

Onze zakenpartner in Nederland:
Philippe Kirsch
Four Winds Ballooning
Morgenruwe 64
NL-6218 AW Maastricht
Tel. + 31 652626379 * info@fourwindsballoonig.nl www.fourwindsballooning.nl
Onze gesprekspartner in Belgie: Luc Versporten * Dream Ballooning
Lagen Heirweg 28
B-9270 Laarne
Tel. +32 475 63 22 02 schroederballon@telenet.be * www.dreamballooning.be
Heteluchtballonnen en meer „Made in Germany“ CAO voor alle ballonmerken
Het zomerseizoen is begonnen, en iedere piloot en elk bedrijf heeft zich voorbereid om passagiers een plezierige vaart te bezorgen. Alle materialen zijn klaargemaakt, crew en piloten trainingen afgerond, administratie bijgewerkt, verzekeringen in orde gemaakt, het nieuwe OM ontvangen en de bijlages toegevoegd. En terwijl de maand april een betere start was dan eenieder had verwacht, kenmerkte de maand mei zich door harde wind en vlagerig weer. Volgens de weergoeroe’s gaat het een warme zomer worden, laat het vaarbare weer maar komen!
De DTO heeft zijn trainingen afgerond en velen zijn geslaagd en aan de praktijkopleiding begonnen, allen veel succes met de lessen. In september start het nieuwe opleidingsjaar traditioneel met het vak Meteo. Dus voor nu een welverdiende pauze voor de theoriedocenten; Tom wederom bedankt voor je tomeloze inzet. De praktijk gaat zich dit jaar kenmerken door meer controle en meer afstemming tussen de DTO, de student en de instructeur. Later dit jaar kunnen we alle resultaten en overzichten digitaal bekijken op onze tablet of telefoon. Daarmee gaan we over naar digitale registratie voor de praktijklessen. In een later stadium kunnen we daar ook checks en currency’s op bijhouden.
Het nieuwe Operations Manual is praktischer, we zijn blij met de positieve reacties. Dank aan Martijn Kort voor zijn OM-energie en werk. Martijn zal het eerste aanspreekpunt blijven voor opmerkingen OM.
Het Flight Safety Seminar was een groot succes en daarvoor dank voor het regelen en geven van dit seminar aan Remko en Martijn. Zowel voorafgaand aan de najaarsvergadering van 29-10-2025 als de voorjaarsvergadering van 01-04-2026 zal een Flight Safety Seminar worden georganiseerd.
Tijdens de ALV hebben we met het uitreiken van een onderscheiding in Zilver, afscheid genomen van Hendrik Kort als Penningmeester. Hendrik, dank voor alle inzet en werkzaamheden. Wij wensen onze nieuwe penningmeester Benjamin Urbach veel succes toe.
Dit was mijn laatste voorwoord als voorzitter van de Afdeling Ballonvaren. Mijn werk zit erop. Met heel veel plezier en passie heb ik 10 jaar lang de functie mogen uitoefenen, doelstellingen zijn bereikt en mijn opvolger Alex Jan Barends staat klaar om het stokje over te nemen. Binnen de DTO zal ik de komende jaren nog werkzaam blijven. Ik dank allen en met name de medebestuursleden voor de steun en samenwerking. Ballonvarend Nederland is een bijzondere groep mensen, waar ik met veel plezier voor heb mogen werken.
René Zwarteveen
Ex-voorzitter KNVvL Afdeling Ballonvaren
Het is inmiddels alweer eind mei wanneer ik dit voorwoord aan het schrijven ben. Actueel is in Nederland de Dutch Balloon Trophy, waar we een nieuwe Belgische en Nederlandse kampioen ballonvaren hebben mogen aanduiden. We wensen de kersverse kampioenen David Spildooren en Roy Gommer van harte proficiat met hun prestatie!
Na het enorm natte voorjaar van vorig jaar hebben we dit jaar meer geluk. Het is droog, soms te droog voor onze natuur. Alleen speelt de wind in de avond vaak parten om een veilige ballonvaart te maken. De vaarbare momenten worden benut, maar we wachten toch nog steeds op een stabiele periode om te kunnen zeggen dat het seizoen écht aan de gang is.
We vernamen dat er dit jaar ook reeds hier en daar met landbouwers problemen zijn geweest met het landen in gewassen. We roepen nogmaals op om toch het gezonde verstand te laten primeren bij diverse weertypes, in functie van de regio waar je vaart. Niet overal zijn er momenteel veel mogelijkheden om te landen, met de nodige gevolgen van dien. De landbouwers dienen onze vrienden te zijn – maak er dus geen vijanden van, die niets van ons als ballonvaarders willen weten.
Ik wens jullie de komende maanden véél plezier met alle vaarten die jullie uitvoeren tijdens de zomer. Toon passagiers hoe mooi ballonvaren is, entertain het publiek op ballonmeetings met onze kleurenpracht aan de hemel en vergeet zelf vooral niet te genieten van elke ballonvaart.
Djorry Simoen
Secretaris KBBF
Tijdens de voorjaars-ALV ontvingen aftredend voorzitter René Zwarteveen en aftredend penningmeester Hendrik Kort beiden een KNVvL-onderscheiding uit handen van KNVvL-bestuurslid Ilona Crommentuyn en de kersverse afdelingsvoorzitter Alex Jan Barends. Zij memoreerden dat Hendrik vele jaren actief is geweest binnen de KNVvL, als penningmeester van het hoofdbestuur en van de Afdeling Ballonvaren, waarbij hij steeds naar eer en geweten het beste voor de vereniging nastreefde en daarbij het verenigingsbelang regelmatig boven zijn eigen belang, en soms zelfs boven zijn eigen welzijn, plaatste. Hendrik ontving grote waardering voor zijn inzet en werkzaamheden. Onder voorzitterschap van René Zwarteveen heeft de Afdeling Ballonvaren een sterke ontwikkeling doorgemaakt. Onder andere dankzij de implementatie van de nieuwe EASA-regelgeving en de oprichting van de DTO is een grote professionaliseringsslag gemaakt, waardoor de afdeling nog lange tijd de vruchten zal blijven plukken van René’s onvermoeibare inzet en bevlogenheid. Beide heren kregen voor hun ‘buitengewone verdiensten jegens de vereniging’ de KNVvL Medaille in Zilver opgespeld.
Tijdens de 2024-editie van de Olympische Spelen in Parijs was ’s avonds boven de Franse hoofdstad een gigantische luchtballon te bewonderen, waarbij de suggestie van een vlam onder de ballon werd gecreëerd door waterdamp te verlichten. Het Franse Groupe Aerophile won met deze creatie onlangs een prestigieuze prijs, de ‘Meilleur Ouvrier de France Honoris Causa’ (beste vakmanschap van Frankrijk). De Olympische ballon keerde deze zomer weer terug naar
Parijs: sinds eind juni is de ballon ‘s avonds weer te bewonderen in de Jardin des Tuileries bij het Louvre, tot medio september. Ook in 2026 en 2027 zal de ballon in de zomeravonden de Parijse skyline verlichten.
ANDREE DOCUMENTAIRE: ICE GRAVE
De Andree-poolexpeditie per luchtballon van 1897 spreekt ruim een eeuw na dato nog steeds tot de verbeelding. In een nieuwe 80 minuten durende documentaire ‘Ice Grave’ (IJsgraf) vertelt de Franse regisseur en filmmaker Robin Hunzinger het verhaal over de drie onfortuinlijke poolavonturiers, van wie de resten dertig jaar na de start van de expeditie werden teruggevonden op een onbewoond pooleiland. De documentaire beleefde in mei 2025 haar wereldpremière op het DOK.fest München. De regisseur maakte voor de film gebruik van archieffoto’s, oude filmbeelden, expeditiedagboeken en uiteenlopende animatietechnieken. Door het historische materiaal heen zijn gesprekken verweven met diverse experts, waaronder de Zweedse Andree-onderzoeker Bea Uusma, auteur van o.a. het boek Expeditionen/ The Expedition (2014) over de noodlottige poolexpeditie. Meer info via dokfest-muenchen.de/films/ice-grave.
Katie Griggs heeft haar 35+ jaar ervaring als ballonpiloot, flight instructor en safetytrainer samengebundeld in een basisboek voor studentpiloten in de VS. Hoewel niet EASA-proof vanwege afwijkende regelgeving bevat het boek nog voldoende informatie om ook hier relevant te zijn, waaronder een veelvoud aan oefenvragen voor het (Amerikaanse) theorie-examen. Het boek heeft expliciet studentpiloten als doelgroep; voor piloten met ervaring biedt het weinig nieuwe inzichten. Aanstormende PUTs hongerig naar extra kennis kunnen het boek bestellen via katiegriggslta[at] gmail.com. Soft cover, 176 pagina’s, ISBN 979-8-218-32698-2, prijs ca. €30 plus hetzelfde bedrag aan verzendkosten. Betaling via PayPal.
TMZ ONDER SCHIPHOL TMA1
PERMANENT
Het in 2023 ingevoerde Tijdelijk Gebied met Beperkingen onder de Schiphol TMA1 is sinds 20 maart een permanente maatregel in de vorm van een Transponder Mandatory Zone met uitluisterplicht. De maatregel was eerder tijdelijk ingevoerd om het aantal Airspace Infringements binnen de Schiphol TMA terug te dringen, en blijkt succesvol. Tussen 500ft en 1.500ft AMSL zijn ballonvaarders verplicht transpondercode 7020 te voeren en uit te luisteren bij Amsterdam info 124.300 MHz.
OVERDRESSED
Wie in een toepasselijke outfit de eerstvolgende ledenvergadering van de KNVvL of de KBBF wil bezoeken, kan terecht bij Chantal Hensen uit Roermond. In februari won zij op een internationaal ballonnencongres in Atlanta de derde prijs met haar jurk, volledig gemaakt van ballonnen. Naast jurken maakt ze ook andere balloncreaties voor feesten en partijen. “Ik had nooit kunnen dromen dat ik mijn vaste baan kon opzeggen om alleen nog maar van de lucht te leven”, zegt Chantal. Wil je lichtvoetig de ALV bezoeken? Vul de ballonnenjurk dan met helium.
De inkrimping van de Amerikaanse federale overheid baart lokale ballonvaarders zorgen. De Amerikaanse weerdiensten ontkomen niet aan forse ingrepen, waaronder de opschorting van de Rapid Update Cycles (RUC), het verminderen van het aantal sonde-lanceringen, het inkrimpen van de National Weather Service en vertragingen in de voorspellingsmodellen. Voor de ballonvaart betekent dit een verlies aan wind- en weergegevens. Het opschorten van het RUC-model elimineert een belangrijke bron van snel bijgewerkte weergegevens, waardoor voorspellingen van uur tot uur drastisch veranderen. Het beperken van radiosonde-lanceringen halveert het aantal gegevens over de bovenlucht met 50%, wat leidt tot minder nauwkeurige modelinvoer. En door het vertrek van ervaren personeel bij de National Weather Service worden lokale nuances minder vaak meegenomen in de verwachtingen. De Balloon Federation of America adviseert haar piloten om meteobronnen en -gegevens extra goed te controleren en meerdere modellen te gebruiken, en om een grotere veiligheidsmarge in de besluitvorming te hanteren. In samenwerking met andere (luchtvaart) organisaties is de BFA een lobbycampagne gestart, want “levens, niet politiek, staan op het spel”, aldus de organisatie.
In de nieuwste film van het Hallmark Channel reist verslaggever Brooklyn naar het Albuquerque Balloon Fiesta om daar ballonpiloot Jared te ontmoeten, die romantische ballonvaarten aanbiedt. De film werd grotendeels in december 2024 op locatie in Albuquerque opgenomen, waar Hallmark het Fiesta op onderdelen nabouwde. De film gebruikt ook beeldmateriaal van het echte ABQ Balloon Fiesta. Hoofdrolspeler Paul Greene componeerde zelf een muzieknummer voor de film: ‘Love Is in the Air’. “Geloof me, het nummer zal je hart verheffen als een heteluchtballon bij zonsopgang”, aldus de acteur-componist. Meer info via www.hallmarkchannel.com/love-in-the-clouds.
DOOR FLORIAN POLAK LUCHTVAARTMETEOROLOOG
BALLONVAREN IS EEN UNIEKE VORM VAN LUCHTVAART, WAARBIJ MEN VOLLEDIG
AFHANKELIJK IS VAN DE NATUURLIJKE OMSTANDIGHEDEN IN DE ATMOSFEER. IN TEGEN-
STELLING TOT GEMOTORISEERDE LUCHTVAART SPEELT HET WEER BIJ BALLONVAARTEN NIET ALLEEN EEN ROL, HET BEPAALT OF EEN VAART ÜBERHAUPT KAN PLAATSVINDEN.
Ballonvaarders zijn gewend aan de veranderlijke omstandigheden in ons gematigde zeeklimaat met zijn wisselvallige weer. Maar de opwarming van Nederland gaat gepaard met veranderingen in het weer die in het ene geval gunstig en het andere geval ongunstig uitpakken voor de ballonvaart in Nederland.
Hogere temperaturen zorgen voor minder lift en kortere vaarten
De gemiddelde temperatuur in Nederland is sinds de start van de metingen in1901 met bijna 2 graden Celsius gestegen. Deze opwarming leidt tot een lagere luchtdichtheid. Voor heteluchtballonnen betekent dit dat er meer warmte nodig is om dezelfde lift te genereren. Dit heeft meerdere gevolgen:
• Hoger verbruik van brandstof.
• Kortere vaarten om materiaalbelasting te beperken.
• Meer annuleringen van vaarten of minder personen aan boord tijdens hittegolven wegens verminderde liftcapaciteit.
Inversies bemoeilijken stijgen en dalen
Een inversie ontstaat wanneer de temperatuur toeneemt met de hoogte, in plaats van afneemt (wat normaal het geval is). Inversies ontstaan vaak in dalende luchtmassa’s die door het dalen opwarmen doordat de lucht wordt samengeperst. Deze laag werkt als een deksel op de atmosfeer, waardoor luchtmassa’s niet meer mengen. Ballonnen kunnen hierdoor moeilijk stijgen of dalen door de laag heen. Klimaatverandering versterkt de aanwezigheid en duur van deze inversies, vooral in het zomerhalfjaar door een toename van de dalende luchtbewegingen.
Convergentielijnen veroorzaken onverwachte opstijging en koersverandering
Ballonnen zijn niet bestuurbaar in de klassieke zin; zij drijven mee met de wind. Door te variëren in hoogte kunnen piloten gebruikmaken van verschillende windrichtingen en -snelheden. Een onzichtbaar gevaar in de onderste regionen van de atmosfeer zijn convergentielijnen.
Convergentielijnen ontstaan wanneer lucht uit verschillende richtingen naar elkaar toe stroomt. Vaak gaat het om een zeewindfront wat het land op beweegt, soms tot wel 100 kilometer landinwaarts. Dit veroorzaakt stijgende lucht en kan leiden tot lokale buien, winddraaiingen en turbulentie.
Maar heel vaak ontstaat er enkel bewolking op de convergentielijn en geen buien, zoals bijvoorbeeld voor de situatie in afbeelding 1. En soms ontstaat er zelfs geen bewolking (extra gevaarlijk, want onzichtbaar voor de ballonvaarder). Door de hogere temperaturen in Nederland ontstaan deze lijnen vaker en actiever. Voor ballonvaarders betekent dit risico op koerswijzigingen, moeilijk dalen of landen.
Afbeelding 1 Voorbeeld van weersituatie met een convergentielijn met bewolking boven Noord-Holland op 17 april 2021. Bron: worldview.earthdata.nasa.gov.
Afbeelding 2 Voorbeeld van de opbouw van een nachtelijk windmaximum in Cabauw. Terwijl de wind in de onderste laag van de atmosfeer afneemt, neemt deze vanaf 150 meter juist snel toe. ©KNMI
Afbeelding 3. Een outflow boundary van een bui die zich van Brussel richting Middelburg beweegt, reikt tot voorbij Breda. Hemelsbreed een afstand van 85 kilometer! Bron: www.stormarchive.nl (bewerkt). Zie knmi.nl voor bewegend beeld.
Nachtelijk windmaximum verstoort opstijgen en landen bij rustige omstandigheden Het nachtelijk windmaximum is een verschijnsel waarbij op ongeveer 100 tot 500 meter hoogte een laag ontstaat met hogere windsnelheid dan aan de grond. Dit gebeurt tijdens heldere, rustige avonden als de lucht dicht bij het aardoppervlak sterk afkoelt en de windsnelheid afneemt, terwijl de bovenliggende luchtlagen hun snelheid behouden (zie voorbeeld in afbeelding 2).
In de ochtend is dit belangrijk bij het opstijgen: de ballon kan na enkele tientallen meters ineens in een luchtlaag terechtkomen met veel meer wind, wat zorgt voor onverwachte koersverandering of drift. In de avond speelt het een rol bij het dalen en landen. Vlak voor zonsondergang, als de bodem snel afkoelt, vormt deze luchtlaag zich opnieuw. Tijdens de landing kan de ballon hierdoor plots vaart maken of van richting veranderen — vooral verraderlijk bij ogenschijnlijk rustige omstandigheden aan de grond. Oostelijke windrichtingen, die in de zomer vaker voorkomen door klimaatverandering, versterken het effect van het nachtelijk windmaximum.
Hevige buien en windstoten bedreigen avondvaarten
Het Nederlandse neerslagpatroon verandert ook zichtbaar onder invloed van klimaatverandering. De jaargemiddelde neerslaghoeveelheid neemt toe, terwijl het aantal dagen waar-
op neerslag valt ongeveer gelijk blijft. De neerslagverdeling wordt dus grilliger: perioden van langdurige droogte wisselen zich af met korte, hevige buien. De intensiteit van buien neemt toe doordat warmere lucht meer waterdamp kan bevatten. Deze buien ontstaan vaak in de loop van de middag en vormen een groot risico voor een ballonvaart.
Bij zware onweersbuien kan een luchtballon op 50 kilometer afstand te maken krijgen met de windstoten van deze bui (outflow boundaries genoemd, zie afbeelding 3). Vaak worden vaarten pas op het laatste moment geannuleerd op basis van radar of buienverwachtingen.
Zijn er ook positieve effecten?
• Sneller opdrogende weilanden en akkers in het voorjaar door toegenomen verdamping in combinatie met hogere temperaturen. Ballonmanden en materiaal kunnen daardoor makkelijker van het land gehaald worden, zonder dat tractoren of jeeps vastlopen.
• Het ballonvaartseizoen kan eerder starten, soms al in maart of zelfs februari bij droge omstandigheden.
• In een toekomstig klimaat verloopt vooral de zomer droger. Hoewel hittegolven nadelig kunnen zijn, zijn sterke hogedrukgebieden met weinig wind juist gunstig voor ballonvaart.
• Betere zicht- en wolkencondities door minder vaak mist. Mist komt vooral in de herfst en winter voor, maar tegenwoordig veel minder vaak dan vroeger. Dat komt niet zozeer door klimaatverandering, maar vooral doordat de lucht schoner is geworden door milieubeleid. Er ontstaat vaak een uitstekend zicht tot wel tientallen kilometers ver. Vooral voor de passagiers is dit fijn, het zorgt namelijk voor spectaculaire uitzichten.
• Ook lage bewolking lijkt minder vaak voor te komen, wat voor minder annulering en uitstel van geplande vaarten leidt.
Klimaatverandering maakt het ballonvaren in Nederland complexer. Hogere temperaturen, grilliger windpatronen en hevige buien zorgen voor extra risico’s en vaker geannuleerde vaarten. Tegelijk ontstaan er ook kansen: sneller opdrogende weilanden, langere periodes van stabiel weer en een ruimer vaarseizoen maken sommige omstandigheden juist gunstiger. Ballonvaren blijft magisch, maar vereist in de toekomst meer meteorologische precisie dan ooit. Het KNMI maakt daarom in het ballonvaartseizoen iedere dag een speciale verwachting voor ballonvaarders.
Auteur Florian Polak is luchtvaartmeteoroloog bij het KNMI. Hij publiceerde dit artikel op 28 mei 2025 als KNMI-klimaatbericht op knmi.nl. Met toestemming overgenomen in Ballonstof. © KNMI.
HET IS WARM, NOG ZO’N 21 GRADEN TIJDENS DE BALLONVAARTPERIODE. JE ZOU
VAREN OP EEN 180 MET 6 PASSAGIERS, MAAR HOE WEET JE OF JE DE BALLON NIET TEVEEL BELAST? “LOAD CALCULATIE”, ROEPEN WE NU IN KOOR. MAAR HEBBEN WE NOG SCHERP HOE DEZE TE GEBRUIKEN? OF DOEN WE VEEL OP GEVOEL? IN DEZE EDITIE VAN TECHNIEK EN MEER GAAN WE OP HERHALING.
MTOM en load calculaties
Met MTOM wordt Maximum Take Off Mass bedoeld. Dit geeft het maximale aantal kilogrammen weer dat je met een bepaald type ballon mag tillen, en wordt gedefinieerd door bijv. de maximale sterkte van de gebuikte load tapes. De waarden voor de MTOM vind je in de flight manuals (FM’s) van de fabrikanten. Vaar je bijvoorbeeld een Cameron A-105, dan is de MTOM 952 kg. In enkele FM’s wordt gesproken over MTOW (maximum take-off weight), maar daarmee wordt hetzelfde bedoeld.
Bij een load calculatie kijken we naar de omstandigheden zoals vaarhoogte en temperatuur en hieruit rolt dan een draagkracht. Deze draagkracht mag uiteraard de MTOM niet overschrijden maar moet wel voldoende zijn om de ballon en de passagiers die dag te kunnen tillen.
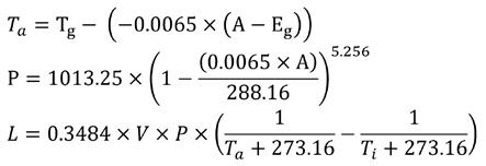
In formules
De draagkracht is te berekenen aan de hand van een aantal formules. Deze formules gaan uit van een standaard atmosfeer waarbij de druk op zeeniveau 1013,25 hPa is en de temperatuur iedere 1000ft 2°C afneemt (6,5°C per km, formule 1).
Formule 2 berekent de druk op de maximaal geplande vaarhoogte (volgens ISA). En met formule 3 kun je de draagkracht daar van je ballon berekenen.
A maximaal geplande vaarhoogte in m
Eg elevation startveld in AMSL (m)
L draagkracht in kg
P luchtdruk op maximaal geplande vaarhoogte in hPa / mbar
Ta omgevingstemperatuur vaarhoogte in °C
Tg omgevingstemperatuur startveld in °C
Ti gemiddelde temperatuur envelope in °C (maximaal 100 °C)
V envelope volume in m3
Vul je formule 2 in op de plek van de P in formule 3 en is het volume van je ballon bekend, dan blijven er maar 3 variabelen over. Dit zijn Ta, Ti en A. Wanneer de temperatuur op hoogte niet bekend is, dan is deze te berekenen met de eerste formule. Als we nu ook nog eens uitgaan van een temperatuur in de envelope van 100°C en dat de startvelden in Nederland ongeveer op zeeniveau liggen, dan is de draagkracht alleen nog maar afhankelijk van de geplande vaarhoogte en de temperatuur (aan de grond).
Om de load calculatie enigszins te vereenvoudigen, hebben de fabrikanten bovenstaande formules al vertaald in diagrammen die vrij eenvoudig af te lezen zijn. Zo’n diagram gaat dus uit van een aantal basiscondities waaronder een standaard atmosfeer (geen inversie) en een temperatuur in de ballon van 100°C. Ter illustratie is het diagram uit de Flight Manual van Cameron genomen.
De doorgetrokken blauwe lijnen geven de hoogte aan en de gestippelde blauwe lijnen de temperatuur. Volgens ISA is de standaard temperatuur op zeeniveau 15°C (punt 1), Daarbij hoort dan een draagkracht van zo’n 17,4 lb (pond) per 1000 ft3. Dit komt overeen met 17,4 / 2,2 = 7,9 kg per 1000 ft3. Is de temperatuur aan de grond (of beter: op zeeniveau) 10 °C hoger dan ISA (punt 2), dan is de draagkracht nog maar 14,9 / 2,2 = 6,8 kg per 1000 ft3. Voor een 105 scheelt dit dus zo’n 127 kg (1,1 x 105) aan draagkracht bij de start.
Hoe lezen we die diagrammen ook alweer?
We gaan uit van een Cameron A-180 met een totaal gewicht van 681 kg (envelope, mand, brander, volle cilinders en apparatuur). Piloot weegt 90 kg en de 6 passagiers bij elkaar 552 kg. Het totaal dat we deze vaart moeten tillen is dus 1323 kg. Uit de FM halen we het MTOM van de ballon en deze bedraagt 1633 kg, ruim voldoende dus.
Maar kan het ook op basis van de condities buiten?
Voorbeeld 1
Je wilt met de ballon naar 3000 ft en de temperatuur op die hoogte is bekend, nl 11 °C. In het diagram volgen we de paarse lijn. Van 11 °C gaan we omhoog tot de 3000 ft lijn en vervolgens naar rechts om daar 16,7 lb per 1000 ft3 af te lezen. Om nu de totale draagkracht te bepalen dient eerst de 16,7 lb te worden omgezet naar kg, dit komt op 16,7 / 2,2 = 7,6 kg per 1000 ft3. Vervolgend bepalen we het draagvermogen voor de 180 en die komt daarmee op 7,6 x 180 = 1368 kg. Met een totaalgewicht van 1323 kg is de reserve dus 1368 – 1323 = 45 kg.
Voorbeeld 2
We starten met dezelfde ballon ergens in het buitenland van een startveld met een elevatie van 3000ft en willen graag naar 10.000ft. De temperatuur op hoogte is niet bekend maar aan
de grond is het 8 °C. In dit voorbeeld gaan we dus uit van de standaard temperatuurafname volgens ISA. Volg in het diagram de rode lijn tot aan 3000ft. Dit geeft je de draagkracht aan de grond (17,5 lb). Vervolgens parallel aan de ISA lijnen naar 10.000 ft. Daarbij hoort dan een draagkracht van 16,3 lb per 1000 ft3. Wanneer we dit weer doorrekenen naar de ballon, dan hebben we een draagkracht van (16,3 / 2,2) x 180 = 1333 kg. Nog steeds een liftreserve van 10 kg dus.
Soms staan er in de FM ook tabellen die het snel mogelijk maken de draagkracht te bepalen. Zie voorbeeldtabel onderaan deze pagina. Zou je bijv. varen met een Cameron O-31 en komt de draagkracht uit op 15,6 lb per 1000 ft3, dan zie je in de tabel dat de draagkracht ligt tussen 214 en 228 kg. Voor 15,6 lb geldt dan 214 + 0,6 x (228 – 214) = 222 kg.
Bovenstaande formules en diagram gaan uit van een standaard atmosfeer waarbij de temperatuur met de hoogte afneemt. Hebben we een inversie, dan moet de temperatuur op hoogte bekend zijn om een goede berekening te kunnen maken. Je kunt daarvoor de methode uit het eerste voorbeeld gebruiken. Door de hogere temperatuur zal de draagkracht minder zijn.
Velen van ons hebben in de jaren echt wel een gevoel ontwikkeld wat haalbaar is v.w.b. mee te nemen aantal passagiers. We zien echter ook steeds meer het belang van een gedegen vaartvoorbereiding en daar hoort een load calculatie zeker ook bij. Velen van ons hebben dit al geautomatiseerd, terwijl anderen gebruik maken van beschikbare apps en websites. Hoe je het doet maakt uiteindelijk niet uit, maar het zal een vast onderdeel moeten zijn in de vaartvoorbereiding van iedere piloot.
IN DIT NEGENDE DEEL VAN EEN SERIE ARTIKELEN OVER MELDINGEN VAN VOORVALLEN EN INCIDENTEN, ZOOMEN WE IN OP HOE HET VMS TEAM EN DE KNVVLWOORDVOERDERS JE KUNNEN HELPEN BIJ EEN VOORVAL.
NAMENS VMS-KNVVL
DOOR SEBE KRUIJER EN JAN OUDENAMPSEN.
Het kan gebeuren dat een ballonvaart net iets anders verloopt dan je had verwacht, eenieder is dit al eens overkomen. We spreken dan over een ‘voorval’. Dat het anders gaat dan verwacht, moet je zien in een breed perspectief: van lijnen in de knoop tot het aanvaren van een obstakel of letsel bij een landing. Bij dit alles is het van belang dat een voorval of incident gemeld wordt. Niet omdat het moet, maar omdat we er samen van kunnen leren, en daardoor het ballonvaren veiliger en makkelijker kunnen maken. Overigens: maak ook een melding indien er geen goede of slechts onduidelijk communicatie mogelijk was met - of is gegeven door - de luchtverkeersleiding.
Van elkaar leren
Wij hebben als KNVVL Afdeling Ballonvaren het meldingsportaal die door de VMS-commissie wordt beheerd, met als doel
om elkaar te helpen bij een melding en ervan te leren. Elke melding, groot of klein, wordt vertrouwelijk behandeld. Er zal nooit een melding door de VMS-commissie naar buiten worden gebracht, anders dan met toestemming van de melder. Al doet sociale media haar best om hier anders mee om te gaan…
Binnen de VMS-commissie zijn er altijd twee personen die een reactie krijgen als er een melding binnenkomt. Zij bekijken wat de aard van de melding is en of deze correct en volledig is ingevuld om ervan te kunnen leren. Wanneer bijvoorbeeld het in de knoop raken van een lijn of katrol meerder keren bij dezelfde fabrikant en/of hetzelfde type ballon voorkomt dan kunnen, dankzij de melding, collega-ballonvaarders voor vervelende verrassingen worden behoed. Ook kan het probleem worden doorgegeven aan de CAMO en aan de fabrikant,
zodat ook die ervan kunnen leren, en wellicht dat er een aanpassing of verbetering uit voortkomt.
Bij ernstigere incidenten, denk hierbij aan letsel of aan het aanvaren van een andere ballon of een obstakel, dient er altijd binnen 72 uur een melding aan ILT, ABL en het OVV gedaan te worden. Het VMS-team helpt om dit goed en volledig te doen, en ondersteunt in het vervolgtraject. Je krijgt advies wat te doen met de melding, maar zal deze NOOIT zonder toestemming zelf doorsturen. Het is de verantwoordelijkheid van de melder om dat wel of niet te doen. Tevens kun je ervoor kiezen om een melding anoniem te doen. Let wel, een melding kan door eenieder gemaakt worden en niet alleen door een ballonvaarder. En een melding kan overigens ook rechtstreeks naar ABL/ILT en OVV verstuurd worden. En is er iets gebeurd waar je hulp bij nodig heb, of indien je niet precies weet wat te doen, stuur dan een voorvalmelding alleen naar de KNVVLVMS, en vul bij de omschrijving ‘Graag hulp’ in.
Woordvoerders
Belangrijk om te weten is dat het VMS-team er is om jou te helpen bij een ernstige situatie, waarbij je vaak al genoeg aan je hoofd hebt. Als er dan ook nog een melding op tijd gedaan moet worden en de media alles van je wil weten, dan staan de hulptroepen dus voor je klaar! Bel een woordvoerder van de KNVVL Afdeling Ballonvaren en verwijs media door naar deze persoon, om deze vervelende taak van je over te nemen.
De woordvoerders van de KNVVL Afdeling Ballonvaren zijn Alex Jan Barends (06-52626338), Monique Hoogeslag (0623505807) en Jan Oudenampsen (06-53336933) en de woordvoerder voor DTO-gerelateerde zaken is René Zwarteveen (06-15054777). Zet ze in je contacten, zodat je ze snel en gemakkelijk kunt bereiken. Als je verwacht dat de media je voorval gaat oppakken, dan is het zeer wenselijk dat je de woordvoerders inlicht omdat zij door de landelijke nieuws-
diensten vaak ook rechtstreeks benaderd worden. Dan is een goede tekst en uitleg noodzakelijk, om verdere speculaties te voorkomen.
Kennis opfrissen
Het luchtruim wordt steeds complexer en de ruimte voor de kleine luchtvaart kleiner. Wie heeft deelgenomen aan het laatste Flight Seminar heeft een mooie opfriscursus gehad. Was je niet in de gelegenheid om erbij te zijn, lees dan de presentatie nog eens na op Mijn KNVvL of vraag een FI hoe en waar je actuele informatie over het luchtruim kunt vinden. We hebben er samen voor te zorgen dat er geen argumenten bijkomen om beperkingen op te leggen aan de ballonvaart.
Seizoenstart
Het seizoen is weer begonnen met april als prachtige ballonmaand en in mei weinig goede dagen om te varen. We zien dat het begin van het seizoen gepaard gaat met meer voorvallen. Het lijkt, net als vaak bij andere seizoensgebonden beroepen en sporten het geval is, dat er opstart problemen zijn om alles weer scherp te krijgen. Er zijn in het winterseizoen bij menigeen de nodige veranderingen geweest, zoals een ander merk ballon of grotere maat, waar wellicht nog onvoldoende ervaring mee is.
We zijn als ballonvaarder allemaal enthousiast als we weer de lucht in mogen, maar blijf alert en maak een melding van je voorvallen om het ballonvaren steeds leuker en nóg veiliger te maken.
Het seizoen is al in volle gang en we wensen je nog veel veilige vaarten en mooie landingen.
Het melden van ballonvaart-gerelateerde voorvallen kan gemakkelijk én snel, via https://melden.ballonvaren.vliegveiligheid.nl/
DOOR GERJAN CREBOLDER
‘ZWEVEND DOOR DE TIJD’ IS DE TITEL VAN EEN PRACHTIGE TENTOONSTELLING OVER DE GESCHIEDENIS VAN DE BALLONVAART, DIE NOG TOT 13 SEPTEMBER KAN WORDEN BEZOCHT. OP VERZOEK VAN HET MUSEUM LUNTEREN RICHTTE HET BALLONMUSEUM BARNEVELD I.O. DE EXPOSITIE IN.
Onder de bezielende leiding van de voorzitter van het ballonmuseum, Henriëtte Wardenaar, werd een razend interessante tentoonstelling ingericht met voorwerpen uit de collectie van het museum i.o. aangevuld met bijzondere bruiklenen van derden. De opening vond plaats op 2 mei, waarbij de Belgische uitvinder Frédéric Maron het publiek vertelde over zijn recente innovatie: een nieuw type gasballon. Na het officiële gedeelte bekeken de genodigden de expositie.
Inrichting
Centraal in de tentoonstelling staat een 17 meter lange tijdlijn die door middel van tekst, beeld en historische objecten een prachtig beeld geeft van de Nederlandse geschiedenis van de ballonvaart. Dit door Han Nabben samengestelde overzicht bevat 22 tijdvakken en vele unieke voorwerpen, waaronder de allereerste Nederlandstalige ballonvaartboeken uit 1784; een pamflet uit 1804 van ballonvaartpionier Abraham Hopman; een unieke ballonvariometer uit de 19e eeuw en het logboek uit 1935 van een luchtballon die ooit toebehoorde aan de voorloper van onze eigen KNVvL Afdeling Ballonvaren, de ‘Nederlandsche Ballonsportvereeniging’.
Thema’s
Daarnaast kan de bezoeker aan de ballonvaart gerelateerde voorwerpen, oude en nieuwe instrumenten en afbeeldingen bekijken, die thematisch zijn opgesteld - met onder andere aandacht voor special shapes, de Gordon Bennett race, wedstrijdvaren, luchtschepen en prachtige, vaak antieke, objecten-met-ballonvaartthema. Ze geven een overzicht van al hetgeen de geschiedenis van de ballonvaart zo fascinerend maakt. Naast materiaal van het Ballonmuseum zelf, bestaat dit gedeelte van de tentoonstelling uit bruiklenen van onder andere Hans van Hoesel, Jan Vermeulen en de schrijver van dit artikel. Eén vitrine is gewijd aan het Internationaal Ballonfiësta Barneveld: de aanleiding voor de inrichting van de tentoonstelling. ‘We zien de ballonnen vanuit Barneveld hier overkomen. Zo werd het idee voor de wisselexpositie geboren’, aldus een museummedewerker.
Schoolklassen
Wie de jeugd heeft, heeft de toekomst en dat geldt ook voor de ballonvaart. Het museum verwelkomt de komende tijd vele schoolklassen en de tentoonstelling vervult daarmee ook een
educatieve taak. Bij binnenkomst vallen direct twee ballonmanden-met-toebehoren op; een heteluchtvariant en een gasvariant. De kinderen wordt zo op een toegankelijke manier het verschil tussen deze beide vormen van luchtvaart uitgelegd. Verder zijn er een speurtocht en een educatiehoek ingericht en er is een boekje beschikbaar, geschreven door Hans van Hoesel, over de allereerste bemande ballonvaart in Nederland. Na het bezoek aan de tentoonstelling kunnen alle jonge (en oudere) bezoekers een van twee ballonvaarten winnen, ter beschikking gesteld door Mees van Dijk en Oscar Dragt.
Omroep Gelderland en Online Barneveld besteedden uitgebreid aandacht aan de tentoonstelling en ook de bezoekers blijken enthousiast. Een inwoonster van Barneveld, tevens manager bij het Airborne Museum Hartenstein, vond het desgevraagd een leuke en informatieve tentoonstelling die haar een goede indruk gaf van alles rond ballonvaren, van verleden tot heden. ‘Ik vond de tijdlijn erg duidelijk. En de speurtocht voor kinderen maakt het ook voor die groep bezoekers aantrekkelijk om de tentoonstelling te bezoeken. Ook vond ik de vele foto’s van special shapes heel bijzonder.’ Oud-ballonvaarder Willem Lancee verbaasde zich over alles wat er te zien is. ’Ik had er werkelijk geen idee van dat er nog zoveel moois bewaard is gebleven. Het is een schitterende tentoonstelling, ik ga er beslist nog een keer naar toe.’ KBBFbestuurslid Luc Van Geyte uit België reageerde via Facebook op zijn bezoek aan de expositie: ‘De tentoonstelling neemt je mee in de fascinerende wereld van het ballonvaren van de allereerste bemande vaart tot de kleurrijke ballonnen van nu. Je ontdekt hier niet alleen de geschiedenis maar ook prachtige verhalen en technische snufjes. Ben je in de buurt? Ga zeker eens kijken’.
“Ik had er werkelijk geen idee van dat er nog zoveel moois bewaard is gebleven”.
De eerste plannen voor een Barnevelds ballonmuseum stammen uit het begin van de jaren ’90. Oud-voorzitter Ben Bläss van het Internationaal Ballonfiësta maakte medebestuursleden er enthousiast voor. In de loop der jaren ontving het museum in oprichting een aantal schenkingen en erfenissen, onder andere van Nini Boesman, Bouke Zonneveld, Gé Lazarom, Geert Sprenger, Cees van der Knaap en anderen. De bibliotheek van het museum vond onderdak bij het Pluimveemuseum en het overige materiaal ligt opgeslagen in een door een aannemersbedrijf ter beschikking gesteld depot. Helaas moet dat binnenkort worden afgebroken om plaats te maken voor nieuwbouw. Het museum is dringend op zoek naar vervangende opslagruimte. Tips zijn van harte welkom!
Het bestuur van het Ballonmuseum bestaat uit voorzitter
Henriëtte Wardenaar, secretaris Gerjan Crebolder, penningmeester Niek Mur en de bestuursleden Hans van Hoesel, Oscar Dragt en Jan Vermeulen.
Het Museum Lunteren is gevestigd aan de Dorpsstraat 55 en geopend van dinsdag t/m zaterdag van 13:30 tot 16:30 uur. Entree € 8,50. De tentoonstelling loopt t/m 13 september. Groepsbezoeken kunnen begeleid worden door een gids. Museumlunteren.nl.
DOOR HAN NABBEN
TIJDENS DE VOORJAARS-ALV DROEG RENÉ ZWARTEVEEN HET VOORZITTERSCHAP VAN
DE AFDELING OVER AAN ALEX JAN BARENDS. OOK DE ROL VAN PENNINGMEESTER WISSELDE: BENJAMIN URBACH VOLGT HENDRIK KORT OP. BEIDE VERTREKKENDE BESTUURSLEDEN KREGEN ALS BLIJK VAN WAARDERING HET KNVVL-EREMETAAL OPGESPELD.
BALLONSTOF SPRAK DE VERTREKKENDE EN DE NIEUWE VOORZITTER OM TERUG TE BLIKKEN EN VOORUIT TE KIJKEN.
“In 2017, enkele jaren vóór de grote EASA-omslag, werd ik voorzitter” vertelt René. “Niet zozeer omdat ik dat graag wilde worden, maar ILT vroeg me eerder al of ik de ballonvaart wilde begeleiden in de overgang naar de nieuwe Europese regelgeving. Karel Abbenes zei op een gegeven moment ‘als je dat toch doet, dan kun je net zo goed ook voorzitter worden’. En dat leek inderdaad een logische combinatie: als je iets dergelijk groots wilt implementeren, dan kun je dat beter doen vanaf de plek waar je het roer in handen hebt dan vanaf de zijlijn.”
Wat volgde, was een forse operatie en intense periode. De sector moest over van ‘tamelijk vrijblijvend’ naar ‘behoorlijk gereguleerd’, met de bijbehorende profchecks, manuals, syllabi, processen, procedures en trainingsorganisatie.
René: “Ik dacht: dat kost waarschijnlijk langer dan normaal - zo’n jaar of zes. Want de ballonvaartsector was altijd het ver-
geten kindje binnen het ILT geweest. Daardoor was men niet gewend aan regels, laat staan aan handhaving. Sommige procedures bestonden wel op papier, maar werden al twintig jaar niet meer gebruikt of nageleefd. En daar moest dus een hele nieuwe structuur overheen worden gelegd. Dus ja, het zou wel een flinke klus worden, inclusief een cultuuromslag, dat realiseerde ik me goed. Maar ik had eerder wel al een andere luchtvaartsector overgezet naar EASA, dus wist ongeveer wel wat ik kon verwachten.”
René besloot de uitdaging systematisch aan te pakken. “Ik maakte een plan ‘Overgang EASA’ voor zes jaar en legde dat voor aan ILT. Men ging akkoord en we konden aan de slag.” Hij spreekt met enige trots over de intensieve periode die volgde. “We hebben in twee jaar tijd 26 informatiesessies georganiseerd, door het hele land. Eerst om samen met Karel Abbenes uit te leggen wat EASA überhaupt betekende,
later om praktische zaken zoals het Operations Manual toe te lichten. Daarna begonnen we met het uitvoeren van het plan. Mede door Martijn Kort is er dit jaar een vervolgstap gezet naar een praktischer OM, met meer verwijzingen en minder wetteksten, dat was in de afgelopen jaren nog niet mogelijk.”
Waren alle ballonvaarders meteen enthousiast?
René grijnst: “Nou, nee. Niet iedereen stond meteen te applaudisseren. Sommigen vonden het allemaal maar overdreven, waren terughoudend. Begrijpelijk wel. ‘Daar komen ze weer: nóg meer René-Regels’ werd er wel gezegd. Alsof ik regels bedacht, dat was natuurlijk niet zo, integendeel. Ik heb geprobeerd de regeldruk zo laag mogelijk te houden. Maar goed, verandering roept nu eenmaal weerstand op. Inmiddels weet iedereen wat EASA is, wat de rechten en plichten zijn, en dat is een grote stap vooruit.”
Een belangrijke stap in die periode was ook het opzetten van een eigen trainingsorganisatie ofwel DTO. “Het theoriegedeelte organiseren ging eigenlijk vrij soepel, er stonden direct goede mensen op en Tom Buekers trekt dit uitstekend. Maar het praktijkgedeelte, dat was andere koek. Daarvoor moesten we flink aan de bak omdat we ineens veel gestructureerde moesten gaan opleiden, toetsen, trainen. Bedrijven moesten hun manier van werken aanpassen. Manuals, risicoanalyses, trainingen, checkvaarten — dat was allemaal nieuw. En vroeger iedereen met 100 vaaruren zomaar instructeur kon worden – zonder enige scholing! Dat was trouwens vooral een fout van ILT en minder van de sector zelf, maar dat terzijde. Inmiddels hebben we zo’n 35 à 40 goed opgeleide instruc-
teurs. Dit jaar krijgen we er twee nieuwe examinatoren erbij - dat duurde wat langer dan verwacht – de komende jaren volgen er weer twee of drie, dus dat komt goed.”
Alex Jan: “Wat René nog niet noemt, maar ook een verdienste is: hij heeft de professionele ballonvaarders, de wedstrijdvaarders en de recreatieve vaarders weer bij elkaar gebracht. Die groepen waren ooit gescheiden, maar zitten nu weer in één vereniging.”
“In Nederland hebben we nu inderdaad één vereniging, één Operations Manual, en één DTO,” bevestigt René. “Dat is vrij uniek en zeer waardevol. Het maakt alles overzichtelijk en gemakkelijker. Neem freelancers. Omdat iedereen hetzelfde OM gebruikt, hoeven zij zich niet bij elk bedrijf opnieuw in te lezen en te laten checken. In Nederland hebben we het gewoon goed voor elkaar, met een prima georganiseerde club van 250 eigenwijze, gezellige en gedreven ballonvaarders.”
Alex Jan: “Maar we moeten ook eerlijk zijn: er zijn ook mensen gestopt. Mijn vader bijvoorbeeld. Die zei: ‘Als dit is welke kant het op gaat, dan stop ik liever.” René: “En dat snap ik ook wel weer. De ballonvaartwereld is flink veranderd, en het ballonvaren zelf is minder vrijblijvend geworden, meer gereguleerd.”
René lacht even: “Niet echt. Ik werk nu voor Boeing als instructeur en examinator, en blijf hoofd examinatoren grote luchtvaart bij ILT. Ook zal ik de DTO voor ballonvaren nog een paar jaar begeleiden. En waarschijnlijk maken we in de tussentijd een aantal mooie reizen.”
René’s opvolger is geen onbekende in de ballonvaart. Alex Jan: “Mijn vader, Koen Barends, haalde zijn brevet in de jaren ’80.
Als klein jochie reisde ik al mee naar evenementen met onze special shapes - de pauw en de haan. Ik wist al jong: dat wil ik ook.” In 1999 haalde Alex Jan zelf zijn brevet en inmiddels trekt hij zelf met zijn special shape Mr. Globie de wijde wereld in, waarbij ook zijn dochters steeds meer interesse in de ballonvaart krijgen. “Het is een familiepassie”. Sinds kort is Alex Jan ook actief met het ontwikkelen van een natuurgebied: “een soort hobbyproject, ik vind het erg leuk om te doen.”
Heb je ook bestuurservaring?
Alex Jan: “Ik heb ervaring in diverse besturen, commissariaten en gemeentelijke adviesraden in mijn woonplaats Enschede. Voor de politiek voel ik me nog te jong, maar wellicht komt dat ook nog een keer. Sinds een paar jaar zit ik in het afdelingsbestuur van de KNVvL, waar ik me o.a. bezighoud met veiligheid en Stebz. Toen René tijdelijk naar het buitenland vertrok, werd ik vicevoorzitter. Het voorzitterschap voelt als een natuurlijk vervolg.” René: “De samenwerking met Alex Jan is altijd goed geweest. We begrijpen elkaar en kunnen goed met elkaar sparren. Dat helpt bij een soepele overdracht.”
Wat zijn belangrijke uitdagingen?
René en Alex Jan zijn het met elkaar eens. Het behoud van het luchtruim waar we in varen is de grootste uitdaging. “Het aantal drones neemt snel toe. Die gebruiken ook ons luchtruim. We zullen beter zichtbaar moeten zijn om ongelukken te voorkomen, zonder dat we allemaal peperdure transponders moeten aanschaffen. Ook moeten we ervoor zorgen dat het luchtruim waarin we kunnen opereren niet kleiner wordt.”
René: “En de relatie met boerenorganisaties is een blijvend punt van aandacht. Die organisaties versnipperen steeds verder. Vroeger sprak je met het LTO. Nu zijn er allemaal losse clubjes.”
Alex Jan vindt het daarnaast belangrijk dat jonge piloten zich thuis voelen bij de KNVvL. “We moeten ze actief betrekken bij het bestuur, commissies en activiteiten. Ik zou bovendien graag meer dames actief zien worden in de organisatie en ik vind het vergroten van de onderlinge verdraagzaamheid ook een erg belangrijk thema. Minder snel oordelen over anderen zonder de context te kennen bijvoorbeeld, meer naar elkaar luisteren. Er zijn ook enkele kampen binnen de ballonwereld, ik wil proberen die dichter bij elkaar te brengen, bruggen te bouwen.”
Is de afdeling klaar voor de toekomst?
René vindt van wel. Financieel staat de Afdeling er beter voor dan ooit. De EASA-regels zijn ingevoerd. De DTO draait. Er is continuïteit in het bestuur. “Er ligt een goed fundament.” Alex Jan: “Ik denk het ook. Ik ben dankbaar voor de basis die er ligt en kijk ernaar uit om samen te werken met iedereen: de KNVvL, de leden, het bestuur, en niet te vergeten Jacqueline – het kloppend hart van de afdeling. Het zijn grote schoenen om te vullen, maar het bedje is gespreid en ik heb er enorm veel zin in!”
Tot slot: een kleine tien jaar voorzitterschap, dat vraagt om reflectie. René: “Het was intens, maar mooi. En ik heb het nooit alleen gedaan. Alles is samen bereikt. We zijn een unieke club van mensen met een enorm hart voor de ballonvaart en we hebben het allemaal niet verkeerd voor elkaar. En ik weet zeker: met Alex Jan aan het roer komt het helemaal goed!”
AFBEELDINGEN:
- “BALLONVAREN IS EEN FAMILIEPASSIE.”
- DE NIEUWE EN DE VERTREKKENDE VOORZITTER TIJDENS DE VOORJAARS-ALV 2025
- RENÉ ZAL VOORLOPIG VAKER BIJ EEN FLIGHTSIMULATOR WORDEN GESPOT DAN IN EEN BALLONMAND.
Kavégas uit Ederveen is al tientallen jaren actief op de Nederlandse markt als het gaat om het leveren van propaangas in bulktanks en flessengas. Als een van de laatste zelfstandige familiebedrijven houden wij van duidelijke korte lijnen en een persoonlijke benadering. Alle voorkomende werkzaamheden worden door eigen mensen en materieel uitgevoerd en er is een landelijke dekking. Wanneer u belt krijgt u geen automatisch ingesproken band; “met toets 1 voor de administratie”, maar u krijgt altijd iemand aan de telefoon, ook buiten kantoortijden.
Dit is het eerste jaar dat Kavégas sponsor is van het Dutch Balloon Trophy 2025 en de inzet is om te werken aan een langdurige samenwerking met elkaar.
Wij willen graag met u als ballonvaarder in contact komen om te kijken welke mogelijkheden er zijn voor een verdere samenwerking!
DIT JAAR WAS HET DE BEURT AAN DE DBCC OM HET GECOMBINEERDE KAMPIOENSCHAP VAN NEDERLAND EN BELGIË TE ORGANISEREN IN DE TWEEJAARLIJKSE CYCLUS. NET ALS TWEE JAAR GELEDEN WAS HET LANDALPARK ORVELTERMARKE IN WITTEVEEN (DR) DE LOCATIE VAN WAARUIT DE WEDSTIJD PLAATSVOND. TRADITIEGETROUW IN NEDERLAND IS HET HEMELVAARTWEEKEND DE PERIODE.
In aanloop naar het evenement was er al veel werk verricht door bestuursleden en andere vrijwilligers om alles stevig neer te zetten. Net als de vorige keer was er veel aandacht voor het op voorhand contact zoeken met boeren en landeigenaren, om toestemming te vragen voor het plaatsen van een doelkruis in een weiland, of om er te starten met de ballonnen. Dit resulteerde de vorige editie in een minimum aan klachten. Daarnaast werd er alleen gestart vanaf een vooraf bepaald startveld, en behoorden Fly-ins tot het verleden.
Verder zijn er goede afspraken met IL&T gemaakt over wedstrijdvaren, die we nu een paar jaar hanteren. Dankzij deze afspraken verliep de aanvraag en de afhandeling ervan soepel - met dank aan IL&T. Ook door de lokale omgevingsdienst werd constructief meegedacht: onze nieuwe sponsor en gasleverancier Kavegas kon met een gerust hart de tanks vullen. Paschal Noor en Sybrand Fortuin namen de taak van Safety Officers op zich, en zorgden ervoor dat alles rondom het luchtvaarttechnische deel, het gastanken en het contact met de landeigenaren vlekkeloos verliep.
De wedstrijd
Dan de wedstrijd zelf. Wedstrijdleider Goran Grigic uit Slovenië en zijn team konden na de “General Briefing” op woensdagavond 25 deelnemers verwelkomen. Naast de acht deelnemers uit zowel Nederland als België, hadden zich nog diverse buitenlandse deelnemers aangemeld; een mooi competitief deelnemersveld. Nieuw gezicht was onze meteoroloog Helga
van der Vegt. Het weer leek vooraf niet echt goed, maar onder haar deskundige visie werden de mogelijkheden optimaal benut. Dit resulteerde in vier van zeven geplande vaarten.
Geen slechte score!
Op de donderdagmorgen konden we goed van start vanaf de Common Launch Area in Witteveen, tegenover het park. Met in totaal vijf opdrachten en een westelijke stroming werden alle deelnemers meteen op de proef gesteld. Eén Pilot Declared Goal en twee keer een Judge Declared Goal, waarvan één gecombineerd werd met een Maximum Distance Double Drop in een stervorm. Met name deze combinatie, in een veld nabij Odoorn, leverde prachtige beelden op. Afgesloten werd met een Fly-on waarna de meeste ballonnen nabij Valthe landden. Zoals min of meer verwacht, werden de donderdagavond en vrijdagmorgen gecancelled i.v.m. het weer.
Sportieve omstandigheden
Vrijdagavond werd het ook spannend ten aanzien van de wind. Maar na veel geduld kon onder enigszins sportieve omstandigheden toch veilig door alle deelnemers gestart worden, met drie opdrachten op het tasksheet: Een Pilot Declared Goal, Race to an Area en een Fly-on. Met name de Race to an Area gaf de nodige hoofdbrekens: hierbij moet je vooraf bepalen hoeveel tijd je nodig hebt om een bepaalde afstand af te leggen tussen twee verticale gridlijnen op de kaart (3 km). De resultaten waren spectaculair. Maar liefst drie deelnemers hadden exact de tijd gevaren en de eerste twaalf waren binnen de tien seconden verschil.
De zaterdagmorgen zag er prima uit. Vanaf een startveld in Wijster werden we door Goran met wederom een westelijke stroming de lucht ingestuurd met zes opdrachten: een Judge Declared Goal, 3D Shape, Hesitation Waltz, Gordon Bennett Memorial, Land Run en Fly-on. Normaalgesproken moet alles in volgorde, maar de Fly-on mocht tussendoor gelegd worden. In deze vaart moesten vooral strategische keuzes gemaakt worden. Nabij Odoorn werd door een aantal ballonnen de landing ingezet, maar de spreiding was relatief groot door de verschillende strategieën.
Last minute aanpassingen
Zaterdagavond werd relatief spannend ten aanzien van het weer. In het zuiden van Nederland trokken onweersbuien over het land en dat had de nodige invloed. Dit betekende dat de tasks op het veld nog werden aangepast. Na enig geduld werd er met een aangepast tasksheet gestart onder het toeziend oog van onze kersverse voorzitter van de afdeling Alex Jan Barends en de nieuwe penningmeester Benjamin Urbach. Een Fly-on die op elk moment gevaren kon worden, een Calculated Rate of Approach en een 3D Shape task (pie). De buien bleven weg en na een relatief lange vaart werd met een zuidoostelijke stroming de landing ingezet in de noordwestelijk hoek van de kaart.
Eindstand
Daarna kon de einduitslag opgemaakt worden. De zondagmorgen stond weliswaar nog op de planning, maar de onweersbuien en wind maakten dat de vaart vóór de briefing al werd gecanceld. Na een gezellige prijsuitreiking ter afsluiting van de Dutch Balloon Trophy 2025 en het spelen van de volksliederen zagen de podia er als volgt uit:
Overall: België:
Nederland:
1. David Spildoorn (BE) 1. David Spildoorn 1. Roy Gommer
2. Roy Gommer (NL) 2. Maarten Deleersnyder 2. Jan Oudenampsen
3. Kenneth Kalstrom (UK) 3. Steven Vlegels 3. Iris Broeders - van Ham
Tenslotte
We kijken terug op een zeer geslaagd kampioenschap. Natuurlijk kan dit niet zonder alle mensen te bedanken die dit mogelijk maken. Niet alleen het bestuur van de DBCC, Landal Orveltermarke en onze gasleverancier, maar ook de deelnemers, hun crews, alle landeigenaren die mee hebben gewerkt om dit mogelijk te maken, en bovenal alle officials die als vrijwilliger dag en (vaak ook) nacht in touw zijn om dit mogelijk te maken. Dank allen!
ANNEKE
Het bruist om me heen. Als ik bij de bakker kom vraagt Anneke: ‘Hoe gaat het met ballonvaren? Vijftien jaar geleden mocht ik met je mee, toen ik mijn Havodiploma haalde. Wanneer ga je weer? Kan ik dan mee? En kan ik ook mijn ouders meenemen op zo’n laatste-wens vaart?’
Ik leg uit, voor de derde keer alweer die week, dat ze bij het bedrijf Ad Ballon moeten zijn, en geef haar het telefoonnummer, zodat ze een afspraak kan maken. ‘Nee’ zegt ze ’ik wil alleen met jou ballonvaren’.
Ik bel nog een keer met EASA. Geen gehoor. De volgende dag nogmaals. ‘Nee er is nog geen aanpassing van de leeftijdsgrens voor ballonvaren, als die er komt is dat pas over 2-3 jaar, dan wordt het wellicht opgerekt naar 75 jaar’.
Ik pak de oude PH-BEN uit het rek, en maak een vaart met Sven, de volgende dag met Maikel. Ik leg ze nauwkeurig uit hoe het landingssysteem werkt, met het verticale velcro-paneel en de beveiligingsknopen met garen. Gelukkig hebben ze de smaak te pakken, zodat de ballon nog jarenlang de historie in de lucht kan vertegenwoordigen.
We drijven door de lucht zoals het ooit begon, en ik bedenk me dat de PH-BEN wereldwijd mogelijk de oudste nog varende moderne heteluchtballon is. Ik stroop meerdere websites af, op zoek naar de registraties van Western, Omega, Cameron van vóór mei 1970. Nog steeds geen oudere ballon gevonden. Zou het dan waar zijn?
De volgende vaart met de BEN maak ik met Ad van de Made, ooit een van de begaafde piloten bij Ad Ballon. Ik vraag hem waarom hij stopte. Te weinig ervaring op de 300, waarop hij dan ineens met meer wind moest gaan varen. De spanning werd te groot. Tot-en-met een 210 was prima geweest, zei hij eerlijk. Toen zag ik hem genieten als iemand die zijn eerste ballonvaart maakte. PH-BEN forever.
AD HAARHUIS
Terugblik op een prachtige boeren-bedank-ochtend met 9 ballonnen, met aan boord 60 landeigenaren waar we regelmatig opstijgen of landen.
Durf te zweven: een avondvlucht vanuit Kiewit laat je Limburg op een magische manier ontdekken! #ballonstof #kiewit #avondvlucht #altrad
BALLONTEAMTWENTE
Vrijdag 30 mei, prachtige vaart van Hengelo naar Enschede!
#ballonteamtwente #pilotlife #ballonstof
Gisteren avond om de hoek van ons huis een mooie luchtballonvaart op de foto kunnen zetten. #luchtballon #luchtballonvaart #laagzuthem
�� #tulpen #luchtballon #ballonvaart #ballonstof @energyvisionbe #ballooning #flower #vliegmee #flyandsmile #ballonvaren
Afgelopen weekend zaten we letterlijk in «hogere sferen» en hebben we een ballonvaart gedaan. �� Met de nodige stress toch wel de lucht ingegaan.
Safely back home from Midlands Air Festival! Unfortunately it was a bit windy but we could tether our dalarna horse for the crowd on Saturday.
Na iedere ballonvaart klinken we met bubbels! �� #ballonvaart #ballonvaren #ballonstof #dingendoen #weekendtip #uitstap #toerismevlaanderen
Afgelopen dagen deden we mee aan het NK ballonvaren vallig, maar toch konden 4 van de 7 vaarten doorgaan wedstrijd! Uiteindelijk hebben we de Nederlandse titel
HOTRBALLONVAARTEN
Schitterende avond voor de passagiers vanuit Barneveld over de rivieren naar Afferden. #ballonstof #barneveld #gelderland
Ballonfestijn Westerhaar, wind vertrok maar kwam net zo ongenadig weer terug . Toch hebben een tiental ballonnen weten te vertrekken #ballonstof
Een geslaagde avond. Op naar een mooi seizoen met deze fijne ballonnen! #zonsondergang #luchtballonnen #ballonstof
De wind stond gisteravond helaas niet gunstig om midden over het centrum van Eindhoven te gaan waar het PSV-geweld inmiddels was losgebarsten.
De mooiste ballonfoto’s op social media
Plaats je ballonfoto’s met de ballonstof-tag op social media.
Op deze pagina’s plaatsen we een mooie selectie. Dank aan de fotografen te velde!
Beautiful flight above #utrecht #utrechtseheuvelrug #houten #ballooning #ballonvaart #ballonstof
Zwevend in mijn luchtballon �� #weerman #luchtballon #ballonvaren #ballonstof
FOLKERT FOLKERTSMA
ballonvaren in Witteveen. Het weer leek op voorhand wat wisseldoorgaan met in totaal 17 opdrachten en werd het een prachtige titel kunnen verdedigen! #ballonstof #dbt25
Klaar voor de ballonvaart voor Grootdefryskemarren
Met 17 personen hogere sferen opzoeken. Een prachtige ervaring! �� @gewoandwaan.frl
DOOR PAUL WINDEY
BEGIN 2025 STARTTE EASA EEN CAMPAGNE OM LUCHTRUIMGEBRUIKERS IN NIET-GECONTROLEERD LUCHTRUIM ERTOE OVER TE HALEN OM ZICH VOOR ELKAAR BETER ZICHTBAAR TE MAKEN, OP EEN DIGITALE MANIER. DAARBIJ GAAT HET IN DE EERSTE PLAATS OM DE VEILIGHEID VAN VFR-VERKEER, DAT NOG ALTIJD VLIEGT VOLGENS DE REGELS VAN ‘SEE AND AVOID’, OFWEL MET JE EIGEN OGEN ZIEN WAT ER OM JE HEEN VLIEGT.
Voor ballonvaarders is dat een beetje bizar: ballonnen zie je al van ver aankomen, en vanuit een ballon zelf heb je onbelemmerd zicht. Het zal moeilijk zijn voor ander luchtverkeer om een ballon niet te zien. Behalve voor… drones. Die ‘zien’ nog niet allemaal. Een term die je in die context regelmatig tegenkomt is ‘Electronic Conspicuity’. Het betreft een algemene term voor technologieën die ervoor zorgen dat het vliegverkeer zichtbaar wordt voor piloten van alle luchtsporten, voor ATC, voor drone-operatoren en voor drones zelf. De bedoeling daarbij is het creëren van een grotere ‘situational awareness’ en dus geen ‘tactical avoidance’ zoals dat bestaat voor de commerciële luchtvaart.
Zichtbaarheid
Er zijn vele nare ervaringen in de General Aviation met sportvliegers die ander luchtverkeer te dichtbij zien komen. Het vliegverkeer is mettertijd veel intenser en sneller geworden dan 50 jaar geleden. Met onze ogen zien we niet meer volledig en gemakkelijk wat er allemaal rondom ons in de lucht beweegt. Onze ogen zijn niet gemaakt om te vliegen, vandaar de noodzaak om technologieën te gebruiken die ons helpen om het ander luchtverkeer beter te kunnen zien. Alleen: veel luchtvaartactiviteiten zijn niet goed zichtbaar, bijvoorbeeld omdat ze geen apparatuur aan boord hebben die hen goed zichtbaar maakt, zoals veel paramotoren en ULMs, of omdat ze apparatuur gebruiken die niet voor ATC en ander vliegverkeer zichtbaar is.
Toren van Babel
Er bestaan meer dan 15 andere systemen om zichzelf zichtbaar te maken, maar al die systemen of toestellen zijn niet compatibel, niet interoperable. Het is zoals de toren van Babel… Weinig piloten hebben een ADS-B aan boord, sportvliegers hebben meestal wel een Mode S transponder, waardoor ze in ieder geval zichtbaar zijn voor ATC, maar niet voor andere luchtruimgebruikers. De zweefvlieggemeenschap heeft een eigen system ontwikkeld: bijna alle zwevers hebben een Flarm-transponder aan boord, waardoor zij goed zichtbaar zijn voor elkaar. Maar deze transponder wordt weer niet gezien door ATC en ook niet door ander vliegverkeer.
Dit alles is problematisch. Volgens EASA zijn er heel wat midair collisions en airproxen (bijna-botsingen) die vermeden kunnen worden als alle luchtruimgebruikers elkaar kunnen ‘zien’ en verwittigd worden als ze te dicht bij elkaar gaan vliegen.
Pilotengemeenschap creëert oplossing
Los van overheden, onder impuls van SafeSky en het Open Glider Netwerk is in twee jaar tijd een indrukwekkend netwerk opgebouwd dat alle beschikbare vlieggegevens bundelt en aanbiedt aan piloten in de lucht. Meer dan 30 actoren hebben daarvoor hun krachten gebundeld met hetzelfde doel voor ogen: vliegverkeer beter zichtbaar maken. Het gaat daarbij om netwerken van grondstations die de signalen van vliegverkeer ontvangen, maar ook van toestellen, apps en software die door piloten gebruikt worden en die vliegdata doorsturen. SafeSky verzorgt de logistiek hiervan: alle gegevens samenbrengen, de doublures er uithalen, en al die gegevens
toegankelijk maken voor alle actoren van de gemeenschap. Al deze traffic is te zien op de SafeSky app, maar ook op een aantal andere platformen, apps en toestellen die deel uitmaken van het netwerk:
• Apps: SafeSky, XCTrack, Gaggle, eVario, WingIt, TheFlightVario, XCGuide, CloudDash
• Toestellen: Flymaster, SkyTraxx, Syride, Air2
• Wedstrijd software: XC Contest, Airsports.no
• Navigatie software: EasyVFR en AirNavPro
• Platformen: AeroWeb van Avionix, ADSB-Exchange, ADSBFI, Planefinder,
Alle gebruikers van deze systemen ‘zien’ dus het verkeer op hun app of toestel. Het betreft een uniek project van en voor piloten.
Op het netwerk is al veel vliegverkeer zichtbaar dat voorheen niet zichtbaar was, maar we zijn er nog niet. Veel piloten maken zich nog niet zichtbaar. Vandaar de actie van EASA om ook die piloten zich zichtbaar te laten maken. EASA belooft dat piloten die zich elektronisch zichtbaar maken niet gestraft zullen worden, mochten zij lichte overtredingen op de vliegregels begaan. Zie ook de ¡Conspicuity Declaration via https:// tinyurl.com/iConspicuity.
Drones: een nieuwe uitdaging
De grootste uitdaging voor de sportvliegerij vormen de drones, en vooral drones die in ongecontroleerd gebied willen vliegen: die kunnen de regel ‘see and avoid’ (nog) niet echt toepassen. De dronewereld is aan een ongelooflijke ontwikkeling bezig, mede ondersteund door de geopolitieke militaire evoluties, maar ook door enorme investeringen van grote wereldspelers als Amazon en Google. Het gaat bovendien niet langer meer om de kleine ‘speelgoeddrones’. Textron, het moederbedrijf van Cessna en Pipistrel, ontwikkelt drones voor autonoom goederenverkeer voor méér dan 300 kg vracht. En ze zijn niet de enigen. Deze drones willen ‘ons’ luchtruim gebruiken voor hun business. Belangrijke actoren in de droneindustrie willen dat alle luchtgebruikers digitaal zichtbaar worden.
Toegang voor alle luchtsporten
In heel wat landen in Europa worden er meer en meer restricties opgelegd aan sportvliegerij om allerlei redenen: herziening van de luchtruimorganisatie, militaire oefeningen en drone-corridors. Vandaar dat we allen - ook ballonvaarders - er belang bij hebben om ons electronisch zichtbaar te kunnen maken. Op Europees niveau is er al wetgeving van kracht waarbij speciale zones voor drones (U-Space) enkel nog toegankelijk zijn voor drones. Als General Aviation kom je daar
Recente case: near-miss in Phoenix, VS
Op 8 mei 2025 vond er een incident plaats tussen een Amerikaanse luchtballon en een Amazon-bezorgdrone. De ballonpiloot had net de landing ingezet, om de ballon in een park in de omgeving van Phoenix aan de grond te zetten, net buiten het Glendale class-D luchtruim. Op ongeveer 250 ft AGL vloog de drone in een rechte lijn en met hoge snelheid richting de ballon. De piloot schat dat de drone de mand miste op slechts 15 ft ofwel minder dan 5 meter afstand, met een snelheid van ongeveer 60 mph (95 km/uur), wat later werd bevestigd door het hoofd van het Amazon-droneprogramma in Seattle als 58 mph. De drone was extreem stil dus er was geen waarschuwing en de ballonpiloot had geen tijd meer om uit te wijken: stijgen of dalen. Beide luchtvaartuigen voldeden aan de wettelijke eisen om in het betreffende luchtruim te varen respectievelijk vliegen (de drone was met een testvlucht bezig).
Er was een NOTAM voor drone-activiteit actief. De piloot heeft een incidentrapport ingediend bij de Amerikaanse luchtvaartautoriteit. Een contact tussen drone en envelop, drone en mand of drone en persoon had fataal kunnen aflopen.
niet meer in, tenzij je elektronisch zichtbaar bent. Dat staat al in de huidige SERA vliegregels (https://tinyurl.com/EASA-SERA) voor ongecontroleerd luchtruim.
Onder druk van onze Europese Federaties, samen met Europe Airsports en AOPA, heeft EASA hiervoor een speciale norm ontwikkeld: ADS-L. Die federaties wilden immers dat ons luchtruim toegankelijk blijft voor al onze luchtsporten op een soepele en goedkope manier, zonder extra-investeringen. EASA heeft daarmee ingestemd via de ADS-L norm. Als je je zichtbaar maakt volgens die norm, dan kunnen droneoperatoren je zien en de gepaste maatregelen nemen om botsingen te vermijden. Drones zijn immers verantwoordelijk voor botsingen. Toepassingen en toestellen die compatible zijn met die ADSL norm zorgen er ook voor dat alle luchtgebruikers elektronisch zichtbaar worden: een ongelooflijke veiligheidstroef.
Voor ADS-L zijn er drie manieren om elektronisch zichtbaar te zijn:
• een ADS-B transponder (een Mode S is niet voldoende);
• een FLARM transponder of een ander toestel dat gebruik maakt van de 868 radioband;
• binnenkort via apps die via internet (mobile telefonie) hun positie doorsturen, zoals de SafeSky app
Er is ook al een eerste toestel op de markt dat verschillende technologieën samenbrengt, de Avionix Tracker (https://avionix.eu/solutions/aero-tracker/).
Toegang tot U-Space als je ADS-L zichtbaar bent
Als er in de nabije toekomst U-Space zones (of gelijkwaardig) worden ingesteld in ongecontroleerd gebied, kun je daar volgens SERA 6005,c niet meer binnen vliegen, tenzij je zichtbaar bent volgens deze norm. Ballonvaarders zullen hiermee rekening moeten gaan houden, anders wordt hun luchtruim wel erg beperkt. Dat is ook de reden waarom Europese
Luchtsportfederaties samen lobbyen: om onze toegang tot het luchtruim te vrijwaren.
Uitbreiding van het Conspicuity netwerk met drones
SafeSky en partners hebben de ambitie om ook de dronewereld op te nemen in het netwerk.
Drones zijn voor General Aviation piloten niet te zien met het blote oog. Als zowel droneoperatoren als GA piloten elkaar elektronisch kunnen zien, kunnen beiden tijdig alle maatregelen nemen om botsingen te vermijden. Op termijn moet het mogelijk worden dat drones hun routes automatisch aanpassen als er ander verkeer in de buurt is. Dat is een ambitieus project dat stilaan van de grond komt. In Noorwegen, Zweden en Zwitserland zijn er al droneoperatoren die zich
aangesloten hebben bij het SafeSky netwerk. Zij bezorgen de traffic data van hun drones als die actief zijn aan het netwerk, en omgekeerd krijgen zij het vliegverkeer van het hele netwerk. In België werkt Skeydrone sinds begin maart ook mee, op een unieke manier: zij bezorgen het netwerk alle data van drones boven de 500 voet, ook van de niet coöperatieve. Dat is een unicum en veelbelovend.
Dat het ernst is, bewijzen ook meerdere helikopterbedrijven (zie https://www.safesky.app/helicopter-fleet) zoals ADAC (Germany), REGA (Zwitzerland) en HEMS (Zweden). Zij hebben zich ook aangesloten bij het netwerk. Ze opereren immers op lage hoogtes waar vitale info voor hen niet beschikbaar is.
Het elektronisch zichtbaar zijn biedt ballonvaarders een aantal extra voordelen. Als de crew op elk moment weet waar de ballon zich bevindt, waar deze aan het landen is, dan kan de crew vrij snel en accuraat ter plaatse zijn om de ballonvaarders bij te staan bij de landing. Maar ook familie en vrienden van passagiers kunnen de vaart rechtstreeks online volgen.
Zie voor meer informatie de ADS-L EASA webpagina https:// tinyurl.com/EASAADSL of de portal over Conspicuity van de European Microlight Federation https://emf.aero/econspicuity/.
Auteur Paul Windey is lid van het bestuur van de Belgische ULM federatie en van de European Microlight Federation, en mede-oprichter van SafeSky.
DOOR PETER VAN HARTEN
Het is een mooie voorjaarsdag in april. Op het startveld in Houten liggen drie ballonnen klaar.
Aan boord van onze 300 stappen 12 passagiers in, waaronder een opa met zijn kleinkinderen. Ze kijken enorm uit naar de vaart. De wind komt uit het oosten, rond een knoop of 8 aan de grond, op hoogte wat meer. We verwachten richting Oudewater te varen, waar ik een mooi landingsveld weet te liggen en een aardige boerenfamilie ken. Maar zover zullen we niet komen.
Alarmbellen
land tussen de A27 en het industrieterrein van Nieuwegein.
Uit dit praktijkvoorbeeld blijkt dat het bellen vanuit de mand met de meldkamer zeer effectief is geweest. Via de meldkamer kon daardoor de meest actuele, nauwkeurige locatie direct worden doorgegeven aan de hulpdiensten, waardoor de ambulance kort na de landing al aanwezig was.
We stijgen rond half acht op en klimmen naar zo’n 2000 voet. Wanneer we Houten bijna zijn gepasseerd, zakt opa in elkaar. Zijn vrouw en kleindochter vangen hem op. Hij is buiten bewustzijn, wat verduidelijkt wordt door het feit dat hij in zijn broek heeft geplast. Opa ademt gelukkig nog wel. Alle alarmbellen gaan af en we willen zo snel mogelijk landen. Vanuit de mand wordt door een flight-crewlid 112 gebeld terwijl de PIC een snelle daling inzet. Iedereen snapt de urgentie. De passagiers krijgen de nodige instructies en worden, gezien de windsnelheid, voorbereid op een landing waarbij de mand zal omvallen.
Meldkamer
De dame van de meldkamer heeft direct door dat er niet vanuit een voertuig gebeld wordt, gezien het feit dat we ‘wegen oversteken’, zo zegt ze. Het is nu belangrijk om aan de lijn te blijven, want onze locatie wordt hiermee gepeild en live doorgegeven aan de hulpdiensten. “Wat we nodig hebben? Een ambulance graag”. En ja, de passagier ademt gelukkig nog. In no time liggen we aan de grond; een staande landing bleek inderdaad niet mogelijk. Wat dan onze verbazing schetst, is dat de ambulance er al binnen twee (!) minuten is. Het hek van het weiland is open en ze rijden regelrecht naar de mand toe, waar opa inmiddels door zijn familie uit is geholpen. Hij is weer bij kennis en wordt in de ambulance onderzocht. Zodra even later de crew arriveert, worden de overige passagiers door hen opgevangen. Nadat ook de politie ter plekke komt en het verhaal aanhoort, wordt de ballon ingepakt. De vaart was kort, nog geen 20 minuten, en eindigde in een wei-
Het direct bellen met 112 vanuit de mand is een praktisch voorbeeld van een actie die je als operator kunt opnemen in je Emergency Response Plan ofwel ERP (zie kader). In het Operations Manual staat een voorbeeld van een ERP, maar het is geen standaard plan: elke operator kan het voorbeeld aanpassen. Het is daarbij van belang dat het plan praktisch en werkbaar blijft. Vandaar ook dat het plan met regelmaat geëvalueerd zal moeten worden.
Het Emergency Response Plan (ERP) geeft richtlijnen hoe om te gaan bij kritieke of moeilijke situaties, die niet elders zijn beschreven. Je kunt hierbij denken aan bijvoorbeeld een ballonongeluk, brand, explosie, sterfgeval of een serieuze veiligheidsbedreiging. Het plan omvat acties en beleid hoe je in dergelijke situaties wilt handelen. Als er een serieus voorval, incident of ongeval plaatsvindt, dient de veiligheidsmanager te worden geïnformeerd (of bij afwezigheid diens plaatsvervanger) om de coördinatie volgens het ERP op zich te nemen. Daarbij is het overigens aannemelijk dat het noodgeval niet exact in het plan zal passen: flexibiliteit zal vrijwel altijd noodzakelijk zijn. Het Emergency Response Plan dient binnen het bedrijf en haar personeel bekend te zijn, bijvoorbeeld door middel van een grondige briefing of interne training. De veiligheidsmanager is hiervoor verantwoordelijk. Bron: Operations Manual voor ballonbedrijven.
DIT JAAR EXACT EEN EEUW GELEDEN BREEKT ER PANIEK UIT IN LEIDEN. WILLEM POTTUM VERZORGT ER ONDER GROTE BELANGSTELLING EEN BALLONVAART. TIJDENS HET
OPSTIJGEN RAAKT DE TIENJARIGE EBEL MAGNIN VERSTRIKT IN HET SLEEPTOUW VAN DE GASBALLON. HIJ WORDT MEE OMHOOG GETROKKEN MAAR OVERLEEFT DE ONBEDOELDE BALLONVAART EN KOMT ER MET LICHTE VERWONDINGEN VANAF. DE GEBEURTENIS WORDT IN DE MEDIA BREED UITGEMETEN EN DE HELDHAFTIGE JONGEN VERGAART LANDELIJKE ROEM.
TEKST: HAN NABBEN
FOTO’S: FAMILIE GEENJAAR-MAGNIN, PANORAMA, KATHOLIEKE ILLUSTRATIE, HET LEVEN
Tijdens de 3-oktober feesten in 1925 in Leiden stijgt Willem Pottum aan het begin van de middag onder enorme belangstelling op vanaf de Nieuwe Beestenmarkt, vlakbij molen De Valk. Pottum geniet landelijke bekendheid, want hij heeft al bijna150 vaarten in zijn logboek staan en is op dat moment met ruime afstand ’s lands meest ervaren ballonvaarder ooit. Als passagiers zullen de 20-jarige winnaar van een prijsvraag van het Leidsch Dagblad, H. van der Berg, instappen en Pottum’s tienjarige neefje. Althans, dat is de bedoeling, maar er blijkt ook een verstekeling aan boord.
De opstijglocatie is afgezet met een houten omheining. De tienjarig Ebel Magnin laat zich daar echter niet door weerhouden, ondanks dat Pottum’s echtgenote Wilhelmina er scherp op toeziet dat de omstanders op afstand blijven. Ebel ziet kans om over de omheining te klimmen op het moment dat Pottum opstijgt. Zijn doel: direct na de opstijging zoveel mogelijk strooibriefjes met losse letters erop te pakken krijgen. Daar zit namelijk een prijsvraag aan verbonden. wie met de letters het woord ‘LEIDSCH DAGBLAD’ kan vormen, maakt kans op een mooie prijs.
Tot verbijstering van de omstanders blijft direct na take-off een knoop aan het uiteinde van het sleeptouw - dat gasballonnen indertijd standaard meenamen - onder de oksel van de jongen steken. Het touw slaat tot overmaat van ramp ook nog eens om zijn arm, waardoor Ebel onbedoeld mee omhoog wordt getrokken, de lucht in!
De landing verloopt naar omstandigheden voorspoedig en Ebel houdt er, ondanks dat hij kort voor de landing over het dak van een aardappelschuur wordt getrokken, slechts een pijnlijke arm aan overplus enkele schrammen én een nat pak, omdat hij tijdens de landing door een sloot wordt gesleurd en pas in een tweede sloot tot stilstand komt. Bij de familie Langezaal aan de Os en Paardelaan krijgt de jongen droge kleren aangemeten en wordt hij door dokter Mulder nagekeken.
Schrammen
Passagier Van der Berg spot de onvrijwillige medepassagier, bungelend onder de ballon, en waarschuwt Pottum, die meteen een grote hoeveelheid ballast uitwerpt om te voorkomen dat de ballonverstekeling achter fabrieksschoorstenen blijft haken. De ballon stijgt door tot zo’n 1500 voet, terwijl Pottum de jongen aanmoedigt om stevig vast te blijven houden. Nabij de Lusthoflaan, achter het Station aan de Heerensingel ter hoogte van de huidige wijk De Kooi spot Pottum een weliswaar krappe, maar niet onmogelijke landingsplek.
Willem Pottum wordt op 19 maart 1875 in Doesburg geboren. Hij volgt zijn opleiding in Leiden en vestigt zich daarna in Rotterdam. Na een korte carrière als handelaar in fotoartikelen vestigt hij zich als illustrator in Parijs. Daar ontmoet hij de Franse ballonbouwer Henri Lachambre. Hij raakt verslingerd aan de ballonvaart en volgt er de opleiding tot balloncommandant. In 1905 koopt Pottum zijn eerste ballon: de geel gekleurde Franse hopper ‘Florial’ die hij omdoopt tot ‘Kuko’. Vanaf 1905 voert hij enkele decennia commerciële opstijgingen uit, waarmee hij landelijke bekendheid verwerft. In 1911 lanceert Pottum samen met de Rotterdamse uitgever Geleyns het luchtvaarttijdschrift Avia. Ook Pottum’s echtgenote Wilhelmina Ruitman (1880) gaat ballonvaren, zij is de eerste vrouwelijke Nederlandse balloncommandante. In 1933 maakt Pottum, 58 jaar inmiddels, zijn laatste ballonvaart. Door het verwoestende bombardement op Rotterdam op 14 mei 1940 verliest Pottum tot zijn grote verdriet zijn omvangrijke ballonvaartverzameling en -archief. Het echtpaar verhuist naar Den Haag waar Pottum in 1949 op 74-jarige leeftijd overlijdt.
EBEL MAGNIN
Ebel Magnin werd op 17 augustus 1915 in Leiderdorp geboren als zoon van Jeremias Magnin (1888) en Johanna Bouman (1891). In 1943 trouwt hij met zijn jeugdliefde Annie (Ans) Vos, die naar verluid jaren eerder als klein meisje getuige was van de onvrijwillige opstijging van haar latere echtgenoot. Ebel meldt zich aan bij de marine en wordt o.a. kwartiermeester op de mijnenveger Hr. Ms. Tholen in Indonesië. Vanwege die achtergrond wordt hij tijdens de oorlog in Duits krijgsgevangenschap genomen en gedeporteerd naar o.a. Niederhausbergen en Ludwigsburg. Hij overleeft de oorlog en gaat weer bij de marine aan de slag, en later op Vliegkamp Valkenburg. Veertig jaar na zijn onvrijwillige luchtreis is hij nog steeds niet vergeten: Jo Boesman spoort Magnin midden jaren zestig op en geeft de inmiddels ex-marinier ter gelegenheid van de 40e verjaardag van zijn ballonavontuur een gedenkbord. Ebel en Annie krijgen een zoon en twee dochters: Ingrid, Ebel jr. en Annelies. Begin jaren zestig verhuist het gezin naar Katwijk en in 1965 gaat Ebel met pensioen, waarna hij nog 11 jaar werkt bij het Amerikaanse cosmeticabedrijf Shulton in Leiden. In 1974 kijkt het Leidsche Dagblad nog een keer terug op de gebeurtenis, maar Ebel is er inmiddels wel klaar mee: “Die zaken zijn toch geweest joh” zegt hij tegen de journalist. Het bouwen van model-driemasters is na zijn pensionering zijn grote hobby. Annie overlijdt in 1982 op 63-jarige leeftijd en Ebel twintig jaar later in 2002, 86 jaar oud. Op enkele foto’s na herinneren er weinig fysieke objecten aan Ebel’s avontuur:een horloge van het Leidsche Dagblad en diverse andere memorabilia, waaronder een zilveren horloge dat hij van De Telegraaf kreeg, zijn tijdens een inbraak in 1946 allemaal ontvreemd.
Ebel verwerft landelijke bekendheid met zijn tot de verbeelding sprekende avontuurlijke luchtreis. Het Leidsch Dagblad schrijft: ‘Je hebt je gehouden zoals een echte Hollandsche jongen betaamt. We bewonderen je moed en kalmte. Menig oudere en sterkere kan daarop jaloersch zijn.’ Het blad sluit af met: ‘Des avonds was de deugniet alweer op het Schuttersveld, alsof er niets gebeurd is.’
Café
Ebel’s vader, die een café runt aan de Janvossensteeg, doopt na het avontuur van zoonlief zijn net geopende tweede café aan het Noordeinde 28 in Leiden met de naam ‘De Jonge Luchtreiziger’ en laat een uithangbord maken met een afbeel-
ding van Pottum’s ballon erop. Helaas voor Ebel vervangt het Leidsch Dagblad een beloofde autoped voor een horloge, en komt van de toezegging door de krant om Ebel’s latere studie te betalen niets terecht. Zo’n negentig jaar later blijkt de gebeurtenis nog steeds in het collectieve geheugen van de Leidenaren te zijn verankerd, wanneer de stad een heus Ebel Magninpad krijgt, met daarbij als onderschrift ‘Ebel Magnin 1915-2002. Ballonvaarder tegen wil en dank op 3 oktober 1925’.
Met dank aan de familie Geenjaar-Magnin voor hun inhoudelijke bijdrage en het ter beschikking stellen van beeldmateriaal.
FOTO LINKSBOVEN: LINKS IN DE MAND WILLEM POTTUM MET RECHTS PASSAGIER VAN DER BERG. POTTUM’S NEEFJE STAPT LATER OOK NOG IN (FOTO MIDDENBOVEN). LINKSONDER DE BALLON KORT NA OPSTIJGEN. FOTO RECHTS DE BALLON MET EBEL MAGNIN ERONDER.
PA MAGNIN NOEMDE ZIJN NIEUWE CAFÉ DE JONGE LUCHTREIZIGER (LATER: DE JONGE LUCHTVAARDER) .
EBEL ONTVANGT VAN
JO BOESMAN EEN
HERDENKINGSBORD
TER GELEGENHEID VAN DE 40E VERJAARDAG
VAN ZIJN ONVRIJWILLIGE LUCHTREIS .
VIERMAAL EBEL MAGNIN. LINKS DEMONSTREERT HIJ VOOR EEN JOURNALIST HOE HET TOUW ONDER ZIJN OKSEL BLEEF HAKEN EN OM ZIJN ARM SLOEG. VERVOLGENS ALS KWARTIERMEESTER OP DE MIJNENVEGER HR. MS. THOLEN EN ALS (GEPENSIONEERDE) MARINIER .
DOOR SVEN DE HOOGD
VAN 14 TOT 28 APRIL HAD IK EEN ONVERGETELIJKE ERVARING IN HET ADEMBENEMENDE ALULA, EEN VAN DE MOOISTE PLEKKEN IN SAOEDI-ARABIË. NEGEN OCHTENDEN STEGEN
WE OP, TERWIJL DE ZONNESTRALEN DE ZANDSTEENFORMATIES EN WOESTIJNLANDSCHAPPEN IN EEN GOUDEN GLOED HULDEN.
In de vroege ochtend werd de stilte van de woestijn onderbroken door het geluid van de branders. Na het opstijgen bood AlUla, met zijn rijke geschiedenis en majestueuze natuur een prachtig uitzicht, mooier dan een foto kan vastleggen. Van de iconische Elephant Rock tot de bijzondere tombes van Hegra: iedere vaart bracht steeds weer wat anders moois.
Na een dag vol ballonavonturen bracht ook de nacht een prachtig schouwspel. AlUla ligt in de uitgestrekte woestijn, ver verwijderd van de stadslichten, met niets anders dan de oneindige sterrenhemel boven je, en de Melkweg als een lichte band tegen de donkere hemel.
Wat de ervaring extra mooi maakte, was dat ik dit alles samen met mijn vader heb mogen beleven. AlUla heeft met zijn unieke mix van natuur en erfgoed een onuitwisbare indruk op ons achtergelaten. Ik weet niet of en wanneer de wind ons weer naar zo’n bijzondere plek zal brengen, maar één ding is zeker: deze ochtendvaarten blijven deel uitmaken van onze mooiste herinneringen. Immers zijn we weer thuis en kijken we terug op een prachtig avontuur. Het zand kloppen we nog van de ballon en van de mand, en dan zijn we weer helemaal back in business.
VEILIGHEID IS VOOR EEN BELANGRIJK DEEL EEN AFGELEIDE VAN PERSOONLIJKE ERVARINGEN, KENNIS, VAARDIGHEDEN, HOUDINGEN, OVERTUIGINGEN, BESLISSINGEN EN INSCHATTINGSVERMOGEN. DE VEILIGHEID VAN PASSAGIERS EN CREW LIGGEN DAARMEE GROTENDEELS IN DE HANDEN VAN DE PILOOT.
DOOR GORDON SCHWONTKOWSKI
Wat is veiligheid precies?
Enigszins in de buurt van een definitie komt:
“Beslissingen, houdingen en gedragingen die leiden tot het uitsluiten van risico; van de kans op lijden, letsel, verlies of negatieve resultaten van externe of interne handelingen.” Die zin doet mijn hersenen kraken, en sluit minder goed aan op de wereld van de ballonvaart. Wat is veiligheid dan wel?
HOE GROTER HET RISICO, DES TE BELANGRIJKER ZIJN DE MAATREGELEN DIE DE KANS OP HET RISICO MINIMALISEREN. MAAR JE KUNT OOK OVERDRIJVEN.
ren lijkt onmogelijk en zelfs zinloos. Met mijn 45 jaar ervaring in ballonvaart-veiligheid bedacht ik een eenvoudige formule, die de relatie tussen een ballonvaarder en diens veiligheidstaak definieert: ‘Veiligheid (V) ontstaat wanneer de beheersing van de risico’s ofwel het Risico Beheer (RB) groter is dan de risico’s zelf (R)’. Anders geschreven: V = RB > R.
Risico minimaliseren
Een activiteit die zich hoog in de lucht afspeelt en waar propaan bij wordt gebruikt, kan nooit echt vrij zijn van risico’s. Voeg daar wild cards aan toe zoals het weer en menselijke fouten, en het is gemakkelijk om, ondanks de beste bedoelingen en voorzorgsmaatregelen, in de problemen te raken. Hoewel we risico’s niet kunnen uitsluiten, kunnen we ze wel minimaliseren. Handschoenen, lange mouwen en kleding van katoen bijvoorbeeld, zijn eenvoudig te realiseren en verkleinen de kans op verbranding aanzienlijk. Maar ze nemen die kans niet weg.
De mate van risicoblootstelling is geen meetbare grootheid. Het wordt niet alleen bepaald door externe factoren, zoals weersomstandigheden of de werking van instrumenten, maar is vaak een functie van ervaring, kennis, techniek en vooral: beoordelingsvermogen.
Veiligheidsformule
Een poging om veiligheid voor iedereen algemeen te definië-
Zo’n operationele definitie heeft enkele voordelen. Het is eenvoudig, kort en universeel van toepassing. Maar wat kunnen we er in de praktijk mee? V = RB > R dwingt ons allereerst om potentiële risico’s te identificeren, en ze vervolgens te beheersen. Daardoor kun je gestructureerder beoordelen of je voldoende bent voorbereid op bepaalde risico’s.
Vaartvoorbereiding
Of je nu een pleziervaart maakt in het weekend, of een recordpoging op grote hoogte onderneemt, het risicobeheer moet aanzienlijk groter zijn dan de bijbehorende risico’s. Hoe kunnen we V = RB > R vertalen naar vaartvoorbereiding in de praktijk? Dat begint met drie eenvoudige stappen:
1. Identificeer en beoordeel de risico’s. Hou daarbij rekening met de aard en het niveau van de risico’s. Denk aan persoonlijk letsel, uitdagingen bij het inflaten of vaart- en locatie specifieke risico’s. Het weer bijvoorbeeld, brengt
iedere vaart risico’s met zich mee. Evalueer hoe groot het risico is, en hoe groot de kans is dat het risico zich voordoet. Daarmee krijg je inzicht in de potentiële impact van het risico op je veiligheid en die van de crew en passagiers.
2. Beheers de risico’s. Bedenk wat ervoor nodig is om de verwachte risico’s te minimaliseren: een goede vaartvoorbereiding valt daar onder, en de juiste en werkende apparatuur, instrumenten en materialen bijvoorbeeld. En handschoenen, lange mouwen, stevig schoeisel, instrumenten, meteoverwachting, een EHBO-doos etc. etc.
3. Zorg ervoor dat RB > R. Hoe groter het risico - de kans erop én de impact ervan – des te belangrijker is het dat je vooraf nadenkt over risicobeheersing, en hoe belangrijker de maatregelen zijn die de kans op het risico minimaliseren. Richt je daarbij op maximale veiligheid. Niemand wil minimaal veilig zijn, hoewel een Nomex-jumpsuit het doel voorbij kan schieten.
Voorkomen van problemen
Door veiligheid op deze manier te definiëren ga je bewuster (vooraf) nadenken over veiligheid: over mogelijke risico´s en hoe je die kunt beheersen. Met onderstaande vijf tips kun je vrij eenvoudig voorkomen dat risico’s zich ontwikkelen tot problemen:
1. Best Practices. Volg procedures, checklists en regels. Deze best practices geven je de grootste kans op veiligheid.
2. Vaartvoorbereiding. Sta bij de vaartvoorbereiding bewust stil bij potentiële risico’s. Bespreek ze eventueel met je crew en/of co-piloot. Blijf voor en tijdens de vaart alert op deze risico’s.
3. Noodsituaties. Evalueer en oefen noodsituaties, ook samen met je crew.
4. Leren van anderen. Kijk hoe collega’s risicopreventie aanpakken en praat er met elkaar over. Leer de do’s (en dont’s).
5. ‘Nee’ & ‘Stop’. Het snelste en beste gereedschap voor risicobeheersing is ‘NEE‘ of ‘STOP’ durven zeggen. Voel je je ziekjes? ‘Nee ik ga niet varen’. Zitten passagier of crew te pushen om tijdens een event sneller op te stijgen? ‘Nee ik wacht nog even rustig af’. Zijn de weersomstandigheden op het opstijgveld slechter dan verwacht? ‘Nee we gaan toch niet opstijgen’. Nemen de goede landingsopties af door een afwijkende windrichting? ‘We gaan nu al landen’. Het Mission Completion Syndrome maakt het lastig om een inflation af te breken nadat de ventilator al is gestart, maar soms kan het verstandig zijn.
‘NEE’ en ‘STOP’
zijn de betere risicobeheersers
Het klinkt tegenstijdig, maar te weinig risico nemen kan ook een risico vormen. Het nemen van grotere risico’s, met daarbij
behorend toenemende risicobeheersing, is hoe piloten en crew (nieuwe) vaardigheden en ervaringen opdoen. Wanneer RB < R is, neemt de kans op close calls en ongelukken echter toe. Continu leren en uitdagende, maar veilig haalbare, doelen stellen houdt je scherp.
Dat gezegd hebbende: je kunt alle voorzorgsmaatregelen nemen en tóch in de problemen komen. De kloof tussen Risico Beheer en Risico is immers waar het avontuur, de romantiek en de aantrekkingskracht van het varen zit. RB > R is echter altijd, ongeacht het risiconiveau van je vaart, topprioriteit. Hoe groter de afstand tussen RB en R, des te veiliger en relaxter zal je vaart verlopen!
Twee ballonnen liggen naast elkaar tijdens een festival en worden voor het publiek opgebouwd. De wind is wat vlagerig. Een brander gaat aan voor de hot inflation terwijl de parachute nog niet volledig van de grond los is gekomen. De envelop deukt in, vangt extra veel wind en de ballon begint dermate gevaarlijk heen en weer te tollen dat de piloot het inflaten moet afbreken. Team 2 heeft de ballon uitgelegd maar wacht nog even met de cold inflation tot de vlagerigheid afneemt, en begint pas met de de hot inflation zodra de envelopstof strak staat en de parachute los is van de grond. Met frequent branden om convectief warmteverlies tegen te gaan komt de ballon snel en stabiel overeind. Takeaway: het risicobeheer van twee ballonteams naast elkaar kan behoorlijk verschillen.
Toen ik afgelopen zomer op een festival in het Midwesten van de Verenigde Staten naar een ballonopbouw onder winderige omstandigheden keek, zag ik hoe een schaars gekleed crewlid bijna in een brandervlam terecht kwam. Mijn eerste gedachte: ‘oei dat scheelde niet veel’. Tweede gedachte: ‘het waargenomen risico van de crew en de kennis van de piloot over het werkelijke risico kunnen sterk verschillen’. Derde gedachte: ‘een goed voorbereide piloot die op grote hoogte een alpencrossing maakt loopt minder risico dan dit crewlid.’
zijn
Benegas is dé specialist in propaangas. Wilt u een vulinstallatie op maat op uw eigen terrein? Informeer naar de mogelijkheden bij onze experts. Bovendien zetten wij ons in voor een groene toekomst om te kunnen blijven genieten van onze mooie natuur. Al ons propaan is CO2-gecompenseerd.
Wilt u meer informatie hierover?
Maak dan een vrijblijvende afspraak met een adviseur via info@benegas.com
PRECIES DERTIG JAAR GELEDEN STEGEN VIJFTIEN GASBALLONNEN OP IN ZWITSERLAND, VOOR DE STRIJD OM DE COUPE AÉRONAUTIQUE GORDON BENNETT. DRIE DAGEN LATER DREVEN DRIE BALLONNEN HET WIT-RUSSISCHE LUCHTRUIM BINNEN. EÉN VAN HEN WERD
DOOR DE LUCHTMACHT NEERGESCHOTEN. JOURNALIST NICK DAVIDSON BEET ZICH VAST DE TRAGEDIE, DEED GEDETAILLEERD ONDERZOEK, SPRAK OPNIEUW MET DIRECT BETROKKENEN EN PUBLICEERDE EERDER DIT JAAR ZIJN GEDETAILLEERDE BEVINDINGEN IN HET AMERIKAANSE ATAVIST MAGAZINE. IN EEN SERIE VAN VIER BALLONSTOF-ARTIKELEN WORDEN DE GEBEURTENISSEN ONTRAFELD.
DOOR NICK DAVIDSON
De wind was stevig en de lucht helder gedurende de twee dagen en nachten dat Mike Wallace en Kevin Brielmann al in de lucht hingen. Hun 1000 m3 waterstofballon Spirit of Springfield dreef oostwaarts boven Polen, op een hoogte van ongeveer 5.000 voet. Het was nu al de langste vaart die de beide Amerikaanse piloten ooit hadden gemaakt. Samen met veertien andere ballonnen uit zeven verschillende landen waren ze op zaterdag 9 september vanuit Wil, Zwitserland, vertrokken. De piloten streden om de 1995-editie van de langeafstands-gasballonrace om de ‘Coupe Aéronautique
Gordon Bennett’. Iedere ballon had een grote gele banner meegekregen voor op de mand, die hen identificeerde als Gordon Bennett-deelnemer.
Wallace en Brielmann waren beiden ervaren piloten. Dit was Wallace’s zesde Gordon Bennett deelname, en Brielmann’s eerste. Ondanks zijn gebrek aan wedstrijdervaring had Brielmann, die 43 was en uit Connecticut kwam, de meeste vaaruren van het duo. Hij was handig met elektronica en benaderde de race-deelname met de scherpe geest van een ingenieur. Wallace was een 54-jarige advocaat en vastgoedontwikkelaar uit Massachusetts, en vertrouwde meer op intuïtie en improvisatie. Bij het gasballonvaren zijn lichtgewicht-piloten enigszins in het voordeel, omdat er dan meer ballast kan worden meegenomen, en vergeleken met lichtere tegenstanders kon Wallace - met een lengte van 1,98 en 120 kg gewicht - zo’n drie 15 kgzandzakken als ballast minder meenemen, wat na een dag of drie varen een potentieel nadeel zou kunnen worden. De meesten Gordon Bennett vaarten duurden echter een of twee dagen
James Gordon Bennett
James Gordon Bennett Jr. was een excentrieke playboy en krantenmagnaat, die de krant New York Herald leidde. Bennett was ook een fervent sporter, die in 1866 de eerste trans-Atlantische zeilrace won en het initiatief nam voor een autorace over lange afstanden, die later zou uitmonden in de Grand Prix. De avonturen en races spraken erg tot de verbeelding en leverden fantastische artikelen op voor zijn kranten. Tegen de eeuwwisseling kreeg Bennett ook interesse in de luchtvaart. Hij initieerde de ballonrace om de Coupe Aeronautique Gordon Bennett, de oudste en meest prestigieuze luchtvaartrace ter wereld. Het doel van de wedstrijd was en is om met een gasballon in meerdere dagen en nachten een zo ver mogelijke afstand af te leggen, zonder te landen. Bij de inaugurele race in 1906 vanuit Parijs vertrokken 16 ballonnen vanuit de Tuilerieën, onder toeziend oog van een gigantische menigte van een miljoen toeschouwers. Het ‘ballonracen’ was een riskante onderneming en het gasballonvaren vereiste vaardigheid, lef en uithoudingsvermogen: een ideaal uitgangspunt dus, voor spannende krantenartikelen. De iconische ballonrace wordt nog steeds georganiseerd en geldt tevens als wereldkampioenschap voor gasballonvaren.
en soms een derde, maar geen enkele Gordon Bennett-ballon was ooit al eens een vierde nacht ingegaan. In 1995 werd dat echter wel als haalbaar ingeschat vanwege gunstige weersomstandigheden, maar ook omdat er met het instorten van de Sovjet-Unie een groter luchtruim was vrijgegeven dan voorheen, o.a. inclusief Wit-Rusland en Oekraïne.
Tegen het middaguur op maandag 11 september, de derde dag van de race, hingen 10 van de 15 ballonnen nog steeds in de lucht. De rest was in Oostenrijk, Duitsland of Polen geland. Wallace en Brielmann wisten dat hun vrienden Alan Fraenckel en John Stuart-Jervis, die onder de vlag van de Amerikaanse Maagdeneilanden deelnamen, nog steeds in de buurt waren in hun D-Caribbean. “Het gaat fantastisch worden”, zei Martin Stürzlinger, een lid van de volgploeg van de D-Caribbean.
De 55-jarige Fraenckel was een rijzende ster in het wedstrijdvaren, met zijn stralende glimlach en genereus karakter. Hij was, naast ballonvaarder, ook verkeersvlieger. Hij had leren vliegen bij de marine en was nu piloot voor Trans World Airlines op de route New York-Caïro. Fraenckel’s copiloot,
de 67-jarige John Stuart-Jervis was een charmante, wat meer gereserveerd Engelsman. Hij sloot zich tijdens de Tweede Wereldoorlog op 16-jarige leeftijd aan bij de Royal Navy en werd piloot bij de Fleet Air Arm. Tijdens de Suez-crisis van 1956 werd hij neergeschoten in de Golf van Suez. Een Franse kruiser plukte hem uit het water. Hij en Fraenckel ontmoetten elkaar op een cocktailparty op de Maagdeneilanden in 1989, en besloten ter plekke om hun krachten voor de Gordon Bennett race te bundelen.
De ballonnen van de beide teams waren gedurende de gehele race dicht bij elkaar gebleven; ze zochten steeds dezelfde windstromingen op en hadden regelmatig onderling radiocontact - om even in te checken, om weergegevens uit te wisselen of om gewoon even ‘bij te kletsen’. Op de grond navigeerden de volgploegen door een doolhof van wegen, klaar om de ballonvaarders na de landing, waar dan ook, weer op te halen.
Fraenckel nam vroeg in de avond radiocontact op met Wallace. “Op welke hoogte varen jullie?” Vroeg Fraenckel. De twee mannen waren goede vrienden - ze hadden vaker samen gevaren
en gebruikten een privéradiofrequentie om onderling te communiceren. Wallace vertelde dat ze op een kleine vijfduizend voet voortploeterden. “Gooi wat zand uit,” zei Fraenckel, “en kom ook naar 11.000 voet. Hier zit een solide inversielaag. Je kunt er de hele nacht op blijven dobberen.”
Zes van de overgebleven Gordon Bennett-ballonnen vervolgden inmiddels hun weg naar het noordoosten richting Litouwen, waaronder de Colombus II, met aan boord de Duitser Willi Eimers en zijn copiloot, Bernd Landsmann. De windstromingen hadden de Spirit of Springfield en de D-Caribbean vanuit Polen echter meer naar het zuidoosten gestuurd. Samen met de Amerikaanse ballon Aspen, die hen op afstand volgde met aan boord de Amerikaanse piloten Mark Sullivan en David Levin, ging hun reis met een snelheid van 19 knopen richting WitRusland.
De organisatoren van de race hadden toestemming om door het luchtruim van ieder land te varen waar de wind hen in zo’n vier dagen zou kunnen brengen, met uitzondering van Rusland. Slechts zeven weken eerder had dat land nog straaljagers naar een passagiersvliegtuig van Virgin Atlantic gestuurd, dat Rusland doorkruiste via een nieuwe route naar Hong Kong. Het vliegtuig moest gedwongen landen, ondanks het feit dat de luchtvaartmaatschappij van de autoriteiten toestemming had gekregen voor de vlucht. De Russische grens was daarom de harde oostelijke grens van het vaargebied: iedere ballon die de grens naderde zou dus vóór de grens de ballon aan de grond moeten zetten. Het luchtruim van Wit-Rusland en Oekraïne was wel vrijgegeven voor de race. Het waren nog jonge naties die vrij recent onafhankelijk waren geworden door de ineenstorting van de Sovjet-Unie, minder dan vier jaar eerder. Ze openden voor de allereerste keer hun luchtruim voor de beroemde ballonrace. Wallace vond het idee van meer ‘vaarruimte’ erg aanlokkelijk. Hij voelde zich goed over hun vooruitzichten, toen ze een derde nacht ingingen, met nog vrij veel ballast over. En kort achter hen verging het Fraenckel en Stuart-Jervis net zo goed.
Brielmann had een betere nachtvisie dan Wallace, en voerde het grootste deel van de nachtnavigatie uit aan boord van de Spirit of Springfield. Hij vond het nachtvaren prachtig en sereen, zij het soms wat desoriënterend. Brielmann deed af en toe een dutje van 20 minuten, terwijl de lucht enigszins verlicht werd door een volle maan. De nacht verliep verder zonder incidenten. Het was vooral koud geweest in de krappe rieten mand, en Wallace’s rug deed pijn van een oude blessure: in 1966 werkte hij als burger in Vietnam toen de militaire helikopter waarin hij vloog werd neergeschoten. De crash verbrandde 80% van zijn lichaam en brak destijds zijn rug, nek, 14 ribben en sleutelbeen.
Om 6.40 uur op dinsdag 12 september, terwijl de Spirit of Springfield en de D-Caribbean ten zuiden van Bialystok hingen, steeg een Poolse weersonde 60 mijl westelijk van hen op, en deze volgde een tijdlang exact dezelfde koers als de ballonnen. Zowel de beide teams als de Poolse weerballon dreven ongeveer een uur later Wit-Rusland binnen. Deze Poolse weerballon zou later een belangrijke rol gaan spelen in een grote ballonvaarttragedie…
Wallace en Brielmann zagen de D-Caribbean in het vroege ochtendlicht varen, zo’n 12 mijl achter hen. De vierde dag van de Gordon Bennett was aangebroken. De ochtendzon verwarmde de Spirit of Springfield, en voerde hen geleidelijk naar zo’n 12.000 voet hoogte. Fraenckel en Stuart-Jervis dreven ongeveer 3.000 voet lager.
Om 9.34 uur lokale tijd keek een Wit-Russische grenswacht in Brest omhoog, en zag een onbekend object door de lucht drijven, 40 mijl richting het noordoosten, in de richting van de stad Pruzhany. De bewaker wist niet zeker wat het was, en belde voor alle zekerheid naar de commandopost voor luchtafweer, je weet maar nooit…
Tegen het einde van de ochtend waren de Spirit of Springfield en de D-Caribbean meer dan 60 uur in de lucht. De beide ballonnen hadden inmiddels 750 mijl afgelegd en ze lagen goed gepositioneerd voor een mogelijke overwinning. Fraenckel riep Wallace via de radio op, om te horen hoe het met hem en Brielmann ging. “Wij hebben zelf nog 12 zandzakken over,” zei Fraenckel, “en al ons water nog”. Het water diende als noodballast. “We gaan voor een vierde nacht.” Twaalf zakken zand, dat was meer ballast dan Wallace en Brielmann nog over hadden. De D-Caribbean maakte dan ook een goede kans om te winnen en zou vrijwel zeker enkele records gaan verbreken. Het volgteam van de D-Caribbean had inmiddels echter wel met autopech te kampen. “Als je grondploeg je straks niet meer kan vinden,” grapte Wallace, “dan kun je nu beter meteen landen, mijn crew rijdt ongeveer onder je.” Fraenckel lachte: “Ik denk het niet, Mikey.”
Wallace had een vermoeden van het verdere verloop. Fraenckel en Stuart-Jervis hielden hen nauwgezet in de gaten, zouden toekijken hoe Wallace en Brielmann gingen landen zodra ze geen opties meer hadden om door te varen, hen vervolgens inhalen, en de overwinning claimen. Maar Wallace had een plan. Om dat scenario tegen te gaan., zouden ze vanuit Wit-Rusland de Oekraïne binnenvaren, en daar mikken op de oever van de Derkul-rivier. Deze rivier vormde de grens met Rusland, en was dus de meest oostelijke grens van het racegebied. Als Wallace nog een nacht naast de D-Caribbean kon blijven hangen, dan zou hij op de oever van
die rivier kunnen landen, zodat Fraenckel hem niet meer voorbij kon varen. “We zullen verdomd dicht bij in die rivier moeten stoppen, anders varen ze ons alsnog voorbij”, zei hij tegen Brielmann.
Terwijl de twee ballonnen sinds het ochtendgloren steeds visueel contact hadden gehad, werd het zicht nu steeds beperkter door de opkomst van een wolkensluier. In de volgende twee uur deed Wallace herhaalde pogingen om Fraenckel via de radio te spreken, maar zonder resultaat. Wellicht was Fraenckel van frequentie veranderd, of had hij besloten om zo tegen het einde van de race het contact op een lager pitje te zetten.
Rond 14.30 uur werd de stilte verbroken door het geluid van een helikopter, die onder hen cirkelde. Nieuwsgierigheid onder collega-luchtreizigers maakten ze wel vaker mee: eerder tijdens de race in Duitsland bijvoorbeeld, toen twee ultralight vliegtuigen en een helikopter hen een luchtbezoek en groet kwamen brengen. Wallace, die zijn vroege carrière had doorgebracht met het bewapenen van militaire kanonneerschepen, herkende de geavanceerde, gecamoufleerde Mil Mi-24 Hind helikopter van Russische makelij. Deze helikopterpiloot leek hen enigszins agressief te benaderen. Wallace zwaaide voor de zekerheid met hun vergunningspapieren naar de Hind, en hij wees naar de gele Gordon Bennett-racebanner op de mand. De piloot gebaarde hen echter om te landen, maar verdween weer –om enkele minuten later weer terug te keren. Bij de Spirit of Springfield aangekomen zwenkte de Hind zijwaarts en bood een dreigend zicht op de machinegeweren en het kanon in de geschutskoepel.
Wallace had de positie van de Spirit of Springfield anderhalf uur eerder boven de stad Pinsk voor het laatst aan Annette Hockeler gemeld, die de volgploeg op de grond leidde. Hij nam snel opnieuw contact met haar op. “Een Russische helikopter cirkelt om ons heen”, zei hij. “Een bewapende helikopter.”
Toen stopte de uitzending. Het was het laatste radiobericht dat Hockeler van Wallace en Brielmann hoorde. Omdat Hockeler geen contact meer met Wallace kon krijgen, probeerde ze Fraenckel te bereiken, met wie ze ook regelmatig radiocontact had gehad, maar ze hoorde alleen ruis op de radio. Hockeler bevond zich op dat moment in de buurt van de Wit-Russische grens, maar was het land nog niet binnengekomen. Wallace’s laatste boodschap en het stilzwijgen van beide piloten waren verontrustend, maar Hockeler zei tegen zichzelf dat ze zich geen zorgen moest maken totdat ze meer informatie had. Als een ballon ver weg was, op lage hoogte dreef, of aan de andere kant van een berg, zouden radiosignalen hen immers niet bereiken. Hockeler, een 38-jarige Duitse uit de omgeving van Düsseldorf, verzorgde voor team Wallace-Brielmann de radiocommunicatie en ze navigeerde samen met de Duitse Volker de volgauto over
de wegen die kronkelden onder de Spirit of Springfield.
Hockeler en Brielmann waren het afgelopen jaar aan het daten geslagen, en het werd serieus. Wallace had het paar tijdens de Wereldkampioenschappen Gasballonvaren 1994 in Albuquerque, New Mexico aan elkaar geïntroduceerd. Hockeler was er samen met een Duitse piloot, terwijl Brielmann onderdeel was van de Wallace-crew. Hij hielp Hockeler bij het huren van een volgauto met aanhanger, en de vonk sloeg over. Drie weken na Albuquerque maakte Hockeler, die werkte voor een luchtvaartmaatschappij, een zakenreis naar San Diego, en Brielmann voegde zich bij haar. Terwijl het lot van haar geliefde Brielmann aan haar knaagde, lukte het Hockeler en Volker niet om Wit-Rusland binnen te komen om de Spirit of Springfield na haar landing op te kunnen halen. Nadat het duo de avond aan de grens had doorgebracht, zeiden de bewakers daar dat ze meer dan 100 mijl terug moesten rijden, naar Warschau, om daar inreisvisa te verkrijgen via de Wit-Russische ambassade. Het was al laat, de ambassade was die dag gesloten, waarop werd besloten om een kamer in Terespol te zoeken voor de nacht. Volker sliep op de parkeerplaats van het motel in de volgauto, om deze te bewaken.
Het achtervolgingsteam van de D-Caribbean was zondagavond gestrand in de buurt van Dresden. Hun Volkswagenbus had het begeven. De oudere broer van Alan Fraenckel, Vic, vormde samen met Martin Stürzlinger de volgploeg voor het team Fraenckel - Stuart-Jervis. Omdat Vic de bus niet zelf kon repareren, leende een lokale monteur hen zijn Audi-stationwagen, om deze weer terug te brengen zodra de race voorbij was. Door alle vertragingen waren ze het radiocontact met de D-Caribbean, die nu ver buiten bereik was, al een tijdje kwijt. Dit was een probleem: de volgploeg is de levensader voor de ballonvaarders, en Vic en Stürzlinger raakten zo honderden kilometers achterop. “Met de snelheid die de ballon had, zouden we ze niet kunnen inhalen”, zei Stürzlinger. “Voor ons was dat behoorlijk slecht nieuws, het voelde alsof we ze in de steek lieten.”
Dit artikel stond eerder dit jaar in het Amerikaanse ‘The Atavist Magazine’, editie 161-2025 onder de titel ‘The Balloon that Fell from the Sky’. Met toestemming van uitgever en auteur is het vertaald naar het Nederlands en als korte serie van vier artikelen opgenomen in Ballonstof. Volgende keer deel 2: ‘Waarom horen we niets?’
Evenementen in Nederland en België of georganiseerd door de FAI MEETINGS
Ballonfestival Hardenberg Hardenberg (NL) 26-28 juni ballonfestival-hardenberg.nl
KempenAIR
Grobbendonk (BE) 27-29 juni kempenair.be
Balloonfair Staphorst Staphorst (NL) 11-12 juli balloonfairstaphorst.nl
Friese Ballonfeesten Joure (NL) 16-20 juli ballonfeesten.nl
Beveren Air Beveren (BE) 26-27 juli gemeentebkz.be
Sport-ballonhappening Sint-Truiden Sint-Truiden (BE) 3 augustus visitsinttruiden.be
Ballonfestival Grave Grave (NL) 8-9 augustus ballonfestival-grave.nl
Ballonspektakel Rijsbergsen Rijsbergen (NL) 16 augustus ballonspektakel.nl
AVS Balloonmeeting Stad Deinze Deinze (BE) 16-17 augustus avsballoonmeeting-staddeinze.be
Des Ballons et des Ailes Le Roeulx (BE) 17 augustus desballonsetdesailes.be
Hottolfiades Festival International Hotton (BE) 22-24 augustus hottolfiades.com
Ballonfiesta Barneveld Barneveld (NL) 27-30 augustus ballonfiestabarneveld.nl
Twente Ballooning Oldenzaal (NL) 28-30 augustus twenteballooning.nl
Vredefeesten Sint-Niklaas (BE) 4-7 sept vredefeesten.be
Gemert Ballonfestijn Gemert (NL) 5-6 sept gemertsballonfestijn.nl
Kasseitjes Kermis Lochristi Lochristi (BE) 20-21 sept kasseitje.be
WEDSTRIJDEN
Najaarswedstrijd (NL) n.t.b. (NL) 20 september dbcc.nl
One Day Fly (BE) Vlaamse Ardennen (BE) 4 oktober www.balloonfederation.be
FAI
23e FAI EK Wieselburg (AUT) 16-23 aug europeans2025.at
68e Coupe Aéronautique Gordon Bennett Metz (FR) 5+ sept gordonbennett25.fr
Evenementen en data onder voorbehoud. Voor definitieve data en uitwijkdata zie websites organisatoren. Een ontbrekend evenement in NL of BE of wijzigingen kun je doorgeven via ballonstof@knvvl.nl.
Features include: altimeter, variometer, and temperature indicating displays, flight timer, audio alarms, and an integral GPS showing ground track and speed. The DBI3 also has an on-board flash memory capable of storing up to 10,000 hours of recoverable flight data. It is powered by an integral LiPo battery lasting up to 12 hours per charge; no replaceable batteries to contend with. It has a metal body, one Bluetooth antenna and one GPS antenna. It also has a rotary switch that ensures safe travelling with the DBI3 totally disconnected from the battery.
Buy from our webshop www.dbi3.com or contact our BENELUX Sale Station via the Dutch Eric Baltussen at info@ballonsport-marl.de or +492365508785.
Price: 1,299 € (excluding VAT). Shipping included.
More than 1,500 units sold worldwide
Digitool Instruments AB Dalagatan 13, Box 6190, 10233 Stockholm, Sweden
Dat het hergebruik van afgedankte ballonmaterialen modieuze vormen kan aannemen bewijst Maria Callisto. Het Britse Virgin Balloon Flights stuurt haar ballonnen na ongeveer 600 vaaruren met pensioen. Eerder gebruikte het bedrijf die afgedankte enveloppen als isolatie voor de wanden van haar loods en voor mand-covers. Maar Maria zag in de gepensioneerde lappen polyamide een grondstof voor modeaccessoires. In een eerdere Second Life editie van Ballonstof kwamen haar prachtige tassen al aan bod. Hier laat zij een nieuwe creatie zien: een ripstop nylon haarstrik.
Heb je ook afgedankte ballonspullen een tweede leven gegeven? Laat het weten via ballonstof@knvvl.nl.
Ballonstof Zomer 2025. Kwartaalblad van de afdeling Ballonvaren van de Koninklijke Nederlandse Vereniging voor Luchtvaart (KNVvL) i.s.m. de Koninklijke Belgische Ballonvaart Federatie (KBBF). Oplage 600 exemplaren.
Redactie: Han Nabben, hoofdredacteur | Annette Witte, eindredacteur | Rutger Coucke, art director | Gerjan Crebolder, redactie Nederland | Luc van Geyte, redactie België. De redactie beslist over het opnemen van artikelen en behoudt zich het recht voor om artikelen te bewerken. De verantwoordelijkheid voor de inhoud van de artikelen komt voor rekening van de betrokken auteur.
Contact: ballonstof@knvvl.nl (NL) of redactie@balloonfederation.be (BE). Ballonstof niet ontvangen? Neem dan contact op met ledenservice@knvvl.nl of redactie@balloonfederation.be.
Verschijningsdata en deadlines: Voorjaar deadline 28-2, verschijning 31-3 | Zomer deadline 31-5, verschijning 30-6 | Najaar deadline 31-8, verschijning 30-9 | Winter deadline 15-11, verschijning 24-12.
Adverteren: 1/1 pag. € 290 | 1/1 pag. binnenzijde omslag € 320 | 1/1 pag. achteromslag of pag. vijf € 347 | 1/2 pag. € 156 | 1/4 pag. € 90 | 1/8 pag. € 50. | A4 leaflet: € 650,Korting bij herhaald adverteren. Tarieven zonder BTW.
Abonnementen: Losse nummers €7,95. Abonnement € 30,per jaar. Abonnementen worden automatisch verlengd tenzij een maand voor het verstrijken van de abonnementsperiode bericht van opzegging is ontvangen via ledenservice@knvvl.nl (NL) of redactie@balloonfederation.be (BE). Ballonstof is gratis voor leden van de KNVvL afdeling Ballonvaren, de DBCC en de KBBF.
KNVvL Ballonvaren.
Bestuur KNVvL Afd. Ballonvaren: voorzitter Alex Jan Barends, voorzitter.ballonvaren@knvvl.nl; secretaris Rob den Boer, secretaris.ballonvaren@knvvl.nl; penningmeester Benjamin Urbach, penningmeester.ballonvaren@knvvl.nl; alg. bestuursleden Bert Stuiver en Bart Sebregts. DTO: head of training René Zwarteveen; deputy head of training Martijn Kort. Woordvoerders: Alex Jan Barends +31(0)6-52626338; Monique Hoogenslag +31(0)6-23505807; Jan Oudenampsen +31(0)653336933; René Zwarteveen (DTO) +31(0)6-15054777. Knvvl.nl/ ballonvaren.
KBBF. Bestuur: voorzitter en woordvoerder Yves Lannoy +32(0)478-515730; ondervoorzitter Kenian Dekein; secretaris Djorry Simoen; penningmeester Luc Van Geyte; alg. bestuursleden Evert Dehandschutter, Christophe Holvoet, Thomas Spildooren, Michael Aerens, Stijn Staelens; rvb@balloonfederation.be; sportcommissie@balloonfederation.be. Balloonfederation.be.
© Ballonstof Magazine. Alle rechten voorbehouden. Niets uit deze uitgave mag geheel of gedeeltelijk worden verveelvoudigd, opgeslagen en/of openbaar worden gemaakt zonder schriftelijke toestemming van de hoofdredacteur.
www.knvvl.nl/ballonstof ISSN 1386-1700
U wilt uw vingers niet branden... Dus kies voor een liefhebber en specialist met ruim veertig jaar ervaring
Meer informatie:
Walter van Burgel 076 - 5333 535 w.vanburgel@dekeyzer.nl
Marloes Selten 076 - 5333 525 m.selten@dekeyzer.nl
Meer informatie: De Keyzer Zekerheid www.dekeyzer.nl 076-5333555 ballon@dekeyzer.nl
De collectieve verzekeringsoplossing voor KNVvL en individuele ballonvaarder.