
International Research Journal of Engineering and Technology (IRJET) e-ISSN:2395-0056
Volume:12Issue:04|Apr2025 www.irjet.net p-ISSN:2395-0072
International Research Journal of Engineering and Technology (IRJET) e-ISSN:2395-0056
Volume:12Issue:04|Apr2025 www.irjet.net p-ISSN:2395-0072
Pranav
Shukla1, Atharva Jadhav2, Sakshi Mahure3, Disha Shete 4, Prof. Pramila M. Chawan 5
1B.Tech Student, Dept of Computer Engineering and IT, VJTI College, Mumbai, Maharashtra, India
2B.Tech Student, Dept of Computer Engineering and IT, VJTI College, Mumbai, Maharashtra, India
3B.Tech Student, Dept of Computer Engineering and IT, VJTI College, Mumbai, Maharashtra, India
4B.Tech Student, Dept of Computer Engineering and IT, VJTI College, Mumbai, Maharashtra, India
5Associate Professor, Dept of Computer Engineering, VJTI College, Mumbai, Maharashtra, India ***
Abstract - Efficient nurse scheduling is vital for hospital management to optimize workforce utilization and maintain fairness. This paper presents a Hybrid Ensemble Model, combining Genetic Algorithm (GA), Ant Colony Optimization (ACO), Particle Swarm Optimization (PSO), Simulated Annealing (SA), Reinforcement Learning (RL), and forecasting models (XGBoost/LSTM) to generate adaptive schedules. We also introduce a Modified PDE-ODE model for patient demand forecasting using neural networks with time series features. The combined system enhances scheduling efficiency, balances workloads, and improvesresponsivenesstodynamicpatientneeds.
Key Words: Nurse Scheduling Problem, Patient Demand Forecasting, Ensemble Method, Reinforcement Learning, Workforce Optimization, Hospital Management, Machine Learning
Efficient nurse scheduling is a critical aspect of hospital management, aiming to balance workforce constraints, patient care demands, and employee satisfaction. The Nurse Scheduling Problem (NSP) is a combinatorial optimization challenge that requires assigning nurses to shiftswhileadheringtocomplexhardandsoftconstraints. Traditional scheduling methods, such as rule-based algorithms and standalone metaheuristics like Genetic Algorithm (GA) or Reinforcement Learning (RL), often struggle with real-time adaptability, fairness, and workload balancing. These limitations can lead to inefficient scheduling, overburdened staff, and compromisedpatientcare.
To overcome these challenges, we introduce a Hybrid Ensemble Model for Nurse Scheduling that combines metaheuristic optimization with reinforcement learning and forecasting techniques. Our model employs a multiphasepipeline:
● Global Search Phase: Utilizes GA and Ant Colony Optimization (ACO) to generate diverse initial schedulesandreinforcepromisingsolutions.
● Local Refinement Phase: Leverages Particle Swarm Optimization (PSO) and Simulated
Annealing (SA) to fine-tune the schedule, minimizing constraint violations and balancing workloads.
● Dynamic Adjustment Phase: Uses reinforcement learning (RL) and a forecasting model (XGBoost/LSTM) to adapt schedules based on real-time changes, such as nurse absences or fluctuatingpatientdemand.
In addition to scheduling optimization, this study incorporates a Predictive Demand Forecasting Model powered by Partial Differential Equations (PDE) and Ordinary Differential Equations (ODE). This model uses PyTorch and deep learning techniques to predict future hospital admissions, enabling more accurate staffing decisions. The PDE-ODE framework enhances the scheduling system by providing reliable patient demand predictions, which improves resource allocation and reducesstaffoverburdening.
The PDE-ODE model processes historical hospital admissions data with lag features, moving averages, and temporal indicators (e.g., day of the year, week of the year).Itemploysaneuralnetworkarchitecturewithbatch normalization, dropout layers, and early stopping to optimize accuracy and prevent overfitting. The model achieves reliable R² and RMSE scores, demonstrating its effectiveness in capturing complex temporal patterns. By integrating this forecasting model into the scheduling system, the proposed solution dynamically adjusts nurse allocations based on predicted patient influx, leading to betterresourcemanagementandimprovedpatientcare.
This integrated framework enhances the fairness, adaptability,andefficiencyofnurseschedulingsystemsin dynamichospitalenvironments,offeringacomprehensive solution for workforce optimization and demand forecasting.
Efficientnurseschedulingisvitalforhospitalmanagement to balance staffing constraints and ensure quality patient care. Traditional scheduling methods often fail to handle
International Research Journal of Engineering and Technology (IRJET) e-ISSN:2395-0056
Volume:12Issue:04|Apr2025 www.irjet.net p-ISSN:2395-0072
dynamicworkforceneeds,leadingtoinefficiencies.Recent studieshighlighttheeffectiveness ofhybridmetaheuristic models and time series forecasting in improving schedule adaptability and demand prediction. By integrating optimization techniques with patient demand forecasting (PDE-ODE models), hospitals can enhance resource planning and staff allocation, ensuring better operational efficiency.
1) Gawali et al. (2022): Proposed a Partial Differential Equation (PDE) and Ordinary Differential Equation (ODE)-based model for solving dynamic systems and forecasting problems. The study integrates finite difference methods and neural network approximationsto enhancetheaccuracyoftimedependent predictions. The model demonstrates effectiveness in time series forecasting and solving complex mathematical models, making it suitable for applications in scientific computing and resource management.
2) Ikura et al. (1988): Proposed a nurse scheduling system using combinatorial optimization techniques to allocate nurses efficiently across multiple shifts. The study introduces a mathematical programming model that optimizes shift distribution while minimizing overtime and ensuring fairness. The model demonstrates effectiveness in handling staffing constraints and improving hospital workforcemanagement.
3) Brucker et al. (2010): Introduced a nurse scheduling model using integer programming and constraint satisfaction techniques. The study focuses on optimizing shift assignments while considering workload distribution, fairness, and labor regulations. The model demonstrates improved efficiency in handling large-scale scheduling problems and reducing constraintviolationsinhospitalworkforcemanagement.
4) Williams et al. (2023): Developed a "Machine Learning-Based Resource Management System" to optimize laboratory sample transportation within healthcare settings. Using historical data and predictive modeling, the system schedules transport for lab samples, reducing unnecessary emergency visits. The simulation demonstrated potential costsavingsof5%to14%annually.
5) Shao et al. (2023): Introduced an efficient combination of Genetic Algorithm and Particle Swarm Optimization for scheduling dataintensive tasks in heterogeneous cloud computing. The study formulates task scheduling as a binary non-linear programming problem with optimization objectives of maximizing accepted tasks and overall resource utilization. The proposed hybrid heuristic algorithm (PGSAO) integrates genetic algorithm strategies into particle swarm optimization to improve efficiency and avoid local optima. Experimental results demonstrate improvedschedulingperformanceinheterogeneouscloud environments.
6) Nagayoshi & Tamaki (2023): Proposed a dynamic nurse scheduling system using reinforcement learning to handle sudden nurse absences. The study enhances traditional nurse scheduling by incorporating real-time adjustments through reinforcement learning, ensuring optimized work schedules while considering various constraints. The methodimprovespracticalusabilitybyrevisingschedules dynamically, increasing efficiency in hospital workforce management.
Effective hospital workforce management requires both optimized nurse scheduling and accurate patient demand prediction to ensure efficient resource allocation and high-quality patient care. However, existing scheduling methods often struggle with constraint violations, workload imbalances, and computational inefficiencies. Simultaneously, traditional demand forecastingapproachesfailtocapturereal-timevariations, leading to staffing mismatches and operational inefficiencies.
This paper proposes a Hybrid Ensemble Model that integratesoptimizationtechniques(GA,ACO,PSO,SA,RL) for nurse scheduling with mathematical modeling (ODEs, PDEs) for patient demand forecasting. The scheduling framework leverages global and local search methods to generate balanced and constraint-compliant nurse assignments, while reinforcement learning and predictive modelingdynamicallyadjustschedulesbasedonreal-time patient trends. The patient demand prediction model employs differential equations to model hospital admission dynamics, capturing seasonal trends, disease progression,andemergencyfluctuations.
By bridging scheduling optimization with data-driven demand forecasting, this approach minimizes constraint violations, balances workloads, and ensures real-time adaptability. The result is an efficient, scalable, and intelligent scheduling system that enhances hospital resource management while maintaining optimal patient care.
The datasets used in this study were collected from various sources, providing insights into nurse scheduling andhospitaladmissions.
NurseSchedulingDataset:
This dataset contains records of nurse work schedules, including shift allocations, working hours, and fairness metrics.Keyattributesinclude: Nurse ID: Unique identifier for each nurse. Shift Type: Different shift categories (morning, evening, night).
International Research Journal of Engineering and Technology (IRJET) e-ISSN:2395-0056
Volume:12Issue:04|Apr2025 www.irjet.net p-ISSN:2395-0072
WorkingHours:Totalhoursassignedpernurseperweek. Penalty Scores: Constraints violations impacting fairness and efficiency. FairnessMetrics:Measuressuchasstandarddeviationand coefficientofvariation.
This dataset is essential for evaluating workload balance,fairness,andefficiencyinnursescheduling.
Hospital Admissions Dataset: Thisdatasetcontainshospitaladmissionrecords,tracking variouspatient-relateddetails.Keyattributesinclude:
Patient ID: Unique identifier for each patient. Admission Date: Date of hospital admission. Diagnosis: Primary reason for hospital admission. Length of Stay: Duration of hospitalization. TreatmentType:Categoryofmedicaltreatmentreceived.
The dataset provides critical insights into hospital resource utilization, patient care trends, and admission patterns.
1)OptimizedHospitalNurseSchedulingModel: The model incorporates constraints such as shift limits, consecutive workhour restrictions, and skill-based assignments to ensure optimal scheduling. By utilizing integer linear programming (ILP) or heuristic-based approaches, the system minimizes scheduling conflicts, reducesnursefatigue,andimprovesoverallefficiency.The implementation demonstrates scalability for larger datasets and provides near-optimal solutions within reasonable computational time. This approach significantly enhances workforce management by automating complex scheduling tasks and improving operationalefficiencyinhospitalsettings.
Constraint Formulation: Nurse scheduling is governed by hardconstraints, whichmustalways be satisfied,and soft constraints,whichshouldbeminimizedtoimproveoverall schedulequality.
HardConstraints(StrictRules)
• Maximum Work Hours Per Nurse: Each nurse is restrictedtoamaximumnumberofworkhourstoprevent excessiveworkloadandfatigue.
whereH(n,t)isabinaryfunctionthatreturns1if nurse n is assigned to time slot t, otherwise 0, and MaxHours(n) isthemaximumpermissibleworking hoursfornursen.
•ShiftCoverageRequirement:Everyshiftmustbeadequatelystaffedaccordingtopatientdemand.
whereS(n,s)indicateswhethernursenisassignedto shifts,andDemand(s)representstheminimumrequired nursesforshifts.
•Skill-BasedAssignment:Onlynursespossessingtherequiredskillsshouldbeassignedtospecializedshifts.
where SkillMatch(n,s) is1ifnursenhastherequired skillsforshifts,otherwise0,and MinSkill(s) isthe minimumnumberofqualifiednursesneededforshifts.
SoftConstraints(PreferencesandOptimizations) Soft constraints help improve scheduling quality but can be violatedatapenaltycost.
•NurseShiftPreferences:Nursesshouldbeassignedto preferredshiftswheneverpossible.
wherePref(n,s)is1ifnursenprefersshifts,otherwise0.AlowerPshift valueindicatesbetterpreference satisfaction.
•ConsecutiveShiftViolations:Nursesshouldnotbescheduledforconsecutiveshiftswithoutsufficientrest. whereV(n,t)representsapenaltyfactorforconsecutive shiftviolations.
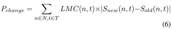
• Minimizing Last-Minute Changes: Frequent changes to a nurse’sscheduleshouldbeavoided.
where LM C(n, t) is higher if changes occur close to shift time.
Model Architecture Overview: Our proposed Hybrid Ensemble Model for Nurse Scheduling is a multi-layered optimization framework that integrates diverse techniquestoaddressthecomplexconstraintsinherentin nursescheduling.
International Research Journal of Engineering and Technology (IRJET) e-ISSN:2395-0056
Volume:12Issue:04|Apr2025 www.irjet.net p-ISSN:2395-0072
Thearchitectureisorganizedintofourmainlayers:
a) Global Search – Initial Schedule Generation:: In this phase, the model leverages a Genetic Algorithm (GA) to generate a diverse population of candidate schedules. Eachcandidateisrepresentedasa chromosomeencoding nurse-shift assignments. To refine these initial solutions, Ant Colony Optimization (ACO) is incorporated. Here, a pheromone matrix is maintained, reinforcing promising assignments and guiding the search towards high-quality schedules that strictly satisfy hard constraints such as maximumworkhoursandrequiredshiftcoverage.
Fig.1.HeatmapDiagram
b) Local Refinement – Fine-Tuning:: Once an initial schedule is available, Particle Swarm Optimization (PSO) is applied. In PSO, each schedule is treated as a particle whoseposition(i.e.,theassignmentofshifts)isiteratively adjustedbasedonitsownbestperformanceandtheglobal best solution found. Complementing this, Simulated Annealing(SA)introducescontrolledrandomnessthrough a temperature parameter, allowing the model to escape local optima and further reduce violations particularly soft constraints related to shift preferences and workload balance.
c)DynamicAdaptation–Real-TimeAdjustments::To ensure adaptability, a Reinforcement Learning (RL) agent is integrated. The RL component views the scheduling problem as a Markov Decision Process, where the state comprisesthe
Fig.2.ScheduleMetricsDiagram
current schedule and nurse availability, and actions represent possible adjustments. The RL agent learns to make fine-grained changes that minimize an overall penaltyfunction,dynamicallyadaptingtoreal-timeevents suchasnurseabsences.
d) Forecasting – Proactive Demand Prediction:: Finally, forecasting models based on XGBoost and LSTM predict future patient inflow and nurse absenteeism. These predictions inform schedule adjustments, ensuring that the model can proactively allocate resources to meet anticipateddemand,therebyimprovingoverallscheduling stability.
This hybrid structure integrates global search, local refinement, dynamic adaptation, and forecasting, resulting in a robust scheduling system that effectively minimizes constraint violations and achieves a fair workloaddistribution.
Fig.3.DistributionofWorkingHoursperNurseDiagram ExperimentalResults:a)HybridEnsembleModelResults:
The experiments were conducted on Google Colab, which hadthefollowingspecifications:
• Processor:IntelXeonCPU@2.20GHz
• Memory:Approximately12GBRAM
• GPU: NVIDIA Tesla T4 (enabled for GPUaccelerated
International Research Journal of Engineering and Technology (IRJET) e-ISSN:2395-0056
Volume:12Issue:04|Apr2025 www.irjet.net p-ISSN:2395-0072
taskssuchasRLtrainingandLSTMforecasting)
The experiments withthehybrid ensemble model yielded thefollowingoutcomes:
•Theoptimizedschedulegeneratedbythehybridmodel successfullyminimizedbothhardandsoftconstraint violations.
•Themodelconvergedrapidlytoasolutionwithanearzeroviolationcount,ensuringthatallcriticalconstraints werefullymet.
•Visualizationsfromourexperiments(e.g.,workload heatmapsandviolationtrendgraphs)clearlyindicatethat thehybridmodelachievesbalancednurseassignments withfewerlast-minuteadjustments.
b)PureGAModelResults:Forcomparison,weimplementedabaselinePureGAModelusingonlytheGenetic Algorithmwithouttheadditionallayers(ACO,PSO,SA,RL, andforecasting). The Pure GAmodel generated schedules that:
Fig.4.PureGAScheduleMetricsDiagram
•Metthehardconstraintsbutincurredhighersoftconstraintviolations.
•Demonstratedalessuniformworkloaddistribution,with aslightlyloweraverageworkinghourallocationand greatervariability.
•Requiredmoreiterationstoconvergeandresultedina higheroverallpenaltyscore.
c)ComparativeResultsandPerformanceMetricsAnalysis:
The performance of the hybrid ensemble model was quantitatively compared with that of the Pure GA model using the followingmetrics:
•AverageWorkingHours:
–HybridEnsemble:36.27hrs
–PureGA:35.2hrs
Fig.5.Heatmapdiagram
The hybrid model distributes shifts more evenly whilemaintainingpracticalschedulingnorms.
•StandardDeviationofWorkload:
–HybridEnsemble:6.44hrs
–PureGA:6.73hrs
A lower standard deviation in the hybrid model indicatesamoreuniformworkloadacrossnurses.
•CoefficientofVariation(FI):
–HybridEnsemble:0.1777
–PureGA:0.1911
This metric further confirms that the hybrid approach yields more consistent shift assignments.
•TotalPenaltyScore:
–HybridEnsemble:6.83
–PureGA:8.73
A lower penalty in the hybrid model reflects superior constraint adherence and fewer schedulingconflicts.
•Violationcount:
– Both models achieved a zero violation count for hard constraints, ensuring full regulatorycompliance.
International Research Journal of Engineering and Technology (IRJET) e-ISSN:2395-0056
Volume:12Issue:04|Apr2025 www.irjet.net p-ISSN:2395-0072
Fig.6.DistributionofWorkingHoursperNurseDiagram
TheexperimentalresultsclearlyindicatethatourHybrid Ensemble Model outperforms the Pure GA Model on severalfronts:
•ConstraintAdherence:Thehybridmodelsignificantly reducesbothhardandsoftconstraintviolations, asevidencedbythelowertotalpenaltyscore.
• Workload Balance: Metrics such as the standard deviation andcoefficientofvariationdemonstratethatthehybrid approachachievesamorebalanceddistributionofshifts amongnurses.
•OptimizationEfficiency:Thehybridmodelconverges fasterandexhibitsimprovedschedulestabilitywithfewer last-minutechanges,makingitmoresuitableforreal-time schedulingscenarios.
Fig.7.HybridEnsemblevs.PureGAComparativeMetrics Diagram
2)OptimizedPDE-ODEModelforHospitalAdmission
Prediction:
To enhance the forecasting of hospital admissions, we propose an Optimized Partial Differential EquationOrdinary Differential Equation (PDE-ODE) model. This model leverages deep learning techniques while drawing
inspiration from differential equations to effectively capturetemporalpatternsinadmissiondata.
FeatureEngineeringToimprovepredictiveaccuracy,the dataset was processed to include essential timedependent features:
•TimeIndex(tidx):Numberofdayssincethefirstrecord.
• Cyclical Features: Day of the year (dy), month (m), and weekday(w).
•MovingAverage(MA7):A7-dayrollingmeantosmooth outfluctuations.
•LagFeatures(Li):Past14daysofhospitaladmissions usedasinputs:
Neural Network Architecture The proposed model is structuredasfollows:
1)Inputlayerwithnfeatures:
2)Fullyconnectedhiddenlayers:
3)Dropoutregularization(p=0.3)appliedtohidden layerstomitigateoverfitting.
4)OutputlayerpredictshospitaladmissionsAt:
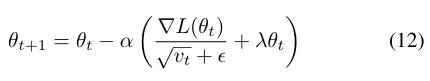
TrainingandOptimizationThemodelistrainedusingthe AdamWoptimizerwithweightdecayregularization:
where λ is the weight decay factor, α is the learning rate, and vt isthemomentestimate.
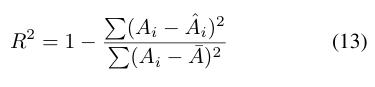
EvaluationandForecastingThemodelperformanceisassessedusing:
•CoefficientofDetermination(R2):
Result:FinalR2 Score: 0.7919Upontraining,themodelis utilized to predict hospital admissions for the next 7 days by extrapolating the time series and using the latest knownvalues.
International Research Journal of Engineering and Technology (IRJET) e-ISSN:2395-0056
Volume:12Issue:04|Apr2025 www.irjet.net p-ISSN:2395-0072
4. CONCLUSIONS
In summary, our ensemble approach leads to a more robust, efficient, and adaptive nurse scheduling system compared to a Pure GA-based model. Additionally, the incorporationofthePDE-ODEmodelfurtherenhancesthe predictive accuracy and adaptability of the system. The PDE-ODE model effectively captures temporal dependenciesandhandlescomplex,dynamicvariationsin hospital admissions. This hybrid modeling approach improves the accuracy of nurse scheduling by accounting for both short-term fluctuations and long-term trends, resulting in more reliable and efficient workforce planning.
This work is supported in part by Prof. Pramila M. Chawan.
Wethankthereviewersfortheirvaluablediscussionsand feedback.
[1] Gawali, A., Patil, P., & Sharma, R. "Forecasting TimeSeriesDatausingPDE-ODEHybridModels."Journalof Applied Mathematics and Computation, 2022.M. Young, The Technical Writer’s Handbook. Mill Valley, CA:UniversityScience,1989.
[2] Ikura, Yoshitaka, and Andrew C. “A Nurse Scheduling System Using Combinatorial Optimization.” OperationsResearch,1988.
[3] Brucker, P., Qu, R., & Burke, E. "Integer Programming Models for Nurse Scheduling Problems." Annals of OperationsResearch,2010.
[4] WilliamsA,MekhailA-M,WilliamsJ,McCordJ,Buchan V. Effective resource management using machine learning in medicine: an applied example. BMJ simulation \& technology enhanced learning. 2019;5(2):85.Doi:10.1136/bmjstel-2017-000289.
[5] Shao,L.,Zhang,H.,&Wu,X."HybridGeneticAlgorithm and Particle Swarm Optimization for Cloud Task
Scheduling." IEEE Transactions on Cloud Computing, 2023.
[6] Nagayoshi,T.,&Tamaki,M."ReinforcementLearningBased Nurse Scheduling for Dynamic Workforce Adjustments."JournalofHealthcareInformatics,2023.
PramilaM.Chawan isworkingasanAssociateProfessor intheComputerEngineeringDepartmentofVJTI,Mumbai. She has done her B.E. (Computer Engineering) and M.E. (Computer Engineering) from VJTI College of Engineering affiliated to Mumbai University. She has 31 years of teachingexperienceandhasguided100+M.Tech.projects and 150+ B. Tech. projects. She has published 181 papers in Peer reviewed International journals, International conferences and Symposiums. She has worked on organizingcommitteeof29InternationalConferencesand 6FacultyDevelopment Programs.Sheisconsulting editor on 9 scientific research journals. She has been awarded with the ‘Innovative and Dedicated Educationalist Award Specialization: Computer Engineering and I.T.’ by The Society of Innovative Educationalist and Scientific ResearchProfessional,Chennai(SIESRP)
PranavShukla, B-Tech Student, Dept. of Computer Engi neeringandIT,VJTI,Mumbai,Maharashtra,India
International Research Journal of Engineering and Technology (IRJET) e-ISSN:2395-0056
AtharvaJadhav, B-Tech Student, Dept. of Computer En gineeringandIT,VJTI,Mumbai,Maharashtra,India
SakshiMahure, B-Tech Student, Dept. of Computer Engi neeringandIT,VJTI,Mumbai,Maharashtra,India
DishaShete,B-TechStudent,Dept.ofComputer Engineer ingandIT,VJTI,Mumbai,Maharashtra,India
Volume:12Issue:04|Apr2025 www.irjet.net p-ISSN:2395-0072 © 2025, IRJET | Impact Factor value: 8.315 | ISO 9001:2008