Stephen Porges

Page 1


Polyvagal Theory in a Challenging World: Reclaiming Our Evolutionary Heritage as a Connected and Benevolent Species

Distinguished University Scientist, Founding Director of the Traumatic Stress Research Consortium, Kinsey Institute, Indiana University

Professor of Psychiatry, University of North Carolina

Disclosures

• Receives royalties from W.W. Norton for The Polyvagal Theory: Neurophysiological Foundations of Emotions, Attachment, Communication, and Self-regulation (2011), The Pocket Guide to the Polyvagal Theory: The Transformative Power of Feeling Safe (2017), Clinical Applications of the Polyvagal Theory: The Emergence of Polyvagal-Informed Therapies (2018), Polyvagal Safety: Attachment, Communication, Self-Regulation (2021), Our Polyvagal World: How Safety and Trauma Change Us (2023).

• Receives royalties from Integrated Listening Systems/Unyte (iLs) for the Safe and Sound ProtocolTM based on the Listening Project Protocol and the Rest and Restore ProtocolTM .

• Holds patent rights licensed to NS Intelligence Limited/Televagal.com for the technology embedded in PhysioCam.

Synopsis:

Claiming Our Evolutionary Heritage as a Connected Species

• PVT focuses on exploring relationships between ANS regulation and human health and experience.

– ANS as an intervening variable

– Signaling theANS is an efficient and potent portal of intervention to heal mental and physical illness and injury

– Signaling theANS as an efficient and potent defense system

• Evolution provides an organizing principle that links

– ANS as an enabler of social behavior

– Sociality as an enabler of health

What if Descartes Were Polyvagal-Informed?

• Je pense, donc je suis (I think therefore I am).

• Je me sens, donc je suis (I feel myself, therefore I am).

Consequences of a Cartesian Perspective on Mental and Physical Health

• Institutions assume a cause-and-effect model of causation

– Science

– Medicine

– Education

– Religion

– Politics

• Cause and effect modeling

– Healing from outside in

– If broken fix it via an external strategy

• Surgery

• Pharmaceutical

• Rewards/punishments

Healing From the Inside Out:

An Alternative Perspective on Mental and Physical Health

• An alternative model causation departs from linear, direct cause-and-effect relationships to embrace more complex, dynamic interactions, and feedback loops among variables

• Simplify non-linear to ‘mediational’ models

• Signaling the nervous system to support homeostatic functions of health, growth, restoration, and sociality (Polyvagal informed strategies).

ANS as Intervening Variable

Physiological State

An Intervening Variable Capable of Biasing Responses

Behaviors

Physiological State

Neurophysiological-Based Domains of Hypotheses ANS as Intervening Variable

• PVT is focused on the measuring chronic autonomic state (“O”) as the individual’s vulnerability/accessibility at the time of challenge (S-O-R).

• Predictions of biobehavioral reactivity from chronic states (assessments)

• PVT leads to strategies of intervention targeted at changing ANS state (treatment) and optimizing outcomes.

‘Stealth’ Neuromodulation

• Homeostatic function is projected in the slow rhythmic neural signals regulating the ANS (e.g., HRV)

• The vagus is involved in the regulation of homeostatic rhythms expressed in visceral organs.

• Common disruptors of homeostatic rhythms

– Stress, pathology, anxiety, threat, pathogen, predator, illness, pathophysiology, organ dysfunction, functional disorders

• Signaling the nervous system to optimize homeostatic functions (health, growth, and restoration).

Homeostasis

Dynamic Modulation and Not a Constant Setpoint

Vagus (sensory)

Visceral Organs

Visceral Organs

Vagus (motor)

Homeostasis

Dynamic Modulation and Not a Constant Setpoint

Vagal Nerve Stimulator

Vagus (sensory)

Visceral Organs

Vagus (motor)

Visceral Organs

Homeostasis

Dynamic Modulation and Not a Constant Setpoint

Signaling ANS State

Vagus (sensory)

Visceral Organs

Vagus (motor)

Visceral Organs

PVT Principle #1

• ANS as an intervening variable influencing and biasing behavioral, cognitive, and physiological reactivity to context (stimuli). Copyright © 2024 Stephen W. Porges

The ANS as an Intervening Variable

• An intervening variable, also known as mediating or moderating variable, is a variable that explains how an independent variable affects a dependent variable.

• A mediator explains the relationship between a predictor variable and an outcome variable.

• A moderating variable influences the strength and direction of that relationship.

Bhandari, P. (2023, June 22). Mediator vs. Moderator Variables | Differences & Examples. Scribbr. Retrieved May 14, 2024, from

https://www.scribbr.com/methodology/mediator-vs-moderator/

The ANS as an Intervening Variable

A mediator is an intervening variable that is part of the causal pathway between an independent and a dependent variable.

Bhandari, P. (2023, June 22). Mediator vs. Moderator Variables | Differences & Examples. Scribbr. Retrieved May 14, 2024, from https://www.scribbr.com/methodology/mediator-vs-moderator/

ANS State is a Mediator Within PVT

Autonomic Reactivity (Body Perception Questionnaire)

Adversity History

(Childhood Trauma Questionnaire)

Mental Health Outcomes During Pandemic

The Body Perception Questionnaire:

Subjective Measurement of Autonomic Function

Body Perception Questionnaire (BPQ)

A Subjective Index of Autonomic Reactivity

Porges, S. (1993). Body perception questionnaire. Laboratory of Developmental Assessment, University of Maryland. Cabrera,A., Kolacz, J., Pailhez, G., Bulbena‐Cabre,A., Bulbena,A., & Porges, S. W. (2018). Assessing body awareness and autonomic reactivity: Factor structure and psychometric properties of the Body Perception Questionnaire‐Short Form (BPQ‐SF). International journal of methods in psychiatric research, 27(2), e1596.

Trauma History Predicts Reactions to COVID-19

Due to Adverse Event or Retuned Autonomic State?

• Is an adversity history, a pre-existing condition?

Kolacz, J., Dale, L. P., Nix, E. J., Roath, O. K., Lewis, G. F., & Porges, S. W. (2020). Adversity History Predicts Self-Reported Autonomic Reactivity and Mental Health in US Residents During the COVID-19 Pandemic. Frontiers in psychiatry, 11, 1119.

Adverse Events and Autonomic Reactivity (United States)

Kolacz, J., Dale, L. P., Nix, E. J., Roath, O. K., Lewis, G. F., & Porges, S. W. (2020). Adversity History Predicts Self-Reported Autonomic Reactivity and Mental Health in US Residents During the COVID-19 Pandemic. Frontiers in psychiatry, 11, 1119.

Outcome Mediation Model

(adjusted for age and sex)

Kolacz, J., Dale, L. P., Nix, E. J., Roath, O. K., Lewis, G. F., & Porges, S. W. (2020). Adversity History Predicts Self-Reported Autonomic Reactivity and Mental Health in US Residents During the COVID-19 Pandemic. Frontiers in psychiatry, 11, 1119.

Probabilities of Covid-19 Infection

Dale L. P., Cuffe S. P., Kolacz J., Leon K.G., Bossemeyer B. N., BhullarA., Nix E. J., Porges S. W. (2022). Increased Autonomic Reactivity and Mental Health

Sexual Function in Adults With a Childhood Trauma:

Mediating Effects of Self-Reported Autonomic Reactivity

Kolacz, J., Hu, Y., Gesselman, A. N., Garcia, J. R., Lewis, G. F., & Porges, S. W. (2020). Sexual function in adults with a history of childhood maltreatment: Mediating effects of self-reported autonomic reactivity. Psychological trauma: theory, research, practice, and policy.

Impact on Male Sexual Function

Kolacz, J., Hu, Y., Gesselman, A. N., Garcia, J. R., Lewis, G. F., & Porges, S. W. (2020). Sexual function in adults with a history of childhood maltreatment: Mediating effects of self-reported autonomic reactivity. Psychological trauma: theory, research, practice, and policy.

Childhood Trauma

Self-reported autonomic reactivity partially mediated the effect of childhood trauma on purpose in life:

Adversity History

(Childhood Trauma Questionnaire)

Moderator:

Body Psychotherapist

Autonomic Reactivity (Body Perception Questionnaire)

Does practicing body psychotherapy moderate the influence the impact of childhood adversity on autonomic regulation.

Association of childhood maltreatment with adult body awareness and autonomic reactivity: The moderating effect of practicing body psychotherapy.

• Study aimed to explore the effects of practicing body psychotherapy (BPT) on the link between early maltreatment and autonomic reactivity in adulthood.

An online study included 570 body psychotherapists and 592 participants from the U.S. general population.

Jokić, B., Purić, D., Grassmann, H., Walling, C. G., Nix, E. J., Porges, S. W., & Kolacz, J. (2023).Association of childhood maltreatment with adult body awareness and autonomic reactivity: The moderating effect of practicing body psychotherapy. Psychotherapy, 60(2), 159.

Adverse Events and Autonomic Reactivity (United States)

Kolacz, J., Dale, L. P., Nix, E. J., Roath, O. K., Lewis, G. F., & Porges, S. W. (2020). Adversity History Predicts Self-Reported Autonomic Reactivity and Mental Health in US Residents During the COVID-19 Pandemic. Frontiers in psychiatry, 11, 1119.

Childhood Trauma and Autonomic Reactivity

The Moderating Effect of Practicing Body Psychotherapy

Purić, D., Grassmann, H., Walling, C. G., Nix, E. J., Porges, S. W., & Kolacz, J. (2023).Association of childhood maltreatment with adult body awareness and autonomic reactivity: The moderating effect of practicing body psychotherapy. Psychotherapy, 60(2), 159.

Association of Childhood Maltreatment With Adult Body Awareness and Autonomic Reactivity: The Moderating Effect of Practicing Body Psychotherapy

• Compared to the general population, BPT practitioners reported higher levels of childhood maltreatment, but fewer autonomic symptoms in adulthood, and a weaker association between childhood maltreatment experiences and present-day autonomic symptoms.

, B., Purić, D., Grassmann, H., Walling, C. G., Nix, E. J., Porges, S. W., &

J. (2023).Association of childhood maltreatment with adult body awareness and autonomic reactivity: The moderating effect of practicing body psychotherapy. Psychotherapy, 60(2), 159.

Jokić
Kolacz,

Rules Governing ANS as Intervening Variable

The Autonomic Nervous System: A Paired Antagonism Perspective

Sympathetic Nervous System

Vagus (Parasympathetic Nervous System)

The Autonomic Nervous System: Need to Update Perspective

Ventral

Supra-diaphragmatic (myelinated) vagus

Dorsal

Sub-diaphragmatic (unmyelinated) vagus

Evolutionary Journey to Sociality

Dorsal Vagus SNS
Ventral Vagus
Ventral Vagal Complex

Polyvagal Theory

• Derived from phylogenetic and developmental investigations of the ANS identify a sequence during which the brainstem structures regulating the ANS emerge during vertebrate phylogeny and are paralleled in mammalian ontogeny

• Provides a theoretical basis for a neuroscience of safety and explains how safety promotes spontaneous social engagement behaviors and health, growth, and restoration.

• Explains how autonomic state is optimized during safe social interactions and disrupted during states of defense.

Hierarchical Model of Autonomic State

Newer Circuits Inhibit Older Circuits

Myelinated (supra-diaphragmatic) Vagus Social Engagement System

Sympathetic Nervous System Fight/Flight

Unmyelinated (sub-diaphragmatic) Vagus Immobilized with Fear

PVT Principle #2

• Three neural circuits form a phylogenetically ordered response hierarchy that regulate autonomic state adaptation to safe, dangerous, and lifethreatening environments.

Dissolution (Evolution in Reverse)

Predictable Changes in ANS State (Testing PVT Hypotheses)

The higher nervous arrangements inhibit (or control) the lower, and thus, when the higher are suddenly rendered functionless, the lower rise in activity.

Trauma and Stress Trigger Dissolution:

Evolution/Development in Reverse

Myelinated (supra-diaphragmatic) Vagus

Social Engagement System

Sympathetic Nervous System Fight/Flight

Unmyelinated (sub-diaphragmatic) Vagus Immobilized with Fear

Social Engagement Calming

Mobilization with Fear

Metabolically Costly

Apnea and Bradycardia

Immobilization with Fear Death Feigning

Trauma/Threat Triggers

Dissolution: Evolution in Reverse

PVT Principle #3

• In response to a challenge, the ANS shifts to states regulated by circuits that evolved earlier consistent with the Jacksonian principle of dissolution, a guiding principle in neurology.

Phylogenetic Emergence of an Integrated Social Engagement System

Evolutionary Journey to Sociality

Ventral Migration of Cardioinhibitory Structures

Dorsal Vagus
SNS
Ventral Vagus
Ventral Vagal Complex

Brainstem Origin of the Vagus

Ventral Migration

Ventral Vagus
Dorsal Vagus
Dorsal
Ventral

Brainstem Origin of the Vagus

Ventral Migration

Ventral Vagus
Dorsal Vagus
Dorsal
Ventral

Deconstructing the Social Engagement System

Special Visceral Efferent (Branchial Arches) + Ventral Vagal Pathways

Cranial Nerves

Muscles of Mastication
Middle Ear
Head Turning
Brainstem

The Face-Heart Connection:

• At birth mammals have bidirectional neural communication between the face and the heart (suck-swallow-breathe-vocalize), which forms the core of a Social Engagement System.

• Metabolic demands, perceived danger, life threat, and illness retract the Social Engagement System resulting in a face that is not “social” and a physiological state (removal of the vagal brake on the heart) that promotes defensive behaviors.

• The face reflects Polyvagal state.

• Cues of safety work through the ‘face-heart’ connection.

• Sociality as a ‘neuromodulator.’

Easliest Mammals Could Nurse

Vogel G. (2018). Got milk? Even the first mammals knew how to suckle. Retrieved from https://www.science.org/content/article/got-milk-even-firstmammals-knew-how-suckle

Reciprocal Face-to-Face Interactions Regulate State

Dissolution of the Social Engagement System

Core Deficits

• Lack of prosody

• Poor eye contact and difficulties in social communication

• Blunted facial expressivity

• Difficulties in behavioral state regulation (hypervigilant, anxious, distractible, impulsive, tantrums, hypoarousal)

• Compromised vagal regulation (e.g., state regulation, digestion)

• Difficulties in listening, following verbal commands, speechlanguage delays

• Sound sensitivities

• Oral motor defensiveness (e.g., ingestive behaviors)

PVT Principle #4

• Ventral migration of cardioinhibitory neurons leads to an integrated brainstem circuit (ventral vagal complex) that enable the coordination of suck-swallow-breath-vocalize, a circuit that forms the neurophysiological substrate for an integrated social engagement system,

Neuroception

Triggers of Defense or Portal of Intervention

Neuroception

A Portal to Reclaim Our Evolutionary Heritage?

• Signals of threat triggers dissolution

• Signals of safety fosters homeostatic processes of health, growth, restoration, and sociality

• Portal to reverse threat induced dissolution

• Neuroception of threat shared with virtually all living organisms (even plants)

• The healing properties of sociality (neuroception of safety) is a product of mammalian modifications to the ANS.

Neuroception

Our Personal TSAAgent

Neuroception

Behaviors

Environment Behavior

Neuroception

Behaviors

Environment Behavior

Physiological State Safe Play

Social Engagement

Intimacy

Social Engagement Calming

Mobilization Without Fear (Play)

A Successful Product of Ventral Migration

Mobilization Without Fear (Play)

A Successful Product of Ventral Migration

Polyvagal Theory Links Sociality to Homeostatic Functions

Feature Detectors

The Role of Face-to-Face Interactions

• How do we “feel” when there is a violation of the face-to-face interactions?

• Does a violation displace spontaneous social engagement behaviors with defensive reactions?

Violation of Face-to-Face Interactions

An Experimental Manipulation

The Face-to Face Still Face Procedure (Tronick, Als, Adamson, Wise, & Brazelton, 1978)

3 Phases:

• 2 minutes Social Play

• 2 minutes Still Face

• 2 minutes Reunion Play

Reciprocal Interaction (Play)

Still Face (1)

Still Face (2)

Still Face (3)

Violation Repaired

Impact of Maternal Vocalizations on Infant Distress

Kolacz, J., daSilva, E. B., Lewis, G. F., Bertenthal, B. I., & Porges, S. W. (2022).Associations between acoustic features of maternal speech and infants’emotion regulation following a social stressor. Infancy, 27(1), 135-158

PVT Principle #5

• Neuroception: Reflexive detection of risk and safety triggers adaptive autonomic state to optimize survival.

Transforming Ideas Into Practice

Neuroception of Safety

The Safe and Sound Protocol

Neuroception

Behaviors

Environment Behavior

Physiological State Safe Play

Social Engagement

Intimacy

Homeostasis: As a Feedback System

Dynamic Modulation and Not a Constant Setpoint

Vagus (sensory)

Visceral Organs

Visceral Organs

Vagus (motor)

Homeostasis: As a Feedback System

Dynamic Modulation and Not a Constant Setpoint

Safe & Sound Protocol

Vagus (sensory)

Visceral Organs

Neuroception of Safety

Vagus (motor)

Visceral Organs

Recruiting ‘Central Regulator’ to support healing

• Healing is dependent ‘homeostatic processes’

– Homeostasis is adaptively not an option during acute threat.

– To optimize responses to threat homeostatic functions are depressed to optimize the metabolic resources to defend.

– Whether threat is a pathogen, a physical or mental injury, or an anticipation of an injury.

The Engineering of the Safe and Sound Protocol: Proposed Mechanisms

• Listening is dependent on and influences autonomic state.

• Listening provides opportunities to exercise neural circuits that support mental and physical health.

• Music evolved to support our biology of connectedness and our capacity to co-regulate.

• Polyvagal informed music functionally amplifies the cues of safety (frequencies of social communication) being broadcast to the nervous system and functions as an acoustic vagal nerve stimulator.

• The acoustic cues of safety down regulate the metabolic costly mechanisms of defense and optimize homeostatic processes that support mental and physical health.

• The technology embedded in the listening protocol has the potential to ‘calm’ nonhuman mammals.

Copyright © 2024 Stephen W. Porges

Listening as Therapy

Combined Data for Trials I and II

Porges, S. W., Bazhenova, O. V., Bal, E., Carlson, N., Sorokin, Y., Heilman, K. J., ... & Lewis, G. F. (2014). Reducing auditory hypersensitivities in autistic spectrum disorder: preliminary findings evaluating the listening project protocol. Frontiers in pediatrics, 2, 80.

Listening as Therapy

Porges, S. W., Macellaio, M., Stanfill, S. D., McCue, K., Lewis, G. F., Harden, E. R., ... & Heilman, K. J. (2013). Respiratory sinus arrhythmia and auditory processing in autism: Modifiable deficits of an integrated social engagement system?. International Journal of Psychophysiology, 88(3), 261-270.

Porges et al. (2013), International Journal of Psychophysiology.

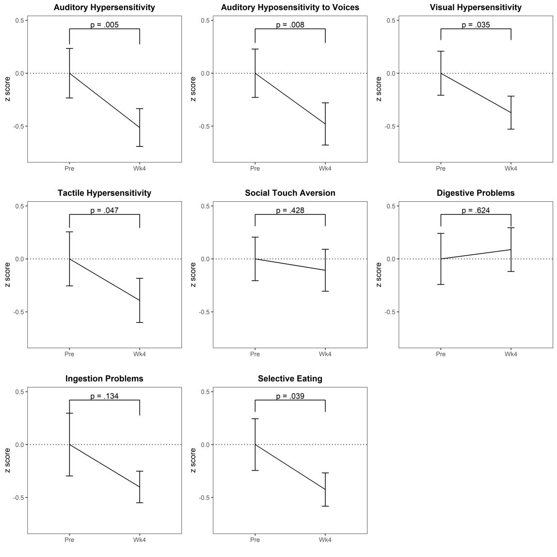
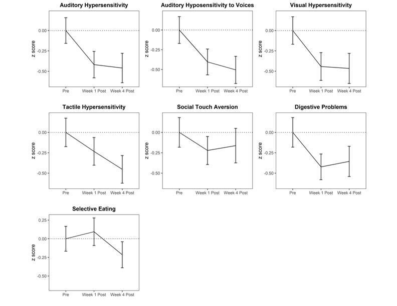
SSP Improves Sensory Processing

Heilman, K. J., Heinrich, S., Ackermann, M., Nix, E., & Kyuchukov, H. (2023). Effects of the safe and sound protocol tm (SSP) on sensory processing, digestive function and selective eating in children and adults with autism: A prospective single-arm study. Journal on Developmental Disabilities, 28(1), 1-26.

SSP Improves Sensory Processing

Maltreated Children

SSP Significantly

ReducesAnxiety, Depression, andAutonomic

Reactivity in

Clients with Voice or Speech Problems

HADS Depression

Significance

HospitalAnxiety and Depression Scale (HADS) (n=33)

Body Perception Questionnaire Short Form (BPQ-SF) (n=32)

Grooten-Bresser, H., Heilman, K. J., Kooijman, P. G., Monti, E., Chenault, M. N., Holmes, L. G., & Resto, O. (2024). Effects of Safe and Sound Protocol on selfreported autonomic reactivity, anxiety, and depression in speech therapy clients with voice, throat, and breathing complaints: SSP in Speech Therapy Clients. Music and Medicine, 16(2).

https://journals.lww.com/hrpjournal/Fulltext/9900/Neuromodulation_Using_Computer_Altered_Music_to.5.aspx

Harvard Review of Psychiatry 5.2022

Diagnosis

A ten-year-old girl (MT) in Year 5 of primary school referred to the Mind-Body Program by a pediatrician for treatment of functional somatic symptoms— unsteady gait, blurry vision, periods of confusion or appearing dazed, and persisting headache—that had been triggered in the context of a viral illness.

Key Components of the Inpatient Mind-Body Program (FND)

Physical therapy (daily)

Psychological therapy (daily, including art therapy sessions)

Pharmacotherapy –sleep, pain, manage comorbid anxiety and depression

Family work (weekly, with additional meetings if needed)

Hospital school (daily)

Open Access: https://journals.lww.com/hrpjournal/Fulltext/9900/Neuromodulation_Using_Computer_Altered_Music_to.5.aspx

Open Access: https://journals.lww.com/hrpjournal/Fulltext/9900/Neuromodulation_Using_Computer_Altered_Music_to.5.aspx

Fewer Anxiety Symptoms

p<.0001

85.6% improved, 61% moved from clinical to non-clinical level

Fewer Symptoms of Depression

p<.0001

81% improved, 54% moved from clinical to non-clinical level

Fewer Trauma-related Symptoms.

p<.0001

91% improved, 63% moved from clinical to non-clinical level

Fewer

Pediatric Psychosocial Trauma Symptoms.

p<.0001

83% improved, 47% moved from impaired to not impaired

Summary of Online Assessments

PVT Summary

PVT Principles

1. ANS as an intervening variable influencing and biasing behavioral, cognitive, and physiological reactivity to context (stimuli).

2. Three neural circuits form a phylogenetically ordered response hierarchy that regulate autonomic state adaptation to safe, dangerous, and life-threatening environments.

3. In response to a challenge, the ANS shifts to states regulated by circuits that evolved earlier consistent with the Jacksonian principle of dissolution, a guiding principle in neurology.

4. Ventral migration of cardioinhibitory neurons leads to an integrated brainstem circuit (ventral vagal complex) that enable the coordination of suck-swallow-breath-vocalize, a circuit that forms the neurophysiological substrate for an integrated social engagement system.

5. Neuroception: Reflexive detection of risk triggers adaptive autonomic state to optimize survival.

Copyright © 2024 Stephen W. Porges

Polvagal Theory

A New Paradigm with an Optimistic Perspective

• Assumes autonomic state influences behavior, reactions to the environment, self-regulation, and sociality (co-regulation)

– Does not assume that atypical reactivity, asociality, or hypersensitivity are permanent or the product of a rewiring of the nervous system (neuroplasticity)

– Assumes a more parsimonious mechanism that these features are ‘naturally’ occurring adaptive reactions primarily determined by biobehavioral (physiological, emotional, behavioral) state.

– An optimistic strategy to increase flexibility, resilience, and sociality by ‘retuning’ the autonomic nervous system.

Clinical Impact

of Polyvagal Theory Emphasis on Response and Not Events

• The theory transforms the client’s narrative from a documentary (emphasizing events and objects) to a pragmatic quest for safety with an implicit bodily drive to survive (emphasizing feelings).

• Polyvagal Theory contrasts withAdverse Childhood Experiences (ACEs) inventories by emphasizing response (feelings) and not events.

Polyvagal Theory

Linking Sociality to Homeostatic Functions

• Evolutionary journey of sociality through co-regulation

– Sociality triggers a ‘neural’ mechanism to turn off threat reactions (fight/flight and ‘death feigning’) and simultaneously optimize homeostatic functions (e.g., oxygenation, digestion, and sociality).

• Linking sociality and homeostatic functions.

– Elevates the role of sociality as both a homeostatic process and a ‘neuromodulator’ supporting homeostatic processes.

• Reframes psychological experiential constructs of threat, stress, and anxiety as objectively disrupting homeostasis

• Places ‘feeling safe’ at the foundation of human experiences (e.g., relationships, society, self-actualization, and even spirituality). Copyright © 2024 Stephen W. Porges

Turn static files into dynamic content formats.

Create a flipbook
Issuu converts static files into: digital portfolios, online yearbooks, online catalogs, digital photo albums and more. Sign up and create your flipbook.