Ingrese y renueve su suscripción en

Ingrese y renueve su suscripción en
Automatización inteligente con KNX en edificios eficientes
Estrategias de fidelización en un mercado cada vez más competitivo
Pocas industrias reúnen tanta diversidad de saberes como el mundo HVACR. Aquí convergen ingenieros, técnicos, diseñadores, instaladores, empresarios, académicos y apasionados de la innovación. Cada uno con su historia, cada uno aportando su visión y experiencia para construir una comunidad tan técnica como humana, tan rigurosa como solidaria.
Trabajar en este sector es, en muchos sentidos, formar parte de una gran familia. Una familia que se encuentra, se reconoce y se fortalece en los espacios donde compartimos conocimiento. Por eso, eventos como RefriAméricas no son solo congresos ni ferias comerciales: son puntos de encuentro, celebración y aprendizaje colectivo. Este año, la cita será en julio en la vibrante República Dominicana, un escenario que promete calor, no solo por su clima, sino por la calidez de quienes nos reuniremos allí.
A quienes me han abierto las puertas de esta comunidad, gracias. Los cambios, lo sabemos, no siempre llegan con facilidad, pero estoy convencida de que cada nueva etapa trae consigo la oportunidad de crecer, de aprender y de seguir construyendo juntos un sector más fuerte y conectado.
¡Nos vemos en RefriAméricas!
LAURA RESTREPO Editora AcR LATINOAméRIcA lrestrepo@acrlatinoamerica.com
Es una publicación periódica propiedad de Latin Press, Inc.
Producida y distribuida para Latin Press, Inc. por Latin Press Colombia y Latin Press USA
Dirección General
Max Jaramillo / Manuela Jaramillo
eDitora
laura restrepo lrestrepo@acrlatinoamerica.com
Gerente De proyecto
Fabio Giraldo fgiraldo@acrlatinoamerica.com
Gerentes De cuenta
México
sandra camacho scamacho@acrlatinoamerica.com
Verónica Marín vmarin@acrlatinoamerica.com
china
Judy Wang judy@worldwidefocus.hk
Database ManaGer
Ma eugenia rave mrave@acrlatinoamerica.com
JeFe De proDucción / Diseño Fabio Franco ffranco@acrlatinoamerica.com
portaDa latin press, inc.
teléFonos oFicinas:
latin press usa Miami, usa Tel +1 [305] 285 3133
latin press México ciudad de México Tel +52 [55] 4170 8330
latin press coloMbia bogotá, colombia Tel +57 [601] 381 9215
latin press brasil são paulo, brasil Tel +55 [11] 3042 2103
colaboran en esta edición:
Ernesto Porras, Jimy Danelli, Alfredo Sotolongo, José Hernán Álvarez, Rafael Rau, Simon Buddle, Ernesto Sanguinetti, Manuel García, Andrea Álvarez, Rolando Torrado.
Las opiniones expresadas por los autores de los artículos en esta revista no comprometen a la casa editora.
Impreso por Panamericana Formas e Impresos S.A. Quien solo actúa como impresor
Impreso en Colombia - Printed in Colombia issn 0123-9058
4
8
10
cARTA EDITORIAL
cALENDARIO 2025
NOTIcIAS DE LA INDUSTRIA
AIRE ACONDICIONADO
28 ¿Son viables las torres de enfriamiento en un contexto de escasez hídrica? – Por Jimy Danelli
Ante el desafío global del acceso al agua, las torres de enfriamiento enfrentan nuevas exigencias. En este artículo, Jimy Danelli analiza si esta tecnología puede adaptarse a las condiciones actuales y cómo la innovación está transformando su eficiencia hídrica.
fERIAs y CONgREsOs
44 Refricon 2025: Un recorrido por los momentos clave del evento de Refrimundo
Reviva los momentos más destacados de uno de los encuentros más importantes para el sector HVAC/R en Latinoamérica. Conozca las novedades tecnológicas, las voces expertas que participaron y el impacto de esta edición de Refricon organizada por Refrimundo.
56
58
La evolución de las protecciones eléctricas modernas: más allá de los interruptores tradicionales
– Por manuel García Jiménez
La seguridad eléctrica da un paso adelante con los detectores de arco eléctrico (AFDD). En este artículo, Manuel García Jiménez explora cómo estas nuevas tecnologías están redefiniendo los estándares de protección y prevención en instalaciones HVAC/R.
Fidelización estratégica: la nueva moneda en HVAc/R. – Por Andrea Álvarez
En un mercado cada vez más competitivo, la clave ya no está en bajar precios, sino en construir relaciones sólidas. Andrea Álvarez analiza cómo la fidelización estratégica puede ser la ventaja más poderosa de una empresa del sector HVAC/R.
El MSZ-WR 16 SEER unidad interior de montaje en la pared se combina con una unidad exterior de bomba de calor de una zona. Esta unidad cuenta con modo “Econo Cool” en ahorro de energía, control de temperatura inteligente y un moderno diseño de panel plano. Esta unidad de montaje en la pared de SEER 16 es una mejor opción para enfriar cualquier lugar en su hogar.
Para más información visite: mitsubishicomfort.com
23 y 24
RefriAméricas
Santo Domingo, República Dominicana www.refriamericas.com
13 al 15
Expo ACAIRE Barranquilla, Colombia www.acaire.org
SEPTIEmBRE
23 al 25
AHR Expo México Monterrey, México www.ahrexpomexico.com
9 al 12
Febrava
Sao Paulo, Brasil www.febrava.com.br
16 y 17
COPEAIRE
Santiago de Surco - Lima, Perú www.copeaire.pe
23 al 24
Expo Frío Perú Lima, Perú expofrioperu.com
NOVIEmBRE
14 al 17
Climatización & Refrigeración Madrid, España www.ifema.es/cr
2026
2 al 4
AHR Expo 2026
Las Vegas, Estados Unidos www.ahrexpo.com
Se anuncian los finalistas del CALA Awards™ 2025 a la mejor instalación
Los proyectos más innovadores y sostenibles en climatización y refrigeración compiten por el galardón más importante del sector en la región.
La edición 2025 del CALA Award™ a la mejor instalación HVAC/R en Latinoamérica ya tiene finalistas. Este reconocimiento, que destaca anualmente la excelencia en proyectos de aire acondicionado, ventilación, calefacción y refrigeración en América Latina, ha seleccionado seis instalaciones que representan lo mejor en eficiencia energética, sostenibilidad, innovación y gestión técnica.
Larco Comercial y Servicios
Edificio Facultad de Ciencias, Pontificia
Universidad Javeriana
Bogotá, Colombia
Esta infraestructura, dotada de un sistema central de agua helada de 210 TR, integra sistemas de calefacción híbrida, áreas frías, laboratorios de alta calidad y climatización con aire totalmente exterior.
MultiFrío
Concord, Zona Franca La Lima Cartago, Costa Rica
Proyecto enfocado en la eficacia energética y la preservación del medio ambiente, que abarca chillers con refrigerante R514a, sistemas de reutilización de agua, sensores inteligentes y aspiración con certificación LEEDSilver.
Secar Ingenieros S. A.
Edificio Auditorio y Centro Tecnológico, Universidad Santiago de Cali
Cali, Colombia
Sistema 440 TR que incluye el refrigerante R1234ze, vigas frías activas y purificación por fotocatálisis. Se estableció un control completo con Honeywell y un bombeo inteligente de sensación propia.
Premiación oficial y votación pública
Dicoma Refrigeración S. A.
CEDI de Perecederos Congelados, Walmart
Alajuela, Costa Rica
La instalación transcrítica con CO2 más grande de Centroamérica. Logró una reducción del 92 % en emisiones, un aumento del 12 % en eficiencia energética y permite recuperar hasta 500 kW de calor.
Luis Videla y Cía. Ltda.
Centro de Distribución Nestlé Concepción, Chile
Pionero en América Latina con sistema de amoníaco de expansión directa de baja carga (solo 60 kg). Reducción drástica de riesgos, eliminación de condensadores evaporativos y control de potencia frigorífica optimizado.
Eletrofrio Refrigeração Ltda.
Supermercado Muffato Alphaville
Londrina, Brasil
Sistema natural en cascada con CO2 y propano. Compresores Bitzer de alta eficiencia y control por variador. Instalado en un supermercado de 3100 m², con resultados sobresalientes en eficiencia energética y sostenibilidad.
Los ganadores se anunciarán el 23 de julio de 2025 durante la feria RefriAméricas, en el Centro de Convenciones Sans Soucí Ports, en Santo Domingo.
¡Felicitaciones a todos los finalistas por contribuir al avance de la industria HVAC/R en Latinoamérica!
Brasil. Se trata de Scout AI, la nueva herramienta de Copeland. La nueva versión de la app Copeland Mobile integra inteligencia artificial para agilizar diagnósticos, mejorar la formación técnica y aumentar la productividad en campo.
En línea con la transformación digital del sector HVACR, Copeland anunció el lanzamiento de Scout AI, un chatbot inteligente integrado en su aplicación Copeland Mobile, diseñada para técnicos, distribuidores y fabricantes de equipos (OEM). Esta innovación marca un nuevo paso en la evolución del soporte técnico móvil, al ofrecer información personalizada y en tiempo real directamente desde el lugar de trabajo.
La app, que ya cuenta con cerca de 50.000 usuarios frecuentes, proporciona acceso inmediato a especificaciones técnicas, diagnósticos, manuales, garantías y videos. A diferencia de una búsqueda en internet, Scout AI entrega respuestas basadas exclusivamente en fuentes oficiales de Copeland.
“Estamos aprovechando el poder de la transformación digital y la IA para revolucionar la forma en que nuestros clientes interactúan con nuestros productos y soluciones”, afirmó Lisa Beasley, vicepresidenta de Tecnología de la Información en Copeland. “Al ofrecer un acceso inteligente e intuitivo a información y herramientas críticas, estamos empoderando a los usuarios para trabajar de
Internacional. Energy SAVER PLUS es una nueva propuesta tecnológica que combina control de caudal y contabilización de energía térmica en un solo sistema premontado, pensado para instalaciones de climatización en edificios residenciales y comerciales.
La nueva familia de productos Energy SAVER PLUS ha sido diseñada para atender de forma eficiente las necesidades de equilibrado hidráulico independiente de la presión y medición certificada de energía térmica en sistemas de agua fría y caliente en circuito cerrado.
Ideal para aplicaciones en viviendas, oficinas, hospitales, centros comerciales y otros edificios de uso mixto, este kit ofrece una integración sencilla y confiable
manera más eficiente, resolver problemas más rápido e impulsar el éxito con precisión y confianza”.
La nueva versión de la app también incorpora una herramienta de escaneo que reconoce placas de identificación de productos Copeland —y de la competencia— para ofrecer especificaciones, sugerencias de reemplazo y documentación técnica completa. Además, se renovó la interfaz con accesos directos a funciones como tutoriales en video, localización de distribuidores y referencias cruzadas.
Además, este verano se integrarán en la app otras herramientas como Copeland Application Engineering y Fault Finder, ofreciendo una experiencia más completa desde una única plataforma móvil.
de funciones clave para mejorar el rendimiento de las instalaciones HVAC, reducir el consumo energético y facilitar la gestión operativa.
Control mecánico y medición digital en un solo sistema
El sistema incluye una válvula de equilibrado dinámico independiente de la presión del modelo DYNASTY, que permite una regulación estable del flujo, y el medidor ultrasónico Energy METER, que integra dos sondas de temperatura y una unidad de visualización electrónica para el análisis del diferencial térmico (Delta-T).
Este medidor está certificado conforme a la Directiva MID (Instrumentos de Medición) y cuenta con múltiples opciones de comunicación, incluyendo BACnet IP, BACnet MS/TP, MODBUS TCP/IP, MODBUS
RTU, M-bus, LoRaWAN y Wireless M-bus, lo que permite su integración directa con sistemas de automatización de edificios (BMS).
El actuador (disponible en versión termoeléctrica o mecánica) proporciona un control preciso y sincronizado, mientras que el conjunto de válvulas del sistema permite realizar funciones adicionales como lavado, retrolavado, aislamiento y control de temperatura en cada unidad terminal.
Con un rango de modelos disponible desde 1/2” hasta 2” y capacidades de hasta 14.000 l/h (61,70 GPM), el sistema puede instalarse tanto en áreas comunes para mediciones zonificadas, como en los accesos individuales a cada unidad habitacional u oficina, incluso en espacios reducidos como falsos techos.
Estados Unidos. Lennox anunció oficialmente el lanzamiento de sus nuevas series de equipos Minisplit, que incorporan tecnología Inverter y utilizan el refrigerante R32. Esta iniciativa responde al compromiso de la marca con la eficiencia energética y la reducción del impacto ambiental en sus soluciones de climatización.
La compañía apuesta por la eficiencia energética y la sostenibilidad con sus nuevas líneas de equipos residenciales.
El refrigerante R32 es reconocido por ofrecer un alto rendimiento térmico y un menor potencial de calentamiento global (GWP) en comparación con los refrigerantes tradicionales como el R410A. Gracias a esta actualización, los nuevos Minisplits de Lennox no solo mejoran el confort, sino que también representan una opción más responsable con el medio ambiente.
Las nuevas series disponibles son:
•LX Series: con una eficiencia de hasta 25 SEER.
•LN Series: con una eficiencia de hasta 21 SEER.
•LP Series: con una eficiencia de hasta 22 SEER.
•T-Series: con una eficiencia de hasta 21 SEER.
Todos los modelos están equipados con tecnología Inverter, lo que permite un funcionamiento más silencioso, mayor durabilidad y un uso optimizado de la energía.
Lennox ha puesto a disposición de sus clientes la literatura técnica y comercial de cada serie, incluyendo manuales, submittals y folletos, para facilitar la especificación e instalación de los equipos.
Chile refuerza control aduanero para frenar ingreso de gases que dañan la capa de ozono y agravan el cambio climático
Chile. Con el objetivo de fortalecer la fiscalización en las fronteras, el gobierno de Chile capacitó a funcionarios de Aduanas de todo el país en la detección y control de sustancias que afectan la capa de ozono y contribuyen al calentamiento global.
La actividad, realizada en Valparaíso, reunió a más de 30 funcionarios del Servicio Nacional de Aduanas en el marco del “Taller de Capacitación a Capacitadores”, organizado por la Unidad Ozono del Ministerio del Medio Ambiente junto al Departamento de Control de Tráfico Ilícito de Aduanas.
El taller abordó el control de sustancias agotadoras de la capa de ozono (SAO) y de hidrofluorocarbonos (HFC), gases regulados por el Protocolo de Montreal y su Enmienda de Kigali, dada su creciente relevancia en la lucha contra el cambio climático.
“Aunque los HFC no dañan directamente la capa de ozono, tienen un alto potencial de calentamiento global. Por eso su fiscalización es clave y está contemplada en los
compromisos internacionales de Chile”, explicó Dolores González, profesional de la Unidad Ozono.
Durante la jornada se realizaron sesiones teóricas y prácticas sobre normativa internacional, clasificación arancelaria, gestión de riesgos y uso de equipos para identificar gases refrigerantes. También se analizaron escenarios reales de fiscalización en zonas portuarias y de control posterior.
La capacitación fue dirigida por Gustavo Torres, consultor de ONU Medio Ambiente y experto en implementación del Protocolo de Montreal en América Latina. “Los funcionarios deben estar preparados para identificar sustancias prohibidas o importaciones que superen las cuotas establecidas. El tráfico ilícito de estas sustancias puede aumentar a medida que avanzan los calendarios de reducción”, advirtió.
Desde Aduanas, Juan Alonso Pérez, del Departamento de Control de Tráfico Ilícito, destacó que el taller permitió fortalecer las capacidades técnicas y operativas del personal. “Es fundamental que nuestros equipos estén actualizados para asegurar el cumplimiento de los compromisos ambientales del país”, señaló.
Con estas acciones, Chile busca consolidar su rol activo en la protección de la capa de ozono y el cumplimiento de los acuerdos multilaterales sobre medio ambiente y cambio climático.
Chile. La Cámara Chilena de Refrigeración y Climatización A.G. confirmó la realización de la séptima edición de Expo Frío Calor Chile, el evento más importante del sector HVACR en el Cono Sur, que se llevará a cabo los días 14, 15 y 16 de abril de 2026 en Centro Parque, en la comuna de Las Condes, Santiago.
Tras el éxito de su versión 2024, la feria regresa con una propuesta renovada y un fuerte énfasis en la internacionalización. Según informaron los organizadores, el evento busca fortalecer la presencia de actores asiáticos en la
próxima edición, sumándose a las marcas líderes de América, con el objetivo de consolidar a Chile como un polo regional de innovación y negocios en climatización, refrigeración, calefacción, ventilación y eficiencia energética.
La feria contará con zonas de exhibición interactivas, espacios de networking y un programa técnico de alto nivel, im-
Ecuador. MLG Electronics y SAIRE oficializaron la apertura de su nuevo showroom en Quito, un espacio dedicado a la exhibición y comercialización de soluciones avanzadas en climatización para los sectores residencial, comercial e industrial. El centro combina un punto de venta con una experiencia tecnológica, y fue inaugurado con un evento donde expertos de ambas compañías demostraron las últimas innovaciones en aire acondicionado inteligente.
El showroom, ubicado en la Av. Mariscal Sucre N49-18 y Manuel Valdivieso, cuenta con 100 metros cuadrados diseñados para convertirse en el referente más completo de HVAC en Ecuador. Este espacio está orientado a profesionales, empresas y consumidores finales que buscan tecnología eficiente, sistemas de control centralizado y un ahorro energético tangible.
Entre las soluciones que se exhiben destacan equipos con tecnología Inverter, presente en todos los sistemas LG HVAC, reconocida por su alto rendimiento, eficiencia energética y menor impacto ambiental. El portafolio incluye:
• Aires acondicionados residenciales: split de pared y multi split.
• Equipos comerciales: cassette de 4 vías, fan coil, techo suspendido, manejadora de ducto y el innovador cassette redondo 360°.
• Sistemas VRF Multi V, el más vendido en LATAM, ideal para residencias, comercios e industria.
• Repuestos originales y accesorios especializados.
• Controles inteligentes desde individuales hasta sistemas BMS para gestión centralizada.
pulsado por alianzas con instituciones públicas y privadas. Se espera la participación de técnicos, profesionales, estudiantes y empresas de toda la región, en un entorno propicio para el intercambio de conocimientos y la generación de oportunidades comerciales.
Expo Frío Calor Chile 2026 busca reafirmar su papel como plataforma estratégica para el desarrollo sostenible del sector HVACR en América Latina, con una visión integradora que abarca también energías renovables, tratamiento de aguas y soluciones tecnológicas para la transición energética.
Durante la inauguración, los asistentes participaron en demostraciones interactivas y recibieron asesoría técnica personalizada. SAIRE también anunció que ofrecerá asesoría gratuita en todas las etapas de los proyectos HVAC, incluyendo selección de repuestos, optimización energética y planificación de instalaciones.
David Almeida, KAM SAC de LG Electronics Ecuador, destacó el compromiso de la compañía con las soluciones a la industria: “Con este nuevo showroom, reafirmamos nuestro compromiso con la innovación en soluciones HVAC que respondan a las demandas de eficiencia energética, control inteligente y sostenibilidad. Gracias a esta alianza con SAIRE, podemos acercar aún más nuestras tecnologías al mercado ecuatoriano con el respaldo de un equipo técnico experto y una oferta completa de productos LG HVAC”.
Por su parte, Juan Pablo Narváez, director ejecutivo de SAIRE, subrayó: “Con la apertura de nuestro nuevo showroom, en SAIRE damos un paso firme hacia el fortalecimiento de la confianza con nuestros clientes. Este espacio no solo refleja nuestro compromiso con la calidad, sino que, gracias al respaldo de LG Electronics, nos posicionamos como el distribuidor con el mayor stock de soluciones LG HVAC en todo el Ecuador.”.
Chile. El pasado 15 de mayo, Santiago de Chile fue el escenario del primer Building Automation Days by KNX Latam, un evento presencial que convocó a referentes, marcas líderes, instituciones y profesionales del sector para intercambiar conocimientos, experiencias y visiones sobre el futuro de la automatización en Latinoamérica.
Gracias al respaldo del Grupo Nacional KNX Chile, esta cita se posicionó como un punto de encuentro clave para la proyección del estándar KNX en el país. Durante el evento, los participantes dialogaron, analizaron el estado actual del sector, exploraron tendencias emergentes y generaron vínculos orientados a nuevas soluciones en automatización.
• JUNG: Representada por Daniel Gómez y Ronald Cabeza
• BAS Ingenieros: Con el respaldo de Manuel Espinoza
La jornada contó con la valiosa intervención de reconocidos tutores y embajadores KNX, quienes aportaron su perspectiva técnica y experiencia en el desarrollo del estándar:
• Gerald Esparza Lagos, KNX Tutor
• Víctor Caviedes Böttner, KNX Tutor
• Germán Céspedes Acuña, KNX Tutor y embajador de ETS6
El éxito del evento también fue posible gracias al apoyo de marcas de gran trayectoria que confiaron en esta plataforma de colaboración e innovación:
• Vimar SpA: Representada por Yessenia Alejandra Moreno Rodríguez y Emilio Doizi
• ABB: Con la participación de Diego Francisco Lizama Godoy
La formación técnica y profesional fue uno de los ejes centrales del encuentro. Instituciones como INACAP, Duoc UC, Universidad Andrés Bello y la Red de Liceos SOFOFA reafirmaron su compromiso con la preparación de las nuevas generaciones de especialistas en automatización.
Inspiración y homenaje a pioneros
Uno de los momentos más significativos fue la exposición de Emilio Vega Cárdenas, asesor tecnológico senior en CS Group, quien presentó un caso de éxito que evidenció el impacto concreto de las soluciones KNX en proyectos reales. Asimismo, se rindió un homenaje especial a Jorge Martínez Campo y Jaime Hurtado Pinto, reconocidos como pioneros de KNX en Chile, por su contribución a la evolución del estándar en el país.
El Building Automation Days by KNX Latam en Chile representa un hito en el impulso de la automatización en América Latina. Esta exitosa jornada reafirma el compromiso de la comunidad KNX por avanzar en soluciones innovadoras y por seguir fortaleciendo el conocimiento sobre edificios inteligentes.
“A todos los que hicieron posible este evento, ¡GRACIAS! Seguimos avanzando hacia un futuro más conectado y eficiente”, expresó Víctor Alarcón, Project Manager de KNX Latinoamérica.
México. La ceremonia nacional de clausura se realizó en la Ciudad de México, tras eventos regionales en Veracruz, Jalisco y Nuevo León.
Con la participación de más de 350 estudiantes de instituciones públicas de todo el país, Samsung México clausuró oficialmente la edición 2024 de su programa educativo Samsung Innovation Campus, en un evento realizado en su showroom de la Ciudad de México.
La iniciativa forma parte del compromiso de la compañía por capacitar a jóvenes en habilidades tecnológicas clave para su integración al mercado laboral. Este año, el programa se enfocó en Inteligencia
Artificial y Habilidades de Liderazgo, con un diplomado de 150 horas —130 en IA y 20 en liderazgo—, impartido en modalidad mixta durante 18 semanas. Las y los graduados
cia realmente excepcional”, expresó Thomas Yun, presidente de Samsung México.
Representantes de la Universidad de Monterrey (UDEM), institución aliada del programa, también estuvieron presentes. Isabella Navarro Grueter, vicerrectora de Formación Integral, y Patricio de la Garza, vicerrector de Servicios Académicos y Vinculación, asistieron como parte de la delegación académica.
recibieron una constancia con valor curricular que acredita los conocimientos adquiridos.
El evento de clausura fue conducido por la artista Daniela Magún, quien acompañó a los estudiantes con su energía y entusiasmo. También participaron directivos de Samsung México: Thomas Yun, presidente; Karen Goldberg, Chief Marketing Officer y directora senior de Marketing Mobile; y Lorena De Lima, gerente senior de Responsabilidad Social, quienes ofrecieron mensajes de reconocimiento al esfuerzo de las y los jóvenes.
“La IA no es el futuro, es el presente, y aprender a liderar con ella es clave para prosperar en la era de la transformación digital. Muchas gracias a todos los estudiantes, socios y colaboradores que hicieron de esta edición 2024 una experien-
Entre los invitados especiales destacaron Lee Jinwoo, agregado comercial de la Embajada de la República de Corea en México; Guillermo Bernal, de la American Chamber of Commerce of Mexico (AmCham); y Jorge Juraidini, director ejecutivo del Consejo Empresarial. Todos coincidieron en la necesidad de seguir promoviendo la educación tecnológica en el país.
Samsung Innovation Campus es parte de la misión global de la empresa de generar un impacto social positivo a través del acceso a la educación tecnológica, en un contexto en el que habilidades como el pensamiento crítico, el análisis de datos y el manejo ético de la inteligencia artificial son cada vez más demandadas.
Estados Unidos. Cleveland Controls anunció el lanzamiento de su nueva serie de interruptores de presión de aire ANS2, un dispositivo universal y ajustable en campo, desarrollado para una amplia gama de aplicaciones en sistemas HVAC residenciales y comerciales, cocinas industriales (campanas y freidoras), calefacción radiante exterior, calefacción de piscinas y spas, entre otros usos.
El modelo ANS2 permite una calibración sencilla mediante el uso de una llave Allen para ajustar el punto de activación deseado, guiándose por una escala visible en la cubierta del dispositivo. Está disponible en tres rangos de ajuste:
• ANS2-1000: de 0.08” wc a 1.0” wc
• ANS2-2000: de 0.15” wc a 2.0” wc
• ANS2-3000: de 2.0” wc a 10.0” wc
Según la compañía, su diseño simple facilita la calibración e instalación, lo que representa un ahorro de tiempo y esfuerzo para los técnicos en campo.
“Hemos ofrecido productos y soporte excepcionales a nuestros clientes durante más de un siglo. Mantenemos los más altos estándares en materiales y fabricación, combinando una vasta experiencia con innovación constante. Esta nueva versión reafirma la promesa que con orgullo hacemos a nuestros clientes”, expresó Matt Churchill, presidente y director ejecutivo.
De izquierda a derecha: Marcelo Martínez, vicepresidente de Smart Services para las Américas; Carlos García, vicepresidente de Trane para América Latina; Enrique Tello, director general de Trane México.
México. L Trane anunció una reestructura clave en su equipo directivo para México y América Latina. Los cambios forman parte de una estrategia para consolidar su presencia en mercados clave y fortalecer su oferta de servicios inteligentes.
Enrique Tello fue designado como nuevo director general de Trane México. Con una trayectoria que inició en 2011 como ingeniero de ventas, Tello ha liderado el desarrollo de soluciones personalizadas para clientes, destacando por su enfoque estratégico y conocimiento del mercado nacional.
“Me honra asumir este nuevo rol y continuar fortaleciendo la posición de Trane en el país. Estoy comprometido con seguir impulsando el crecimiento del negocio de manera sustentable, ofreciendo soluciones que realmente generen valor para todos nuestros clientes”, afirmó Enrique.
LG celebrará en julio su Cumbre de Líderes HVAC en Latinoamérica como parte de su estrategia global
Latinoamérica. La iniciativa busca fortalecer alianzas y promover soluciones sostenibles en calefacción, ventilación y aire acondicionado.
Latinoamérica será sede en julio de la Cumbre de Líderes HVAC de LG, un evento que forma parte de una serie global organizada por LG Electronics para consolidar su presencia en el sector de calefacción, ventilación y aire acondicionado (HVAC).
El ciclo de conferencias inició este año en África (14 al 16 de mayo) y continuará en Asia e India (19 al 22 de mayo), antes de llegar a la región latinoamericana.
Por su parte, Carlos García, quien se desempeñaba como Director General de Trane México desde 2019, fue promovido a vicepresidente de Trane para América Latina. Con 24 años de trayectoria en la empresa, García ha ocupado cargos de liderazgo que han contribuido al crecimiento sostenido del negocio, así como al fortalecimiento de la cultura organizacional.
“Me entusiasma esta nueva etapa, en la que seguiremos construyendo sobre lo ya logrado y abriendo nuevas oportunidades de crecimiento junto a nuestros clientes en la región”, señaló Carlos.
El tercer movimiento corresponde a Marcelo Martínez, quien deja la vicepresidencia regional para asumir una nueva posición como vicepresidente de Smart Services para las Américas. Esta unidad se enfoca en servicios conectados, eficiencia energética y valor sostenible para los clientes de Trane en el continente.
Durante su gestión en Latinoamérica, Martínez lideró iniciativas de crecimiento continuo y recibió el Premio Challenge Possible 2024 por su liderazgo.
“Estamos ante una gran oportunidad para transformar la forma en que entregamos valor con servicios inteligentes. Es un honor continuar este viaje en una etapa clave para el crecimiento del negocio”, expresó Marcelo.
Con estos nombramientos, Trane refuerza su compromiso con el liderazgo regional, la innovación tecnológica y la excelencia operativa, en línea con su visión de crecimiento sustentable en América Latina.
La compañía surcoreana anunció que estos encuentros tienen como objetivo fomentar la colaboración con socios estratégicos, compartir conocimientos técnicos y analizar desafíos clave como la eficiencia energética y la sostenibilidad.
Durante la cumbre, los asistentes participarán en seminarios especializados, presentaciones de casos de
éxito y visitas a instalaciones donde las tecnologías de LG ya están en operación. Entre los temas destacados se incluyen sistemas de flujo de refrigerante variable (VRF) para edificios sostenibles y soluciones HVAC diseñadas para centros de datos.
Por ERNEstO PORRAs*
Los distritos térmicos con almacenamiento térmico son una solución eficiente y sostenible para optimizar el uso de energía en las ciudades, reduciendo costos y emisiones mientras mejoran la calidad de vida urbana.
En un mundo donde la eficiencia energética y la sostenibilidad se están convirtiendo en imperativos para el diseño urbano sostenible, la integración de distritos térmicos con sistemas de almacenamiento térmico representa una de las soluciones más prometedoras. Estas tecnologías ofrecen una manera eficaz de optimizar el uso de la energía en entornos urbanos densamente poblados, proporcionando climatización que no solo respeta el medio ambiente sino que también mejora la calidad de vida de sus usuarios.
Los distritos térmicos, como sistemas centralizados de producción y distribución de energía térmica, tienen la capacidad de servir a múltiples edificaciones desde una ubicación central. Esta centralización no solo reduce los costos operativos y de mantenimiento al eliminar la necesidad de equipos individuales en cada edificio, sino que también aumenta la eficiencia general del sistema al aprovechar economías de escala y tecnologías avanzadas. Por otro lado, el almacenamiento térmico permite a estos sistemas adaptarse a las fluctuaciones de la demanda y operar durante las horas en que producir frio o calor resulta más eficiente o cuando la energía es más barata y menos demandada, almacenando energía térmica que puede ser utilizada durante los picos de demanda.
La integración del almacenamiento térmico en los distritos térmicos es fundamental para abordar los desafíos energéticos actuales, incluyendo la reducción de las emisiones de gases de efecto invernadero y el incremento en la eficiencia energética. Esta sinergia no sólo traza un camino hacia la creación de entornos urbanos más confortables y sostenibles, sino que también permite a las ciudades disminuir su dependencia de los combustibles fósiles, reducir costos energéticos y elevar de manera significativa el bienestar de sus habitantes.
Los distritos térmicos ofrecen una serie de ventajas significativas que los convierten en una opción atractiva para las ciudades y comunidades que buscan mejorar su infraestructura de climatización:
1. Mayor eficiencia energética: Al centralizar la producción de energía térmica, los distritos térmicos pueden emplear tecnologías más avanzadas y eficientes que no serían viables a menor escala. Esto permite un uso más eficiente de la energía y menores pérdidas durante la transmisión y distribución.
2. Reducción de costos operativos y de capital: Al eliminar la necesidad de sistemas de climatización individuales en cada edificio, los distritos térmicos reducen significativamente los costos asociados con la instalación, mantenimiento y operación de estos equipos. Esto se traduce en ahorros a largo plazo para los propietarios de edificios y para los usuarios finales.
3. Sostenibilidad ambiental: Los distritos térmicos facilitan una mayor integración de fuentes de energía renovable y sistemas de recuperación de calor, lo que contribuye a una reducción en la dependencia de
combustibles fósiles y en las emisiones de CO2 y otros contaminantes.
4. Flexibilidad y escalabilidad: Estos sistemas son altamente adaptables a las necesidades cambiantes de energía térmica de las ciudades. A medida que las comunidades crecen y sus necesidades energéticas se modifican, los distritos térmicos pueden expandirse o ajustarse para acomodar estos cambios sin la necesidad de alterar la infraestructura en cada edificio.
5. Optimización de espacios: Al centralizar los equipos de producción de energía térmica, se libera espacio valioso dentro de los edificios que puede ser utilizado para otros fines, mejorando así la funcionalidad y el valor de las propiedades.
6. Confiabilidad y resiliencia: Los distritos térmicos proporcionan un suministro de energía térmica más confiable y consistente, lo cual es crucial para edificaciones críticas como hospitales y centros de datos. Además, la centralización mejora la capacidad de la red para responder a emergencias y picos de demanda.
El almacenamiento térmico es una pieza clave en la estrategia de optimización de los distritos térmicos, permitiendo a estos sistemas maximizar su eficiencia y adaptabilidad. Aquí presento varios aspectos críticos de cómo el almacenamiento térmico mejora la funcionalidad y eficacia de los distritos térmicos:
1. Gestión de la demanda y reducción de cargas pico: Mediante el almacenamiento de energía térmica durante periodos de baja demanda, como las horas nocturnas, y su uso durante los picos de demanda diurnos, los distritos térmicos pueden operar de manera más uniforme y eficiente. Esto no solo reduce la carga sobre la infraestructura eléctrica local sino que también disminuye los costos operativos al aprovechar las tarifas eléctricas más bajas fuera de las horas pico.
2. Incremento de la eficiencia energética: El almacenamiento térmico permite que los sistemas de producción de energía operen a niveles de eficiencia óptimos durante períodos más largos. Evita los ciclos frecuentes de encendido y apagado que pueden reducir la eficiencia y aumentar el desgaste de los equipos.
3. Mejora de la resiliencia y la seguridad energética: En situaciones de emergencia o fallos en la red eléctrica, el almacenamiento térmico puede proporcionar una fuente de energía térmica crucial que mantiene operativos los sistemas de climatización. Esto es especialmente importante en edificaciones críticas como hospitales o centros de datos.
4. Optimización del espacio y recursos: Al reducir la necesidad de operar continuamente equipos de gran tamaño, el almacenamiento térmico permite diseñar plantas de energía eléctrica más compactas y eficientes. Esto libera espacio en áreas urbanas densamente pobladas y reduce el impacto visual de estas instalaciones.
La implementación de sistemas de distritos térmicos con almacenamiento térmico presenta varios desafíos y consideraciones técnicas que deben ser cuidadosamente planificados y gestionados:
1. Inversión inicial y viabilidad económica: La viabilidad de los distritos térmicos no solo depende de su eficacia técnica sino también de su sostenibilidad como modelo de negocio. La inversión inicial considerable requiere una planificación financiera cuidadosa y modelos de negocio robustos que aseguren retorno sobre la inversión y operaciones costeables a largo plazo. Es fundamental realizar estimaciones de costos precisas y realistas en las etapas iniciales para asegurar que los ajustes durante el desarrollo no comprometan la funcionalidad y la calidad del sistema.
2. Planificación y desarrollo del plan maestro: Un plan maestro bien elaborado es crucial no solo para la eficiencia técnica y operativa del proyecto, sino también para su éxito financiero. Este plan debe
contemplar todas las fases del proyecto, desde el diseño hasta la operación y mantenimiento, asegurando que cada aspecto esté alineado con los objetivos financieros y operacionales.
3. Integración con la infraestructura existente y nueva: Integrar la nueva infraestructura de distritos térmicos con sistemas existentes y planificar adecuadamente para futuras expansiones es muy importante. Esto requiere una colaboración efectiva entre arquitectos, ingenieros civiles, y otros stakeholders clave para garantizar una implementación sin contratiempos.
4. Gestión de stakeholders y participación comunitaria: Involucrar activamente a todos los stakeholders, incluidos propietarios, operadores de sistemas y representantes de la comunidad, es vital para alinear los intereses y obtener el apoyo necesario para el proyecto.
5. Flexibilidad y adaptabilidad: Diseñar sistemas que puedan adaptarse a las necesidades futuras y a las fluctuaciones del mercado es vital para mantener la viabilidad económica a lo largo del tiempo. La capacidad de expandir o modificar los sistemas en respuesta a cambios en la demanda energética o avances tecnológicos puede proteger la inversión inicial contra la obsolescencia.
6. Regulaciones y cumplimiento: Tener en cuenta el panorama regulatorio y asegurar el cumplimiento con todas las normativas locales e internacionales es otro desafío crítico que debe abordarse de manera anticipada.
7. Eficiencia y sostenibilidad a largo plazo: Mantener la eficiencia operativa y la sostenibilidad a lo largo de la vida útil del distrito térmico requiere un enfoque continuo en la innovación y la mejora, garantizando que el sistema siga siendo económicamente viable y respetuoso con el medioambiente.
Torre 1, 4 to Piso, San José
Tel. (506) 4052- 0485
Nicaragua
Edif. El Centro 2, De Rotonda El Periodista 600m al Norte,
Tel. (505) 2251 - 2370
Ecuador
Torre 5 Piso 5, 170503, Quito
Tel. (593) 250 - 01518
Panamá
Av. La Rotonda, Business Park #5, Torre Bladex, Piso 7, Costa Del Este, Panamá
Tel. (507) 306-2800
Salvador
Calle Llama del Bosque,
(Tel. 503) 2268- 3605
Paraguay
Av. Santa Teresa 1794,
Tel. (595) 21200018
Guatemala
Torre 2, Nivel 11, Ciudad de Guatemala
Tel. (502) 2302- 6400
Rep. Dominicana
Torre Blue Mall, Piso #701, Ens Piantini, Santo Domingo
Tel. (809) 533 - 5447
Honduras
Tel. (504) 2268 - 1250
La integración de distritos térmicos con sistemas de almacenamiento térmico representa una oportunidad transformadora para las ciudades y regiones que buscan avanzar hacia un futuro más sostenible y eficiente en términos energéticos. Estos sistemas no sólo ofrecen beneficios tangibles en términos de eficiencia energética y reducción de costos operativos, sino que también desempeñan un papel crucial en la mejora del bienestar y la calidad de vida de los usuarios. Al fomentar entornos que son tanto confortables como energéticamente eficientes, estos sistemas promueven un diseño urbano que profundiza en cómo la climatización puede mejorar la vida diaria.
En Consultoría y Diseño en Climatización (CDC), tenemos una amplia experiencia en el diseño e implementación de estos sistemas innovadores, trabajando estrechamente con comunidades y empresas para desarrollar soluciones que no solo cumplen, sino que superan las expectativas en términos de eficiencia y sostenibilidad.
A medida que enfrentamos desafíos globales más amplios, como el cambio climático y la creciente urbanización, las soluciones como los distritos térmicos con almacenamiento térmico se vuelven indispensables. Son herramientas
poderosas para reducir nuestra dependencia de los combustibles fósiles, disminuir las emisiones de gases de efecto invernadero y promover entornos urbanos más habitables y resilientes. Para que estos sistemas alcancen su máximo potencial, es esencial una planificación cuidadosa, inversiones estratégicas y un compromiso continuo con la innovación y la mejora continua.
Alentamos a los profesionales del sector, los planificadores urbanos y los tomadores de decisión desde el ámbito público y privado a considerar estos sistemas como componentes esenciales en la infraestructura de nuestras ciudades.
*Ernesto Porras – Consultor en Climatización y Bioclimática
Ingeniero Mecánico, Consultor en Climatización y Bioclimática con más de 17 años de experiencia en el diseño de soluciones energéticamente eficientes y sostenibles. Como fundador y director de Consultoría y Diseño en Climatización S.A.S. (CDC), lidera proyectos de consultoría, diseño y commissioning, asegurando que la climatización contribuya al bienestar, la eficiencia energética y la sostenibilidad.
Ha participado en proyectos estratégicos como Distritos Térmicos Colombia Fase II para ONUDI y la Hoja de Ruta Nacional de Edificaciones Neto Cero Carbono, impulsando la transición hacia edificaciones más eficientes y resilientes. Además, es conferencista internacional y formador en climatización y construcción sostenible con el propósito de transformar la industria y promover entornos que optimicen la calidad de vida de sus ocupantes.
¿Son viables las torres de enfriamiento en un contexto de escasez hídrica? Ante el auge urbano y las limitaciones en el suministro de agua, este artículo analiza los desafíos, funcionamiento y cuidados clave de estos sistemas en aire acondicionado
Hace poco tiempo meses atrás, observé en un proyecto que inicialmente se diseño con Chiller enfriados por aire, optaron por modificar los sistemas al instalar unos nuevos equipos pero esta vez enfriados por agua, esto me genero varias iterrogantes que someto aconsideracion, en la actualidad las ciudades y su crecimiento vertiginoso requieren de mas agua potable para el consumo humano, el cambio climático ha generado sequias mas prolongadas afectando los envalses que surten de agua a estas ciudades, además que si las edificaciones no fueron proyectadas con tanques
de almacenamiento suficientes para la evaporación de las torres, dichas edificaciones no tendrían el suministro de agua para la utilización en instalaciones sanitarias y mucho menos para el consumo humano, en tal sentido la decisión de instalar sistemas de aire acondicionado con torres de enfriamiento debería se la ultima opción en los proyectos, además de los costos de mantenimiento para el tratamiento de suavizar el agua, de tratarlas para mitigar la formación de agentes microbianos entre otras consideraciones a la hora de concretar la instalación de sistemas enfriados por agua, en tal sentido proporciono el siguente resumen a considerar para conocer a fondo las torres de enfriamiento para sistemas de aire acondicionado.
Una torre de enfriamiento es un sistema diseñado para reducir la temperatura de grandes cantidades de agua usada en procesos industriales o en sistemas de aire acondicionado. Funciona principalmente mediante evaporación parcial del agua, lo que permite disipar el calor acumulado.
Funcionamiento:
1. Entrada de agua caliente: El agua caliente proveniente de un proceso industrial o de un sistema de climatización entra en la torre.
2. Distribución de agua: Se rocía o distribuye el agua sobre un relleno interno que aumenta el área de contacto entre el agua y el aire.
3. Entrada de aire: Un ventilador o la convección natural fuerza el aire a moverse en dirección contraria o cruzada respecto al flujo de agua.
4. Evaporación: Una pequeña porción del agua se evapora. Esta evaporación extrae calor del resto del agua, reduciendo su temperatura.
5. Salida de agua fría: El agua enfriada se recoge y regresa al proceso que la necesita.
6. Liberación de aire caliente y vapor: El aire, ahora caliente y cargado de vapor de agua, es expulsado al exterior.
1. Ventilador: Induce o fuerza el flujo de aire.
2. Relleno o “lodo”: Estructuras internas (generalmente de plástico o madera) que mejoran el contacto aireagua.
3. Distribuidor de agua: Sistema que rocía o distribuye el agua caliente.
4. Bandeja de agua fría: Depósito donde se recoge el agua ya enfriada.
5. Carcasa: Estructura que encierra todo el sistema.
6. Separadores de gotas: Reducen la pérdida de agua arrastrada por el flujo de aire.
7. Tuberías de entrada/salida: Conducen el agua hacia y desde la torre.
1. Tiro forzado: El ventilador impulsa el aire desde la base hacia arriba.
2. Tiro inducido: El ventilador extrae el aire de la parte superior, generando succión.
3. Tiro natural: El aire se mueve naturalmente gracias a la diferencia de densidades entre el aire caliente y el frío (sin ventiladores).
4. Flujo cruzado: El aire se mueve horizontalmente mientras el agua cae verticalmente.
5. Flujo contracorriente: El aire y el agua fluyen en direcciones opuestas.
La selección de torres de enfriamiento es crítica para asegurar el enfriamiento eficiente y efectivo de los procesos industriales. Dimensionando correctamente la torre de enfriamiento, se pueden mantener temperaturas óptimas, extender la vida útil del equipo y reducir los costos de energía.
Las torres de enfriamiento han sido un componente esencial en los procesos industriales desde principios del siglo XX. Se utilizan ampliamente en plantas de energía, instalaciones de manufactura y sistemas HVAC para disipar el exceso de calor generado durante las operaciones.
La fórmula para calcular la capacidad de la torre de enfriamiento en Toneladas de Refrigeración (TR) es:
Si la carga térmica es de 500 kW, el caudal de agua es de 100 m³/h y la diferencia de temperatura es de 10°C, el cálculo sería:
Capacidad de la Torre de Enfriamiento (TR)=5004.186×10×100×0.001≈11.94 T
Capacidad de la torre de enfriamiento TR= 4.186 x 100 x 0.001500= 11.94 TR
La selección adecuada de la torre de enfriamiento es crucial para mantener la eficiencia del proceso, reducir el tiempo de inactividad y asegurar la seguridad en las operaciones industriales. Se utiliza en escenarios como la generación de energía, el procesamiento químico y los sistemas HVAC en edificios grandes.
Torre de enfriamiento
Una torre de enfriamiento es un dispositivo de rechazo de calor que libera el calor residual a la atmósfera enfriando una corriente de agua a una temperatura más baja.
Importante el dimensionamiento adecuado de una torre de enfriamiento
Un dimensionamiento adecuado asegura un enfriamiento eficiente, previene el sobrecalentamiento y optimiza el uso de energía, lo que lleva a ahorros de costos y una mayor vida útil del equipo.
Factores influyen en la selección de la torre de enfriamiento
Los factores clave incluyen la carga térmica, el caudal de agua, la diferencia de temperatura, las condiciones ambientales y los requisitos específicos del proceso.
Esta calculadora ayuda a seleccionar la capacidad adecuada de la torre de enfriamiento, asegurando un rendimiento óptimo y eficiencia energética en aplicaciones industriales.
Las torres de enfriamiento son dispositivos esenciales en los sistemas de aire acondicionado, ya que se encargan de eliminar el calor del agua utilizada para enfriar el aire. Para mantener su buen funcionamiento y evitar problemas, es fundamental realizar un mantenimiento periódico. En esta guía te explicamos todo lo que necesitas saber sobre el mantenimiento a torres de enfriamiento.
El mantenimiento de las torres de enfriamiento debe ser realizado por personal especializado, ya que se trata de un proceso complejo que requiere conocimientos específicos. El mantenimiento debe incluir la limpieza y desinfección de la torre, el control de las piezas mecánicas y eléctricas, el análisis del agua y la aplicación de productos químicos para prevenir la proliferación de bacterias y hongos.
Para llevar a cabo un correcto mantenimiento a torres de enfriamiento, es necesario seguir una serie de pasos y acciones que aseguren su correcto funcionamiento y conservación a lo largo del tiempo. A continuación, te presentamos los pasos básicos para realizar el mantenimiento a tus torres de enfriamiento:
La inspección visual es el primer paso del mantenimiento a torres de enfriamiento y es una tarea esencial para detectar cualquier posible problema. Se recomienda hacer una inspección visual de la torre de enfriamiento al menos una vez al mes. En esta inspección visual, se deben buscar posibles fugas, desgaste o daños en las piezas y componentes, y anotar cualquier problema encontrado.
La limpieza de la torre de enfriamiento es uno de los pasos más importantes en el mantenimiento de estas estructuras. Para limpiar la torre de enfriamiento, es necesario seguir una serie de pasos específicos, que incluyen la limpieza de las superficies internas y externas, incluyendo el relleno, los conductos, la bomba y los ventiladores. La limpieza del relleno es una de las tareas más importantes en la limpieza de la torre de enfriamiento, ya que esta es la parte de la torre que está en contacto con el agua y el aire. Se recomienda limpiar el
relleno al menos una vez al año. Además, es necesario limpiar los conductos de la torre de enfriamiento, que son los canales por donde fluye el agua. Los conductos deben limpiarse al menos dos veces al año para evitar la acumulación de sedimentos. Por último, se debe limpiar la bomba y los ventiladores. La bomba es responsable de enviar el agua a la torre de enfriamiento, mientras que los ventiladores se encargan de hacer circular el aire a través de la estructura. Ambos componentes deben limpiarse para garantizar su correcto funcionamiento.
Si durante la inspección visual se detecta alguna pieza o componente dañado, es necesario reemplazarlo para garantizar el correcto funcionamiento de la torre de enfriamiento. Algunas de las piezas que pueden necesitar ser reemplazadas incluyen el relleno, la bomba, los ventiladores, las tuberías, las válvulas y los sensores.
La calidad del agua que se utiliza en la torre de enfriamiento es fundamental para su correcto funcionamiento. Se recomienda realizar una verificación de la calidad del agua de forma periódica, al menos una vez al mes, para asegurarse de que el agua utilizada en la torre de enfriamiento cumple con los estándares de calidad necesarios.
Las torres de enfriamiento pueden ser un caldo de cultivo para bacterias y otros microorganismos que pueden afectar la salud de las personas y la durabilidad de la torre de enfriamiento. Por esta razón, es importante realizar análisis microbiológicos del agua de la torre de enfriamiento de forma periódica, al menos una vez al año, para detectar la presencia de bacterias y otros microorganismos.
Rendimiento
Finalmente, es importante realizar pruebas de rendimiento de la torre de enfriamiento para asegurarse de que está funcionando correctamente. Estas pruebas de rendimiento deben realizarse por lo menos una vez al año y se recomienda realizarlas en épocas de alto uso, como en los meses de verano. Las pruebas de rendimiento pueden incluir la medición de la temperatura del agua y del aire que circula a través de la torre de enfriamiento, la velocidad de flujo del agua y la presión de la bomba. También se puede realizar una inspección visual para detectar posibles fugas o problemas en la estructura.
El mantenimiento a torres de enfriamiento puede resultar costoso debido a la complejidad de la instalación, la necesidad de personal especializado y la utilización de productos químicos y herramientas específicas. Sin embargo, el costo del mantenimiento es mucho menor que el de una avería grave o la sustitución de la torre.
Beneficios de realizar el mantenimiento preventivo a torres de enfriamiento:
Realizar un mantenimiento preventivo a torres de enfriamiento ofrece numerosos beneficios, entre los que destacan:
1. Aumento de la vida útil de la torre.
2. Ahorro de energía y costos.
3. Reducción del riesgo de averías y paradas no planificadas.
4. Mejora de la calidad del aire y del ambiente laboral.
5. Cumplimiento de las normativas de seguridad y salud en el trabajo.
6. Protección del medio ambiente y reducción de emisiones contaminantes.
El mantenimiento a torres de enfriamiento es una tarea esencial para garantizar el buen funcionamiento y la durabilidad de los sistemas de aire acondicionado. Siguiendo los pasos adecuados y contratando a profesionales cualificados, podrás asegurar la calidad y la seguridad de tus instalaciones y ahorrar costos a largo plazo. No descuides el mantenimiento de tus torres de enfriamiento y disfruta de un ambiente fresco y saludable en tu hogar o lugar de trabajo.
La serie BAScontrol es perfecta para para aplicaciones de uso general, fan coil, bombas de calor, secuencias de bombas lead-lag, UMAS y RTUs.
• BACnet/IP y MS/TP (cliente/servidor)
• Programación de bloques de funciones Sedona sin licencia
• Software de programación gratuito
• Diseño robusto, per l bajo y funcionamiento a temperatura amplia
Por AlfREDO sOtOlONgO*
¡La
El crecimiento hospitalario en América Latina exige sistemas HVAC más rigurosos. Las unidades de manejo de aire con doble pared, diseñadas bajo estándares sanitarios, son esenciales para garantizar ambientes seguros y eficientes en estos nuevos centros de salud.
Hemos notado la cantidad de hospitales que están en construcción o diseñándose para distintos países de América Latina y el Caribe. Por tal razón, un grupo de colegas me han solicitado que me concentre en las unidades de manejo de aire con doble pared que tengan las condiciones de sanidad para ser utilizadas en hospitales.
Durante el proceso de diseño es muy importante tomar en consideración a fabricantes durante la manufactura de sus equipos cumplan con las normas existentes en sus respectivos países. De no existir normas es-
pecíficas en esos países, siempre existen normas y regulaciones en otros países que nos pueden servir de guía. Lo que hemos encontrado es que en la mayoría de nuestros países los ingenieros consultores tienen tendencia a seguir las normas existentes en los Estados Unidos. Aunque no hay muchas regulaciones efectivamente enfocadas a manejadoras con doble pared para aplicaciones en hospitales, las siguientes están entre las más conocidas:
• International Building Code (Norma Internacional para Edificios) (IBC) Incluyendo IMC e IPC.
• ASHRAE Norma 170-2013 (Ventilación de Instalaciones de Salud)
• HVAC Revisiones al Diseño – Salas de Operaciones, Investigación de Animales, etc.
• Coordinación con la Publicación de Normas de las Facilidades Hospitalarias para Veteranos.
Entiendo que la responsabilidad del ingeniero consultor es seleccionar sistemas que tengan o que hayan sido diseñados tomando en consideración las normas existentes para la protección de los usuarios del hospital y al mismo tiempo minimizando el costo de manufactura, instalación y mantenimiento de estos. Los materiales para usar en la construcción de estas unidades según indican las instituciones arriba mencionadas son los siguientes:
• El aislamiento térmico debe resistir humedad y evitar moho.
• Puente Térmico TB2
• Mínimo Filtros.
Prefiltros 50%, Filtro Final 80%
• Los motores deben ser de acople directo. Los motores con correas no son aceptables.
• No se aceptan intercambiadores rotativos, solo se aceptan fijos.
• Humidificación nunca cerca de los filtros.
• Las unidades enfriadas por aire deben planearse de forma tal que los eliminadores de gotas no sean necesarios.
En estos momentos existen algunas fábricas reconocidas alrededor del mundo que construyen las unidades de doble pared especialmente diseñadas para aplicaciones higiénicas en hospitales. Entre los fabricantes más conocidos y respetados se encuentra EVAC de Portugal, la cual ha invertido considerables recursos financieros y humanos para desarrollar unidades que cumplan con todos lo solicitado por la industria.
En 1998 EVAC se asocia con la Comisión EUROVENT que certifica las unidades de tratamiento de aire.
Al año siguiente, obtiene la certificación de su gama UTA, convirtiéndose en uno de los primeros fabricantes europeos certificados por EUROVENT. Este certificado se valida cada año.
Manteniendo la ingeniería como la base de su actividad y con más de 30 años de experiencia, EVAC está totalmente preparada para responder a todas las necesidades de sus clientes.
Afortunadamente en América Latina y el Caribe contamos con ingenieros mecánicos muy capacitados para diseñar el sistema de aire acondicionado para hospitales. Deseo destacar la importancia que tiene la selección correcta de unidades de doble pared que cumplan con los requisitos que exigen las agencias e instituciones de nuestra industria.
De necesitar más información de este tema, favor de comunicarse a través del correo asotolongo@protecinc.com
Por INg. msC. JOsé HERNáN álvAREz mARtíNEz*
Los sistemas transcríticos de CO2 son clave para una refrigeración sostenible, pero su eficiencia en climas cálidos sigue siendo un reto.
Esta serie explora cómo optimizarlos para lograr un rendimiento confiable y competitivo en nuestra región.
La termotecnia del siglo XXI evoluciona de forma acelerada: nuevos ciclos, materiales y algoritmos de control redefinen constantemente los límites de la refrigeración, la climatización y la eficiencia energética industrial. Con este escrito, inicio una serie de entregas que condensan la doctrina publicada en journals Q1, patentes recientes y reportes de fabricantes líderes, trazando un puente entre investigación de frontera y aplicación ingenieril en América Latina.
El objetivo es traducir hallazgos complejos —como sistemas transcríticos avanzados, bombas de calor de alta temperatura, BMS impulsados por IA y soluciones de recuperación exergética— en lineamientos aplicables al diseño, operación y retro-commissioning de instalaciones HVAC-R, manteniendo la vanguardia sin incurrir en sobrecostos experimentales.
El sector de la refrigeración y climatización representa una fuente importante de emisiones de gases de efecto invernadero debido al uso de refrigerantes de alto GWP. Ante el cambio climático y las regulaciones más estrictas —como el Protocolo de Montreal y su Enmienda de Kigali— la transición hacia refrigerantes naturales es una necesidad. El CO₂ (R-744) surge como una alternativa viable por su ODP nulo, GWP de uno, no toxicidad e inflamabilidad, y propiedades favorables para la transferencia de calor.
Sin embargo, los sistemas transcríticos de CO2 enfrentan desafíos operativos en regiones de altas temperaturas, donde la eficiencia disminuye drásticamente. Optimizar estos sistemas no es opcional: es crucial para su adopción exitosa en climas cálidos.
Este artículo analiza los fundamentos de la refrigeración transcrítica con CO2, los desafíos específicos de su operación en climas cálidos y establece el contexto para las tecnologías avanzadas de optimización.
Principios
El ciclo básico de compresión de vapor incluye compresión, condensación/enfriamiento, expansión y evaporación. En sistemas transcríticos de CO2, el rechazo de calor ocurre a presiones y temperaturas superiores al punto crítico (31°C, 73.8 bar), donde el refrigerante se enfría sin cambio de fase.
El CO2 tiene alta capacidad frigorífica volumétrica, alta conductividad térmica, baja viscosidad y calor específico isobárico elevado cerca de su punto crítico. Estas propiedades requieren estrategias de diseño y control especializadas.
Un sistema transcrítico de CO2 incluye (Ver figura 2.):
• Compresor de alta presión.
• Enfriador de gas.
• Válvula de expansión (electrónica, preferentemente).
• Evaporador.
Todos los componentes deben soportar presiones superiores a 100 bar, implicando materiales y diseños específicos que inciden en el costo. No obstante, los avances técnicos están mitigando estos impactos.
El ciclo inicia con la compresión a estado supercrítico. Luego, el CO2 pasa por el enfriador de gas, donde se enfría sin condensar, para después expandirse bruscamente y evaporarse, absorbiendo calor.
La presión de alta es crítica para maximizar el COP. Ésta varía según temperatura ambiente, carga de refrigeración y condiciones operativas, por lo que se requieren estrategias de control avanzadas (ver figura 1).
transcríticos
Impacto de las altas temperaturas ambiente en la eficiencia
En climas cálidos, la alta temperatura del aire para rechazo de calor eleva la presión de descarga requerida, reduciendo el COP y aumentando el consumo energético. Esto ocurre por:
• Mayor trabajo del compresor.
• Menor diferencia de entalpía en evaporación.
La reducida diferencia de temperatura entre refrigerante y sumidero de calor limita la eficiencia del sistema.
Aumento de la presión de descarga y estrés del compresor
La necesidad de presiones de descarga elevadas implica:
• Mayor tensión mecánica.
• Desgaste acelerado.
• Vida útil reducida.
Los compresores deben ser diseñados específicamente para soportar estas condiciones extremas.
2. Fuente: Intarcon - refrigeracion-co2-transcritico
La mayor temperatura tras el enfriador de gas provoca:
• Aumento del gas flash.
• Menor caudal de líquido al evaporador.
Esto disminuye la capacidad frigorífica y la eficiencia del sistema.
La alta presión y temperatura pueden:
• Degradar lubricantes.
• Dificultar el retorno de aceite.
• Reducir la lubricación efectiva.
Se requieren diseños de separadores y retornos de aceite robustos, además de una selección adecuada del lubricante.
Danfoss. (n.d.). Making the case for CO2 refrigeration in warm climates. Retrieved from https://www.danfoss.com/en/service-andsupport/case-stories/dcs/making-the-case-for-co2-refrigerationin-warm-climates/
Ministerio de Minas y Energía. (2023, December 29). Resolución 40773 de 2023 por la cual se expide el nuevo Reglamento Técnico de Instalaciones Térmicas (RETSIT). Retrieved from((https:// www.minenergia.gov.co/documents/6282/1812180222_ Se_expide_el_Reglamento_T%C3%A9cnico_de_ Instalaciones_T%C3%A9rmicas__RETSIT.pdf))
ACR América Latina. (2021, November 02). Arneg technologies with transcritical CO2 in Colombian supermarket. Retrieved from https://www.acrAmérica Latina.com/en/news/latestnews/348-enterprises/16757-arneg-technologies-with-transcritical-co2-in-colombian-supermarket.html
[Continúa en la Entrega – parte II con Tecnologías de Optimización y Conclusiones.]
Por: Ing. Msc. José Hernán Alvarez Martínez, Ing Mecánico, Msc. Ingeniería Ambiental, Asesoramiento y Consultoría, Implementación de normativas, Gestión y Optimización de procesos, Problem solving y Mantenimiento, Soluciones de eficiencia energética, Excelencia Operacional. josehalvarezm.consultor@gmail.com Cel. +57-3108808623
La novena edición del evento reunió a más de 350 profesionales en el Centro de Convenciones.
Con el lema “sostenibilidad y Economía, el nuevo rol del aire acondicionado adaptándose a un futuro más verde”, la novena edición de Refricon se llevó a cabo el pasado 24 de mayo en el Centro de Convenciones de Costa Rica, marcando un nuevo hito para este evento anual organizado por Refrimundo . La jornada convocó a más de 350 profesionales del sector HVAC, incluyendo técnicos, empresas del sector, diseñadores, constructoras, desarrolladoras y estudiantes de instituciones técnicas del país.
Desde su creación, Refricon ha sido una plataforma de actualización técnica, pero también un espacio para conectar a los distintos actores del mercado. Lo que comenzó hace casi una década como una reunión modesta en un salón para 50 personas, hoy es una de las citas obligadas en la agenda del aire acondicionado en Centroamérica.
“El evento nació con el objetivo de aportar al conocimiento del sector técnico costarricense, y nos inspiramos en modelos como ASHRAE, pero ajustado a nuestra realidad”, explicó Alberto Jara, gerente general de Refrimundo. “Hoy, nueve ediciones después, hemos logrado consolidar un espacio en el que confluyen la capacitación, la innovación tecnológica y el networking”.
La edición 2024 de Refricon estuvo cargada de simbolismo y avances. Por un lado, la decisión de realizar el evento en el Centro de Convenciones representó un paso adelante en términos de capacidad y visibilidad. “Poder organizarlo aquí es motivo de orgullo, y nos habla del crecimiento del evento y del compromiso que el gremio ha asumido con esta iniciativa”, apuntó Jara.
Por otro lado, el enfoque temático de este año —la sostenibilidad— puso sobre la mesa la responsabilidad que tiene el sector en la transición hacia tecnologías más limpias y eficientes. Las conferencias giraron en torno a soluciones energéticas, refrigerantes ecológicos, diseño eficiente y nuevos modelos económicos para el sector HVAC en un contexto ambiental cambiante.
“Queremos que este congreso sea cada vez más una plataforma que inspire transformación en el sector. El aire acondicionado no solo tiene que adaptarse a nuevas tecnologías, sino a un nuevo modelo de pensamiento más consciente con el entorno”, añadió Jara.
Uno de los pilares de Refricon es su carácter gratuito, una característica que ha permitido la participación amplia de
técnicos, estudiantes y profesionales de distintas regiones del país. El evento es financiado en su totalidad por los patrocinadores y marcas expositoras, quienes además presentaron en la zona comercial sus innovaciones en equipos, herramientas, soluciones digitales y componentes.
“El evento no tiene fines de lucro. Lo organizamos completamente desde Refrimundo con nuestro equipo interno. Solo externalizamos la construcción de los stands, pero todo lo demás —montaje, logística, coordinación académica— lo asumimos como parte de nuestro compromiso con el gremio”, subrayó Jara.
La celebración de esta novena edición coincidió con el vigésimo aniversario de Refrimundo, lo que añadió un componente emotivo al evento. Sin embargo, el equipo ya piensa en 2025: una décima edición que se proyecta aún más ambiciosa.
“Nos encantaría poder duplicar la capacidad y llenar dos salones del Centro de Convenciones. Todo dependerá del apoyo de los patrocinadores y del trabajo que realicemos desde ya. Pero tenemos el compromiso de seguir creciendo y de ofrecer un evento de calidad internacional para Costa Rica”, adelantó Jara.
Al cierre de la jornada, el mensaje fue claro: el futuro del aire acondicionado en la región pasa por la formación continua, la innovación y la colaboración entre todos los actores del ecosistema. En ese sentido, Jara también destacó el papel de los medios especializados.
“Agradezco a ACR Latinoamérica por ayudarnos a amplificar el alcance de este evento. Gracias a su labor, lo que vivimos aquí puede ser compartido con toda la comunidad latinoamericana. Siempre serán nuestros invitados de lujo y esperamos contar con su presencia año tras año”.
El autor explica cómo usar KNX para controlar las unidades que forman parte del sistema de gestión del edificio. KNX directamente en sus unidades.
La mañana de trabajo comienza a las 7 de la mañana; tomar un café, comprobar la bandeja de entrada mientras se está sentado en la «bandeja de salida», y durante estas frescas mañanas de finales de invierno encender la calefacción del coche antes de aventurarse fuera. Eso sí que es un paso adelante. No hay que rascar el hielo del parabrisas, el asiento está bien caliente antes de llegar y la temperatura del habitáculo se acerca a un nivel aceptable. Encender el AC (Aire Acondicionado) es algo que todos podemos hacer a través de nuestros controles KNX, por supuesto, Por sIMoN BuDDLE*
así que para nosotros, el control remoto de la temperatura no es nada nuevo.
AC es sólo uno de los muchos acrónimos que oímos en cualquier instalación doméstica inteligente. Tenemos MVHR, FCU, AHU, HRU, HIU, CIU… y la lista continúa. Pero, ¿qué son y por qué necesitamos conocerlos? Proporcionan calor, aire fresco o refrigeración a la vivienda.
La unidad MVHR (Ventilación Mecánica y Recuperación de Calor) sustituye directamente al ventilador tradicional de 4″ que suele instalarse en baños y cocinas. Está dise-
la CIU (Unidad de Interfaz de Enfriamiento), de las que hablaremos más adelante.
Para AC, el control KNX es sencillo en la medida en que todo lo que necesitamos hacer es establecer la marca y el modelo y elegir entre una miríada de interfaces KNX pre-configurados. Tanto Zennio como Intesis tienen una gran selección de opciones.
El Zennio KLIC-DD v3 para Daikin Residential es un ejemplo de interfaz bidireccional preconfigurado entre una instalación KNX y una unidad AC específica.
La FCU, sin embargo, es un poco atípica. A menudo encontrará que las comunicaciones con la FCU se realizan
ñado para funcionar las 24 horas del día, los 7 días de la semana, en modo «goteo», intercambiando un pequeño volumen de aire viciado de la vivienda por aire fresco procedente del exterior. Durante este proceso, la unidad extrae inteligentemente el calor del aire viciado y lo pasa al aire fresco. Además del modo de goteo, también tiene una función de refuerzo. Ésta debe activarse cuando se utiliza el cuarto de baño -como un viejo ventilador de 4 pulgadas- o cuando alguien está cocinando. KNX puede conseguirlo fácilmente conectándose a las luces del baño y/o utilizando un sensor de umbral de humedad para activar la función de refuerzo.
Una UTA (Unidad de Tratamiento de Aire) hace un trabajo similar, pero sin recuperación de calor. Una HRU (Unidad de Recuperación de Calor) hace fundamentalmente el mismo trabajo que la MVHR.
En términos sencillos, un sistema de CA genera su propia refrigeración o calefacción, mientras que una FCU (Fan Coil Unit) recibe agua fría o caliente de otro sistema, normalmente un sistema de bloque. El agua fría o caliente llega a través de la HIU (Unidad de Interfaz de Calor) o
a través de BACnet o un protocolo similar. Las comunicaciones KNX a BACnet son robustas, y hay muchas opciones para lograr el resultado deseado.
La aplicación HMS Networks Intesis KNX TP to BACnet/ IP & MS/TP Server es un ejemplo de pasarela bidireccional BACnet-a-KNX. Soporta la integración de cualquier dispositivo o instalación KNX con un BACnet BMS o cualquier controlador BACnet/IP o BACnet MS/TP.
Tres elementos sencillos para controlar la calefacción o la refrigeración de una habitación
Existe, sin embargo, una escuela de pensamiento que sugiere que deberíamos usar dispositivos KNX directamente en la FCU. El control básico de una FCU se consigue mediante tres elementos primarios: una válvula de agua caliente, una válvula de agua fría y un ventilador. Si abro la válvula de agua fría para permitir que el agua pase a través del serpentín frío de la FCU (de tubería) y luego soplo aire a través de esa tubería, el aire se enfriará cuando se sople en la habitación. Si se cierra la válvula fría y se abre la caliente, ocurrirá lo contrario.
Estos tres simples elementos son todo lo que se necesita para calentar o enfriar la habitación. Si a esto le añadi-
mos la monitorización de la temperatura y de los fallos, tenemos absolutamente todo lo que necesitamos para controlar y monitorizar la unidad. La mayoría de los fan coils utilizan una señal proporcional de 0-10 V para accionar las válvulas de frío/calor y, de nuevo, normalmente, el ventilador se acciona simplemente utilizando una señal de 0-10 V como control de velocidad. Gira, Jung, Zennio y ABB tienen productos adecuados para esta función.
Y aquí está el punto pertinente desde mi perspectiva; el fabricante de la FCU necesita controles de algún tipo para operar la unidad, así que ¿por qué no usar dispositivos KNX integrados directamente en la FCU? De ese modo tenemos un control total del sistema sin saltar entre protocolos de comunicación y crear necesariamente líneas de demarcación entre sistemas, que luego requieren múltiples ingenieros jugando a los acorazados para resolver cualquier problema de funcionalidad que pueda surgir. Esto tiene mucho sentido para mí, técnicamente, económicamente, e incluso para el mantenimiento.
¿Por qué si no es KNX la solución
Como se ha mencionado anteriormente, la FCU no genera calor/refrigeración, sino que llega desde una sala de instalaciones de todo el bloque. Aquí es donde entra en juego la ya mencionada HIU/CIU. En todo el bloque, el agua caliente y fría están disponibles permanentemente. Si el apartamento necesita calefacción, tiene que dar una señal a la HIU para que ponga en marcha la bomba y la válvula para que entre agua caliente en la vivienda. Esto se hace simplemente mediante un contacto libre de tensión dentro de la HIU.
Si tengo 10 FCUs en todo el edificio, también tendré que tener una simple puerta OR de lógica para decir que si alguno de los FCUs está demandando calor, a continuación, desencadenar la HIU para operar. Todo lo que he descrito se puede conseguir de una manera simple, robusta y repetible usando dispositivos KNX. De hecho, me atrevería a decir que es una solución más barata que saltar entre protocolos y soluciones propietarias.
Usar KNX para controlar unidades que normalmente forman parte de los controles BMS (Building Management System) de todo el edificio no sólo es factible, sino económicamente ventajoso, tanto en el momento de la compra como en el mantenimiento. Para nosotros, lo importante es introducir la idea en la fase de planificación del concepto de diseño y proporcionar al equipo de M&E la confianza de que, no sólo conseguiremos un resultado satisfactorio, sino que seguirá funcionando en el futuro. Los consultores M&E tienen la costumbre de quedarse con lo que conocen, así que si podemos convencerles de que elijan KNX, puede que se convierta en «lo que conocen» y eso es bueno para todos.
*Simon Buddle CEng MIET, consultor de Future Ready Homes, especialista en BMS y diseño de sistemas de servicios ELV.
Simon Buddle, es un colaborador destacado en el ecosistema KNX, conocido por sus artículos técnicos y su experiencia en integración de sistemas. Consultor de la industria y autor frecuente en publicaciones como KNXtoday, donde comparte análisis y perspectivas sobre tecnologías de automatización de edificios. www.futurereadyhomes.com
Por
ING. ERNEsTo sANGuINETTI R.*
Mejorar el rendimiento de máquinas térmicas y frigoríficas no solo reduce el consumo de energía, sino también la huella de carbono. Este artículo explica los conceptos clave y su importancia en la búsqueda de un uso energético más responsable
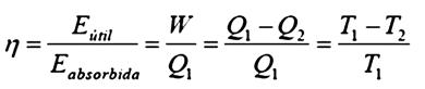
La eficiencia en una máquina térmica es la relación entre la energía que deseamos obtener de dicha máquina (energía útil = trabajo que nos entrega) y la energía consumida en su funcionamiento (energía suministrada = energía absorbida). Por ejemplo, en una central térmica para producir energía eléctrica, la eficiencia térmica se refiere a la proporción de calor producido por la combustión de un combustible fósil que se convierte en energía útil que es el trabajo
que un generador lo convierte en electricidad. Se expresa generalmente en porcentaje y se calcula dividiendo la cantidad de energía útil producida entre la cantidad total de energía térmica suministrada.
Lo que debería ser la “eficiencia” en una máquina frigorífica es la relación entre la energía térmica que se extrae usando dicha máquina (energía útil = la refrigeración) y la energía consumida para su funcionamiento (trabajo consumido = energía absorbida), pero como esa “eficiencia” puede ser mayor que uno (o mayor a 100%) y la Segunda Ley de la Termodinámica dice que “el calor solo se transmite desde sustancias de mayor temperatura hacia sustancias a menor temperatura” y se complementa diciendo “las máquinas térmicas nunca pueden alcanzar el 100% de eficiencia”, entonces por ello es que en las máquinas frigoríficas (de refrigeración, de aire acondicionado y bombas de calor) no se usa el término eficiencia usándose en su lugar el término Efecto Frigorífico o más comúnmente Coeficiente de Funcionamiento o Coeficiente de Performance.
Esquemáticamente se pueden observar los principios del comportamiento de una máquina térmica y una máquina frigorífica:
Para la máquina térmica la eficiencia se expresa mediante la siguiente relación entre el trabajo W entregado por la máquina y el calor extraído Q1 del foco caliente:
Para la máquina frigorífica el efecto frigorífico o coeficiente de funcionamiento se expresa mediante la siguiente relación entre el calor extraído Q2 del foco frío y el trabajo W utilizado por la máquina:
Se define la eficiencia energética como el uso eficiente de la energía. Una máquina térmica, una máquina frigorífica, un aparato cualquiera o un proceso o una instalación es energéticamente eficiente cuando consume una cantidad inferior a la media de energía para realizar la actividad comparado con máquinas, aparatos, procesos o instalaciones similares.
Es la capacidad para obtener los mejores resultados en cualquier actividad empleando la menor cantidad posible de recursos energéticos. Impulsa a la búsqueda y al uso de equipos cada vez más eficientes, que ahora adquiere más importancia porque permite reducir el consumo de cualquier tipo de energía y si la energía eléctrica proviene de Centrales Térmicas; donde el calor Q1 viene del foco caliente (combustión de un combustible) que siempre elimina en los “humos” el CO2; estaremos disminuyendo “la huella de carbono” y los posibles impactos ambientales asociados a ella. Por ello, además de buscar equipos que necesiten menos energía para realizar el mismo trabajo, también incentiva la búsqueda de abastecer, total o parcialmente, con fuentes de energías renovables que no dañen al medio ambiente.
Destacamos que la eficiencia energética busca proteger el medio ambiente mediante la reducción del consumo de energía habituando al usuario a consumir lo necesario y no más. Las emisiones de CO2 que enviamos a la atmósfera son cada vez mayores y su “efecto invernadero” está causando el calentamiento atmosférico o global que al final produce el cambio climático cuyas funestas consecuencias ya las estamos observando, por ello, la mejora de la eficiencia energética se ha convertido en una de las formas de cuidar nuestro planeta.
En equipos de refrigeración y de aire acondicionado todavía se usa el Coeficiente de Funcionamiento o Coeficiente de Perfomance (COP) y la Relación de Eficiencia Energética (EER) pero como solo son indicadores del efecto frigorífico al 100% de la capacidad, ellos, van dejando de ser referentes de eficiencia energética, pues como la mayoría de equipos suelen funcionar a carga parcial (porque varía la carga térmica la mayor parte del tiempo), ahora va en aumento el uso de variadores de velocidad para los motores que accionan los compresores (tecnología “inverter”) y los ventiladores de velocidad variable. Esa “tecnología inverter” que aumenta la velocidad del compresor si aumenta la carga térmica, y disminuye la
velocidad del compresor si disminuye la carga térmica logra un considerable ahorro de energía.
En aire acondicionado, por ejemplo, ha propiciado y acelerado el uso de los sistemas VRV o VRF porque con ellos conforme se va alcanzando la temperatura deseada, se reduce la velocidad del compresor por lo que para lograr las temperaturas deseadas y mantenerlas se consume mucho menos energía.
Por otro lado, de acuerdo a la variación de las estaciones varía la temperatura del medio ambiente a lo largo del año, por lo tanto, por éste factor la carga térmica tampoco es constante; es por ello que en equipos de aire acondicionado se han establecido otros Indicadores Energéticos que también toman en cuenta esas variaciones estacionales.
Por razones de espacio no definiremos todos, pero podemos indicar que ahora tenemos varios indicadores energéticos:
• Coef. de Funcionamiento = Coef. de Comportamiento = Coef. de Perfomance = COP
• Relación de Eficiencia Energética = Energy Efficiency Ratio = EER
• Coef. de Comportamiento Estacional = Seasonal Coefficient of Performance = SCOP.
• Relación de Eficiencia Energética Estacional = Seasonal Energy Efficiency Ratio = SEER. –
• Relación de Eficiencia Energética Integrada = Integrated Energy Efficiency Ratio = IEER.
• Relación de Eficiencia Energética Combinada = Combined Energy Efficiency Ratio = CEER. –
• Relación del consumo de potencia y capacidad de enfriamiento KW/TON = Integrated Part Load Value = IPLV.
Durante la Primera Conferencia Internacional sobre Eficiencia Energética realizada en Austria en 1998 se estableció celebrar el 5 de Marzo de cada año como el Día Mundial de la Eficiencia Energética, una fecha que busca hacer reflexionar a todas las personas sobre el uso que le da a la energía, sobre las consecuencias de abusar de ella y las medidas que se pueden tomar para reducir sus efectos dañinos. Con ello se busca que la población tome conciencia en reducir el consumo de energía manteniendo exactamente los mismos bienes y servicios, pero utilizándolos de manera responsable y sostenible. Ser eficiente energéticamente no significa que uno deba rebajar el nivel de comodidad o calidad de vida al que estamos acostumbrados, sino aprender a hacerlo sin dañar al medio ambiente, como reciclar o usar productos menos contaminantes. Es por ello la importancia de la fecha, que además busca frenar el cambio climático y conseguir una sociedad más sostenible, abastecida, en lo posible, con energías renovables menos agresivas con el medio ambiente. Y aunque la energía eléctrica sea la energía más utilizada, el concepto de eficiencia debe aplicarse a todos los demás recursos que empleamos diariamente como el agua, gas y otros.
*Ing. Ernesto Sanguinetti R., – Gerente de la División de Ingeniería de COLD IMPORT S.A.- Lima – Perú.
Por MANuEL GARCíA JIMÉNEz*
La evolución de las protecciones eléctricas modernas: Más allá de los interruptores tradicionales
En el ámbito de las instalaciones elécticas, la seguridad ha dado un gran salto gracias a la introducción de dispositivos como los Detectores de Arco Eléctrico (AFDD). Aunque los interruptores automáticos y diferenciales han sido pilares fundamentales de la protección eléctrica moderna, los AFDD abordan un tipo de falla que los sistemas tradicionales no pueden gestionar: los arcos eléctricos peligrosos. Incendios causados en instalaciones antiguas con malos contactos, cableados deficientes o donde conviven dispositivos electrónicos en los que un pequeño diodo o un condensador puede fallar,
son el escenario común que vemos semanalmente en los telediarios de un incendio catastrófico.
¿Qué son los AFDD y en qué se diferencian de otros dispositivos?
Un AFDD (Arc Fault Detection Device) es un dispositivo diseñado para detectar patrones específicos de arcos eléctricos peligrosos, ya sean en serie (dentro de un cable dañado) o en paralelo (entre conductores). Estos no generan corrientes suficientes para activar un interruptor automático o diferencial, pero sí pueden provocar incendios.
Interruptores automáticos (MCB): Actúan ante sobrecargas y cortocircuitos. No detectan arcos eléctricos en serie o paralelo que no superen su límite de corriente. Interruptores diferenciales (RCD): Actúan ante corrientes de fuga a tierra, protegiendo contra contactos indirectos y electrocución. No son sensibles a fallos de arco que no impliquen fugas a tierra.
AFDD: Detectan arcos eléctricos peligrosos mediante el análisis de la señal de corriente, desconectando el circuito antes de que el calor generado provoque un incendio. Especialmente eficaces en instalaciones con cables dañados o conexiones flojas.
¿Cuándo actúa cada dispositivo?
¿Por qué los AFDD son imprescindibles en instalaciones modernas?
Mitigación de riesgos en entornos domóticos: En sistemas con alta densidad de dispositivos electrónicos, como iluminación inteligente o sensores, el desgaste de cables y conexiones puede derivar en arcos eléctricos. Los AFDD complementan las protecciones tradicionales, garantizando la seguridad de equipos sensibles y personas.
Prevención de incendios en edificios vulnerables: Edificios de madera, hospitales, hoteles y lugares con alta afluencia de público son escenarios donde los AFDD actúan como una barrera crucial contra incendios eléctricos.
Cumplimiento normativo y protección avanzada: En España, aunque no son obligatorios de forma general, la ITCBT-24 del REBT recomienda su uso en locales con riesgo de incendio, como almacenes y edificios históricos.
¿Cómo trabajan juntos?
Imagina un sistema eléctrico con un cable dañado detrás de una pared. Este cable comienza a generar arcos eléctricos en serie debido al desgaste del aislamiento:
• El interruptor automático no actúa porque no hay sobrecarga ni cortocircuito.
• El interruptor diferencial no detecta el fallo porque no hay fuga a tierra.
• El AFDD identifica el patrón característico del arco eléctrico y desconecta el circuito antes de que el calor generado provoque un incendio.
• Conclusión: Seguridad integral con protecciones complementarias
Los AFDD no sustituyen a los interruptores automáticos o diferenciales, sino que los complementan, cubriendo un área crítica de protección que los dispositivos tradicionales no abarcan. En un entorno donde la tecnología y la seguridad eléctrica evolucionan rápidamente, estos dispositivos son una inversión esencial para evitar riesgos que podrían tener consecuencias catastróficas.
*Manuel García Jiménez, Director Ingenieria y Transformación Digital de Intarcon
Por ANdREA ÁLvAREz *
En un mercado HVAC‑R cada vez más competitivo en Latinoamérica, la fidelización se perfila como la verdadera ventaja estratégica. Con un consumidor dispuesto a premiar la relación por encima del precio, los Dealer Programs ganan terreno como herramienta clave para consolidar ventas y construir lealtad.
¿Qué pasaría si mañana tu competido ofrece el mismo producto que tú, al mismo precio o incluso más barato?
En un mercado cada vez más saturado, donde las marcas pelean centavo a centavo por ganar un contrato, la verdadera ventaja competitiva ya no está en los descuentos. Está en la relación. En la capacidad de crear vínculos sólidos, duraderos y mutuamente beneficiosos. En otras palabras: en la fidelización.
• El mercado HVAC‑R en Latinoamérica alcanzó US$ 13 645 millones en 2024, y se proyecta un crecimiento anual compuesto del 5.8 % entre 2025 y 2030, llegando a casi US$ 19 147 millones para ese año.
• En paralelo, el mercado regional de programas de lealtad movió aproximadamente US$ 9.7 mil millones en 2024, con una tasa de crecimiento anual de entre 10 % y 13 % .
Este escenario muestra dos fenómenos: un mercado HVAC robusto y en expansión, y una población latinoamericana acostumbrada a participar en programas de fidelización.
• Más de US$ 9 mmd circulan hoy en programas de lealtad, lo que indica que el consumidor latino ya valora los beneficios intangibles más allá del precio.
• Las estadísticas globales indican que los miembros de programas de lealtad gastan un 62 % más y prefieren la marca un 59 % más que quienes no pertenecen a dichos programas.
HARDI lleva años promoviendo Dealer Programs en el canal HVAC‑R EE.UU., con resultados como un incremento del 6.8 % en ventas en abril de 2025, y 7.4 % en marzo, con ventas anuales superiores al 4 %. Evidencia empírica de que las prácticas de lealtad no son solo buenas para el cliente, sino también para los distribuidores y fabricantes.
Bajo las propias palabras de Guitze Messina, Director General de HARDI LATAM “Los dealers son alrededor del 4% de los clientes de un distribuidor y representan 60% de sus ventas en promedio. El programa es clave. Solo 7% de los dealers cambian de marca”. Remarcando la importancia de adaptar estos programas en el mercado latinoamericano.
¿Por qué esta estrategia tiene sentido en LATAM?
El cliente latino ya es fiel
Más del 58 % de los latinoamericanos participa en programas de lealtad para recibir descuentos, y más del 46 % para obtener productos gratis.
Existen oportunidades digitales
Por ejemplo, en Brasil, casi la mitad de los consumidores desea incentivos digitales instantáneos y flexibles. Y el mercado de gestión de fidelidad digital en la región generó US$ 1 486 millones en 2024, con una proyección de US$ 2 162 millones para 2030.
HVAC no es la excepción
El crecimiento sostenido del mercado HVAC latino refuerza la urgencia de adoptar un enfoque estratégico más allá del precio.
¿Cómo estructurar un Dealer Program efectivo?
Basado en modelos promovidos por HARDI y adaptado a LATAM:
Formación continua
Aumenta la percepción de valor y mejora la calidad del servicio
Soporte técnico especializado
Incentivos por metas
Marketing personalizado
Reconocimiento y comunidad
Genera confianza y reduce tiempos de inactividad
Refuerza el comportamiento deseado y favorece la cercanía
Hace sentir al distribuidor parte de la marca, no sólo un canal de ventas
Empoderamiento, sentido de pertenencia y evangelización de la marca
Desafíos:
• Alta informalidad y poco hábito de fidelización. • Falta de recursos para implementar programas integrales.
Oportunidades:
• Cultura digital en ascenso: apps, whatsapp business, redes.
• Integración de IA modelos y procesos de negocio.
• Creciente profesionalización del canal y voluntad de capacitación continua.
• Disponible inversión tecnológica para CRM, plataformas y medición de ROI.
El futuro del HVAC‑R en LATAM no se ganará con vales de descuento, sino con propuestas de valor que creen relaciones reales. En este camino, los Dealer Programs representan una estrategia sólida: consolidan ventas, fortalecen reputación y reducen la sensibilidad al precio.
Recuerda: un consumidor fiel no regresa por el precio, regresa por la experiencia, la confianza… y por sentirse parte de, no solo como cliente.
Fuentes:
-Bond Brand Loyalty. (2023). The Loyalty Report 2023.
-Comarch. (2024). Estado actual de los programas de lealtad en LATAM.
-HARDI. (2025). Monthly TRENDS Sales Reports. Heating, Air-conditioning & Refrigeration Distributors International.
-Mordor Intelligence. (2024). Latin America Loyalty Programs Market Report.
-SkyQuest Technology. (2024). Latin America HVAC Systems Market Size, Forecast 2024–2030.
-Statista. (2024). Consumer preferences in loyalty programs in Brazil and LATAM.
*Andrea Álvarez
Business & Marketing Coach especializada en la industria HVAC-R
Por ROlaNdO TORRadO*
En el sector HVAC, muchos empresarios viven atrapados en negocios que dependen totalmente de ellos, sacrificando su libertad, su salud y su vida personal sin ver verdaderos resultados.
He tenido el privilegio de acompañar a más de 50 dueños de empresas de aire acondicionado y refrigeración en todo Latinoamérica. Y si hay algo que todos comparten, no importa el país, el tamaño o el equipo que tengan, es una realidad dolorosa que los persigue en silencio: la empresa depende 100% de ellos, y no pueden dejar de trabajar ni un solo día sin que todo se tambalee.
Muchos de estos empresarios me dicen: “Amo lo que hago”, “no me pesa traba -
Una empresa es un vehículo para tu libertad.
¿Y cómo se logra eso? No con más trabajo, sino con transformación. Con una nueva mentalidad. Con ventas enfocadas en valor, no en precio.
jar hasta tarde” o “yo nací para esto”. Pero cuando les pregunto cuándo fue la última vez que se tomaron una semana de vacaciones sin estar pendiente del celular, sin recibir llamadas de técnicos, clientes o proveedores… el silencio lo dice todo. Trabajar 14 horas al día no es pasión, es agotamiento disfrazado de amor.
La realidad es que hay dueños toderólogos que se encargan de todo porque “nadie más lo hace como ellos”. Venden, cotizan, diseñan, revisan, pagan, gestionan, corrigen, cobran. Son el técnico, el vendedor, el gerente, el financiero, el mensajero y el apaga incendios. Y sí, tienen trabajo. Mucho trabajo. Pero no tienen empresa, tienen una cárcel con nombre propio. Una que si se enferman, se cae. Si descansan, se detiene. Y si desaparecen, no deja nada.
Viven con miedo a soltar. Con culpa por querer descansar. Con ansiedad constante por tener que estar en todo. Y lo más grave es que esa dinámica se ha normalizado en el sector HVAC. Es común escuchar frases como: “Esto es así”, “si no estoy yo, las cosas no salen” o “prefiero hacerlo yo que estar corrigiendo a otros”. Pero la verdad es que esa forma de operar es insostenible, inhumana y no tiene futuro.
A eso súmale un problema más profundo: venden, trabajan, facturan… pero el dinero no se refleja en su cuenta bancaria. No pueden reinvertir, no les alcanza para subir su salario, y ni hablar de pensar en crecimiento o expansión. La empresa crece en trabajo, pero no en utilidades. Aumenta el volumen, pero no la libertad. Y cada vez es más difícil parar, porque parar parece significar perderlo todo.
Es un círculo vicioso que termina por desgastarlos física, mental y emocionalmente. Viven pensando en la empresa incluso cuando están con su familia. Duermen con la cabeza llena de pendientes, se despiertan en modo incendio. Su salud se deteriora, sus relaciones se enfrían, su energía se va. Su negocio les roba la vida.
Y lo más delicado: muchos creen que “así es ser empresario”. Que el sacrificio es la única forma. Que algún día llegará la recompensa. Pero ese “algún día” nunca llega… a menos que tomes la decisión de crear una empresa que funcione sin depender 100 % de ti.
Una empresa no es una trampa de tiempo. Es un vehículo para tu libertad.
¿Y cómo se logra eso? No con más trabajo, sino con transformación. Con una nueva mentalidad. Con ventas enfocadas en valor, no en precio. Con sistemas que funcionen incluso si tú no estás. Con procesos que garanticen resultados sin que tengas que estar vigilando todo.
Significa dejar de ser el eje de todo y empezar a construir una estructura que funcione sin ti. Significa enseñar, delegar, confiar y sistematizar. Significa asumir tu rol como líder, no como ejecutor eterno.
Cada día que sigues operando como técnico, ingeniero o administrativo y no como dueño estratégico, es un día más que pierdes vida. Y cada año que pasa, te queda menos energía para corregir el rumbo. ¿Qué empresa vas a dejar en 10 años si tú sigues siendo el que la sostiene con tu fuerza?
El tiempo no perdona. Y tu vida, tu familia y tu salud no se pueden seguir posponiendo.
El momento de tomar el control es ahora. Porque trabajar menos y ganar más no es un sueño: es una decisión.
*Rolando Torrado. Mentor especializado en empresas HVAC en Latinoamérica, Mentor de empresarios HVAC.
@rolandotorradohvac wsp +57 315 312 6387
AHRI respalda internacionalmente a los fabricantes de equipos de calentamiento de agua y HVACR.
Promovemos la eficiencia energética y la sostenibilidad ambiental a través de la adopción de nuestros estándares y programas de certificación de renombre mundial. AHRI cuenta con varios grupos de expertos en los cinco continentes para fortalecer a toda nuestra industria de HVACR.
Confíe en AHRI que ofrece todo tipo de soluciones llave en mano que mejoran la vida de todos.
La capacitación y el entrenamiento en el trabajo les permiten resolver problemas complejos en las instalaciones donde laboran y son elementos esenciales para el desarrollo de los ingenieros y técnicos de la climatización.
Como lo he mencionado en varias columnas, llevo alrededor de más de medio siglo ejerciendo en temas relacionados con la Ingeniería Mecánica, que es mi profesión, en su especialización de la Ingeniería Térmica, en la cual tengo una Maestría y los mismos años de experiencia.
He sido y sigo siendo docente en todas las disciplinas de la Ingeniería Térmica, en varias facultades de la misma, tanto en pregrado como en posgrado, y en especializaciones de esa rama, además he sido docente en los principales gremios relacionados con es-
tas profesiones, en diferentes industrias e instituciones y a nivel individual con varios ingenieros.
Mi vida profesional me ha permitido, además de la docencia, ser Gerente de Ingeniería en una gran empresa de artes gráficas en donde tuve a cargo el mantenimiento, montaje y construcción de maquinaria, de sus equipos; contratista en sistemas térmicos; y desde hace más de 20 años estoy dedicado a la consultoría en las disciplinas mencionadas.
He decidido dedicar los años que el supremo ingeniero me tenga destinados a la docencia, combinada con la consultoría en mi ACADEMIA CBG, haciendo la simbiosis de academia y consultoría técnica, basado en mi experticia conceptual.
La industria de la climatización ha experimentado un crecimiento significativo en los últimos años, lo que ha aumentado la demanda de ingenieros y técnicos especializados. La capacitación y el entrenamiento en el trabajo son fundamentales para garantizar que estos profesionales estén bien preparados para enfrentar los desafíos técnicos y operativos que surgen en el campo.
Este concepto de aprendizaje en el trabajo inició desde tiempos inmemoriales, cuando el maestro en un oficio (herrero, armero, constructor, alfarero etc.), le enseñaba prácticamente a sus hijos o aprendices, su quehacer.
La capacitación adecuada no solo mejora las habilidades y los conocimientos tecnológicos de los Ingenieros y Técnicos de climatización, sino que también aumenta la eficiencia operativa, reduce el riesgo de errores y fallas, asegurando la satisfacción del cliente. Además, la permanente actualización en nuevas tecnologías, normalización y reglamentación, lo cual es frecuente, es esencial para mantenerse competitivo en el mercado.
• Mejora de habilidades técnicas: permite a los trabajadores dominar nuevas tecnologías y métodos.
• Reducción de errores: una formación adecuada disminuye la probabilidad de errores costosos y/o peligrosos para la salud ocupacional y para los equipos de producción.
• Mayor eficiencia: los empleados capacitados son más eficientes y pueden realizar tareas en menos tiempo.
• Satisfacción del cliente: la capacitación asegura un servicio de calidad, promoviendo el cumplimiento de las especificaciones del cliente.
2-4 DE FEBRERO
El evento principal de HVACR por más de 90 años
• Actualización continua: permite a los profesionales mantenerse al día con las últimas innovaciones, normativas y reglamentos.
Existen diversos programas de capacitación diseñados para Ingenieros y Técnicos de climatización. Estos programas pueden ofrecerse en modalidad presencial, en línea o híbrida, y abarcan una amplia gama de temas desde fundamentos básicos hasta tecnologías avanzadas. En nuestra ACADEMIA CBG, en la cual estoy con el Ing. Mauricio Rojas, hemos desarrollado capacitaciones específicas en temas tan variados como los siguientes:
• Climatización
• Deshumidificación
• Vapor, gas, aire comprimido, agua fría y caliente, para procesos industriales
• Colección de polvo, ventilación, extracción de gases y vapores.
• Cuartos limpios en la industria farmacéutica, electrónica e instalaciones hospitalarias y clínicas
• Calidad de aire en el interior, en ambientes con especificaciones estrictas
• Filtración de Alta Eficiencia, HEPA y ULPA
• Intercambiadores de calor
• Recuperación de energía
• Balances de masa y energía
• Cogeneración y trigeneración
• Sistemas de termofluidos y reactores industriales
• Divulgación técnica a través de libros, revistas y conferencias
• Capacitación en HVAC
Todo lo anterior, alrededor de temas específicos relacionados con la optimización de la eficiencia, uso racional de la energía y solución de problemas complejos. También la capacitación inicial es esencial para la inducción de nuevos Ingenieros y Técnicos, proporcionando los conocimientos básicos necesarios para comenzar en el campo de la climatización. Algunos de los temas pueden ser:
• Fundamentos de Climatización
• Instalación y mantenimiento de sistemas
• Normativas y Regulaciones
Para Ingenieros y Técnicos ya activos en el campo, la capacitación continua es vital para mantenerlos actualizados y mejorar sus habilidades. Esta puede incluir:
• Actualización en nuevas tecnologías
• Formación en sistemas avanzados
• Reciclaje en normativas y Buenas Prácticas de Ingeniería (BPI)
El entrenamiento en el trabajo es una parte crucial del desarrollo profesional de los Ingenieros y Técnicos de climatización. Este tipo de entrenamiento permite a los empleados aplicar los conocimientos teóricos en situaciones reales bajo la supervisión de profesionales experimentados. La mentoría es una herramienta clave para el entrenamiento en el trabajo; los mentores proporcionan orientación, consejos prácticos y soporte a los nuevos empleados, ayudándoles a adaptarse y crecer en su rol.
La rotación de tareas, por ejemplo, mantenimiento y montaje de equipos, diseño y gestión de proyectos permite a los Ingenieros y Técnicos de Climatización adquirir experiencia en diferentes aspectos del trabajo, fomentando una comprensión integral de los sistemas y procesos.
Por todo lo anterior, la capacitación y el entrenamiento en el trabajo les permiten resolver problemas complejos en las instalaciones donde laboran y son elementos esenciales para el desarrollo de los Ingenieros y Técnicos de la climatización, quienes se apropian simultáneamente con el desarrollo de su función, de conocimientos que les tomaría años con un costo en tiempo y dinero considerablemente alto; en instituciones de educación formal.
La inversión en programas de formación y la implementación de prácticas de entrenamiento efectivas aseguran que los profesionales del sector estén bien preparados para ofrecer un servicio de alta calidad y enfrentar los desafíos del mercado. Al proporcionar oportunidades de aprendizaje continuo, las empresas no solo mejoran la competencia técnica de sus empleados, sino que también promueven la innovación y la excelencia en el sector de la climatización.
Con el incremento del cambio climático, la superpoblación y los cambios geopolíticos en el mundo, tanto la climatización como la refrigeración (no analizada en detalle en este artículo) tendrán un desarrollo gigantesco y, además, con la introducción de nuevas tecnologías como la Inteligencia Artificial y la Computación Cuántica, se requerirá capacitación y entrenamiento de nuevas disciplinas en nuestro gremio. También creo que las facultades de Ingeniería Mecánica deben actualizar sus programas académicos, en los aspectos mencionados en esta columna.
* Camilo Botero fue Secretario de la Federación de Asociaciones Iberoamericanas del Aire Acondicionado y la Refrigeración - FAIAR; fue presidente de ACAIRE y es presidente de Camilo Botero Ingenieros Consultores Ltda. Actualmente es profesor en su Academia CBG. También se ha desempeñado como docente en varias universidades colombianas, gremios y actualmente en ACAIRE en cursos de diplomado de proyectos de aire acondicionado, eficiencia energética en aire acondicionado y refrigeración, cogeneración y trigeneración, psicometría aplicada, termodinámica, mecánica de fluidos, transferencia de calor y turbomaquinaria. cbg@cbgingenieria.com
En INFOTEP, nos comprometemos a preparar a los técnicos del futuro en la reparación de equipos de refrigeración, asegurando que las empresas cuenten con profesionales altamente capacitados.
Síguenos en @infoteprd ¡Acércate a nosotros!
SISTEMA HVAC
La versión más reciente de ArctiDry HP, sistema de calefacción, ventilación y aire acondicionado de instalar, ahora incluye una bomba de calor
integrar un desecante líquido con una bomba de calor reversible.
“Al incorporar una bomba de calor reversible, nuestro innovador sistema es ahora una solu
ejecutivo de Mojave Energy Systems. “Con Arc-
reducir su consumo de energía de refrigeración
emisiones de combustibles fósiles en invierno
El último cassette de la serie Q de AUX tiene un cuerpo delgado: su grosor es de sólo 205 mm. Cuenta con una nueva función de control de aire independiente. Los cuatro deflectores de aire se pueden ajustar de forma independiente. Toda la serie utiliza un motor de corriente continua (DC), permite obtener siete niveles de flujo de aire y alcanza una distancia de suministro de aire de hasta 10 metros en dirección horizontal y 4.5 metros en dirección longitudinal. Al mismo tiempo, el cassette de la serie Q incorpora funciones de autolimpieza y reinicio automático.
con una bomba de calor incorporada. Es realmente una solución de sostenibilidad de HVAC comercial excepcional y demuestra la dedicación de Mojave a la innovación continua”.
AUX está comprometida a ofrecer a los usuarios soluciones más profesionales e inteligentes.
ArctiDry HP es ideal para sistemas de aire ex-
supermercados, hotelería y fabricación.
• Tecnología de enfriamiento evaporativo
• Sistemas de aire acondicionado con IA - IoT
• Aislamiento térmico