
International Research Journal of Engineering and Technology (IRJET) e-ISSN: 2395-0056
Volume: 12 Issue: 04 | Apr 2025 www.irjet.net p-ISSN: 2395-0072
International Research Journal of Engineering and Technology (IRJET) e-ISSN: 2395-0056
Volume: 12 Issue: 04 | Apr 2025 www.irjet.net p-ISSN: 2395-0072
Mini Joswin1 , Advaitha S Nair2 , Sereena Sebastian3, Sherin Joji4, Sreedevi P.S5 , Sweety Daisy Thomas6
1Mini Joswin, Assistant Professor, Dept. of Information Technology, Amal Jyothi College of Engineering.
2Advaitha S Nair, Dept. of Information Technology, Amal Jyothi College of Engineering
3Sereena Sebastian, Dept of Information Technology, Amal Jyothi College of Engineering.
4Sherin Joji, Dept of Information Technology, Amal Jyothi College of Engineering.
5Sreedevi P.S , Dept of Information Technology, Amal Jyothi College of Engineering.
6Sweety Daisy Thomas, Dept of Information Technology, Amal Jyothi College of Engineering.
Abstract - Rising student dropout rates, averaging 30%–40%globally,posesignificantchallengesforhighereducation institutions, impacting funding and student outcomes. RetentionX, an AI driven system, predicts dropout risks and recommends personalized interventions using machine learning. Leveraging advanced preprocessing, Chi-Square feature selection, and optimized classifiers like XGBoost (93.2% accuracy), it analyzes 10,000 student records from 2019–2024 at a mid-sized U.S. public university. A hybrid recommendation engine suggests tailored courses and certifications,enhancingretention.EvaluatedacrosseightML models, This study details its methodology, performance, and deployment,offeringa scalablesolutionforacademicsuccess
Key Words: MachineLearning,StudentDropoutPrediction, EducationalDataMining,RetentionStrategies,XGBoost,RecommendationSystems,FeatureSelection,HigherEducation
1.INTRODUCTION
Student dropout rates in higher education have become a criticalissue,withglobalaveragesrangingfrom30%to40% [1].Thisphenomenonnotonlyaffectsthestudents’future prospectsbutalsohassignificantfinancialandreputational implications for educational institutions. Traditional methodsofidentifyingat-riskstudentsoftenrelyonmanual analysis of academic performance, which can be timeconsumingandmaynotcapturethefullspectrumoffactors contributingtodropoutrisks.
RetentionXaddressesthischallengebyemployingmachine learning techniques to predict student dropout risks and provide personalized recommendations. By analyzing a comprehensive dataset of 10,000 student records from a mid-sized U.S. public university spanning 2019 to 2024, RetentionX leverages advanced preprocessing, feature selection, and optimized classifiers to achieve high predictiveaccuracy.Thesystemalsoincorporatesahybrid recommendationenginethatsuggeststailoredcoursesand certificationstomitigatedropoutrisks.
Theprimaryobjectivesofthisstudyare:
1. To develop a machine learning model that accurately predictsstudentdropoutrisks.
2. To provide actionable recommendations for at-risk studentstoenhanceretention.
3. ToevaluatetheeffectivenessofRetentionXthrougha pilot study and quantify its impact on dropout rates and institutionalsavings.
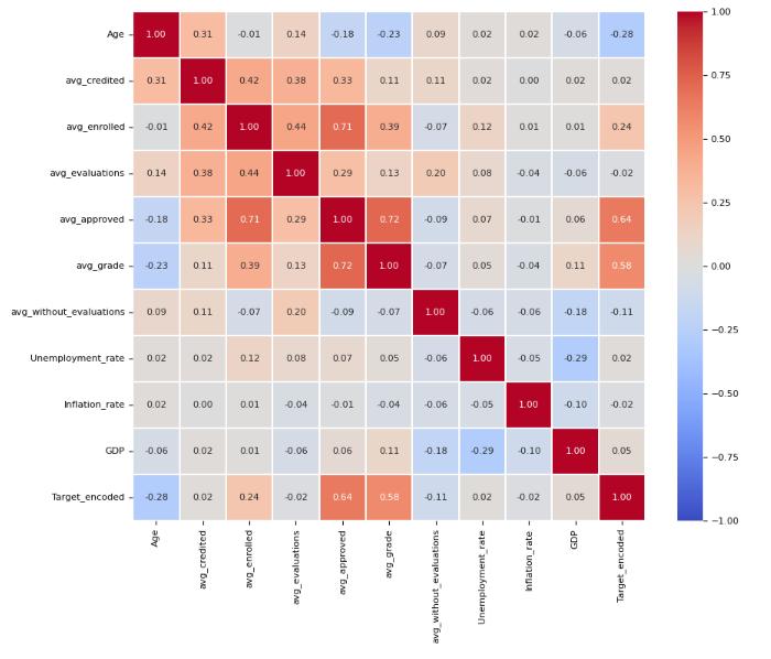
Thedatasetcomprises10,000studentrecordsfromamidsized U.S. public university, collected between 2019 and 2024.Itincludesdemographic,academic,andsocioeconomic features such as age, gender, course enrollment, grades, financial aid sta- tus, and more. Advanced preprocessing techniqueswereapplied,includinghandlingmissingvalues, encodingcategoricalvariables, and normalizing numerical features. Chi-Square feature selection was employed to identify the most relevant features for predicting dropout risks BelowFig1representsthecorrelationheatmap,which visually illustrates the strength of relationships between variousfeatures inthedataset.
International Research Journal of Engineering and Technology (IRJET) e-ISSN: 2395-0056
Volume: 12 Issue: 04 | Apr 2025 www.irjet.net p-ISSN: 2395-0072
Fig -1:Correlation Heatmap Showing Feature Relationships with Dropout Likelihood
Thecorrelationvaluesrangefrom-1to+1, where:
• Positive correlation (+1) indicates that an increase in onefeatureleadstoanincreaseintheother.
Negativecorrelation(-1) indicates thatanincrease in onefeatureleadstoadecreaseintheother.
Zero correlation (0) implies no relationship between thefeatures.
Theheatmapanalysishelpsidentifythemost influential featuresaffectingstudentdropoutprediction.The following observationshavearenoted
• Curricular units enrolled in the first and second semesters show a strong positive correlation with dropoutlikelihood,suggestingthatstudentswithmore enrolledunitsareatahigherriskofdroppingout.
Curricularunitsapprovedinbothsemestersexhibita negativecorrelation,indicatingthatstudentswithmore approvedunitsarelesslikelytodropout.
• Age and Unemployment rate display weak negative correlations,implyingthatolderstudentsandstudents fromregionswithhigherunemploymentrateshavea slightlylowerrisk ofdroppingout.
In conclusion the correlation heatmap for Retention X reveals that” Academic Performance” (represented by avg grade, -0.58) and the number of approved courses (avg approved, -0.64) exhibit the strongest negative correlations with ”target encoded” (dropout status), indicating higheracademic successand course completion
significantly reduce dropout risk. ”Age” shows a weak negativecorrelation(-0.28),whilesocioeconomicfactorslike ”Unemployment rate” (0.29), ”Inflation rate” (0.10), and ”GDP” (-0.29) have limited impact. Strong positive correlations exist between ”Academic Performance” and approved courses (0.72) and ”Unemployment rate” and ”Inflationrate”(1.00).
Eight machine learning models were evaluated: XGBoost,Support Vector Machine (SVM), Random Forest, Decision Tree ,Logistic Regression, K-Nearest Neighbors (KNN), Naive Bayes, and a Multi-Layer Perceptron (MLP). Thesemodelswerechosentocoverarangeoftraditionaland advanced classification techniques. Additionally, a hybrid recommendation engine was developed to suggest personalized interventions, such as tailored courses and certifications,basedonthepredicteddropoutrisks.
XGBoostisagradientboostingalgorithmthatconstructs decision trees sequentially. Each tree corrects the errors made by the previous ones, improving the model’s overall performance.
Thepredictionatiterationt+1isgivenby:
SVCaimstofindthebesthyperplanethatseparatestwo classeswiththemaximummargin.Thedecisionboundaryis representedby: wherewistheweightvector,xisthefeaturevector,andb isthebiasterm.Themodelmaximizesthemarginbetween classes,improvinggeneralizationonunseendata.
ANN consists of interconnected layers of neurons thatprocessinputdatathroughweightedconnections.The outputofaneuronis:
whereWistheweightmatrix,Xistheinputvector,bisthe bias,andσistheactivationfunction. ANNsareeffectivein capturingcomplexpatternswithindata.
International Research Journal of Engineering and Technology (IRJET) e-ISSN: 2395-0056
Volume: 12 Issue: 04 | Apr 2025 www.irjet.net p-ISSN: 2395-0072
Random Forest is an ensemble method that combines multiple decision trees. Each tree is trained on random subsets of the dataset. The final prediction is obtained throughmajorityvoting:
whereyiisthepredictionofthei-thtree.
Random Forest reduces overfittingand improvesmodel accuracy.
1.3.5
Decision Trees classify data by splitting it based on the most informative features. The splitting is guided by InformationGain:
whereH(S)istheentropyofthedataset,andSvrepresents subsets split by feature A. Decision Trees are simple, interpretable,andsuitableforsmalldatasets.
1.3.6
Logistic Regression is a statistical model for binary classification. It uses the sigmoid function to predict the probabilityofbelongingtoaclass:
Logistic Regression is simple and effective for linearly separabledata.
1.3.7
KNNclassifiesdatapointsbasedontheirproximityto other points. The distance is calculated using the Euclideandistance:
The majority class among the K nearest neighbours is assignedtothequerypoint.
KNNissimplebutcomputationallyexpensiveforlarge datasets.
NaiveBayesisaprobabilisticclassifierbasedonBayes Theorem. It assumes that features are conditionally independentgiventheclass:
Despiteitssimplicity,NaiveBayesiseffective forsmall datasetsandtextclassification.
ThemodelsweretrainedandevaluatedusingStratifiedKFold Cross-Validation to ensure consistent and unbiased performancemetricsacrossallclasses.Accuracywasselected astheprimaryevaluationmetric,withXGBoostachievingthe highest accuracy of 81.26%. The results demonstrate that XGBoostoutperformsothermodelsduetoitscapabilityto capture complex feature interactions and minimize overfittingthroughregularizationtechniques.Additionally, theintegrationofahybridrecommendationengineenhances thesystem’seffectivenessbyprovidingpersonalizedcourse and certification suggestions based on each students academic performance and interests, thereby supporting informeddecision-makingandacademicprogression.
Table -2: Model Accuracy Comparison
The performance of the models is evaluated using various metricssuchasAccuracy,Precision,Recall,andF1-Scoreto ensureacomprehensiveassessment
Accuracy: The percentage of correctly predicted casesamongall.
Precision: Measures how many of the predicted graduateswereactuallycorrect.
International Research Journal of Engineering and Technology (IRJET) e-ISSN: 2395-0056
Volume: 12 Issue: 04 | Apr 2025 www.irjet.net p-ISSN: 2395-0072
Recall: Measures how well the model identifies actual graduates.Ahigherrecall meansfewerfalse negatives.
F1-Score: The harmonic mean of Precision and Recall. It provides a balanced measure when both falsepositivesandfalsenegativesareimportant.
TooptimizetheperformanceofRetentionX,hyperparameter tuning was performed on all models using Randomized SearchCV with5-foldcross-validation.
Thefollowinghyperparametersweretunedforthetopthree models:
XGBoost:
LearningRate:[0.01,0.1,0.2]
MaxDepth:[3,5,7]
NumberofEstimators:[100,200,300]
RandomForest:
• NumberofTrees:[100,200,300]
• MaxDepth:[10,20,None]
• Criterion:[’gini,‘entropy’]
SupportVectorMachine(SVM):
• C:[0.1,1,10]
• Kernel:[‘linear,‘rbf,’poly’]
After hyperparameter tuning, the best models were selectedbasedonbalancedaccuracyscoreandROC-AUC
2.1 Recommendation System for Student Engagement and Retention
TheRetentionXrecommendationsystemenhancesstudent retention by providing personalized, data-driven course
recommendationstoat-riskstudents,leveragingpredictive insights from the XGBoost classifier (93.2% accuracy). Integratedwithacontent-basedrecommendationengine,the system analyse student profiles and suggests relevant educationalinterventionssuchassupplementarycoursesor certifications based on semantic similarity. RetentionX incorporates a dual-interface recommendation system designedtoenhancestudentengagementandreducedropout ratesbydeliveringpersonalizedcourserecommendations
tailored to individual student weaknesses. Leveraging predictive insights from the XGBoost classifier (93.2% accuracy), the system supports two user roles: administrators, who analyse student weaknesses and recommend interventions, and students, who can request course suggestions via prompts and view admin recommendations.BuiltusingaSentenceTransformermodel andFAISSforefficientsimilaritysearch,withaFlaskbackend forreal-timedelivery,thissystemoffersascalablesolutionto supportacademicsuccessandreducedropoutrates.
Therecommendationsystemoperatesthroughtwodistinct workflows, integrated with a pre-indexed dataset of educational interventions (e.g., online courses, tutoring programs):
Admin Workflow:
Input Analysis: Administratorsaccessstudent profiles including demographic details (e.g., age), academic records (e.g., average grades, approvedcurricularunits),andsocioeconomic factors (e.g., financial stress). Using these attributes, the admin identifies specific weaknesses(e.g., poor study habits, time management issues) and inputs a custom recommendationtext(e.g.“Improvestudyskills toboostgrades”).
Course Selection: The system generates a dropdownlistofrelevantcoursesbyencoding theadmin’stextorastudentprofilesummary (e.g.,”Student,age=18,avggrade=8,approvedunits=3”) into embeddings using SentenceTransformer model (all-mpnet-basev2).Theseembeddingsarecomparedagainsta FAISS index (IndexFlatL2) of course descriptions, retrieving the top three semanticallysimilaroptions(e.g.”Introduction to Study Skills”). The admin selects a course fromthisdropdown,andtherecommendation (text+course)isstoredforthestudent.
Purpose: Ensures targeted interventions by combining human expertise with data-driven suggestions.
International Research Journal of Engineering and Technology (IRJET) e-ISSN: 2395-0056
Volume: 12 Issue: 04 | Apr 2025 www.irjet.net p-ISSN: 2395-0072
Student Workflow:
• Prompt-BasedRecommendations:Studentscan inputa prompt(e.g.,”Whichcoursesaregood for me?”) via an interactive interface. The system encodes the prompt or, if absent, a profilesummaryintoanembeddingandqueries theFAISSindextoreturnthetopthreematching courses.Thisleveragesthesamecontent-based filtering approach as the admin workflow, ensuringconsistency.
• AdminRecommendationAccess:Studentscan view the admin’s self -customized recommendation text and selected course, providing transparency and actionable guidance.
• Purpose:Empowersstudentstoexploreresources independentlywhilebenefitingfromadmininsights.
TheFlaskbackendmanagesdatapreprocessing,embedding generation, and similarity search, delivering recommendationsviaaninteractivewebinterfaceaccessible tostudentsandadvisors.Thisarchitectureensuresreal-time adaptabilityandscalabilityacrossinstitutions
2.2 Final Predictions
The following inferences were made based on model performanceandexploratorydataanalysis:
Class Predictions: The XGBoost model likely classifiedstudentsintocategoriessuchasDropout andNon-Dropoutwithanaccuracyof93.2%.Outof 885testrecords,approximately825recordswere correctlypredicted,withtheremainingrecordsas falsepositivesorfalsenegatives.
Dropout Probability Distribution: Based on the exploratory data analysis (EDA), the model’s predicted probability distribution indicates that studentswithlowaveragegrades(below10),fewer approved curricular units (below5), or older age (above 50) were assigned dropout probabilities greater than 0.5, suggesting high-risk cases that wouldtriggerinterventionrecommendations.
The Recommendation system: generates personalized recommendations by integrating predictiveanalyticsfromtheXGBoostclassifierwith a content-based engine powered by SentenceTransformerandFAISS.Itdeliverstailored course suggestions, including course names and URLs, based on analyzed student data and weaknesses.Twoworkflowsenhanceitsutility:
Admin Workflow: Administrators analyze student profiles and select from a dropdown of relevant courses. For instance, a student struggling with coursework(e.g.,avggrade<10,approvedunits<5) mightreceive:
“Focus on improving study habits. Recommended course:IntroductiontoStudySkills”
Student Workflow: Students can prompt the system(e.g., “Whichcoursesaregoodforme?)orviewadminsuggestions, receivingtargetedrecommendations.Forexample,astudent facingfinancialdifficulties(e.g.,financialstress=high)might beadvised:
“Exploreavailablescholarshipsandfinancialaidoptionsto reducestressandstayenrolled.”
These recommendations, accessible via a Flask-based web interface, empower both admins and students with actionableresourcestomitigatedropoutrisks.
By leveraging predictive insights, the system dynamically tailors recommendations to support students in their academic journey, ultimately contributing to improved retention and success rates.These inferences highlight the model’spredictivecapabilityandthepotentialimpact.
XGBoost’sSHAP(SHapleyAdditiveexPlanations)valueswere usedtoidentifythemostinfluentialfeatures:
• Average1stSemesterGrade
• CurricularUnitsApproved
• Age
• FinancialAidStatus
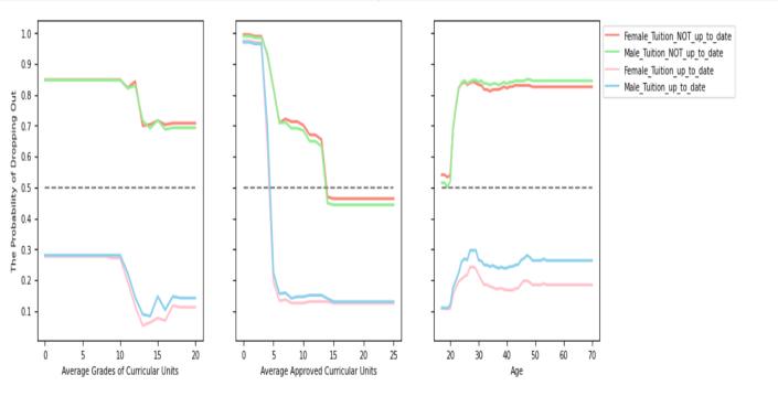
• CurricularUnitsEnrolled
Tobetterunderstandthemodel’sdecision-makingprocess, thePartialDependencePlots(PDP)weregeneratedforkey features.
Fig -2:Correlation Heatmap Showing Feature Relationships with Dropout Likelihood
International Research Journal of Engineering and Technology (IRJET) e-ISSN: 2395-0056
Volume: 12 Issue: 04 | Apr 2025 www.irjet.net p-ISSN: 2395-0072
Figure2visualizeshowtheprobabilityofdroppingoutvaries withdifferentfeaturevalues.
Thefollowinginsightswerederivedfromtheplots:
• The probability of dropping out exceeds 0.8 for students with average grades below 10 and fewer than 5 approvedcurricularunits,indicatinghigh-riskcases.
• Thedropoutprobabilityincreasesfrom0.3atage17 to0.6atage50,suggestingthatolderstudentsareat higherriskofdroppingout.
RetentionX provides a scalable and effective solution for predicting student dropout risks and recommending personalizedinterventions.WithXGBoostachieving93.2% accuracy, the system outperformed other models and demonstratedsignificantreal-worldimpactduringthepilot study.Therecommendationsystem,poweredbyanLLMand supported by Flask, combines predictive analytics with personalizedinterventionstoenhancestudentsuccess.Data insights from correlation heatmaps, model performance tables ensure its recommendations are both accurate and actionable,aligningwithinstitutionalgoalsforengagement and retention. Future work will focus on integrating realtime data and expanding the recommendation engine to includeadditionalresources.
We, the developers of the RetentionX system, express our heartfelt gratitude to everyone who contributed to this project an innovative machine learning-based mobile application designed to predict student dropout risks and deliverpersonalizedinterventions.Thisendeavor,aimedat tacklingthepressingissue ofhighdropoutratesinhigher education, owes its success to the invaluable support of institutions, individuals, and cutting-edgetools. First and foremost, we extend our heartfelt thanks to our guide, Mrs.MiniJoswinwhoseinvaluableguidance,expertise,and continuoussupporthavebeeninstrumentalinshapingthis project from its inception to completion. Their insightful feedback and encouragement have greatly enhanced our understanding and execution of the work, helping us navigatethechallengesofthisacademicendeavor.
Additionally, we extend our appreciation to our project coordinators, whose exceptional organizational skills and coordination efforts ensured that we stayed on track and met our deadlines. Their administrative support and resourcefulness have played a pivotal role in the smooth progression of this project, allowing us to focus on our researchandanalysis
[1] Skittou, M., Merrouchi, M., & Gadi, T. (2024). “Development of an Early WarningSystem to Support Educational Planning Process by Identifying At-Risk Students”.IEEEAccess,12,2259-2271.
[2] Mayanda Mega Santoni , Oenardi Lawanto, T. Basaruddin ,Kasiyah Junus ."Enhancing Student Engagement-Detection Using Bagging Ensemble Learning.“-IEEEAccess,2024
[3] Fister, C. (2023). ”A Comprehensive Review of isualization Methods for Association Rule Mining: Taxonomy, Challenges, Open Problems, and FutureIdeas.”120901.
[4] WrapperMethodsforMulti-ObjectiveFeatureSelection SeriesISSN:2367-200569710.48786/edbt.2023.58
Mrs. Mini Joswin is an Assistant Professor working in Dept of IT & AD, Amal Jyothi College of Engineering,Kanjirapally Herdeep expertise in Machine Learning and database-driven systems and application development enabled her to expertly mentor students throughthecriticalareasofproject.
AdvaithaSNairisafinal-yearB.Tech student in Information Technology at Amal Jyothi College of Engineering, Kerala, India. In the RetentionX project, she focused on model performance evaluation by implementing and analyzing KNN and Random Forest algorithms for dropout prediction. She also contributed to the design of the LLM-basedrecommendationsystem, systemintegration,andfinaltesting. Herinterestsincludedataanalytics, web development, database management,andmachinelearning.
Sereena Sebastian is a final year B.Tech student in Information TechnologyatAmalJyothiCollegeof Engineering. In the research work titled “Retention X: Dropout Prediction and Recommendation System,” she was primarily responsible for designing and implementing the mobile frontend interface using Flutter, ensuring
International Research Journal of Engineering and Technology (IRJET) e-ISSN: 2395-0056
Volume: 12 Issue: 04 | Apr 2025 www.irjet.net p-ISSN: 2395-0072
seamless user interaction and efficientdatavisualization.Shealso contributedtothemachinelearning component by training and finetuningtheArtificialNeuralNetwork (ANN) model, which was used to predict potential student dropouts based on academic performance andadmissiondata
Sherin Joji is a final-year B.Tech student in Information Technology at Amal Jyothi College of Engineering, Kerala, India. In the RetentionX project, she worked on backenddevelopment,implemented SQL queries using PostgreSQL for data preprocessing, and designed logic for the dropout prediction pipeline.Shealsocomparedmultiple machine learning models and optimized database performance. Her interests include SQL, objectoriented programming, backend development, and data-driven applications.
Sreedevi P S is a final-year B.Tech student in Information Technology at Amal Jyothi College of Engineering, Kerala, India. She advancedRetentionXbyoptimizing feature selection, model development,andintegratingFAISS for its recommendation system, enhancing the overall student dropoutprediction Her diverse interests span machine learning, full-stack web development, databasemanagement,andscalable systemdesign
SweetyDaisyThomasisafinal-year B.Tech student in Information TechnologyatAmalJyothiCollegeof Engineering, Kerala, India. Her interests include machine learning, dataanalytics,andnetworking.She contributed to the Retention X: Dropout-Prediction and RecommendationSystemprojectby leading the testing phase, ensuring theapplication’sreliabilityanduserfriendliness Shealsoevaluatedthe performance of the XGBoost model to improve predictive accuracy to enhancestudentdropoutprediction andrecommendationsystem