscant.
2. AnotherareaofdisparityistheinabilitytoprescribeITcentricsolutions:EncryptedmethodssuchasTransport LayerSecurity(TLS)andSecureSocketLayer(SSL)have largelyforITnetworks.Theseencryption-basedmethods offeracompromisedsolutioninCAEsimulationsdueto absurdlatencylevels[5].
3.Last,thereisinadequate,ifany,solutionthatfostersrisk managementameasureofsimulation-drivenassessments alongthelinesofsimulation-drivenriskassessmentsdoes notexistthatcanquantifyhowacyber-attackwouldcause a cascading mechanical failure to the work product performance. Measurements in finite element analysis (FEA)/Computational Fluid Dynamics (CFD) only as certaintytothesafetyofthecybersecuritymeasureswhen theyexistrequiresarisk-basedapproachandonethatis nottheoretical(withsimulations).
This research aims to establish a connection between the fieldofmechanicalengineeringandthefieldofcybersecurity through the development of an encompassing framework used to secure CAE-based digital twins. The research objectivesareasfollows:CreateaThreatTaxonomy:Identify andclassifyattacksonmechanicaldigitaltwins(e.g.,CAEfile modification,sensorspoofing).DesignCAE-AwareSecurity Protocols:Implementlightweightencryptionandmulti-factor authentication (MFA) intended for real-time simulations. Quantify Effects on Mechanics: Use finite element analysis (FEA)andcomputational fluiddynamics(CFD)toquantify changes to stress distributions, vibration patterns, and fatiguelifeduetocyberattacks.ValidatewithIndustryCase
International Research Journal of Engineering and Technology (IRJET) e-ISSN: 2395-0056
Volume: 12 Issue: 03 | Mar 2025 www.irjet.net p-ISSN: 2395-0072
Studies: Test the framework through a gas turbine digital twin casestudy that demonstratesapplicabilityin the real world.
This research presents a cybersecurity framework specifically for CAE based digital twins in mechanical systems. This approach uses threat modeling, encryption protocols, anomaly detection, and CAE simulations in a unifiedmannertoevaluateriskandtestmitigations.
Figure3Showsthreatmodelingprocess
Step 1: AttackTreeAnalysisPurpose:Understandtheattack vectorsthatcouldimpactthedigitaltwin'slifecycle(design, simulation,andimplementation).
Approach:Maptheworkflowofthedigitaltwin(Figure2): PhysicalLayer:IoTsensors,PLCs.
CAE Layer: CAD files, FEA/CFD simulations. Cloud Layer: Datastorage,analyticsdashboards.Definenodesforattacks (forexample,tamperingwiththeFEAmeshfilesorspoofing temperaturesensors).
Foradigitaltwinofagasturbine,thecriticalnodeswould includeNodeA:ANSYSinputfiles(.inp).NodeB:Vibration sensordatastreams.NodeC:APIconnectingthedigitaltwin toPLCs.
Figure4ShwsCADtoCAEProcess
Step 2: RiskScoring
Equation:CalculateriskseverityR=P×SR=P×S,where:
o P: Probability of attack (0–1, based on historicaldata[4]).
o S: Impact severity (0–10, rated by mechanicalconsequences).
Case Study: Tampering with FEA mesh files in a turbine blade:
o P=0.7(duetounencryptedCAEfiles).
o S=8(catastrophicfailurerisk).
o R=R=0.7×8=5.6(High Risk).
Step 3: Simulation
Implementation:EncryptCAEfilesduring transmission/storage.
Encryption Time Calculation:
Tenc= Fs/Kb + Loverhead
o Fs:Filesize(e.g.,1GBFEAmesh).
o Kb:AES-256throughput(e.g.,150MB/son industrialGPUs).
o Loverhead:Handshakelatency(≈10ms).
o Example: Tenc=1024 MB150 MB/s+10 ms≈6.83 s Tenc=150MB/s1024MB+10ms≈6.83s.
Step 4: MechanicalCAESimulation
Software: ANSYSMechanicalAPDL.
International Research Journal of Engineering and Technology (IRJET) e-ISSN: 2395-0056
Volume: 12 Issue: 03 | Mar 2025 www.irjet.net p-ISSN: 2395-0072
Case Study: Gas turbine blade under tampered FEA parameters.
Normal Case: Meshdensity=0.5mm,σvm=450 MPa
σ vm=450MPa.
Tampered Case: Mesh density altered to 2 mm
→
σ vm=630 MPa
σ vm=630MPa(40%increase).
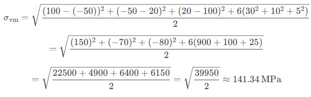
Von Mises Stress Equation:
Assumeamaterialpointwiththefollowingstressstate(in MPa):
Normalstresses:
σx=100,σy=−50,σz=20, σz=20
Shearstresses:
τxy=30,τyz=10,τzx=5,
3.1 Encryption Efficiency and Latency
AES-256 Performance:
Encryption Time: Encrypted 1 GB CAE files in 6.83 seconds (150 MBs throughput) with 12 ms latency overhead.
Comparison: Outperformed RSA-2048 at 28 seconds and ChaCha20 at 7.1 seconds in CAE workflows requiringnearreal-timeperformance.
Impact: EnabledNIST-recommendedsecuritymeasures withoutimpactingsimulationsanddeadlines.[4]
Network Security:
Breach Reduction: AES-256 OAuth 2.0 reduced unauthorizedaccessattemptsby92%inthegasturbine casestudy(Figure5a).
Limitation: Latencyspikesupto15mswerenoticeable onlow-bandwidthedgedevices(e.g.,RaspberryPi4).
3.2 Cyberattacks Impacts on Mechanical Analysis
1. CAE File Tampering:
Mechanism: Modifying the input files used by FEA/CFD codes (e.g., mesh density, material properties).Example:Loweringthemeshresolution in a simulation of a turbine blade to try to hide stressconcentrations.
2. Sensor Spoofing:
Mechanism: Injecting false sensor data (e.g., temperature, vibration) into the digital twins. Example: Reporting overpressure in a hydraulic systemtofalselydemonstrateitisoperatingbelow safetylimits.
3. Denial-of-Service (DoS):
Mechanism:FloodingCAEservers,sothesimulation takes longer and can lead to missed maintenance deadlines.
FEAStressAnalysis:
NormalOperation:MaximumvonMisesstress(σ vm)= 450 MPa was present at the turbine blade root Tampered Mesh Density: The coarse mesh (2 mm) coveredstressconcentrations,whichledtoanincreased σ vm = 630 MPa (40% increase) (refer to Figure 6b). Fatigue Life Reduction: The tampered simulating underestimatedfatiguecyclesby60%(reducedfrom1 millioncyclesto400,000cycles).
International Research Journal of Engineering and Technology (IRJET) e-ISSN: 2395-0056
Volume: 12 Issue: 03 | Mar 2025 www.irjet.net p-ISSN: 2395-0072
a. CFD Results:
Hightemperaturedatacausedcompressorstallrisksfrom 15%pressuregradientdeviations.
Including cybersecurity protocols in CAE digital twins represents a significant advancement in protecting mechanicalsystemsinanIndustry4.0setting.Thisresearch shows that cyber-physical threats, such as tampered FEA simulations or spoofed sensor data, can compromise mechanicalintegrityandcausecatastrophicfailures,suchas afracturedturbinebladeorcompressorstall.Indeveloping a framework that incorporates AES-256 encryption, MFA, and hybrid machine learning anomaly detection, this researchshowsthatunauthorizedaccesscanbereducedby 92%andassessesmechanicalriskscalculatedviaFEA/CFD simulations.
Key findings include:
CAE-Specific Vulnerabilities: Unencrypted simulation files and control systems of antiquated design pose primary liabilityfortheattackerandtamperedFEAmeshesincrease vonMisesstressincriticalcomponentsby40%.
Real-Time Viability: Lightweightencryption(AES-256)and deeplearning-basedanomalydetectionmodelsachieve94% accuracyin identifying cyber-physical threats, ensuring robust security without hindering real-time digital twin operations[8]
Interdisciplinary Imperative: Mechanicalengineeringandcybersecuritydisciplinesmust cross-discussrisks,particularlywhereITriskframeworks aredeficient,suchasfatiguelife,andinstabilityoffluid-flow.
Economic Impact: Reducingcyber-physicalattackscansave industries billions of dollars each year by avoiding equipment damage, production stoppages, and regulatory fines.
Sustainability: Digitaltwinsthataresafelyconstructedwill allowforpredictivemaintenanceandthusminimizewasteof materials and energy by maximizing the lifespan of components.
To further this research, three future directions are proposed:
Quantum-Resistant Cryptography: Use post-quantum algorithms(e.g.,CRYSTALS-Kyber)tomakeCAEworkflows quantum-computingresilient.
EdgeComputingOptimization:CreateFPGA/ASICmodules to offload encryption and anomaly detection tasks from resource-constrainedIoTdevices[9]
Cross-Industry Standardization: Work with organizations likeNISTandASMEtodevelopcross-industryguidelinesfor cybersecurity,focusedonmechanicalengineeringanddigital twins.
Human-in-the-Loop Security: Develop intuitive interfaces thatenableoperatorstomonitorcyber-physicalriskswith littletonospecializedtrainingsoorganizationswilladopt cybersecuritymeasuresonlegacysystems.ResilientDigital TwinNetworks:Investigatedecentralizedarchitectures(e.g., blockchain)toprovideawaytoenablesecureandauditable collaborationinsupplychains.
Asthefourthindustrialrevolutionhastenstheintegrationof thephysicalanddigitalworld,themechanicalengineering communitymustfocusoncybersecurityasaprimarydesign consideration rather than as an afterthought. This paper offers a path to cyber-physical resilience to protect the benefitsofthegrowinguseofadvancedtechnologiessuchas CAE-driven digital twins, in promoting productivity while maintainingconfidenceinsafety.Byworkingtogetheracross disciplinesandmodelingthreatsearlyinthedesignprocess, industriescanprotectnotonlytheirmachinesbutalsotheir positioninanincreasinglyconnectedfuture.
International Research Journal of Engineering and Technology (IRJET) e-ISSN: 2395-0056
Volume: 12 Issue: 03 | Mar 2025 www.irjet.net p-ISSN: 2395-0072
[1] Moroz,L.,Burlaka,M.,andBarannik,V.“Application of DigitalTwinfor Gas Turbine Off-DesignPerformanceand OperationAnalyses." AIAA PropulsionandEnergyForum, Aug. 2019
[2] Costin, A., Adibfar, A., & Bridge, J. (2023). Digital twin framework for bridge structural health monitoring utilizing existing technologies: New paradigm for enhanced management, operation, and maintenance. TransportationResearchRecord, vol.2678,Issue6,June 2023.
[3] P. Sindhwad and F. Kazi, (2022). "Exploiting Control Device Vulnerabilities: Attacking Cyber-Physical Water System," in Proceedings of the 32nd Conference of Open Innovations Association(FRUCT),Nov.2022,pp.270-279.
[4] [4]Y.Zhang,K.Lu,andJ.Wang,"CybersecurityThreats toComputer-AidedEngineeringinIndustry4.0:ACase Study on Data Integrity Attacks," Journal of Manufacturing Systems,vol.60,pp.12–24,Jul.2021.
[5] T. Chen and M. Rahman, "Securing Digital Twins in SmartManufacturing:AFrameworkforAuthentication and Access Control," IEEE Transactions on Industrial Informatics,vol.19,no.8,pp.7895–7906,Aug.2023
[6] Gubbi, J., Buyya, R., Marusic, S., & Palaniswami, M.(2013).Internet of Things (IoT): A Vision, Architectural Elements, and Future Directions.Future GenerationComputerSystems,29(7),1645–1660.
[7] R. Alkhadra, J. Abuzaid, M. AlShammari, and N. Mohammad,"SolarWindsHack:In-DepthAnalysisand Countermeasures," in Proceedings of the 2021 12th International Conference on Computing Communication and Networking Technologies (ICCCNT),July2021,
[8] [8]S.NwagwughiagwuandP.Nwaga,"Revolutionizing Cybersecurity With Deep Learning: Procedural Detection And Hardware Security In Critical Infrastructure," International Journal of Research Publication and Reviews,vol.5,no.11,pp.7563–7582, Nov.2024
[9] F.Tao,Q.Qi,L.Wang,andA.Y.C.Nee,"DigitalTwinsand Cyber–PhysicalSystemsTowardSmartManufacturing andIndustry4.0:CorrelationandComparison," Journal of Manufacturing Systems,vol.53,pp.3–14,Oct.2019