N3XTCON Guidelines on mix-design and characterisation

Page 1


MIX DESIGN AND MATERIAL

CHARACTERISATION FOR 3D-CONCRETE PRINTING

GUIDELINES BASED ON RESULTS FROM THE N3XTCON PROJECT NOVEMBER 2023

Mix Design and material Characterisation for 3D-concrete printing

Main Authors:

Thomas Juul Andersen

Wilson Ricardo Leal Da Silva

Nina Marie Sigvardsen

Martin Kaasgaard

Pictures and illustrations: Danish Technological Institute

Made as a deliverable in the N3XTCON project. N3XTCON is a collaboration between Danish Technological Institute; Technical University of Denmark; University of Southern Denmark; Henning Larsen Architects A/S; Bjarke Ingels Group A/S; CRH Concrete A/S; COBOD International A/S; NCC Danmark A/S and Aalborg Portland A/S. The project is supported by Innovation Fund Denmark.

INTRODUCTION

CHARACTERISTICS OF 3DCP

Pumpability

Extrudability

Buildability

Bonding

MIX-DESIGN FOR 3DCP

Aggregate composition

Powder composition

Additives

THE N3XTCON MIX DESIGN APPROACH

Aggregates

Binder system

FRESH STATE PROPERTIES

STRUCTURAL BUILD-UP

Penetration test

Accelerator, print speed and extrusion rate

Oscillatory test

PRINTED SAMPLES

Compressive strength and E-modulus of solid cylinders

Mock-up section

Bending tensile strength of 3D-printed samples

Tensile strength of joints between layers in a 3D-printed structure

Compressive strength of cubes cut from 3D-printed samples

Macro analysis

INTRODUCTION

3D Concrete Printing (3DCP) is rapidly gaining popularity in the construction industry. Trial projects are being realized at an increasing rate around the world to test the viability of the technology.

One of the key aspects of 3DCP is to design and control the materials to be printed. These guidelines will go through the steps of developing and designing cement-based materials for 3DCP as well as how to characterize these. The intension is, that it will be a useful tool for everyone involved in 3DCP – both from a scientific point of view at universities and technical schools, and from an implementation-oriented approach at relevant companies e.g., architectural firms, consulting engineers, contractors, and producers.

Developing concrete mix-designs in general is a complex task. This requires a deeper understanding of concrete technology and the basic knowledge and experience from working with

the material. Thus, these guidelines cannot stand alone as a guide to develop mix-designs for 3DCP. The focus is to give an understanding of how concrete for 3DCP differentiates from conventional concrete.

These guidelines are a deliverable from the research and development project N3XTCON. The objective of N3XTCON is to develop the future technology of 3DCP, so that 3DCP can make its way onto construction sites as a reliable and productivity increasing technology compared to the technologies of today. This will allow the production of future concrete structures to be both free formed and resource efficient.

CHARACTERISTICS OF 3DCP

3D Concrete Printing (3DCP) differs significantly from the traditional methods of casting concrete in formwork. In many ways, 3DCP is better compared to masonry where a structure is built up layer-by-layer in a combination of bricks and mortar. In 3DCP, however, the bricks are left out and the structure is built up by the mortar alone.

3DCP is suitable both for on-site printing and off-site printing (printed elements) – or a combination where elements are printed locally on the construction site and lifted into place after hardening.

There are several methods within 3DCP. However, most developed methods will typically be variations of 2 overall approaches:

■ Extrusion-based 3DCP. This is the most commonly used method, where concrete is extruded through a nozzle mounted on a robot or automated gantry crane. The concrete is extruded layer-by-layer.

■ Particle-bed 3DCP. In this method, a material, typically sand, is laid out in layers in large areas. Between each layer, a printer pours a binder where the material is supposed to harden. Subsequently, all the loose material is removed, and the finished structure remains.

These guidelines focus on the extrusion-based method. Despite several successful experiments using the “particle-bed” method, the extrusion-based method has over time become all-dominant both within research and development as well as the initial commercial initiatives.

The properties of concrete for 3DCP must meet several requirements in the fresh state and very early stage. These requirements indicate that working with materials for 3DCP only gives a narrow space for success. This is what differentiates concrete for 3DCP from conventional concrete the most. In the following, the most common requirements are reviewed in the following.

PUMPABILITY

Concrete for 3DCP needs to be pumpable. This requires, among other things, a suitably low viscosity, so that a homogeneous flow of the concrete is ensured. The viscosity is controlled via the composition of the mix-design, mainly additives and packing of the aggregates. There are several pump systems on the market suitable for 3DCP. Most of them cannot handle larger aggregates which sets a limitation to the maximum aggregate size.

EXTRUDABILITY

After extrusion, the concrete must maintain the shape dictated by the nozzle. This ensures precision of the printed layers where the layer height is especially important. Therefore, the concrete is typically designed with a high yield stress.

BUILDABILITY

As several layers are printed on top of each other, the weight applied on the underlying layers increases accordingly. This requires that the rate at which the concrete develops strength matches the rate at which the weight of the overlying layer increases. In the case of longer intervals between each layer, a normal concrete strength development may be sufficient. In many cases, however, there will be a need to accelerate the concrete’s strength development.

BONDING

If the printed structure is considered to be homogeneous, there must be good intermixing between the printed layers. The challenge applies particularly to prints with long intervals between print layers. In these cases, the exposed layers need to be protected against drying out – especially in conditions with low humidity and wind. This corresponds to the avoidance of cold castings in conventional concrete casting. Drying out is not only a challenge in relation to bonding. As 3D printed structures do not have formwork to protect against drying out – and that the printing process will typically last longer than a traditional casting – there is an increased risk of drying out on all exposed surfaces. There are several solutions to minimize the problem, for example by dynamically curing the exposed concrete surfaces during the printing process, adding additives to reduce evaporation, applying binder between the layers and covering the construction site in case of printing on the construction site.

Concrete for 3DCP needs to fulfill the requirements for 1) pumpability, 2) extrudability, 3) buildability and 4) bonding between printed layers.

MIX DESIGN FOR 3DCP

Developing a mix-design for 3D Concrete Printing (3DCP) is typically more complex compared to mix-design for traditional castings using formwork. A special condition is that the material’s properties must develop within a limited time interval - in some cases within a few minutes.

In general, the composition of a concrete must meet the requirements set for the given project. Here, requirements are typically made for compressive strength class, exposure class, consistency and largest aggregate size - as well as meeting the concrete standard EN 206 + DS/ EN 206 DK NA [1], which has been put into effect through the Danish building regulations. At the time for the finalization of these guidelines there are no standards specifically dealing with 3DCP.

A common feature of the constructions printed so far is that the vast majority are printed with prefabricated dry mortars (with aggregates of up to 4.0 mm particle size) as the primary

raw material. Although these dry mortars have evolved over time towards a lower cement content, costs and CO2 emissions are still high compared to traditional concrete.

In the following a list of parameters relevant to the composition of concrete for 3DCP is reviewed. As mentioned in the introduction, this is not a complete guide to develop concrete mixdesigns for 3DCP. The guidelines focus on aspect that differentiates from conventional concrete. Further, there is a specific focus on reducing the amount of cement in the mix-designs and thus lowering both cost and CO2-footprint.

AGGREGATE COMPOSITION

A key aspect of developing a mix-design for 3DCP that meets typical requirements – among these reducing the CO2-footprint – is to optimize the aggregate composition. This includes choice of aggregate type; geometry, size, grain size distribution etc. To optimize the packing of the aggregates in the final mix-design a packing

simulation calculation can be performed, e.g. using a utility program such as 4C-Packing (from the Danish Technological Institute). 4C-Packing combines three aggregate fractions and provides a triangular diagram of the packing degree as a function of the volume percentage of each aggregate.

Most pump systems suitable for 3D concrete printing are not designed to handle aggregates larger than 8-10 mm. For this reason, the maximum grain size in the developed concrete often must be reduced. Both size, quantity and shape of aggregates can lead to blockage of the pump system. The rule of thumb suggests less, smaller and rounded aggregates to ensure good pumpability and to create less friction in the hose and wear of the pump.

A way of lowering the CO2-footprint of the final mix compared to the well-known printable mortars is to scale up the materials, since the material amount and type are pointed as critical factors on the environmental impact to produce an element such as a wall using 3DCP technology [2]. Hence, the aim should be towards 3DCP mixes which incorporate fractions of large aggregates, while enabling the development of less complex yet more robust

3DCP mixes produced with locally available materials.

The use of concrete with large aggregates in 3DCP is a rational solution not only from a sustainability stance but also from a cost perspective, since large aggregates are the cheapest (in cost and CO2 emissions) components in concrete. Specifically, the CO2 emission of large aggregates corresponds to about 1/100 to 1/150 of that from typical Ordinary Portland Cement (OPC), e.g. CEM I [3]. In addition, the material used in the printing process has a competitive cost against conventional concrete, e.g. concrete produced locally in a ready-mixed concrete (RMC) plant. This aspect is paramount to enable a widespread use of 3DCP.

Left: Print with mortar (max. particle size 1mm. Right: Concrete print (max. particle size 8 mm.

BINDER COMPOSITION

The exposure and strength class are typically given based on the specifications for concrete, which sets requirements for the type of cement, mineral additives and maximum water/cement ratio. The binder composition plays a key role in the overall concrete carbon footprint (mainly due to its clinker content); after all, Ordinary Portland Cement (OPC) may carry a high value of CO2 emission per ton of concrete [3]. Hence, the aim is to reduce the amount of OPC in the final mix. This can be achieved in several ways. The use of blended cements – e.g. FUTURECEM® from Aalborg Portland – can reduce the CO2-footprint significantly. Further, complementing the binder composition with supplementary cementitious material (SCMs) can result in further reductions. Among the SCMs are fly ash, calcined clay, slag, limestone etc.

ADDITIVES

Concrete for 3DCP needs to be pumpable. This requires, among other things, a suitably low viscosity, so that a homogeneous flow of the concrete is ensured. After extrusion, the concrete must maintain the shape dictated by the nozzle. This ensures precision of the printed layers where the layer height is especially important. Therefore, the concrete is typically designed with a high yield stress. The rheology is typically controlled with additives e.g. superplasticizers and viscosity-modifying agents (VMA). If larger batches are used in the printing process, a retarder will typically be added to the concrete, which can ensure that the concrete maintains its pumpable consistency for a longer time until the material needs to be extruded.

In some printing systems, additives are added to the print nozzle to adjust the consistency. This can be applied together with an accelerator to ensure a faster hardening - see chapter about Structural Built-Up.

N3XTCON MIX DESIGN APPROACH

The basic premise of the N3XTCON concrete mix design strategy is to develop a pumpable and extrudable concrete by benchmarking on existing mix design protocols, e.g. [4], as well as using pragmatic concrete testing methods that are easy to deploy on-site. The description of the N3XTCON mix design approach is partly based on [5]. The proposed N3XTCON mix design approach focuses on three aspects:

1. Carbon footprint. The aim is to reduce the carbon footprint of the mix as much as possible

2. Rheology control. Ensuring that the mix is pumpable and extrudable

3. Structural build up control. Ensuring that the mix is stable for stacking of several layers and can be accelerated to use for large-scale printing.

First and foremost, the reduction of the carbon footprint is kept as the backbone of the mix design; in other words, targeting the formulation of optimal 3DCP mix in terms of cement content. The parameters we consider in the design of a 3DCP mix include compressive strength, aggregate grading curve, particle packing density, aggregates’ shape, volumetric ratio of mortar, binder composition and concrete slump.

AGGREGATES

In this mix design the maximum aggregate particle size is limited to 8.0mm. For the typical concrete pumps suitable for large-scale 3DCP this number is close to the maximum particle size. Please note that the mix design parameters also must be related to extrusion setup. In this case, relevant geometrical indicators are:

1. The ratio between the maximum particle size and the minimum dimension of the extrusion nozzle

α1 = Ø max / bnozzle

(Target value: α1 < 23%)

2. The volume fraction of large aggregates, i.e. particles larger than 4mm - that being generally understood as the particle size fraction that differentiates a mortar from concrete.

α2 = Vlarge aggregates / Vconcrete (Target value α2 < 26%)

Packing analysis using the 4C-packing from Danish Technological Institute. It shows the packing of the two aggregates used in the N3XTCON mix design - 0/4 sand and 2/8 stones with the ratio of 58/42. The result is a packing of 0.775. The excess paste is computed to 0.222 m3/m3.

Main cement performance parameters and composition requirements - EN 197-1 [6].

Note that the listed target are indicative and does not present limit values. At the same time, these fractions alpha_1 and alpha_2 are also dependent on the extrusion and pumping systems used. Finally, the surface aesthetics may also play a role - mixes with large fractions of large aggregates do tend to have a rather rough surface finish.

The volume of the largest aggregate fraction should also be considered as a limiting factor. Such volume can be computed based on the particle size distribution and shape – these depend on which aggregates are available locally. The particle size distribution is one of the key parameters to achieve the required consistency in the mix. Specifically, the packing of the materials in the mix determines the amount of excess paste. Better packing of the aggregates means higher amount of excess paste and thus an improved consistency.

For the development of a N3XTCON concrete mix-design the following aggregates were chosen: Sand 0-4 and stones 2/8 (rounded to improve pumpability properties). A packing density analysis for the two aggregate types was performed using the 4C-Packing tool from the Danish Technological Institute. Based on this analysis the volume of excess paste can be

computed. In this case the volume was 0.222 m3/m3. This number can be considered as a good starting point for the development of new mixes - but does not set the limiting values.

BINDER SYSTEM

The binder composition plays a key role in the overall concrete carbon footprint (mainly due to its clinker content). Hence, similarly to what is already used in conventional concrete technology, the N3XTCON mix design make use of both blended cements – in this case FUTURECEM® – and further complement the binder composition with supplementary cementitious material (SCMs).

The table above summarises the main performance parameters and composition requirements from EN 197-1 [6] regarding the used cement types in the N3XTCON development - see next section describing a specific case study in the project.

A CASE STUDY ON CO2 FOOTPRINT

During the N3XTCON project a number of mixdesigns have been developed. The mix designs evolved from mortars with small aggregate sizes and high content of cement paste toward concrete mix designs with larger aggregates and lower content of cement paste. In this case study

The main idea in this study is to highlight the benefits of both upscaling from mortars to concrete and making use of blended cement in 3DCP mixes. The maximum particle size in all tested mortars is 0.5mm, while the concrete mixes also contain aggregates up to 8.0mm. In each environmental analysis, the CO2 emissions of the mixes are normalised against a reference mix, which is either a mortar or concrete.

In our study, 3DCP concrete mixes with strength classes of C25 and C45 produced with FUTURECEM® and RAPID AALBORG CEMENT are compared to:

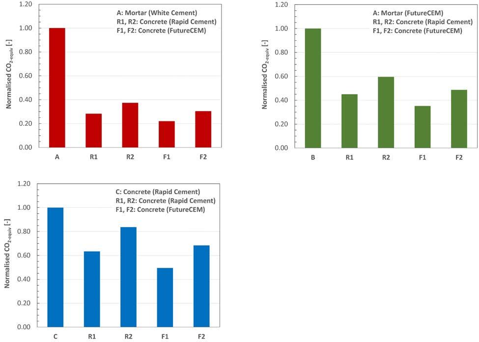
Normalised CO2 emission of 3DCP mortars and concrete. The reference value stems from a) our typical 3DCP mortar composition (CEM I 52,5 R SR5: 517kg/m3), b) a 3DCP mortar composition produced with FUTURECEM® (CEM II/B-M(QLL) 52.5 N: 508kg/m3), and c) a 3DCP concrete mixture using RAPID Cement (CEM I 52.5 N (MS) (LA): 360kg/m3) and 0 - 8mm aggregates.

■ Case 1) a 3DCP mortar mix produced with White Cement;

■ Case 2) a 3DCP mortar mix produced with FUTURECEM®;

■ Case 3) a 3DCP concrete mix produced with Rapid Cement; and

■ Case 4) a complementary analysis comparing 3DCP to RMC mixes.

Note that the equipment used for pumping and extruding mortars and concrete is not the same. Specifically, for mortar prints a Ø20mm nozzle and a progressive cavity pump with flow rate up to 100 dm3/h capable of pumping materials with particles size up to 2.0mm is used; whereas for concrete prints a large progressive cavity pump with flow rate up to 2400 dm3/h capable of pumping materials with particle size up to 10.0mm is used. Both setups are part of the High-Tech Concrete Lab at The Danish Technological Institute, which uses a 6-axis industrial robot (Fanuc R-2000iC/165F) as a 3D concrete printer.

The OPC content (in kg/m3) and type in each mix are listed in the caption of the figure above. The strength class of R1 and F1 is C25, whereas R2 and F2 is C45. Note that although additives and admixtures have a significant CO2 emission, e.g. superplasticizer is about 1.7 kg CO2-eq kg/ kg – which is about twice the emission from most cements [3], their amount in the total concrete composition is rather low (0.1 to 5% bwoc.); therefore, their individual contributions can be safely neglected. Therefore, the CO2 analysis does not account for the emissions from any of the components used to control rheology and structural build-up, namely plasticizers and accelerators.

In Case 1, the results indicate that a material upscaling from mortar to concrete contributes to a CO2 reduction ranging from 63% to 78%, where the concrete mixes produced with FUTURECEM® feature a greater reduction. The upscaling effect on reducing the overall CO2 emission of the mixes is further supported by the replacement of the binder system, i.e. from White Cement to FUTURECEM®, which alone yields approx. 30% reduction in CO2 emissions.

Next, in Case 2, the material upscaling features the same trend, with an overall CO2 reduction ranging from 40 to 65% against the reference mix. The reduction is less dramatic than the one observed in Case 1 because the reference mortar in Case 2 (Mortar B) is produced with FUTURECEM®. Note that, the strength class of Mortar A and B (C55) is greater than the concrete mixes R and F. Nonetheless, it is most

RMC-Green based on Rapid Cement

RMC-Green based on FUTURECEM®

likely that a 3DCP mortar composition with similar strength class to that of R and F would still feature a greater CO2 emission given its inherently greater binder content.

Finally, in Case 3, the adjustments in the mix and binder composition enabled a CO2 reduction around 16 to 51% against the reference mix, which is a typical 3DCP concrete composition used as internal reference for lab trials. If we compare the mixes with the same strength class, i.e. R1 vs. F1 (C25) and R2 vs. F2 (C45), the reduction in CO2 emission equals 28.0 and 22.4%, respectively. This showcases the benefit of replacing the standard OPC (i.e. Rapid Cement: CEM I 52.5N (MS) (LA)) with a blended cement such as FUTURECEM®: CEM II/B-M(Q-LL) 52.5 N in 3DCP mixes.

For benchmarking purposes, the estimated carbon footprint of 3DCP mixes R1, R2, F1 and F2 are plotted in the figure below along with the reported CO2 emissions of concrete mixes from a local RMC company [7].

The figure below shows that the emissions from 3DCP mixes (R and F) are in the same order of magnitude of locally produced concrete for a given strength class. If we consider that the maximum particle size in the 3DCP and RMC-green mixes is not the same, i.e. 8.0mm and 32mm, respectively, it is safe to conclude that 3DCP can be made competitive from an environmental perspective against conventional concrete if the mix used in the printing process comprises large aggregates.

Comparison of CO2 emission from the N3XTCON mix-designs for 3DCP vs Ready Mixed Concrete (RMC) at different strength classes. Note: The RMC values account for conventional concrete mixes produced with aggregates up to 32mm and slump within 40120mm. The strength classes for the 3DCP mixes are based on mechanical testing on cast cylinders (not printed samples).

FRESH STATE PROPERTIES

Once a mix-design is suggested, it is time to characterize and control the fresh state properties. These properties will ensure that the mix-design candidate meets the requirements of a pumpable, extrudable, and buildable material. This process often leads to small adjustments to the mix-design and new characterization tests in an iterative loop until the final mix is ready for 3D-printing.

First step with a mix-design candidate is to carry out small scale tests with concrete batches of 7 to 10 litres to verify the concrete consistency through slump test. The target slump is between 130 to 220mm to achieve a pumpable and extrudable concrete. In case systems with a long pumping stream and / or a 3DCP setup that heavily relies on the activation of the material in the nozzle, mixes with greater slump, e.g. slump flow = 550mm, could be used. This is because the shape of the final extrude will depend on the material rheology after activation takes place. The concrete consistency is adjusted primarily by means of water-reducing admixtures, though

modifications in the binder composition (i.e. ratio between OPC and SCMs) and volumetric ratio of mortar (or volume of excess paste) also serve as means to adjust the concrete consistency –assuming that the water-to-cement ratio and aggregate content are kept constant (for a given characteristic compressive strength – fck). Based on the slump test results, the initial yield stress (τy,s) is calculated as [8]:

τ y,s = ρ ( 25.5 – Sh ) / 17.6 , where ρ is the density of the mix [kg/m3] and Sh the slump [cm].

This translates into a target initial yield stress ranging between 0.5 and 1.6kPa (for the concrete consistency of 130 to 220mm). Note that the equation above is valid for slump values ranging from 50 to 250mm. For flowable concrete mixes, a rheometer can be used – e.g. the 4C Rheometer from the Danish Technological Institute - as a pragmatic test to measure the mixes’ plastic viscosity and yield stress.

The methodology previously described serves as a pragmatic approach to design mixes for 3DCP using locally available materials and access their fresh state properties before proceeding with large-scale tests. After a base mix design has been determined and proved pumpable and extrudable, two complementary aspects are considered: rheology and structural build up control, since these are key elements to enable largescale 3DCP [9,10]. The control of both rheology and structural build up is achieved by means of additives and admixtures.

The rheology control is necessary to secure that the concrete consistency loss is reduced to a minimum, enabling a long open time (i.e. operational time of a fresh mix) to handle the concrete before extrusion takes place. This can be achieved by using admixtures such as hydration retarders (e.g. sodium gluconate and tartaric

acid-based admixtures, to mention a few) and plasticizers (mainly polycarboxylate-based highrange water reducing admixtures). The dosage of such admixtures will depend on the 3DCP process parameters, admixtures type, production rate, as well as local temperature and humidity. As such, the dosage has to be adjusted in the intended 3DCP environment.

The most straightforward way to access whether a particular mix is fit for the large-scale 3DCP task at hand is to carry out slump tests over time for batches of concrete with different admixture dosages, keeping in mind that the slump should stay within 130 to 220mm over time (i.e. τy,s around 0.5 to 1.6kPa). To simulate the effect of shearing caused during mixing and pumping, which helps reduce particle flocculation, the material should be remixed right before each slump test is carried out.

STRUCTURAL BUILD-UP

As more layers are printed on top of each other, the weight of the underlying layers increases accordingly. This requires that the rate at which the concrete develops strength matches the rate at which the weight of the overlying layers increases. To enable that, the structural build-up control strategy relies on adjusting the rate of hydration of different cement components into the concrete matrix. We will refer to any activation strategy tested in the N3XTCON project (whether in the form of an admixture or an additive) as “accelerators”. The choice of “accelerator” depends on the configuration of the 3DCP setup; the most suitable “accelerators” include diluted version of commercial shotcrete accelerators and calcium aluminate cement-calcium sulphate (CAC-C$) slurries.

PENETRATION TEST

To monitor the concrete structural build up, we rely on the use of penetration tests – starting with a Ø20mm hemispherical tip and (if necessary) gradually reducing the tip size as the material stiffens. Such test enables the quantification of the concrete yield stress at fresh state at time zero (i.e. right after mixing and activation) and

over time. The equation that correlates the penetration load to yield stress (τy,p) [11] for tests carried out with a hemispherical tip reads:

τy,p = F / 3πR2 , where F is the penetration load [N] and R the radius [mm] of the hemispherical tip.

The yield stress of the mixes we tested is within 1.1 – 2.5kPa at time zero. In our tests, we simulate that the material has been extruded into a plate, where the penetration tests are carried out for a given time interval. The height of the plate is 9 to 10x the maximum aggregate size. We use this τy,p range as an indicator of whether the material is extrudable and stackable before acceleration takes place. Note that, when monitoring the evolution of yield stress (structural build up), the material is not remixed before each testing. This is because the test’s intent is to access the material stiffening over time after extrusion takes place and the material is at rest. Examples of the structural build-up from mixes activated with shotcrete accelerators and CAC-C$ slurries are shown in the figure below.

Measured structural build-up of various N3XTCON 3DCP mixes (aggregates up to 8.0mm).

ACCELERATOR, PRINT SPEED AND EXTRUSION RATE

The structural build-up is proportional to the dosage of “accelerators” added to the concrete mix. From a mix design perspective, the main point is to first determine the application where a new 3DCP mix is to be used. The target application, especially the geometrical (contour length and layer overhangs) and process parameters (print speed and concrete extrusion rate), will point towards the printing vertical build up rate; i.e. at which speed the material is stacked vertically) and the ideal characteristic time of the process. The later relates to the time interval (after extrusion) at which the material should be workable before exhibiting a stiffness rate increase.

For example, when 3DCP is applied to print a house, the vertical build-up rate is in the range of 0.3 to 0.5m/h due to the usually large contour length; whereas the production of a concrete element, e.g., a column with a relatively short contour length, requires a structural build-up of at least 2.0 to 6.0m/h. In other words, while the same base concrete mix (from a rheology control standpoint) can be suitable for both cases, it is the structural build up control that ensures that the printed element will not collapse and that there is enough open time to secure a proper bonding between printed layers.

OSCILLATORY TEST

Another method to monitor the concrete structural build up, is the use of oscillatory tests, also used to measure the rheology. We use an Anton Paar MCR 502 rheometer, and the tests were carried out in an annular vane-in-cup geometry to reduce the risk of wall slippage during measurements. The equivalent gap provided between the cup and the blade corresponds to ~7 × the diameter of the maximum aggregate particle size. This test, like the penetration test, also enables the quantification of the concrete yield stress at fresh state at time zero (i.e. right after mixing and activation) and over time. As for the penetration test, this test also intent is to access

the material stiffening over time after extrusion takes place and the material is therefore mixed and left at rest until testing.

The figure below displays examples of the shear stresses (τ, Pa) vs. shear strains (γ, %) measured at t = 0 min and t = 87 min, where the peak of the curves is identified as the yield stress of the material at the different times.

Measured structural build-up of N3XTCON 3DCP mix at t=0 and t=87min

PRINTED SAMPLES

After a completed printing process, it is important to evaluate whether the mechanical properties of the printed material meet the structural requirements. In particular, the material’s compressive strength, bending tensile strength and E-modulus are important parameters for the constructive design. Due to the inherent layering of the printed structure, 3D printed structures are expected to have anisotropic behavior, i.e., the mechanical properties are not the same in all directions.

Concrete is normally assumed to be an isotropic material that behaves the same regardless of the loading direction, but this is not the case with 3D concrete printing. The difference varies in magnitude and depends largely on the printing process, in particular the interval between layers and the drying rate.

Therefore, material tests with a 3D printed structure are typically performed in three directions on samples taken from a printed structure - illustrated on the picture on the next page.

A particularly critical scenario is when printing is conducted on site with long intervals between each layer. In this case there will be a risk of poor adhesion between the printed layers. Available data shows that an interval of about 15 minutes between printed layers is a critical limit, but this is dependent on several factors such as concrete composition, printing strategy and especially weather conditions (e.g., high temperatures and high winds will accelerate the drying rate and could contribute to the formation of unwanted cold joints).

The following recommended tests should not be considered as requirements, but as suggestions (and not limited to) for relevant tests which can be performed to provide the necessary documentation of the mechanical properties.

COMPRESSIVE STRENGTH AND E-MODUUS OF SOLID CYLINDERS

It is recommended to cast solid cylinders during

3D printing of structural elements to determine the compressive strength and e-modulus of the concrete.

Solid cylinders are produced by extruding concrete directly from the nozzle of the printer into a cylindric mould, filling the mould half, compacting with a rod, filling the mould to the top, compacting with a rod, and closing with a lid. After 24h in the cylindric mould, the sample can be demoulded and put in a water bath until testing at e.g., 7, 28, or 90 days of curing.

MOCK-UP SECTION

It is recommended that at least one mock-up is printed either before printing of the concrete structure or during the actual construction of a concrete structure. Samples can then be cut from the mock-up for further analysis. Recommended, but not limited to, testes are listed below.

BENDING TENSILE STRENGTH OF 3D PRINTED SAMPLES

Testing the bending tensile strength can be conducted according to DS/EN 12390-5, where small concrete beams with a square cross-section are subjected to two-point bending. As 3D printed concrete is considered an anisotropy material, testing the bending tensile strength should be performed on beams cut from at 3D printed structure in all three layer orientations. During testing the load is recorded until failure where the beam breaks in two parts. The sensile failure will occur in a cross-section located between the two loads. Depending on the dimensions of the test beam, the maximum tensile stress that theoretically occurs at the lower side of the beam can be calculated. This is referred to as the flexural tensile strength fct,fl.

TENSILE STRENGTH OF JOINTS BETWEEN LAYERS IN A 3D PRINTED STRUCTURE

In some cases, it might be beneficial to know the tensile strength of 3D printed specimens to evaluate the bonding between the layers. This is especially useful if the use of a bonding agent

Mechanical flexural tensile testing of 3D printed concrete specimens. This type of test is typically performed in 3 different directions to quantify the influence of the layered structure and printing direction. The specimen is subjected to three-point bending and the ultimate load is recorded and converted into a tensile strength.

between the layers are considered.

Specimens (e.g. 100x100mm) cut from the mock-up section are subjected to a tensile load until failure. If the goal is to assess the anisotropy that is inherited from the layered nature of a 3D printed structure, specimens can be tested both perpendicular and parallel to the direction of the layers.

COMPRESSIVE STRENGTH OF CUBES CUT FROM 3D PRINTED SAMPLES

To assess the actual compressive strength of the 3D printed structure, cubes (e.g., 40x40x40mm depending on the thickness of the mock-up) can be cut from the mock-up section. The cubes can then be subjected to a compressive load, e.g., according to DS/EN 196-1 with a load rate of 2,4kN/s until failure.

Experience has shown that cubes cut from a mock-up sample obtains ~95% of the average strength of solid cylinders casted with the same mix tested at 28 days of curing.

MACRO ANALYSIS

A macro analysis conducted on cut-outs from the mock-up structure is highly recommended. This analysis can be used to assess overall defects and valuable insights to e.g.:

■ Amount of larger air inclusion, which are assessed to have a negative impact.

■ The quality of joints

■ Compaction

■ Differences in the print depending on

time, location in the structure etc. This might require more than one cut-out.

If the structure contains reinforcement a more elaborate assessment is recommended including e.g.:

■ The general embedment of the rebars, which could have an impact on the anchoring of the rebars and further the protection of the rebars against carbonation and water penetration.

■ The cover layer thickness.

■ Large air inclusions and casting defects continuous along the rebars.

PORE STRUCTURE ANALYSIS

A pore structure analysis is relevant due to the fact that the pore structure of cementitious materials is directly related to their macro properties, thus changes in the pore structure as a result of e.g., the printing process can significantly impact the macro properties of a 3D printed structure. The pore structure can be examined on cut samples from a 3D printed structure by e.g. X-ray micro-computed tomography and Mercury Intrusion Porosimetry.

In general, 3D printed mortar and concrete have a higher porosity compared to traditionally cast mortar and concretes as well as having a coarser pore structure. When exposed to external forces, larger pores are more prone to stress concentration, resulting in a decreased compressive strength between 10-50% lower than that in cast samples.

LITTERATURE

[1] DS/EN 206 DK NA:2020 Concrete – Specification, performance, production, and conformity –Rules for application of EN 206 in Denmark, 2020.

[2] I. Agustí-Juan, F. Müller, N. Hack, T. Wangler, G. Habert. Potential benefits of digital fabrication for complex structures: Environmental assessment of a robotically fabricated concrete wall. J. Clean. Prod., 154 (2017), pp. 330-340

[3] The ICE Database Embodied Carbon Footprint Database - Circular Ecology. Link: https://circu larecology.com/embodied-carbon-footprint-database.html

[4] Danish Technological Institute. Guidelines for mix design of Self-compacting concrete, 2008. Link: https://www.dti.dk/guidelines-for-mix-design-of-scc-and-execution-of-scc/descrip tion/23767

[5] W.R. Leal da Silva, M. Kaasgaard, T.J. Andersen. Sustainable 3D Concrete Printing with Large Aggregates. DC 2022: Third RILEM International Conference on Concrete and Digital Fabrication pp 71–77

[6] EN 197-1:2012 - Cement - Part 1: Composition, specifications and conformity criteria for com mon cements, 2012

[7] Unicon / Cementir Holding: Link: https://www.unicon.dk/media/1660/prisliste-2021-web.pdf

[8] N. Roussel. Correlation between yield stress and slump: Comparison between numerical simula tions and concrete rheometers results. Materials and Structures 39(4):501.

[9] G. De Schutter, K. Lesage, V. Mechtcherine, V.N. Nerella, G. Habert, I. Agusti-Juan. Vision of 3D printing with concrete – Technical, economic and environmental potentials. Cement and Con crete Research, 112 (S.I.): 25-36, 2018.

[10] R. Buswell, W.R. Leal da Silva, S.Z. Jones, J. Dirrenberger. 3D printing using concrete extrusion: A roadmap for research. Cement and Concrete Research, 112 (S.I.): 37-49, 2018

[11] D. Lootens, P. Jousset, L. Martinie, N.Roussel, R.J. Flatt. Yield stress during setting of cement pastes from penetration tests. Cement and Concrete Research 39(5):401-408, 2009.

Turn static files into dynamic content formats.

Create a flipbook
Issuu converts static files into: digital portfolios, online yearbooks, online catalogs, digital photo albums and more. Sign up and create your flipbook.
N3XTCON Guidelines on mix-design and characterisation by Teknologisk Institut - Issuu