OP 8680 LIBRO INICIACIÓN A LA LOGICA INTERIORES REDIMENSIÓN A 21X27

Page 1


À mes trois coeurs, Alan, Sofía et Diego

1. Las proposiciones categóricas

1.1. Las proposiciones de la lógica tradicional

1.2. Interpretación tradicional de las proposiciones categóricas 15

1.3. Cantidad, cualidad y distribución

1.4. Inferencia inmediata: teoría de la oposición

1.5. Inferencia inmediata: teoría de la conversión

1.6. Interpretación moderna de las proposiciones categóricas

1.7. Lenguaje conjuntista y diagramas para las proposiciones categóricas . 31

1.8. Ejercicios

2. Los silogismos categóricos 39

2.1. Las partes de un silogismo categórico

2.2. Los silogismos categóricos válidos .

2.3. Reducción a modos perfectos

2.4. Refutación de silogismos mediante argumentos análogos

2.5. Verificación de propiedades del silogismo válido

2.6. Deducción de teoremas

2.7. Ejercicios

3. Los silogismos en el discurso ordinario

3.1.

3.3.

3.4. Silogismos disyuntivos

3.5.

3.6. Silogismos cornudos o

3.7.

4. El desarrollo de diagramas en la lógica formal

4.1. Tipos de diagramas en lógica

4.2. Diagramas heurísticos en la Antigüedad y el Medioevo

4.3. Diagramas inferenciales en la Edad moderna .

4.4. Sistemas diagramáticos para la lógica moderna de relaciones

4.5. Diagramas inferenciales recientes

4.6. Ejercicios

5. Diagramas lineales de Leibniz

5.1. Lenguaje diagramático

5.2. Superposición y contención

5.3. Prueba de validez

5.4. Ejercicios

6. Diagramas de Lambert

6.1. Lenguaje diagramático

6.2. Superposición y contención

6.3. Prueba de validez

6.4. Ejercicios

7. Círculos de Euler

7.1. Lenguaje diagramático

7.2. Combinación, consistencia y contención

7.3. Prueba de validez

7.4. Ejercicios

8. Diagramas de Venn

8.1. Lenguaje diagramático

39

41

8.2. Superposición, consistencia y contención

8.3. Prueba de validez

8.4. Ejercicios

9. Diagramas de Venn-Peirce

9.1. Lenguaje diagramático

9.2. Superposición, consistencia y contención

9.3. Prueba de validez

9.4. Ejercicios

10. Diagramas literales de Carroll

10.1. Lenguaje diagramático

10.2. Superposición, consistencia y contención

10.3. Prueba de validez

10.4. Ejercicios

11. Grafos existenciales de Peirce. Sistema alfa

11.1. Lenguaje diagramático

11.2. Consistencia e implicación

11.3. Prueba

11.4. Ejercicios

12. Grafos existenciales de Peirce. Sistema beta

Lenguaje diagramático

13. Diagramas de Smyth

14. Diagramas de Englebretsen

15. Diagramas

16. Diagramas de patrones de categorías

16.1. Lenguaje diagramático

16.2. Composición y validez

16.3. Prueba de

Ejercicios

17. Diagramas

17.2. Los dos principios generales de validez silogística

17.3. Prueba de validez

Ejercicios

18.1. Lenguaje diagramático

18.2. Inferencias inmediatas

18.3. Prueba de validez

Ejercicios

19. Conjuntos y diagramas

19.1. ¿Qué es un conjunto?

19.2. Operaciones con conjuntos 359

19.3. Demostraciones de teoremas conjuntistas . . . .

19.4. Designaciones conjuntistas de regiones de diagramas . . . . . . . 365

19.5. Formalización conjuntista de enunciados

19.6. Diagramas lineales para conjuntos . .

19.7. Ejercicios .

Introducción

Los estudios lógicos actuales se han diversificado en áreas disciplinares que no cesan de avanzar ni en la elaboración de teorías, ni en el número de sus ámbitos de aplicabilidad práctica. Para introducirse en tales estudios, la lógica tradicional subsiste como una de las mejores opciones al respecto. Esta fue tratada como el canon de la lógica por más de dos milenios y consistía en una combinación de ideas inspiradas en la lógica aristotélica, la lógica megárico-estoica y varias nociones añadidas principalmente en el Medioevo donde además la adaptaron e invistieron con una sistematización notablemente didáctica. Su estudio es fundamental en áreas de humanidades porque ayuda a la comprensión de diversos textos del pensamiento occidental antiguo, medieval y moderno y porque aporta elementos clave a las teorías actuales de la argumentación. La teoría tradicional del silogismo ofrece, además, una base deductiva aprovechable en diversos sistemas lógicos diagramáticos contemporáneos como los que se revisarán en este manual.

Una parte importante de la lógica tradicional es de carácter formal, por estudiar la forma lógica de ciertas proposiciones y de ciertos argumentos, particularmente silogismos. Dicha forma permite establecer propiedades inferenciales generales. Se expresa comúnmente en el lenguaje ordinario junto a variables metalingüísticas y con ella se llevan a cabo deducciones en forma de enunciados lingüísticos, por lo que esta lógica corresponde a aquellas que llamamos secuenciales y oracionales, en oposición a las diagramáticas

Ahora es cada vez más claro que la lógica formal ha limitado sus capacidades en al menos dos sentidos: por un lado, ha modelado el razonamiento oracional o secuencial sin reparar en las modalidades variadas de representación de la información de inferencias que utilizan los seres humanos y, por otro, no ha aprovechado suficientemente el potencial de los propios lenguajes formales artificiales de utilizar representaciones no oracionales. Hasta hace algunos años la lógica formal se había enfocado casi exclusivamente en el estudio de sistemas oracionales o secuenciales, llamados a veces con menos fortuna “simbólicos” o “lingüísticos”. Así pasaba tanto en lógica tradicional como en lógica matemática moderna, debido principalmente a la influencia del enfoque logocentrista subyacente a la teoría de la prueba. La cuestión sobre si puede un dibujo o un diagrama ser parte constituyente de una demostración, o sobre si un diagrama mismo puede ser una prueba bona fide recibía en general respuestas negativas.

Como primera aproximación, los diagramas pueden verse como dibujos o imágenes gráficas que representan las relaciones y/o las funciones de objetos determinados. El diagrama de un circuito electrónico, el mapa topográfico de una región o los grafos existenciales de Peirce son ejemplos de diagramas para usos difere ntes. Los diagramas lógicos, en especial, son aquellos que permiten llevar a cabo inferencias de modo autónomo. Los más comunes, como veremos, se valen de líneas, de figuras planas o de tablas.

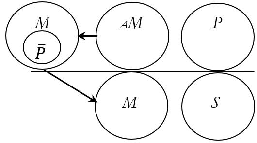
Hoy sabemos que la expresión de una forma lógica puede efectuarse de más de un modo de representación de la información, y tanto los lenguajes formales como los sistemas lógicos pueden ser diagramáticos. Un sistema lógico diagramático puede tener claras ventajas cognitivas y computacionales frente a un sistema lógico secuencial. Considérese, por ejemplo, un silogismo barbara de cuyas premisas “Todo M es P” y “Todo S es M” se deriva la conclusión “Todo S es P”. Compárese su prueba secuencial mediante reglas básicas de un cálculo estándar de deducción natural con la prueba diagramática del mismo silogismo en el sistema de círculos de Euler:

La ventaja más obvia de la prueba diagramática es su mayor naturalidad. Mientras la prueba secuencial parece expresar ideas cuya comprensión exige cierto nivel de entrenamiento específico, la prueba diagramática muestra de modo más inmediato a la percepción visual de diversos observadores las relaciones de inclusión contenidas en el silogismo (por ejemplo, que la clase S está incluida en la clase M, o que la clase M está incluida en la clase P).

Otra propiedad diagramática relevante es el free-ride (más o menos traducible al español como “viaje gratis”), que se refiere en el inglés ordinario a la obtención de beneficios sin contar con los debidos merecimientos; en el contexto de la lógica diagramática, la expresión free-ride alude a la capacidad de múltiples diagramas lógicos, o quizá de todos los diagramas lógicos, de llevar a cabo inferencias perceptuales inmediatas, de representar automáticamente la conclusión una vez que se han representado las premisas de un argumento deductivamente válido. En otras palabras, el diagrama de las premisas nos lleva directamente al diagrama de la conclusión sin necesidad de realizar procesos adicionales. En la prueba diagramática anterior, por ejemplo, puede verse que al representar en un mismo diagrama euleriano las premisas del silogismo barbara “Todo M es P” (el círculo de M dentro del círculo de P ) y “Todo S es M” (el círculo de S dentro del círculo de M) se observa también la representación de su conclusión “Todo S es P” (el círculo de S dentro del círculo de P). Así como decimos que un argumento deductivo es válido cuando todo modelo de las premisas es también modelo de la conclusión, también podemos decirlo cuando todo diagrama de las premisas es asimismo diagrama de la conclusión.

Los manuales habituales de lógica suelen circunscribirse a formalismos secuenciales altamente homogéneos eventualmente aplicables, entre otras cosas, a razonamiento oracional secuencial y reservan espacios mínimos al estudio de diagramas lógicos, principalmente a diagramas de Venn. Muestran escaso o nulo interés por el carácter heterogéneo del razonamiento natural, así como por la posibilidad de implementar otro tipo de formalismos lógicos. El presente libro pretende contribuir a superar estos límites autoimpuestos de la lógica mediante una introducción sencilla y general tanto a la lógica tradicional secuencial como a sistemas lógicos de diagramas visuales.

Diversos textos de lógica tradicional suelen tratar aspectos de psicología racional, de teoría del conocimiento y reflexiones generales sobre metodología de las ciencias que no se incluyen aquí por ser considerados hoy en día como temas extralógicos. En la primera parte de este manual se introduce la lógica tradicional, donde a los típicos ejemplos artificiales de proposiciones y argumentos se suman en los ejercicios de cada capítulo ejemplos reales tomados de corpus escritos. En la segunda parte se da primero un repaso histórico al desarrollo de diagramas en la lógica formal y se estudian después catorce sistemas diagramáticos, ocho clásicos y seis contemporáneos, que constituyen hoy en día

objetos de indagación. Algunos de los últimos se encuentran aún en fase de desarrollo, por lo que es dable esperar modificaciones futuras de ellos. De cada sistema diagramático se aporta una nota introductoria, se describe su lenguaje diagramático y se ofrecen explicaciones sencillas e informales sobre sus transformaciones sintácticas, su semántica y sus aplicaciones a la verificación de la validez de argumentos deductivos. En la tercera parte se proporciona una breve revisión a la teoría estándar de conjun tos porque esta aporta piezas fundamentales para la comprensión de la semántica de los sistemas diagramáticos.

Con mucha probabilidad algunos sistemas de diagramas lógicos result arán de poco interés para ciertos sectores de la academia, pero de utilidad para otros. Lógicos, matemáticos, lingüistas, ingenieros, psicólogos, pedagogos, filósofos, epistemólogos, neurocientíficos e informáticos (principalmente los dedicados a la representación del conocimiento, el diseño de sistemas, la programación visual o el diseño de interfaces gráficas de usuario) podrán beneficiarse sin duda del estudio de algunos de estos sistemas.

Solo resta expresar mi gratitud a Jesús Montes, Benjamín Rivera, Eusebio Hernández, Rodrigo Alcántara y Rafael Rivadeneyra del Instituto de Filosofía por hacer posible la realización de este libro. Varios académicos conocedores de lógica y de argumentación tuvieron la gentileza de leer este texto, o partes de él, y aportaron valiosas sugerencias. Por ello, agradezco a Ilsse Torres, Eneyda Súñer, Alejandro Fuerte, Joaquín Galindo, Jorge Grajeda y Jesús Ibarra. También quiero dar las gracias a estudiantes que revisaron y resolvieron varios de los problemas lógicos que aquí propongo; me refiero a Abril Lucía Martínez, Ángel González, Andrea Aranzazú Méndez, Diego Ramírez, Janeth Alexandra Aguilar y Natalia López. Nunca sobra decir que cualquier error que persista es de responsabilidad exclusiva del autor.

PRIMERA PARTE.

LÓGICA

FORMAL TRADICIONAL

Capítulo 1

Las proposiciones categóricas

1.1. Las proposiciones de la lógica tradicional

La teoría tradicional de la proposición estudia principalmente a las proposiciones categóricas, las disyuntivas y las hipotéticas. Se revisarán las proposiciones categóricas en el siguiente tema 1.2., las disyuntivas en 3.4. y las hipotéticas en 3.5.

Se entiende por enunciado asertivo o aseverativo a todo aquel que pueda ser verdadero o falso. Llamamos proposición al contenido de un enunciado asertivo o aseverativo. Así, los siguientes enunciados asertivos expresan la misma proposición:

Ejemplo

La lógica es una ciencia formal

Es una ciencia formal, la lógica

Logic is a formal science.

Para simplificar la exposición de temas lógicos en diversos contextos suele ser útil llamar proposiciones a los mismos enunciados asertivos. De las siguientes proposiciones, la primera es hipotética, la segunda es disyuntiva y la tercera es categórica:

Ejemplo

Si el triángulo es equilátero, entonces es equiángulo.

O existen las causas, o no existen las causas. Ningún ungulado es carnívoro.

1.2. Interpretación tradicional de las proposiciones categóricas

La lógica formal silogística es una teoría de la deducción basada en clases o categorías de individuos, y se ha interesado fundamentalmente por el estudio de argumentos cuyos enunciados expresan relaciones entre esas clases. Llamaremos proposiciones categóricas a dichos enunciados Estos suelen utilizarse en la conformación de un tipo peculiar de razonamiento deductivo al que llamaremos silogismo categórico.

Ejemplo

Alan trabaja los sábados.

Hoy no alcanzaremos a ir al bosque.

Si no estudias con dedicación, no obtendrás una nota aprobatoria. Todos los ciudadanos responsables son personas honradas.

De las proposiciones del ejemplo anterior, solo la última es categórica por expresar una relación entre la clase de los ciudadanos responsables y la clase de las personas honradas. Llamaremos clase a cualquier grupo de objetos que compartan alguna característica especificada, y términos a las expresiones que designen a clases 1 El ejemplo siguiente enlista tres términos de clase:

En algunos contextos se distinguen las nociones de clase y de conjunto. Una clase sería un tipo especial de conjunto, obtenido de la partición de un conjunto universo en clases de equivalencia o conjuntos formados por individuos que comparten alguna propie dad común. Tales conjuntos son mutuamente

Ejemplo mamíferos ciudadanos responsables animales pequeños que se alimentan de sangre

El término “mamíferos” nombra a la clase de los mamíferos, el término “ciudadanos responsables” a la clase de los ciudadanos responsables y el término “animales pequeños que se alimentan de sangre” a la clase de los animales pequeños que se alimentan de sangre.

En las proposiciones categóricas el término que aparece en el sujeto gramatical es el término sujeto, al que suele designarse con la letra S, y el que aparece en el predicado gramatical es el término predicado, al que se designa con la P. Ambos términos pueden emplear una palabra o varias, como veremos en los siguientes ejemplos donde se identifica a los términos sujeto y predicado en cada proposición.

Ejemplo

(1) Todos los ciudadanos responsables son personas honradas.

Término sujeto: ciudadanos responsables.

Término predicado: personas honradas.

(2) Todos los mosquitos son animales pequeños que se alimentan de sangre.

Término sujeto: mosquitos.

Término predicado: animales pequeños que se alimentan de sangre.

(3) Ningún ciudadano responsable que piense en los demás puede desentenderse de los asuntos políticos y económicos de su comunidad .

Término sujeto: ciudadano responsable que piense en los demás Término predicado: (persona que) puede desentenderse de los asuntos políticos y económicos de su comunidad

Entre dos clases puede ocurrir que una incluya a la otra o que la excluya. En general, hay cuatro formas de inclusión/exclusión entre dos clases:

a) Una clase está totalmente incluida en otra.

b) Una clase está totalmente excluida de otra.

c) Una clase está parcialmente incluida en otra.

d) Una clase está parcialmente excluida de otra.

Estas cuatro relaciones posibles pueden expresarse mediante las cuatro formas estándar de proposiciones categóricas, a las que es costumbre designar con las letras vocales mayúsculas A, E, I y O, comúnmente conocidas como tipo o nombre literal de las proposiciones categóricas. El siguiente cuadro ordena las cuatro proposiciones categóricas de forma estándar: excluyentes y su unión equivale al conjunto universo. En el presente contexto pueden tomarse como sinónimos los términos clase y conjunto.

Tipo Forma

La relación que expresa

A Todo S es P La clase S está totalmente incluida en la clase P

E Ningún S es P La clase S está totalmente excluida de la clase P

I Algún S es P La clase S está parcialmente incluida en la clase P

O Algún S no es P La clase S está parcialmente excluida de la clase P

Como puede verse, el esquema general de estas proposiciones incluye un cuantificador al principio (todo, ningún, algún), el término sujeto, formas del verbo "ser" o "estar" (llamado cópula) y el término predicado:

CUANTIFICADOR + Término sujeto + CÓPULA + Término predicado

Todo S es P

Ningún S es P

Algún S es P

Algún S no es P

Se ha dicho que estas proposiciones suelen formar parte de silogismos categóricos, llamados así por emplear exclusivamente proposiciones categóricas tanto en las premisas como en la conclusión. El siguiente silogismo es de este tipo:

Ejemplo

Ningún felino es herbívoro.

Algunos animales domésticos son felinos. Por tanto, algunos animales domésticos no son herbívoros.

En el silogismo anterior aparecen tres proposiciones categóricas, una tipo y otra tipo como premisas, y la conclusión, que es de tipo . El estudio de este tipo de razonamientos silogísticos permitió en el pasado la elaboración de un sistema que sería de gran importancia en la historia de la lógica.

Proposiciones universales afirmativas

La forma general

Todo S es P

señala que la clase de los está totalmente contenida en la clase de los , es decir, cada elemento de la clase es también elemento de la clase . Este tipo de proposiciones se designan con la letra y se dice que son universales afirmativas Son afirmativas porque afirman la relación de inclusión entre las clases ; y universales porque dicha inclusión es total. Es costumbre interpretar las formas "Todo S es P" y "Todos los S son P como equivalentes.

Proposiciones universales negativas

La forma general

Ningún S es P

indica que la clase de los S está totalmente excluida de la clase de los P, es decir, cada elemento de la clase S queda fuera de la clase P, lo cual puede expresarse de modo equivalente como “Todos los S no son P”. Este tipo de proposiciones se designan con la letra E y se dice que son universales negativas. Son negativas porque niegan que la clase S esté contenida en la clase P, y universales porque su negación es total o exhaustiva, pues las dos clases se excluyen por completo.

Proposiciones particulares afirmativas

La forma general

Algún S es P

asevera que hay algo común a S y a P, es decir, hay uno o más de un elemento que pertenece tanto a la clase S como a la clase P. Este tipo de proposiciones se designan con la letra I y se dice que son particulares afirmativas. Son afirmativas porque aseveran que algunos S son P; y son particulares porque tal aseveración es parcial, no abarca la clase entera de los S sino una parte de ella. En lugar de la forma "Algún S es P" suele escribirse también "Algunos S son P", pero en los dos casos se alude a la misma idea básica de que al menos un elemento de S lo es también de P

La interpretación literal de estas proposiciones es simplemente que algo es común a ambas clases, sin querer decir que algo no lo sea; es decir, no diremos que la proposición "Algunos S son P" implique la proposición "Algunos S no son P". Este último enunciado es una implicatura conversacional –ciertamente, una proposición tipo O – frecuentemente asociada a proposiciones como las del tipo I, pero aquí no las tomaremos como parte de lo afirmado o implicado por las proposiciones I 2

Proposiciones particulares negativas

La forma general

Algún S no es P

indica que hay algo en S que no está en P, es decir, hay uno o más de un elemento que pertenece a la clase S pero no a la clase P. Este tipo de proposiciones se designan con la letra O y se dice que son particulares negativas. Son negativas porque señalan que algunos S no están en P, están excluidos de P; y son particulares porque lo señalan de algunos S, no de la clase entera de los S sino de una parte de ella.

Aquí también se admite la interpretación literal de que al menos un elemento de S no lo es de S. Tal interpretación excluye la implicatura conversacional "Algún S es P" que puede asociarse a los enunciados tipo O.

En el discurso cotidiano bien puede ocurrir que se considere falsa la proposición “Algunos genios son creativos” porque en realidad no solo algunos, sino todos los genios serían creativos , es decir, se habría interpretado que parte de lo afirmado o implicado con “Algunos genios son creativos” sería que “No todos los genios son creativos” o equivalentemente que “Algunos genios no son creativos”. Con la interpretación mínima o literal aquí asumida podemos decir , sin embargo, que ambas proposiciones, “Algunos genios son creativos” y “Todos los genios son creativos” pueden ser verdaderas. Incluso veremos que en la teoría tradicional la proposición implicaría a la proposición , pues si “Todos los genios son creativos” es cierta, entonces es verdad que hay genios creativos, es verdad que “Algunos genios son creativos”. Afirmar que algunos seres son de tal manera no implicará haber afirmado que alguno s seres no lo sean.

1.3. Cualidad, cantidad y distribución en las proposiciones categóricas

La cualidad o calidad de las proposiciones categóricas es la propiedad que alude a su carácter afirmativo o negativo. Cuando una proposición categórica afirma una relación de inclusión se dice que su cualidad es afirmativa. Las proposiciones A e I son afirmativas y se cree que sus letras provienen del vocablo latino AffIrmo que significaría "yo afirmo". Si las proposiciones categóricas niegan la relación de inclusión entre clases, se dice que son de cualidad negativa. De este modo, las proposiciones E y O son negativas y se cree que sus letras provienen de la palabra latina nEgO, que significaría "yo niego".

La cantidad de una proposición categórica es la propiedad referente al tanto de miembros a que alude la proposición en la clase designada por el término sujeto S. Si se alude a todos los miembros de la clase de S, la proposición es universal. Así, tanto las proposiciones A, "Todos los S son P", como las E, "Ningún S es P" o equivalentemente "Todos los S no son P", son de cantidad universal. Si la proposición solo hace referencia a algunos de los miembros de la clase correspondiente a S, entonces se trata de una proposición de cantidad particular. Tanto las proposiciones tipo I como las O son particulares.

Las palabras "todo", "ningún" y "algún" con que comienzan las proposiciones categóricas suelen servir para identificar su cantidad; mientras que "todo" y "ninguno" corresponden a proposiciones universales, "algún" corresponde a proposiciones particulares.

Una tercera propiedad relevante de las proposiciones categóricas es la distribución. Se dice que una proposición distribuye un término si alude a todos los miembros de la clase correspondiente al término. De esta manera, la proposición A, "Todo S es P" distribuye al término S porque alude a todos los miembros de la clase correspondiente a S; pero no distribuye a P, pues no habla de todos los P. La proposición E, "Ningún S es P", distribuye a los dos términos, pues se refiere a todos los S, a quienes excluye de todos los P, y también excluye a todos los P de todos los S. Las proposiciones I no distribuyen a ninguno de los términos, pues solo aluden a algunos S que también son P y, recíprocamente, a algunos P que son S Las proposiciones O, por su parte, no distribuyen a S, pues solo se refieren a algunos miembros de la clase correspondiente, pero sí distribuyen a P, pues afirman que algunos S están excluidos de toda la clase P

En general, todo término estará distribuido si y solo si es sujeto de una proposición universal o predicado de una proposición negativa.

El siguiente cuadro resume las propiedades recién vistas:

A Todo S es P universal afirmativa S

E Ningún S es P universal negativa S y P

I Algún S es P particular afirmativa ninguno

O Algún S no es S particular negativa P

Es común que tanto los cuantificadores como el verbo copulativo aparezcan en plural como en “todos”, “algunos” y “son”; en nuestro caso los consideraremos equivalentes a sus expresiones en singular “todo”, “algún” y “es”.

Con frecuencia hay proposiciones que carecen del verbo "ser" o "estar" y proposiciones donde no parece tan claro uno u otro de los términos sujeto y predicado. En casos como estos suele ser posible hacer transformaciones pertinentes que permiten tratarlas como proposiciones categóricas de forma estándar. Véase el siguiente ejemplo.

Ejemplo

Proposición original: Ningún estudiante llegó tarde.

Proposición transformada : Ningún estudiante es una persona que llegó tarde.

Proposición original: Algunas estrellas resplandecen con intensidad. Proposición transformada : Algunas estrellas son objetos que resplandecen con intensidad.

Proposición original: Algunos gatos son domésticos. Proposición transformada : Algunos gatos son animales domésticos.

Más adelante veremos cómo dar forma estándar a varias proposiciones.

1.4. Inferencia inmediata: teoría de la oposición

La lógica tradicional distinguía entre una teoría de la inferencia inmediata, en la que se deduce de una sola premisa, y una teoría de la inferencia mediata, en que se hacen deducciones de más de una premisa. La teoría de la inferencia inmediata comprendí a la doctrina de la oposición y la de la conversión. La teoría de la inferencia mediata estudiaba los silogismos. Ahora revisaremos aspectos fundamentales de la doctrina de la oposición, dentro de la teoría de la inferencia inmediata

Cuando las proposiciones categóricas de forma estándar coinciden en sus términos sujeto y predicado hay entre ellas relaciones lógicas de oposición que se representan en un diagrama conocido como cuadrado de oposición. Describamos primero estas relaciones y luego veremos el cuadrado.

Proposiciones contradictorias

Dos proposiciones son contradictorias si nunca son las dos verdaderas o las dos falsas, es decir, se niegan mutuamente. Se dice que las proposiciones categóricas son contradictorias cuando difieren en cantidad (una es universal y la otra es particular) y cualidad (una es afirmativa y la otra es negativa); además, su distribución de términos es completamente opuesta. Las proposiciones tipo A y tipo O son contradictorias, así como las E y las I.

Las proposiciones contradictorias son negación lógica una de la otra. La negación lógica de la proposición A “Todos los reyes son sabios” no es la proposición E “Ningún rey es sabio”, sino su contradictoria, que es la proposición O “Algunos reyes no son sabios”. Así también, la negación lógica de la proposición I “Algunos reyes son sabios” no es la proposición O “Algunos reyes no son sabios” sino la proposición E “Ningún rey es sabio”.

Proposiciones contrarias

Dos proposiciones son contrarias si pueden ser ambas falsas, pero nunca son las dos verdaderas; es decir, la verdad de una implica la falsedad de la otra En otros contextos a las proposiciones contrarias se les denomina proposiciones incompatibles. Las proposiciones “Boca Juniors derrotará a River Plate” y “River Plate derrotará a Boca Juniors” son contrarias o incompatibles si se refieren al mismo partido porque no pueden ser las dos verdaderas; y no son contradictorias pues bien podría ocurrir que los equipos empataran el juego, con lo que las dos proposiciones serían falsas. Las dos no pueden ser verdaderas, pero sí pueden ser falsas. Se dice en la teoría lógica tradicional que dos proposiciones categóricas universales son contrarias si difieren en calidad (una es afirmativa y la otra es negativa); es decir, las tipo A y las tipo E son contrarias.

Lo dicho anteriormente de la teoría tradicional solo se aplica a proposiciones contingentes, es decir, a proposiciones que no sean necesariamente verdaderas ni necesariamente falsas. Cuando alguna de las proposiciones universales A o E es necesariamente verdadera como, digamos, "Todos los pentágonos tienen cinco lados" o "Ningún número par es número non" no podemos hablar de una relación entre proposiciones contrarias pues, como ya se dijo, dos proposiciones son contrarias cuando la verdad de una implica la falsedad de la otra y ambas pueden ser falsas, lo que no puede ocurrir con una que sea necesariamente verdadera.

Proposiciones subcontrarias

Se dice que dos proposiciones son subcontrarias si pueden ser ambas verdaderas, pero nunca son las dos falsas; es decir, la falsedad de una implica la verdad de la otra. En la lógica tradicional dos proposiciones particulares son subcontrarias cuando difie ren en cualidad, lo que ocurre con las I, como "Algunos reyes son sabios" y las O, como "Algunos reyes no son sabios", donde ambas pueden ser verdaderas pero no pueden ser falsas a la vez.

Esta caracterización de las proposiciones subcontrarias también se aplica solo a las contingentes. Si alguna de las particulares fuera necesariamente falsa, como "Algunos cuadrados son triangulares" o "Algunos números pares no son divisibles entre dos" , no podría ocurrir que las dos fueran verdaderas y por ello no serían subcontrarias.

Proposiciones subalternas

Se dice que las proposiciones categóricas que coinciden en cualidad, pero no en cantidad son correspondientes; así, las de tipo A e I son correspondientes, de igual modo que las tipo E y O. A la relación lógica entre proposiciones correspondientes se le llama subalternación. La proposición universal de cada par de correspondientes es la superalterna y la particular es la subalterna, aunque en algunos contextos se les llama a ambas subalternas.

En la teoría lógica tradicional la proposición superalterna implica a la subalterna, es decir, la A implica a la I y la E implica a la O, pero las subalternas no implican a sus superalternas. De este modo, "Todos los marsupiales son mamíferos" implica a "Algunos marsupiales son mamíferos" y "Ningún payaso es aburrido" implica a "Algunos payasos no son aburridos"; pero de "Algunos mexicanos son jaliscienses" no se sigue "Todos los mexicanos son jaliscienses" y de "Algunos mexicanos no son jaliscienses" ta mpoco se sigue "Ningún mexicano es jalisciense". En resumen, la verdad de las superalternas implica la verdad de las subalternas y la falsedad de las subalternas implica la falsedad de sus respectivas superalternas.

Cuadrado de oposición

Las cuatro relaciones o formas de oposición vistas, proposiciones contradictorias, contrarias, subcontrarias y subalternas se pueden organizar en un diagrama conocido como cuadrado de Boecio o cuadrado tradicional de oposición.

Como ya se dijo, en la teoría tradicional estas cuatro relaciones constituían una de las formas de inferencia inmediata Veamos los ejemplos siguientes, donde utilizaremos como términos de las proposiciones los vocablos "cronopio" y "fama" de la narrativa de Julio Cortázar. Los elegimos a propósito porque su significado desconocido, o al menos dudoso, nos obligará a enfocarnos en las formas lógicas de las inferencias –que es lo importante en una lógica formal– y no en su contenido material.

Ejemplo

Si tomamos la proposición "Todos los cronopios son famas" como una premisa verdadera, ¿qué puede inferirse de sus proposiciones opuestas?

La proposición "Todos los cronopios son famas" es de tipo A, por lo que s us tres opuestas son su contradictoria "Algunos cronopios no son famas", su contraria "Ningún cronopio es fama" y su subalterna "Algunos cronopios son famas". Como las contradictorias nunca son verdaderas a la vez, "Algunos cronopios no son famas" sería falsa. Las contrarias tampoco pueden ser ambas verdaderas, de ahí que "Ningún cronopio es fama" también sea falsa. Y como la verdad de la superalterna implica la verdad de la subalterna, "Algunos cronopios son famas" también es verdadera. El siguiente diagrama se basa en el cuadrado de oposición y resume estas inferencias, donde las flechas expresan cómo se parte de la proposición "Todos los cronopios son famas" para inferir de modo inmediato cada una de sus tres opuestas

Ahora veamos un ejemplo donde hay proposiciones de las que no puede inferirse ni su verdad ni su falsedad, es decir, proposiciones indeterminadas.

Ejemplo

Si tomamos la proposición " Algunos cronopios no son famas" como premisa verdadera, ¿qué puede inferirse de sus proposiciones opuestas?

La proposición "Algunos cronopios no son famas" es de tipo O, por lo que sus tres opuestas son su contradictoria "Todos los cronopios son famas", su subcontraria "Algunos cronopios son famas" y su superalterna "Ningún cronopio es fama" Como las contradictorias nunca son verdaderas a la vez, "Todos los cronopios son famas" sería falsa. Las subcontrarias no pueden ser ambas falsas, pero sí pueden ser verdaderas las dos. El hecho es que solo pueden ser verdaderas, pero no necesariamente lo son, así que no podemos inferir que "Algunos cronopios son famas" sea verdadera o que sea falsa; es una proposición que queda indeterminada No se trata de si de hecho es verdadera o falsa, sino que por mera inferencia lógica no podríamos inferir ninguna de las dos cosas

Ahora bien, como la verdad de la subalterna no implica nada de la superalterna, "Ningún cronopio es fama" también queda indeterminada. El siguiente diagrama resume estas inferencias.

Nótese en los ejemplos anteriores que las cuatro proposiciones, la premisa y las tres inferidas opuestas, forman un cuadrado donde las relaciones de oposición quedan ajustadas como una especie de rompecabezas. Cada una de las dos parejas de contradictorias, por ejemplo, deben tener distinto valor de verdad (si una es verdadera, la otra es falsa) y si una proposición es indeterminada, su contradictoria también es indeterminada.

La lista de inferencias posibles del cuadrado de oposición es ésta:

1. Si A es verdadera, E es falsa, I es verdadera y O es falsa.

2. Si E es verdadera, A es falsa, I es falsa y O es verdadera.

3. Si I es verdadera, O es indeterminada, A es indeterminada y E es falsa

4. Si O es verdadera, A es falsa, E es indeterminada e I es indeterminada.

5. Si A es falsa, E es indeterminada, I es indeterminada y O es verdadera.

6. Si E es falsa, A es indeterminada, I es verdadera y O es indeterminada

7. Si I es falsa, O es verdadera, A es falsa y E es verdadera.

8. Si O es falsa, A es verdadera, I es verdadera y E es falsa

Este cuadro resume las relaciones de oposición.

Relación de oposición

Contradictorias

Contrarias

Proposiciones relacionadas

A - O

E - I

Descripción de la relación

Siempre difieren en valor veritativo.

A - E No pueden ser las dos verdaderas, pero pueden ser ambas falsas.

Subcontrarias I - O No pueden ser las dos falsas, pero pueden ser ambas verdaderas.

Subalternas

A - I

E - O

Si la universal es verdadera, su particular correspondiente es verdadera; si la particular es falsa, su correspondiente universal es falsa.

1.5. Inferencia inmediata: teoría de la conversión

La teoría de la inferencia inmediata, como dijimos antes, cuenta también con una doctrina de la conversión que incluye la conversión propiamente dicha, la obversión y la contraposición.

Antes de ver estas inferencias revisemos el tema del complemento de una clase. Cada clase tiene un complemento de clase o clase complementaria que es el grupo de seres u objetos que no pertenecen a la clase original precisamente por no tener el atributo de los miembros de esa clase original. Así, el complemento de la clase de los mamíferos es la colección de todos los seres que tienen la propied ad de no ser mamíferos. Esos seres que no son mamíferos pueden ser sillas, mesas, átomos o estrellas; los perros, en cambio, no

podrían pertenecer a la clase de los no mamíferos porque sí son mamíferos. Y el complemento del complemento de los seres que no son mamíferos es la clase de los propios mamíferos. La clase original se designa con su término original "mamíferos", la clase complemento de la original se designa con "no mamíferos", que es el término complemento del original; y el complemento del complemento de la clase original podría designarse como los "no-no mamíferos", pero para evitar las cadenas de "no" eliminaremos las dobles negaciones, de manera que en lugar de escribir los "no no mamíferos" solo escribiremos los "mamíferos". En resumen:

mamíferos: Término original no mamíferos: Complemento del término original no no mamíferos = mamíferos: Complemento del complemento del término original

Es importante no confundir los términos complementarios con los términos contrarios. Los términos "blanco" y "negro", por ejemplo, son contrarios porque ningún objeto puede tener los dos colores de modo total y a la vez, pero sí puede haber cosas que no sean ni blancas ni negras. El término complemento de "blanco" es "no blanco", pues si fuera falso que algo es blanco, entonces no necesariamente sería verdad que es negro (podría ser café, verde, azul, incoloro, etcétera), pero si fuera falso que algo es blanco, entonces necesariamente sería verdad que no es blanco. Siempre es verdad que "si algo no es blanco, no es blanco"; pero no siempre lo es que "si algo no es blanco, es negro".

Conversión

La conversión es una inferencia inmediata consistente en intercambiar los términos sujeto y predicado. La conversión simple es válida para las proposiciones E e I. Así, la proposición "Ningún nigromante es bienintencionado" puede convertirse a "Ningún bienintencionado es nigromante", y esta segunda puede convertirse a la primera. También "Algunos paranoicos son escritores" y "Algunos escritores son paranoicos" pued en convertirse una en la otra recíprocamente. A la proposición original que funciona como premisa se le llama convertiente y a la inferida se le llama conversa

La proposición A solo admite una conversión por accidente o por limitación. El problema es que la conversa simple de una proposición A no siempre es verdadera. Así, de "Todos los jilgueros son aves" no podemos inferir "Todas las aves son jilgueros". Lo que sí podemos es inferir la subalterna de A que sería una I como "Algunos jilgueros son aves" y luego convertir esta última en "Algunas aves son jilgueros". De esta manera, la conversión por limitación de la proposición A intercambia sus términos sujeto y predicado, pero limita su cantidad de universal a particular.

La proposición tipo O no admite conversa de ningún tipo, ni simple ni por limitación. De "Algunas aves no son jilgueros" no se sigue que "Algunos jilgueros no son aves".

La conversa de una convertiente posee sus mismos términos, pero intercambiados, y siempre conserva su calidad de afirmativa o negativa. El cuadro siguiente expresa las conversiones válidas.

Convertiente

Conversa

Todo S es P Algún P es S (por limitación)

Ningún S es

Algún S es P

Algún S no es P

Ningún P es S

Algún P es S

No admite

Obversión

La obversión es una inferencia inmediata consistente en cambiar la cualidad de una proposición categórica (de afirmativa a negativa o de negativa a afirmativa) y reemplazar el término predicado por su complemento. Se llama obvertiente a la proposición original que será obvertida y obversa a la proposición deducida por obversión.

Las cuatro proposiciones categóricas pueden obvertirse. La obversa de la proposición "Todos los vecinos son respetuosos" es "Ningún vecino es no respetuoso " . Obvertir a "Ningún buen samaritano es egoísta" daría como inferencia a "Todos los buenos samaritanos son no egoístas". La obversa de "Algunos ratones son inquietos" es "Algunos ratones no son no inquietos". La obversión de "Algunos poemas no son incendiaros" produciría "Algunos poemas son no incendiarios".

Como puede verse, la obversión es una especie de negación doble de la proposición obvertiente; una primera negación vendría al cambiar la cualidad de la proposición original, y la segunda, al sustituir el término predicado por su complemento.

El cuadro que viene enseguida resume las obversiones.

Obvertiente Obversa

Todo S es P Ningún S es no P

Ningún S es P

Algún S es P

Algún S no es P

Todo S es no P

Algún S no es no P

Algún S es no P

Contraposición

La contraposición es una inferencia inmediata que consiste en sustituir de la proposición original el término sujeto por el complemento del término predicado y el término predicado por el complemento del término sujeto; es decir, cada término de la proposición original debe cambiarse por el complemento del otro término. La proposición deducida se llama contrapositiva.

Las proposiciones A y S admiten contraposición simple. De este modo, la contrapositiva de "Todos los rinocerontes son paquidermos" es "Todos los no paquidermos son no rinocerontes"; así también, la contrapositiva de "Algunos líderes sociales no son precavidos" es la expresión algo extraña y forzada, pero correcta, "Algunos no precavidos no son no líderes sociales". Las proposiciones E solo admiten contraposición por limitación o accidente, es decir, además de intercambiar cada término por el complemento del otro término, se debe cambiar la cantidad de universal a particular. Contraponer la proposición "Ningún juez es erudito" da la inferencia "Algunos no eruditos no son no jueces". Como detalle interesante señalemos que cuando las proposiciones E y O poseen el mismo término sujeto y el mismo término predicado, sus contrapositivas resultan idénticas.

La contraposición puede reducirse a dos obversiones combinadas con una conversión entre ellas. Por ejemplo, la obversa de la proposición "Todos los rinocerontes son paquidermos" es "Ningún rinoceronte es no paquidermo"; la conversa de esta obversa es "Ningún no paquidermo es rinoceronte" y la obversa de la anterior es "Todos los no paquidermos son no rinocerontes". En otros términos, la contrapositiva de una proposición original es la obversa de la conversa de su obversa, en ese orden.

La proposición I no admite en general las inferencias por contraposición. Y tampoco es posible aplicarle la cadena de inferencias obversión -conversión-obversión que equivaldría a una contraposición. Véase que si obvertimos la proposición I "Algunos cantantes son talentosos" obtenemos "Algunos cantantes no son no talentosos", que es de tipo O, la cual no admite la inferencia por conversión.

El cuadro que viene a continuación resume las contraposiciones.

Proposición original Contrapositiva

Todo S es P

Ningún S es P

Algún S es P

Algún S no es P

Todo no P es no S

Algún no P no es no S

No la admite

Algún no P no es no S

El cuadro que aparece enseguida resume las tres inferencias recién vistas, conversión, obversión y contraposición. En la primera columna se enlistan las proposiciones categóricas en su forma estándar y en cada columna derecha las formas generales de proposiciones inferidas de cada forma original. La conversa por limitación y contrapositiva por limitación, que se han resaltado en gris en el cuadro, son meras inferencias de la proposición original; esto quiere decir que si la original es verdadera, ellas son verdaderas; pero si la original fuera falsa, no se sabría si la conversa por limitación o la contrapositiva por limitación es verdadera o falsa. Las demás conversiones y contraposiciones, así como todas las obversiones, son equivalentes a la original, lo que quiere decir que tienen el mismo valor veritativo de ésta, ambas verdaderas o ambas falsas.

Proposición original Conversa Obversa Contrapositiva

Todo S es P Algún P es S (por limitación)

Ningún S es no P Todo no P es no S

Ningún S es P Ningún P es S Todo S es no P Algún no P no es no S (por limitación)

Algún S es P Algún P es S Algún S no es no P

Algún S no es P

Algún S es no P Algún no P no es no S

Dada una proposición verdadera, es posible combinar los dos tipos generales de inferencia inmediata vistos (por oposición y por conversiones) para saber si otra proposición –a la que llamaremos proposición problemática– es verdadera o falsa. En general, se pueden aplicar las operaciones de inferencia inmediata a la proposición original hasta llegar a una proposición que tenga los mismos términos sujeto y predicado de la proposición problemática. Así puede resultar inferida la misma proposición problemática u otra que se le pueda comparar en relación con el cuadrado de oposición para determinar si es su contradictoria, contraria, subcontraria o subalterna y así saber si la problemática es verdadera, falsa o indeterminada.

Ejemplo

Dada la proposición verdadera “Todos los perros son mamíferos ” , ¿qué se puede saber de la proposición “Todos los no mamíferos son perros“?

Una cadena de inferencias inmediatas

Proposición original: Todos los perros son mamíferos (verdadera).

Obversa de la anterior: Ningún perro es no mamífero (verdadera).

Conversa de la anterior: Ningún no mamífero es perro (verdadera).

Contraria de la anterior: Todos los no mamíferos son perros (falsa).

Otra cadena de inferencias inmediatas

Proposición original: Todos los perros son mamíferos (verdadera).

Contrapositiva de la anterior: Todos los no mamíferos son no perros (verdadera).

Obversa de la anterior: Ningún no mamífero es perro (verdadera).

Subalterna de la anterior: Algunos no mamíferos no son perros (verdadera).

Contradictoria de la anterior: Todos los no mamíferos son perros (falsa).

De este modo, de la proposición verdadera “Todos los perros son mamíferos ” , inferimos que “Todos los no mamíferos son perros” es falsa.

Dada una proposición original falsa, también es posible inferir si otra proposición problemática es verdadera o falsa. Aquí se puede proceder de dos modos:

1. Obtener inferencias inmediatas de la contradictoria de la proposición original falsa, y como su contradictoria sería verdadera, sus consecuencias también serían verdaderas;

2. hacer inferencias inmediatas desde la proposición problemática y, si deducimos la original, que es de hecho falsa, la proposición problemática debe ser también falsa.

El siguiente ejemplo obtiene inferencias de la contradictoria de la proposición original falsa.

Ejemplo

Si la proposición “Ningún gato es felino” es falsa, ¿qué se puede saber de la proposición “Algunos gatos no son no felinos”?

Proposición original: Ningún gato es felino (falsa).

Contradictoria de la anterior: Algunos gatos son felinos (verdadera).

Conversa de la anterior: Algunos felinos son gatos (verdadera).

Obversa de la anterior: Algunos felinos no son no gatos (verdadera).

Contrapositiva de la anterior: Algunos gatos no son no felinos (verdadera).

De la proposición falsa “Ningún gato es felino”, inferimos que “Algunos gatos no son no felinos” es verdadera.

En el ejemplo que sigue hacemos inferencias de la proposición problemática hasta llegar a la original falsa.

Ejemplo

Si la proposición “Ningún religioso es puritano” es falsa, ¿qué se puede saber de la proposición “Todos los puritanos son no religiosos”?

Proposición problemática: Todos los puritanos son no religiosos.

Contrapositiva de la anterior: Todos los religiosos son no puritanos Obversa de la anterior: Ningún religioso es puritano.

Como la proposición original “Ningún religioso es puritano” es falsa, la única forma de derivarla lógicamente de la proposición problemática “Todos los puritanos son no religiosos” es que esta última también sea falsa

1.6. Interpretación moderna de las proposiciones categóricas

El problema del contenido existencial

Cuando una proposición se utiliza para afirmar la existencia de algún tipo de objetos se dice que posee carga, contenido o importe existencial. Y muchas veces esa carga existencial determina el tipo de inferencias correctas o incorrectas que se pueden hac er. Las proposiciones categóricas tipo I y O poseen carga existencial, pues un enunciado como "Algunos jueces son parciales" asevera que existe al menos un juez que también es una persona parcial, o el enunciado "Algunos paracaidistas son suicidas" afirma que existe al menos un paracaidista que es suicida. Ambos aseveran que las clases designadas por sus términos sujeto no son vacías, es decir, poseen al menos un elemento. Ahora bien, si las proposiciones categóricas particulares son consecuencia por subalternación de sus correspondientes universales A y E, la carga existencial debería provenir de las universales, pues las proposiciones con carga existencial no pueden ser consecuencia de proposiciones sin carga existencial

La teoría tradicional, sin embargo, parece perder coherencia cuando se habla de seres inexistentes en el universo de discurso o de clases vacías. Si aceptáramos que las proposiciones universales poseen carga existencial, enunciados contradictorios como A "Todos los duendes ocultan oro" y O "Algunos duendes no ocultan oro" serían ambos falsos por hablar de seres inexistentes, así como los subcontrarios I "Algunos duendes ocultan oro" y O "Algunos duendes no ocultan oro". En pocas palabras, asumir la carga existencial de las universales da al traste con las oposiciones entre contradictorias y subcontrarias y el cuadrado tradicional de oposición parece quedar desarticulado.3

Se ha intentado "rehabilitar" el cuadrado tradicional de oposición mediante la teoría de la presuposición existencial. Un enunciado presupone a otro si se requiere que este segundo sea verdadero para que el primero pueda ser verdadero o falso. E l enunciado "Los hijos de Juan son profesionistas" presupone al enunciado "Juan tiene hijos", y s olo si este segundo es verdadero es razonable preguntar por la verdad o falsedad del primero. Así pues, si asumimos que las cuatro proposiciones categóricas en forma estándar presuponen que las clases que designan no son vacías, el cuadrado tradicional funciona

Una vía alternativa e introductoria para comprender las complicaciones del problema del importe existencial en la interpretación tradicional puede ser con esta explicación basada en intuiciones semánticas comunes del lenguaje ordinario donde en muchos contextos suele asumirse que se trata con clases no vacías Consideremos la proposición "Todos los profesores de lógica son valientes". ¿En qué caso diríamos que sería falsa? Pues cuando determináramos algún contraejemplo, un caso que incumpl iera la generalización, es decir, cuando viéramos que hay profesores de lógica que no son valientes; bastaría con encontrar un profesor de lógica que no fuera valiente para refutar la proposición universal afirmativa . Admitiríamos que la proposición "Algún profesor de lógica no es valiente" es contradictoria de la proposición "Todos los profesores de lógica son valientes".

Ahora bien, ¿y qué ocurriría si no existieran los profesores de lógica, que ser profesor de lógica fuera tan irreal como ser un unicornio, que la clase de los profesores de lógica fuera vacía? ¿Qué diríamos, por ejemplo, de la proposición "Todos los uni cornios son valientes"? ¿Diríamos que es falsa solo cuando encontráramos algún unicornio que no fuera valiente? La propensión de muchas personas sería decir que es falsa simplemente porque los unicornios no existen. No sería falsa porque pudiéramos determinar contraejemplos, porque hubiera unicornios que n o son valientes, sino porque no hay unicornios. Por la misma razón serían falsas también proposiciones como "Todos los centauros son v eloces", "Todas las amantes de Zeus son hermosas" o "Todos los hijos de Kant son alemanes", porque suponemos que no existen ni existieron los centauros, o las amantes de Zeus o los hijos de Kant. Y como no hay unicornios, también serían falsas las proposiciones "Ningún unicornio es valiente" (considérese su proposición equivalente: "Todos los unicornios no son valientes"), "Algunos unicornios son valientes" y "Algunos unicornios no son valientes". Nótese que ahora tanto la proposición como la proposición serían ambas falsas, lo que parece rechazar a la relación de contradictoriedad; y también la proposición sería falsa, lo que nos hace dudar de la relación de subcontrariedad.

perfecto con las cuatro relaciones de oposición que representa. Cualquier clase designada por algún término sería una clase no vacía. Esta idea de la presuposición existencial es acorde con la lógica tradicional aristotélica y con múltiples usos ordinarios de las lenguas naturales; sin embargo, da pie a otros problemas como los siguientes:

1. Dificulta la formulación de proposiciones que niegan la existencia de miembros como "Los duendes no existen", o al menos las vuelve ininteligibles.

2. No va de acuerdo con determinados usos del lenguaje ordinario en que no hacemos presuposición existencial como en "Todos los ladrones irán a prisión" donde más bien se esperaría que la clase de los ladrones permaneciera vacía

3. Tampoco concuerda con determinados usos del lenguaje científico, como en la formulación de la primera ley de Newton, donde se dice que "Todo cuerpo persevera en estado de reposo o de movimiento rectilíneo uniforme en ausencia de fuerzas", y en la que no se espera que exista algún cuerpo sobre el que no actúe ninguna fuerza.

Por las razones aducidas, la interpretación aristotélica de las proposiciones categóricas y los intentos por restaurar el cuadrado tradicional de oposición han sido abandonados por muchos lógicos. En su lugar se ha adoptado una interpretación "moderna", debida a George Boole, que consiste esencialmente en sostener que solo las proposiciones particulares poseen carga existencial y las proposiciones universales no. Esto conlleva las siguientes consecuencias:

1. Las proposiciones A y E ya no implican a sus correspondientes I y O porque una proposición sin carga existencial no puede implicar a otra que sí tenga carga existencial. La subalternación, entonces, ya no es válida.

2. Las proposiciones I y O pueden ser ambas falsas si la clase designada por el término sujeto es vacía, como en "Algunos duendes ocultan oro" y "Algunos duendes no ocultan oro". De este modo, la subcontrariedad también pierde validez.

3. Las proposiciones A y E pueden ser ambas verdaderas si sus términos sujeto designan alguna clase vacía como en "Todos los hobbits son pacíficos" y en "Ningún hobbit es pacífico". Según la interpretación booleana, la proposición A "Todo S es P" afirma que "si existe algo que es S, entonces ese algo también es P"; y este tipo de enunciados son falsos solo cuando existe algún S que no es P. El hecho es que si ni siquiera existe algún S, el enunciado A no puede ser falso, sería verdadero "por vacuidad"; es decir, porque no hay contraejemplo o excepción que sí sea S y no sea P. Un razonamiento similar se aplica a los enunciados E, que en la interpretación booleana afirman "si existe algo que es S, entonces ese algo no es P"; al tratar en el término sujeto con clases vacías, los E también son verdaderos vacuamente porque no habría S que fueran P. Si tanto A como E pueden ser verdaderos, la relación entre proposiciones contrarias también pierde validez. Véase además que si A y E pueden ser ambas verdaderas por la vacuidad de la clase designada por el sujeto, sus correspondientes particulares son falsas por la misma razón. Así vemos de otra forma que la subalternación (en que las universales implican a sus correspondientes particulares) no puede valer en general.

4. La única oposición que subsiste del cuadrado tradicional en esta interpretación moderna es la de las proposiciones contradictorias. Las contradictorias siempre tendrán distinto valor de verdad, incluso si se trata con clases vacías.

5. Si se desea aseverar la existencia de algo con proposiciones universales, se deben añadir las proposiciones particulares correspondientes.

6. En la interpretación moderna se preservan las inferencias inmediatas vistas de conversión, obversión y contraposición, excepto la conversión por limitación y la contraposición por limitación.

Asumimos esta interpretación moderna en lo sucesivo para el tratamiento de las proposiciones categóricas, salvo en partes de la exposición de algunos sistemas diagramáticos que también permiten establecer inferencias según la interpretación tradicional Desde esta interpretación moderna, cualquier inferencia que suponga que una clase posee miembros sin haberlo expresado explícitamente diremos que comete la llamada falacia existencial Las dos siguientes cadenas inferenciales cometen la falacia existencial.

Ejemplo

(1) a. Ningún astronauta ha viajado a planetas extrasolares .

b. Nadie que haya viajado a planetas extrasolares es astronauta.

c. Alguno que haya viajado a planetas extrasolares no es astronauta.

(2) a. Es falso que algún gnomo esté escondido en el jardín

b. Es verdad que ningún gnomo está escondido en el jardín

c. Es falso que todos los gnomos están escondidos en el jardín .

d. Es verdad que algún gnomo no está escondido en el jardín.

El error inferencial en la cadena 1 está del paso b al c donde se aplicó la subalternación. En la cadena 2 se comete la falacia existencial del paso c al d, pues la proposición del paso d asevera la existencia de algún gnomo (que no está escondido en el jardín).

El siguiente esquema resume lo más esencial de la contraposición entre las teorías tradicional y moderna sobre el problema del compromiso existencial.

Interpretación tradicional o aristotélica

Carga existencial: Las proposiciones particulares poseen carga existencial y son consecuencia de las proposiciones universales.

Consecuencias:

 Si las particulares son consecuencia de las universales, éstas también deben poseer carga existencial.

 Admite las cuatro relaciones de oposición, así como la conversión por limitación y contraposición por limitación.

 Al tratar con clases vacías, se invalidan las oposiciones entre contradictorias y subcontrarias. La teoría tradicional parece ser incoherente.

Interpretación moderna o booleana

Carga existencial: Las proposiciones particulares poseen carga existencial, pero no las proposiciones universales.

Consecuencias:

 No admite la subalternación ni la conversión por limitación ni la contraposición por limitación.

 Tampoco admite la contrariedad ni la subcontrariedad, por lo que solo sobrevive la oposición por contradictoriedad en el cuadrado moderno.

 Establece la falacia existencial.

Al desaparecer las relaciones de oposición entre contrarias, subcontrarias y subalternas el cuadrado moderno de oposición queda así:

1.7. Lenguaje conjuntista y diagramas para las proposiciones categóricas

La interpretación moderna de las proposiciones categóricas permite tratarlas con lenguaje conjuntista.4 Introduzcamos las siguientes convenciones notacionales:

1. Los términos que designan clases como S y P pueden verse también como letras que designan conjuntos.

2. La interpretación moderna permite clases vacías. Cuando un conjunto o clase no tenga miembros podemos escribir el conocido símbolo de conjunto o clase vacía ; así, si la clase S es vacía, podemos escribir S = .

3. A la clase complemento o conjunto complemento lo expresaremos con un apóstrofo. Así, designaremos al complemento de la clase S como S’ (que se lee "S prima").

4. Cuando deseemos expresar que hay algún elemento común a dos clases emplearemos el símbolo , que se refiere a la intersección o producto de las clases. Para expresar, como en las proposiciones categóricas E, que nada es a la vez S y P escribiremos S P = que se leería: "la intersección de las clases S y P es vacía".

Proposiciones universales afirmativas

Las proposiciones A de la forma ya vista

Todo S es P

pueden representarse como el enunciado conjuntista

S ∩ P’ = Ø,

que señala que no hay nada que sea a la vez S y no P, es decir, la clase S está totalmente incluida en la clase P 5 En el lenguaje de los diagramas de Venn 6 estas proposiciones se representan del modo siguiente:

4 La teoría de conjuntos se trata a un nivel introductorio en la tercera parte de este libro.

Puede ser aún más clara la correspondencia de esta representación conjuntista de "Todo S es P" si recordamos que su obversa sería "Ningún S es no P”

Los diagramas de Venn son una mejora hecha por John Venn de los diagramas de Euler, y nos serán útiles para representar conjuntos, relaciones entre clases, proposiciones categóricas de la lógica tradicional y llevar a cabo inferencias silogísticas Veremos con más detalle el uso de tales diagramas en la segunda parte, donde tratamos la lógica diagramática.

Hay un círculo para S y otro para P. Se dibujan sobrepuestos para expresar gráficamente mediante regiones las cuatro combinaciones posibles entre las dos clases: lo que sea S y P tiene la región al centro en la zona de traslape o intersección de los círculos, la región de lo que solo sea S a la izquierda, lo que solo sea P a la derecha y lo que no sea ni S ni P fuera de los círculos. El diagrama anterior sombrea la región de S que está fuera de P porque una proposición tipo A señala que no hay nada en S que no esté en P, es decir, sombrea o vacía la región de S que está fuera de S. Así se garantiza que si algo estuviera dentro de S, necesariamente quedaría también dentro de P.

Proposiciones universales negativas

Las proposiciones E cuya forma es

Ningún S es P

se pueden representar con el enunciado

S ∩ P = Ø,

que dice que la intersección de las clases S y P carece de elementos. En el lenguaje de los diagramas de Venn se sombrea la región donde S y S se superponen porque una proposición tipo E niega que haya algo que sea a la vez miembro de S y de P:

Proposiciones particulares afirmativas

Las proposiciones I de forma

Algún S es P

pueden expresarse mediante el enunciado

S ∩ P ≠ Ø,

que señala que la intersección de las clases S y P no es vacía, es decir, hay al menos un objeto que posee tanto la propiedad aludida en S como la aludida en P. En el lenguaje diagramático este tipo de enunciados se representan con una cruz en la región superpuesta de S y P para indicar que hay algo que forma parte de las dos clases:

Proposiciones particulares negativas

Las proposiciones O de la forma

Algún S no es P pueden quedar representadas como

S ∩ P ≠ Ø, que indica que la intersección de los S que no son P no es vacía, que hay uno o más objetos en la clase S que no están en la clase P; es decir, la clase S no está totalmente incluida en la clase P. En el lenguaje diagramático los enunciados tipo O se representan con una cruz en la región de S que queda fuera de P para indicar que hay algo en S que está excluido de P:

El cuadro siguiente resume estas ideas.

Tipo

Todo S es P S ∩ P’ = Ø

informal

S P No hay nada en S que no esté en P

S P No hay nada que esté a la vez en S y en P. I Algún S es P S ∩ P ≠ Ø

Ningún S es P S ∩ P = Ø

S P Hay algo que está a la vez en S y en P. O Algún S no es P S ∩ P’ ≠ Ø

S P Hay algo que está en S, pero no en P

Si añadimos estas representaciones de las proposiciones categóricas al cuadrado moderno de oposición, este queda del modo siguiente:

Nótese que las proposiciones contradictorias cuentan con representaciones conjuntistas y diagramáticas completamente opuestas. En términos conjuntistas, la proposición A expresa que la clase de los S que no son P es vacía; y su contradictoria, la proposición O, expresa que dicha clase no es vacía; la proposición E señala que la intersección de S con P es vacía; y su contradictoria, la proposición I, dice que tal intersección no es vacía. En términos diagramáticos, la proposición A sombrea, es decir, declara como vacía, justo la región que su contradictoria, la O, señala como no vacía mediante una cruz; y la proposición E también sombrea la región donde su contradictoria pone una cruz.

1.8. Ejercicios

A. De las siguientes proposiciones categóricas identificar los términos sujeto y predicado y señalar el tipo de proposición por su nombre literal A, E, I y O

1. Ningún familiar del ganador podrá reclamar el premio sin presentar los documentos oficiales que acrediten el parentesco.

2. Algunos animales salvajes no poseen instintos que destaquen por su valor adaptativo

3. Todos los libros de Borges son obras merecedoras de aprecio.

4. Todos los planetas extrasolares son objetos de gran tamaño.

5. Algunos ungulados no son animales a los que les faltan los incisivos superiores.

6. Ningún poeta creativo puede descansar sin haber terminado los versos que más le obsesionan.

7. Algunos argumentos presentados por el fiscal adolecen de una terrible falta de sentido común.

8. Todas las teorías conspiratorias paranoicas son elaboradas por personas que acaban siendo los verdaderos conspiradores.

9. Ninguna democracia que aspire a una vida de calidad política puede convertirse en un circo de simulación y demagogia.

10. Algunas estructuras intracelulares distintas del núcleo poseen sus propias moléculas de ADN extranuclear.

B. Indicar la cantidad y la cualidad de cada proposición categórica siguiente, y señalar si distribuye o no sus términos sujeto y predicado.

1. Algunos festivales infantiles promueven la formación emocional de los niños.

2. Algunos árboles no poseen hojas caducas.

3. Ningún lector de Dostoievski es una persona que se ocupa de frivolidades.

4. Todos los caminos conducen a Roma.

5. Algunos líderes sociales son genuinos modelos de conducta proactiva.

6. Ningún deportista disciplinado puede descuidar su alimentación.

7. Ningún senderista invierte demasiado en el equipo adecuado para cultivar su afición.

8. Algunos hipocondriacos gastan fortunas en medicamentos que no necesitan.

9. Todos los francotiradores del ejército alemán eran expertos en el arte del camuflaje.

10. Algunos roedores sudamericanos son mamíferos de tamaño imponente.

C. De los siguientes grupos de proposiciones, ¿qué se puede afirmar de la verdad o falsedad de cada proposición si la primera de cada grupo fuera verdadera? ¿Y qué se podría afirmar si la primera fuera falsa?

a) Todos los vulcanólogos son grandes expertos.

Ningún vulcanólogo es gran experto.

Algunos vulcanólogos son grandes expertos.

Algunos vulcanólogos no son grandes expertos.

b) Ningún agricultor se fía de la suerte.

Algunos agricultores se fían de la suerte.

Algunos agricultores no se fían de la suerte.

Todos los agricultores se fían de la suerte.

c) Algunos síntomas de depresión son fácilmente tratables. Algunos síntomas de depresión no son fácilmente tratables. Todos los síntomas de depresión son fácilmente tratables. Ningún síntoma de depresión es fácilmente tratable.

d) Algunos reptiles africanos poseen poderosos venenos. Algunos reptiles africanos no poseen poderosos venenos.

Todos los reptiles africanos poseen poderosos venenos. Ningún reptil africano posee poderosos venenos.

D. De cada proposición siguiente, enunciar su conversa, obversa y contrapositiva.

1. Todos los amigos de Juan son bebedores

2. Ningún conocedor de coches es ingenuo.

3. Algunos estudiantes son responsables.

4. Algunos caminos no son seguros.

5. Todos los electores son educados.

6. Ningún conversador es distraído.

7. Algunos consejeros son profesionales de la política.

8. Algunos cantautores recientes son conocedores de jazz.

9. Ningún atleta olímpico es viejo.

10. Todos los virtuosos son artistas profundos.

E Si es verdad la proposición “Todos los amantes son apasionados”, ¿qué se puede decir de la verdad o falsedad de las siguientes proposiciones?

1. Algunos amantes son apasionados.

2. Ningún apasionado es amante.

3. Algunos no apasionados no son no amantes.

4. Todos los no apasionados son no amantes.

5. Ningún no amante es apasionado.

6. Algunos apasionados son no amantes.

7. Algunos no amantes no son apasionados.

8. Todos los no amantes son no apasionados.

9. Ningún no apasionado es no amante.

10. Algunos amantes no son no apasionados.

F Si es verdad la proposición “Algunos demócratas son liberales”, ¿qué se puede decir de la verdad o falsedad de las siguientes proposiciones?

1. Todos los demócratas son liberales.

2. Ningún no liberal es demócrata.

3. Algunos liberales son demócratas.

4. Todos los liberales son no demócratas.

5. Ningún demócrata es liberal.

6. Todos los no demócratas son no liberales.

7. Algunos liberales no son no demócratas.

8. Algunos demócratas no son no liberales.

9. Todos los demócratas son no liberales.

10. Ningún liberal es demócrata.

G. Dada la interpretación moderna de las proposiciones categóricas, señalar en qué paso de cada cadena inferencial siguiente se comete la falacia existencial

a) Ningún ser que corre por las praderas es centauro. Ningún centauro es un ser que corre por las praderas. Algún centauro no es un ser que corre por las praderas.

b) Ningún ser humano es un superhéroe con superpoderes. Ningún superhéroe con superpoderes es un ser humano. Algún superhéroe con superpoderes no es un ser humano.

c) Es verdad que nadie que está al acecho es licántropo. Es verdad que ningún licántropo está al acecho

Es falso que algún licántropo está al acecho.

Es verdad que algún licántropo no está al acecho.

d) Es falso que algún científico haya inventado la máquina del tiempo.

Es verdad que ningún científico ha inventado la máquina del tiempo.

Es verdad que ninguno que haya inventado la máquina del tiempo es científico.

Es verdad que alguien que haya inventado la máquina del tiempo no es científico.

e) Es verdad que nadie que viaje en avión es un orco. Es verdad que ningún orco viaja en avión.

Es verdad que algún orco no viaja en avión.

H. Formalizar en lenguaje conjuntista y con diagrama de Venn cada proposición categórica siguiente Utilizar la letra S para designar la clase del término sujeto y la letra P para la clase del término predicado.

1. Todos los anfibios son vertebrados.

2. Ningún monotrema es vivíparo.

3. Algunos coleccionistas privados son magnates de la industria cinematográfica.

4. Algunas gimnastas olímpicas son ganadoras de varias medallas.

5. Todos los moluscos son invertebrados.

6. Algunos vendedores de bienes raíces manejan empresas que cotizan en la bolsa de valores.

7. Nadie que conozca de ciencia aceptaría doctrinas supersticiosas.

8. Algunas profesionistas jóvenes logran destacar en ámbitos comerciales altamente competidos.

9. No todos los veteranos de guerra son individuos que sufren traumas complejos.

10. Es falso que algunos ufólogos posean evidencia seria sobre presencia alienígena.

I. Indicar cuál de los siguientes enunciados conjuntistas corresponde al diagrama de Venn.

a) S ∩ P ≠ Ø

b) S ∩ P = Ø

c) S ∩ P’ ≠ Ø

d) S ∩ P’ = Ø

J Indicar cuál de los siguientes enunciados conjuntistas corresponde al diagrama de Venn.

a) S ∩ P ≠ Ø

b) S ∩ P = Ø

c) S ∩ P’ ≠ Ø

d) S ∩ P’ = Ø

K. Señalar cuál de los siguientes enunciados conjuntistas corresponde al diagrama de Venn.

a) S ∩ P ≠ Ø

b) S ∩ P = Ø

c) S ∩ P’ ≠ Ø

d) S ∩ P’ = Ø

L. Señalar cuál de los siguientes enunciados conjuntistas corresponde al diagrama de Venn.

a) S ∩ P ≠ Ø

b) S ∩ P = Ø

c) S ∩ P’ ≠ Ø

d) S ∩ P’ = Ø

Capítulo 2

Los silogismos categóricos

2.1. Las partes de un silogismo categórico

Un silogismo es un argumento o razonamiento deductivo que posee dos premisas y la conclusión. Los silogismos más comúnmente estudiados son los hipotéticos, los disyuntivos y los categóricos. En este capítulo se revisa exclusivamente a los categóricos.

Un silogismo categórico es el que solo utiliza proposiciones categóricas en las premisas y la conclusión; se trata, por tanto, de un argumento deductivo que se ocupa de relaciones entre categorías de individuos.7 Todo silogismo categórico cuenta con estas propiedades:

1. Posee exactamente tres proposiciones categóricas.

2. Posee exactamente tres términos de individuo, cada uno de los cuales aparece en dos de las proposiciones del silogismo.

El siguiente ejemplo muestra argumentos deductivos, de los cuales el argumento no es un silogismo, los argumentos , y sí son silogismos, y solo el argumento es silogismo categórico.

Ejemplo

a) Juan es peruano y Margarita es boliviana.

Por tanto, Juan es peruano.

b) Si hoy es lunes, entonces mañana es martes.

Hoy es lunes.

Por tanto, mañana es martes.

c) Todos los hombres son mortales.

Sócrates es hombre.

Luego, Sócrates es mortal.

d) Todos los griegos son europeos.

Todos los atenienses son griegos.

Por tanto, todos los atenienses son europeos.

Como puede verse, los tres términos del silogismo categórico d son atenienses, griegos y europeos. En el contexto del silogismo se distinguen los términos del siguiente modo:

7 A veces se distingue entre silogismos aristotélicos y silogismos tradicionales porque la manera en que se presentan los silogismos tradicionales no corresponde exactamente a la manera en que Aristóteles los presentaba. Dadas tres proposiciones categóricas X, Y y Z, los silogismos aristotélicos serían proposiciones hipotéticas de la forma “Si X y Y, entonces Z” que pueden ser verdaderas o falsas; los silogismos categóricos serían estructuras inferenciales de la forma “ X, Y, por lo tanto, Z” que pueden ser válidas o no válidas. En este texto se estudian los silogismos tradicionales.

1. Término menor (S). Es el que figura como sujeto de la conclusión, por lo que suele designarse con la literal S. En el silogismo d, el término menor es atenienses.

2. Término mayor (P). Es el que aparece como predicado de la conclusión, por lo que se designa con la letra P. En el silogismo d, el término mayor es europeos.

3. Término medio (M). Es el que no aparece en la conclusión, pero sí en las dos premisas y se designa con la letra M. En el silogismo d, el término medio es griegos.

Si reparamos en el hecho de que hay más europeos que griegos, y más griegos que atenienses, comprendemos que la distinción entre mayor, medio y menor se origina en la extensión de las clases aludidas por ellos en silogismos como el que nos ocupa (fundamentalmente, en silogismos de lo que luego llamaremos Primera figura o Figura 1). Los términos menor y mayor siempre se encuentran en la conclusión y en una sola de las premisas, mientras que el término medio solo aparece en las premisas y es el que funciona como enlace entre los términos menor y mayor.

El silogismo categórico d anterior se encuentra estandarizado. Un silogismo categórico estandarizado es aquel que solo tiene proposiciones categóricas de forma estándar ordenadas del modo siguiente:

Premisa mayor

Premisa menor

Conclusión

La premisa mayor será la que posea al término mayor del silogismo y la premisa menor será la que contenga al término menor del silogismo. De modo que el silogismo que hemos tomado de referencia posee estas partes:

Premisa mayor: Todos los griegos son europeos M P

Premisa menor: Todos los atenienses son griegos

S M

Conclusión: Por tanto, todos los atenienses son europeos

S P

Partes importantes de un silogismo categórico en forma estándar

Término menor

Término mayor

Término medio

Premisa menor

Premisa mayor

El término sujeto de la conclusión.

El término predicado de la conclusión.

El término que no aparece en la conclusión.

La que contiene al término menor.

La que contiene al término mayor.

En el discurso cotidiano lo común es encontrar argumentos silogísticos “disfrazados”, donde falta una o más de las partes del silogismo, o las premisas y conclusión están

expresadas de forma que no es claramente categórica o en un orden distinto al de un silogismo estandarizado. Aunque veremos los argumentos silogísticos en el próximo tema, es conveniente revisar de una vez cómo transformar a silogismos categóricos estandarizados casos sencillos de estos argumentos que solo tengan sus proposiciones desordenadas. Para ello se deben seguir los siguientes pasos:

1. Identificar la proposición que funcione como conclusión o tesis del argumento.

2. Ubicar el término sujeto (S) y el término predicado (P) de la conclusión.

3. Como el término predicado (P) de la conclusión sería el término mayor del silogismo, la premisa que lo contenga será la mayor, y ésta se debe escribir primero en el silogismo estandarizado.

4. Como el término sujeto (S) de la conclusión sería el término menor del silogismo, la premisa que lo contenga será la menor y debe escribirse después de la premisa mayor en el silogismo estandarizado.

5. Vale la pena cerciorarse que el término medio ( M) aparezca en las dos premisas, pero no en la conclusión. Así sabemos que solo hay los tres términos y las tres proposiciones del silogismo categórico estandarizado.

Ejemplo

Argumento silogístico

Algunos ciudadanos responsables son discriminados porque todos los pertenecientes a minorías son discriminados y algunos ciudadanos responsables son pertenecientes a minorías.

Procedimiento: Primero identificamos la conclusión, que en este caso es la proposición inicial "Algunos ciudadanos responsables son discriminados". El indicador de premisas "porque" nos señala que apenas vienen las premisas.

Como el término predicado de la conclusión es "discriminados", la premisa mayor es "Todos los pertenecientes a minorías son discriminados"; y como el término sujeto de la conclusión es "ciudadanos responsables", la premisa que la contenga será la menor, que es "Algunos ciudadanos responsables son pertenecientes a minorías".

De acuerdo con el orden estándar premisa mayor/premisa menor/conclusión, el silogismo queda como se muestra a continuación:

Silogismo estandarizado

Todos los pertenecientes a minorías son discriminados. Algunos ciudadanos responsables son pertenecientes a minorías

Por tanto, algunos ciudadanos responsables son discriminados.

2.2. Los silogismos categóricos válidos

La forma de un silogismo categórico está determinada por su modo y su figura. El modo de un silogismo depende de los tipos de proposiciones categóricas ( A, E, I, O) que contenga en las respectivas posiciones de la premisa mayor, la menor y la conclusión y se expresa con las tres literales correspondientes en el orden estándar. A sí, un silogismo cuya premisa mayor fuera una proposición tipo A, cuya premisa menor fuera una proposición tipo I y cuya conclusión fuera una proposición tipo E, sería del modo AIE, en ese orden. El nombre del modo, pues, sigue el orden de premisa mayor –premisa menor–conclusión.

Ejemplo

a) Ningún profesionista exitoso es egoísta. Algunos médicos son egoístas.

Luego, algunos médicos no son profesionistas exitosos.

b) Todos los griegos son europeos.

Todos los atenienses son griegos. Por tanto, todos los atenienses son europeos

c) Todos los poetas son sabios.

Algunos sabios no son filósofos. Por consiguiente, algunos filósofos no son poetas.

El silogismo a es del modo EIO, porque su premisa mayor "Ningún profesionista exitoso es egoísta" es una proposición categórica tipo E, la menor "Algunos médicos son egoístas" es I y la conclusión "Algunos médicos no son profesionistas exitosos " es O. El silogismo b es del modo AAA y el silogismo c es del modo AOO

Como hay cuatro tipos de proposiciones categóricas que se pueden colocar en cada una de las tres posiciones de los silogismos que nos ocupan (de premisa mayor, de premisa menor y de conclusión), hay sesenta y cuatro modos silogísticos posibles, enlistados en el siguiente cuadro:

El modo de un silogismo no es suficiente para caracterizar su forma, se requiere también su figura. Véase el ejemplo que sigue.

Ejemplo

a) Todos los griegos son europeos.

Todos los atenienses son griegos. Por tanto, todos los atenienses son europeos

b) Todos los perros son mamíferos. Todos los gatos son mamíferos. Por tanto, todos los gatos son perros.

Un argumento deductivo es válido si y solo si posee una forma lógica que garantiza que siempre que las premisas sean verdaderas la conclusión será también verdadera. Los dos silogismos anteriores son del modo AAA, pero mientras el silogismo a es claramente válido, el b no lo es, pues de premisas verdaderas conduce a una conclusión falsa. Lo que distingue formalmente a los silogismos del modo AAA anterior es la posición de sus

respectivos términos medios, pues mientras en el silogismo a el término medio es sujeto de la premisa mayor y predicado de la premisa menor, en el silogismo b el término medio es predicado de las dos premisas. El lugar relativo del término medio M en las premisas de un silogismo determina que haya cuatro figuras silogísticas posibles que son:

a) La figura 1, donde el término medio es sujeto de la premisa mayor y predicado de la premisa menor.

b) La figura 2, donde el término medio es predicado de las dos premisas.

c) La figura 3, donde el término medio es sujeto de las dos premisas.

d) La figura 4, donde el término medio es predicado de la premisa mayor y sujeto de la premisa menor.

Es común representar estas cuatro figuras con las literales correspondientes a los términos menor (S), medio (M) y mayor (P) en las posiciones que pueden ocupar en las premisas y en la conclusión:

Figura 1

Figura 2

Figura 3

Figura 4

El silogismo a del ejemplo anterior posee la figura 1 y el silogismo b tiene la figura 2. De manera que sus respectivas formas, plenamente caracterizadas por su modo y figura serían AAA-1 y AAA-2. Todo silogismo de la forma AAA-1será siempre válido y todo silogismo de la forma AAA-2 será inválido. Ya que existen sesenta y cuatro modos silogísticos por cada una de las cuatro figuras, hay un total de doscientas cincuenta y seis formas silogísticas posibles, ni más ni menos. Solo quince de estas formas son válidas, aunque en la teoría tradicional se llegó a reconocer hasta veinticuatro válidas. Las quince formas válidas se distribuyen así en las figuras:

Figura 1

Figura 2

Figura 3

Figura 4

AAA-1

EAE-1

AII-1

EIO-1

AOO-2

AEE-2

EAE-2

EIO-2

OAO-3

AII-3

IAI-3

EIO-3

AEE-4

IAI-4

EIO-4

Los estudiosos medievales utilizaron nombres mnemotécnicos para identificar las formas válidas. Estos nombres incluyen las tres literales vocales de la forma silogística y letras consonantes que abrevian instrucciones para reducir o transformar unos mod os silogísticos en otros como veremos en el siguiente tema. Las quince formas válidas fundamentales son las siguientes:

Figura 1 Figura 2 Figura 3

Figura 4

barbara celarent darii ferio baroco camestres cesare festino bocardo datisi disamis ferison

camenes dimaris fresison

Es común llamar simplemente “modos” a estas denominaciones de formas válidas de silogismos categóricos.

Cualquier forma válida recibe alguno de estos nombres y las formas no válidas no poseen ninguno de estos nombres. El silogismo válido a del ejemplo anterior de la forma AAA-1 corresponde al modo barbara y el silogismo no válido b de la forma AAA-2 no corresponde a ninguno de los quince modos válidos. Desde luego que todo silogismo del modo barbara o forma AAA-1 es válido y todo silogismo de la forma AAA-2 sería inválido.

Ejemplo

Identificar la validez o invalidez de lo s siguientes silogismos mediante el reconocimiento de forma y de su modo.

a) Todos los científicos son investigadores.

Algunos poetas son científicos.

Por tanto, algunos poetas son investigadores.

Forma: AII-1

Modo: darii

b) Ningún líder asertivo impone sus decisiones. Algunos líderes asertivos son adultos mayores. Por tanto, algunos adultos mayores no son personas que impongan sus decisiones.

Forma: EIO-3

Modo: ferison

c) Algunos estrategas militares son grandes improvisadores. Algunos grandes improvisadores no son negligentes. Luego, algunos negligentes no son estrategas militares.

Forma: IOO-4

Modo: Ninguno de los quince válidos.

Si añadimos los modos silogísticos "debilitados" o "subalternos" que la teoría tradicional podía incluir como válidos por aceptar las inferencias de proposiciones universales a particulares (como en la subalternación o en la conversión y contraposición por limitación), la lista crecería a veinticuatro, con seis de cada figura:

Figura 1

Figura 2

Figura 3

Figura 4

barbara celarent darii ferio

baroco camestres cesare festino

bocardo datisi disamis ferison

camenes dimaris fresison

barbari celaront camestrop cesaro darapti felapton bramantip camenop fesapo

Se dice que los modos válidos de la primera figura establecen una regla general (en la premisa mayor) y una afirmación de que cierta clase cumple una condición (en la premisa menor) que permite incluirla o excluirla respecto de esa ley (en la conclusión ); los de la segunda figura parecerían convenientes para refutar enunciados, pues todos poseen conclusiones negativas; los de la tercera figura, por su parte, parecen más útiles para argumentar en favor de casos particulares porque poseen conclusiones particulares; y los de la cuarta figura, que Aristóteles nunca estudió, parecen los menos intuitivos de todos.8

2. 3. Reducción a modos perfectos

Aristóteles consideraba que los modos de la primera figura eran perfectos en el sentido de ser más intuitivos y evidentes. Y la validez de los restantes modos imperfectos podía demostrarse si se transformaban a los de la primera figura mediante el procedimiento de reducción. Este requiere pasos específicos para cada modo que autores lógicos medievales abreviaron en algunas de las consonantes de sus denominaciones mnemotécnicas. Aquí se verán la reducción directa e indirecta aplicadas a los quince modos cuya validez es menos problemática.

Cualquier modo de las figuras segunda, tercera y cuarta es reducible al modo de la primera figura cuyo nombre comience con la misma letra consonante; por ejemplo , festino, ferison y fresison son modos imperfectos que pueden reducirse al modo perfecto de la primera figura ferio Los modos baroco y bocardo son transformables a barbara por medio de la reducción indirecta o por contradicción indicada en sus respectivas letras c Los otros trece modos son transformables a su correspondiente de la primera figura por reducción directa.

Para la reducción directa, la letra m indica que se deben mudar o intercambiar las premisas del modo imperfecto como parte de la transformación al modo perfecto. La letra s indica que se debe llevar a cabo una conversión simple de la proposición correspondiente a la vocal anterior a ella. La letra p señala que se debe llevar a cabo una conversión por limitación (per accidens) de la proposición correspondiente a la letra vocal anterior a la p. En los quince modos válidos no problemáticos no hay nombres co n la p, por lo que no hará falta utilizar la instrucción correspondiente.

8 Aristóteles solo se ocupó de las tres primeras figuras del silogismo. La cuarta figura, que tradicionalmente se atribuye al célebre médico Galeno (o a algún Pseudogaleno), fue añadida posteriormente a la teoría del silogismo; sin embargo, Galeno (o el Pseu dogaleno) llegó a insistir en algunos de sus textos lógicos en que solo puede haber tres figuras silogísticas, lo que invita a cuestionar esta idea común de atribuirle la elaboración de la cuarta figura.

Ejemplo

Reducir el silogismo del modo imperfecto dimaris a su modo perfecto correspondiente darii

Algunas mascotas son gatos

Todos los gatos son felinos.

Luego, algunos felinos son mascotas.

Modo: dimaris

La m indica mutar las premisas, lo que da lugar al silogismo:

Todos los gatos son felinos.

Algunas mascotas son gatos . Luego, algunos felinos son mascotas.

Y la letra s señala que se haga una conversión simple de la conclusión. Ello da lugar al silogismo de modo perfecto:

Todos los gatos son felinos.

Algunas mascotas son gatos .

Luego, algunas mascotas son felinos.

Modo: darii.

Véase otro ejemplo.

Ejemplo

Reducir el silogismo del modo imperfecto camestres al modo perfecto que le corresponde.

Todos los marxistas son materialistas

Ningún idealista es materialista.

Luego, ningún idealista es marxista.

Modo: camestres

Como “camestres” inicia con c, su modo perfecto correspondiente será celarent La m indica mutar las premisas, lo que da lugar al silogismo:

Ningún idealista es materialista.

Todos los marxistas son materialistas . Luego, ningún idealista es marxista.

Cada aparición de s señala que se convierta simplemente su anterior proposición tipo E, lo que produce el silogismo de modo perfecto:

Ningún materialista es idealista.

Todos los marxistas son materialistas . Luego, ningún marxista es idealista.

Modo: celarent.

Como ya se indicó antes, la letra c presente en los modos baroco y bocardo señala que se debe efectuar la reducción indirecta de las mismas. Esta consiste en una especie de reducción al absurdo donde se supone que las premisas son ciertas pero la conclusión es falsa, lo cual equivale a negar la validez del modo silogístico. Si en todo argumento válido ocurre que siempre que las premisas son v erdaderas la conclusión también es verdadera, entonces no es posible que las premisas sean verdaderas y la conclusión sea falsa. Si suponemos que las premisas son verdaderas y la conclusión es falsa, al combinar la conclusión falsa con alguna premisa deduciríamos que la otra premisa tendría que ser falsa también, lo cual es absurdo.

En el procedimiento de reducción indirecta se toma una proposición categórica que sea la contradictoria de la conclusión (si la conclusión original es tipo O tanto en baroco como en bocardo, su negación debe ser una proposición de tipo A) y se combina como una premisa con la premisa tipo A que ya estaba en baroco o en bocardo, lo que nos da dos premisas tipo A. La conclusión de ambas premisas resultará también tipo A (y el silogismo resultante es un barbara), que es justamente la contradictoria de la premisa tipo O que se había aceptado como cierta. Con ello se prueba que no es posible aceptar la verdad de las premisas sin aceptar también la verdad de la conclusión.

El cuadro siguiente representa las instrucciones codificadas en las letras consonantes que aquí hemos tratado:

Letra consonante

Al principio del modo

Después de vocal

Ejemplo

Instrucción

b Reducir el silogismo al barbara

c Reducir el silogismo al celarent

d Reducir el silogismo al darii

f Reducir el silogismo al ferio

s Aplicar conversión simple

p Aplicar conversión parcial o per accidens

m Intercambiar o mutar las premisas

c Aplicar contradicción

Reducir el silogismo del modo imperfecto baroco al modo perfecto barbara

Todos los poetas son artistas .

Algunos intelectuales no son artistas.

Luego, algunos intelectuales no son poetas.

Modo: baroco

La c señala que se debe aplicar la reducción indirecta. Comenzamos sustituyendo la premisa tipo O por la contradictoria de la conclusión, lo que nos da el par de premisas:

Todos los poetas son artistas .

Todos los intelectuales son poetas.

Y deducimos por barbara la conclusión correspondiente, que es la contradictoria de la premisa tipo O que se había sustituido:

Todos los poetas son artistas

Todos los intelectuales son poetas.

Luego, todos los intelectuales son artistas.

Modo: barbara.

En realidad, el método de reducción indirecta permite transformar cualquier modo válido en algún otro también válido que puede variar según se combina la contradictoria de la conclusión con la premisa mayor o con la premisa menor. Los pasos generales de la reducción indirecta son:

1. Suponer que las premisas son verdaderas y la conclusión es falsa.

2. Combinar la contradictoria de la conclusión con una premisa. Así se obtiene como consecuencia la negación de la otra premisa.

De lo cual se infiere que el modo original es válido: siempre que sus premisas sean verdaderas, su conclusión será también verdadera; porque si su conclusión fuera falsa, no podrían ser las dos premisas verdaderas.

Ejemplo

Reducir de modo indirecto el siguiente silogismo del modo "imperfecto" disamis al modo "perfecto" celarent

Algunos cerdos son salvajes.

Todos los cerdos son paquidermos.

Por tanto, algunos paquidermos son salvajes.

Modo: disamis

Se combinan la proposición contradictoria de la conclusión con la segunda premisa del silogismo original y se obtiene su consecuencia lógica, lo que da lugar al silogismo siguiente:

Ningún paquidermo es salvaje.

Todos los cerdos son paquidermos.

Por tanto, ningún cerdo es salvaje.

Modo: celarent

El nuevo silogismo en modo celarent cuenta con una conclusión que niega a la premisa sustituida del silogismo en modo disamis original. Ello prueba que el silogismo original es correcto.

2.4. Refutación de silogismos mediante argumentos análogos

La validez o invalidez de un silogismo son propiedades formales. Un argumento deductivo es válido si y solo si posee una forma lógica tal que garantiza que , si las premisas fueran verdaderas, la conclusión también sería verdadera; y es inválido si su forma lógica no puede garantizar esto, es decir, si puede ocurrir que las premisas sean verdaderas y la conclusión sea falsa. De manera que podemos hablar de for mas válidas y formas inválidas.

Ejemplo

Los silogismos a, b y c poseen la forma válida AAA-1; por tanto, los tres son válidos. Los silogismo d, e y f tienen la forma inválida EOI-2; por ello, los tres son inválidos.

a) Todos los jaliscienses son mexicanos.

Todos los tapatíos son jaliscienses. Luego, todos los tapatíos son mexicanos.

b) Todos los pensadores liberales son promotores de la autodeterminación de los individuos.

Todos los defensores de los derechos políticos son pensadores liberales. Luego, todos los defensores de los derechos políticos son promotores de la autodeterminación de los individuos.

c) Todos los materialistas dialécticos son pensadores socialistas.

Todos los marxistas son materialistas dialécticos. Luego, todos los marxistas son pensadores socialistas.

d) Ningún anfibio es mamífero.

Algunos animales acuáticos no son mamíferos. Por tanto, algunos animales acuáticos son anfibios.

e) Ningún creyente en Buda es un egoísta desalmado.

Algunos ciudadanos modernos no son egoístas desalmados. Por tanto, algunos ciudadanos modernos son creyentes en Buda.

f) Ningún farmacéutico sin estudios tiene licencia para prescribir fármacos.

Algunos profesionales de la salud no tienen licencia para prescribir fármacos. Por tanto, algunos profesionales de la salud son farmacéuticos sin estudios.

Es posible aprovechar el hecho de que la validez e invalidez son de carácter formal para utilizar una estrategia sencilla de refutación de silogismos por medio de analogías. Supongamos que alguien argumentara mediante un silogismo incorrecto como el siguiente:

Todos los legisladores de izquierda promueven agendas reformistas.

Algunos congresistas promueven agendas reformistas. Luego, algunos congresistas son legisladores de izquierda.

Sin importar la verdad o falsedad de sus enunciados (en este caso, tanto las premisas como la conclusión son verdaderas) el silogismo es no válido, pues bien pudiera ocurrir que sus premisas fueran ciertas pero su conclusión falsa. Podemos evidenciar su carácter de invalidez mostrando a nuestro interlocutor otro silogismo de la misma forma lógica, pero donde resultaran obvias la verdad de sus premisas y la falsedad de la conclusión. Si se argumenta según el patrón formal anterior, también podría razonars e así:

Todos los gatos son animales suspicaces.

Algunos ratones son animales suspicaces. Luego, algunos ratones son gatos.

Con esto debería ser claro que la mera verdad de las premisas no garantiza la verdad de la conclusión, es decir, la conclusión no es implicada lógicamente por las premisas. Lo que se discutiría del argumento original no es la verdad de ninguno de sus en unciados (premisas o conclusión) sino la estructura del argumento, su carácter ilógico.

Puede haber una aparente dificultad de encontrar contraejemplos de silogismos en casos donde se comete la falacia existencial. Véase el siguiente, un barbari o AII-1.

Todos los cítricos son frutas.

Todos los limones son cítricos.

Luego, algunos limones son frutas.

Recuérdese que con la interpretación moderna que hemos asumido las proposiciones universales cuyo término sujeto se refiere a clases vacías son verdaderas y las proposiciones particulares cuyo término sujeto alude también a una clase vacía son falsas. Este hecho puede aprovecharse con este método. Así, una buena analogía refutadora del silogismo anterior sería la siguiente:

Todos los dioses griegos son seres sobrenaturales.

Todos los titanes son dioses griegos.

Luego, algunos titanes son seres sobrenaturales (existen titanes que son seres sobrenaturales).

Las premisas son verdaderas porque son universales y tanto la clase de los dioses griegos como la de los titanes son vacías; la conclusión es falsa porque es particular y la clase de los titanes es vacía.

El método de refutación de silogismos por analogías lógicas es muy útil pero limitado. De un argumento válido jamás podríamos encontrar una refutación argumental análoga, y de un argumento inválido siempre es posible encontrar su refutación; sin embargo , a veces es difícil formular el argumento análogo. Si encontramos la analogía lógica refutadora, hemos probado su invalidez; pero si no la encontramos, no significa que sea válido. Puede ser que nos falte ingenio para encontrar la analogía. Recapitulando:

a) Si se encuentra la analogía, se prueba que es inválido; b) pero si no se encuentra la analogía, puede ocurrir, o que es válido o que no lo es, pero nos ha faltado ingenio para encontrarla.

De ahí que esta estrategia no sea tan efectiva como podría desearse, pero suele ser útil como estrategia relativamente sencilla para mostrarle a alguien la incorrección de su razonamiento.

Para evaluar la validez de silogismos hay muchas técnicas menos sencillas, pero más efectivas. En esta primera parte del texto veremos la técnica de verificación de propiedades de todo silogismo válido y en la segunda parte veremos métodos diagramáticos.

2.5. Verificación de propiedades del silogismo válido

Un método conveniente para evaluar la validez de un silogismo categórico estandarizado consiste en averiguar si cumple con las seis reglas del silogismo válido. Faltar a una cualquiera de éstas es un error lógico que se considera como una falacia formal. L as primeras tres reglas versan sobre propiedades de los términos del silogismo y las últimas tres sobre propiedades de las proposiciones del silogismo.

Regla 1. Debe haber tres términos.

Todo silogismo categórico en forma estándar afirma en la conclusión una relación entre el sujeto y el predicado (entre el término menor y el término mayor). Dicha relación puede hacerse gracias a que los términos mayor y menor se conectan entre sí a través del término medio en las premisas. Si no hay los tres términos, no estamos siquiera ante este tipo de silogismos.

La forma común de fallar a esta regla es con la utilización equívoca de lo que parece una misma palabra o frase, principalmente en el término medio. Al utilizar significados distintos, esas palabras o frases valen por términos diferentes. Este tipo de e rror es conocido como la falacia del cuarto término, que conserva su nombre cuando se emplean cuatro o más términos en el mismo silogismo.

Ejemplo

Esta es una falacia del cuarto término.

Todas las drogas son nocivas para la salud.

Todos los medicamentos son drogas.

Luego, todos los medicamentos son nocivos para la salud.

Aquí la palabra “droga” tiene un significado distinto en cada premisa por lo que en realidad hay dos términos diferentes. En la premisa mayor se refiere a las conocidas sustancias de venta ilegal en varios lugares (como la cocaína, heroína o marihuana), mientras que en la premisa menor alude a las sustancias o preparados medicamentosos que pueden tener efectos farmacológicos en el organismo

Regla 2. El término medio debe estar distribuido en al menos una de las premisas.

La relación que se establece entre el sujeto y el predicado de la conclusión a través del término medio es posible solo si la clase aludida por el término es tomada en su totalidad en al menos una premisa.

Cuando no se distribuye en ninguna premisa al término medio solo se alude en cada una a una parte de la clase correspondiente, y esas partes pueden ser diferentes. Cuando se infringe esta segunda regla se dice que se comete la falacia del término medio no distribuido.

Ejemplo

Esta es una falacia del término medio no distribuido.

Todos los gatos son mamíferos.

Todos los perros son mamíferos. Por tanto, todos los perros son gatos.

El término medio mamíferos no está distribuido en ninguna premisa. Es claro que los gatos son una parte de los mamíferos y los perros son otra parte distinta de los mamíferos. Al conectarse los términos perros y gatos con partes distintas de la clase de los mamíferos, nada justifica que deban estar necesariamente unidos en la conclusión.

Regla 3. Todo término distribuido en la conclusión debe estar distribuido en las premisas.

Referirse a una clase completa es decir más que referirse a una parte de la misma (referirse, por ejemplo, a todos los perros es afirmar más que no referirse a todos los

perros). En otras palabras, distribuir un término es decir más que no distribuirlo. Y en un silogismo válido la conclusión debe estar contenida en las premisas, debe estar implicada por ellas, y nunca aseverar más que ellas. Por eso cualquier término que a parezca distribuido en la conclusión debe haberlo estado también en las premisas, pues de lo contrario la conclusión afirmaría más que éstas.

Cuando se falta a esta regla se dice que se incurre en la falacia del proceso ilícito. Puede haber una falacia de ilícito menor si el error fue distribuir en la conclusión el término menor que no aparecía distribuido en las premisas ; una falacia de ilícito mayor si lo distribuido en la conclusión fue el término mayor sin estar distribuido en las premisas ; o una falacia del proceso ilícito menor y mayor si se distribuyó a ambos términos en la conclusión pero ninguno se encontraba distribuido en las premisas.

Ejemplo

El argumento a comete una falacia de ilícito menor, el b una de ilícito mayor y el c una falacia de ilícito menor y mayor.

a) Todos los científicos son investigadores que emplean el método científico. Todos los científicos son seres humanos. Por tanto, todos los seres humanos son investigadores que emplean el método científico.

b) Todos los primates son mamíferos. Ningún perro es primate. Luego, ningún perro es mamífero.

c) Algunos arquitectos no son artistas. Todos los artistas son personas creativas. Por lo tanto, ninguna persona creativa es arquitecto.

En la conclusión del argumento a el término menor seres humanos aparece distribuido, pues toda proposición A distribuye a su término sujeto; pero seres humanos no fue distribuido en la premisa menor, pues las proposiciones A no distribuyen a su predicado. La conclusión del argumento b distribuye a su predicado mamífero, debido a que las proposiciones E distribuyen ambos términos; pero el término mamífero no se encuentra distribuido en la premisa mayor pues las proposiciones A no distribuyen a su predicado.

Obsérvese que en la conclusión de c se distribuyen ambos términos persona creativa y arquitecto pues las proposiciones E distribuyen tanto al sujeto como al predicado; pero ninguno de tales términos aparece distribuido en sus respectivas premisas porque persona creativa es el predicado de una proposición A en la premisa menor y arquitecto es el sujeto de una proposición O en la premisa menor.

Regla 4. No debe haber dos premisas negativas.

Cualquier proposición negativa asevera que una clase está excluida total o parcialmente de otra clase; es decir, niega la inclusión entre clases. Cuando ambas premisas son negativas, tanto la clase del término menor como la del término mayor se excluyen total o parcialmente de parte o de la totalidad de la clase del término medio. Y la aseveración entre los términos menor y mayor de la conclusión puede ser independiente de cualquiera de las situaciones de exclusión aseveradas en las premisas negativas, l o cual da lugar a

un argumento no válido. Cualquier silogismo que contenga dos premisas negativas comete la falacia de las premisas exclusivas.

Ejemplo

Los argumentos a y b cometen la falacia de las premisas exclusivas.

a) Ningún perro es equino.

Ningún gato es equino.

Por tanto, ningún gato es perro.

b) Algunos mamíferos no son placentarios.

Ningún canguro es placentario.

Luego, ningún canguro es mamífero.

Regla 5. Si una premisa es negativa, la conclusión también debe ser negativa.

Una conclusión afirmativa solo puede obtenerse de premisas afirmativas. Ello es así porque una conclusión afirmativa asevera una relación de inclusión total o parcial entre el término menor y el mayor, lo cual implica que el término mayor está, por lo menos, parcialmente incluido en el menor. Estas inclusiones pueden afirmarse solo si hay un término medio en las premisas que contiene al menor y está contenido en el mayor. Y para afirmar estas inclusiones del menor en el medio y de éste en el mayor se re quieren premisas afirmativas. De ahí se sigue que cualquier silogismo que posea una premisa negativa solo puede aspirar a ser válido si la conclusión es también negativa. Faltar a esta regla es cometer la falacia de extraer una conclusión afirmativa de una premisa negativa

Ejemplo

El siguiente silogismo es claramente una falacia que extrae una conclusión afirmativa de una premisa negativa.

Ningún perro es equino.

Algunas mascotas son perros.

Por tanto, algunas mascotas son equinos.

Regla 6. De dos premisas universales no puede deducirse una proposición particular.

Esta regla solo se aplica en la interpretación booleana o moderna de las proposiciones categóricas que asumimos aquí, en la que las proposiciones particulares poseen compromiso existencial pero las universales no. En tal interpretación, no puede permitirse que una proposición con compromiso existencial (particular) pueda derivarse de proposiciones sin compromiso existencial (universales). Los argumentos que faltan a esta regla cometen la falacia existencial

Ejemplo

En la interpretación tradicional el siguiente silogismo sería válido. Pero en la interpretación booleana incurre en una falacia existencial.

Todas las personas prudentes son inteligentes. Ningún centauro es una persona prudente.

Por tanto, algunos centauros no son inteligentes.

La conclusión es una proposición particular, por lo que posee compromiso existencial; pero las dos premisas son universales, y por ello carecen de ese compromiso. La conclusión va más lejos que las premisas pues afirma la existencia de centauros pero ninguna premisa hace tal aseveración.

El siguiente cuadro ordena las seis reglas que todo silogismo válido debe cumplir, así como las falacias que se cometen al faltar a cada regla. Si un silogismo cumple con las seis reglas, es válido; si falta a alguna de éstas, es inválido.

Los quince modos silogísticos vistos son los únicos que respetan a estas seis reglas.

Regla

1. Debe haber tres términos.

2. El término medio debe estar distribuido en al menos una de las premisas.

3. Todo término distribuido en la conclusión debe estar distribuido en las premisas.

Falacia cometida al faltar a la regla

Cuarto término

Término medio no distribuido

Proceso ilícito menor o proceso ilícito mayor

4. No debe haber dos premisas negativas. Premisas exclusivas

5. Si una premisa es negativa, la conclusión también debe ser negativa.

6. De dos premisas universales no puede deducirse una proposición particular.

2.6. Deducción de teoremas

Extraer una conclusión afirmativa de una premisa negativa

Falacia existencial

Así como un silogismo válido puede servir para probar la verdad de su conclusión, si sus premisas son verdaderas, en la teoría lógica de los silogismos es dable también probar propiedades generales de los silogismos válidos. Para ello consideramos las seis reglas generales del silogismo categórico así como las cuatro figuras a modo de axiomas y/o definiciones.

Demostraremos primero que los quince modos barbara, celarent, etcétera, y solo ellos, son válidos. La estrategia consistirá en eliminar las formas silogísticas que violen alguna de las reglas.

TEOREMA 1: Todos los quince modos barbara, celarent, …, fresison y solo ellos, representan silogismos categóricos válidos.

Prueba:

Cualquier conclusión de un silogismo categórico debe ser una proposición A, E, I u O. Consideremos cada caso por separado.

a) Si la conclusión es A, ninguna premisa puede ser negativa, E u O, pues la conclusión también debería ser negativa (regla 5). Por ello, ambas

premisas deben ser afirmativas, lo que implica cuatro posibilidades de combinación entre las premisas mayor y menor: AI, IA, II y AA. Pero no puede ser AI ni II porque el término menor S estaría distribuido en la conclusión sin estarlo en las premisas (regla 3); tampoco puede ser IA porque el término medio M no estaría distribuido en ninguna premisa (regla 2). De ahí que las dos premisas deben ser AA y el único modo válido sería AAA. En la figura 2 el término medio no estaría distribuido en ninguna premisa (regla 2), y en las figuras 3 y 4 habría un término distribuido en la conclusión (S) que no lo estaría en las premisas (regla 3). Por lo tanto, si el silogismo tiene una conclusión A, la única forma válida es AAA-1, es decir, barbara.

b) Si la conclusión es E, ambos términos, menor y mayor, estarían distribuidos en la conclusión; por las reglas 2 y 3, se sigue que los tres términos deben estar distribuidos en las premisas, lo que implica que alguna premisa distribuya sus dos términos, es decir, que también sea E Pero la regla 4 excluiría las combinaciones de premisas EE, EO, OE. La otra premisa tampoco puede ser I porque al no distribuir ningún término, habría un término en la conclusión que no estuviera distribuido en las premisas (regla 3). La otra premisa debe ser A, de ahí que solo pueden ser los modos AEE y EAE. Ahora bien, el modo AEE no puede estar en las figuras 1 o 3 porque el término P aparecería distribuido en la conclusión sin estarlo en las premisas (regla 3) y el modo EAE no puede tener la figura 3 ni la 4 por la misma razón (regla 3). Por lo tanto, si el silogismo tiene una conclusión E, las formas válidas son AEE-2, AEE-4, EAE-1 y EAE-2, comúnmente llamadas camestres, camenes, celarent y cesare. c) Si la conclusión es I, ninguna premisa puede ser negativa, E u O, pues la conclusión también debería ser negativa (regla 5). Las dos premisas deben ser afirmativas: AI, IA, II o AA. Pero no pueden ser AA puesto que la conclusión es particular (regla 6), ni II porque el término medio no se habría distribuido en ninguna premisa (regla 2). De ahí que los modos posibles serían AII e IAI. El modo AII no puede ser válido en las figuras 2 y 4 porque no se habría distribuido el término medio (regla 2); por la misma razón, el modo IAI no puede estar en las figuras 1 y 2. Por tanto, si el silogismo tiene una conclusión I, las formas válidas son AII-1, AII-3, IAI-3 e IAI-4, llamadas darii, datisi, disamis y dimaris. d) Si la conclusión es O, la premisa mayor no puede ser I porque quedaría sin distribuir el término mayor en las premisas (regla 3); tal premisa puede ser A, E y O. Veamos cada caso.

Si la premisa mayor fuera A, la menor no podría ser universal, ni A ni E (regla 6); la menor tampoco puede ser I porque o no estaría distribuido el término medio (regla 2) o el término mayor distribuido en la conclusión no estaría distribuido en las premisas (regla 3). Solo resta el modo AOO que no puede ser válido en las figuras 1 y 3 porque el término mayor distribuido en la conclusión no lo estaría en las premisas (regla 3), ni puede ser válido en la figura 4 debido a que el término medio no estaría distribuido en ninguna parte (regla 2). De ahí que, si la premisa mayor es A, el único modo válido es AOO-2, llamado baroco

Si la premisa mayor fuera E, la menor no podría ser universal, A o E (regla 6) ni negativa, E u O (regla 4). La premisa menor ha de ser I, y el modo EIO es válido en las cuatro figuras. Así que si la premisa mayor es E, son válidas EIO-1, EIO-2, EIO-3 y EIO4, denominadas ferio, festino, ferison y fresison.

Si la premisa mayor fuera O, la menor no podría ser negativa, E u O, por la regla 4; tampoco podría ser I porque o el término menor no estaría distribuido (regla 2) o aparecería distribuido en la conclusión sin estarlo en las premisas (regla 3). La premisa menor habría de ser A, y el modo OAO no es válido en la figura 1 porque no distribuiría al término medio (regla 2), ni en la 2 y 4 porque habría el término mayor distribuido en la conclusión no lo estaría en las premisas (regla 3). De esta manera, si la premisa mayor es O, solo es válido el modo OAO-3 llamado bocardo. Por tanto, si el silogismo tiene una conclusión O, solo son válidos los modos baroco, ferio, festino, ferison, fresison y bocardo.

Con esto, hemos probado la validez exclusiva de los quince modos silogísticos. ■

Probemos otros hechos generales sobre los silogismos categóricos que pueden ser útiles para identificar rápidamente silogismos no válidos.

TEOREMA 2. La cantidad de términos distribuidos en la conclusión debe ser menor que la de términos distribuidos en las premisas.

Prueba:

Todo término distribuido en la conclusión debe estarlo también en las premisas (regla 3), por lo que el número de términos distribuidos de la conclusión nunca es mayor que el de las premisas. El término medio debe estar distribuido en el menos una premisa (regla 2) y, por no estar contenido en la conclusión, se sigue que la conclusión debe tener menos términos distribuidos que las premisas. ■

TEOREMA 3. De dos premisas particulares no puede inferirse válidamente ninguna conclusión.

Prueba:

Supongamos que de dos premisas particulares se pudiera obtener una conclusión. Las dos premisas particulares pueden ser ambas afirmativas, ambas negativas o una afirmativa y otra negativa. Examinamos cada caso.

a) Si las dos premisas son particulares afirmativas, no distribuyen ningún término, lo que viola la regla 2.

b) Si las dos premisas son particulares negativas, no se sigue nada (por la regla 4).

c) Si una premisa es particular afirmativa y la otra es particular negativa, ocurre que la particular afirmativa no distribuye términos y la particular negativa solo distribuye uno, de ahí que las premisas solo distribuirían un término; por el teorema 2 anterior, la conclusión no debería distribuir ningún término. Pero por la regla 5, al haber una premisa negativa la conclusión también debería ser negativa lo que obliga a que tenga uno o dos términos distribuidos. Es decir, el supuesto de que de dos premisas particulares se pudiera obtener una conclusión nos condujo al absurdo de que dicha conclusión habría de distribuir y no distribuir términos. Por tanto, de dos premisas particulares no hay conclusión. ■

TEOREMA 4. Si una premisa es particular, la conclusión debe ser particular.

Prueba:

Por el teorema 3, las dos premisas no pueden ser particulares. Por lo tanto, una premisa debe ser universal y la otra particular, con tres posibilidades: las dos negativas, las dos afirmativas o una afirmativa y otra negativa.

a) Las dos premisas no pueden ser negativas, por la regla 4.

b) Si las dos premisas son afirmativas, tenemos que si una es universal afirmativa y la otra particular afirmativa, habría un solo término distribuido en las premisas; por el teorema 2, la conclusión no puede tener términos distribuidos y debe, por tanto, ser particular afirmativa.

c) Si una premisa es afirmativa y la otra es negativa hay dos posibilidades, que la universal sea afirmativa y la particular sea negativa, o que la universal sea negativa y la particular sea afirmativa. Si la universal fuera afirmativa y la particular fuera n egativa, cada premisa distribuiría un término, por lo que las premisas distribuirían dos términos y, por el teorema 2, la conclusión podría distribuir cuando máximo un término. Y como la conclusión debe ser negativa (regla 5), solo podría ser particular negativa. Ahora bien, si la universal fuera negativa y la particular fuera afirmativa, la particular no distribuiría términos y la universal distribuiría los dos, por lo que las premisas distribuirían solo dos términos y ocurriría algo similar al caso anterior. Por el teorema 2, la conclusión distribuiría un término como máximo, y debería ser negativa (regla 5), por lo que la conclusión debería ser particular negativa. ■

Se pedirá como ejercicio probar otras propiedades generales de las formas silogísticas válidas de cada figura.

2.7. Ejercicios

A. Indicar cuáles de los siguientes argumentos deductivos son silogismos, en el sentido visto en este capítulo. Y de entre los silogismos, señalar cuáles son categóricos.

1. Si hoy es jueves, entonces mañana es viernes. Hoy es jueves. Por tanto, mañana es viernes.

2. O bien habrá referéndum o se votará en el senado. Pero no habrá referéndum. Luego, se votará en el senado.

3. William Herschel descubrió al planeta Urano, analizó las nebulosas y catalogó más de ochocientas estrellas dobles. Luego, William Herschel descubrió al planeta Urano.

4. Todos los atenienses son griegos. Algunos atenienses son filósofos. Por tanto, algunos filósofos son griegos.

5. O bien estudias o trabajas. Si estudias, no ganarás dinero; si trabajas, no obtendrás título profesional. Si no ganas dinero, tendrás problemas financieros; si no obtienes título profesional, tendrás también problemas financieros. Por consiguiente, tendrás problemas financieros.

6. Nadie que conozca de Derecho ignora las leyes o las jurisprudencias o las defensas procesales. Quien no ignora las leyes, sabe respetarlas. La señora López conoce de Derecho. Por tanto, la señora López sabe respetar las leyes.

7. Si esa ley propuesta es aprobada, entonces entrará en vigor en un mes. Si esa ley entra en vigor en un mes, entonces las empresas deberán modificar sus esquemas de trabajo en máximo un año. Esto significa que si la ley propuesta es aprobada, las empresas deberán modificar sus esquemas de trabajo en máximo un año.

8. Si vamos a la ciudad, entonces visitaremos el museo si nos levantamos temprano y visitaremos el parque si no nos levantamos temprano. Luego, si vamos a la ciudad, visitaremos el museo o visitaremos el parque.

9. Algunos mamíferos nacen de huevo porque los monotremas son mamíferos y los monotremas nacen de huevo.

10. Si eres prudente, evitarás problemas. Si eres atrevido, tendrás más oportunidades de avanzar. O serás prudente o serás atrevido. Consiguientemente, evitarás problemas o tendrás más oportunidades de avanzar.

B. Identificar el término menor (S), el término medio (M) y el término mayor (P) de cada silogismo categórico estandarizado siguiente, e indicar cuál es su premisa mayor y cuál es su premisa menor.

1. Todos los fedatarios públicos son personas que satisfacen una necesidad social.

Todos los notarios son fedatarios públicos.

Todos los notarios son personas que satisfacen una necesidad social.

2. Toda acción militar es un ejercicio del poder duro.

Algunas intervenciones norteamericanas han sido acciones militares.

Algunas intervenciones norteamericanas han sido un ejercicio del poder duro.

3. Ningún líder político asertivo utiliza un discurso incendiario.

Algunos candidatos presidenciales utilizan un discurso incendiario.

Algunos candidatos presidenciales no son líderes políticos asertivos.

4. Toda disciplina que defienda la existencia de poderes paranormales es pseudocientífica o pseudotecnológica.

Algunas disciplinas actuales defienden la existencia de poderes paranormales.

Algunas disciplinas actuales son pseudocientíficas o pseudotecnológicas.

5. Algunos funcionarios judiciales son personas sobornables.

Toda persona sobornable ejerce mal su profesión.

Algunas personas que ejercen mal su profesión son funcionarios judiciales.

6. Toda propuesta teórica que implica contradicciones es poco digna de crédito.

Algunas propuestas teóricas que implican contradicciones son perspectivas del constructivismo social.

Algunas perspectivas del constructivismo social son poco dignas de crédito.

7. Todos los coleópteros son invertebrados. Algunos coleópteros son coprófagos. Algunos coprófagos son invertebrados.

8. Ningún partidario del conductismo radical es mentalista. Todos los psicoanalistas son mentalistas.

Ningún psicoanalista es partidario del conductismo radical.

9. Algunos filósofos del derecho son iuspositivistas. Todos los filósofos del derecho son juristas.

Algunos juristas son iuspositivistas.

10. Ningún demócrata liberal creyó en el nazismo alemán o en el socialismo soviético. Algunos activistas políticos del siglo pasado creyeron en el nazismo alemán o en el socialismo soviético.

Algunos activistas políticos del siglo pasado no eran demócratas liberales.

C. Reescribir los siguientes argumentos como silogismos categóricos estandarizados y señalar su forma y su denominación tradicional de modo.

1. Todos los cuentos de Cortázar son obras narrativas creativas y profundas, pero ningún objeto narrativo creativo y profundo puede ser fácilmente comercializable; en consecuencia, ningún cuento de Cortázar puede ser fácilmente comercializable.

2. Todos los protistas son organismos biológicos; puesto que todos los flagelados son protistas, todos los flagelados son organismos biológicos.

3. Ningún avión de pasajeros es una aeronave militar, así, ninguna aeronave militar es un avión para civiles, puesto que todos los aviones de pasajeros son aviones para civiles.

4. Ninguna computadora personal es una máquina diseñada para hacer operaciones de alta complejidad, pero todas las supercomputadoras son máquinas diseñadas para hacer operaciones de alta complejidad, de donde se sigue que ninguna computadora personal es una supercomputadora.

5. Algunas plantas gramíneas son cultivadas industrialmente, pues todos los cereales son plantas gramíneas y algunas plantas cultivadas industrialmente son cereales.

6. Ninguna persona cerrada que rechaza toda innovación creativa puede ser un líder positivo; así, puesto que algunas personas cultas son personas cerradas que rechazan toda innovación creativa, algunos líderes positivos no son personas cultas.

7. Todos los poetas callejeros son personas que se rebelan contra el sistema educativo y algunos poetas callejeros son egresados de instituciones de educación superior; por lo tanto, algunas personas que se rebelan contra el sistema educativo son egresados de instituciones de educación superior.

8. Todos los sistemas de propulsión son tecnologías útiles; por lo tanto, algunas tecnologías útiles no son estadounidenses puesto que algunos sistemas de propulsión no son estadounidenses.

9. Ningún personaje de telenovela es emprendedor visionario; todos los emprendedores visionarios son personas cualificadas para los negocios; de donde se sigue que ningún personaje de telenovela es persona cualificada para los negocios.

10. Algunos liberales no son defensores de los derechos de minorías puesto que todos los defensores de los derechos de minorías son igualitaristas y algunos igualitaristas no son liberales.

D. De los siguientes argumentos, reescribirlos como silogismos categóricos estandarizados e identificar los que sean válidos por su modo. Considerar como válidos solo a los que posean alguno de los quince modos no debilitados.

1. Ningún cuento sofisticado es una obra que garantice profundidad filosófica, pero todos los cuentos de Borges son obras que garantizan profundidad filosófica, de donde se sigue que ningún cuento sofisticado es un cuento de Borges.

2. Algunas rutinas de ejercicio son recomendables para reducir talla, pues todas las sentadillas son rutinas de ejercicio y algunas sentadillas no son rutinas recomendables para reducir talla.

3. Ningún paciente diagnosticado con TDA es una persona de ánimo tranquilo; así, puesto que algunos pacientes diagnosticados con TDA son individuos creativos que cultivan las artes, algunas personas de ánimo tranquilo no son individuos creativos que cultivan las artes.

4. Todos los analistas políticos son intelectuales adoctrinados y algunos analistas políticos son altamente perspicaces; por lo tanto, algunos intelectuales adoctrinados son altamente perspicaces.

5. Ningún sistema político-económico realista garantiza la justicia social; por lo tanto, algunos modelos socialistas no garantizan la justicia social puesto que todos los modelos socialistas son sistemas político-económicos realistas.

6. Algunos héroes legendarios son poseedores de superpoderes; todos los héroes legendarios son individuos que lograron grandes hazañas; de donde se sigue que algunos poseedores de superpoderes lograron grandes hazañas.

7. Todos los perros nobles e inteligentes son mascotas recomendables para niños, pero ninguna mascota recomendable para niños debe ser inestable; en consecuencia, ningún perro noble e inteligente debe ser inestable.

8. Todos los juristas son amplios conocedores de jurisprudencias; puesto que todos los buenos doctrinistas son juristas, todos los buenos doctrinistas son amplios conocedores de jurisprudencias.

9. Ningún buque mercante es parte de una flota naval, así, ninguna embarcación civil es parte de una flota naval, puesto que todos los buques mercantes son embarcaciones civiles.

10. Algunos profesionistas no son expertos en su área puesto que todos los expertos en su área son personas maduras o mayores y algunos profesionistas no son personas maduras o mayores.

E. Señalar la falacia cometida por cada forma siguiente de silogismo categórico y la regla que infringe.

1. AAI-1

2. EEE-2

3. EAI-3

4. IAI-2

5. AAE-4

6. IEI-4

7. AII-2

8. EOI-3

9. AOO-4

10. IOI-1

F. Indicar la falacia cometida por cada silogismo inválido siguiente y la regla que infringe.

1. Ningún luchador profesional es débil.

Algunos deportistas no son débiles. Por lo tanto, algunos deportistas no son luchadores profesionales.

2. Algunos perros labradores no son buenos pastores.

Todos los perros labradores son juguetones.

Por lo tanto, ningún perro juguetón es buen pastor.

3. Algunos obreros calificados son bien pagados.

Algunos trabajadores de la industria no son obreros calificados.

Por lo tanto, algunos trabajadores de la industria no son bien pagados.

4. Todas las personas con sed son personas que beben más agua.

Todas las personas que beben menos agua son personas con sed.

Por lo tanto, todas las personas que beben menos agua son personas que beben más agua.

5. Todos los cuentos son piezas narrativas de corta extensión y pocos personajes.

Todas las declaraciones del fiscal del caso son cuentos.

Por lo tanto, todas las declaraciones del fiscal del caso son piezas narrativas de corta extensión y pocos personajes.

6. Algunos grandes artistas no son deportistas veloces.

Todos los corredores de cien metros planos son deportistas veloces.

Por lo tanto, todos los corredores de cien metros planos son grandes artistas.

7. Todos los deportes profesionales requieren dedicación y empeño. Algunos oficios artesanales requieren dedicación y empeño.

Por lo tanto, algunos deportes profesionales son oficios artesanales.

8. Algunos poetas no son lúcidos.

Todos los artistas son lúcidos.

Por lo tanto, ningún artista es poeta.

9. Todos los dispositivos eléctricos son mecanismos artificiales que consumen energía.

Todos los mecanismos artificiales que consumen energía son objetos contaminantes.

Por lo tanto, algunos objetos contaminantes son dispositivos eléctricos.

10. Algunas ceremonias de graduación no son actos solemnes y aburridos.

Algunos festejos de fin de cursos son ceremonias de graduación.

Por lo tanto, algunos festejos de fin de cursos no son actos solemnes y aburridos.

G. Considerar los términos S = famas, M = cronopios y P = cortazarianos para el modo silogístico original de cada inciso. Reducir cada modo al modo indicado en su respectivo inciso.

1. Un cesare a un celarent.

2. Un fresison a un ferio

3. Un disamis a un darii.

4. Un camenes a un celarent.

5. Un bocardo a un barbara por reducción indirecta.

6. Un datisi a un ferio por reducción indirecta.

7. Un baroco a un bocardo por reducción indirecta.

8. Un dimaris a un fresison por reducción indirecta.

9. Un barbara a un bocardo por reducción indirecta.

10. Un ferio a un datisi por reducción indirecta.

H. De los silogismos siguientes, refutar por medio de un argumento análogo los que sean inválidos, nombrar la falacia que cometen y la reglan que violan.

1. Ninguna botana producida industrialmente es un alimento nutritivo, porque ninguna botana producida industrialmente es un producto natural y todos los productos naturales son alimentos nutritivos.

2. Todos los individuos que viven en Nápoles son personas que comen espagueti y todas las personas que comen espagueti son personas a las que les gusta el espagueti. Por lo tanto, todos los individuos que viven en Nápoles son personas a las que les gusta el espagueti.

3. Ninguna bebida alcohólica es recomendable para pacientes diabéticos, porque todas las bebidas fermentadas son bebidas alcohólicas y ninguna bebida fermentada es recomendable para pacientes diabéticos.

4. Todos los dulces ocasionan caries porque todos los dulces son alimentos azucarados y algunas comidas que ocasionan caries no son alimentos azucarados.

5. Todas las bailarinas de ballet son personas con alto desarrollo psicomotriz, así que todas las bailarinas de ballet son hábiles puesto que todas las personas hábiles son personas con alto desarrollo psicomotriz.

6. Ninguna red social que carece de filtros es recomendable para menores de edad, pero algunos sitios de internet no son redes sociales que carezcan de filtros; en consecuencia, algunos sitios de internet son recomendables para menores de edad.

7. Algunas arañas no son animales venenosos, pero todas las arañas son artrópodos. Podemos concluir, entonces, que algunos animales venenosos no son artrópodos.

8. Algunos mamíferos cuyas extremidades terminan en pezuñas son rumiantes, porque todos los ciervos son mamíferos cuyas extremidades terminan en pezuñas y todos los ciervos son rumiantes.

9. Todos los defensores de la despenalización del aborto son liberales en materia de derechos civiles; así, todos los defensores de la despenalización del aborto son contrarios al conservadurismo recalcitrante, en la medida en que todos los liberales en materia de derechos civiles son contrarios al conservadurismo recalcitrante.

10. Todos los negacionistas del cambio climático son individuos desinformados o movidos por intereses mezquinos, y los seguidores radicales de Trump son negacionistas del cambio climático. Se sigue que todos los individuos desinformados o movidos por intereses mezquinos son seguidores radicales de Trump.

I. Responder a las preguntas sobre los silogismos categóricos estandarizados y realizar las demostraciones que se piden.

1. ¿Puede alguna figura contener un silogismo válido con tres proposiciones particulares afirmativas?

2. ¿Puede alguna figura contener un silogismo válido donde el término medio se encuentre distribuido en las dos premisas?

3. Probar que no puede ser válido un silogismo cuya premisa mayor sea particular afirmativa y cuya premisa menor sea una proposición universal negativa.

4. Probar que un silogismo válido de la primera figura no puede contener una premisa menor negativa.

5. Probar que la premisa mayor de un silogismo válido de la primera figura debe ser universal.

6. Probar que las premisas de un silogismo válido de la segunda figura deben diferir en calidad.

7. Probar que la premisa mayor de un silogismo válido de la segunda figura debe ser una proposición universal.

8. Probar que la conclusión de un silogismo válido de la tercera figura debe ser particular.

9. Probar que la premisa menor de un silogismo válido de la tercera figura debe ser afirmativa.

10. Probar que en un silogismo válido de la cuarta figura no pueden combinarse una premisa mayor universal negativa con una premisa menor universal afirmativa.

Capítulo 3

Los silogismos en el discurso ordinario

3.1. Silogismos categóricos no estandarizados

Cuando un silogismo es categórico y se encuentra estandarizado podemos aplicarle métodos para reconocer o evaluar su validez. Es posible reconocerla al identificar su modo barbara, celarent, etcétera, o determinar si efectivamente es válido con el método ya visto de revisión del cumplimiento de las reglas generales del silogismo o con métodos diagramáticos como los que veremos en la segunda parte de este texto

Es muy frecuente encontrar silogismos en el discurso ordinario, p ero difícilmente hallaremos silogismos estandarizados: lo común es que se encuentren “disfrazados” o sin forma estándar. Requieren, por tanto, procesos de traducción y estandarización para el reconocimiento o evaluación de su validez.

Puede haber más de una traducción de un silogismo no estandarizado a la forma estándar y todas las traducciones del mismo son lógicamente equivalentes. De modo que si un silogismo estandarizado es válido, todos sus equivalentes también lo son; y si el silogismo estandarizado no es válido, todos sus equivalentes son inválidos.

Un silogismo puede encontrarse no estandarizado debido a alguna de las siguientes razones:

1. Contar con premisas y conclusión en un orden distinto al estándar. Véase el ejemplo 1a, donde aparece primero la conclusión, luego la premisa menor y después la premisa mayor.

2. Aparentar más de tres términos. Obsérvese el ejemplo 1b, donde los términos asno y burro son sinónimos.

3. No tener debidamente estandarizadas todas sus proposiciones . Así ocurre en el ejemplo 1c, donde aparecen las proposiciones singulares Sócrates es hombre y Sócrates es mortal.

Ejemplo

a) Algunos felinos son mascotas, porque todos los gatos son felinos y algunos gatos son mascotas.

b) Todo asno es no equino.

Todos los equinos son mamíferos.

Luego, todos los burros son equinos.

c) Todos los hombres son mortales.

Sócrates es hombre.

Luego, Sócrates es mortal.

Veamos cómo reformular argumentos silogísticos no estandarizados a silogismos categóricos en forma estándar mediante la reducción a tres términos y la estandarización de proposiciones.

Reducción a tres términos

Pueden reducirse los términos de un argumento silogístico a tres mediante la supresión de expresiones sinónimas o la eliminación de complementos de clase. Para eliminar expresiones sinónimas supondremos que se refieren a la misma clase. Y para eliminar complementos de clase utilizaremos las inferencias inmediatas por conversión, obversión o contraposición que explicamos en 1.5.

En el siguiente argumento silogístico parece haber cinco términos: alumnos, estudiantes, (personas que son) menores de edad, (personas que) elaboraron ensayos sesudos y (personas que) elaboraron ensayos juiciosos. Pero se tradujo a la forma estándar mediante la supresión de dos expresiones sinónimas; así quedaron claramente explicitados los tres términos: alumnos, menores de edad y (personas que) elaboraron ensayos juiciosos.

Ejemplo

Silogismo no estandarizado

Todos los alumnos elaboraron ensayos sesudos.

Algunos estudiantes son menores de edad.

Por tanto, algunos menores de edad elaboraron ensayos juiciosos.

Silogismo estandarizado

Todos los alumnos elaboraron ensayos juiciosos.

Algunos alumnos son menores de edad.

Por tanto, algunos menores de edad elaboraron ensayos juiciosos.

El silogismo estandarizado es válido, pues cumple con todas las reglas del silogismo y se trata de un datisi

El argumento silogístico siguiente fue traducido de modo que resultó un barbara y un celarent.

Ejemplo

Silogismo no estandarizado

Ningún mamífero es no vertebrado.

Todos los no mamíferos son no felinos.

Por tanto, ningún felino es no vertebrado.

Silogismo estandarizado barbara

Todos los mamíferos son vertebrados.

Todos los felinos son mamíferos.

Por tanto, todos los felinos son vertebrados.

Silogismo estandarizado celarent

Ningún mamífero es no vertebrado.

Todos los felinos son mamíferos.

Por tanto, ningún felino es no vertebrado.

El argumento silogístico sin estandarizar no parecía claramente válido, pero fue posible estandarizarlo como barbara al obvertir la premisa mayor y la conclusión, y al contraponer la premisa menor; también se estandarizó como un celarent al solo contraponer la premisa menor.

Téngase en cuenta que a veces se requieren varias inferencias inmediatas para estandarizar un argumento silogístico no estandarizado y que los complementos de clase pueden aparecer expresados de formas diversas, como inanimado es complemento de

animado o amigos que no llegaron temprano es complemento de amigos que llegaron temprano. En general, cualquier silogismo no estandarizado puede traducirse a la forma estándar si es posible reducir sus términos a tres.

Estandarización de proposiciones

Muchas proposiciones pueden traducirse a proposiciones categóricas de forma estándar con las debidas modificaciones. Algunas se expresarían finalmente con una sola proposición categórica y otras con dos proposiciones categóricas.

No hay una lista de reglas para esta traducción a la forma estándar, pero sí es factible describir algunos procedimientos sencillos para diversos casos como los que siguen.

TRADUCCIÓN HACIA UNA PROPOSICIÓN CATEGÓRICA

1. Proposiciones categóricas cuyos elementos no siguen un orden estándar y/o requieren explicitaciones

Algunas proposiciones no explicitan los determinantes “todo”, “algún”, “ningún” o los colocan en lugares sintácticos distintos a los de una proposición categórica en forma estándar. Véase la traducción de las siguientes.

Ejemplo

Proposiciones originales

Los perros callejeros son todos inteligentes.

Camarón que se duerme, se lo lleva la corriente.

Proposiciones traducidas

Todos los perros callejeros son inteligentes.

Todos los camarones que se duermen son camarones que se lleva la corriente.

2. Proposiciones categóricas con adjetivos, frases adjetivales o frases preposicionales

Muchas proposiciones categóricas contienen adjetivos, frases adjetivales o frases preposicionales que designan atributos en lugar de sustantivos. Asumiremos sin discusión que todo atributo determina a una clase, la clase de los objetos que poseen dicho atributo.9

En casos como estos será necesario emplear el parámetro o expresión auxiliar “individuo” para clarificar la clase aludida por el atributo.

Ejemplo

Proposiciones originales

Algunos pensadores no son confusos.

Todos los ciudadanos están prestos a ejercer sus derechos democráticos. Los catalanes son de Cataluña.

Proposiciones traducidas

Algunos pensadores no son individuos confusos.

Todos los ciudadanos son individuos prestos a ejercer sus derechos democráticos.

Todos los catalanes son individuos de Cataluña.

9 En teoría de conjuntos no todo atributo o propiedad determina a un conjunto. Por ejemplo, en la llamada paradoja de Russell, cuando definimos al conjunto de los conjuntos que posean la propiedad de no pertenecerse a sí mismos encontramos que no es posible determinar si el propio conjunto definido se pertenecería a sí mismo, porque si no se pertenece, entonces por su propia def inición se pertenece; pero si se pertenece, entonces cumple con la propiedad de no pertenecerse. La propiedad de ser un conjunto que no se pertenece a sí mismo resulta paradójica y no parece determinar a conjunto alguno.

3. Proposiciones donde el verbo no es el copulativo ser/estar, pero pueden reformularse como categóricas de forma estándar

Aquí se añadirán parámetros como “objeto” o “ser”.

Ejemplo

Proposiciones originales

Todas las estrellas resplandecen en el firmamento.

Algunos animales vuelan.

Proposiciones traducidas

Todas las estrellas son objetos que resplandecen en el firmamento.

Algunos animales son seres que vuelan.

4. Proposiciones cuya cantidad no está indicada por los cuantificadores estándar “todo”, “ningún”, “algún” o tales cuantificadores aparecen negados .

En estos casos normalmente es fácil determinar qué cuantificador estándar debe explicitarse.

Ejemplo

Proposiciones originales

A cada santo se le llega su día.

Quienesquiera que sean los que cuentan esa versión están equivocados.

Un ratón estaba escondido.

El elefante es paquidermo.

Los gatos no son herbívoros.

Hay periodistas corruptos.

Existen periodistas que son corruptos.

No todos los futbolistas son disciplinados.

Proposiciones traducidas

Todos los santos son individuos a los que se les llega su día.

Todos los que cuentan esa versión son individuos que están equivocados.

Algún ratón era un animal escondido.

Todos los elefantes son paquidermos.

Ningún gato es herbívoro.

Algún periodista es un individuo corrupto.

Algún periodista es un individuo corrupto.

Algún futbolista no es disciplinado.

5. Proposiciones exclusivas

Llamaremos proposiciones exclusivas a las que afirman que el predicado se aplica únicamente al sujeto nombrado. Suelen comenzar con expresiones excluyentes como “solo”, “nadie más que”, “nadie salvo”, “únicamente”, “exclusivamente”, etcétera. Tales proposiciones suelen traducirse a proposiciones A mediante el intercambio del sujeto y el predicado y la sustitución de la expresión excluyente por el cuantificador universal “todo”.

Ejemplo

Proposiciones originales

Solo los gatos son mascotas egoístas.

Nadie más que los valientes pasan a la siguiente ronda.

Proposiciones traducidas

Todas las mascotas egoístas son gatos.

Todos los que pasan a la siguiente ronda son valientes.

6. Proposiciones que requieren parámetros de tiempo, lugar o circunstancia

Muchas proposiciones pueden estandarizarse si se les agregan parámetros que aludan a cosas como el tiempo, el lugar, las circunstancias, etcétera. Consideremos las proposiciones del ejemplo siguiente. (1a) se reformuló como (2a) gracias a la utilización del parámetro temporal veces, pues la expresión "siempre que bebe" puede interpretarse también como la expresión "todas las veces que bebe". La proposición (1b) se puede replantear como equivalente de (2b) siempre y cuando se aclare que la palabra "nunca" no se refiere a todas las veces en general sino a las veces que llega a clases. Para la reformulación de (1c) como (2c) se requirió el parámetro casos. (1d) y (1e) se reformularon con la utilización del parámetro lugar; en el caso específico de la transformación de (1e) en (2e) tenemos como resultado una proposición singular que puede tratarse como proposición categórica según lo explicaremos en el tema que sigue sobre proposiciones que se traducen a dos proposiciones categóricas.

Ejemplo

Proposiciones originales (1) a. Siempre que bebe se emborracha.

b. Nunca llega temprano a clases.

c. Cuando falta liderazgo reina el desorden.

d. Donde no hay vigilancia se cometen ilícitos.

e. No hay vacantes aquí.

Proposiciones traducidas

(2) a. Todas las veces que bebe son veces que se emborracha.

b. Todas las veces que llega a clases son veces que no llega temprano.

c. Todos los casos en que falta liderazgo son casos en que reina el desorden.

d. Todos los lugares donde no hay vigilancia son lugares donde se cometen ilícitos.

e. Este lugar es un lugar donde no hay vacantes.

La utilización de parámetros puede ayudar a adecuar las proposiciones de un argumento silogístico de modo que cuenten con los tres términos que debe tener un silogismo categórico en forma estándar. Veamos el argumento silogístico del ejemplo que sigue.

Ejemplo

Argumento original

Aquí se carece de toda vigilancia, por eso se cometen ilícitos; pues donde no hay vigilancia se cometen ilícitos.

Argumento traducido

Todos los lugares donde no hay vigilancia son lugares donde se cometen ilícitos.

Este lugar es un lugar donde no hay vigilancia. Por tanto, este lugar es un lugar donde se cometen ilícitos.

El argumento traducido puede tratarse como un silogismo categórico de forma estándar pues cuenta con proposiciones singulares que son tratables como proposiciones categóricas según veremos a continuación.

INTERPRETACIÓN Y TRADUCCIÓN A DOS PROPOSICIONES CATEGÓRICAS

7. Proposiciones singulares

Las proposiciones singulares como “Aristóteles es lógico” o “Este lugar no es seguro” no afirman una inclusión o exclusión entre clases (como hacen las proposiciones categóricas) sino la pertenencia o no pertenencia de un individuo u objeto a una clase.

Tienen la forma general

s es P

cuando son afirmativas, y la forma general

s no es P

cuando son negativas.

Asumiremos que las proposiciones singulares tratan con clases y el individuo nombrado por s correspondería a la clase unitaria (una clase de un solo miembro) cuyo único objeto sería ese individuo. Afirmar que el objeto s pertenece a la clase P implicaría aseverar que la clase unitaria S, que contiene como único elemento a s, está incluida en la clase P; y afirmar que el objeto s no pertenece a P implicaría que la clase unitaria S, cuyo único elemento es s, no está contenida en la clase P.

La mejor forma de interpretar una proposición singular es como una conjunción de proposiciones categóricas, específicamente como una conjunción de universal y particular. No las reescribiremos como tal conjunción, pero sí las interpretaremos así.

Las proposiciones singulares no pueden tratarse como exclusivamente universales ni como exclusivamente particulares, porque las singulares poseen las dos propiedades de distribuir al término sujeto –como las universales– y de poseer contenido existencial –como las particulares–.

De acuerdo con la interpretación booleana adoptada, las proposiciones universales carecen de carga existencial, es decir, pueden tratar con clases vacías. Esta parte del significado lógico de una proposición universal no se corresponde con las proposiciones singulares, pues éstas sí poseen carga existencial debido a que la clase unitaria contiene un individuo. Si a las proposiciones singulares las interpretáramos como universales sin más, podríamos elaborar silogismos válidos cuyas traducciones a formas estándar resultarían inválidas, como en el ejemplo siguiente.

Ejemplo

Silogismo original con proposiciones singulares. Es válido. s es P.

s no es Q. Por tanto, algún P no es Q.

Silogismo traducido con proposiciones universales. Es inválido, pues comete la falacia existencial.

Todos los S son P. Ningún S es Q.

Por tanto, algún P no es Q.

Ahora bien, si interpretamos las proposiciones singulares como meramente existenciales, tendríamos la dificultad de que estas no distribuyen al término sujeto, no lo toman en su totalidad, por lo que podríamos contar con silogismos obviamente válidos con proposiciones singulares pero no válidos en su traducción. Véase el ejemplo siguiente.

Ejemplo

Silogismo original con proposiciones singulares. Es válido.

s es P.

s no es Q.

Por tanto, algún P no es Q.

Silogismo traducido con proposiciones particulares. Es inválido, pues comete la falacia del término medio no distribuido.

Algún S es P.

Algún S no es Q.

Por tanto, algún P no es Q.

Una proposición singular afirmativa debe interpretarse como una conjunción de las afirmativas e , y una proposición singular negativa debe interpretarse como una conjunción de las negativas y . En ambos casos se interpretan así, pero la proposición singular no deberá modificarse en su notación.

Todo silogismo cuyas proposiciones singulares sean debidamente interpretadas podrá evaluarse con las reglas generales del silogismo o con los métodos diagramáticos.

Las proposiciones singulares se expresan con diagramas de Venn del siguiente modo:

Nótese que la representación diagramática de la proposición singular afirmativa incluye tanto la representación de su correspondiente proposición universal con el sombreado como de su correspondiente proposición particular con la cruz. Así ocurre también con el diagrama de la proposición singular negativa.

8. Proposiciones exceptivas

Denominamos proposiciones exceptivas a aquellas que afirman que a todos los miembros de una clase, menos a los de cierta subclase, se les aplica el predicado. Las proposiciones de excepción incluyen dos aseveraciones universales: Todos los no S son P y Ningún S es P. Estas dos proposiciones expresan juntas que S y P son clases complementarias, es decir, S equivale a no P y P equivale a no S.

Ejemplo

Proposiciones originales

Todos excepto los finalistas fueron descalificados.

Solo los finalistas no fueron descalificados.

Proposiciones traducidas

Todos los no finalistas fueron descalificados y ningún finalista fue descalificado.

Todos los no finalistas fueron descalificados y ningún finalista fue descalificado.

La representación diagramática de una proposición exceptiva requiere tomar un marco de referencia o universo de discurso expresado con un rectángulo. 10

9. Proposiciones con cuantificadores cuasinuméricos

Hay proposiciones que utilizan cuantificadores no estándares como los numéricos "uno", "dos", "tres", etcétera, o los cuasinuméricos "varios", "muchos", "la mayoría", entre otros. En varios argumentos la información numérica o cuasinumérica es relevante para determinar su validez, pero a menudo no son susceptibles de tratamiento silogístico. Sin embargo, hay argumentos que cuentan con proposiciones de cuantificación cuasinumérica que sí pueden interpretarse como proposiciones categóricas sin gran pérdida de información. Así ocurre con proposiciones que contienen cuantificadores como "casi todos", "casi todo el mundo", "prácticamente todos" o "todos salvo unos cuantos". Interpretaremos que las proposiciones con cuantificación cuasinumérica de la forma “Casi todos los S son P” incluyen dos aseveraciones particulares: algún S es P y algún S no es P.

Ejemplo

Proposiciones originales

Casi todos los trabajadores serán despedidos.

Todos salvo unos cuantos trabajadores serán despedidos.

Proposiciones traducidas

Algunos trabajadores serán despedidos y algunos trabajadores no serán despedidos. Algunos trabajadores serán despedidos y algunos trabajadores no serán despedidos.

El diagrama correspondiente a estas proposiciones es como sigue:

10 Véase el tema de los diagramas de Venn -Peirce en el capítulo 9.

El cuadro siguiente ordena las proposiciones aquí vistas que incluyen dos aseveraciones

Tipo

Singulares

Forma

Afirmativas: s es P

Negativas: s no es P

Exceptivas Todos excepto los S son P

Con cuantificación cuasinumérica

Casi todos los S son P

Interpretación

Todo S es P y algún S es P

Ningún S es P y algún S no es P

Todos los no S son P y ningún S es P

Algunos S son P y algunos S no son P

Tratamiento silogístico de argumentos con proposiciones singulares, exceptivas y de cuantificación cuasinumérica

Debido a que las proposiciones singulares, las exceptivas y las que contienen cuantificación cuasinumérica no se interpretan con una sola proposición categórica, los argumentos que las contienen no son silogismos estrictos; sin embargo, es posible en varios casos evaluar su validez mediante un tratamiento silogístico. A las proposiciones singulares bastará con interpretarlas como universales con carga existencial; y tanto a las exceptivas como a las de cuantificación cuasinumérica las traduciremos a sus dos proposiciones categóricas correspondientes para luego dividir el argumento original en silogismos categóricos de forma estándar y aplicarles los métodos ya vistos.

Tomemos argumentos de dos premisas. El argumento siguiente posee en la primera premisa la proposición exceptiva “Todos excepto los trabajadores de confianza recibirán aumento” que se traduce como “Todos los que no son trabajadores de confianza recibirán aumento” y “ningún trabajador de confianza recibirá aumento”. Formamos así dos silogismos categóricos donde solo sustituimos la premisa exceptiva por una de sus aseveraciones y la combinamos con la segunda premisa. Como uno de los silogismos extraídos es válido (pues la aseveración “ningún trabajador de confianza recibirá aumento” y la segunda premisa implican juntas la conclusión) y la información de las premisas del argumento original contiene a la información de las premisas de cada silogismo extraído, el argumento original es válido.

Ejemplo

Argumento original

Todos excepto los trabajadores de confianza recibirán aumento.

Algunos trabajadores de confianza protestarán. Por tanto, algunos que protestarán no recibirán aumento.

Argumento con traducción de la proposición exceptiva

Todos los que no son trabajadores de confianza recibirán aumento y ningún trabajador de confianza recibirá aumento.

Algunos trabajadores de confianza protestarán. Por tanto, algunos que protestarán no recibirán aumento.

Los dos silogismos categóricos extraídos

a) Todos los que no son trabajadores de confianza recibirán aumento.

Algunos trabajadores de confianza protestarán. Por tanto, algunos que protestarán no recibirán aumento. Es inválido y comete la falacia del cuarto término

b) Ningún trabajador de confianza recibirá aumento.

Algunos trabajadores de confianza protestarán.

Por tanto, algunos que protestarán no recibirán aumento.

Es válido y posee el modo ferison.

Tomemos ahora un argumento con proposición de cuantificador cuasinumérico. Como uno de los silogismos extraídos es válido, el argumento original es válido.

Ejemplo

Argumento original

Solo los despedidos recibirán indemnización.

Casi todos los trabajadores serán despedidos.

Luego, algunos trabajadores no recibirán indemnización.

Argumento con traducción de la proposición con cuantificación cuasinumérica

Todos los que recibirán indemnización son despedidos.

Algún trabajador será despedido y algún trabajador no será despedido.

Por tanto, algunos trabajadores no recibirán indemnización.

Los dos silogismos categóricos extraídos

a) Todos los que recibirán indemnización son despedidos.

Algún trabajador será despedido.

Luego, algún trabajador no recibirá indemnización.

Es inválido y comete la falacia del término medio no distribuido.

b) Todos los que recibirán indemnización son despedidos.

Algún trabajador no será despedido.

Luego, algún trabajador no recibirá indemnización. Es válido y posee el modo baroco

Veamos un argumento donde una premisa y la conclusión son proposiciones singulares afirmativas. Ya sabemos que serán interpretadas como universales afirmativas con carga existencial.

Ejemplo

Argumento original

Todos los científicos son inteligentes. Newton era científico.

Por tanto, Newton era inteligente. Es válido y posee el modo barbara

El argumento siguiente cuenta con dos premisas que son proposiciones singulares afirmativas. Será válido debido a la carga existencial que atribuimos a tales proposiciones.

Ejemplo

Argumento original

Newton era inteligente. Newton era científico.

Por tanto, algún científico era inteligente. Es válido, su forma lógica AAI-3 corresponde al modo darapti.

3. 2. Silogismos entimemáticos

Es muy frecuente encontrar argumentos donde una o más proposiciones no se encuentran explicitadas, pero por el contexto y el conocimiento común es fácil determinar cuál o cuáles proposiciones faltan. A estos argumentos se les llama entimemas. Entre las razones que pueden citarse para presentar argumentos entimemáticos están el que la proposición faltante puede ser considerada obvia en ese contexto, el que se busca conseguir algún efecto retórico de persuasión o quizá porque el argumentador d esea ocultar la debilidad de su argumento no enunciando la premisa menos plausible.

Entre los argumentos entimemáticos suele haber varios que son susceptibles de tratamiento silogístico. De hecho, en la teoría lógica tradicional un entimema era un silogismo retórico que no enunciaba alguna de sus partes. En el ejemplo siguiente vemos tres argumentos silogísticos entimemáticos donde el primero omite una proposición obvia, el segundo no enuncia una proposición por fines persuasivos y el tercero omite una proposición poco plausible. Desde luego que una buena crítica a entimemas como el último puede provenir de identificar y explicitar a la premisa implausible que requeriría para ser válido.

Ejemplo

a) Entimema de premisa faltante obvia

Tom Cruise es supersticioso porque cree en la cienciología.

Argumento silogístico explicitado

Todos los individuos que creen en la cienciología son supersticiosos.

PREMISA IMPLÍCITA

Tom Cruise es un individuo que cree en la cienciología.

Por tanto, Tom Cruise es supersticioso.

b) Entimema que busca un efecto persuasivo

Merezco que me ames, puesto que yo te amo.

Argumento silogístico explicitado

Todos los individuos que te aman son individuos que merecen tu amor.

PREMISA IMPLÍCITA

Yo soy un individuo que te ama.

Por tanto, yo soy un individuo que merece tu amor.

c) Entimema que oculta una premisa poco plausible

La ablación debe conservarse porque es una tradición antigua.

Argumento silogístico explicitado

Todas las tradiciones antiguas deben conservarse.

PREMISA IMPLÍCITA

La ablación es una tradición antigua.

Por tanto, la ablación debe conservarse.

Cuando se evalúa la validez de un entimema es preciso completar la proposición o proposiciones sobreentendidas pues los entimemas sin completar resultan argumentos inválidos e incluso pueden perder la apariencia de ser argumentos. Los argumentos

silogísticos del ejemplo anterior son válidos, pues con la explicitación de las premisas que se habían omitido y la estandarización de sus proposiciones resultan del modo (recuérdese que las proposiciones singulares pueden interpretarse como universales). Ordinariamente es sencillo determinar cuál es la proposición faltante por medio de la información del contexto en que fue emitido el argumento o por el conocimiento común de los individuos que participan del proceso argumentativo. El emisor del argumento entimemático ha de considerar a esa proposición como una ampliamente admisible como verdadera por el receptor o receptores del argumento. Los silogismos entimemáticos pueden ser de tres tipos, según la proposición que haya quedado implícita:

1. De primer orden: Aquellos donde la premisa mayor no se enuncia.

2. De segundo orden: Aquellos donde la premisa menor no se enuncia.

3. De tercer orden: Aquellos donde la conclusión no se enuncia.

El ejemplo siguiente ilustra un caso de cada tipo de entimema.

Ejemplo

Silogismo entimemático de primer orden

Los terroristas son perversos porque utilizan la violencia indiscriminada.

Silogismo entimemático de segundo orden

Luis es un buen literato pues los autores valorados por la crítica son buenos literatos.

Silogismo entimemático de tercer orden

Ningún defensor de la democracia es fascista y Lupita es una defensora de la democracia.

En los tres casos es fácil identificar la proposición no enunciada. La premisa mayor faltante del primer entimema es “Todo individuo que utiliza la violencia indiscriminada es perverso”, la premisa menor suprimida del segundo entimema es “Luis es un aut or valorado por la crítica” y la conclusión no enunciada del tercer entimema es “Lupita no es fascista”.

Los silogismos entimemáticos de tercer orden pueden presentar algunas complicaciones al evaluar su validez, pues si no se enuncia la conclusión es posible que no resulte claro cuál es el término menor y cuál el mayor del silogismo; de ahí que tampoco pueda saberse cuál es la premisa menor y cuál la mayor. Y muchas veces el lugar que ocupa cada premisa es fundamental para la validez del silogismo. Véase el entimema del ejemplo siguiente donde solo aparecen las premisas; de acuerdo con cuál sea la premisa mayor y cuál la menor el silogismo obtenido puede resultar válido o no válido.

Ejemplo

Silogismo entimemático de tercer orden

Algunos militantes de partidos políticos son personas inmorales y ningún ciudadano independiente es militante de un partido político.

Silogismo categórico inválido que comete la falacia de ilícito mayor

Algunos militantes de partidos políticos son personas inmorales. Ningún ciudadano independiente es militante de un partido político.

Por tanto, algunos ciudadanos independientes no son personas inmorales.

Silogismo categórico válido del modo fresison

Ningún ciudadano independiente es militante de un partido político. Algunos militantes de partidos políticos son personas inmorales. Por tanto, algunas personas inmorales no son ciudadanos independientes.

También cabe la posibilidad de que pueda identificarse fácilmente la invalidez de un entimema de tercer orden, si las premisas fueran ambas negativas o ambas particulares , pues se cometería la falacia de premisas exclusivas o se contradiría al teorema 3 probado en 2.6.

3. 3. Silogismos encadenados y sorites

Las propiedades de ser premisa y de ser conclusión son relativas al contexto. Una misma proposición puede funcionar como premisa en un argumento y como conclusión en otro argumento, e incluso como premisa y conclusión del mismo argumento si se tratara de alguna forma de la falacia de petición de principio. Esto hace posible la elaboración de cadenas argumentales entre las que podemos destacar a los silogismos encadenados o cadenas de silogismos que, como su nombre lo indica, son argumentos constituidos con pilas de dos o más silogismos concatenados donde la conclusión del primer silogismo es premisa del segundo y la conclusión del segundo es premisa del tercero, etcétera, hasta llegar a la conclusión del último silogismo que es también la conclusión de la ca dena de silogismos. Cualquier conclusión que no sea la última del argumento en cadena es una subconclusión del mismo y solo la conclusión última es la conclusión del argumento.

La forma general de una cadena argumental de n silogismos sería la siguiente:

Obsérvese la siguiente cadena de dos silogismos donde la proposición "ningún conservador es progresista" es conclusión del primer silogismo y premisa del segundo silogismo.

Ejemplo Ningún progresista es partidario del orden establecido. Todos los conservadores son partidarios del orden establecido. Por tanto, ningún conservador es progresista. Algunos tradicionalistas son conservadores. Por tanto, algunos tradicionalistas no son progresistas.

Una cadena de silogismos se encuentra estandarizada si y solo si todos sus silogismos componentes están estandarizados. Probar la validez de una cadena de silogismos equivale a probar la validez de cada silogismo constitutivo. Una cadena es válida si y solo si todos sus silogismos componentes son válidos. Nótese que el primer silogismo de la

cadena del ejemplo anterior es un cesare y el segundo es un ferio; se trata, desde luego, de una cadena válida.

A veces encontramos argumentos de tres o más premisas que implican cierta conclusión, pero su derivación lógica no es tan inmediata ni tan obvia. Se trata de cadenas argumentales que no enuncian uno o más de sus enunciados que pueden funcionar como conclusiones y/o como premisas. A tales cadenas se les conoce técnicamente como sorites. Se les llama así debido a que el término "sorites" proviene del griego soros que significa montón o pila; en el presente contexto un sorites es una pila de silogismos expresada como entimema. El ejemplo siguiente contiene el argumento o cadena argumental del ejemplo anterior, pero expresado como un sorites donde se omite la conclusión del primer silogismo "ningún conservador es progresista" que es también premisa del segundo silogismo.

Ejemplo Ningún progresista es partidario del orden establecido. Todos los conservadores son partidarios del orden establecido. Algunos tradicionalistas son conservadores. Por tanto, algunos tradicionalistas no son progresistas.

Para evaluar sorites como el anterior es preciso completar los enunciados faltantes y proceder como lo haríamos con una cadena argumental. Un sorites es válido si y solo si todos sus silogismos componentes lo son. Si un sorites se encuentra estandarizado, todas sus proposiciones están estandarizadas, cada término ocurre dos veces y toda proposición posee un término en común con la que le sigue, excepto la conclusión. Véa se que el sorites del ejemplo anterior se encuentra en forma estándar y es válido.

3.4. Silogismos disyuntivos

Los silogismos son argumentos deductivos que constan de dos premisas y una conclusión. Hay varios tipos de silogismos denominados por el tipo de proposiciones que contienen. Hasta ahora hemos visto únicamente los silogismos categóricos, cuya característica específica es tener sus tres proposiciones categóricas. Veremos ahora otro tipo de silogismos, los llamados silogismos disyuntivos.

Las proposiciones categóricas que hemos estudiado son simples, en el sentido de que no cuentan con ninguna parte componente que sea otra proposición. Las proposiciones compuestas serían aquellas que cuentan con otra parte o partes que sí son proposiciones.

Las proposiciones disyuntivas o alternativas son proposiciones compuestas que cuentan con dos proposiciones componentes llamadas disyuntos que se presentan como alternativas. Frecuentemente los disyuntos aparecen unidos por la conjunción disyuntiva "o" en la proposición disyuntiva. Véase las proposiciones disyuntivas siguientes.

Ejemplo

a) O comeremos ensalada o espagueti.

b) O bien Crumm es culpable o Moriarty es culpable.

El primer disyunto de la proposición disyuntiva a es "comeremos ensalada" y el segundo disyunto es "(comeremos) espagueti". El primer disyunto de la proposición disyuntiva b es "Crumm es culpable" y el segundo disyunto es "Moriarty es culpable".

Las proposiciones disyuntivas no afirman la verdad de sus dos disyuntos, sino la de al menos uno de ellos; es decir, la proposición afirma que o es verdadero el primer disyunto, o es verdadero el segundo disyunto, o son verdaderos ambos disyuntos.

Los silogismos disyuntivos cuentan con una premisa disyuntiva, es decir, una premisa que es proposición disyuntiva y una conclusión que afirma la verdad de uno de los disyuntos de tal premisa. Si la otra premisa fuera la negación lógica de uno de los disyuntos y la conclusión afirmara la verdad del otro disyunto, el silogismo disyuntivo sería válido.

Ejemplo

a) O comeremos ensalada o espagueti. No comeremos ensalada.

Por tanto, comeremos espagueti.

b) O bien Crumm es culpable o Moriarty es culpable. Crumm es culpable.

Luego, Moriarty es culpable.

c) O llueve o sopla el viento.

Es verdad que llueve.

Por tanto, no sopla el viento.

El silogismo a es válido, pues de aceptar la verdad de las opciones enunciadas en la premisa disyuntiva y de negar que se comerá ensalada en la segunda premisa se sigue necesariamente que se comerá lo de la segunda opción, el espagueti. El silogismo b no es válido, pues aunque fueran ciertas las premisas puede ocurrir que la conclusión fuera falsa; es decir, podría ocurrir que Crumm fuera culpable –lo cual hace ciertas a las premisas–, y que Moriarty no fuera culpable –lo que haría falsa a la conclusión–. El silogismo c tampoco es válido debido a que podría llover y soplar el viento, lo que haría ciertas a las premisas y falsa a la conclusión. Algunos silogismos disyuntivos entimemáticos como el siguiente parecen contraejemplos de lo dicho aquí respecto a la validez de un silogismo disyuntivo.

Ejemplo

O Juan está en México o Juan está en España. Juan está en México.

Por tanto, Juan no está en España.

Parece que al afirmar en la segunda premisa uno de los disyuntos de la primera premisa se implicó la falsedad del otro en la conclusión. Pero esto es engañoso. La proposición disyuntiva que aparece enunciada en este argumento no resultó determinante par a su validez, sino otra proposición no enunciada que expresaría la incompatibilidad de que Juan pueda estar en México y en España a la vez. Tal proposición podría decir algo como “O Juan no está en México o Juan no está en España (a la vez)”. Esta es la pr emisa disyuntiva relevante que, combinada con la segunda premisa, arroja la conclusión de que Juan no está en España. La segunda premisa "Juan está en México" sí niega a una de las alternativas de la premisa disyuntiva relevante y por ello se infiere con v alidez la otra alternativa en la conclusión.

3. 5. Silogismos hipotéticos

Las proposiciones hipotéticas o condicionales son proposiciones compuestas que expresan la idea de si se da cierta condición, se obtiene determinada consecuencia.

Ejemplo

Si naciste en Jalisco, entonces naciste en México. Si este animal es un mamífero, entonces es un vertebrado.

Las proposiciones condicionales poseen dos proposiciones constitutivas, la que le sigue a la palabra “si”, que es llamada antecedente, y la que sigue a la palabra “entonces”, que se llama consecuente. Los antecedentes de las proposiciones anteriores son “naciste en Jalisco” y “este animal es un mamífero”; los consecuentes son “naciste en México” y “(este animal) es un vertebrado”. Una proposición condicional no afirma la verdad de su antecedente ni la de su consecuente, sino el vínculo condicional entre ambos; es decir, afirma que si el antecedente fuera verdadero, el consecuente también lo sería.

Los silogismos que poseen al menos una proposición condicional se llaman silogismos hipotéticos. Si sus dos premisas son condicionales, se trata de un silogismo hipotético puro; si solo una premisa es condicional, se trata de un silogismo hipotético mixto. El siguiente silogismo hipotético es puro.

Ejemplo

Si naciste en Guadalajara, naciste en Jalisco. Si naciste en Jalisco, naciste en México. Por lo tanto, si naciste en Guadalajara, naciste en México.

Véase que el antecedente de la primera premisa (“naciste en Guadalajara”) es también el antecedente de la conclusión y el consecuente de la segunda premisa (“naciste en México”) es también el consecuente de la conclusión. El consecuente de la primera premisa (“naciste en Jalisco”) es también antecedente de la segunda premisa, y funciona como un enlace entre el antecedente y consecuente de la conclusión. Todo silogismo hipotético puro que posea esta forma es válido.

Tratemos ahora con dos silogismos hipotéticos mixtos válidos, el llamado modus ponens y el llamado modus tollens. El siguiente ejemplo muestra un modus ponens.

Ejemplo

Si naciste en Guadalajara, naciste en Jalisco.

Naciste en Guadalajara.

Por lo tanto, naciste en México.

En el modus ponens el antecedente de la premisa condicional es afirmado en la otra premisa y el consecuente de la premisa condicional es afirmado por la conclusión.

El siguiente ejemplo es un modus tollens.

Ejemplo

Si naciste en Guadalajara, naciste en Jalisco.

No naciste en Jalisco.

Por lo tanto, no naciste en Guadalajara.

En el modus tollens el consecuente de la premisa condicional aparece negado en la otra premisa y el antecedente de la premisa condicional es negado en la conclusión.

Tratemos ahora dos silogismos hipotéticos mixtos que no son válidos, pero guardan cierto parecido con los anteriores. Se les conoce como la falacia de afirmación del consecuente y la falacia de negación del antecedente.

El silogismo siguiente es una falacia de afirmación del consecuente.

Ejemplo

Si naciste en Guadalajara, naciste en Jalisco.

Naciste en Jalisco.

Por lo tanto, naciste en Guadalajara.

Como su nombre lo indica, esta falacia afirma el consecuente de la premisa condicional en la otra premisa, y de ello pretende inferir el antecedente de la premisa condicional.

El siguiente silogismo es una falacia de negación del antecedente.

Ejemplo

Si naciste en Guadalajara, naciste en Jalisco.

No naciste en Guadalajara.

Por lo tanto, no naciste en Jalisco.

Esta falacia busca inferir la negación del consecuente de la premisa condicional de la negación de su antecedente.

3.6. Silogismos cornudos o dilemas

Los dilemas son un tipo de argumentos que establecen dos alternativas entre las que se debe elegir y donde a menudo la consecuencia de optar por cualquiera de ellas es mala, indeseable o inevitable. Son comunes en situaciones donde se busca atrapar a un oponente para orillarlo a aceptar alguna de las opciones y sus consecuencias. Las alternativas se presentan con una premisa disyuntiva y la conclusión final de los disyuntos puede ser o no a su vez una proposición disyuntiva.

Las premisas de los dilemas no requieren figurar en un orden fijo. Comúnmente se les expresa de modo simplificado con una premisa disyuntiva, otra premisa que conjunta dos proposiciones hipotéticas que indican la consecuencia de cada alternativa y la co nclusión de este modo:

Premisa disyuntiva

Conjunción de proposiciones hipotéticas

Conclusión

Es usual, además, que los dilemas se expresen entimemáticamente de modo que alguna premisa o la conclusión se omitan.

Se dice que quien está en un dilema “está atravesado por los cuernos de un dilema”, porque el dilema sería un “silogismo cornudo” y sus alternativas serían los cuernos.

Se distingue entre dilemas simples y complejos. En los dilemas complejos la conclusión es también una disyunción y en los dilemas simples la conclusión es una proposición categórica.

El siguiente dilema es simple. Se supone que fue emitido por el Califa Omar.

Ejemplo

O los libros de la Biblioteca de Alejandría contienen las enseñanzas del Corán, o no las contienen. Si las contienen, son superfluos, y si son superfluos, deben ser quemados; si no las contienen, son nocivos, y si son nocivos, deben ser quemados. Por lo tanto, los libros de la biblioteca de Alejandría deben ser quemados.

El dilema que sigue es compuesto. Se le atribuye a una madre ateniense de la Grecia antigua para convencer a su hijo de los inconvenientes que conlleva la carrera política.

Ejemplo

Si dices la verdad, te odiarán los humanos; si dices mentiras, te odiarán los dioses. Y dirás la verdad o dirás mentiras. Por lo tanto, te odiarán los humanos o te odiarán los dioses.

Hay dos formas muy comunes de dilemas consideradas en la lógica formal, el dilema constructivo y el dilema destructivo. Cada una puede tener su variante simple y compleja. Si las letras A, B, C y D representan proposiciones simples, el dilema constructivo suele presentarse en estas formas:

Dilema constructivo simple

Dilema constructivo complejo

O bien A, o bien B. O bien A, o bien B. Si A, entonces C; y si B, entonces C Si A, entonces C; y si B, entonces D Por tanto, C Por tanto, C o D

Por su parte, el dilema destructivo se expone en estas formas:

Dilema destructivo simple

No B o no C

Dilema destructivo complejo

No C o no D

Si A, entonces B; y si A, entonces C. Si A, entonces C; y si B, entonces D. Por tanto, no A

Por tanto, no A o no B

Entre las estrategias para intentar refutar dilemas es común destacar tres que no cuestionan su validez formal como argumento, pero muestran la posibilidad de evitar sus consecuencias al rechazar la verdad de alguna de sus partes, ya sea alguna premisa o la conclusión misma. Son las siguientes:

1. Escapar entre los cuernos del dilema. Se niega la premisa disyuntiva.

2. Tomar al dilema por los cuernos . Se muestra que al menos uno de los condicionales o proposiciones hipotéticas que apuntan a la consecuencia o consecuencias es falso.

3. Reorientar los cuernos del dilema con un contradilema . Se elabora otro dilema cuya conclusión es opuesta a la del dilema cuestionado.

El esquema siguiente muestra estas tres estrategias contra un dilema.

Cuando se escapa entre los cuernos de un dilema se muestra que la premisa disyuntiva plantea alternativas que no son exhaustivas, por no abarcar todas las opciones posibles, o que no son excluyentes, por poder presentarse las dos juntas. Se dice a menudo al utilizar este ataque que la premisa disyuntiva comete la falacia de “falso dilema”. Escapar entre los cuernos del dilema del dilema sobre los inconvenientes que conlleva la carrera política al mentir o decir la verdad supone asegurar que no se dicen solo verdades o mentiras absolutas en la política, sino también medias verdades o falsedades que pueden evitar el odio de unos u otros. Para resistir a esta crítica la premisa disyuntiva debe ser necesariamente verdadera, lo cual requiere que uno de los disyuntos o alternativas sea la negación lógica del otro. Con ello las alternativas serían exhaustivas y excluyentes.

Si la premisa disyuntiva es inatacable, es posible evitar las consecuencias del dilema tomándolo por los cuernos. En este caso se muestra que al menos una de las premisas condicionales que llevan de la alternativa a la consecuencia no es verdadera. Nuev amente, podemos tomar por los cuernos tal dilema señalando que decir la verdad no implica que todos los humanos odien al que la dice; a fin de cuentas, es razonable aceptar que hay gente con deseos de escuchar la verdad en boca de sus políticos, y esa gent e no odiaría a quien así hablase.

La estrategia de los contradilemas, por su parte, a menudo requiere algo de ingenio y habilidad retórica. Se dice que el contradilema debe apelar a premisas similares a las del dilema original, pero orientadas a una conclusión opuesta. En debates públic os un contradilema puede tener un impacto importante en la percepción de la audiencia como si se tratara de una genuina refutación del dilema original. Un contradilema del dilema anterior podría ser el siguiente, donde se muestra que un dilema también pued e implicar consecuencias agradables:

Ejemplo

Si dices la verdad, te amarán los dioses. Si dices mentiras, te amarán los humanos. Y dirás la verdad o dirás mentiras. Por lo tanto, te amarán los dioses o te amarán los humanos.

Nótese que aquí la conclusión del contradilema no es la negación lógica de la conclusión del dilema original. Solo cambia la perspectiva de las cosas, mueve el foco de atención a otra parte del mismo asunto. En este caso no enfatiza las consecuencias negativas sino las positivas; ambos tipos de consecuencia no son enteramente opuestas, pues son compatibles y pueden darse en una misma circunstancia.

Un caso clásico de enfrentamiento de dilemas y contradilemas es el que supuestamente ocurrió en la Grecia antigua entre el maestro Protágoras y su exalumno Euatle. Según se dice, Protágoras enseñaba el arte del alegato judicial y Euatle había sido estud iante suyo. Pero como Euatle no podía pagar estas enseñanzas, habían acordado que pagaría a su maestro una vez que ganara su primer caso judicial. Ya terminados sus estudios, Euatle no ponía en práctica lo aprendido. Como Protágoras se cansó de esperar su pago, llevó a Euatle a tribunales y presentó el siguiente dilema:

Si Euatle pierde este caso, entonces debe pagarme (por decisión de la corte); si gana el caso, entonces debe pagarme (por el acuerdo que ya tenemos, pues habría ganado su primer caso). Él perderá o ganará este caso. Por lo tanto, Euatle debe pagarme.

Euatle había aprendido muy bien de su maestro el arte del alegato y abogó por sí mismo. Así respondió con un contradilema igualmente ingenioso:

Si yo gano este caso, entonces no debo pagar a Protágoras (por decisión de la corte); si yo pierdo este caso, entonces no debo pagarle (por los términos del acuerdo que ya tenemos, pues no habría ganado mi primer caso). O bien ganaré o perderé este caso. Por lo tanto, no debo pagar a Protágoras.

Las conclusiones de estos dilemas son incompatibles, no puede ocurrir a la vez que Euatle deba y no deba pagar a Protágoras. Lo que esta incompatibilidad nos indica es que las premisas de que parten los dilemas son inconsistentes. Por un lado, si Euatle gana el caso, debe pagar a Protágoras (arguye Protágoras, basado en el acuerdo del pago) y no debe pagar a Protágoras (arguye Euatle, basado en el fallo de la corte). Por otro lado, si Euatle pierde el caso, debe pagar a Protágoras (arguye Protágoras, bas ado en el fallo de la corte) y no debe pagar a Protágoras (arguye Euatle, basado en el acuerdo del pago). En síntesis:

Si Euatle gana el caso, debe pagar y no debe pagar (a Protágoras).

Si Euatle pierde el caso, debe pagar y no debe pagar (a Protágoras).

Euatle ganará o perderá el caso.

Por tanto, debe pagar y no debe pagar (a Protágoras).

Como las dos opciones implican situaciones contradictorias, parece que Euatle no puede ni ganar ni perder el caso.

Lo expuesto hasta aquí sobre dilemas es generalizable, con las debidas adaptaciones, a silogismos de más de dos alternativas como los trilemas (de tres alternativas), los tetralemas (de cuatro alternativas) y, en general, los polilemas (cualquiera de má s de dos alternativas).

3.7. Ejercicios

A. Estandarizar los argumentos silogísticos siguientes y determinar su validez mediante el reconocimiento de modo y las reglas del silogismo.

1. Todos los seres materiales son seres no espirituales y ningún humano es un ser no material; por ello, todos los seres espirituales son no humanos.

2. Todas las sustancias psicoactivas son inseguras para la salud y así todas las sustancias seguras para la salud son no alcaloides, puesto que todos los alcaloides son sustancias psicoactivas.

3. Algunos deportistas son no fumadores, porque los no fumadores son personas saludables, y algunas personas saludables no son no deportistas.

4. Todas las personas corteses son no irritantes; por lo tanto, ninguna persona irritante es ofensiva, pues todas las personas ofensivas son descorteses.

5. Algunos trabajadores de la industria son personas de gran optimismo. Ningún trabajador de la industria es un no asalariado. Por lo tanto, algunos asalariados son personas de gran optimismo.

6. Todas las frutas son cosas perecederas, porque ninguna fruta es inmutable y ninguna cosa mutable es imperecedera.

7. Algunos objetos valiosos son extraíbles de la naturaleza, pero ninguna piedra preciosa es no valiosa; por ende, algunas piedras preciosas son extraíbles de la naturaleza.

8. Todos los conceptos operantes son susceptibles de aplicación, puesto que todos los conceptos imprecisos son inoperantes y ningún concepto susceptible de aplicación es impreciso.

9. Algunos candidatos a la diputación son no partidistas, puesto que todos los candidatos partidistas son integrantes del partido en el poder o de los partidos de la oposición, y algunos candidatos a la diputación no son integrantes ni del partido en el poder ni de los partidos de la oposición.

10. Todas las reglas que no son equitativas ni acordes con la razón jurídica son las que están excluidas del reglamento; por lo tanto, las reglas no injustas son o bien equitativas o acordes con la razón jurídica, pues todas las reglas que se han incluido en el reglamento son justas.

B. Traducir las siguientes proposiciones a proposiciones categóricas de forma estándar. Utilizar parámetros donde sea necesario.

1. Los valientes no asesinan.

2. El que nació para maceta, del corredor no pasa.

3. Siempre que llegas temprano terminas tus actividades a tiempo.

4. Solo los audaces conseguirán medallas.

5. No hay nada oculto que no haya de ser manifiesto.

6. No hay nada nuevo bajo el sol.

7. El que con lobos anda, a aullar se enseña.

8. Los desplazados cruzarán la frontera solo por la garita.

9. Los fascistas no comprendieron la gravedad de sus actos.

10. Correr es bueno para la salud.

11. Sabio es quien reconoce sus errores.

12. También estorba quien solo se sienta y se cruza de brazos.

13. Un gato es un mamífero.

14. A nadie le desagrada Leo Dan.

15. De limpios y tragones están llenos los panteones.

16. Algunos poetas no son melancólicos.

17. No todos los líderes son sobornables.

18. Nadie más que los ganadores recogerán premio.

19. Aquí no se permiten doctrinas extrañas.

20. Donde reina la indisciplina abunda el trabajo inútil.

21. Einstein era suizo.

22. Platón no era macedónico.

23. Todos, salvo los nuevos, festejaron su día.

24. Casi todas las alumnas obtuvieron buen promedio.

25. Cuando el tecolote canta, el indio muere.

C. Traducir las siguientes proposiciones a la forma estándar, utilizando parámetros donde sea necesario.

1. La libertad puede florecer donde prospera la democracia.

2. Sócrates discutía temas éticos cuando visitaba el ágora.

3. Árbol que nace torcido, jamás su tronco endereza.

4. Una persona nunca está tan cerca de la verdad como cuando acepta sus propios errores.

5. Ella se lamenta siempre que lo recuerda.

6. Los tramposos nunca aceptan sus actos cuando son descubiertos.

7. Él llega a la escuela por donde le da la gana.

8. Si pierde en el videojuego, utiliza cualquier excusa.

9. Ese conferencista pronuncia el mismo discurso dondequiera que se presenta.

10. Su hijo no come vegetales a menos que lo obliguen.

D. Estandarizar cada argumento silogístico siguiente. Luego indicar su forma lógica, determinar su validez y, en caso de resultar inválido, nombrar la regla a que falta y la falacia cometida.

1. Juan no jugará futbol, porque viste pants y nunca va de pants al futbol.

2. … A la sabiduría le corresponde probar los principios de otras ciencias… Pero la doctrina sagrada no prueba los principios de las otras ciencias. Por lo tanto, no es sabiduría.

- Santo Tomás de Aquino, Suma teológica

3. Todos los farsantes son indignos de confianza, así que los individuos dignos de confianza no son embusteros, pues todos los embusteros son farsantes.

4. El alma no ha nacido. Ahora bien, lo que no ha nacido es inmortal. Luego, el alma es inmortal.

Macrobio, Comentario al Sueño de Escipión de Cicerón

5. Si las cosas manifiestas se manifiestan a todos y los signos, en cambio, no se manifiestan a todos, las cosas manifiestas no son signos.

- Sexto Empírico, Contra los dogmáticos

6. Todos los que conocen a Clara se enamoran de ella. Todos los que conocen a Martha conocen a Clara. Por lo tanto, todos los que conocen a Martha se enamoran de ella.

7. Luego el objeto de conocimiento científico es por necesidad; y, por tanto, es eterno, pues las cosas que son por necesidad son todas eternas sin más.

- Aristóteles, Ética nicomáquea

8. Donde hubo fuego, cenizas quedan; de modo que no hubo fuego aquí porque no quedan cenizas en este lugar.

9. Sería preciso reducir ambos casos a una regla común. Por ejemplo: existe una sustancia que ennegrece los dedos del que la toca...

Completé triunfante el silogismo:

Venancio y Berengario tienen los dedos manchados de negro, ¡ergo han tocado esa sustancia!

- Umberto Eco, El nombre de la rosa

10. Habrá un buen partido mañana, porque el campeonato de la liga está en juego y ningún partido donde se juegue el campeonato es aburrido.

11. Aquello cuya existencia solo puede ser inferida como causa de percepciones dadas posee una existencia meramente dudosa.

Ahora bien, todos los fenómenos externos son de tal índole, que su existencia no es inmediatamente percibida, sino que solo pueden ser inferidos como causa de percepciones dadas.

Por consiguiente, la existencia de todos los objetos de los sentidos externos es dudosa.

- Immanuel Kant, Crítica de la razón pura

12. Ningún profesional en su sano juicio trabaja sin cobrar. Pero algunos profesionales trabajan gratis. De ahí que esos profesionales no están cuerdos.

13. Cualquiera que lea poesía tendrá ideas creativas. Cualquiera que tenga ideas creativas escribirá buenas historias. Por lo tanto, cualquiera que lea poesía escribirá buenas historias.

14. Se dice que son evidentes por sí mismas aquellas cosas cuyo conocimiento nos es connatural, por ejemplo, los primeros principios. Pero, como dice el Damasceno al inicio de su libro, el conocimiento de que Dios existe está impreso en todos por naturaleza. Por lo tanto, Dios es evidente por sí mismo.

- Santo Tomás de Aquino, Suma teológica

15. Debe haber restricción de ingreso al parque, porque está acordonado y los acordonamientos solo se colocan cuando hay restricción de ingreso.

16. Todas las variables cefeidas son estrellas, pero no todos los objetos brillantes del firmamento nocturno son variables cefeidas, puesto que las estrellas no son los únicos ejemplos de objetos brillantes del firmamento nocturno.

17. Si lo mexicano es naco y lo mexicano es chido, entonces, verdad de Dios, todo lo naco es chido.

- Botellita de Jerez, El guaca rock de la Malinche

18. Si las cosas manifiestas, en cuanto que son manifiestas, no tienen necesidad de explicación, y en cambio los signos, en cuanto que son signos, tienen necesidad de explicación, los signos no son manifiestos.

- Sexto Empírico, Contra los dogmáticos

19. Todos los silogismos que tienen dos premisas particulares son inválidos. Algunos silogismos válidos son sólidos. Por lo tanto, algunos argumentos no sólidos son silogismos que tienen dos premisas particulares.

20. Ningún mal es glorioso; es así que la muerte es gloriosa; luego la muerte no es un mal.

- Zenón de Citio citado en Séneca, Epístolas morales a Lucilio

21. Únicamente los endeudados son irresponsables con sus deberes. No todos los que tienen empleo son responsables con sus deberes. Por ende, no todos los desempleados tienen deudas.

22. Los vecinos son una tribu de bárbaros. Los vecinos son anti-homosexuales. Por lo tanto, su antihomosexualidad es un absurdo bárbaro…

Berger y Luckmann, La construcción social de la realidad, p. 145

23. Paulina debe haber saludado a Juan porque él se alegra siempre que ella lo saluda, y hoy está contento.

24. El alma se mueve ella misma. Ahora bien, lo que se mueve por sí mismo se mueve eternamente. Luego, el alma se mueve eternamente.

Macrobio, Comentario al Sueño de Escipión de Cicerón

25. Este silogismo distribuye su término medio en por lo menos una premisa; así, debe ser válido porque los silogismos válidos distribuyen sus términos medios en al menos una premisa.

26. Seguramente pasó el camión directo, porque solo ese camión no hace parada en este lugar y el que pasó no hizo parada aquí.

27. SÓCRATES.- ¿Convenimos en admitir que una cosa no puede ser enseñada si no hay profesores capaces de enseñarla?

MENÓN.- Por supuesto.

SÓCRATES.- Pero ¿es que hay en lugar alguno profesores capaces de enseñar la virtud?

MENÓN.- No los hay.

SÓCRATES.- ¿Puede ser entonces enseñada la virtud?

MENÓN.- No, si nuestra opinión es correcta.

- Platón, Fedón

28. Los silogismos que cometen un proceso ilícito de sus términos menores son inválidos, pero este silogismo es válido; de ahí que no comete un proceso ilícito de su término menor.

29. Juan calla siempre que está triste; pero como está feliz, no callará.

30. Lo que no puede ser pensado de otro modo que como sujeto, tampoco puede existir de otro modo que como sujeto y es, consiguientemente, sustancia. Ahora bien, un ser pensante, considerado únicamente en cuanto tal, no puede ser pensado más que como sujeto. Por consiguiente, no existe más que como tal, es decir, como sustancia.

- Kant, Crítica de la razón pura

31. Ningún silogismo de ese texto es inválido. Ningún silogismo válido tiene dos premisas particulares. Por consiguiente, ningún silogismo de ese texto tiene dos premisas particulares.

32. Aunque hay hombres inteligentes, solo el hombre es malvado; por lo tanto, es mentira que nadie puede ser a la vez inteligente y malvado.

33. … el sentido… no aprehende la esencia de una cosa; lo que no aprehende la esencia de una cosa tampoco aprehende una noción de la verdad; por lo tanto, el sentido tampoco aprehende una noción de la verdad.

- Boecio, Segundo comentario al De interpretatione de Aristóteles

34. No todo lo que vuela es un ave, pues algunos mamíferos vuelan y las aves no son mamíferos.

35. Al ebrio nadie le confía un secreto, pero al hombre de bien sí se le confía, luego el hombre de bien no será ebrio.

- Zenón de Citio citado por Séneca en Epístolas morales a Lucilio

36. La vida microbiana requiere de agua y puesto que ahí hay vida microbiana, debe haber agua en ese lugar.

37. Los eticistas también apelaron al principio de que es incorrecto matar a una persona para salvar a otra. Dijeron que tomar los órganos de Theresa equivaldría a matarla para salvar a otros; de modo que tomar sus órganos sería incorrecto.

- James Rachels, Introducción a la filosofía moral

38. Debe haber llovido en la madrugada pues los arbustos están húmedos y los arbustos nunca están secos después de que ha llovido.

39. Nadie que desarrolle un sentido crítico puede permanecer realmente en el error. Solamente quienes se aferran a sus prejuicios heredados pueden permanecer en el error. En consecuencia, nadie que se aferre a sus prejuicios heredados puede haber desarrollado un sentido crítico.

40. Las cosas que no infunden en el alma grandeza, ni confianza, ni seguridad no son bienes; es así que las riquezas, la buena salud y otras ventajas similares a estas no procuran ninguno de los efectos mencionados, luego no son bienes.

- Posidonio citado en Séneca, Epístolas morales a Lucilio

E. En cada uno de los argumentos entimemáticos siguientes formular la premisa o conclusión plausible no enunciada, estandarizar el silogismo, designar el orden del entimema y señalar si es válido.

1. Yo, la verdad les digo, no creo que sea malo matar, porque cuando uno mata lo hace siempre con coraje.

- Mariano Azuela, Los de abajo

2. Los líderes de los nazis eran autoritarios, pero Mussolini no era un líder nazi.

3. El hombre no puede ser medido porque no es un objeto físico.

- Mario Bunge, Economía y filosofía

4. “Estoy persuadido, señores”, agregó alzando la voz, “de que no encontrarán ustedes demasiado audaz mi pensamiento si digo que el hombre que está sentado en este banco es también culpable de la muerte que este Tribunal deberá juzgar mañana. Debe ser castigado en consecuencia.”

- Albert Camus, El extranjero

5. Es un transmisor de rastreo, lan. Y eso implica que este animal, este lagarto de sangre caliente o lo que sea, fue marcado y criado por alguien desde su nacimiento.

- Michael Crichton, El mundo perdido

6. Es cierto que Luis es un político, pero también lo es que no todos los políticos mienten.

7. hay algunas reglas morales que todas las sociedades deben tener en común, porque esas reglas son necesarias para que la sociedad exista.

- James Rachel, Introducción a la filosofía moral

8. Y la conducta humana es impredecible, porque el hombre está dotado de espontaneidad y libre albedrío.

- Mario Bunge, Economía y filosofía

9. Sé que ahora debe estar en lo mero hondo del infierno; porque así se lo he pedido a todos los santos con todo mi fervor.

- Juan Rulfo, Pedro Páramo

10. Ningún ciudadano responsable se permite correr con su automóvil por las avenidas como si fueran autopistas; pero se sabe que hay gente irresponsable.

11. … ser indiferente a la verdad es una característica indeseable e incluso criticable y, por tanto, la charlatanería es algo que debemos evitar y condenar.

- Harry Frankfurt, Sobre la verdad

12. Respecto a Ted Bundy, es preciso decir que muchos psicópatas estudian psicología. Y Bundy había estudiado psicología.

13. Lo sé dijo Ellie . No puedes reproducir un dinosaurio verdadero, porque no puedes obtener verdadero ADN de dinosaurio.

- Michael Crichton, Jurassic Park

14. Debería decir: todos aquellos y solo aquellos que tienen los dedos negros han tocado sin duda determinada sustancia. Venancio, Berengario, etcétera. Con lo que tendríamos un Darii, o sea un impecable tercer silogismo de primera figura.

- Umberto Eco, El nombre de la rosa

15. Estos desvergonzados antagonistas del sentido común –pertenecientes a un determinado y emblemático subgrupo que se define como «posmoderno»– niegan,

con gran energía y convencimiento, que la verdad responda a algún tipo de realidad objetiva. En consecuencia, niegan también que la verdad merezca una obligada deferencia y respeto.

- Harry Frankfurt, Sobre la verdad

16. Cualquier geólogo podría identificar ese tipo de roca; y Patricia es geóloga.

17. La sociedad bien ordenada teorizada por ese autor exige mucho de sus ciudadanos, pues solo permite las desigualdades de riqueza y renta cuando estas sirven para mejorar la situación de los que están peor.

- Martha Nussbaum, Emociones políticas

18. Somos racionales porque deseamos conocernos a nosotros mismos.

- Ramón Sampedro, Cartas desde el infierno

19. Quien no lee, no escribe. Quien no escribe, no piensa.

- Atribuido a Juan José Arreola

20. El mentiroso, puesto que miente, no quiere permitirse que le conozcan.

- Harry Frankfurt, Sobre la verdad

21. No podemos pensar nada ilógico, porque de lo contrario tendríamos que pensar ilógicamente.

- Ludwig Wittgenstein, Tractatus logico-philosophicus

22. No hay artista que no sufra bloqueos creativos; por eso no nos extrañemos de ver poetas que sufren también bloqueos creativos.

23. Teller ha afirmado, y no es inverosímil, que las bombas de hidrógeno sirven para mantener la paz, o al menos impiden la guerra termonuclear, porque hacen demasiado peligrosas las consecuencias de la guerra entre potencias nucleares.

- Carl Sagan, El mundo y sus demonios

24. Que la lógica ha tomado este camino seguro [de la ciencia] desde los tiempos más antiguos es algo que puede inferirse del hecho de que no ha necesitado dar ningún paso atrás desde Aristóteles.

- Immanuel Kant, Crítica de la razón pura

25. Los estudiantes que cumplieron con sus tareas obtendrán buena calificación. Por eso, es seguro que Claudia obtendrá buena calificación.

26. – La verdad –Dumbledore suspiró. Es una cosa terrible y hermosa, y por lo tanto debe ser tratada con gran cuidado.

- J. K. Rowling, Harry Potter y la piedra filosofal

27. Recetar sustancias químicas y hierbas varias puede ser una actividad peligrosa, pues tales productos pueden tener efectos serios en nuestro organismo.

- Ben Goldacre, Mala ciencia

28. Dado que las expresiones de compasión emergen a una edad temprana en prácticamente todos los miembros de nuestra especie, son tan naturales como dar nuestras primeras pasos.

- Frans De Waal, Primates y filósofos

29. … la verdadera medida de los delitos es el daño hecho a la nación, y por esto han errado los que creyeron serlo la intención del que los comete.

- Cesare Beccaria, De los delitos y de las penas

30. No hay gobierno que no sea criticado, porque no hay gobierno que satisfaga a todos.

F. Señalar si son válidos los silogismos contenidos en cada cadena de silogismos por medio de su forma lógica o modo, e indicar si la cadena misma es válida.

1. Todo estudioso de la lógica identifica los buenos argumentos. Quien identifica los buenos argumentos, puede evaluar mejor un razonamiento. De ahí que todo estudioso de la lógica puede evaluar mejor un razonamiento. Si todo estudioso de la lógica puede evaluar mejor un razonamiento y quien evalúa mejor un razonamiento ha desarrollado parte de sus habilidades críticas, todo estudioso de la lógica es alguien que ha desarrollado parte de sus habilidades críticas.

2. El alma se mueve ella misma. Ahora bien, lo que se mueve por sí mismo se mueve eternamente. Luego, el alma se mueve eternamente… El alma se mueve eternamente. Ahora bien, lo que se mueve eternamente es inmortal. Luego, el alma es inmortal.

- Macrobio, Comentario al Sueño de Escipión de Cicerón

3. Ningún demócrata apoyaría a gobiernos fascistas; pero ese presidente apoyó a gobiernos fascistas, luego, no es demócrata. Los gobernantes que no son demócratas constituyen un peligro para alcanzar los sueños de igualdad social de la modernidad. Y, como ya vimos, ese presidente no es demócrata. Por lo tanto, constituye un peligro para alcanzar los sueños de igualdad social de la modernidad.

4. El alma es el principio del movimiento. Ahora bien, lo que [es] el principio del movimiento no ha nacido. Luego, el alma no ha nacido… El alma no ha nacido. Ahora bien, lo que no ha nacido es inmortal. Luego, el alma es inmortal. Macrobio, Comentario al Sueño de Escipión de Cicerón

5. Quien milita activamente en un partido político es un político. Y Esther milita activamente en un partido; por eso es correcto decir que Esther es una política. Ahora bien, es cierto que Esther es política; pero como no todos los políticos mienten, Esther no miente.

G. Completar los enunciados faltantes de los siguientes sorites, estandarizarlos e indicar si son válidos.

1. Lo que es un mal perjudica, lo que perjudica empeora; el dolor y la pobreza no empeoran, luego no son males.

- Séneca, Epístolas morales a Lucilio

2. Además, quien es fuerte es necesario que esté dotado de grandeza de ánimo, y quien está dotado de grandeza de ánimo es invencible; quien es invencible tiene que menospreciar las cosas humanas y considerarlas en un nivel inferior a él. Pero nadie puede menospreciar las cosas que pueden causarle aflicción, por lo que hay que concluir que el hombre fuerte nunca sufre aflicción. Pero todos los sabios son fuertes, por consiguiente el sabio no cae en la aflicción.

- Cicerón, Disputaciones tusculanas

3. Lo que tiene un cuerpo sólido recibe energía externa; lo que recibe energía externa, es disoluble; lo que es disoluble morirá; lo que muere, tuvo necesariamente principio; lo que tiene principio, tuvo necesariamente un origen, es decir, un creador sensible, providente y hábil artesano.

- Lactancio, Instituciones divinas

4. Los atenienses dominan a los griegos; yo, a los atenienses; mi mujer, a mí; mi hijo, a mi mujer; luego, mi hijo es el más poderoso de los griegos.

- Atribuido al general ateniense Temístocles

5. Lo que hace ruido se mueve; lo que está en movimiento no está helado; lo que no está helado es líquido; y lo líquido cede.

- Plutarco, Moralia

6. Quien es fuerte, vive sin temor; quien vive sin temor, vive sin tristeza; quien vive sin tristeza, es feliz.

- Séneca, Epístolas morales a Lucilio

7. Quien bebe, duerme. Quien duerme, no peca. Quien no peca, es santo. Luego, quien bebe, es santo.

- Anónimo alemán

8. E1 varón prudente es también moderado; el que es moderado es constante, el que es constante es imperturbable, el que es imperturbable carece de tristeza, quien carece de tristeza es feliz; luego, el varón prudente es feliz…

- Séneca, Epístolas morales a Lucilio

9. Quien mal no hace, mal no piensa; quien mal no piensa, espera actos buenos de los demás; quien espera actos buenos de los demás puede terminar decepcionado.

10. El alma se mueve ella misma. Lo que se mueve por sí mismo es el principio del movimiento. Lo que es el principio del movimiento no ha nacido. Lo que no ha nacido es inmortal. Luego, el alma es inmortal.

- Macrobio, Comentario al Sueño de Escipión de Cicerón

H. Identificar la forma de los argumentos siguientes e indicar si son válidos.

1. Si esto fuera así, necesariamente se producirían avances y retrocesos de las estrellas fijas. Mas no se ha observado que así ocurra, sino que por el contrario las mismas estrellas salen y se ponen en los mismos lugares de la Tierra.

- Aristóteles, Sobre el cielo

2. Chomsky ha sugerido que si los simios pudieran utilizar el lenguaje, también lo usarían en la naturaleza. No lo usan, prosigue, y por lo tanto no pueden utilizarlo.

- Hart, El lenguaje de los animales

3. … si existiese Dios, no existiría ningún mal. Pero el mal se da en el mundo. Por lo tanto, Dios no existe.

- Santo Tomás, Suma teológica

4. Si cada hombre tiene un conjunto de reglas de conducta mediante las cuales regula su vida, no sería mejor de lo que es una máquina. Pero no hay tales reglas; por lo tanto, los hombres no pueden ser máquinas.

- A. Turing, "La inteligencia y las máquinas de cómputo", Mind. Vol. 59, 1950

5. Si algo que no llega a verificarse en el presente ni lo hará en el futuro fuera posible, resultaría que lo imposible (es decir, lo que jamás llegará a verificarse) puede nacer de lo posible; pero de lo posible no puede nacer lo imposible, luego solo es posible aquello que se verifica en el presente o que lo hará en el futuro.

- Cicerón, Sobre la adivinación

6. Si se aprueba la reforma, habrá crecimiento económico. Si hay crecimiento económico, se abatirán los índices de pobreza; luego, si se aprueba la reforma, se abatirán los índices de pobreza.

7. … si después de haberme dedicado solo un poco a la filosofía no fuera capaz, no obstante, de soportar el dolor, ello sería una prueba suficiente de que el dolor es un mal. Ahora bien, yo he gastado muchos años en el estudio de la filosofía y no soy capaz de soportarlo; luego, el dolor es un mal.

- Dionisio de Heraclea citado en Cicerón, Disputaciones tusculanas

8. La fiera ha tomado este camino o este otro o este tercero; ahora bien, ni éste ni este; luego ha tomado el que queda.

- Crisipo de Soli citado en Plutarco, Moralia

9. A continuación, Aristóteles se pregunta si es preferible llevar una vida que comporte una participación activa en la ciudad y los cargos públicos, o bien una vida en la que se rehúya tal participación... Después critica esta última concepción... De todo ello se infiere que la vida teorética propuesta por Aristóteles no excluye la participación en la vida política.

- Enrico Berti, En el principio era la maravilla. Las grandes preguntas de la filosofía antigua

10. Esta hipótesis puede tomarse, sea metafísica, sea metodológicamente. O sea, puede interpretarse como la afirmación de que existen objetos de dos clases, y que unos y otros existen de la misma manera, o sea, realmente (u objetivamente); o bien como la afirmación de que, en tanto que los objetos concretos existen (a

secas), los conceptuales son ficciones, o sea, existen (conceptualmente) por convención. Adoptaremos la segunda interpretación: negaremos que los constructos sean parte de la realidad.

- Mario Bunge, Epistemología

I. Discutir los argumentos que pueden ofrecerse para refutar los siguientes dilemas.

1. Si estudias, no ganas dinero. Si trabajas, no obtienes un título profesional. O bien estudias, o bien trabajas. Por lo tanto, no ganas dinero o no obtienes un título profesional.

2. Si se debe filosofar, hay que filosofar, y si no se debe filosofar, hay que filosofar: luego, en cualquier caso, hay que filosofar.

Aristóteles, Protréptico

3. Si duermes, no terminarás la tarea debidamente, mientras que si no duermes, no tendrás descanso. Duermes o no duermes. Por consiguiente, o no terminarás la tarea adecuadamente o no tendrás descanso.

4. … o el delito es cierto o incierto; si cierto, no le conviene otra pena que la establecida por las leyes, y son inútiles los tormentos, porque es inútil la confesión del reo; si es incierto, no se debe atormentar un inocente, porque tal es según las leyes un hombre cuyos delitos no están probados.

Cesare Beccaria, De los delitos y de las penas

5. Si reclamas tus derechos, te consideran agresivo. Pero si no los reclamas, te consideran tonto.

6. … la aseveración de que «Todo es subjetivo)) debe de ser un puro sinsentido, ya que ella misma tendría que ser o subjetiva u objetiva. Pero no puede ser objetiva, ya que entonces sería falsa en caso de ser cierta. Y no puede ser subjetiva, porque entonces dejaría de excluir toda aseveración objetiva, incluyendo la aseveración de que ella es objetivamente falsa.

Thomas Nagel, La última palabra

7. O bien Trump construye el muro, en cuyo caso lo acusarán de racismo, o bien no lo construye, y en ese caso lo acusarán de no defender a sus paisanos.

8. En consecuencia, se encarcela a la vieja. Se encuentra una nueva prueba mediante un segundo dilema: tiene miedo o no lo tiene. Si lo tiene (cuando escucha las horribles torturas que se utilizan contra las brujas), es una prueba segura; porque su conciencia la acusa. Si no muestra temor (confiando en su inocencia), también es una prueba; porque es característico de las brujas simular inocencia y llevar la frente alta.

Friedrich Spee, Cautio Criminalis, citado en Carl Sagan, El mundo y sus demonios

9. Cuando terminas rápido el trabajo, piensan que eres descuidado. Y cuando no lo terminas rápido, piensan que eres lento.

10. … Si [la doctrina sagrada] es argumentativa, su argumento radica en la autoridad o en la razón. Si argumenta desde la autoridad, no sería propio de su dignidad, pues el argumento desde la autoridad es el más débil de los argumentos según Boecio. Si argumenta desde la razón, no sería propio de su fin, pues dice Gregorio: La fe no tiene ningún mérito ahí donde la razón aporta la evidencia. Por tanto, la doctrina sagrada no es argumentativa.

Santo Tomás, Suma teológica

11. Si le dices que su proyecto es bueno, asumirá que eres hipócrita. Si le dices que su proyecto no es bueno, asumirá que eres envidioso. Pero no quieres que asuma ni que eres hipócrita ni que eres envidioso. Por lo tanto, no le digas nada.

12. Cuando el presidente mexicano Andrés Manuel López Obrador solicitó por carta al rey de España y al Papa que pidieran perdón por la Conquista de México, Arturo Pérez-Reverte respondió en un tuit: “Que se disculpe él, que tiene apellidos españoles y vive allí. Si este individuo se cree de verdad lo que dice, es un imbécil. Si no se lo cree, es un sinvergüenza”.

Arturo Pérez-Reverte, disponible en https://twitter.com/perezreverte/status/1110322280310153216, consultado el 30 de marzo de 2019

13. Si hablo con Laura, Georgina se enoja. Si hablo con Georgina, Laura se enoja.

14. justificar el sufrimiento como un medio de purificación moral solo se le puede ocurrir a un ser moralmente degenerado por una conciencia culpable. Y quien se siente culpable, o bien es injusto o es idiota. Si sabe que es injusto y no deja de serlo, es un malvado. Y, si es idiota, no puede ser autoridad moral, pues seguro que se equivocará… Quien justifique el dolor como deber moral, o es un idiota o un malvado.

Ramón Sampedro, Cartas desde el infierno

15. O bien convence a su inquilino de quedarse, o bien lo deja marcharse. En el primer caso, habrá de soportar sus demoras de pago. En el otro caso, dejará de percibir la renta por varios meses.

16. Se cuenta que en la Grecia antigua circulaba este argumento de Bías de Priene contra el matrimonio: “Te casarás con una guapa o con una fea; si es guapa, sufrirás traición; si es fea, sufrirás castigo. Una y otra cosa deben evitarse; por lo tanto, no te cases”.

Aulo Gelio, Noches áticas

17. Uno no debe hablar ni bien ni mal de sí mismo; porque si habla bien, no se lo creerán, y si habla mal, sí se lo creerán.

18. … para evitar la apariencia de que se la acusa únicamente sobre la base de un rumor, sin otras pruebas, se obtiene una cierta presunción de culpabilidad al plantear el siguiente dilema: o bien ha llevado una vida mala e impropia, o bien ha llevado una vida buena y propia. Si es mala, debe de ser culpable. Por otro lado, si su vida ha sido buena, es igual de condenable; porque las brujas siempre simulan con el fin de aparecer especialmente virtuosas.

Friedrich Spee, Cautio Criminalis, citado en Carl Sagan, El mundo y sus demonios

19. Si respondes sus agresiones, dirán que eres aprovechado. Pero si no respondes, dirán que eres dejado.

20. De acuerdo con este argumento tradicional, el relativista global estaría, por lo tanto, atrapado entre las dos alternativas de un dilema. O bien aspira a que su propio punto de vista sea absolutamente cierto, o bien que éste sea solo relativamente cierto, cierto con relación a determinada teoría. En el primer caso, se refinará a sí mismo, pues habrá admitido que existe al menos una instancia de verdad absoluta. En el segundo caso, podremos hacer caso omiso de él, porque nos hallaremos únicamente ante un protocolo de lo que el relativista encuentra agradable decir.

Paul Boghossian, El miedo al conocimiento

SEGUNDA PARTE. LÓGICA FORMAL DIAGRAMÁTICA

Capítulo 4

El desarrollo de diagramas en la lógica formal

4. 1. Tipos de diagramas en lógica

En el ámbito de la lógica informal existen aproximaciones que sugieren que lo visual, lo emocional o lo intuitivo difícil de expresarse en palabras puede tratarse en varios contextos como argumentación, aunque en primera instancia no se exprese en forma de proposiciones.

En cuanto a los estudios sobre razonamiento multimodal, a menudo se destacan tres grandes enfoques de investigación:

1. El prevaleciente entre filósofos de la mente y científicos cognitivos, que estudian el razonamiento humano y las representaciones mentales en sus formas no oracionales, como diagramas mentales o internos.

2. El de informáticos, que implementan representaciones diagramáticas en sus áreas de investigación con miras a explorar las ventajas computacionales de los sistemas heterogéneos.

3. El común entre lógicos, que investigan diagramas externos expresados en papel o en computadora, y averiguan las propiedades de sistemas lógicos diagramáticos en comparación con las de sistemas secuenciales. De esta manera, han llegado a probar que algunos de los primeros también pueden ser correctos, completos y de gran poder expresivo, por lo que no cabría hablar de diferencias intrínsecas entre ambos tipos de sistemas.

La psicología lleva varias décadas interesada en las relaciones entre la visualización y los procesos del razonamiento humano. Diversos científicos cognitivos han investigado las funciones que cumplen las imágenes y los diagramas en capacidades cognitiv as como el aprendizaje, la percepción, la memoria, la inferencia o la resolución de problemas. Así se han inclinado a ver el razonamiento deductivo en general como un subconjunto específico de habilidades inferenciales del ser humano donde no queda claro si se trata en el fondo de un proceso sintáctico basado en reglas formales o si, como han sostenido los defensores de la teoría de los modelos mentales, la deducción es acaso un proceso semántico de búsqueda de contraejemplos.

Los investigadores en inteligencia artificial, por su parte, han debatido por varios años sobre diferentes formas de representación de la información y el razonamiento diagramático ha constituido una parte importante de sus trabajos teóricos y prácticos

Hay distintas formas en que puede intervenir un diagrama en el razonamiento. Si entendemos por razonar al proceso de extracción de información nueva dada cierta información previa, hay al menos dos tipos generales de diagramas lógicos: los heurísticos, que funcionan como guías o apoyo del razonamiento, y los inferenciales (o diagramas lógicos en sentido estricto), que realizan ellos mismos la extracción de información nueva. Entendemos por diagramas inferenciales, o diagramas lógicos estrictos, a aquellos que llevan a cabo razonamientos lógicos de forma autónoma, es decir, que permiten obtener nueva información (conclusiones) de cierta información previa (premisas).

Una conocida clasificación divide a los sistemas lógicos diagramáticos por su tipo de vocabulario en regionales (los que utilizan principalmente figuras geométricas planas

bidimensionales), lineales (los que echan mano preponderantemente de líneas) y tabulares (los que organizan la información en forma de tablas).

En general, los diagramas de la lógica se dividen en los siguientes tipos:

1. Diagramas heurísticos o mnemotécnicos. Son los que guían o apoyan el proceso inferencial. Ejemplos: el cuadrado de oposición, el árbol de Porfirio, el puente de los asnos.

2. Diagramas inferenciales (diagramas lógicos en sentido estricto). Son los que realizan el proceso inferencial. Por su tipo de vocabulario diagramático, los diagramas inferenciales pueden ser:

a. Lineales. Ejemplos: diagramas de Lambert, diagramas de Englebretsen.

b. Regionales. Ejemplos: diagramas de Venn, diagramas de Savio.

c. Tabulares. Ejemplo: diagramas de Carroll.

Los diagramas inferenciales permiten constituir sistemas lógicos diagramáticos. Este tipo de sistemas se caracterizan por poseer un vocabulario diagramático, una sintaxis que define a un diagrama bien formado, un conjunto de reglas de transformación y u na semántica formal.

Frecuentemente las representaciones diagramáticas y las oracionales combinan elementos de ambas. Un ejemplo se encuentra en la notación de William Hamilton (17881856) para la proposición “Cualquier C no es cualquier D”:

Los dos puntos “:” representan “todo” o “cualquier”, la línea horizontal alude a la cópula “es”, y la perpendicular vertical niega a la cópula.

Otro ejemplo de mezcla de elementos simbólicos y diagramáticos lo encontramos en el popular cálculo de tablas analíticas o tableaux. Aquí puede verse la prueba de validez de un argumento:

A los símbolos de las letras proposicionales, de los conectores lógicos y de clausura de ramas se añaden las bifurcaciones de ramas que aluden en este caso a inferencias alternativas.

4.2. Diagramas heurísticos en la Antigüedad y el Medioevo

Hace más de dos milenios se comenzó a discutir en el mundo occidental sobre los principios que gobiernan a los procesos inferenciales. En la Antigua Grecia, las condiciones de la vida pública, así como la evolución de la reflexión filosófica y de las demostraciones en ciencias requirieron de un alto desarrollo en el conocimiento de la

argumentación y de la inferencia en general. Así surgieron las primeras reflexiones lógicas.

La lógica antigua surgió propiamente como disciplina sistemática con los trabajos de Aristóteles (384-322 a. C.) que incluyeron un sistema lógico oracional que estudiaba inferencias entre proposiciones categóricas. Después de su muerte, sus epígonos compilaron las obras lógicas del maestro en el texto comúnmente conocido como Órganon o “instrumento de la ciencia”, en el que se encuentran seis libros:

1. Categorías. Trata sobre el concepto.

2. Sobre la interpretación. Estudia el enunciado.

3. Analíticos primeros. Estudia la estructura formal de la inferencia en general.

4. Analíticos segundos. Trata sobre la inferencia científica.

5. Tópicos. Aspectos del razonamiento dialéctico.

6. Sobre las refutaciones sofísticas. Otros aspectos del razonamiento dialéctico.

Aristóteles había considerado en Sobre la interpretación y en Analíticos primeros cuatro tipos de formas enunciativas o proposicionales presentes en formas de silogismos:

1. La universal afirmativa, “Todo S es P”.

2. La universal negativa, “Ningún S es P”.

3. La particular afirmativa, “Algún S es P”.

4. La particular negativa, “Algún S no es P”.

Las letras S y P son variables de nombres o frases nominales que designan a clases de individuos como hombres, atenienses o animales. Pueden elaborarse fácilmente diagramas que organicen pedagógicamente las explicaciones aristotélicas sobre las relaciones de contrariedad y contradictoriedad entre estas cuatro proposiciones, pero no es claro si él mismo los utilizó en alguna parte de su obra lógica conocida. Sin embargo, aunque no hay evidencia directa al respecto, se ha sugerido que el Estagirita utiliza ba diagramas didácticos para ilustrar las figuras del silogismo y diagramas lineales para representar sus explicaciones lógicas. 11

Después de Aristóteles se desarrollaron la lógica megárica y la estoica, que ya no representaban una lógica de clases como la aristotélica, sino lógicas de conectores interenunciativos o lógicas de proposiciones que eran, también, oracionales. En la lógica de clases se utilizaban letras como variables de clases y en las segundas se hacía uso de números ordinales como variables proposicionales.

Los lógicos estoicos diseñaron un tipo de cálculo lógico proposicional basado en cinco esquemas inferenciales básicos válidos, pero no demostrados, de los que derivaban otros esquemas válidos. Tales esquemas o “primeros indemostrados” eran:

1) Si lo primero, entonces lo segundo. 2) Si lo primero, entonces lo segundo.

Lo primero. No lo segundo.

Luego, lo segundo. Luego, no lo primero.

3) No a la vez lo primero y lo segundo. 4) O lo primero o lo segundo.

Lo primero. Lo primero.

Luego, no lo segundo. Luego, no lo segundo.

11 Cfr. Einarson, B. (1936) , (Aristóteles y Ross, 1957), Coumet y De Mora (2002) y Crubellier (2017).

5) O lo primero o lo segundo. No lo segundo.

Luego, lo primero.

Varios de estos esquemas estoicos y muchas formas silogísticas estudiadas por Aristóteles constituirán parte de la base deductiva de sistemas diagramáticos modernos que veremos después.

Los primeros diagramas heurísticos en lógica cuyo uso no despierta dudas parecen haberse empleado en la Antigua Roma. Autores como Cicerón (106-43 a.C.) permitieron que se salvaran en sus textos partes fundamentales de la lógica estoica. Lo mismo vale decir de Marciano Capella (360-428) y otro tanto de Apuleyo de Madaura (123 -180), quien cultivó además la lógica aristotélica. Parece que fue precisamente Apuleyo,12quien expuso instrucciones precisas en su Peri hermeneias (Sobre la interpretación) para la elaboración del que quizá fue el primer diagrama heurístico en lógica, el célebre cuadrado tradicional de oposición, que expresa las relaciones de oposición entre proposiciones categóricas típicas en las que incluye ahora las relaciones de subcontrariedad y de subalternación:13

Desde entonces el cuadrado de oposición de Apuleyo ha aparecido en innumerables textos lógicos y ha inspirado el desarrollo de otros diagramas heurísticos como los hexágonos y los octágonos de oposición.

El célebre médico Galeno (129-216), o algún falso Galeno, también realizó textos de lógica, pero con un enfoque aristotélico. En su Introducción a la dialéctica reconoció argumentos que involucran relaciones y que no se adaptan ni a los esquemas estoicos, ni a los aristotélicos. No será sino hasta los trabajos de Peirce (1839 -1914) de fines del siglo XIX, que se contará con diagramas inferenciales capaces de form alizar relaciones y de realizar cálculos diagramáticos que las incluyan.

Sexto Empírico (160-210) y Alejandro de Afrodisia (s. II-III), por su parte, contribuyeron con sus obras a salvaguardar ideas tanto de las lógicas megárica y estoica, como de la aristotélica. La denominación de “lógica” para esta disciplina adquirió su sentido moderno cinco siglos después de Aristóteles justo cuando Alejandro de Afrodisia se sirvió del término.

Porfirio (232-304) es otro estudioso que también participó en la transmisión del legado antiguo con sus obras. Entre tales tenemos su Isagoge, una introducción a las Categorías de Aristóteles y a la lógica en general, donde presentó la división de las categorías de Aristóteles que autores posteriores presentarían en forma del diagrama conocido como

Aunque se ha afirmado que se trata de una falsa atribución, como suele ocurrir con autores de la Antigüedad.

13 Tal diagrama es reconstruido en Londey y Johanson Londey, D (1987): The Logic of Apuleius. Ed. E.J.Brill, Leiden, The Netherlands, p. 109, de donde se tomó la figura.

“árbol de Porfirio”. Pedro Hispano ( ca. 1215-1277), el más importante lógico medieval, presentó esta versión del árbol de Porfirio: 14

Podemos considerar a Boecio (470-524) como la figura final y definitiva con que cierra la Antigüedad clásica latina. Entre su copiosa producción es dable destacar obras lógicas en forma de traducciones, compilaciones, comentarios y tratados. Es costumbr e atribuir a Boecio el cuadrado tradicional de oposición que había presentado tres siglos antes Apuleyo.

La lógica medieval no se redujo a una mera repetición didáctica y sistematizada de la lógica antigua, sino que experimentó avances en varios frentes, como el desarrollo de la teoría de la suposición, el estudio de los sincategoremas y categoremas, los sophismata, los insolubilia, así como la teoría de las consequentiae

Mientras la lógica actual diseña lenguajes formales artificiales, distintos de las lenguas naturales, la lógica medieval se basaba en el análisis del latín científico, al que consideraban como una lengua cuya gramática y léxico manifestaban una perfecta racionalidad.

En el Medioevo se inventaron los procedimientos mnemotécnicos que simplificaron el aprendizaje de temas como los tipos de proposiciones categóricas, las formas válidas del silogismo o la reducción de silogismos a modos perfectos. Fueron los medievales q uienes fijaron en ocho versos las reglas que debe cumplir un silogismo válido:

1. El silogismo debe tener exactamente tres términos.

2. Un término no puede tener mayor extensión en la conclusión que en las premisas.

3. El término medio no debe aparecer en la conclusión.

4. El término medio debe tomarse en toda su extensión al menos una vez en las premisas.

5. De dos premisas negativas no se deduce nada.

6. De dos premisas afirmativas no puede deducirse una conclusión negativa.

7. La conclusión debe seguir a la “peor parte” de las premisas; es decir, si una premisa es particular, la proposición debe ser particular, y si una premisa es negativa, la conclusión debe ser negativa.

8. Una de las premisas debe ser universal.

Un diagrama heurístico célebre en la lógica medieval fue el puente de los asnos ( pons asinorum) que representaba instrucciones para construir silogismos. Se cree que lo

Figura tomada de Pedro Hispano, trad. por Mauricio Beuchot, Tractatus llamados después Summule Logicales, UNAM, México, 1986, p. 21 .

propuso originalmente Alejandro de Afrodisias, pero fue Filopón (490 -566) quien lo representó primero de modo gráfico. He aquí la versión traducida de Bochenski.15

Vale la pena mencionar los diagramas de Averroes (1126 -1198) que ayudaban a representar proposiciones y silogismos de modo esquemático. Un silogismo del modo ferio podría representarse de esta manera:

En los últimos siglos de la Edad Media, Ramón Llull (1232-1316) desarrolló una serie de diagramas que organizaban esquemas de deducciones de su lógica combinatoria, que él veía como un arte del descubrimiento de verdades. El siguiente diagrama aparece e n su Arte breve:16

Finalmente, vale la pena destacar entre los diagramas medievales a la Magna Figura de Buridan (1295/1305-1358/61) un octágono que indica relaciones de oposición entre

Figura tomada de Bochenski, J. M., & Bravo, L. M. (1985). Historia de la Lógica formal. Madrid: Gredos, p. 154

16 Figura tomada de Llull, Ramón, (traducción de Josep E. Rubio) (2004). Arte Breve. Ed. Universidad de Navarra, Navarra, p.72.

proposiciones modales cuantificadas, con términos oblicuos y con el predicado cuantificado.17

4. 3. Diagramas inferenciales en la Edad moderna

Los siglos XVIII y XIX suelen considerarse como la Edad de oro de los diagramas lógicos, en especial, diagramas para silogismos. 18 En esta época, a la costumbre de recurrir a diagramas heurísticos en lógica se sumó la práctica innovadora de diseñar diagramas capaces de llevar a cabo inferencias. Es posible encontrar autores como Boole (1815-1864), que siempre utilizaron métodos exclu sivamente oracionales; como Euler (1707 1783), que solo trabajó métodos diagramáticos, o Peirce, que utilizó ambos métodos.

Probablemente Leibniz fue quien primero estudió seriamente el análisis lógico de proposiciones mediante diagramas, inspirado en alguna medida en el arte combinatorio de Llull. Pero convendrá echar un primer vistazo a los diagramas de Euler y de Venn para revisar brevemente algunos aspectos teóricos de los diagramas inferenciales.

Diagramas regionales: el estilo de Euler y el estilo de Venn Leonhard Euler introdujo por primera vez sus diagramas en 1761 en el segundo volumen de sus Cartas a una princesa alemana. Para referirse a una noción general o clase utilizó un círculo que puede llevar una letra. Por ejemplo, la clase de los hombres podría representarse así

Y para representar proposiciones que relacionan nociones o clases dibujó círculos que se incluían, excluían o intersecaban. Las cuatro proposiciones categóricas típicas se representarían así:

17 Figura tomada de las reconstrucciones que aparecen en John Buridan, Summulae de dialéctica , Yale University Press, 2001, New Haven and London p. 44 y 45.

Para los tres temas siguientes he seguido algunos de los principales planteamientos de Moktefi, A., & Shin, S.-J. (2012). “A History of Logic Diagrams” en North -Holland, Dov M. Gabbay, Francis Jeffry Pelletier, John Woods (eds). Handbook of the History of Logic , vol. 11: Logic: A History of its Central Concepts (pp. 611-682).

De los diagramas eulerianos de proposiciones categóricas, salvo la proposición “Ningún A es B”, las demás eran representadas ambiguamente. Consideremos la proposición “Todo A es B”. ¿Qué pasaría si A fuera igual a B, como en “Todos los renados son cordados”? Ciertamente el círculo de A no debería ser menor que el de B. ¿Y si “Algún A es B” es cierto porque “Todo A es B”? En tal caso no debiera haber regiones de A fuera de B. Las proposiciones “Todo A es B”, “Algún A es B” y “Algún A no es B” requerían cada una más de un diagrama para representar toda su información potencial.

En 1817 Joseph Gergonne (1771-1859) demostró que entre dos clases hay cinco relaciones posibles que se representan a continuación:

De las relaciones anteriores entre clases, la proposición “Todo A es B” se representaría con los círculos eulerianos 1 y 3; la proposición “Algún A es B” se representaría con los círculos 1, 2, 3 y 5; y la proposición “Algún A no es B” se expresaría mediante los círculos 2, 4 y 5. Así utilizaremos el sistema de Euler en este texto.

Euler parece no haber quedado satisfecho con su representación de las proposiciones particulares y llegó a sugerir el uso de una estrella o asterisco para señalar las regiones no vacías de un diagrama en casos como este:

Algunos lógicos del siglo XIX intentaron resolver varias de las complicaciones de los círculos de Euler adaptando diagramas que combinaran en una sola representación las interpretaciones potenciales de cada proposición. De este modo, una proposición com o A C * B

Otra de las deficiencias del sistema de Euler se relacionaba con la interpretación booleana de las proposiciones categóricas, que implicaba el no poder representar ciertos pares de proposiciones como “Toda A es B” y “Ningún A es B”, que son perfectamente compatibles si A es una clase vacía.

“Todo A es B” que puede significar que A está incluido propiamente en B, o que A es igual a B, se representaría en un círculo con una línea punteada que querría decir que puede estar la línea (si A está estrictamente incluido en B) o no estar (si A es igual a B).

Con esta convención gráfica lo que se ganaba en capacidad expresiva se perdía en naturalidad. El diseño de estos dispositivos para expresar la indeterminación semántica fue parte del trabajo posterior realizado por John Venn (1834 -1923) y Charles S. Peirce. En ambos varias de las ambigüedades del sistema diagramático de Euler fueron eliminadas.

Los diagramas de Venn aparecieron por vez primera el año 1880 en la revista The Philosophical Magazine, y los desarrolló después en su Symbolic Logic de 1881 y 1894. Venn se sentía insatisfecho con las insuficiencias de los diagramas de Euler, por lo que buscó mejorarlos utilizando círculos también, pero en lugar de representar en ellos directamente las relaciones entre clases en un solo paso, optó por seguir dos pasos: dibujar primero un diagrama que representara todas las subclases posibles entre las clases relacionadas y señalar después marcas especiales para indicar el vacío o no vacío de esas subclases dependiendo de lo que se desea representar. Por ejemplo, para la proposición universal “Ningún A es B” Euler habría dibujado directamente los círculos separados de las clases A y B:

John Venn, en cambio, habría trazado un diagrama primario que expresaría las cuatro subclases posibles formables entre A y B (la clase de intersección de A y de B, la clase de A sin B, la clase de B sin A y la clase afuera tanto de A como de B):

Para Euler, este diagrama anterior ya habría expresado una relación, la de “Algún A no es B”, pero para Venn aún no expresaría más que una especie de plantilla general sobre la base de la cual se colocarían las marcas que sí representarían la relación que se desea expresar. Sobre este diagrama primario Venn sombrearía luego la región intermedia para indicar que no hay nada que sea a la vez A y B, que la región de traslape de A y B es vacía; es decir, “Ningún A es B”:

En cierto modo, con los diagramas de Euler uno debe conocer la relación entre clases antes de representarla y con los diagramas de Venn se parte de un conocimiento imperfecto de tales relaciones en el diagrama primario que luego se precisará con las

marcas añadidas a tal diagrama. Mientras los círculos eulerianos representaban la extensión misma de las clases de la proposición, los círculos de Venn expresaban compartimentos de relaciones posibles entre tales clases. A modo de ejemplo, si quisiéramos dividir tres tipos de animales en un zoológico que tuviera mamíferos, reptiles y aves, el estilo euleriano habría hecho esta división directa:

Y el estilo de Venn habría llevado a cabo esta división dicotómica primero,

para luego destacar las clases de las ramas 4, 6 y 7 (es decir, mamífero que no sea reptil ni ave, reptil que no sea ni mamífero ni ave y ave que no sea ni mamífero ni reptil) o quizá eliminar las ramas 1, 2, 3, 5 y 8.

Venn también tuvo dificultades para representar las proposiciones particulares y su importe existencial. Sus actitudes al respecto variaban desde sugerir dispositivos gráficos como barras, matices o cruces en diagramas de Marquand o en sus propios diagr amas para indicar regiones no vacías, hasta simplemente evitar tocar el tema.

Las proposiciones universales simplemente cancelaban divisiones completas del diagrama, pero las particulares encerraban la dificultad de que buscan no cancelar alguna región indeterminada que puede ser parte de otras regiones. Esa indeterminación se expresa lógicamente como una disyunción, que es parte de la propuesta que aportó Peirce.

Las mejoras de Peirce a los diagramas de Venn Peirce buscó mejorar la capacidad expresiva de los diagramas de Venn con nuevas convenciones gráficas como el “0” para indicar una región vacía y la “X” para señalar una región no vacía. Por ejemplo, para representar las proposiciones “Todo A es B” y “Algún A es B” Peirce habría utilizado estos dos diagramas:

Y si se tratara de representar la disyunción “Todo A es B o algún A es B” Peirce llegó a proponer el uso de una línea que conecte a los símbolos “0” y “X”:

También sugirió para disyunciones colocar una “X” en el límite de dos regiones en lugar de las “X” conectadas por una línea. Así, la proposición “Algún A no es B o algún A es B” puede diagramarse de estas dos formas:

Es fácil tener una mejor perspectiva de la evolución de los diagramas si comparamos algunas de las representaciones más conocidas de las cuatro proposiciones categóricas según Euler, Venn y Peirce. Nótese que lo que se gana en generalidad y flexibilidad se pierde en naturalidad visual:

Enunciado Euler Venn Peirce

Diagramas lineales

Los diagramas lógicos que utilizan líneas parecen tan antiguos como los regionales. También los hay con el estilo de Euler de representar directamente las clases y sus relaciones (por ejemplo, los de Leibniz y los de Lambert), y con el estilo de Venn de recurrir a diagramas primarios sobre los cuales se expresan después las relaciones (por ejemplo, los de Welton).

Probablemente fue Leibniz quien utilizó primero tanto diagramas lineales como regionales para representar proposiciones categóricas y silogismos. Sus diagramas regionales son también círculos muy similares a los de Euler y los utilizó décadas antes.

Para representar mediante un diagrama lineal leibniziano “Todos los S son P” se dibujan dos rectas horizontales correspondientes a S y a P de manera que la recta de S quede encima y más pequeña que la recta de P:

Las restantes proposiciones categóricas típicas quedarían así:

Los diagramas lineales de Leibniz adolecen de mismo problema que los de Euler: a menudo se requiere de más de un diagrama para expresar toda la información contenida en una proposición. Por ejemplo, en la proposición “Todo S es P” la clase S puede estar incluida de manera propia o impropia en la clase P, de ahí que se requieran dos diagramas:

Una forma de resolver esta ambigüedad es combinando los dos diagramas en uno solo mediante líneas punteadas, cosa que Leibniz ensayó a veces, y que resulta más perspicuo en los diagramas que Johann H. Lambert (1728-1777) presentó en su Neues Organon. Mediante un diagrama de Lambert la proposición “Todo S es P” se representa de cualquiera de estos dos modos cuyas líneas punteadas expresan la posibilidad de inclusión estricta o no estricta de S en P:

Y las restantes proposiciones se diagramarían así:

El lógico James Welton (1853-1922) utilizó en 1891 diagramas lineales con el estilo de Venn. De sus explicaciones puede inferirse que un diagrama lineal primario para proposiciones categóricas que relacionen a las clases S y P resultaría de este modo:

Obsérvese que la recta horizontal se divide en cuatro segmentos que representan las combinaciones posibles de S y P. La recta es punteada para indicar lo dudoso o indeterminado de las clases, aquellas cuyo segmento no se sabe si está vacío u ocupado. Representar una proposición implicar señalar el segmento o segmentos vacíos o no vacíos. Los vacíos se borran y los ocup ados se rellenan con rectas continuas. De este modo, la proposición “Todo S es P” se expresa borrando el segmento de “S y no P” y haciendo continuo el de S y P:

Se hace continuo el segmento de S y P para evitar que la clase S quede vacía, pues Welton presupone la interpretación tradicional de las proposiciones categóricas que no admite clases vacías.

Diagramas tabulares

La noción de universo de discurso ha sido objeto de actitudes opuestas desde que Augustus De Morgan (1806-1871) la introdujo en 1846 por primera vez. De Morgan, Boole y Carroll (1832-1898) veían al universo de discurso como un medio necesario para definir y delimitar el complemento de una clase, mientras que Venn lo consideraba como un tema extralógico y, por tanto, innecesario de tratar.

La representación gráfica del universo aparece en 1879 en el Álgebra de la lógica de MacFarlane (1851-1913). Ahí el autor incluye diagramas de Euler encerrados en un rectángulo alrededor para representar al universo y unos años después hará lo mismo con diagramas de Venn. Esta última es la práctica común de manuales modernos de lógica y de textos que tratan teoría de conjuntos.

Los diagramas tabulares suelen basarse en una idea gráfica algo distinta. Representan primero el universo en un cuadro y luego lo dividen en partes que representarán a las combinaciones de clases. Ha habido tanto diagramas tabulares que siguen el estilo de Euler (donde cada región representa una clase real) como diagramas tabulares que siguen el estilo de Venn (donde cada región representa una combinación posible sobre la que luego se harán marcas):

Entre los diagramas tabulares clásicos, quizá los de Lewis Carroll sean los más conocidos. Siguen el estilo de Venn, representan el universo en un cuadrado, tratan sin

mayor problema las proposiciones existenciales y pueden trabajar con términos negativos. En su The Game of Logic (1887) Carroll presenta cuadrados o tableros de dos letras de términos (biliterales) para representar las proposiciones categóricas y de tres letras de términos (triliterales) para representar los silogismos.

En la versión más extendida de sus diagramas para indicar regiones vacías utiliza fichas circulares blancas y para indicar regiones ocupadas emplea fichas rojas (que aquí anotamos negras). Las proposiciones categóricas quedarían expresadas así:

4.4. Sistemas diagramáticos para la lógica moderna de relaciones 19 Hasta hace poco tiempo era común que Frege (1848-1925) recibiera todo el crédito como el padre fundador de la lógica moderna de predicados y que a Peirce se le reconociera como el gran pionero en el siglo XIX del razonamiento diagramático, pero las dos id eas son erróneas. La investigación histórica ha mostrado que la lógica moderna es más bien un codescubrimiento o una coinvención independiente, de Frege con su Conceptografía de 1879 y de Peirce con su artículo “Sobre el álgebra de la lógica: Una contribuc ión a la filosofía de la notación” de 1885. Frege había propuesto un sistema diagramático , o casi diagramático, de lógica de predicados llamado comúnmente “escritura conceptual” orientado a la reducción de verdades matemáticas a verdades lógicas, y Peirce un sistema oracional de lógica de predicados proyectado para estudiar una lógica de relaciones. Es sabido que el lenguaje diagramático bidimensional de Frege fue criticado y casi olvidado, mientras que el lenguaje simbólico lineal de Peirce tuvo buena recepción. Un enunciado como “Todo S es P” , que se representaría con la fórmula x(Sx → Px) de la lógica simbólica oracional actual, quedaría expresado del modo siguiente en los dos lenguajes:

 Escritura conceptual bidimensional de Frege:

19 Aquí se considera a la escritura conceptual de Frege y a los grafos existenciales de Peirce como sistemas diagramáticos; pero esta condición de ambos es discutida entre especialistas.

Notación lineal de Peirce:

Años después, en 1897, Peirce publicará un segundo sistema lógico que presumiblemente facilitaría el estudio de las relaciones lógicas, pero ahora con una representación diagramática: sus grafos existenciales. Estos incluyen el sistema alfa para lógica proposicional, el sistema beta para lógica de predicados y el sistema gama para lógica modal.

Antes de dar una breve descripción de los sistemas diagramáticos de Frege y de Peirce, deben quedar claros estos hechos:

1. Frege presentó el primer sistema de lógica de predicados en 1879, que expresó con notación diagramática.

2. Peirce publicó el primer sistema simbólico oracional de lógica de predicados en 1885.

3. Peirce expuso el sistema diagramático de grafos existenciales hasta 1897.

En el sistema gráfico de Frege, se toman como operadores lógicos primitivos la negación, el condicional y el cuantificador universal. Un enunciado o juicio se representa con una horizontal seguida de una letra.

Esta horizontal es el “trazo de contenido” que se prefija a signos de enunciados que no se afirman ni se niegan.

Para indicar la aserción del mismo enunciado se le añade una vertical perpendicular al lado izquierdo.

La negación de A, es decir, “no es cierto que A” se representa con una pequeña línea vertical unida al trazo de contenido.

Un enunciado hipotético o condicional de la forma “si A, entonces B” se representaría con el antecedente debajo del consecuente:

Frege señala que lo afirmado en ese juicio hipotético es que no ocurre que A sea afirmada y B sea negada, lo que coincide con la interpretación filónica o material del condicional lógico.

La aserción de este enunciado condicional sería

La aserción de “no es cierto que si A, entonces B” se expresaría

La aserción del enunciado “si A, entonces si B, entonces C” que equivale a “si A y B, entonces C” se representaría así:

Estas fórmulas distintas de la lógica simbólica actual como A (B C), (A B) → C, B → (A → C) o (B ) → C se representarían con el solo diagrama anterior de la notación fregueana donde los antecedentes “cuelgan” del trazo de contenido.

Otras aserciones enunciativas se representan en la escritura conceptual como se indica a continuación:

Como se mostró antes, la aserción de un enunciado universal afirmativo como “Todo S es P” se representa con una concavidad en el trazo de contenido donde se anota una letra de la variable que se cuantifica, y se utilizan funciones predicativas como S(x) o P(x). A partir de este esquema se representan las otras tres proposiciones categóricas. Véanse las notaciones siguientes:

El sistema alfa de los grafos existenciales de Peirce no utiliza como vocabulario más que letras enunciativas y cortes. Los cortes son círculos o elipses que al encerrar a un grafo indican que lo niegan.

Una letra como A puede ser un grafo que represente a un enunciado que se toma como verdadero. La negación de A se expresaría así:

La conjunción de los enunciados A y B se expresaría con una mera yuxtaposición AB Y la negación de esta conjunción de enunciados se representa con este corte:

Si de la conjunción de enunciados se niega uno solo, digamos B, obtenemos el grafo de A y no B:

Ordenemos algunos grafos de este sistema:

La lectura endoporéutica, o de afuera hacia adentro, que sugirió Peirce para interpretar sus grafos existenciales induce a verlos como algo parecido a un sistema simbólico de dos conectores, negación y conjunción. De tal manera, un grafo como expresaría unívocamente la fórmula

¬[¬(A ¬B) ¬(C ¬D)]

Pero es factible interpretar de varias formas el mismo grafo mediante la propuesta de Shin (2002) de lectura múltiple de los grafos existenciales. Esta lectura indica que, si consideramos los corchetes [] como un corte, y g1 y g2 como grafos existenciales cuya traducción simbólica son las letras respectivamente, entonces cada grafo siguiente se interpreta como se señala a su derecha:

1. [g1] es ¬ α.

2. g1g2 es α β.

3. [g1g2] es ¬ α ¬ β.

4. [g1 [g2]] es α β.

5. [[g1][g2]] es α β.

De esta manera, sin modificar ni incrementar la sintaxis del sistema alfa es posible obtener información negativa, conjuntiva, disyuntiva o condicional de sus grafos. El mismo grafo anterior puede verse como una típica estructura de Gestalt que admite interpretaciones alternativas como las siguientes:

¬[¬(A ¬B) ¬(C ¬D)]

(A ¬B) (C ¬D)

¬ (A ¬B) → (C ¬D)

(¬A B) → (C ¬D)

(A → B) → (C ¬D)

Todas estas interpretaciones son equivalentes. El que se representen mediante el mismo diagrama es una prueba de ello.

El sistema beta de Peirce incluye como vocabulario letras, cortes y líneas de identidad. Pero las letras no representan enunciados sino predicados. Así, por ejemplo, si la letra P representa un predicado monario, entonces el siguiente grafo que incluye una línea de identidad prefijada a la letra P expresa el enunciado “algo es P”:

Si las letras P y Q representan predicados, unirlas por una misma línea de identidad daría un grafo que expresa el enunciado “algún P es Q”.

Sus respectivas negaciones, “No es cierto que algo es P (nada es P)” y “No es cierto que algún P es Q (ningún P es Q)” se envolverían en recortes:

Peirce sugirió que cualquier grafo cuya parte más externa de su línea de identidad esté encerrada en un número par de recortes (cero recortes, dos recortes, cuatro recortes, etcétera) se referirá a algo, es decir, se trataría de una proposición particular o existencial; y cualquier grafo cuya parte más externa de la línea de identidad se encuentre encerrada en un número impar de recortes (un recorte, tres recortes, cinco recortes, etcétera) se referirá a cualquier cosa, es decir, se trataría de una proposición universal. Esto es consistente con la técnica de lectura múltiple antes señalada: no se trata de ver el sistema como uno de carácter simbólico con ciertos operadores básicos, sino como un sistema

diagramático cuyas características visuales se asocian a determinadas interpretaciones lógicas.

La notación de Peirce en el sistema beta para representar relaciones se inspiró en la representación de los compuestos químicos que él conocía basada en la doctrina de la valencia. Véanse como muestra la representación química de la molécula del agua que aparece a la izquierda y el grafo del enunciado relacional “Romeo ama a Julieta” a la derecha:

Para clarificar el alcance de la cuantificación los sistemas simbólicos suele n recurrir a dispositivos sintácticos como los paréntesis. Por ejemplo, el enunciado “Todo fenómeno es producido por alguna causa” es ambiguo. Puede significar que cualquier fenómeno es producido por una u otra causa, que se simbolizaría de modo que el cuantificador universal tuviera un mayor alcance sintáctico delimitado por los paréntesis de llave:

x{Fenómeno(x) → y[Produce(y, x) Causa(y)]}

También puede significar que hay alguna causa que produce a todo fenómeno, con lo que el cuantificador existencial sería de mayor alcance:

y{Causa(y) x[Fenómeno(x) →Produce(y, x)]}

Peirce señaló que para resolver los problemas del alcance de cuantificadores era preciso comparar las partes más externas de las líneas de identidad: la menos encerradas en recortes, tendrían más alcance. De esta manera, los dos significados distintos d el enunciado anterior quedarían expresados en su respectivo grafo:

Hoy tenemos más claro que la revolución lógica de Frege y Peirce avanzó en al menos dos frentes:

1. Un incremento de lo formalizable desde la lógica de predicados monarios hasta la lógica de las relaciones.

2. Un incremento en la manera de entender qué es la formalización lógica, que incluye tanto representaciones simbólicas como no simbólicas. Tal es el caso de la formalización diagramática.

4.5. Diagramas inferenciales recientes

Desde mediados del siglo XIX y la mayor parte del siglo XX tomó fuerza en las ciencias formales la desconfianza hacia los diagramas como medio de prueba y se impuso el modelo de demostración mediante lenguajes secuenciales simbólicos. Como ya se dijo en la introducción, es muy probable que este dominio logocentrista obedeciera a una necesidad de precisión en la búsqueda de los fundamentos de las matemáticas; pero parece que la búsqueda de eficiencia en la era de las computadoras motivó el resurgimiento de los sistemas diagramáticos. Las matemáticas, la lógica formal y la informática han retomado el desarrollo y estudio de sistemas de diagramas, y la propia lógica informal reconoce el valor de investigar la argumentación multimodal.

Aunque las consecuencias de ciertos teoremas (como el teorema de Helly) apuntan a serios límites impuestos por restricciones geométricas en la capacidad expresiva de sistemas que utilizan relaciones espaciales para representar relaciones no espaciales, la investigación en diagramatología sigue su avance en gran medida por la eficacia cognitiva y computacional que documentan diversos estudios experimentales de sistemas diagramáticos.

Una apuesta metodológica actual apunta a la búsqueda de combinar las ventajas computacionales de diferentes modos de representación, tal como suele ocurrir en el razonamiento natural, lo que incluye a la formalización multimodal. Esto ha propiciado que proliferen sistemas lógicos diagramáticos con un interesante nivel de éxito.

Los siguientes son una breve muestra del tipo de sistemas diagramáticos que se han desarrollado en tiempos recientes con relevancia especial en el ámbito de la lógica. Estos nos dan una orientación general sobre la variedad de sistemas que se han diseñ ado hasta ahora a la vez que sugieren posibles caminos de desarrollo futuro de acuerdo con los problemas teóricos que habrán de considerar. Desde una perspectiva exclusivamente lógica, interesan los sistemas diagramáticos con propiedades como la sencillez, la naturalidad, la sintaxis precisa, la corrección (que lo demostrable en ellos sea válido), la completud (que lo válido sea demostrable), la buena capacidad expresiva y la posesión preferente de free-rides fácilmente identificables (aunque aún se discute si solo los diagramas poseedores de free-rides serían diagramas lógicos o inferenciales en sentido estricto). Desde otras perspectivas importan aspectos como su eficacia cognitiva y computacional, así como su aplicabilidad a problemas prácticos.

Se ha sugerido que uno de los primeros sistemas representativos del renacimiento de la diagramatología es el formulado por M. B. Smyth en su artículo “A Diagrammatic Treatment of Syllogistic” (1971), aparecido en el Notre Dame Journal of Formal Logic. Se basa en la utilización de grafos dirigidos como diagramas lineales que permiten formalizar silogismos y mecanizar un sistema de prueba de su validez. Su mismo autor esbozó en el artículo las demostraciones de corrección y completud del sistema. El ejemplo siguiente es un típico diagrama de Smyth:

En 1987 Barwise y Etchemendy implementaron un programa de computadora llamado “El mundo de Tarski” que combina en un sistema heterogéneo información visual y verbal para el aprendizaje del lenguaje lógico simbólico, de su semántica, y para la resolución de problemas lógicos.

Años después, en el Notre Dame Journal of Formal Logic, se presentó por vez primera el sistema de diagramas lineales de George Englebretsen en su artículo “Linear Diagrams for Syllogisms (with Relational)” de 1992. Este sistema fue motivado por la idea de formular un sistema diagramático correlativo al sistema simbólico de términos de Fred Sommers, así como los sistemas de Euler y Venn podrían verse quizá como los correlatos diagramáticos de la lógica simbólica ordinaria que ha sustituido el análisis de la proposición mediante términos por un análisis de funciones y argumentos. Con los diagramas de Englebretsen se asumió un ambicioso proyecto de tratar con lógica proposicional y lógica de predicados monádicos y poliádicos. El que sigue es un diagrama de Englebretsen:

En 1998, el mismo Journal publicó póstumamente, con el apoyo de Englebretsen y de otros autores, el artículo “AE (Aristotle-Euler) Diagrams: an Alternative Complete Method for the Categorical Syllogism”, de Mario Savio. En ese artículo se daba a conocer su sistema de diagramas regionales que simplifica notablemente a los diagramas de Euler y permite tratar con mayor facilidad a los silogismos categóricos. El siguiente es un diagrama de Savio:

Desde mediados de los noventa, Peter Cheng ha trabajado en la investigación y desarrollo de diagramas para múltiples tareas en áreas tecnológicas y de ciencias. El año 2012 dio a conocer sus diagramas inferenciales para lógica proposicional y para silogismos en sus textos “Visualizing syllogisms: category pattern diagrams versus Venn diagrams” y “Truth Diagrams: An Overview”. Tales diagramas forman parte de un proyecto amplio de representación epistémica que investiga cómo los sistemas de notación codifican el conocimiento y qué beneficios cognitivos potenciales pueden obtenerse de las codificaciones novedosas del conocimiento. Los sistemas de diagramas de este tipo que se han desarrollado hasta ahora incluyen notaciones lineales que siguen el estilo de Venn y buscan abarcar toda la lógica de predicados. Este es un ejemplo de diagramas de patrones de categorías diseñados por Cheng que tratan con silogismos categóricos y que pertenecen a un sistema lógicamente correcto y completo:

Desde el año 2010, con el texto “A Diagrammatic Calculus of n -Term Syllogisms” Ruggero Pagnan presentó sus propios diagramas lineales que dan cuenta de la validez de silogismos mediante la estrategia de eliminación del término medio. Se trata de un sistema lógico heterogéneo que combina elementos de naturaleza gráfica y algebraica. Este es un diagrama de Pagnan:

A fines del siglo XX, John Howse y otros autores presentaron los diagramas de araña, un sistema resultante de modificar y extender los diagramas de Euler, de Venn y de Peirce a los que se añaden sombreados de regiones y arañas. Una araña es un árbol o una secuencia de Peirce (como las que veremos en los diagramas de Venn -Peirce) que designa a un elemento que puede ocupar alguna de las posiciones indicadas por los nodos del árbol. Los diagramas de araña pueden constituir un sistema correcto, completo y decidible, equivalente a uno de lógica de predicados monarios con identidad. Este es un diagrama de araña:

En su conferencia “Syllogistic with Jigsaw Puzzle Diagrams” de 2018, Castro -Manzano introdujo por vez primera su sistema de diagramas de rompecabezas para tratar silogismos. La idea fundamental de estos diagramas consiste en asimilar el enlace de términos que determina la corrección de un silogismo al encaje de piezas en la solución de un rompecabezas. El siguiente es un diagrama de rompecabezas de Castro-Manzano:

El autor de estos diagramas considera que, junto con los diagramas literales de Carroll, pueden pertenecer a una clase distinta de los regionales, lineales y tabulares. Podría tratarse de diagramas “cinestésicos” por requerir no solo dibujos de los esq uemas visuales, sino su manipulación para encajarlos unos en otros de acuerdo con las reglas del sistema.

4.6. Ejercicios

Responder las siguientes preguntas de acuerdo con lo visto en este capítulo.

A. ¿Qué es el logocentrismo?

B. ¿A partir de los diagramas de cuáles autores tomó forma la tradición de diseñar diagramas inferenciales?

C. ¿Qué son los diagramas inferenciales?

D. ¿Cuáles son los dos tipos generales de diagramas que se utilizan en lógica?

E. ¿Qué tipo de diagramas inferenciales existen?

F. ¿Qué caracteriza a los sistemas lógicos diagramáticos?

G. ¿En qué siglos transcurrió la edad de oro de los diagramas lógicos?

H. ¿Qué es un free-ride?

I. ¿En qué consisten el estilo de Euler y el estilo de Venn para la elaboración de diagramas?

J. ¿Qué factores posibles determinaron la desconfianza hacia los diagramas como medio de prueba y su posterior revaloración?

Capítulo 5

Diagramas lineales de Leibniz

G. W. Leibniz utilizó dos tipos de diagramas, circulares y lineales. Los segundos pueden verse como un sistema de diagramas basado en líneas rectas horizontales y verticales para representar los silogismos categóricos. Comparado con otros, se trata de un s istema de poco poder expresivo, pero con propiedades relevantes como los free-rides y la corrección y completud en relación con los silogismos que codifica. Aquí se presenta una versión de su sistema como una técnica de evaluación de silogismos que presupo ndrá la interpretación moderna, de modo que de una proposición universal no podrá derivarse una proposición particular.

5.1. Lenguaje diagramático

El lenguaje de los diagramas de Leibniz contiene lo siguiente:

1. Rectas horizontales continuas Representan a los términos de clase.

2. Rectas verticales punteadas. Representan relaciones entre los términos de clase.

Leibniz dibujaba sus diagramas colocando la horizontal del término sujeto de la proposición –que designa con B– arriba de la horizontal del término predicado –que señala con C–.

Las líneas pretenden expresar las cuatro relaciones entre parejas de términos a través de las longitudes relativas de las horizontales que los representan y de los respectivos puntos por donde cortan las verticales punteadas a las horizontales. Estas relaciones son:

1. B está completamente incluido en C. La longitud de la recta correspondiente a B es menor que la de la correspondiente a C y queda “contenida” en ella.

2. B y C se excluyen completamente. No hay puntos de las horizontales por donde corta una misma vertical punteada perpendicular a ambas.

3. B y C están parcialmente incluidas. Comparten segmentos horizontales paralelos y hay verticales punteadas que cortan tales segmentos.

4. B está parcialmente excluido de C. Solo una de las verticales punteadas corta a las paralelas.

Aquí se utilizarán diagramas con una ligera diferencia respecto a los originales de Leibniz: se escribirá arriba la horizontal del término predicado y abajo la del término sujeto. De este modo tendremos diagramas simétricos y equivalentes a los original es de Leibniz que permitirán que la representación e interpretación diagramática de los silogismos transparente las relaciones entre los términos menor y mayor y pueda determinarse así con mayor facilidad la validez o invalidez de tales silogismos.

5.2. Superposición y contención

Es posible combinar la información de dos proposiciones categóricas, y a veces de más de dos, al superponer sus diagramas. Ello se consigue colocando las horizontales que representan a cada término según lo marca el cuadro anterior y las verticales punte adas donde correspondan.

Aquí solo combinaremos dos proposiciones porque utilizaremos los diagramas lineales en la evaluación de silogismos y al superponer los diagramas de las premisas habremos conseguido un viaje gratis (free-ride) al diagrama de la conclusión.

La superposición de diagramas lineales de Leibniz sigue estas reglas:

1. La superposición de dos diagramas da lugar a un diagrama resultante cuyas horizontales son la suma lógica o unión de las horizontales de los diagramas superpuestos. Esto implica que en el diagrama resultante una misma horizontal puede haber pertenecido a ambos conjuntos de horizontales de los diagramas que se superpusieron.

2. La superposición de dos diagramas da lugar a un diagrama resultante cuyas verticales punteadas son la suma de las verticales punteadas de los diagramas superpuestos. Algunas verticales podrán aparecer prolongadas o unidas como segmentos a otras verticales.

El diagrama resultante no es una composición rígida de los diagramas superpuestos , sino que requerirá con frecuencia ajustar la longitud y ubicación de las rectas horizontales, así como prolongar las verticales punteadas para transparentar las relaciones lógicas entre las clases designadas por los términos. Véanse los siguientes ejemplos.

Ejemplo

En cada renglón la superposición del primer y segundo diagramas da lugar a los diagramas resultantes del lado derecho.

En los tres casos el diagrama resultante contiene a los diagramas superpuestos como partes de él, con pequeños cambios como la disminución de la longitud de algunas horizontales o el cambio de lugar relativo de una en relación con otra. También contiene al diagrama de una tercera proposición categórica, que sería la conclusión obtenida de combinar las dos proposiciones de los diagramas superpuestos como premisas de un silogismo.

Diremos que un diagrama D contiene a un diagrama E si y solo si:

a) todas las horizontales de E son horizontales de D,

b) todas las verticales punteadas de E son verticales punteadas de D.

Ejemplo

En los incisos a, b, c, d y e los diagramas del lado izquierdo contienen a los de su lado derecho.

En los diagramas de los incisos a, b y c se muestra que los de la izquierda contienen a los de la derecha como algo implícito, que surgió de la superposición de dos diagramas previos. Al diagrama del inciso d solo se le anotó como diagrama contenido a uno de los dos que se superpusieron.

5.3. Prueba de validez

Para llevar a cabo una prueba directa de la validez de un argumento silogístico mediante los diagramas de Leibniz deben seguirse estos pasos:

1. Representar las dos premisas en un mismo diagrama.

2. Verificar si el diagrama de la conclusión quedó contenido en el diagrama de las premisas, es decir, verificar si hubo free-ride. Si quedó contenido, el argumento es válido; si no quedó contenido, el argumento es inválido.

Veamos los ejemplos que siguen.

Ejemplo

Probar con diagramas de Leibniz la validez de un silogismo barbara

Todo M es P

Todo S es M

Por lo tanto, todo S es P

Se representará primero “Todo M es P” con una horizontal para P y una más pequeña para M justo debajo de P; de la horizontal de M parten líneas verticales punteadas hacia la horizontal de P que delimitan un segmento de esta, indicando que M es “una parte” de P. Entonces “Todo M es P” quedaría así

El diagrama de “Todo S es M” habría sido similar al anterior

pero se anotará la horizontal de S debajo de la de M que ya estaba a su vez debajo de la de P. Como S estaría contenida en M, debe ser más pequeña que ella y quedaría, por lo tanto, de esta manera

Se desea transparentar la relación que habría entre S y P, por lo que la segunda recta punteada que va de S a M debe prolongarse hasta P, con lo que resulta que el diagrama de las premisas es este:

Por cuestiones didácticas representaremos también el diagrama de la conclusión. Bastará con eliminar la información diagramática de M y dejar anotada la información diagramática sobre las relaciones entre S y P. Los respectivos diagramas de las premisas y de la conclusión son los siguientes:

El diagrama de la conclusión corresponde justamente a la proposición universal afirmativa “Todo S es P” y quedó contenido automáticamente en el diagrama de las premisas, esto es, tuvimos un free-ride a la conclusión. Por eso, el argumento es válido. Véase que también podría haberse representado de este modo:

Ejemplo

Probemos la validez de un celarent

Ningún M es P

Todo S es M

Luego, ningún S es P

Solo una vez más mostraremos el diagrama simétrico del anterior.

Ejemplo

Verifiquemos la validez de un darii.

Todo M es P

Algún S es M

Luego, algún S es P

Véase que convino anotar la horizontal de S del lado derecho de M para evidenciar la relación entre S y P.

Ejemplo

Veamos la validez de un ferio.

Ningún M es P.

Algún S es M

Luego, algún S no es P

Ejemplo

Probar con diagramas de Leibniz la validez de un silogismo cesare

Ningún P es M

Todo S es M

Por lo tanto, ningún S es P

Ejemplo

Veamos la validez de un disamis

Algún M es P

Todo M es S

Luego, algún S es P

Ejemplo

Veamos la validez de un bocardo

Algún M no es P.

Todo M es S.

Luego, algún S no es P.

Ejemplo

Probemos la invalidez de un AAI-1 o barbari.

Todo M es P.

Todo S es M. Luego, algún S es P.

Véase que la conclusión obtenida corresponde a una proposición universal afirmativa, no a la particular afirmativa de un barbari.

Ejemplo

Probemos la invalidez de un EEE-3.

Ningún M es P.

Ningún M es S. Luego, ningún S es P.

El diagrama de la conclusión no corresponde a ningún diagrama de Leibniz de alguna proposición categórica.

5.4. Ejercicios

A. Indicar cuál de los siguientes enunciados conjuntistas corresponde al diagrama lineal de la derecha. Puede haber más de uno correcto.

a) S P = Ø

b) S P = Ø

c) S P Ø

d) S P’

e) S P

B. ¿Cuál de los enunciados siguientes habría quedado formalizado en el diagrama del ejercicio A anterior? Solo uno es correcto.

a) Algunos sonámbulos (S) no son pacíficos (P).

b) Ningún sonámbulo (S) es no pacífico (P).

c) No hay sonámbulos (S) que no sean pacíficos (P).

d) Los sonámbulos (S) no son pacíficos (P).

e) No todos los sonámbulos (S) no son pacíficos (P).

C. Señalar cuáles parejas de enunciados conjuntistas corresponden al diagrama lineal. Puede haber más de una pareja correcta.

a) S P y P S

b) M ∩ P ≠ Ø y S ∩ M ≠ Ø

c) S P Ø y S P

d) S P’ y M ∩ P ≠ Ø

e) S P y S ∩ M = Ø

D. ¿Cuál de las parejas de enunciados siguientes habría quedado representada en el diagrama del ejercicio C anterior? Solo una es correcta.

a) Algunos de los sonámbulos (S) no son pacíficos (P) y algunos sonámbulos ( S) no son maduros (M).

b) Ningún sonámbulo (S) es maduro (M) y ningún pacífico (P) es maduro (M).

c) No hay sonámbulos (S) que no sean pacíficos (P) y no hay pacíficos (P) que no sean o maduros (M)

d) Los sonámbulos (S) son pacíficos (P) y maduros (M)

e) Algunos pacíficos (P) son maduros (M) y algunos sonámbulos (S) son maduros (M).

E. Expresar cuáles parejas de enunciados conjuntistas corresponden al diagrama de Leibniz. Los dos enunciados de la pareja deben estar representados en el diagrama y puede haber más de una pareja correcta.

a) S P’ y M ∩ P ≠ Ø

b) M P ≠ Ø y S ∩ M ≠ Ø

c) S ∩ P = Ø y S P

d) S P’ y P S’

e) S M’ y M ∩ P = Ø

F. ¿Cuál de las parejas de enunciados siguientes habría quedado representada en el diagrama del ejercicio E anterior? Solo una pareja es correcta.

a) Algún sonámbulo (S) es maduro (M). Ningún maduro (M) es pacífico (P).

b) Ningún sonámbulo (S) es maduro (M). Hay pacíficos (P) que no son maduros (M).

c) No hay sonámbulos (S) que no sean pacíficos (P). Algunos maduros (M) no son sonámbulos (S).

d) Los pacíficos (P) son maduros (M). Los sonámbulos (S) son pacíficos (P) y maduros (M).

e) No todos los pacíficos (P) son sonámbulos (S). Es falso que algunos maduros (M) sean pacíficos (P).

G. Señalar cuál diagrama contiene a qué otro u otros (distintos de él mismo) en la siguiente lista de diagramas.

H. Llevar a cabo la demostración de la validez o invalidez de los siguientes argumentos silogísticos mediante prueba directa en el sistema de diagramas lineales de Leibniz.

1. Los poetas son soberbios. Algunos artistas no son soberbios. Por tanto, algunos artistas no son poetas.

2. Los perros pastor alemán son animales obedientes. Ningún animal obediente causa problemas a sus dueños. Luego, ningún perro pastor alemán causa problemas a sus dueños.

3. Los liberales no son socialistas leninistas. Los socialdemócratas no son socialistas leninistas. Luego, los liberales no son socialdemócratas.

4. Los cracs de futbol realizan jugadas de fantasía. Cualquier persona que realiza jugadas de fantasía inspira a los seguidores. Por ello, los cracs de futbol inspiran a los seguidores.

5. Aquello cuya existencia solo puede ser inferida como causa de percepciones dadas posee una existencia meramente dudosa.

Ahora bien, todos los fenómenos externos son de tal índole, que su existencia no es inmediatamente percibida, sino que solo pueden ser inferidos como causa de percepciones dadas.

Por consiguiente, la existencia de todos los objetos de los sentidos externos es dudosa.

- Immanuel Kant, Crítica de la razón pura

6. Los musulmanes no son cristianos puesto que no creen en la divinidad de Jesús y quienes no creen en esto no son cristianos.

7. Varios pueblos antiguos poseían culturas ágrafas. Algunas de las culturas ágrafas desaparecieron sin dejar vestigios de su existencia. Por tanto, varios pueblos antiguos desaparecieron sin dejar vestigios de su existencia.

8. Algunos migrantes huyen de la pobreza y la violencia. Los que huyen de la pobreza y la violencia merecen ser ayudados. Por ello, algunos que merecen ser ayudados son migrantes.

9. Ningún neurótico obsesivo-compulsivo es generoso con su dinero. Las personas generosas con su dinero no suelen ser ordenadas con sus finanzas. Por consiguiente, los neuróticos obsesivo-compulsivos suelen ser ordenados con sus finanzas.

10. Como varios hombres son maltratadores de mujeres, hay hombres que son misóginos pues los misóginos son maltratadores de mujeres.

Capítulo 6

Diagramas de Lambert

J. H. Lambert desarrolló un sistema de diagramas visualmente natural e intuitivo basado en líneas rectas horizontales para representar la extensión de los términos de silogismos categóricos y sus relaciones mutuas con el estilo de Euler. Se trata, como en el caso de Leibniz, de un sistema de poco poder expresivo; no obstante, es un sistema correcto y poseedor de free-rides que resulta de gran ayuda para representar y evaluar la validez de silogismos categóricos mediante la intuición visual. Aquí se presenta una versión de su sistema como una técnica de evaluación de silogismos que presupondrá la interpretación moderna, de modo que de una proposición universal no podrá derivarse una proposición particular.

6.1. Lenguaje diagramático

El lenguaje de los diagramas de Lambert se constituye de lo siguiente:

1. Puntos. Designan individuos.

2. Rectas horizontales continuas. Representan conceptos o la extensión de conceptos (el conjunto de puntos de la recta son la extensión del concepto).

3. Rectas horizontales punteadas. Representan partes indeterminadas de la extensión de un concepto, partes que pueden o no ser vacías.

La longitud relativa de rectas paralelas en un mismo diagrama expresa una subordinación de conceptos o inclusión de conjuntos. Un conjunto de mayor extensión o cardinalidad que otro se representa con una recta de mayor longitud que la recta del otro. De este modo, la proposición “Todos los gatos (G) son mamíferos (M)”, es decir, la inclusión de la clase G en la clase M, se puede expresar con la recta de M más larga que la recta de G:

Si dos clases se excluyen, entonces las rectas no se superponen ni importan sus longitudes relativas. Una proposición como “Ningún fascista ( F) es demócrata (D)” se podría representar con las rectas separadas:

Las proposiciones categóricas y una proposición singular pueden representarse con diagramas lineales de Lambert del siguiente modo:

Las posiciones geométricas relativas y las longitudes relativas de las rectas de cada diagrama expresan las relaciones de inclusión o exclusión total o parcial entre las clases designadas por los términos. Las líneas continuas expresan la extensión del concepto y las líneas punteadas expresan zonas indeterminadas, que pueden estar vacías o no estarlo. Por ejemplo, la proposición A “Todo S es P” puede referirse a que la extensión de S sea menor o igual que la de P. Es factible expresar las dos ideas así:

A veces es útil una, y a veces otra, según el silogismo tratado, pues habrá casos donde es necesario expresar la indeterminación y otros donde no es necesario

Las relaciones de las proposiciones categóricas son:

1. S está completamente incluido en P. Las rectas de S y P son paralelas. La longitud de la recta de S es menor que la de P y queda justo debajo o justo encima de esta.

2. S y P se excluyen completamente. Las rectas de S y P pueden o no ser paralelas, pero nunca quedan superpuestas y sus longitudes relativas no importan.

3. S y P están parcialmente incluidas. Las rectas de S y P son paralelas. Comparten una parte de sus segmentos horizontales superpuestos.

4. B está parcialmente excluido de C. Las rectas de S y P son paralelas. Alguna parte del segmento horizontal de S no queda “dentro” del segmento de P

Al admitir conversión simple, los diagramas de las proposiciones E e I pueden representarse intercambiando el lugar de los respectivos segmentos. Aquí también se

utilizarán diagramas con una ligera diferencia respecto a los originales de Lambert: se escribirá arriba la horizontal del término predicado, luego la del término medio, y abajo la del término sujeto. Se tendrán así diagramas equivalentes a los originales de Lambert que permitirán que la representación e interpretación diagramática de los silogismos transparente las relaciones entre los términos menor y mayor, y pueda determinarse con mayor facilidad la validez o invalidez de los silogismos.

En cada ejercicio la representación del segmento del término medio M depende del vínculo que tendrá con los otros dos términos. A veces, al afirmarlo de P en la premisa mayor parece que tendrá partes indeterminadas, para al afirmarlo con S (por ejemplo, en “Todo M es S”) ya no habrá esa indeterminación.

6.2.

Superposición y contención

También es posible combinar la información de dos proposiciones categóricas, y a veces de más de dos, en un solo diagrama de Lambert al superponer sus diagramas.

De nuevo combinaremos solo dos proposiciones porque nos interesa evaluar silogismos.

La superposición de diagramas de Lambert obedece a estas reglas sencillas:

1. La superposición de dos diagramas da lugar a un diagrama resultante cuyas horizontales continuas y discontinuas son la suma lógica o unión de las horizontales continuas y discontinuas de los diagramas superpuestos. En el diagrama resultante una horizontal puede haber pertenecido a los dos conjuntos de horizontales de los diagramas que se superpusieron.

2. La superposición de dos diagramas da lugar a un diagrama resultante cuyas horizontales conservarán las longitudes relativas (aunque quizá no las longitudes “absolutas”) que había entre las horizontales de cada diagrama superpuesto.

Aquí el diagrama resultante tampoco es una composición rígida de los diagramas superpuestos, pues requerirá con frecuencia ajustar la longitud y ubicación de las rectas horizontales para transparentar las relaciones lógicas de inclusión o exclusión tota l o parcial entre las extensiones de las clases designadas por los términos. Véanse los ejemplos que siguen.

Ejemplo

En cada renglón la superposición del primer y segundo diagramas da lugar a los diagramas resultantes del lado derecho.

En todos los casos el diagrama resultante contiene a los diagramas superpuestos como partes de él, con pequeños cambios como la disminución de la longitud de algunas horizontales o el cambio de lugar relativo de una en relación con otra. Diremos que un diagrama contiene a un diagrama si y solo si:

a) todas las horizontales de son horizontales de ,

b) todas las parejas de horizontales de conservan las longitudes relativas de las parejas de rectas de .

Ejemplo

En los incisos a, b, y c los diagramas del lado izquierdo contienen a los de su lado derecho.

6.3. Prueba de validez

Para efectuar la prueba directa de la validez de un argumento silogístico mediante los diagramas de Lambert se siguen estos pasos:

1. Representar las dos premisas en un mismo diagrama.

2. Verificar el free-ride, es decir, si el diagrama de la conclusión quedó contenido en el diagrama de las premisas. Si quedó contenido, el argumento es válido; si no quedó contenido, el argumento es inválido.

Veamos los ejemplos que siguen.

Ejemplo

Probar con diagramas de Lambert la validez de un silogismo barbara.

Todo M es P.

Todo S es M.

Por lo tanto, todo S es P.

Formalizaremos primero “Todo M es P” con segmentos paralelos de rectas, uno para P y otro para M justo debajo del de P; entonces “Todo M es P” quedaría así

El diagrama de “Todo S es M” habría sido similar al anterior, pero con S debajo de M

Y los tres segmentos de recta quedarían uno sobre otro, evidenciando que S quedó contenido en P:

Solo por razones didácticas mostremos que el diagrama de las premisas (“Todo M es P” y “Todo S es M”) expresa al diagrama de la conclusión (“Todo S es P”), pero con el segmento del término medio M interpuesto:

El diagrama de la conclusión quedó contenido en el diagrama de las premisas, por lo que el silogismo es válido.

Ejemplo

Probemos la validez de un celarent.

Ningún M es P. Todo S es M Luego, ningún S es P.

Al representar las premisas “Ningún M es P” y “Todo S es M” se expresó también la conclusión “Ningún S es P”.

Demostremos diagramáticamente otros silogismos válidos.

Ejemplo

Verifiquemos la validez de un darii.

Todo M es P.

Algún S es M.

Luego, algún S es P.

Ejemplo

Veamos la validez de un ferio.

Ningún M es P.

Algún S es M. Luego, algún S no es P.

Ejemplo

Probar la validez de un cesare. Aquí no importa si representamos “Ningún P es M” con el segmento de M a la izquierda y el de P a la derecha, o al revés.

Ningún P es M. Todo S es M. Por lo tanto, ningún S es P.

Ejemplo

Veamos la validez de un baroco.

Todo P es M.

Algún S no es M. Luego, algún S no es P.

Ejemplo

Veamos la validez de un datisi.

Todo M es P.

Algún M es S. Luego, algún S es P.

Ejemplo

Probemos la validez de un bocardo.

Algún M no es P

Todo M es S

Luego, algún S no es P

En los siguientes silogismos inválidos veremos que el diagrama de las premisas no determina por sí mismo si las extensiones de los términos menor y mayor se superponen o no, por lo que no hay un viaje gratis a la conclusión.

Ejemplo

Probemos la invalidez de un AEE-1.

Todo M es P.

Ningún S es M. Luego, ningún S es P.

Ejemplo

Demostrar la invalidez de un III-3.

Algún M es P

Algún M es S

Luego, algún S es P

6.4. Ejercicios

A. Indicar cuál de los siguientes enunciados conjuntistas corresponde al diagrama de la derecha. Puede haber más de uno correcto.

a) S P = Ø

b) S ∩ P = Ø

c) S P ≠ Ø

d) S P

e) S P

B. ¿Cuál de los enunciados siguientes habría quedado formalizado en el diagrama del ejercicio A anterior? Solo uno es correcto.

a) Ningún soldado (S) es pacifista (P).

b) Los soldados (S) no son pacifistas (P).

c) No todos los soldados (S) son pacifistas (P).

d) Ningún soldado (S) es no pacifista (P).

e) No hay soldados (S) que no sean pacifistas (P).

C. Señalar cuáles parejas de enunciados conjuntistas corresponden al diagrama de Lambert. Puede haber más de una pareja correcta.

a) M ∩ P = Ø y S ∩ M ≠ Ø

b) S P ≠ Ø y S P

c) S P y P S

d) S P’ y M ∩ P ≠ Ø

e) M P y S ∩ M Ø

D. ¿Cuál de las parejas de enunciados siguientes habría quedado representada en el diagrama del ejercicio C anterior? Solo una es correcta.

a) Todos los soldados (S) son pendencieros (P) y maduros (M)

b) Algunos pendencieros (P) son maduros (M) y algunos soldados (S) son maduros (M).

c) Algunos soldados (S) no son pendencieros (P) y algunos soldados (S) no son maduros (M)

d) Algún maduro (M) no es pendenciero (P) y algún soldado (S) es maduro (M)

e) No hay soldados (S) que no sean pendencieros (P) y no hay pendencieros ( P) que no sean o maduros (M)

E. Expresar cuáles parejas de enunciados conjuntistas corresponden al diagrama de Lambert. Los dos enunciados de la pareja deben estar representados en el diagrama y puede haber más de una pareja correcta.

a) S P ≠ Ø y S ∩ M = Ø

b) S ∩ M ≠ Ø y S ∩ P ≠ Ø

c) S P’ y M ∩ P ≠ Ø

d) S P’ y P S’

e) M P y S ∩ M ≠ Ø

F. ¿Cuál de las parejas de enunciados siguientes habría quedado representada en el diagrama del ejercicio E anterior? Solo una pareja es correcta.

a) Algún soldado (S) es maduro (M). Ningún maduro (M) es paciente (P).

b) Todo maduro (M) es paciente (P). Algún soldado (S) es maduro (M).

c) No hay soldados (S) que no sean pacientes (P). Algunos maduros (M) no son soldados (S).

d) No todos los pacientes (P) son soldados (S). Es falso que algunos maduros (M) sean pacientes (P)

e) Los pacientes (P) son maduros (M). Los soldados (S) son pacientes (P) y maduros (M).

G. Señalar cuál diagrama contiene a qué otro u otros (distintos de él mismo) en la siguiente lista de diagramas.

H. Llevar a cabo la demostración de la validez o invalidez de los siguientes argumentos silogísticos mediante prueba directa en el sistema de diagramas de Lambert.

1. Los italianos son latinos. Ningún latino es una persona flemática. Luego, ningún italiano es flemático.

2. Algunos reptiles pueden ser peligrosos, porque hay reptiles venenosos y los animales venenosos pueden ser peligrosos.

3. Varios intelectuales son neuróticos. Algunos escritores no son neuróticos. Por tanto, algunos escritores no son intelectuales.

4. Ningún automóvil deportivo es vehículo barato. Los vehículos baratos no suelen ser duraderos. Por consiguiente, los automóviles deportivos suelen ser duraderos.

5. … A la sabiduría le corresponde probar los principios de otras ciencias… Pero la doctrina sagrada no prueba los principios de las otras ciencias. Por lo tanto, no es sabiduría.

- Santo Tomás de Aquino, Suma teológica

6. Todos los artistas son soberbios. Algunos poetas no son soberbios. Por tanto, algunos poetas no son artistas.

7. Los perros pastor alemán son animales obedientes. Ningún animal obediente causa problemas a sus dueños. Luego, ningún perro pastor alemán causa problemas a sus dueños.

8. Los leninistas son marxistas. Los socialdemócratas no son marxistas. Luego, los socialdemócratas no son leninistas.

9. Los cracs de futbol realizan jugadas de fantasía. Cualquier persona que realiza jugadas de fantasía inspira a los seguidores. Por ello, los cracs de futbol inspiran a los seguidores.

10. Algunos políticos pueden ser sociópatas porque hay políticos que no sienten empatía alguna y los personas que no sienten empatía pueden ser sociópatas.

Capítulo 7

Círculos de Euler

Los diagramas de Euler son un sistema gráfico que representa, a través de relaciones entre círculos, relaciones de inclusión y exclusión entre clases como las designadas en las proposiciones categóricas. Tales círculos aprovechan propiedades topológicas de inclusión, exclusión e intersección para representar subconjuntos, conjuntos disjuntos e intersección conjuntista.

El estilo de Euler de representar directamente las clases en los diagramas permite una gran claridad y naturalidad, pero también da lugar una capacidad expresiva muy limitada; no puede representar, por ejemplo, la afirmación de que un conjunto o clase sea vacío. Las ambigüedades de sus diagramas circulares han dado lugar a la formulación de varias semánticas y, aunque presenta free-rides, es un sistema que fácilmente da lugar a alternativas sobredeterminadas al representar enunciados, y que no es correcto ni completo. Por deficiencias como estas, algunos autores han presentado sus propias versiones mejoradas de los círculos eulerianos.

Lo dicho no obsta para que el sistema de círculos de Euler haya resultado un auxiliar de gran eficacia cognitiva que ha inspirado desarrollos posteriores como los diagramas de Venn o los grafos existenciales de Peirce.

En la versión aquí presentada, asumimos que cada región de un círculo de Euler representa un conjunto no vacío y la totalidad de regiones de los círculos de un diagrama consistente serán el universo del discurso.

7.1. Lenguaje diagramático

Como ya se ha señalado, el lenguaje de los círculos de Euler contiene fundamentalmente curvas cerradas. La zona encerrada en la curva representa a un conjunto o clase. En su formulación original, los círculos de Euler permiten la obtención de free-rides, pero también de alternativas sobredeterminadas. Por ejemplo, si representamos las proposiciones “Ningún A es B” y “Todo C es A” , salta a la vista la conclusión “Ningún C es B”.

Si a las proposiciones anteriores añadimos “Todo A es D”, no es claro qué tan grande será el área del círculo de D. Ciertamente contendrá inscritos a los círculos de A y de C, pero ¿y el círculo de B? Consideremos tres alternativas:

a) El círculo de B inscrito en el de D, de lo que se seguiría que “Todo B es D”, o b) el círculo de B parcialmente superpuesto al de D, lo que implicaría que “Algún B es D”, o c) quizá el círculo de B completamente excluido de D, lo que tendría como consecuencia que “Ningún B es D”.

Cualquiera de estos casos es una alternativa diagramática sobredeterminada, una sobreinterpretación o sobrerrepresentación de los tres enunciados “Ningún A es B”, “Todo

C es A” y “Todo A es D” que codifica información extra, no inferible de estos últimos solos.

Aquí se presenta una versión de los círculos de Euler que pretende hacerse cargo de manera modesta, pero didáctica, de algunas ambigüedades y alternativas diagramáticas sobredeterminadas mediante la adopción de varias representaciones conjuntas de una misma proposición.

Representaremos diagramáticamente los siguientes enunciados básicos del modo que se indica a continuación:

Todo S es P

Ningún S es P

Algún S es

Algún S no es

La proposición categórica universal afirmativa “Todo S es P” afirma la inclusión de la clase del término sujeto en la clase del término predicado. Como esa inclusión puede ser propia –por ejemplo, en “Todos los gatos son mamíferos”– o impropia –como en “Todos los humanos son animales racionales”–, habrá dos diagramas posibles. En el primer caso el subconjunto S posee menos elementos que el supraconjunto P por lo que se dibujará al círculo de S dentro del círculo de P; en el segundo caso los dos conjuntos son iguales, de ahí que el mismo círculo representará a los dos conjuntos.

La proposición “Ningún S es P” asevera la mutua exclusión de ambos conjuntos, y se dibujarán dos círculos separados, sin zona de traslape.

Interpretaremos que la proposición particular “Algún S es P” admite cuatro posibilidades: que contengan ambos conjuntos tanto elementos comunes como elementos exclusivos, que S sea subconjunto propio de P, que P sea subconjunto propio de S o que los dos conjuntos sean iguales. Aunque los cuatro casos expresan ideas distintas, tienen en común el afirmar que hay elementos que pertenecen tanto a S como a P, lo que en términos conjuntistas puede expresarse diciendo que la clase S no es subconjunto del complemento de P, es decir, que hay elementos de S que también pertenecen a P.

La proposición particular negativa se referiría a alguna de estas tres posibilidades: que haya tanto elementos comunes como exclusivos de los conjuntos, que S sea supraconjunto de P o que ambos conjuntos sean disjuntos.

Consideraremos que las proposiciones singulares afirman o niegan la pertenencia de un individuo a un conjunto, de manera que podremos dibujarlo dentro del círculo cuando pertenezca a él o fuera del círculo cuando no le pertenezca. El individuo siempre e stará dentro de alguna región del diagrama, y al anotarlo fuera del círculo se expresa que queda fuera de esa región.

7.2. Combinación, consistencia y contención

Entendemos por configuración lógica relativa al conjunto de relaciones de inclusión o exclusión espaciales (en el espacio plano o bidimensional) que guarda un círculo respecto a otros círculos en un diagrama de Euler; es decir, el estar total o parcialmente incluido o el estar total o parcialmente excluido. Esta configuración lógica relativa se expresa diagramáticamente a través de los traslapes y ausencia de traslapes entre círculos, independientemente del tamaño (grande, pequeño) de cada círculo y de su posición relativa en el diagrama (arriba, abajo, a un lado).

Ejemplo20

Los tres diagramas de cada renglón expresan la misma configuración lógica relativa entre sus círculos, por lo que son equivalentes.

Ejemplo

20 En este y otros ejemplos posteriores se utilizan cuadrados para delimitar cada diagrama de Euler y distinguirlo de otros diagramas cercanos. El cuadrado no es parte del diagrama.

Aunque los tres diagramas de cada renglón poseen círculos en igual número y tamaño, expresan distintas configuraciones lógicas relativas. Por eso no son diagramas equivalentes.

Dos o más enunciados pueden unir su información al combinar sus diagramas. La combinación de diagramas circulares eulerianos produce uno o más diagramas resultantes cuyos círculos preservan la configuración lógica relativa de los círculos de los diagramas combinados. Más específicamente:

1. Si en un primer diagrama un círculo (o punto) A está dentro de un círculo B, y en un segundo diagrama este círculo B está dentro de un círculo C, entonces en el diagrama resultante de la combinación de los dos diagramas anteriores el círculo (o punto) A quedará dentro del círculo C

2. Si en un primer diagrama un círculo (o punto) A está dentro de un círculo B, y en un segundo diagrama este círculo B está fuera de un círculo C, entonces en el diagrama resultante de la combinación de los dos diagramas anteriores el círculo (o punto) A quedará fuera del círculo C.

Se ha incluido el señalamiento de un punto para aludir a las regiones en general que formen parte de un diagrama, pues cada región es un conjunto infinito de puntos.

En el diagrama resultante de la combinación habrá relaciones de inclusión/exclusión heredadas de los diagramas combinados y relaciones emergentes de inclusión/exclusión en él. La conclusión de un argumento válido ordinario, por ejemplo, suele ser una de estas relaciones emergentes.

Diremos que un diagrama de Euler es inconsistente cuando posea alguna de estas propiedades:

a) el mismo elemento quede dentro y fuera del mismo círculo, o

b) la región o regiones de los círculos que representan a una misma clase no coincidan.

Un diagrama es consistente cuando no es inconsistente, es decir, cuando no posee ninguna de las dos propiedades posibles de un diagrama inconsistente.

Un diagrama de Euler contiene a otro diagrama de Euler cuando expresa su configuración lógica relativa.

Ejemplo

En cada renglón la combinación del primer y segundo diagramas da lugar a los diagramas resultantes consistentes del lado derecho.

Los diagramas finales de cada renglón muestran combinaciones de círculos que preservaron la configuración de círculos de cada diagrama que fue combinado. Son consistentes porque ninguno afirmó y negó a la vez la pertenencia de individuos a una misma región y en ninguno alguna región se representó en lugares distintos del plano.

Un mismo diagrama consistente representa en abstracto infinitos modelos o realizaciones posibles y un diagrama inconsistente no representa modelo alguno. Un modelo de un diagrama consistente es un conjunto de condiciones concretas conjuntistas que satisfacen al diagrama. Para especificar el modelo se hace lo siguiente:

1. Se toma como universo de discurso a la unión de los conjuntos del diagrama.

2. Se asignan elementos a todas las regiones de los círculos del diagrama.

Ejemplo

Definir dos modelos que satisfagan a uno de los diagramas resultantes consistentes de las combinaciones anteriores.

Dos modelos del primer diagrama consistente del primer renglón

Cualquier modelo debe satisfacer los enunciados S M y M P expresados en el diagrama.

U = S P M= {1, 2, 3} S = {1} P = {1, 2, 3} M = {1, 2}

U ={a, b, c, d} S = {a} P = {a, b, c, d} M = {a, b, c}

Dos modelos del primer diagrama consistente del segundo renglón

Cualquier modelo debe satisfacer los enunciados S P, S P’, P S, P S’, S M y P M representados en el diagrama.

U = S P M= {1, 2, 3, 4} S = {1, 2} P = {2, 3} M = {1, 2, 3, 4}

U ={a, b, c, d, e} S = {a, b} P = {b, c} M = {a, b, c, d, e}

Dos modelos del segundo diagrama consistente del tercer renglón:

Cualquier modelo debe satisfacer los enunciados S P, S P’, P S, P S’, S

M, S M’, M S, M S’ y M P’ expresados en el diagrama.

U = S P M= {1, 2, 3, 4, 5} S = {1, 2, 3} P = {3, 4} M = {1,5}

U = S P M= {a, b, c, d, e} S = {a, b, c} P = {c, d} M = {a, e}

Ejemplo

En cada renglón la combinación del primer y segundo diagramas da lugar a diagramas resultantes inconsistentes. Se distinguió con líneas punteadas alguno de los círculos que presenta dos regiones distintas o con negritas la letra que designa a un elemento situándolo en posición distinta a donde lo sitúa otro diagrama de los combinados.

Los diagramas finales de cada renglón son inconsistentes porque o muestran regiones distintas de uno o más círculos o expresan que un elemento pertenece y no pertenece a un conjunto. Los diagramas inconsistentes aquí expuestos representan lo que podemos considerar como pseudocombinaciones al no preservar la configuración lógica relativa de los círculos en los diagramas combinados.

La propiedad de consistencia de un diagrama es equivalente a la de satisfacibilidad de un conjunto de enunciados. Un conjunto de enunciados es satisfacible si y solo si todos los enunciados pueden ser verdaderos a la vez, y es insatisfacible si nunca pu edan ser todos verdaderos a la vez. El diagrama de un conjunto satisfacible de enunciados es consistente y el diagrama de un conjunto insatisfacible de enunciados es inconsistente.

Ejemplo

Averiguar si el siguiente conjunto de enunciados es satisfacible.

Los ancianos (A) son bienintencionados (B).

Los caminantes (C) no son bienintencionados (B).

Algunos ancianos (A) son caminantes (C).

Todos los diagramas fueron inconsistentes, lo que significa que no hay modelo alguno que satisfaga al conjunto de enunciados.

7.3. Prueba de validez

Para probar la validez de un argumento se realizará lo siguiente:

1. Representar las premisas del argumento mediante todas las combinaciones posibles de sus respectivos círculos eulerianos.

2. Verificar los free-rides, es decir, si en todas las combinaciones diagramáticas la conclusión quedó expresada; de ser así, el argumento es válido, pero con uno o más casos de formalización diagramática de las premisas que no exprese también a la conclusión, el argumento será inválido.

Ejemplo

Todo S es P. a es S .

Por tanto, a es P.

Los dos diagramas posibles que representarían a las premisas también representan a la conclusión; el argumento es válido.

Ejemplo

Todo S es P.

a es P.

Por tanto, a es S.

De los tres diagramas posibles que formalizan a las premisas, el primero no representa a la conclusión. Eso significa que podría ocurrir que las premisas fueran verdaderas y la conclusión fuera falsa; el argumento es, pues, inválido.

Ejemplo

Todo M es P

Todo S es M

Por tanto, todo S es P

Los cuatro diagramas posibles del argumento contienen a la conclusión; por eso es válido.

Ejemplo

Todo M es P.

Algún S es M .

Por tanto, algún S es P

El argumento es válido.

Ejemplo

Algún S es P a es S.

Por tanto, a es P.

Los dos diagramas últimos prueban que se trata de un argumento inválido.

Ejemplo

Ningún P es M

Ningún S es M

Por tanto, ningún S es P

Este argumento no es válido.

3.3. Ejercicios

A. Indicar cuáles de los siguientes enunciados conjuntistas corresponden al diagrama de círculos eulerianos. Puede haber más de uno correcto.

a) A B = Ø

b) A ∩ B = Ø

c) A B ≠ Ø

d) A B’

e) A B

B. ¿Cuál o cuáles de los enunciados siguientes habrían quedado formalizados en el diagrama del ejercicio A anterior?

a) Algunos artistas (A) no son bailadores (B).

b) Ningún artista (A) es no bailador (B).

c) No hay artistas (A) que no sean bailadores (B).

d) Los artistas (A) no son bailadores (B).

e) No todos los artistas (A) no son bailadores (B).

C. ¿Cuál de las siguientes descripciones conjuntistas es modelo del diagrama del ejercicio A anterior? Puede haber más de una correcta.

a) U = {a, b, c} A = {a, c} B = {b, c}

b) U = {a, b, c} A = {c} B = {a, b}

c) U = {a, b, c} A = {a} B = {a}

d) U = {a, b, c} A = {a, c} B = {a, c}

e) U = {a, b, c} A = {a, b} B = {a, b, c}

D. Señalar cuáles de los enunciados conjuntistas corresponden al diagrama de Euler. Puede haber más de uno correcto.

a) A B C = Ø

b) A ∩ B ∩ C ≠ Ø

c) A – B C

d) A ∩ B C

e) (A ∩ B) – C ≠ Ø

E. ¿Cuál o cuáles de los enunciados siguientes habrían quedado representados en el diagrama del ejercicio D anterior?

a) Algunos artistas (A) no son bailadores (B) pero sí son creativos (C)

b) Los artistas (A) bailadores (B) no son creativos (C ).

c) No hay artistas (A) que no sean bailadores (B) y creativos (C)

d) Los artistas (A) son bailadores (B) y creativos (C).

e) Hay artistas (A ) creativos (C) que no son bailadores (B).

F. ¿Cuál de las siguientes descripciones conjuntistas es modelo del diagrama del ejercicio D anterior? Puede haber más de una correcta.

a) U = {1, 2, 3, 4}

b) U = {1, 2, 3, 4}

c) U = {1, 2, 3, 4}

d) U = {1, 2, 3, 4}

A = {1, 4} B = {2, 3} C = {1}

A = {2, 3, 4} B = {1, 2} C = {1}

A = {1, 3} B = {1, 4} C = {4}

A = {1, 3} B = {1, 2} C = {4}

e) U = {1, 2, 3, 4} A = {1, 2} B = {} C = {2, 3, 4}

G. Señalar cuál diagrama contiene a qué otro u otros (distintos de él mismo) en la siguiente lista de diagramas.

H. Demostrar si los siguientes silogismos categóricos son válidos mediante prueba directa en el sistema de diagramas circulares de Euler. Algunos no están estandarizados.

1. Todos los humanos son mortales. Zeus no es mortal. Por lo tanto, Zeus no es humano.

2. Los ornitorrincos son equidnas, porque tanto los ornitorrincos como las equidnas son monotremas.

3. Es claro que muchos futbolistas no son cracs, porque los cracs de futbol realizan jugadas de fantasía, y muchos futbolistas no realizan jugadas de fantasía.

4. Varios pilotos aviadores tienen buena vista. Algunos lectores asiduos son personas que tienen buena vista. Por tanto, varios lectores asiduos son pilotos aviadores.

5. Los esquimales son habitantes del polo norte. Ningún habitante del polo norte es friolento. Luego, ningún friolento es esquimal.

6. Algunos primates son africanos porque hay primates que son nativos de Madagascar y los nativos de Madagascar son africanos.

7. Los liberales no son socialistas leninistas. Los socialdemócratas no son socialistas leninistas. Luego, los liberales no son socialdemócratas.

8. Ningún automóvil deportivo es vehículo barato. Los vehículos baratos no suelen ser duraderos. Por consiguiente, los automóviles deportivos suelen ser duraderos.

9. Los conceptos físicos expresados con derivadas se refieren a razones instantáneas de cambio. Muchas velocidades son conceptos físicos expresados con derivadas. Luego, muchas velocidades se refieren a razones instantáneas de cambio.

10. Si las cosas manifiestas se manifiestan a todos y los signos, en cambio, no se manifiestan a todos, las cosas manifiestas no son signos.

- Sexto Empírico, Contra los dogmáticos

Capítulo 8

Diagramas de Venn

Los diagramas de Venn constituyen muy probablemente el sistema diagramático más común en la enseñanza universitaria y preuniversitaria por su sencillez y su capacidad expresiva. Venn los desarrolló para mejorar los diagramas de Euler y Peirce los perfeccionó. Siguen, desde luego, el estilo de Venn de elaborar un diagrama primario que representa las relaciones posibles entre las clases y después se anotan sobre este diagrama marcas como cruces y sombreados para representar las relaciones específicas de las proposiciones formalizadas.

Los diagramas de Venn poseen la propiedad de free-rides y se han elaborado versiones de estos en sistemas que son correctos y completos.

8.1. Lenguaje diagramático

El lenguaje del sistema de diagramas de Venn consta de lo siguiente:

1. Curvas cerradas. La región delimitada por la curva representa al conjunto o clase. Por simplicidad, utilizaremos como curvas cerradas a círculos o elipses.

2. Sombreados. Representan la ausencia de elementos de la región sombreada.

3. Cruces. Representan la presencia de al menos un elemento en la región con cruz. Es un añadido de Peirce.

Los enunciados conjuntistas básicos representables en este sistema son de cuatro tipos generales: el que afirma que un conjunto es vacío y el que lo niega; y el que afirma que un conjunto está incluido en otro y el que niega esto. Véase el siguiente cuadro:

Enunciado Lectura informal

A = El conjunto A es vacío.

A Ø El conjunto A no es vacío.

A B

A B

Formalización diagramática

Explicación del diagrama

A Se sombrea toda la región del conjunto A para indicar que está vacío.

A Se coloca una cruz en la región del conjunto A para señalar que no está vacío, que contiene al menos un elemento.

A B

El conjunto A está incluido en el conjunto B.

El conjunto A no está incluido en el conjunto B

A B

Se sombrea la región del conjunto A que está fuera de B para indicar que no hay ningún elemento en A que no esté en B.

Se coloca una cruz en la región del conjunto A que está fuera de B para indicar que hay al menos un elemento en A que no está en B.

En general, las regiones sombreadas son vacías, las que tienen cruz son no vacías, y las regiones sin cruz ni sombreado son aquellas de las que carecemos de información, es decir, no sabemos si están o no vacías.

A partir de las explicaciones anteriores es fácil ver cómo pueden representarse las proposiciones categóricas típicas y las singulares mediante diagramas. Como en los cuatro tipos de estas proposiciones se afirman o niegan relaciones entre dos clases o conjuntos, utilizaremos en general la para el conjunto nombrado por el término sujeto y la para el conjunto nombrado por el término predicado. Dado un diagrama de dos círculos, las proposiciones categóricas típicas se representan de acuerdo con el esquema siguiente:

Enunciado Formalización conjuntista Diagrama Lectura informal del diagrama

Todo S es P S P

S ∩ P’ = Ø

Ningún S es P S P’ S ∩ P = Ø

Algún S es P S P’ S ∩ P ≠ Ø

Algún S no es P S P S ∩ P’ ≠ Ø

s es P S ∩ P’ ≠ Ø y S ∩ P ≠ Ø

S P No hay nada en S que no esté en P.

S P No hay nada que esté a la vez en S y en P

S P Hay algo que está a la vez en S y en P

s no es P S ∩ P = Ø y S ∩ P’ ≠ Ø

S P Hay algo que está en S, pero no en P

S P No hay nada en S que no esté en P y hay algo que está en S y en P

S P No hay nada que esté a la vez en S y en P, y hay algo que está en S, pero no en P.

Como ya se dijo, el sombreado indica el vacío de una región, y la cruz representa afirmar que hay al menos un elemento en tal región. Las proposiciones universales llevarán sombreado y las particulares llevarán cruz. Así, la proposición tipo A se diagrama sombreando la región de S que está fuera de P; decir que todos los S son P equivaldría a afirmar que cualquier objeto que tuviera la propiedad S tendría también la propiedad P, o que no hay nada que pueda tener la propiedad S sin tener la propiedad P. Si todos los gatos son felinos, entonces no hay gatos que no sean felinos.

La proposición tipo E se representa con una sombra en la región de intersección de S y P, pues si ningún S es P, entonces no hay nada que tenga a la vez las dos propiedades de ser S y P a la vez. Si ningún gato es perro, no hay nada que sea a la vez gato y perro.

La proposición tipo I debe representarse con una cruz en la región de intersección de S y P, pues si algunos S son P, entonces hay algo que efectivamente posee ambas propiedades S y P. Si algunos gatos son animales domésticos, entonces hay seres que son a la vez gatos y animales domésticos.

La proposición O se simboliza con una cruz en la región de S que está fuera de P, debido a que si algunos S no son P, entonces hay algo que posee la propiedad S pero no posee la propiedad P. Si algunos gatos no son animales domésticos, entonces hay seres que son gatos, pero que no son animales domésticos.

De acuerdo con la interpretación que asumimos en el tema 3.1. la proposición singular afirmativa “s es P” puede representarse como una proposición categórica universal con carga existencial, es decir, como una combinación de una A con una I. La singular negativa “s no es P”, por su parte, puede diagramarse como una universal negativa con carga existencial, es decir, como una combinación de E con O. En un diagrama de Venn para probar argumentos, sin embargo, bastará con representar a la singular afirmativa como si fuera una tipo A y a la singular negativa como una tipo E. En lo sucesivo no será necesario expresar en los diagramas la carga existencial de las proposiciones singulares. Ahora bien, dado un diagrama de tres círculos, las proposiciones categóricas se representarían según se indica en el siguiente esquema:

Todo S es P S P

S ∩ P’ = Ø

Ningún S es P S P’

S ∩ P = Ø

Algún S es P S P’

S ∩ P ≠ Ø

Algún S no es P S P

S ∩ P’ ≠ Ø

S P M No hay nada en S que no esté en P.

S P M No hay nada que esté a la vez en S y en P.

S P M Hay algo que está a la vez en S y en P.

S P M Hay algo que está en S, pero no en P.

Obsérvese que los sombreados de las proposiciones universales A y E ocupan prácticamente las mismas regiones que en los diagramas de dos círculos, con la salvedad de que ahora cada región sombreada está dividida en dos subregiones por la línea del círculo correspondiente al término medio M

Con las proposiciones particulares ocurre algo distinto, pues tenemos cruces fronterizas. La cruz de la proposición tipo I debe estar en la región común a S y a P, pero dicha región cuenta ahora con dos subregiones. Como la sola proposición representada no nos indica que alguna de tales subregiones se encuentra vacía, entonces no debemos descartar a ninguna. Anotamos la cruz sobre la línea fronteriza que divide a l as subregiones para señalar que al menos una de ellas no está vacía. No debemos anotarla ni en la región de (S P) – M ni en la región de S P M porque la proposición I solo nos dice que algunos S son P, pero nada nos dice de si esos S que son P sean o no sean

también M. Por similares razones la cruz de la proposición tipo O debe colocarse en la frontera que divide a las subregiones de S que quedan fuera de P, pues el enunciado de que algunos S no son P no nos dice nada sobre si esos S que no son P son o no son también M; la cruz fronteriza nos indica que en al menos una de las dos subregiones S – (P M) y (S ∩ M) – P hay elementos.

8.2. Superposición, consistencia y contención

La información de dos o más enunciados puede combinarse mediante la superposición de sus representaciones diagramáticas. La superposición de diagramas de Venn obedece a las reglas siguientes:

3. La superposición de diagramas con regiones sombreadas produce un diagrama cuyas regiones sombreadas son la suma de las regiones sombreadas de los diagramas superpuestos.

4. La superposición de diagramas con regiones de cruces produce un diagrama cuyas regiones de cruces son la suma de las regiones de cruces de los diagramas superpuestos.

5. La superposición de diagramas con regiones sombreadas y diagramas de regiones de cruces da lugar a alguna de las situaciones siguientes:

a) Las regiones sombreadas y las de cruces no coinciden.

b) Hay regiones sombreadas que coinciden con alguna de las regiones en cuya frontera con otra región hay cruces fronterizas. En estos casos, las cruces se recorren a las regiones no sombreadas de la frontera, si las hay.

c) Hay regiones sombreadas que coinciden exactamente con las regiones de cruz, o con las regiones en cuyas fronteras hay una cruz. En este caso, el nuevo diagrama es inconsistente.

Decimos que un diagrama de Venn es inconsistente cuando la misma región resulta sombreada y con cruz, o las dos regiones en cuya frontera limítrofe hay una cruz se encuentran sombreadas. En otras palabras, un diagrama es inconsistente cuando afirma y niega a la vez que una región es vacía, o que afirma y niega a la vez que al menos una de dos regiones es vacía.

Un diagrama es consistente cuando no es inconsistente, es decir, cuando no posee ninguna de las dos propiedades posibles de un diagrama inconsistente.

Ejemplo

En cada renglón la superposición del primer y segundo diagramas da lugar a los diagramas resultantes consistentes del lado derecho.

Los diagramas finales de cada renglón son consistentes porque muestran combinaciones de sombreados y cruces donde no ocurre ni que la misma región resulte sombreada y con cruz, ni que las dos regiones de cruces fronterizas queden sombreadas. Nótese que el diagrama final del segundo renglón muestra la cruz fronteriza recorrida a la subregión que permanece sin sombra.

Mientras un mismo diagrama consistente representa en abstracto infinitos modelos o realizaciones posibles, un diagrama inconsistente no representa modelo alguno. En nuestro caso, un modelo de un diagrama consistente es un conjunto de condiciones concretas conjuntistas que satisfacen al diagrama. Para especificar el modelo se hace lo siguiente:

1. Se define un universo de discurso y sus subconjuntos de manera que se obedezca a la información expresada en el diagrama.

2. Se dejan vacíos los conjuntos correspondientes a las regiones sombreadas.

3. Se asignan elementos a los conjuntos de regiones con cruces y a al menos uno de los conjuntos de las regiones con cruz fronteriza.

4. Se asignan libremente elementos a los conjuntos de las regiones sin sombreado ni cruz, de manera que pueden quedar vacíos o no vacíos.

Ejemplo

Definir dos modelos que satisfagan a cada uno de los tres diagramas resultantes consistentes del ejemplo anterior.

Dos modelos primer diagrama:

Cualquier modelo debe satisfacer los enunciados S M y M P expresados en el diagrama.

U = {1, 2, 3} S = {1} P = {1, 2, 3} M = {1, 2} U = {a, b} S = {} P = {a, b} M = {a}

Dos modelos del segundo diagrama:

Cualquier modelo debe satisfacer los enunciados M S, S – P y S P ≠Ø representados en el diagrama.

U = {1, 2, 3, 4} S = {1, 2} P = {2, 3} M = {}

U = {a, b, c, d, e} S = {a, b, c} P = {b} M = {a, b}

Dos modelos del tercer diagrama:

Cualquier modelo debe satisfacer los enunciados , y expresados en el diagrama.

U = {1, 2, 3, 4} S = {1, 2, 3} P = {3} M = {1, 2}

U = {a, b, c} S = {a} P = {a, b} M = {}

Veamos diagramas inconsistentes.

Ejemplo

En cada renglón la superposición del primer y segundo diagramas da lugar a diagramas resultantes inconsistentes.

Los diagramas finales de cada renglón son inconsistentes porque en el del primer renglón una misma región resultó con sombreado y cruz; y en los del segundo y tercer renglón las dos regiones de cruces fronterizas quedaron sombreadas.

La propiedad de consistencia de un diagrama es equivalente a la de satisfacibilidad de un conjunto de enunciados. Un conjunto de enunciados es satisfacible si y solo si puede ocurrir que todos los enunciados sean verdaderos a la vez, y es insatisfacible si nunca ocurre que puedan ser todos verdaderos a la vez. El diagrama de un conjunto satisfacible

de enunciados es consistente y el diagrama de un conjunto insatisfacible de enunciados es inconsistente.

Ejemplo

Averiguar si el siguiente conjunto de enunciados es satisfacible. Se ha anotado junto a cada término la letra conjuntista que lo representará y a la derecha de cada enunciado su formalización conjuntista.

Los anarquistas (A) son barbudos (B) . A B

Ningún barbudo (B) es cocinero (C). B ∩ C = Ø

Algunos cocineros (C) no son anarquistas (A). C ∩ A’≠ Ø

Algunos barbudos (B) son anarquistas (A). B ∩ A≠ Ø

Cada enunciado quedó representado por su respectivo diagrama.

Los sombreados del primer y segundo enunciados ocupan sus respectivas regiones en el diagrama resultante de la superposición. La cruz fronteriza correspondiente al tercer enunciado, que se encontraba en el límite de las subregiones B C – A y C –A B, se recorrió a la subregión inferior izquierda C – A B debido a que la subregión B ∩ C – A quedó sombreada por la información del segundo enunciado. El sombreado del segundo enunciado también obligó a colocar la cruz fronteriza del cuarto enunciado, que estaría entre las subregiones A B C y A ∩ B – C a esta última, pues la primera fue sombreada por el mismo segundo enunciado. Como el diagrama resultante de la superposición es consistente, el conjunto de enunciados es satisfacible.

Ejemplo

Determinar si el siguiente conjunto de enunciados es satisfacible.

Algunos avaros (A) son bandidos (B). A B

Los capitalistas (C) son avaros (A). C A

Ningún bandido (B) es avaro (A). B A =

Representamos cada enunciado.

Las dos subregiones de la cruz fronteriza del primer enunciado quedaron sombreadas, por lo que no es posible recorrer la cruz. Mientras la cruz representa que alguna de tales subregiones no es vacía, la sombra del tercer enunciado expresa que ambas subregiones son vacías. El diagrama es inconsistente y, por tanto, el conjunto de enunciados es insatisfacible.

Tener claras la consistencia e inconsistencia de diagramas es necesario para definir la validez argumental en prueba indirecta que veremos más adelante en este capítulo. Para definir la validez argumental en prueba directa necesitamos comprender ahora l a contención de diagramas. Diremos que un diagrama D contiene a un diagrama E si y solo si:

a) todas las regiones vacías (sombreadas) de E son regiones vacías (sombreadas) de D, b) todas las regiones no vacías (con cruz) de E son regiones no vacías (con cruz) de D, y

c) al menos una de las regiones de cada pareja de regiones con cruz fronteriza de E debe ser región con cruz en D.

Intuitivamente, la información del diagrama continente D implica a la información del diagrama contenido E; y al añadirle información a E, se puede llegar a D.

Ejemplo

En los incisos a, b, c, d y e los diagramas izquierdo s contienen a los del lado derecho.

En los incisos a, b y c los sombreados o cruces de los diagramas derechos están en sus diagramas izquierdos. En el inciso d la cruz fronteriza del diagrama derecho indica que alguna de las dos regiones posee elementos y la cruz del diagrama izquierdo es pecifica cuál de las regiones posee elementos; expresar que cierta región posee elementos implica expresar que ella u otra (en sentido inclusivo) poseen elementos. Por similares razones el diagrama izquierdo del inciso e contiene al diagrama derecho.

Ejemplo

En los incisos a, b, c y d los diagramas del lado derecho no están contenidos en los del lado izquierdo.

En el inciso a, el diagrama derecho contiene regiones sombreadas que no lo están en el diagrama izquierdo. En los incisos b y c las cruces fronterizas de los diagramas izquierdos indican que al menos una de las dos regiones en cuya frontera se encuentran no son vacías, pero no especifican cuáles, así que sus respectivos diagramas derechos expresan cosas que los izquierdos no expresan y por ello no están contenidos en estos últimos. En el inciso d las cruces fronterizas de ambos diagramas no coinciden en las dos regiones donde indican que habría al menos un elemento, así que expresan distintas ideas y lo expresado por el diagrama izquierdo no contiene a lo expresado por el derecho.

8.3. Prueba de validez

Diremos que un silogismo categórico estandarizado es válido o correcto si y solo si:

1. El diagrama de su conclusión está contenido en el diagrama resultante de superponer los diagramas de sus premisas, o

2. El diagrama resultante de superponer los diagramas de sus premisas con el diagrama del enunciado negativo de su conclusión es inconsistente.

Tengamos en cuenta el caso peculiar de validez trivial que se presenta cuando el diagrama resultante de superponer las premisas es inconsistente, lo que está incluido en el segundo caso de validez silogística recién planteado. Para ser inválido requeriría que la información consistente de las premisas no contuviera a la info rmación consistente de la conclusión; pero como en este caso ni siquiera habría información consistente en las premisas, el silogismo sería válido.

Prueba directa

La verificación por prueba directa de la validez de silogismos categóricos estandarizados requiere los tres pasos siguientes:

1. Se deben dibujar tres círculos o elipses solapados, un círculo por cada término. Los dos círculos de la parte superior representan al término sujeto, el de la izquierda, y al término predicado, el de la derecha. Debajo de ellos estaría el círculo que diagrama al término medio.

2. Representar lo afirmado por las dos premisas con sombreado o cruz de acuerdo con lo dicho en el tema sobre el lenguaje diagramático.

3. Finalmente, verificar el free-ride, es decir, que el diagrama de las premisas contenga al diagrama de la conclusión. La conclusión ya no se representa, sino que solo se verifica que las premisas ya la hayan representado. Si la conclusión quedó expresada por las premisas, o el diagrama de las premisas es inconsistente, el silogismo es válido; si no quedó expresada por ellas, el silogismo es inválido. La idea es que la información total de las premisas debe contener o implicar a la información de la conclusión.

Ejemplo

Verificar la validez del silogismo barbara

Todos los M son P

Todos los S son M.

Luego, todos los S son P

Sigamos ahora el primer paso de la explicación anterior. Representamos los términos mediante tres círculos traslapados en un diagrama primario:

El segundo paso consiste en representar las premisas. Comencemos con la premisa mayor, todos los M son P. Y como esta afirmación quiere decir que no hay nada en M que no esté en P, sombrearemos la región de M que está fuera de P

La segunda premisa, todos los S son M, se expresa sombreando la región de S que no está en M

El tercer y último paso consiste en verificar si lo expresado por las premisas contiene a lo que se expresaría con la conclusión. La conclusión señala que todos los S son P, es decir, debería estar sombreada la región de S que está fuera de P Comparemos lo sombreado de las premisas con lo sombreado de la conclusión:

Como el diagrama de la conclusión quedó contenido en el diagrama de las premisas, el argumento es válido.

El siguiente silogismo también es válido.

Ejemplo

Probar un cesare

Ningún P es M

Todos los S son M

Luego, ningún S es P

Formalizamos diagramáticamente sus premisas y revisamos que el diagrama de la conclusión esté contenido en el de las premisas:

El silogismo del ejemplo siguiente no es válido.

Ejemplo

Probar la invalidez de un EAE-3.

Ningún M es P.

Todos los M son S. Luego, ningún S es P.

El diagrama de la conclusión no está contenido en el de las premisas, por lo que el silogismo es inválido:

El siguiente silogismo válido incluye una proposición existencial representa da con cruz.

Ejemplo

Probar la validez de un darii

Todos los M son P Algunos S son M Luego, algunos S son P

Representamos la primera premisa:

Para la segunda premisa, “Algunos S son M” , se debe escribir una cruz en la región de intersección de S y M, pero esta región está dividida por la línea del círculo del conjunto P en dos subregiones. Como en este caso una de estas subregiones está sombreada (es decir, se encuentra vacía) debemos colocar la cruz en la otra subregión.

Se trata de un razonamiento válido porque la información de la conclusión, algunos S son P, quedaría representada con una cruz entre S y P, cosa que quedó expresada por la combinación de la información de ambas premisas.

En el silogismo válido siguiente la premisa mayor contiene una proposición particular.

Ejemplo

Demostrar un disamis.

Algunos M son P. Todos los M son S. Luego, algunos S son P.

Si algunos M son P, debe haber una cruz entre M y P. Pero esta región está dividida en dos subregiones por la línea del círculo de S y, a diferencia del ejemplo anterior, ninguna de las subregiones está vaciada o sombreada. Como ya vimos, una estrategia comúnmente recomendada es la de anotar una cruz fronteriza con lápiz justo en la línea del círculo de S que pasa en medio de la región común a M y P. Se anota con lápiz por si al representar la premisa menor se debiera sombrear una de las subregiones, lo que obligaría a borrar la cruz y "recorrerla" a la sub región que hubiera quedado sin sombrear, tal como ocurre aquí.

La sombra que expresa a la segunda premisa, todos los M son S, obliga a borrar la cruz y recorrerla a la subregión no sombreada común a M y P.

Parte de lo expresado por la combinación de la información de las premisas es una cruz ente S y P, lo que expresa a la información de la conclusión.

Otra estrategia posible para silogismos como el del ejemplo anterior, donde la premisa mayor es una proposición particular y la menor una universal, es la de representar siempre primero la premisa que posea la proposición universal. Así se tendría primero la sombra que vacía alguna de las subregiones y se podría luego escribir la cruz de la premisa mayor directamente en la subregión que no quedó sombreada. De este modo no hace falta colocar una cruz fronteriza que luego sería borrada. Hay que decir, sin embargo, que la primera

estrategia de colocar la cruz fronteriza en la línea que divide a las dos subregiones es más general por poder aplicarse también a casos como el siguiente donde tenemos un silogismo inválido que posee como premisas a dos proposiciones particulares.

Ejemplo

Probar la invalidez de un IOO-4.

Algunos P son M

Algunos M no son S

Luego, algunos S no son P

Al representar las dos premisas obtenemos cruces fronterizas en líneas divisorias que expresan información ambigua.

La conclusión habría quedado expresada con una cruz en una región de S que estuviera fuera de P ; como no hay tal cosa, el argumento es inválido.

Prueba indirecta

Para utilizar el método refutatorio de prueba indirecta se siguen estos pasos:

1. Representar las premisas con sombras o cruces donde corresponda.

2. Expresar la negación de la conclusión en el mismo diagrama.

3. Si el diagrama resultante es consistente, expresaría las condiciones parciales generales de un contramodelo o modelo refutador y, por tanto, el silogismo sería inválido; si el diagrama es inconsistente, no habría contramodelos, por lo que el silogismo sería válido.

Ejemplo

Probar de modo indirecto la validez de un silogismo barbara

Todos los M son P

Todos los S son M Luego, todos los S son P

La negación de la conclusión “todos los S son P” es “algunos S no son P”. El diagrama que representa a las premisas y a la negación de la conclusión quedaría así:

Lo que muestra claramente una inconsistencia, pues las premisas han declarado como vacías cuatro regiones de los conjuntos, pero la negación de la conclusión afirma que al menos una de dos de las regiones vacías de S no estaría vacía. Como no hay modelo refutador, el silogismo es válido.

El ejemplo que sigue también busca refutar un silogismo válido.

Ejemplo

Probar de modo indirecto un silogismo darii.

Todos los M son P.

Algunos S son M.

Luego, algunos S son P.

La negación de la conclusión sería “ningún S es P”. El diagrama de las premisas y la negación de la conclusión es inconsistente, por lo que el razonamiento silogístico es válido:

Ejemplo

Demostrar de modo indirecto la invalidez de un EAE-3.

Ningún M es P

Todos los M son S Luego, ningún S es P

La negación de la conclusión es “algún S es P”. El diagrama refutador (que representa a las premisas y a la negación de la conclusión) es consistente:

El diagrama refutador representa las condiciones parciales generales de infinitos contramodelos o modelos refutadores. Formulamos uno posible:

S = {a}, P = {a, b}, M = {}

Véase que las premisas del silogismo original son verdaderas en el contramodelo

M P = M S,

pero la conclusión es falsa, es decir, su negación es cierta

S P .

8.4.

Ejercicios

A. Indicar cuáles de los siguientes enunciados conjuntistas corresponden al diagrama de Venn. Puede haber más de uno correcto.

a) A B =

b) A B = Ø

c) A B Ø

d) A B’

e) A B

B. ¿Cuál de los enunciados siguientes habría quedado formalizado en el diagrama del ejercicio A anterior? Solo uno es correcto.

a) Algunos de los abogados (A) no son belicosos (B).

b) Ningún abogado (A) es no belicoso (B)

c) No hay abogados (A) que no sean belicosos (B).

d) Los abogados (A) no son belicosos (B).

e) No todos los abogados (A) no son belicosos (B)

C. ¿Cuál de las siguientes descripciones conjuntistas es modelo del diagrama del ejercicio A anterior? Puede haber más de una correcta.

a) U = {1, 2, 3} A = {1, 3} B = {2, 3}

b) U = {1, 2, 3} A = {3} B = {1, 2}

c) U = {1, 2, 3} A = {1, 3} B = {1}

d) U = {1, 2, 3} A = {1, 3} B = {1, 3}

e) U = {1, 2, 3} A = {1, 2} B = {}

D. Señalar cuáles de los enunciados conjuntistas corresponden al diagrama de Venn. Puede haber más de uno correcto.

a) A (B – C) =

b) A (B – C) Ø

c) (A B) – C = Ø

d) A ∩ B C

e) B ∩ A A

E. ¿Cuál de los enunciados siguientes habría quedado representado en el diagrama del ejercicio D anterior? Solo uno es correcto.

a) Algunos de los abogados (A) no son belicosos (B) ni celosos (C).

b) Los abogados (A) celosos (C) no son belicosos (B)

c) No hay abogados (A) que no sean belicosos (B) o celosos (C).

d) Los abogados (A) son belicosos (B) y celosos (C).

e) Los abogados (A) belicosos (B) no son celosos (C).

F. ¿Cuál de las siguientes descripciones conjuntistas es modelo del diagrama del ejercicio D anterior? Puede haber más de una correcta.

a) U = {1, 2, 3} A = {1, 3} B = {2, 3} C = {}

b) U = {1, 2, 3} A = {2, 3} B = {1, 2} C = {1}

c) U = {1, 2, 3} A = {1, 3} B = {1} C = {1}

d) U = {1, 2, 3} A = {1, 3} B = {1, 3} C = {2}

e) U = {1, 2, 3} A = {1, 2} B = {} C = {2, 3}

G. Expresar cuáles parejas de enunciados conjuntistas corresponden al diagrama de Venn. Considera que los dos enunciados de la pareja deben estar representados en el diagrama y puede haber más de una pareja correcta.

a) C B = y C – B

b) C – A ≠ Ø y B C =

c) (C B) C y A’ – C’ B’

d) A B C y B A A

e) C B y (A B ∩ C) (A’ ∩ B ∩ C)

H. ¿Cuál de las parejas de enunciados siguientes habría quedado formalizada en el diagrama del ejercicio G anterior? Solo una pareja es correcta.

a) Ningún belicoso ( ) es celoso (C). Hay celosos (C) que no son belicosos (B).

b) Ningún abogado (A) es celoso (C). Hay belicosos (B) que no son celosos ( C).

c) No hay abogados (A) que no sean belicosos (B). Algunos celosos (C) no son abogados (A)

d) Los belicosos (B) son celosos (C). Los abogados (A) son belicosos (B) y celosos (C)

e) Algunos celosos (C) no son abogados (A). Los abogados (A) belicosos (B) no son celosos (C).

I. ¿Cuál de las siguientes descripciones conjuntistas es modelo del diagrama del ejercicio G anterior? Puede haber más de una correcta.

a) U = {1, 2, 3} A = {3} B = {2, 3} C = {}

b) U = {1, 2, 3} A = {2, 3} B = {2, 3} C = {1}

c) U = {1, 2, 3} A = {1, 3} B = {3} C = {1, 2}

d) U = {1, 2, 3} A = {1, 3} B = {1, 2, 3} C = {2}

e) U = {1, 2, 3} A = {1, 2} B = {} C = {2, 3}

J. Señalar cuál diagrama contiene a qué otro u otros (distintos de él mismo) en la siguiente lista de diagramas de Venn. Especificar cuáles son consistentes y cuáles son inconsistentes.

K. Demostrar si los siguientes argumentos silogísticos son válidos mediante prueba directa. Algunos no están estandarizados.

1. Los esquimales son habitantes del polo norte. Ningún habitante del polo norte es friolento. Luego, ningún friolento es esquimal.

2. … A la sabiduría le corresponde probar los principios de otras ciencias… Pero la doctrina sagrada no prueba los principios de las otras ciencias. Por lo tanto, no es sabiduría.

- Santo Tomás de Aquino, Suma teológica

3. Algunos primates son africanos porque hay primates que son nativos de Madagascar y los nativos de Madagascar son africanos.

4. Varios pescadores son meticulosos. Algunos diplomáticos no son meticulosos. Por tanto, algunos diplomáticos no son pescadores.

5. Las cochinillas no son insectos puesto que son crustáceos y los insectos no son crustáceos.

6. Los trilobites vivieron en el Cámbrico. Cualquier animal del cámbrico es primitivo. Por ello, los trilobites son primitivos.

7. Sería preciso reducir ambos casos a una regla común. Por ejemplo: existe una sustancia que ennegrece los dedos del que la toca... Completé triunfante el silogismo: Venancio y Berengario tienen los dedos manchados de negro, ¡ergo han tocado esa sustancia!

- Umberto Eco, El nombre de la rosa

8. Ningún trabajador puntual llega tarde. Los que llegan tarde no ganarán bono mensual. Por consiguiente, los trabajadores puntuales ganarán bono mensual.

9. Varios pilotos aviadores tienen buena vista. Algunos de los que tienen buena vista son asiduos lectores. Por tanto, varios pilotos aviadores son asiduos lectores.

10. Como varios fumadores empedernidos son neuróticos, hay pintores neuróticos pues varios pintores son fumadores empedernidos.

L. Llevar a cabo la demostración de la validez o invalidez de los siguientes silogismos categóricos mediante prueba indirecta. Algunos no están estandarizados.

1. Los marxistas no son idealistas puesto que son materialistas y éstos no son idealistas.

2. Los arquitectos hacen diseños interesantes. Cualquier persona que haga diseños interesantes merece respeto. Por ello, los arquitectos merecen respeto.

3. Los felinos no son anfibios. Los artrópodos no son anfibios. Luego, los felinos no son artrópodos.

4. Los italianos son latinos. Ningún latino es una persona flemática. Luego, ningún italiano es flemático.

5. Algunos reptiles pueden ser peligrosos porque hay reptiles venenosos y los animales venenosos pueden ser peligrosos.

6. Varios intelectuales son neuróticos. Algunos escritores no son neuróticos. Por tanto, algunos escritores no son intelectuales.

7. Ningún automóvil deportivo es vehículo barato. Los vehículos baratos no suelen ser duraderos. Por consiguiente, los automóviles deportivos suelen ser duraderos.

8. Algunos ungulados son rumiantes. Los rumiantes son herbívoros. Por ello, algunos herbívoros son ungulados.

9. Varios guerreros aztecas eran caballeros águila. Algunos de los caballeros águila eran hábiles captores de prisioneros. Por tanto, varios guerreros aztecas eran hábiles captores de prisioneros.

10. Como varios científicos naturales son biólogos, hay científicos naturales que son zoólogos pues varios biólogos son zoólogos.

Capítulo 9

Diagramas de Venn-Peirce

Llamamos “diagramas de Venn-Peirce” a una expansión y refinamiento de los diagramas de Venn que incorpora anotaciones propuestas por Charles S. Peirce como la cruz para enunciados con compromiso existencial, ya empleada en los diagramas de Venn del capítulo 8, y ahora una línea nueva que une estas cruces. Esta línea es comúnmente denominada “secuencia de Peirce” y representa una disyunción. A la versión aquí presentada se añade también un universo de discurso mediante un rectángulo en el que se inscriben las curvas cerradas que designan las clases. Con estos recursos se potencia la capacidad expresiva del lenguaje diagramático y se le otorga un mayor rango de aplicación.

Este cálculo diagramático permite determinar la satisfacibilidad de conjuntos de enunciados y la validez de argumentos que van desde silogismos categóricos sencillos hasta otros tipos de argumentos más complejos que utilicen predicados monarios. Existen versiones correctas y completas de los diagramas de Venn-Peirce, todas poseedoras de free-rides.

9.1. Lenguaje diagramático

El lenguaje de estos diagramas consta de:

1. Rectángulos. Expresan el universo de discurso supuesto en cada caso.

2. Curvas cerradas. La región delimitada representa un conjunto. Por simplicidad, utilizaremos como curvas cerradas también a círculos o elipses.

3. Sombreados. Representan la ausencia de elementos de la región sombreada.

4. Cruces. Representan la presencia de al menos un elemento en la región con cruz.

5. Entrelazamientos de cruces o secuencias de Peirce. Representan la presencia de al menos un elemento en las regiones que cuentan con las cruces entrelazadas.

Los enunciados conjuntistas básicos representables con este lenguaje son los mismos que con los diagramas de Venn del capítulo anterior, pero al representar ahora el universo de discurso y con la utilización de entrelazamientos de cruces pueden expresarse complementos de conjuntos y, en general, relaciones conjuntistas más complejas. Para expresar que dos o más regiones no son vacías, se anota una cruz en cada una de tales regiones, pero vinculadas con líneas rectas para indicar que esas cruces forman pa rte de la misma afirmación.

Debido a que este método se aplica tanto a silogismos categóricos como a argumentos más complejos, dejamos de utilizar en este capítulo las letras S, P y M que hemos empleado antes para los tres términos de tales silogismos y haremos uso de letras conjuntistas ordinarias, que eventualmente podrían coincidir con S, P o M.

La representación diagramática de las proposiciones categóricas típicas es parecida a la de los diagramas de Venn cuando solo hay dos clases o conjuntos en juego, con la salvedad de que ahora se representa el universo de discurso con un rectángulo. Véase el esquema siguiente:

Forma Formalización conjuntista

Todo A es B A B A ∩ B’= Ø

Ningún A es B

Diagrama Lectura informal del diagrama

A B No hay nada en A que no esté en B

’ A ∩ B= Ø U A B No hay nada que esté a la vez en A y en B.

Algún A es B

B’

B ≠ Ø

B Hay algo que está a la vez en A y en B.

Algún A no es B

B A ∩ B’ ≠ Ø U A B Hay algo que está en A, pero no en B.

Cuando hay tres círculos la representación de las proposiciones particulares en los diagramas de Venn-Peirce es distinta de la de los diagramas de Venn. Ahora, para especificar que hay al menos un elemento en dos regiones no se utilizan cruces fronterizas, sino entrelazamientos de cruces. Se escribe una cruz por cada región en que pueda haber al menos un elemento y se las une entre sí con rectas para indicar que forman un entrelazamiento proveniente de la misma información de un enunciado. El esquema siguiente ilustra cómo se expresan las proposiciones categóricas típicas para diagramas de tres círculos:

La utilización de universos de discurso y de entrelazamiento de cruces aporta una mayor capacidad expresiva, como puede verse en los diagramas siguientes.

Ejemplo

Los siguientes diagramas representan a sus respectivos enunciados conjuntistas que aparecen debajo de cada uno.

9.2. Superposición, consistencia y contención

La información de varios enunciados también puede combinarse por medio de la superposición de sus representaciones diagramáticas, lo que obedece a las reglas siguientes:

1. La superposición de diagramas con regiones sombreadas produce un diagrama cuyas regiones sombreadas son la suma de las regiones sombreadas de los diagramas superpuestos.

2. La superposición de diagramas con regiones de entrelazamientos de cruces produce un diagrama cuyas regiones de entrelazamientos son la suma de las regiones de entrelazamientos de los diagramas superpuestos. No deben unirse los entrelazamientos de cruces produciendo un solo entrelazamiento pues se debilitaría el sentido original de los diagramas. 21

3. La superposición de diagramas con regiones sombreadas y diagramas con regiones de entrelazamientos da lugar a alguna de las situaciones siguientes:

a) Las regiones sombreadas y las de entrelazamientos de cruces no coinciden.

b) Las regiones sombreadas queden incluidas como partes de regiones con entrelazamiento de cruces.

c) Algunas regiones sombreadas cubren completamente a alguna región de entrelazamiento. En este caso, el nuevo diagrama es inconsistente.

Un diagrama es inconsistente en este sistema cuando al menos un entrelazado de cruces completo coincide con regiones sombreadas, y es consistente cuando ningún entrelazado queda totalmente sombreado.

21 Supongamos dos entrelazamientos, uno que afirma que al menos una de las regiones R1 y R2 no es vacía y otro que afirma que al menos una de las regiones R3 y R4 no es vacía. La suma de sus afirmaciones es que habrá por lo menos dos regiones no vacías, al menos una de cada entrelazamiento. ¿Qué quedaría expresado si unimos los entrelazamientos anteriores en uno solo? Se diría que al menos una de las cuatro regione s entrelazadas no es vacía; es decir, de al menos dos regiones no vacías cambiaría la idea a al menos una: se habría debilitado el sentido.

Ejemplo

En cada renglón la superposición del primer y del segundo diagramas produce los diagramas consistentes de la derecha.

Un mismo diagrama consistente representa infinitos modelos o realizaciones posibles, y un diagrama inconsistente no representa modelo alguno. Para especificar un modelo de un diagrama de Venn-Peirce consistente se siguen estos pasos:

1. Se define un universo de discurso y sus subconjuntos de manera que se obedezca a la información expresada en el diagrama.

2. Se dejan vacíos los conjuntos correspondientes a las regiones sombreadas.

3. Se asignan elementos a los conjuntos de regiones con cruces individuales y a los conjuntos correspondientes a al menos una de las regiones de cada entrelazamiento de cruces.

4. Se asignan libremente elementos a los conjuntos de las regiones sin sombreado ni cruz, de manera que pueden quedar vacíos o no vacíos.

Ejemplo

Definir un modelo que satisfaga a cada uno de los tres diagramas consistentes del ejemplo anterior.

Modelo del primer diagrama:

Cualquier modelo debe satisfacer los enunciados B A y A B expresados en el diagrama.

U = {1, 2, 3, 4} A = {1, 2, 3} B = {1, 2} C = {1}

Modelo del segundo diagrama:

Cualquier modelo debe satisfacer los enunciados C – A y A = representados en el diagrama.

U = {a, b, c, d} A = {} B = {} C = {a}

Modelo del tercer diagrama:

Cualquier modelo debe satisfacer los enunciados A B, C A y (A C’) B expresados en el diagrama.

U = {1, 2, 3, 4} A ={3} B = {1, 3} C = {}

Los diagramas inconsistentes carecen de modelos.

Ejemplo

Los diagramas inconsistentes de la derecha resultaron de sobreponer el primer diagrama y el segundo diagrama de su mismo renglón.

Ejemplo

Determinar si el siguiente conjunto de enunciados es satisfacible.

Algunos ansiosos (A) son bellacos (B) celosos (C). A B C

Varios bellacos (B) no son ansiosos (A). B A

No hay quien no sea ansioso (A) o celoso (C). (A C)’ =

Representamos cada enunciado.

Se sobreponen los tres diagramas en uno solo.

Y el diagrama resultante es consistente. El conjunto de enunciados es satisfacible.

Ejemplo

El conjunto de enunciados siguiente es insatisfacible.

No hay quien no sea amistoso (A), bondadoso (B) o condescendiente (C). (A C)’ = Ø

Los condescendientes (C) son amistosos (A) pero no bondadosos (B).

C A B’

Algunos bondadosos (B) son condescendientes (C).

B C

Representamos cada enunciado.

Se superponen los tres diagramas en uno solo.

El diagrama resultante es inconsistente, por lo que el conjunto de enunciados es insatisfacible.

Ahora veamos la contención de diagramas. Esta propiedad y la de inconsistencia nos ayudarán a definir la validez argumental en prueba directa e indirecta.

Diremos que un diagrama D contiene a un diagrama E si y solo si:

a) todas las regiones vacías (sombreadas) de E son regiones vacías (sombreadas) de D,

b) todas las regiones no vacías (con cruz) de E son regiones no vacías (con cruz) de D

c) Cada entrelazamiento de cruces de E es también entrelazamiento de cruces de D o D contiene una cruz sola en alguna de las regiones del entrelazamiento de cruces de E

Ejemplo

En los siguientes renglones los diagramas del lado izquierdo contienen a los de su lado derecho, pero los del lado derecho no contienen a los del lado izquierdo.

En el primer renglón las regiones sombreadas del diagrama izquierdo contienen a la región sombreada del derecho; en el segundo renglón la cruz de la región A – (B C) implica al entrelazamiento de cruces del diagrama derecho; en el tercer renglón las regiones sombreadas del diagrama izquierdo contienen a la región sombreada del derecho y la cruz individual que aparece debajo de otra cruz en la región de intersección de los tres conjuntos A ∩ B ∩ C garantiza que tal región no sea vacía, lo cual a su vez implica al entrelazamiento del diagrama derecho que sostendría que al menos una de las dos regiones A ∩ B ∩ C y A ∩ B’ ∩ C no es vacía. En el cuarto renglón el sombreado del diagrama izquierdo es igual al del derecho y la cruz individual de la región A ∩ B ∩ C’ garantiza que tal región no sea vacía, lo que a su vez implicaría al entrelazamiento del diagrama derecho que afirma que al menos una de las regiones A ∩ B ∩ C’ o A ∩ B ∩ C no es vacía.

9.3. Prueba de validez

Un argumento es válido o correcto en el sistema de diagramas de Venn -Peirce si y solo si:

1. El diagrama de su conclusión está contenido en el diagrama resultante de superponer los diagramas de sus premisas, o

2. El diagrama resultante de superponer los diagramas de sus premisas con el diagrama del enunciado negativo de su conclusión es inconsistente.

También tenemos el caso de validez trivial que ocurre cuando el diagrama resultante de superponer las premisas es inconsistente, lo que está incluido en el segundo caso de validez recién planteado. Si el diagrama es inconsistente, carece de contramodelo s.

Prueba directa

La verificación por prueba directa de la validez de argumentos requiere los tres pasos siguientes:

1. Dibujar el rectángulo del universo de discurso y los círculos o elipses traslapados (un círculo por cada conjunto o predicado monario).

2. Representar lo afirmado por las premisas con sombreado o cruz de acuerdo con lo dicho en el tema sobre el lenguaje diagramático.

3. Finalmente, la propiedad general de free-rides nos debe permitir verificar que el diagrama de las premisas contenga al diagrama de la conclusión. Si la conclusión quedó expresada por las premisas, o el diagrama de las premisas es inconsistente, el argumento es válido; si no quedó expresada por ellas, el argumento no es válido.

Ejemplo

Verificar por prueba directa en el sistema de diagramas de Venn -Peirce la validez del silogismo categórico barbara.

Todo M es P.

Todo S es M.

Luego, todo S es P.

La información de la conclusión está contenida en la información de las premisas, por lo que se prueba que el silogismo es válido.

Ejemplo

Verificar mediante prueba directa la validez del siguiente argumento no silogístico.

Los poetas (P) que no son sabios (S) no son genios (G). P S’ G’

Hay poetas (P) que no son sabios (S) P ∩ S’

Hay sabios (S) que no son poetas (P). S ∩ P’ ≠ Ø

Por ello, hay poetas (P) que no son genios (G). P ∩ G’ ≠ Ø

Claramente, el argumento es válido, pues el diagrama de las premisas garantiza que no sea vacía una de las dos regiones del entrelazamiento de cruces del diagrama de la conclusión. La conclusión, pues, está contenida en las premisas.

Ejemplo

Verificar si el siguiente argumento es válido.

Algunos filósofos (F) son prudentes (P). F ∩ P ≠ Ø

Algunos filósofos (F) no son prudentes (P). F ∩ P’ ≠ Ø

Los que no son artistas (A) no son prudentes (P). A’ P’

Los artistas (A) no son filósofos (F). A F’

Luego, los filósofos (S) son artistas (A). F A

El argumento es válido porque el diagrama resultante de superponer las premisas es inconsistente.

Ejemplo

Verificar si el siguiente argumento es válido.

Hay mamíferos (M) que no son placentarios (P) y marsupiales (A). M – (P A)

Los marsupiales (A) son mamíferos (M). A M

Los placentarios (P) son mamíferos (M). P M

Luego, los marsupiales (A) son placentarios (P). A P

El diagrama de la conclusión no está contenido en el de las premisas; por ello, el argumento no es válido.

Veamos ahora un ejemplo con cuatro predicados.

Ejemplo

Verificar si el siguiente argumento es válido.

Los asesinos seriales ( A) son sociópatas (S). A S

No hay sociópata (S) que experimente empatía (E) o culpabilidad (C). S (E C)’

Hay asesinos seriales (A). A

En consecuencia, hay quienes no experimentan empatía (E) ni culpabilidad (C). (E C)’ ≠ Ø

Por tratarse de más conjuntos que en los anteriores ejemplos, mostramos primero la representación de cada premisa.

Comparamos ahora el diagrama de las premisas sobrepuestas con el de la conclusión, y vemos que el primero contiene al segundo; de ahí que el argumento sea válido.

Prueba indirecta

Para el procedimiento refutativo de prueba indirecta se siguen estos pasos:

1. Formalizar las premisas con sombras o cruces donde corresponda.

2. Representar la negación de la conclusión en el mismo diagrama anterior.

Si el diagrama resultante es consistente, expresaría las condiciones parciales generales de un contramodelo y el argumento sería inválido. Si el diagrama es inconsistente, no habría contramodelos, por lo que el silogismo sería válido.

Ejemplo

Demostrar con prueba indirecta uno de los argumentos anteriores ya probados con prueba directa.

Los poetas (P) que no son sabios (S) no son genios (G). P ∩ S’ G’

Hay poetas (P) que no son sabios (S). P ∩ S’ ≠ Ø

Hay sabios (S) que no son poetas (P). S ∩ P’ ≠ Ø

Por ello, hay poetas (P) que no son genios (G). P ∩ G’ ≠ Ø

Se representan en un mismo diagrama las premisas y la negación de su conclusión, que afirmaría que los poetas (P) son genios (G), es decir, P G

Como el diagrama resultante de superponer las premisas y la negación de la conclusión es inconsistente, el argumento es válido.

Ejemplo

Verificar con prueba indirecta otro de los argumentos anteriores.

Hay mamíferos (M) que no son placentarios (P) y marsupiales (A). M – (P ∩ A) ≠ Ø

Los marsupiales (A) son mamíferos (M). A M

Los placentarios (P) son mamíferos (M). P M

Luego, los marsupiales (A) son placentarios (P). A P

La negación de la conclusión diría que algunos marsupiales ( A) no son placentarios (P), es decir, A P’

El diagrama sí es consistente, por lo que el argumento no es válido. Formulemos uno de los infinitos contramodelos parcialmente especificados en el diagrama, donde deben satisfacerse los enunciados de las premisas

M – (P ∩ A) ≠ Ø, A M, P M, y no satisfacerse el enunciado de la conclusión, es decir, satisfacer a su negación

A P’

Modelo refutador:

U = {a, b, c, d, e} A = {a, b} M = {a, b, c, d} P = {b, c}

Ejemplo

Verificar nuevamente con prueba indirecta si el argumento siguiente de cuatro predicados monarios es válido.

Los abogados (A) que buscan la justicia (B) son ciudadanos responsables (C) que mejoran la democracia (D). (A ∩ B) (C ∩ D) Hay abogados (A) que no son ciudadanos responsables (C). A C Quienes no son ciudadanos responsables ( C) no mejoran la democracia (D). C’ D’ Luego, hay abogados (A) que no buscan la justicia (B). A B

La negación de la conclusión diría que todos los abogados ( A) buscan la justicia ( B), es decir, A B

El diagrama resultante es inconsistente y el argumento es válido.

9.4. Ejercicios

A. Señalar cuáles de los enunciados conjuntistas corresponden al diagrama de VennPeirce. Puede haber más de uno correcto.

a) A B =

b) A ∩ (B C) ≠ Ø

c) (A ∩ B)’ – C = Ø

d) A ∩ B C

e) A B ∩ C

B. ¿Cuál de los enunciados siguientes habría quedado formalizado en el diagrama del ejercicio A anterior? Solo uno es correcto.

a) Algunos celosos (C) no son abogados (A) ni belicosos (B).

b) Algunos abogados (A) celosos (C) no son belicosos (B).

c) Ningún abogado (A) que sea belicoso (B) es celoso (C).

d) Los abogados (A) son belicosos (B) y celosos (C).

e) Los abogados (A) belicosos (B) no son celosos (C).

C. ¿Cuál de las siguientes descripciones conjuntistas es modelo del diagrama del ejercicio A anterior? Puede haber más de una correcta.

a) U = {1, 2, 3} A = {3} B = {2, 3} C = {}

b) U = {1, 2, 3} A = {2, 3} B = {2, 3} C = {1}

c) U = {1, 2, 3} A = {1, 3} B = {3} C = {1, 2}

d) U = {1, 2, 3} A = {1, 3} B = {1, 2, 3} C = {2}

e) U = {1, 2, 3} A = {} B = {} C = {2, 3}

D. Expresar cuáles parejas de enunciados conjuntistas corresponden al diagrama de VennPeirce. Considera que los dos enunciados de la pareja deben estar representados en el diagrama y puede haber más de una pareja correcta.

a) C ∩ A B y A C B

b) C B’ A y A ∩ (B C) ≠ Ø

c) C A – B y B – (A ∩ C) ≠ Ø

d) A ∩ B ∩ C = Ø y A ∩ B C

e) A’ B’ y B A ∩ C

E. ¿Cuál de las parejas de enunciados siguientes habría quedado formalizada en el diagrama del ejercicio D anterior? Solo una pareja es correcta.

a) Los celosos (C) son abogados (A) que no son belicosos (B). Hay belicosos (B) que no son abogados (A) celosos (C).

b) Los belicosos (B) son celosos (C). Hay belicosos ( B) que no son abogados ( A).

c) No hay abogados (A) que no sean belicosos (B) y celosos (C). Algunos celosos (C) y belicosos (B) no son abogados (A).

d) Los abogados (A) son celosos (C) pero no belicosos (B). Los abogados (A) son belicosos (B) y celosos ( C).

e) Algunos belicosos (B) no son abogados (A) celosos (C). Los abogados (A) ni son belicosos (B) ni son celosos (C).

F. ¿Cuál de las siguientes descripciones conjuntistas es modelo del diagrama del ejercicio D anterior? Puede haber más de una correcta.

a) U = {1,2,3} A ={3} B ={2,3} C ={3}

b) U = {1,2,3} A ={2,3} B ={2,3} C ={1,2,3}

c) U = {1,2,3} A ={1,3} B ={3} C ={1}

d) U = {1,2,3} A ={1,3} B ={1,2,3} C ={2}

e) U ={1,2,3} A ={} B ={2} C ={2,3}

f) U ={1,2,3} A ={1, 2} B ={2, 4} C ={2,3}

G. Señalar cuál de las siguientes parejas de enunciados conjuntistas corresponde al diagrama de Venn-Peice. Solo una es correcta.

a) A D y D’ C’

b) A ∩ B C y C ∩ D =

c) A B = y C D B

d) A B’ y C D =

e) A D y D (B C)’

H. ¿Cuál de las parejas de enunciados siguientes habría quedado representada en el diagrama del ejercicio G anterior? Solo una es correcta.

a) Los amigos (A) bobos (B) son condescendientes (C). Ningún condescendiente (C) es dadivoso (D).

b) Los amigos (A) son dadivosos (D). Los que no son dadivosos (D) no son condescendientes (C).

c) Ningún amigo (A) es bobo (B). No hay quien sea condescendiente (C) o dadivoso (D).

d) Los amigos (A) son dadivosos (D). Nadie que sea dadivoso (D) es bobo (B) o condescendiente (C)

e) Nadie es amigo (A) o bobo (B). Aquel que sea condescendiente (C) o dadivoso (D) es bobo (B).

I. ¿Cuál de las siguientes descripciones conjuntistas es modelo del diagrama del ejercicio G anterior? Puede haber más de una correcta.

a) U ={1,2,3,4} A ={1,3} B ={2,3} C ={1} D ={2}

b) U ={1,2,3,4} A ={3} B ={1,2} C ={} D ={3,4}

c) U ={1,2,3,4} A ={1,3} B ={1} C ={3,4} D ={1}

d) U ={1,2,3,4} A ={1,3} B ={1,3} C ={} D ={1}

e) U ={1,2,3,4} A ={1,2} B ={4} C ={} D ={2,3}

f) U ={1,2,3,4} A ={1} B ={1} C ={1} D ={1}

g) U ={1,2,3,4} A ={1,2} B ={1, 2, 3,} C ={2} D ={2}

J. Señalar cuál diagrama de Venn-Peirce contiene a qué otro u otros (distintos de él mismo) en la siguiente lista de diagramas. Especificar cuáles son consistentes y cuáles son inconsistentes.

K. Demostrar si los argumentos que siguen son válidos o inválidos por medio del método de prueba directa con diagramas de Venn-Peirce.

1. No todos los astronautas (A) tienen que ser expertos en navegación espacial ( E) porque algunos astrofísicos (F) son astronautas ( A) y varios astrofísicos ( F) no son expertos en navegación espacial (E).

2. Todos los budistas (B) son amables (A). Hay japoneses ( J) que son amables (A); por ello, los japoneses (J) budistas (B) son amables (A).

3. Ningún profesional (P) hace trabajos mediocres ( M). Hay ingenieros (I) que son profesionales (P). En consecuencia, hay ingenieros (I) que no hacen trabajos mediocres (M)

4. Podemos por lo tanto definir un enunciado metafísico diciendo que es una sentencia que quiere expresar una proposición genuina, pero que de hecho no expresa ni una tautología ni una hipótesis empírica. Pero como las tautologías y las hipótesis empíricas componen la totalidad de la clase de las proposiciones significativas, estamos justificados al concluir que todas las afirmaciones metafísicas carecen de sentido.

Alfred Ayer, Lenguaje, verdad y lógica

5. Hay mamíferos (M) que pueden volar (V) y mamíferos (M) que pueden nadar (N). Por tanto, hay mamíferos (M) que pueden volar (V) y nadar (N)

6. Los investigadores (I) imprudentes (P) no advierten las pistas (A), mientras que los prudentes (P) sí lo hacen (A). Hay investigadores (I) que advierten las pistas (A). Luego, hay investigadores (I) que no son prudentes (P).

7. Un profesional (P) trabaja intensamente (T) y con objetivos claros (O). Quien trabaja con objetivos claros (O), sabe a dónde quiere llegar (S). Hay quienes no saben a dónde quieren llegar (S). Por eso, hay quienes no son profesionales (P)

8. Los perales (P) y los manzanos (M) son plantas rosáceas (R). Las plantas rosáceas (R) producen flor (F). Por consecuencia, los perales (P) y los manzanos ( ) producen flor (F)

9. Quienes juegan futbol (F) o practican jiujitsu (J) son atletas (A). No todos los brasileños (B ) juegan futbol (F) o practican jiujitsu (J). Por ello, no todos los brasileños (B) son atletas (A).

10. Los poetas (P) son artistas ingeniosos (A). Algunos poetas (P) elaboran versos libres (L). Otros poetas ( P) elaboran versos clásicos (C). Luego, algunos artistas ingeniosos (A) elaboran versos libres (L) o clásicos (C)

L. Demostrar si los argumentos que siguen son válidos o inválidos por medio del método refutativo de prueba indirecta con diagramas de Venn-Peirce

1. Algunos titubean al cobrar penaltis (T). Quien titubea al cobrar un penalti ( T), lo falla (F). Por eso, algunos fallan los penaltis (F).

2. Nadie que sepa acampar (A) sale sin botiquín de primeros auxilios (B) y navaja multiusos (N). Algunos salen sin botiquín de primeros auxilios (B) o sin navaja multiusos (N). Por tanto, algunos no saben acampar (A)

3. Los Montesco (M) odian a los Capuletto (C). Quienes odien a los Capuletto (C) odian a Julieta (J). Hay quienes odian a los Capuletto (C). Luego, hay quienes odian a Julieta (J).

4. Únicamente los planetas exteriores (E) son gaseosos (G). Solo los planetas gaseosos (G) son gigantes (I). De ahí se sigue que solo los planetas exteriores (E) son gigantes (G)

5. Algunos periodistas (P) son de izquierda política (I) y otros son de derecha política (D). Por ello, algunos periodistas (P) son de izquierda (I) y de derecha (D).

6. Hay cuentistas (C) de gran imaginación (I). No hay novelistas (N) que no tengan gran imaginación (I). En consecuencia, hay novelistas (N) que son cuentistas (C)

7. El alma no ha nacido. Ahora bien, lo que no ha nacido es inmortal. Luego, el alma es inmortal.

Macrobio, Comentario al Sueño de Escipión de Cicerón

8. Ni son culpables (C) todos los que están encerrados (E), ni están encerrados (E) todos los que son culpables (C). Los que no son culpables (C), son inocentes (I). Los culpables (C) son delincuentes (D). Por tanto, hay inocentes (I) encerrados (E) y delincuentes (D) que no están encerrados (E).

9. Los cruceros (C) son viajes recreativos en barco (V). Hay viajes recreativos en barco (V) que resultan pesados para el turista (P). Cualquier viaje que resulte pesado para el turista (P) no es buena opción para vacacionar ( O). En consecuencia, no todos los cruceros (C) son buenas opciones para vacacionar (O).

10. Los demócratas (D) respetan la libertad (L) y voluntad de las mayorías (V). Los autoritarios (A ) no respetan ni la libertad (L) ni la voluntad de las mayorías ( V). De aquí se infiere que los demócratas (D) no son autoritarios (A)

Capítulo 10

Diagramas literales de Carroll

Uno de los aportes de Lewis Carroll a la lógica fue su sistema de diagramas biliterales y triliterales para la representación y evaluación de silogismos categóricos que presentó con fines didácticos y que sigue el estilo de Venn. La versión de los diagramas de Carroll aquí expuesta presupone la teoría moderna de las proposiciones categóricas donde las proposiciones universales carecen de importe existencial. Se trata de un sistema que sigue el estilo de Venn, es correcto, completo y capaz de producir free-rides.

10.1. Lenguaje diagramático

El lenguaje de este sistema contiene:

1. Cuadrados. Un cuadrado principal que representa al universo de discurso. Y cuadrados interiores al principal que delimitan regiones que representan a los conjuntos o clases aludidas por los términos de las proposiciones categóricas.

2. Círculo negro. Representa la presencia de elementos en la región donde se encuentra. Lo llamaremos ficha negra.

3. Círculo blanco. Representa la ausencia de elementos en la región donde se encuentra. Lo llamaremos ficha blanca.

Diagrama biliteral

El diagrama biliteral o de dos letras es un cuadrado que delimita las cuatro regiones posibles que se establecen entre dos conjuntos, designados por su literales. Dados dos conjuntos S y P, sus cuatro regiones posibles serían

Las regiones superiores corresponderían al conjunto S y las inferiores a su complemento, S’. Las regiones de la izquierda corresponderían a P y las de la derecha a su complemento, P’

La ficha negra representará la presencia de elementos y la ficha blanca representará el vacío de elementos (corresponderían más o menos a la cruz y al sombreado de los diagramas de Venn). Veamos las cuatro proposiciones categóricas típicas:

Enunciado Formalización conjuntista

Todo S es P S ∩ P’ = Ø

Ningún S es P S ∩ P = Ø

Formalización diagramática

Lectura informal del diagrama

No hay nada en S que no esté en P.

No hay nada que esté a la vez en S y en P

Algún S es P S ∩ P ≠ Ø

Algún S no es P S ∩ P’ ≠ Ø

Hay algo que está a la vez en S y en P

Hay algo que está en S, pero no en P

La representación resulta más clara, si se considera la formalización conjuntista mediante la afirmación de vacío o no vacío en la intersección de los conjuntos. En lugar de sombrear para representar regiones vacías se utiliza una ficha blanca inscrita en la región, y en lugar de cruz para expresar la no vacuidad de una región se utiliza una ficha negra inscrita. Definamos como ficha inscrita a una región a toda ficha negra o blanca que se encuentre contenida en esa región. Las regiones que no cuentan con ninguna ficha inscrita representan una indeterminación en cuanto a presencia o ausencia de elementos.

Diagrama triliteral

Un diagrama triliteral, o de tres letras, representa las relaciones entre tres conjuntos. Si interviene un tercer conjunto, digamos M, como de hecho ocurre en los silogismos categóricos por el término medio, se inscribe un cuadrado en el cuadrado principal. Las regiones internas de este cuadrado inscrito corresponden al tercer conjunto y las regiones externas a su complemento. Para facilitar la escritura conjuntista de cada parte sigamos la costumbre notacional de que un producto lógico, conjunción o intersección entre dos conjuntos S y P se exprese al yuxtaponerlos simplemente como SP.

De esta manera se muestran las ocho regiones posibles entre tres conjuntos. Las proposiciones categóricas típicas en este diagrama triliteral serían así:

Enunciado

Formalización conjuntista

Todo S es P S ∩ P’ = Ø

Ningún S es P S ∩ P = Ø

Formalización diagramática

Lectura informal del diagrama

No hay nada en S que no esté en P.

No hay nada que esté a la vez en S y en P.

Algún S es P S ∩ P ≠ Ø

Algún S no es P S ∩ P’ ≠ Ø

Hay algo que está a la vez en S y en P.

Hay algo que está en S, pero no en P

En el diagrama de “Todo S es P” se señalaron como vacías las dos regiones de S que están fuera de P. En el de “Ningún S es P” también se colocaron las fichas blancas en las dos regiones comunes a S y a P. En el diagrama de “Algún S es P” se colocó la ficha negra en los lindes de las dos regiones comunes a S y a P porque no sabemos si el elemento o elementos de la intersección de S y P pertenece o no a M; sería un error asumir que está en M o que no lo está, pues iríamos más lejos de lo que señala la proposición. A este tipo de fichas negras las llamaremos fichas fronterizas. Una ficha fronteriza será toda ficha negra que permanezca en la frontera de dos regiones. Debido a que una ficha fronteriza permanece en la frontera de dos regiones, nunca se encontrará inscrita en alguna de ellas. Tal como aquí los expondremos, solo los diagramas triliterales pueden tener fichas fronterizas.

Ejemplo

Representemos ahora las cuatro proposiciones que afirmen relaciones entre S y M

Enunciado

Formalización conjuntista

Todo S es M S ∩ M’ = Ø

Ningún S es M S ∩ M = Ø

Formalización diagramática

Lectura informal del diagrama

No hay nada en S que no esté en M

No hay nada que esté a la vez en S y en M.

Algún S es M S ∩ M ≠ Ø

Algún S no es M S ∩ M’ ≠ Ø

Hay algo que está a la vez en S y en M.

Hay algo que está en S, pero no en M.

Vemos también que las proposiciones universales se representan con sendas fichas blancas inscritas en las dos regiones vacías, pero las proposiciones particulares se representan con una sola ficha fronteriza entre las dos regiones donde podría estar el elemento o elementos comunes a los dos conjuntos.

La representación de relaciones entre P y M sería:

Enunciado

Formalización conjuntista

Todo P es M P ∩ M’ = Ø

Ningún P es M P ∩ M = Ø

Formalización diagramática

Lectura informal del diagrama

No hay nada en P que no esté en M.

No hay nada que esté a la vez en P y en M.

Algún P es M P ∩ M ≠ Ø

Algún P no es M P ∩ M’ ≠ Ø

Hay algo que está a la vez en P y en M

Hay algo que está en P, pero no en M

En las representaciones de “Todo P es M” y de “Ningún P es M” se señalaron como vacías las dos regiones correspondientes, mientras que en las de “Algún P es M” y de “Algún P no es M” se colocó la ficha negra fronteriza sin asumir que el elemento o elementos pertenezcan o no a S.

Transferencia de la información de un diagrama triliteral a uno biliteral Al evaluar razonamientos será útil transferir la información representada en un diagrama triliteral a uno biliteral. Consideremos que cada región del diagrama biliteral se subdivide en el diagrama triliteral en dos regiones, en la región que se traslapa con una región de M y en la que no se traslapa con ninguna región de M. Llamemos subregiones propias a las dos regiones del triliteral que resultan de dividir cada región del diagrama biliteral. Así, las subregiones propias de la región SP serían SPM y SPM’, o las subregiones propias a S’P serían S’PM y S’PM’. El cuadro siguiente presenta las dos subregiones propias en el diagrama triliteral a cada región del diagrama biliteral:

SPM’ SP’

S’P

S’P’

SP’M

SP’M’

S’PM

S’PM’

S’P’M

S’P’M’

Es posible obtener el diagrama biliteral contenido en el diagrama triliteral si se realizan los pasos siguientes:

1. Cualquier región del biliteral llevará una ficha blanca inscrita solo si sus dos subregiones propias en el triliteral contienen fichas blancas inscritas.

2. Cualquier región del biliteral llevará una ficha negra inscrita solo si al menos una de sus dos subregiones propias en el triliteral contiene una ficha negra inscrita.

3. Cualquier región del biliteral quedará sin ficha alguna inscrita en cualquier otro caso.

Esos otros casos posibles en que una región del diagrama biliteral queda sin ficha inscrita se dan cuando sus dos subregiones propias en el triliteral no llevan ficha inscrita alguna, o solo una de sus subregiones propias lleva ficha inscrita blanca, o una o ambas subregiones solo poseen fichas negras fronterizas.

Ejemplo

En los tres casos hubo regiones del diagrama biliteral que quedaron sin ficha inscrita porque sus dos respectivas subregiones propias en el diagrama triliteral no contenían fichas inscritas. Pero veamos los casos donde sí había fichas en el diagrama tri literal. En el caso a, las dos regiones superiores del diagrama biliteral quedaron sin ficha porque no ocurrió que las dos subregiones propias a cada región tuvieran fichas inscritas. En el caso de b también quedaron sin fichas las regiones del lado derech o del diagrama biliteral porque las fichas fronterizas del diagrama triliteral dan información ambigua que no permite saber dónde deberían colocarse las fichas del biliteral. En c vemos que la región superior derecha del diagrama biliteral presenta una ficha blanca porque sus dos subregiones propias en el triliteral contienen fichas blancas inscritas; por su parte, la región inferior derecha del biliteral lleva una ficha negra inscrita porque al menos una de sus subregiones propias en el triliteral contiene una ficha negra inscrita.

Un diagrama triliteral contiene a un diagrama biliteral si y solo si:

a) cada región del biliteral con ficha blanca inscrita cuenta en sus dos subregiones propias con sendas fichas blancas inscritas en el triliteral,

b) cada región del biliteral con ficha negra inscrita cuenta en al menos una de sus dos subregiones propias del triliteral con ficha negra inscrita, y

c) cada región sin ficha inscrita del biliteral cuenta con:

a. sus dos subregiones propias sin fichas inscritas, o

b. una sola subregión propia con ficha blanca inscrita y la otra subregión sin ficha inscrita alguna.

10.2. Superposición, consistencia y contención

Aquí también la información de dos o más enunciados puede combinarse mediante la superposición de sus representaciones diagramáticas en otro diagrama. La superposición de diagramas de Carroll obedece a las reglas siguientes:

1. La superposición de diagramas con regiones de fichas inscritas produce un diagrama cuyas fichas inscritas son la suma de las fichas inscritas de los diagramas superpuestos.

2. La superposición de diagramas con regiones de fichas inscritas y regiones de fichas fronterizas da lugar a alguna de las situaciones siguientes:

a. Las regiones de fichas inscritas y las de fichas fronterizas no coinciden.

b. Hay regiones de fichas blancas inscritas que coinciden. En este caso se deja señalada una sola ficha blanca inscrita en la región.

c. Hay regiones con fichas blancas inscritas que coinciden con regiones en cuya frontera con otra región hay una ficha fronteriza. En este caso, la ficha fronteriza se recorre a la otra región de la frontera siempre y cuando esta otra región no posea ficha blanca inscrita.

d. Alguna región de ficha negra inscrita coincide exactamente con una región de ficha blanca inscrita; o alguna ficha fronteriza coincide con la frontera de dos regiones de fichas blancas inscritas. En cualquiera de estos dos casos, decimos que el nuevo diagrama es inconsistente.

Un diagrama es inconsistente cuando afirma y niega a la vez que una región es vacía, o cuando afirma que dos regiones son vacías y también niega que al menos una de esas dos regiones sea vacía.

Un diagrama es consistente cuando no es inconsistente, es decir, cuando no posee ninguna de las dos propiedades posibles de un diagrama inconsistente.

Ejemplo

En cada renglón la superposición del primer y segundo diagramas da lugar a los diagramas resultantes consistentes del lado derecho.

a)

Primer diagrama Segundo diagrama Diagrama consistente

b)

Primer diagrama Segundo diagrama Diagrama consistente

c)

Primer diagrama Segundo diagrama Diagrama consistente

d)

Primer diagrama Segundo diagrama Diagrama consistente

e)

Primer diagrama Segundo diagrama Diagrama consistente

Los diagramas finales de cada renglón son consistentes porque muestran combinaciones de fichas donde no ocurre que ninguna región resulte vacía y no vacía a la vez. Nótese el caso c donde resultaron dos fichas fronterizas y que por ello dan información imprecisa, y el caso d donde la superposición de diagramas requirió que la ficha fronte riza se recorriera a la región no marcada como vacía del nuevo diagrama consistente.

Mientras un mismo diagrama consistente representa en abstracto infinitos modelos o realizaciones posibles, un diagrama inconsistente no representa modelo alguno. Un modelo de un diagrama consistente es un conjunto de condiciones concretas conjuntistas que satisfacen al diagrama. Para especificar el modelo en los diagramas literales de Carroll se hace lo siguiente:

1. Definir un universo de discurso y sus subconjuntos de manera que se obedezca a la información expresada en el diagrama.

2. Dejar vacíos los conjuntos correspondientes a fichas blancas inscritas.

3. Asignar elementos a los conjuntos de regiones con fichas negras inscritas y a al menos uno de los conjuntos de las regiones con ficha fronteriza.

4. Asignar libremente elementos a los conjuntos de las regiones sin fichas inscritas, de manera que pueden quedar vacíos o no vacíos.

Ejemplo

Definir dos modelos que satisfagan a cada uno de los primeros tres diagramas resultantes consistentes del ejemplo anterior.

Dos modelos primer diagrama:

Cualquier modelo debe satisfacer los enunciados M P y M S expresados en el diagrama.

U = {1, 2, 3} S = {1, 2} P = {1, 3} M = {1}

U = {a, b} S = {a} P = {a, b} M = {}

Dos modelos del segundo diagrama:

Cualquier modelo debe satisfacer los enunciados P ∩ S’ ∩ M’ ≠ Ø y M ∩ P’ = Ø representados en el diagrama.

U = {1, 2, 3, 4} S = {1, 2} P = {2, 3} M = {}

U = {a, b, c, d, e} S = {a, b, c} P = {b} M = {b}

Dos modelos del tercer diagrama:

Cualquier modelo debe satisfacer los enunciados M ∩ P’ Ø y M’ ∩ P ≠ Ø expresados en el diagrama.

U = {1, 2, 3, 4} S = {1, 2, 3} P = {3} M = {1, 2}

U = {a, b, c} S = {a} P = {a, b} M = {}

Los diagramas finales de cada renglón siguiente son inconsistentes porque las mismas regiones fueron marcadas como vacías y no vacías.

Ejemplo

En cada renglón la superposición del primer y segundo diagramas da lugar a diagramas resultantes inconsistentes.

a)

Primer diagrama Segundo diagrama Diagrama inconsistente

b)

Primer diagrama Segundo diagrama Diagrama inconsistente

d)

Primer diagrama

Segundo diagrama

Diagrama inconsistente

Primer diagrama

Segundo diagrama

Diagrama inconsistente

La consistencia de un diagrama es equivalente a la satisfacibilidad de un conjunto de enunciados. El diagrama triliteral de un conjunto satisfacible de enunciados es consistente y el diagrama de un conjunto insatisfacible de enunciados es inconsistente.

Ejemplo

Averiguar si el siguiente conjunto de enunciados es satisfacible.

Los sociólogos (S) son profesionistas (P). S P

Ningún profesionista (P) es menesteroso (M). P ∩ M = Ø

Algunos menesterosos (M) no son sociólogos (S). M ∩ S’ ≠ Ø

Algunos profesionistas (P) son sociólogos (S). P ∩ S ≠ Ø

Los cuatro diagramas superpuestos quedan así:

En el diagrama final las fichas fronterizas del tercer y cuarto enunciado debieron recorrerse a regiones sin fichas inscritas de vacío. Como el diagrama es consistente, el conjunto de enunciados es satisfacible.

Ejemplo

Determinar si el siguiente conjunto de enunciados es satisfacible.

Algunos senadores de esta legislatura ( S) son políticos de profesión (P). S ∩ P ≠ Ø

Todos los senadores de esta legislatura ( S) son moderados (M). S M

Ningún político de profesión (P) es moderado (M). P ∩ M = Ø

Representamos cada enunciado.

S

Los tres diagramas se superponen en uno.

Mientras la ficha fronteriza indica que alguna de las dos regiones en cuyo linde se encuentra no es vacía, las fichas blancas inscritas señalan que ambas regiones son vacías. Esto es imposible. El diagrama es inconsistente y el conjunto de enunciados es insatisfacible.

Un diagrama triliteral D contiene a un diagrama triliteral E si y solo si:

a) todas las regiones vacías de E son regiones vacías de D,

b) todas las regiones no vacías de E son regiones no vacías de D

Lo anterior implica que al menos una de las regiones de cada pareja de regiones con ficha fronteriza de E debe ser región con ficha negra inscrita en D

Los diagramas finales de los ejemplos anteriores de diagramas consistentes e inconsistentes, así como de diagramas triliterales para satisfacibilidad de enunciados contienen a los respectivos diagramas que se superpusieron.

10. 3. Prueba de validez

Prueba directa

Para realizar una prueba directa de un argumento silogístico con los diagramas de Carroll deben seguirse estos pasos:

1. Representar las dos premisas en un diagrama triliteral.

2. Si el diagrama triliteral resultante es inconsistente, el argumento es trivialmente válido.

3. Si el diagrama triliteral es consistente, se debe transferir su información a un diagrama biliteral.

4. Verificar si la información representada en el diagrama biliteral corresponde a la conclusión. Si es así, el argumento es válido. Si no quedó representada la conclusión en el diagrama biliteral, el argumento no es válido.

Veamos los ejemplos que siguen.

Ejemplo

Probar la validez de un barbara.

Todo M es P.

Todo S es M.

Por lo tanto, todo S es P.

Diagrama de las premisas Diagrama de la conclusión

El diagrama biliteral que se obtuvo del triliteral representa justamente a la información de la conclusión. Por ello, el silogismo es válido.

Ejemplo

Probar la validez de un celarent.

Ningún M es P.

Todo S es M. Luego, ningún S es P.

Diagrama de las premisas Diagrama de la conclusión

Ejemplo

Verifiquemos la validez de un ferio

Todo M es P

Algún S es M Luego, algún S es P

Diagrama de las premisas Diagrama de la conclusión

Ejemplo

Veamos la validez de un disamis.

Algún M es P.

Todo M es S.

Luego, algún S es P.

Diagrama de las premisas Diagrama de la conclusión

Ejemplo

Probemos la invalidez de un III-3

Algún M es P

Algún M es S

Luego, algún S es P

Diagrama de las premisas No hay conclusión precisa o bien determinada

Véase que el diagrama biliteral obtenido del triliteral no representa ninguna información precisa que apunte a una afirmación concluyente. Ninguna región puede verse concluyentemente como vacía o como no vacía. Y la conclusión del silogismo “algún S es P” habría requerido una ficha negra en la región superior izquierda.

Ejemplo

Probemos la validez de este argumento silogístico que no está estandarizado.

Ningún S es no M.

Ningún M es no P.

Luego, ningún no P es S.

Diagrama de las premisas Diagrama de la conclusión

Prueba indirecta

Un argumento es válido en prueba indirecta cuando al afirmar las premisas y negar la conclusión se obtiene un diagrama inconsistente. En este caso pueden ocurrir tres cosas:

1. Que el diagrama triliteral de las premisas sea inconsistente, lo que muestra la validez (trivial) del argumento.

2. Que la superposición del diagrama biliteral obtenido del triliteral de las premisas con el diagrama biliteral de la negación de la conclusión sea inconsistente; esto también muestra la validez del argumento.

3. Que ni el diagrama triliteral de las premisas ni el biliteral resultante de superponer al obtenido del triliteral de las premisas con el biliteral de la negación de la conclusión sean inconsistentes; en este caso el argumento sería inválido.

Ejemplo

Probemos de modo indirecto el silogismo darii

Todo M es P.

Algún S es M.

Por lo tanto, algún S es P.

Si superponemos los diagramas biliterales de la conclusión obtenida de las premisas con el de la negación de la conclusión obtendríamos un diagrama inconsistente; por eso el argumento es válido.

Ejemplo

Probar la invalidez de la siguiente forma argumental.

Algún no M es no P.

Algún no S no es no M.

Por lo tanto, algún no S no es no P.

Diagrama de las premisas Diagrama de la conclusión Diagrama de la negación de la conclusión
Diagrama de las premisas No hay conclusión x Diagrama de la negación de la conclusión

Aquí los diagramas biliterales no son mutuamente contradictorios y si los superponemos obtendríamos un diagrama consistente. Por lo tanto, el argumento es inválido.

10.4. Ejercicios

A. Indicar cuál de los siguientes enunciados conjuntistas corresponde al diagrama de Carroll. Puede haber más de uno correcto.

a) S P = Ø

b) S ∩ P = Ø

c) S P ≠ Ø

d) S P’

e) S P

B. ¿Cuál de los enunciados siguientes habría quedado formalizado en el diagrama del ejercicio A anterior? Solo uno es correcto.

a) Algunos de los sonámbulos (S) no son pacíficos (P).

b) Ningún sonámbulo (S) es no pacífico (P).

c) No hay sonámbulos (S) que no sean pacíficos (P).

d) Los sonámbulos (S) no son pacíficos (P).

e) No todos los sonámbulos (S) no son pacíficos (P).

C. ¿Cuál de las siguientes descripciones conjuntistas es modelo del diagrama del ejercicio A anterior? Puede haber más de una correcta.

a) U = {1, 2, 3} S = {3} P = {2, 3}

b) U = {1, 2, 3} S = {1, 3} P = {1, 2}

c) U = {1, 2, 3} S = {1, 3} P = {1}

d) U = {1, 2, 3} S = {} P = {1, 3}

e) U = {1, 2, 3} S = {1, 2} P = {}

D. Señalar cuáles de los enunciados conjuntistas corresponden al diagrama de Carroll. Puede haber más de uno correcto.

a) S (M – P) = Ø

b) S (M – P) Ø

c) (S ∩ M) – P = Ø

d) S ∩ M P

e) M ∩ S S

E. ¿Cuál de los enunciados siguientes habría quedado formalizado en el diagrama del ejercicio D anterior? Solo uno es correcto.

a) Algunos de los sonámbulos (S) no son pacíficos (P) ni maduros (M).

b) Los sonámbulos (S) maduros (M) no son pacíficos (P).

c) No hay sonámbulos (S) que no sean pacíficos (P) o maduros (M)

d) Los sonámbulos (S) son pacíficos (P) y maduros (M).

e) Los sonámbulos (S) maduros (M) son pacíficos (P).

F. ¿Cuál de las siguientes descripciones conjuntistas es modelo del diagrama del ejercicio D anterior? Puede haber más de una correcta.

a) U = {1, 2, 3} S = {1, 3} P = {2, 3} M = {}

b) U = {1, 2, 3} S = {2, 3} P = {1, 2} M = {1, 2}

c) U = {1, 2, 3} S = {1, 3} P = {1} M = {1, 3}

d) U = {1, 2, 3} S = {1, 2} P = {1, 3} M = {2}

e) U = {1, 2, 3} S = {1, 2} P = {} M = {2, 3}

G. Expresar cuáles parejas de enunciados conjuntistas corresponden al diagrama de Carroll. Los dos enunciados de la pareja deben estar representados en el diagrama y puede haber más de una pareja correcta.

a) P ∩ M = y P – M ≠

b) P – S ≠ y M ∩ P =

c) (P M) P y S’ – P’ M’

d) S ∩ M P y M ∩ S S

e) P M y (S ∩ M ∩ P) (S’ ∩ M ∩ P) =

H ¿Cuál de las parejas de enunciados siguientes habría quedado representada en el diagrama del ejercicio G anterior? Solo una pareja es correcta.

a) Ningún pacífico (P) es maduro (M). Hay maduros (M) que no son pacíficos (P).

b) Ningún sonámbulo (S) es maduro (M). Hay pacíficos (P) que no son maduros (M).

c) No hay sonámbulos (S) que no sean pacíficos (P). Algunos maduros (M) no son sonámbulos (S).

d) Los pacíficos (P) son maduros (M). Los sonámbulos (S) son pacíficos (P) y maduros (M).

e) No todos los pacíficos (P) son sonámbulos (S). Es falso que algunos maduros (M) sean pacíficos (P).

I. ¿Cuál de las siguientes descripciones conjuntistas es modelo del diagrama del ejercicio G anterior? Puede haber más de una correcta.

a) U = {1,2,3} S = {3} P = {2,3} M = {}

b) U = {1,2,3} S = {2,3} P = {1,2} M = {3}

c) U = {1,2,3} S = {1,3} P = {3} M = {1,2}

d) U = {1,2,3} S = {1,3} P = {1,2,3} M = {2}

e) U = {1,2,3} S = {1,2} P = {} M = {2,3}

J. Señalar cuál diagrama contiene a qué otro u otros (distintos de él mismo) en la siguiente lista de diagramas. Especificar cuáles son consistentes y cuáles son inconsistentes.

K. Llevar a cabo la demostración de la validez o invalidez de los siguientes argumentos silogísticos mediante prueba directa en el sistema de diagramas de Carroll.

1. Los arquitectos hacen diseños útiles. Cualquier persona que haga diseños útiles merece respeto. Por ello, los arquitectos merecen respeto.

2. Opina Aristóteles que nada de cuanto en la naturaleza se produce es hijo del azar, argumentándolo así: lo que nace del azar no se repite constante y frecuentemente, mientras que todas las obras de la naturaleza reaparecen, ora constantemente, ora al menos con cierta frecuencia.

- Moisés Maimónides, Guía de perplejos

3. Los italianos son latinos. Ningún latino es una persona flemática. Luego, ningún italiano es flemático.

4. Algunos reptiles pueden ser peligrosos porque hay reptiles venenosos y los animales venenosos pueden ser peligrosos.

5. Varios intelectuales son neuróticos. Algunos escritores no son neuróticos. Por tanto, algunos escritores no son intelectuales.

6. Ningún automóvil deportivo es vehículo barato. Los vehículos baratos no suelen ser duraderos. Por consiguiente, los automóviles deportivos suelen ser duraderos.

7. Algunos ungulados son rumiantes. Los rumiantes son herbívoros. Por ello, algunos herbívoros son ungulados.

8. Varios guerreros aztecas eran caballeros águila. Algunos de los caballeros águila eran hábiles captores de prisioneros. Por tanto, varios guerreros aztecas eran hábiles captores de prisioneros.

9. Como varios científicos naturales son biólogos, hay científicos naturales que son zoólogos pues varios biólogos son zoólogos.

10. Los eticistas también apelaron al principio de que es incorrecto matar a una persona para salvar a otra. Dijeron que tomar los órganos de Theresa equivaldría a matarla para salvar a otros; de modo que tomar sus órganos sería incorrecto.

- James Rachels, Introducción a la filosofía moral

L. Demostrar por prueba indirecta mediante diagramas de Carroll la validez o invalidez de los argumentos silogísticos del ejercicio K anterior.

Capítulo 11

Grafos existenciales de Peirce. Sistema alfa

Charles Sanders Peirce ideó sistemas para realizar pruebas diagramáticas posteriormente a su sistema de pruebas simbólicas. El sistema alfa de grafos existenciales se diseñó para la lógica proposicional. De este veremos una versión que aplicaremos a tipos de argumentos como los dilemas, el silogismo disyuntivo o los silogismos hipotéticos. El sistema alfa no posee free-rides o caminos directos de visualización inmediata de la conclusión desde la representación de las premisas en todo argumento válido, por l o que su estatuto como sistema de diagramas inferenciales puede ser dudoso para algunos. En todo caso, como álgebra gráfica equivalente a un sistema de lógica proposicional resulta ser correcta y completa, y vale la pena incluirla en una introducción general a los sistemas lógicos diagramáticos.

11.1. Lenguaje diagramático

El lenguaje del sistema α consta de tres tipos de elementos:

Los grafos peirceanos para lógica proposicional se constituyen en lo fundamental de combinaciones de letras proposicionales y de elipses, comúnmente denominadas recortes o cortaduras, que se marcan en la tabla de aserción. Las letras pueden encerrarse en recortes y unirse a otras letras que también pueden estar encerradas en recortes. Las letras solas cuentan como grafos y los recortes solos también cuentan como grafos.

La hoja o tabla de aserción representará lo verdadero. Las letras proposicionales representarán posibles proposiciones que al marcarlas en la tabla de aserción se interpretarán como proposiciones verdaderas. Los recortes representarán lo falso. La yuxtaposición de letras indicará que ambas se toman como verdaderas. Los grafos siguientes representan las expresiones que están a su derecha.

Véase también estos casos:

La yuxtaposición de grafos permite escribirlos en distintos lugares. De este modo, los grafos que aparecen en cada renglón que sigue son equivalentes:

Un subgrafo es toda parte de un grafo que también es grafo. Todo grafo es subgrafo de sí mismo.

Notación lineal

Los grafos de α pueden expresarse en notación lineal mediante las letras proposicionales combinadas con paréntesis. La yuxtaposición de grafos se expresa con una simple yuxtaposición lineal y los recortes de un grafo se representan con pares de paréntesis que lo encierran.

El grafo

A B se representaría linealmente de cualquiera de estos modos: ((A)B) (B(A)).

Un grafo más complejo como

A B C puede expresarse linealmente de estas formas:

A((B)(C)) A((C)(B)) ((B)(C))A ((C)(B))A.

Es posible expresar cualquier fórmula de lógica proposicional mediante los grafos peirceanos o mediante su respectiva notación lineal. Véase los ejemplos.

Grafo Notación lineal Fórmula proposicional

A (A) ¬A Negación

AB AB A B

Conjunción

Interpretación

Es falsa A

A B (A(B)) A → B Condicional

Son verdad A y B

Si A, entonces B (Es falso que A sea verdad y B sea falso).

A B ((A)(B)) A B

Disyunción A o B (Es falso que sea falsa A y que sea falsa B).

11.2. Consistencia e implicación

Las reglas de inferencia del sistema son las siguientes:

Regla 1. Borrado (en par)

Todo grafo envuelto en un número par de recortes (incluyendo al cero como número par) puede borrarse.

Regla 2. Inserción (en impar)

Cualquier grafo puede insertarse en un área envuelta en un número impar de recortes.

Regla 3. Iteración

Todo grafo ya anotado puede iterarse en cualquier área que tenga un número igual o mayor de recortes que el grafo a iterar (siempre y cuando no sea un área del mismo grafo que se iterará).

Regla 4. Desiteración

Cualquier grafo cuya ocurrencia pueda verse como resultado de una iteración puede borrarse.

Regla 5. Doble recorte

Puede introducirse o eliminarse un doble recorte alrededor de cualquier grafo o de otras áreas de la tabla de aserción. La introducción no debe producir intersecciones entre recortes.

La regla 1 permite que desde A(B) se infiera A al borrar (B), desde ((A)) se infiera (()) al borrar A, desde (B(CAC)) se infiera (B(A)) al borrar CC, desde (((((B))))) se obtenga (((()))) por borrar (B), desde (B(()))A se obtenga (B())A por borrar ().

Mediante la regla 2 es posible que desde B(A) se obtenga B(AC) por la inserción de C dentro de un recorte, desde (A(B(C)(B))) derivar (A(B(C)((D)B))) por la inserción de (D) entre tres recortes, desde () inferir ( A(B)) mediante la inserción de A(B), desde (((((A))))) obtener (((B((A))))) y desde (B(A)) derivar (B(C)(A)).

La regla 3 posibilita que desde A() puedan obtenerse AA() o A(A) al iterar A, desde (((A))B) derivar (((AB))B) al iterar B o (((A)(A))B) al iterar (A) o desde (B)(A(C)) inferir (B)(A(C)(B)) al iterar (B). Pero no se permite que desde (B) se infiera (B(B)) porque (B) estaría iterándose dentro de su propia área.

La regla 4 permite que desde AA() o A(A) se infiera A() al desiterar A, desde (((AB))B) obtener (((A))B) por desiterar B, desde (((A)(A))B) derivar (((A))B) por desiterar (A) o desde (B)(A(C)(B)) obtener (B)(A(C)) por desiterar (B).

A través de la regla 5 es posible que desde (( B))(A) se derive B(A) o desde B(A) se obtenga ((B))(A). Así también, permite que desde A(((B))) se infiera A(B ) y viceversa, desde (A)((B))(AC) se obtenga (A)((B)(()))(AC) y viceversa, desde nada que se derive (()) y viceversa, y desde (()) B(A) se obtenga B(A) y viceversa.

Decimos que un primer grafo implica a otro grafo si y solo si este segundo se obtuvo del primero mediante la aplicación de una o más reglas de inferencia del sistema en el primero. De este modo, todos los ejemplos recién enlistados de inferencias permisibles en cada regla presentan casos de grafos que implican a otros.

En el siguiente ejemplo ya se utiliza la tabla de aserción para anotar los grafos.

Con la finalidad de facilitar la visualización de niveles se destacarán en gris los niveles impares (una envoltura, tres envolturas, cinco envolturas, etcétera) y se dejarán en blanco los niveles pares (cero envolturas, dos envolturas, cuatro envolturas, etcétera).

Ejemplo

En este ejemplo, cualquier grafo es implicación de los que están a su izquierda. Además, el primer grafo es implicación del segundo porque puede obtenerse de él por una aplicación de la regla 3 de iteración.

En notación lineal: (C)(B(C))(A)  (C)(B)(A)  (C)(A)

Y también: (C)(B)(A)  (C)(B(C))(A)

(C)(A) se obtuvo de ( C)(B)(A) al borrar (B); esto fue posible porque el grafo (B) se encuentra envuelto en cero cortes y, como ya se dijo, el cero es número par; y todo grafo envuelto en un número par de recortes puede ser borrado. El grafo (C)(B)(A ) se infirió del grafo (C)(B(C))(A) al desiterar (C) porque podría verse este grafo (C) en ( B(C)) como si fuera producto de una iteración del grafo (C) que ya está fuera de (B(C)). El primer grafo (C)(B(C))(A) también es implicado por el segundo (C)(B)(A) porque puede obtenerse de él al iterar (C) dentro de (B).

El grafo (C)(A) es implicación del grafo (C)(B)(A) y del grafo (C)(B(C))(A). El grafo (C)(B)(A) es, por su parte, implicación del grafo ( C)(B(C))(A).

Un grafo es inconsistente si y solo si hay algún subgrafo y su negación en el mismo grafo –un grafo junto al recorte del mismo grafo–, o es posible derivar mediante las reglas de inferencia de α algún subgrafo y su negación en el mismo grafo. Un grafo es consistente si no es inconsistente.

Un conjunto de enunciados cuya forma lógica relevante pueda expresarse en lógica proposicional es insatisfacible si y solo si puede representarse como un grafo inconsistente.

Ejemplo

¿Es satisfacible esta pareja de enunciados?

Si viste la película (P), estás contento (C); y viste la película (P) y no estás contento (C).

1. (P(C))P(C)

2. (P)P(C)

3. (P)P

R4 Desiteración

R1 Borrado en par

El grafo implicado (P)P es inconsistente, pues expresa un grafo P yuxtapuesto a otro grafo que es el recorte de él mismo (P); por ello, el grafo original ( P(C))P(C) es inconsistente y el conjunto de enunciados es insatisfacible.

Ejemplo

¿Es satisfacible este conjunto de enunciados?

O vamos de viaje (V) o descansamos (D). Si vamos de viaje (V), descansamos (D). Nos quedamos (Q) y no descansamos (D).

1. ((V)(D))(V(D))Q(D)

2. ((V(D))(D))(V(D))Q(D) R3 Iteración

3. ((D))(V(D))Q(D) R4 Desiteración

4. ((D))(D) R1 Borrado

El grafo ((V)(D))(V(D))Q(D) es inconsistente porque se derivó el grafo (( D))(D).

Primero, en el subgrafo ((V)(D)) se iteró el subgrafo (D) dentro de (V) con lo que resultó ((V(D))(D)); es decir, el grafo ((V)(D)) se transformó en ((V(D))(D)). De este modo, el subgrafo que estaba desde el inicio (V(D)) permite desiterar al nuevo y que es idéntico a él dentro de ((V(D))(D)), con lo que resulta el grafo ((D)). Luego se borraron por estar envueltos en cero recortes a (V(D)), que estaba desde el inicio, y a Q. Así se implicó ((D))(D). El conjunto de enunciados es insatisfacible.

11.3. Prueba de validez

Prueba directa en α

Para probar la validez lógica de cada argumento en el sistema α se hace lo siguiente:

1. Representar primero las premisas mediante grafos en la tabla de aserción.

2. Aplicar las reglas de inferencia que se requieren sobre los grafos hasta llegar a la representación de la conclusión del argumento. Si se deriva el grafo de la conclusión, se ha probado la validez del argumento

En cada ejemplo siguiente se representa el proceso inferencial mediante los grafos y mediante la notación lineal de los mismos.

Ejemplo

Probar la validez del silogismo hipotético mixto conocido como modus tollens

Modus tollens

Si A, entonces B

No B

Por lo tanto, no A

Premisas: (B)(A(B)) Conclusión a inferir: (A)

Deducción:

1. (B)(A(B))

2. (B)(A) R4 Desiteración

3. (A) R1 Borrado

La prueba del modus tollens requirió apenas dos pasos inferenciales. Una desiteración de (B) y un borrado de (A).

Ejemplo

Probar la validez del modus ponens.

Modus ponens

Si A, entonces B. A. Por lo tanto, B.

Premisas: A(A(B)) Conclusión a inferir: B

Deducción:

1. A(A(B))

2. A((B))

3. AB

4. B

R4 Desiteración

R5 Doble recorte

R1 Borrado

En esta prueba del modus ponens fue necesario emplear la regla de doble recorte.

Ejemplo

Probar la validez del silogismo disyuntivo.

Silogismo disyuntivo

A o B

No A

Por lo tanto, B

Premisas: (A)((A)(B))

Deducción:

1. (A) ((A)(B))

2. (A) ((B))

3. (A)B

4. B

Conclusión a inferir: B

R4 Desiteración

R5 Doble recorte

R1 Borrado

La prueba del silogismo disyuntivo requirió también de pocos pasos.

Ejemplo

Demostrar por prueba directa el silogismo hipotético.

Silogismo hipotético

Si A, entonces B

Si B, entonces C

Por lo tanto, si A, entonces C

Premisas: (A(B))(B(C)) Conclusión a inferir: (A(C))

Deducción:

1. (A(B))(B(C))

2. (A(B(B(C))))(B(C))

3. (A(B(B(C))))

4. (A(B((C))))

5. (A(BC))

6. (A(C))

R3 Iteración

R1 Borrado

R4 Desiteración

R5 Doble recorte

R1 Borrado

Esta prueba utilizó la iteración de la premisa entera (B(C)) en el área de la otra premisa (A(B)). Así fue posible derivar la conclusión.

Ejemplo

Demostrar la validez de la forma argumental que sigue.

Dilema1

A o B

Si A, entonces B Por lo tanto, B.

Premisas: ((A)(B))(A(B))

Deducción:

1. ((A)(B))(A(B))

2. ((A(B))(B))(A(B))

3. ((B))(A(B))

4. B(A(B))

5. B

Conclusión a inferir: B

R3 Iteración

R4 Desiteración

R5 Doble recorte

R1 Borrado

En esta derivación destaca el hecho de haber iterado ( B) dentro del área de (A) para transformar este último en (A(B)) y así poder luego desiterar completo este grafo.

Ejemplo

Demostrar el dilema siguiente.

Dilema 2 A o B. Si A, entonces C. Si B, entonces C. Por lo tanto, C.

Premisas: ((A)(B))(A(C))(B(C))

Deducción:

1. ((A)(B))(A(C))(B(C))

2. ((A(A(C)))(B(B(C))))(A (C))(B(C))

3. ((A(A(C)))(B(B(C))))

4. ((A((C)))(B((C))))

5. ((AC)(BC))

6. ((C)(C))

7. ((C))

8. C

Conclusión a inferir: C

R3 Iteración

R1 Borrado

R4 Desiteración

R5 Doble recorte

R1 Borrado

R4 Desiteración

R5 Doble recorte

En esta demostración fue necesario iterar dos premisas en el área de una premisa para poder derivar los grafos que condujeron a la conclusión.

Ejemplo

Probar el dilema constructivo siguiente.

Dilema constructivo

A o B

Si A, entonces C

Si B, entonces D

Por lo tanto, C o D.

Premisas: ((A)(B))(A(C))(B(D))

Deducción:

1. ((A)(B))(A(C))(B(D))

2. ((A(A(C)))(B(B(D))) (A (C))(B(D))

3. ((A(A(C)))(B(B(D)))

4. ((A((C)))(B((D)))

5. ((AC)(BD))

6. ((C)(D))

Conclusión a inferir: ((C)(D))

R3 Iteración

R1 Borrado

R4 Desiteración

R5 Doble recorte

R1 Borrado

En lógica proposicional existen fórmulas que expresan verdades lógicas. Se les conoce como tautologías y pueden demostrarse con el sistema α sin recurrir a premisas

Ejemplo

Demostrar la tautología que representa el principio de identidad.

Tautología: Si A, entonces A (Principio de identidad)

Tautología: (A(A))

Deducción:

1. (())

2. (A())

3. (A(A))

R5 Doble recorte

R2 Inserción

R3 Iteración

Aunque no se partió de premisas fue posible derivar la fórmula debido al uso de las reglas de doble recorte y de inserción, complementadas con la regla de iteración.

Ejemplo

Demostrar una de las llamadas paradojas del condicional material , conocida como principio de comensurabilidad.

Tautología: Si A, entonces B; o si B, entonces A. (Principio de comensurabilidad)

Tautología: (((A(B)))((B(A)))) Principio de comensurabilidad

Deducción:

1. (())

2. (()())

3. (A()())

4. (A()B())

5. (A(B)B(A))

6. (((A(B)))((B(A))))

R5 Doble recorte

R2 Inserción

R2 Inserción

R2 Inserción

R3 Iteración

R5 Doble recorte

En este caso, el uso recurrente de la regla de inserción permitió introducir los grafos necesarios en las regiones correspondientes de los recortes.

Prueba indirecta en α

Una prueba indirecta en α requiere lo siguiente:

1. Representar las premisas afirmadas y la conclusión negada.

2. Si mediante la aplicación de las reglas de inferencia se llega a una contradicción, es decir, a la afirmación y negación del mismo grafo –un grafo yuxtapuesto a un recorte de él mismo–, entonces el argumento es válido.

Ejemplo

Demostrar de modo indirecto el silogismo hipotético.

Silogismo hipotético

Si A, entonces B.

Si B, entonces C

Por lo tanto, si A, entonces C

Deducción:

1. (A(B))(B(C))((A (C))) Premisas afirmadas y conclusión negada

2. (A(B))(B(C))A(C)

3. ((B))(B(C))A(C)

4. ((B))(B)A(C)

5. ((B))(B)

R5 Doble recorte

R4 Desiteración

R4 Desiteración

R1 Borrado

Una tautología también puede probarse de modo indirecto. Basta con representarla negada y derivar un grafo inconsistente con las reglas de inferencia. Si negar la tautología da esta contradicción, entonces la tautología es verdaderamente eso, una tautol ogía, una verdad lógica en lógica proposicional.

Ejemplo

Probar de modo indirecto el principio de identidad.

Tautología: Si A, entonces A. Principio de identidad

Tautología: (A(A))

Deducción:

1. ((A(A))) Negación de la tautología

2. A(A) R5 Doble recorte

De la negación de la tautología y de la aplicación de la regla de doble recorte a esa negación se obtuvo un grafo inconsistente.

11.4. Ejercicios

A. ¿Cuál de los enunciados siguientes habría quedado formalizado en el grafo del lado derecho? Solo uno es correcto.

a) Llovió (L) y se quedó en casa (C).

b) Si no llueve (L), irá a la fiesta (F) y no se quedará en casa (C).

c) O irá a la fiesta (F) y no lloverá (L), o lloverá (L) y se quedará en casa (C).

d) Lloverá (L) y se quedará en casa (C) o no lloverá (L) e irá a la fiesta (F).

e) Si llueve (L), se quedará en casa (C); o llueve (L), o irá a la fiesta (F).

B. ¿Cuál de los enunciados siguientes habría quedado formalizado en el grafo anotado linealmente? Solo uno es correcto.

((LG)((L)S))

a) Es falso que si no llueve (L), granizará (G) y soplará el viento (S).

b) O no lloverá (L) y no granizará (G), o lloverá (L) y no soplará el viento (S).

c) Lloverá (L), granizará ( G) y soplará el viento (S).

d) Lloverá (L) y granizará ( G) o no lloverá (L) y soplará el viento (S).

e) No lloverá (L) y no granizará (G), o lloverá (L) y no soplará el viento (S).

C. Formalizar en notación de grafos del sistema α de Peirce las siguientes proposiciones. Se sugieren entre paréntesis las letras a emplear para cada proposición simple.

1. Si el viento se debilita (V), comenzará la lluvia (L).

2. Compró libros (L) y revistas (R).

3. Viajará a China (C) o a Japón (J).

4. Es falso que no irá a la conferencia (C).

5. Si compra boletos (B), irá a la función (F); y si no los compra (B), se quedará en casa (C).

6. Lloverá (L) y soplará el viento (V) o no lloverá (L) y no soplará el viento (V).

7. Es falso que vaya a llover (L) o que vaya a soplar el viento (S).

8. Comerá ensalada (E) o carne (C), y beberá agua fresca (A) o vino (V).

9. Si estudia (E) y hace tareas (T), aprobará el curso (C).

10. Si estudia (E) o trabaja (T), entonces aprende (A) o gana dinero (D).

D. Expresar en notación lineal las proposiciones del ejercicio C anterior.

E. Señalar cuál de los siguientes grafos implica a cuál otro (distinto de sí mismo).

L C L F
i) j) k) l)
m) n) o) p)

F. Solo tres de los siguientes grafos son inconsistentes. Identificarlos.

e) f) g) h)

G. Dos de los siguientes conjuntos de enunciados son insatisfacibles. Identificar mediante el sistema de los grafos existenciales de Peirce cuáles son esos tres conjuntos insatisfacibles.

a) Si gana el juicio (J), cobrará la indemnización ( I). Si no gana el juicio ( J), no cobrará la indemnización (J).

b) Si llueve (L), graniza (G). No graniza (G) y llueve (J).

c) O se modifica la ley (L) o persiste la injusticia (I). Es falso que si no se modifica la ley (L), no persiste la injusticia (I).

d) Si gana el juicio (J), cobra la indemnización (I). Si cobra la indemnización (I), paga sus deudas (D). Gana el juicio (J) y no paga sus deudas (D).

e) Se modifica la ley (L) y no persiste la injusticia ( I). Y si no persiste la injusticia (I), se modifica la ley (L).

H. Probar de modo directo la validez de los siguientes argumentos mediante los grafos del sistema α de Peirce. Escribir también las deducciones en notación lineal.

1. Si compra el periódico ( P), sabrá las noticias (N). Comprará la novela (O) y el periódico (P). Por consecuencia, sabrá las noticias (N).

2. … si existiese Dios, no existiría ningún mal. Pero el mal se da en el mundo. Por lo tanto, Dios no existe.

Suma Teológica, Santo Tomás

3. Si estudias (E), no ganas dinero ( D). Si trabajas (T), no obtienes un título profesional (P). O bien estudias (E), o bien trabajas (T). Por lo tanto, no ganas dinero (D) o no obtienes un título profesional (P).

4. Si se debe filosofar (D), hay que filosofar (H), y si no se debe filosofar (D), hay que filosofar (H): luego, en cualquier caso, hay que filosofar (H). Aristóteles, Protréptico

5. Si le dices que su proyecto es bueno (B), asumirá que eres hipócrita (H). Si le dices que su proyecto es malo (M), asumirá que eres envidioso ( E). Pero no quieres que asuma ni que eres hipócrita (H) ni que eres envidioso (E). Por lo tanto, no le digas ni que es bueno (B), ni que es malo (M).

6. Si hubiera suficientes recursos (S), habría programas de desarrollo (D) y becas (B). Pero no hay becas (B). De ahí que no hay suficientes recursos (S).

7. Te casarás con una guapa (G) o con una fea (F); si es guapa (G), sufrirás traición (T); si es fea (F), sufrirás castigo (C). Una (T) y otra cosa (C) deben evitarse; por lo tanto, no te cases (G) (F). Argumento de Bías de Priene citado en Aulo Gelio, Noches áticas

8. Si obtienes título (T), ejerces profesionalmente (P). Si ejerces profesionalmente (P), tendrás ingresos (I). Obtendrás el título (T). Por ello, tendrás ingresos ( I).

9. Lloverá (L) o estará seco (S). No lloverá (L) y comprarán riegos artificiales (R). Por consiguiente, estará seco (S) y comprarán riegos artificiales (R ).

10. Terminará su gestión (T) y no cumplirá sus promesas (C). Si termina su gestión (T) y no cumple sus promesas (C), entonces habrá voto de castigo (V). Por lo tanto, habrá voto de castigo (V).

I. Probar de modo indirecto la validez de los argumentos del ejercicio H anterior mediante los grafos del sistema α de Peirce. Escribir también las deducciones en notación lineal.

Capítulo 12

Grafos existenciales de Peirce. Sistema beta

El sistema β de Peirce cuenta con una notación gráfica y unas reglas que corresponden a un sistema de lógica de predicados o de lógica clásica de primer orden; más específicamente, corresponden a un lenguaje puro de primer orden con identidad, lo que implica, entre otras cosas, que no trata proposiciones singulares. El sistema beta también es correcto y completo en el sentido en que puede serlo un álgebra gráfica, pero carece de la propiedad de producir free-rides

El nombre de “grafos existenciales” proviene precisamente del hecho de que el más simple de los grafos beta (bien construido y poseedor de significado) es una proposición de existencia o proposición particular como “algo es A”, donde A es una letra predicativa.

12.1. Lenguaje diagramático

El lenguaje de β consta de lo siguiente: 1

A, B, C, …

Tabla de aserción Recortes

Letras predicativas Líneas de identidad

Los grafos peirceanos para lógica de predicados se constituyen de combinaciones de letras predicativas, recortes y líneas de identidad. Aquí también las letras pueden estar encerradas en recortes y unidas a otras letras que también pueden encerrarse en recortes. De igual forma, la hoja o tabla de aserción representa lo verdadero, los recortes representan lo falso y la yuxtaposición de grafos, que indica la conjunción, permite situarlos en distintos lugares de la hoja.

Las letras predicativas representan predicados lógicos que pueden ser monarios, binarios, ternarios, etcétera. Un predicado monario como “… es humano” solo requiere un objeto o valor argumental 22 para constituir una proposición; por ejemplo, el valor argumental “Sócrates” añadido a la expresión predicativa “… es humano” forma la proposición “Sócrates es humano”. Un predicado binario como “… fue discípulo de…” requiere dos valores argumentales como “Platón” y “Sócrates” para formar la proposición verdadera “Platón fue discípulo de Sócrates”. Las variables de los términos sujeto y predicado que se utilizan en las proposiciones categóricas de la lógica tradicional pueden tratarse en la lógica moderna de predicados como predicados monarios, de ahí que en el sistema β sea factible representar y probar silogismos categóricos.

22 Por “valor argumental” se alude a los valores que puede tomar una función. En matemáticas, el 3 puede ser argumento de la función f(x) = x2 + 1 para dar como resultado f(3) = (3)2 + 1 = 10; en lógica, Gödel puede ser argumento de la función x fue un lógico para dar como resultado el enunciado verdadero Gödel fue un lógico No confundir este sentido de “argumento” con el sentido de conjunto de enunciados que expresan una inferencia.

La línea de identidad o línea de importación existencial es un trazo grueso adaptable a diversas formas que, al desembocar en una letra predicativa, la cuantifica de modo particular o existencial. Por ejemplo, si la letra predicativa

H

representa al predicado “…es humano”, entonces el grafo

H

representa la proposición existencial o particular “Algo es humano” o “Existen los humanos”.23 Como ya se dijo, tal línea puede adoptar formas diversas. Las cuatro formas siguientes de líneas de identidad, por ejemplo, pueden aparecer en grafos de este sistema:

Si la línea de identidad queda dentro del área de un recorte y sin tocar el borde de éste, entonces se niega tal línea; pero si toca al recorte, o sobresale, la línea es de mayor jerarquía y se lee primero. De esta manera, el grafo

H

se traduce como “No es cierto que algo es humano” o “No existen humanos”. 24 Y los grafos equivalentes

H y H

se interpretan como “Algo no es humano” o “Existen los no humanos”.25

Las proposiciones universales se expresan negando a las particulares que las contradicen. Por ejemplo, “Todos son humanos” se representaría con la proposición “No es cierto que algo (o alguien) no es humano”26 del modo siguiente: H

La misma línea de identidad puede terminar en más de un predicado, como en este grafo

H

S

donde, si H representa el mismo predicado “humano” y S el predicado “sabio”, se interpreta “Algún humano es sabio” o “Existen humanos que son sabios”; 27 es decir, el mismo individuo o individuos son a la vez humanos y sabios. En cambio, las mismas

23 En lógica clásica de primer orden o lógica simbólica de predicados (LSP) la proposición “Existen humanos” se representa con la fórmula ꓱxHx, que se parafrasea como “existe una entidad x, tal que x es humano”. La expresión ꓱx es un cuantificador existencial correspondiente en la paráfrasis a “existe una entidad x, tal que” y la expresión Hx es una función proposicional correspondiente a “ x es humano”.

24 En LSP, ¬ꓱxHx.

25 En LSP, ꓱx¬Hx.

26 En LSP, ¬ꓱx¬Hx.

27 En LSP, ꓱx(Hx Sx).

letras predicativas con líneas de identidad separadas pueden implicar que los predicados no se aplican necesariamente al mismo individuo. Tal ocurre en este caso

cuyo grafo se lee “Algo es humano y algo es sabio”.28

La proposición “Es falso que algún humano es sabio”29 equivale a “Ningún humano es sabio”, que se formaliza así:

La proposición particular negativa “Algún humano no es sabio”30 se escribiría de este modo:

Y la proposición universal afirmativa “Todo humano es sabio” 31 es la negación de la anterior:

De este modo, las cuatro proposiciones categóricas típicas del cuadrado moderno de oposición se formalizarían así:

Los grafos existenciales expresan con claridad las relaciones de contradictoriedad entre las cuatro proposiciones. Cada universal es la negación lógica de su respectiva proposición particular contradictoria y cada particular es la negación lógica de su respectiva universal contradictoria.

El sistema β también permite expresar proposiciones con predicados relacionales (binarios, ternarios, etcétera) y con la identidad. La proposición “Alguien aprecia

28 En LSP, ꓱxHx ꓱxSx.

29 En LSP, ¬ꓱx(Hx Sx).

30 En LSP, ꓱx(Hx ¬Sx).

31 En LSP, ¬ꓱx(Hx ¬Sx).

alguien”, donde aparece el predicado binario “… apreciar a…”, que por claridad didáctica no abreviaremos en el grafo, se representaría de este modo: aprecia a

Por su parte, un grafo que contuviera al predicado ternario “… estaba entre… y …” (como en la proposición “Un lápiz estaba entre un libro y un cuaderno”) puede expresarse así:

estaba entre

Una proposición más compleja como “Un estudiante joven ama a una compañera mexicana que es inteligente”32 puede anotarse así: compañera estudiante ama mexicana joven inteligente

Si se comparan la representación gráfica peirceana con la lingüística o simbólica de lógica de predicados, es fácil notar cuánto más intuitiva es la primera.

A partir de los siguientes ejemplos nuevamente se destacarán en gris los niveles impares y se dejarán en blanco los niveles pares.

Ejemplo

Grafo en β

L M

Proposición

Alguien es filósofo, lógico y macedónico.33

Alguien no es lógico y no es macedónico.34

Alguien no es lógico y macedónico.35

Alguien aprecia a alguien.36

32 En LSP, ꓱxꓱy(Ex Jx Axy Cy My Iy).

33 En LSP, ꓱx(Fx Lx Mx).

34 En LSP, ꓱx(¬Lx ¬Mx).

35 En LSP, ꓱx¬(Lx Mx).

36 En LSP, ꓱxꓱyAxy. Esta fórmula contiene el predicado binario Axy que significa “x aprecia a y”. La paráfrasis de la fórmula es “existen al menos una entidad x y una entidad y tales que x aprecia a y”.

Grafo en β Proposición

A

A

A

A

ANadie aprecia a nadie.37 (No es cierto que alguien aprecia a alguien).

Alguien no aprecia a nadie.38

Todos aprecian a alguien.39 (No es cierto que alguien no aprecia a nadie).

Alguien no es apreciado por nadie.40

Todos son apreciados.41 (No es cierto que alguien no es apreciado por nadie).

AA

AA

A

Alguien aprecia a todos.42

Nadie aprecia a todos.43 (No es cierto que alguien aprecia a todos).

Alguien se aprecia a sí mismo.44

Nadie se aprecia a sí mismo.45 (No es cierto que alguien se aprecia a sí mismo).

Todos son apreciados o nadie es apreciado.46

37 En LSP, ¬ꓱxꓱyAxy

38 En LSP, ꓱx¬ꓱyAxy

39 En LSP, ¬ꓱx¬ꓱyAxy.

40 En LSP, ꓱy¬ꓱxAxy

41 En LSP, ¬ꓱy¬ꓱxAxy

42 En LSP, ꓱx¬ꓱy¬Axy

43 En LSP, ¬ꓱx¬ꓱy¬Axy.

44 En LSP, ꓱxAxx.

45 En LSP, ¬ꓱxAxx.

46 En LSP, ¬ꓱy¬ꓱxAxy ¬ꓱx ꓱyAxy.

Grafo en β Proposición

Todos son filósofos y lógicos.47

Todos son filósofos y todos son lógicos.48

Si todos son filósofos y lógicos, entonces todos son filósofos y todos son lógicos.49

Notación lineal

Muchos grafos de β pueden expresarse en una notación lineal algo más compleja que la de α. Aquí también la yuxtaposición de grafos se expresa con una simple concatenación lineal y los recortes se representan con paréntesis. La línea de importación existenc ial se dibuja como guiones largos horizontales que en ocasiones habrán de rodear letras para expresar el alcance y la correferencialidad de la cuantificación existencial.

El grafo

se representaría linealmente de este modo:

A B.

Un grafo con recortes como

puede expresarse linealmente así:

A B

47 En LSP, ¬ꓱx¬(Fx Lx).

48 En LSP, ¬ꓱx¬Fx ¬ꓱx¬Lx

49 En LSP, ¬[¬ꓱx¬(Fx Lx) ¬(¬ꓱx¬Fx ¬ꓱx¬Lx)]

Otro grafo como

se representa de este modo: A B .

En las pruebas de argumentos que veremos más adelante se alternarán tanto la notación ordinaria de grafos en β como la lineal correspondiente.

12.2. Consistencia e implicación

Las reglas de inferencia del sistema β son las del sistema α más breves instrucciones añadidas a cada regla:

Regla 1. Borrado (en par)

Todo grafo o parte de una línea de identidad envueltos en un número par de recortes (incluyendo al cero como número par) pueden borrarse.

Regla 2. Inserción (en impar)

Cualquier grafo puede insertarse en un área envuelta en un número impar de recortes. Cualesquier dos líneas de identidad o porciones de líneas de identidad impar -envueltas pueden unirse.

Regla 3. Iteración

Todo grafo ya anotado puede iterarse en cualquier área que tenga un número igual o mayor de recortes que el grafo a iterar (siempre y cuando no sea un área del mismo grafo que se iterará). También son válidas las transformaciones indicadas por las cláusula s siguientes:

(a) A una línea de identidad puede añadirse otra línea de identidad adicional y con extremo libre (es decir, que no enganche en predicados ni en otras líneas de identidad). La línea añadida no puede intersecar o traspasar ningún recorte.

(b) Una línea de identidad con extremo suelto puede prolongarse de modo que el nuevo extremo quede en el mismo nivel o en un nivel más profundo.

(c) Pueden unirse un grafo iterado y una línea de identidad también iterada.

(d) Puede formarse un ciclo uniendo los extremos más internos de dos líneas de identidad iteradas.

Regla 4. Desiteración

Cualquier grafo, línea de identidad o parte de línea de identidad cuya ocurrencia pueda verse como resultado de una iteración puede borrarse.

Regla 5. Doble recorte

Puede introducirse o eliminarse un doble recorte alrededor de cualquier grafo o de otras áreas de la tabla de aserción. La introducción no debe producir intersecciones entre recortes. Los dobles recortes pueden intersecar líneas de identidad siempre y cuando sean los dos recortes introducidos o eliminados.

R6. Deformación

Cualquier expresión puede deformarse siempre y cuando las conexiones no se alteren.

Cuando una expresión del sistema β se obtiene de otra expresión aplicando una o varias reglas de inferencia del mismo sistema se dice que la primera expresión está implicada por la segunda.

La regla 1 de borrado permite inferencias como las siguientes. 1a) 1b 1c) 1d)

El grafo del inciso 1b (que equivale al de 1c) se obtuvo de borrar la porción de la línea de identidad que unía a –S con –P en el del inciso 1a. El del inciso 1d se obtuvo de borrar –S en el grafo del inciso 1b o en el del 1c.

Para derivar el grafo de 1f, se borró –M de 1e. Luego al grafo de 1f se le borró –P para inferir el de 1g 1f) 1h) 1i) 1j)

Del grafo de 1f que se reescribió arriba pudo derivarse el grafo de 1 h. Este equivale a los grafos 1i y 1j por las reglas de iteración/desiteración que veremos más adelante.

La regla 2 de inserción justifica las siguientes inferencias. 2a) 2b) 2c)

En el grafo de 2a las porciones de línea se encontraban impar-envueltas por lo que pudieron unirse para formar el grafo de 2b. En el área impar -envuelta de este último se insertó el grafo –M para derivar el grafo de 2c.

2d) 2e) 2f)

Las dos porciones de línea del grafo 2d estaban impar-envueltas (la que está dentro del recorte menor “toca” al recorte, por lo que cuenta como si su extremo terminara fuera de este recorte); por eso fue posible unirlas parar obtener el grafo de 2e. En el área imparenvuelta de este último se insertó –M para dar lugar al grafo de 2f.

2g) 2h) 2i)

En este ejemplo primero se insertó –P en el grafo de 2g para obtener el grafo del inciso 2h. Luego, las dos líneas de identidad impar-envueltas del grafo de este inciso se unieron para derivar el grafo de 2i.

La cláusula (a) de la regla 3 de iteración posibilita deducciones como las que siguen.

3a) 3b) 3c) 3d)

A la línea de identidad de –S se le añadió una porción de línea para obtener el grafo de 3b desde el de 3a, o el grafo de 3d desde el de 3c. Véase que la longitud no importa ni el nivel par/impar del área donde se realiza el añadido. 3e) 3f) 3g) 3h)

La cláusula (a) también permite añadir una porción de línea al grafo –S que no cruce el recorte de –P, que solo lo toque como en 3f o en 3h.

La cláusula (b) de la regla 3 permite las siguientes transformaciones.

3i) 3j)

Es posible prolongar la porción de línea añadida a la que unía a –S con –P, cruzando dos niveles como se ve desde 3i hasta 3j.

3k) 3l) 3m) 3n)

La regla 3 posibilita derivar el grafo de 3l desde el de 3k al iterar S P. Luego, por la cláusula (a) se puede adicionar una porción de línea nueva que, gracias a la cláusula (b), se prolonga cruzando un recorte, tal como se ve en el grafo 3m. La cláusula (c) permite unir el grafo S P originalmente iterado y la nueva línea iterada, como se muestra en 3n. 3o) 3p)

La cláusula (d) justifica el ciclo del grafo 3p surgido de las porciones de línea iteradas en el grafo 3o.

Mediante la regla 4 de desiteración es posible en general dar marcha atrás a las iteraciones efectuadas con la regla 3, o a los casos donde solo parezca que se realizó una iteración, similar al sistema α.

La regla 5 de doble recorte permite obtener cada expresión de la que se encuentra a su izquierda, o de la que se encuentra a su derecha.

5a) 5b) 5c)

Finalmente, la regla 6 de deformación permite que líneas de identidad como la siguiente puedan cambiar su forma sin cambiar las conexiones existentes.

En el sistema β también ocurre que un grafo es inconsistente si y solo si hay algún subgrafo y su negación en el mismo grafo –un grafo junto al recorte del mismo grafo–, o es posible derivar mediante las reglas de inferencia de β algún subgrafo y su negación en el mismo grafo. Un grafo es consistente si no es inconsistente. Un conjunto de enunciados cuya forma lógica relevante pueda expresarse en lógica de predicados es insatisfacible si y solo si puede representarse como un grafo inconsistente. En las deducciones que siguen se utilizará de nuevo la hoja de aserción.

Ejemplo

¿Es satisfacible este conjunto de enunciados?

Todos los científicos (C) son perspicaces (P) y creativos (R). Nadie que sea ordenado (O) es creativo (R). Algunos científicos (C) son ordenados (O).

El grafo implicado del sistema β es inconsistente, pues expresa un grafo C (R) y, en yuxtaposición, otro grafo que es su mismo recorte. Por ello el grafo original es inconsistente y el conjunto de enunciados es insatisfacible.

12.3. Prueba de validez

Prueba directa

Para probar la validez lógica de cada argumento en el sistema β se realiza lo siguiente:

1. Representar las premisas en la tabla de aserción.

2. Aplicar las reglas de inferencia a los grafos hasta llegar a la representación de la conclusión del argumento.

Al derivar el grafo de la conclusión se ha probado la validez del argumento.

En cada ejemplo se representa el proceso inferencial mediante los grafos y mediante la notación lineal de los mismos.

Ejemplo

Probar la validez de un argumento de una premisa.

Algo es S y P. Por lo tanto, algo es S

Premisas: S ––– P

Deducción:

1. S ––– P

2. S – – P R1 Borrado

3. S – R1 Borrado

Conclusión a inferir: S –

Primero se borró la porción de línea que une al grafo S – con el grafo – P por encontrarse par-envuelta; después se borró al grafo – P.

Ejemplo

Probar la validez de un argumento de dos premisas.

Todo S es P. Algo es S

Por lo tanto, algo es P

Premisas: S P S Conclusión a inferir: P

Deducción:

1. S P S

2. S P S R1 Borrado

3. S P S R4 Desiteración

4. P S R4 Desiteración

5. P R1 Borrado

6. P R5 Doble recorte

En esta prueba se borró la porción de línea par-envuelta que llegaba a – P, se disminuyó su longitud al desiterarla, luego se desiteró el grafo impar-envuelto – S y se borró el parenvuelto. Finalmente, se eliminó el doble recorte para derivar la conclusión.

Ejemplo

Probar la validez del silogismo barbara.

Todo M es P.

Todo S es M. Por lo tanto, todo S es P.

Premisas: M P S M Conclusión a inferir: S P

Deducción:

1. M P S M

2. M P S M M P

3. S M M P

4. S M M P

5. S M M P

6. S M M P

7. S M P

8. S M P

9. S M P

10. S P

R3 Iteración

R1 Borrado

R3a Iteración

R3b Iteración

R2 Inserción

R4 Desiteración

R6 Deformación

R5 Doble recorte

R1 Borrado

11. S P R6 Deformación

La prueba del silogismo barbara requiere al menos dos comentarios. Primero, se utilizó un patrón deductivo recurrente en la demostración mediante gráficos existenciales de silogismos categóricos: se busca conectar las líneas de identidad desde niveles externos hasta niveles más profundos mediante la aplicación de las reglas de iteración a (para prolongar una línea), de iteración b (para introducir el extremo libre de la nueva rama en el nivel o niveles más internos) y de inserción para establecer la conexión. A veces, en lugar de la regla de inserción se hará uso de la regla de iteración c que permite unir un grafo y una línea, ambos previamente iterados. Segundo, en esta prueba se utilizó la regla de deformación para cambiar la forma de la línea de identidad a una equivalente, pero más suave y clara en la visualización de su alcance y de los predicados que conecta.

Ejemplo

Demostrar por prueba directa el silogismo celarent

Ningún M es P

Todo S es M

Por lo tanto, ningún S es P

Premisas: M P S M Conclusión a inferir: S P

Deducción:

1. M P S M

2. M P S M M P R3 Iteración

3. S M M P R1 Borrado

4. S M M P R3a Iteración

5. S M M P R3b Iteración

6. S M M P R2 Inserción

7. S M P R4 Desiteración

8. S M P R6 Deformación

9. S P R1 Borrado

10. S P R6 Deformación

11. S P R5 Doble recorte

Aquí se recurrió a dos deformaciones para mejorar visualmente los grafos derivados.

Ejemplo

Demostrar la validez del silogismo darii

Todo M es P

Algún S es M

Por lo tanto, algún S es P.

Premisas: M P S M Conclusión a inferir: S P

Deducción:

1. M P S M

2. M P S M R1 Borrado

3. M P S S M R3 Iteración

4. M P S S M R3a Iteración

5. M P S S M R3c Iteración

6. M P S S M R1 Borrado

7. M P S S M R4 Desiteración

8. P S S M R4 Desiteración

9. P S S M R6 Deformación

9. P S R1 Borrado

10. P S R5 Doble recorte

Ejemplo

Demostrar la validez del silogismo ferio.

Ningún M es P.

Algún S es M.

Por lo tanto, algún S no es P.

Premisas: M P S M Conclusión a inferir: S P

Deducción:

1. M P S M

2. M P S M

4. M P S M

5. M P S M

6. P S M

7. P S

8. P S

R3a Iteración

R3b Iteración

R2 Inserción

R4 Desiteración

R1 Borrado

R6 Deformación

Ejemplo

Probar el silogismo cesare.

Ningún P es M. Todo S es M. Por lo tanto, ningún S es P.

Premisas: P M S M Conclusión a inferir: S P

Deducción:

1. P M S M

2. P M S M P M

3. S M P M

4. S M P M

5. S M P M

6. S M P M

7. S M P

8. S P

9. S P

10. S P

Ejemplo

R3 Iteración

R1 Borrado

R3a Iteración

R3b Iteración

R2 Inserción

R4 Desiteración

R1 Borrado

R5 Doble recorte

R6 Deformación

Demostrar la validez del silogismo camenes

Todo P es M

Ningún M es S

Por lo tanto, ningún S es P

Premisas: P M M S Conclusión a inferir: S P

Deducción:

1. P M M S

2. P M M S M S R3 Iteración

3. S M M S R1 Borrado

4. P M M S R3a Iteración

5. P M M S R3b Iteración

6. P M M S R2 Inserción

7. P M S R4 Desiteración

8. P S R1 Borrado

9. P S R5 Doble recorte

10. P S R6 Deformación

Para el resultado de esta prueba recuérdese que las proposiciones “Ningún P es S” y “Ningún S es P” son equivalentes.

Ejemplo

Demostrar la validez del silogismo dimaris.

Algún P es M. Todo M es S. Por lo tanto, algún S es P.

Premisas: P M M S Conclusión a inferir: S P

Deducción:

1. P M M S

2. P M M S R3a Iteración

3. S M M S R3b Iteración

4. P M M S R2 Inserción

5. P M S R4 Desiteración

6. P M S R5 Doble recorte

7. P S R1 Borrado

8. P S R6 Deformación

Veamos ahora la prueba de un teorema o tesis de la lógica de predicados.

Ejemplo

Demostrar el teorema de lógica de primer orden correspondiente a la regla de descenso cuantificacional

Si todo es A, entonces algo es A. 50

Tesis: A A

Deducción:

1. R5 Doble recorte

2. A

3. A A

4. A A

Prueba indirecta

R2 Inserción

R3 Iteración

R5 Doble recorte

Una prueba indirecta en β requiere lo ya visto:

1. Representar las premisas afirmadas y la conclusión negada.

2. Luego, si mediante la aplicación de las reglas de inferencia se llega a una contradicción, es decir, a la afirmación y negación del mismo grafo –un grafo yuxtapuesto a un recorte de él mismo–, entonces el argumento es válido.

Ejemplo

Demostrar de modo indirecto el silogismo camestres.

Todo P es M

Ningún S es M

Por tanto, ningún S es P

Premisas: P M S M S P

Conclusión a inferir: Una contradicción.

Deducción:

1. P M S M S P

2. P M S M S M S P R3 Iteración

3. P M S M S P R1 Borrado

4. P M S M S P R3a Iteración

5. P M S M S P R3b Iteración

6. P M S M S P R2 Inserción

7. P M S S P R4 Desiteración

8. P S S P R1 Borrado

9. P S S P R5 Doble recorte

10. P S S P R6 Deformación

La contradicción de grafos del final prueba que el camestres es válido.

Ejemplo

Probar de modo indirecto la tesis de primer orden de distribución del universal en la conjunción.

Teorema: Si todo es A y B, entonces todo es A y todo es B 51

Hay casos como éste donde no parece que la notación lineal exprese con simplicidad lo expresado en “Todo es A y B”; por lo que nos contentaremos con la prueba en notación gráfica.

12.4. Ejercicios

A. ¿Cuál de los enunciados siguientes está formalizado en el grafo del lado derecho? Solo uno es correcto.

51 ꓯx(Ax Bx)→ ꓯxAx ꓯxBx

a) Alguien no es valiente (V) ni fuerte (F), pero alguien es valiente (V).

b) Nadie es valiente (V) a menos que sea fuerte (F); y alguien es valiente (V).

c) O alguien es valiente (V) y todos son fuertes (F), o nadie es valiente (V).

d) Si alguien no es valiente (V) pero es fuerte (F), entonces alguien no es valiente (V).

e) O todos son valientes (V) y fuertes (F), o nadie es valiente (V) y fuerte (F).

F V

B. ¿Cuál de los enunciados siguientes habría quedado representado en la notación lineal del sistema β del lado derecho? Solo uno es correcto.

V F F V

a) Todos los valientes (V) son fuertes (F) pero no todos los fuertes (F) son valientes (V).

b) Algunos valientes (V) no son fuertes (F) y algunos fuertes (F) no son valientes (V).

c) No todos los fuertes (F) son valientes (V).

d) Algunos valientes (V) son fuertes (F) aunque algunos valientes (V) no son fuertes (F).

e) Es falso que ningún valiente (V) es fuerte (F) y es verdad que algunos valientes (V) son fuertes (F).

C. Formalizar en notación de grafos del sistema β de Peirce las siguientes proposiciones. Se sugieren entre paréntesis las letras a emplear para cada proposición simple.

1. Algunos vaqueros (V) son liberales (L).

2. Todos las liebres (L) son rápidas (R).

3. Algunos dinosaurios (D) vivieron en el Cretácico superior (V).

4. No todos los demócratas (D) son liberales (L).

5. Ningún rumiante (R) es ovíparo (O).

6. O todos son poetas (P) o nadie es poeta (P).

7. Algunos son honestos (H) y otros no lo son (H).

8. Nadie que coma pescado (P) puede decirse vegano (V).

9. Algunos intelectuales (I) orgánicos (O) son mercenarios de las ideas (M).

10. Si no todos los escépticos (E) son cientificistas ( C), entonces hay escépticos (E) que no son cientificistas ( C).

D. Expresar en notación lineal las proposiciones del ejercicio C anterior.

E. Señalar cuál de los grafos siguientes implica a cuál otro (distinto de sí mismo).

V
i) j) k) l)
m) n) o) p)

F. Solo tres de los siguientes grafos son inconsistentes. Identificarlos.

G. Dos de los siguientes conjuntos de enunciados son insatisfacibles o inconsistentes. Identificar mediante el sistema β de los grafos existenciales de Peirce cuáles son esos tres conjuntos insatisfacibles. Elegir libremente las letras que representen a cada predicado.

a) Nadie es perfecto. Todos son imperfectos.

b) O todos los socialistas son revolucionarios o solo algunos socialistas son revolucionarios.

c) Nadie que sea republicano acepta la concentración del poder y quien no acepta la concentración de poder es políticamente prudente. Hay republicanos que no son políticamente prudentes.

d) Ni todos son sabios, ni nadie es sabio. Solo algunos son sabios.

e) O algunos ciudadanos tomarán las decisiones correctas o ningún ciudadano tomará las decisiones correctas. Es falso que ningún ciudadano tomará las

decisiones correctas, pero también es falso que algunos ciudadanos tomarán las decisiones correctas.

H. Probar de modo directo la validez de los siguientes argumentos mediante los grafos del sistema β de Peirce. Escribir también las deducciones en notación lineal.

1. Ningún perito judicial es infalible. Y varios criminólogos son peritos judiciales. Por lo tanto, varios criminólogos no son infalibles.

2. Algunos trabajadores de la industria son personas de gran optimismo. Ningún trabajador de la industria es un no asalariado. Por lo tanto, algunos asalariados son personas de gran optimismo.

3. Los conceptos físicos expresados con derivadas se refieren a razones instantáneas de cambio. Muchas velocidades son conceptos físicos expresados con derivadas. Luego, muchas velocidades se refieren a razones instantáneas de cambio.

4. Ninguna botana producida industrialmente es un alimento nutritivo, porque ninguna botana producida industrialmente es un producto natural y solo los productos naturales son alimentos nutritivos.

5. Todos son poetas y todos son narradores. Por ello, todos son poetas y narradores.

6. Todas las frutas son cosas perecederas, porque ninguna fruta es inmutable y ninguna cosa mutable es imperecedera.

7. Los eticistas también apelaron al principio de que es incorrecto matar a una persona para salvar a otra. Dijeron que tomar los órganos de Theresa equivaldría a matarla para salvar a otros; de modo que tomar sus órganos sería incorrecto. - James Rachels, Introducción a la filosofía moral

8. Los periodistas son comunicadores. Varios periodistas son sobornables. De ahí que varios comunicadores son sobornables.

9. Las bailarinas de ballet son personas con alto desarrollo psicomotriz, puesto que las bailarinas de ballet son hábiles y las personas hábiles son personas con alto desarrollo psicomotriz.

10. Si las cosas manifiestas (P), en cuanto que son manifiestas, no tienen necesidad de explicación (M), y en cambio los signos (S), en cuanto que son signos, tienen necesidad de explicación (M), los signos (S) no son manifiestos (P) - Sexto Empírico, Contra los dogmáticos

I. Probar de modo indirecto la validez de los argumentos del ejercicio H anterior mediante los grafos del sistema β de Peirce.

Capítulo 13

Diagramas de Smyth

Los diagramas de Smyth son grafos que representan conjuntos de proposiciones categóricas y las relaciones de inclusión o exclusión totales o parciales entre sus términos mediante vértices, arcos dirigidos y arcos interrumpidos.

Los términos no deben ser vacíos, negativos o complejos, y deben denotar entidades que formen un conjunto cuasiordenado sin el cero.

Se trata de un sistema correcto, completo y poseedor de free-rides

13.1. Lenguaje diagramático

El lenguaje de los diagramas de Smyth contiene lo siguiente:

1. Vértices o nodos. Puntos que representan los términos en el grafo.

2. Letras de términos. Letras minúsculas que nombran a los vértices.

3. Arcos o aristas. Líneas que representan relaciones de descendencia y de interrupción entre los vértices.

Cada proposición categórica típica se representará mediante un arco que une a dos vértices o nodos según lo expresa el siguiente cuadro.

Enunciado Formalización diagramática

Todo S es P

Ningún S es P

Algún S es P

Algún S no es P

p s

p x p s x p s

La proposición tipo A (“Todo S es P”) se representa con los nodos o vértices de s y de p unidos por un arco o vértice dirigido del vértice p al vértice s; la dirección se expresa con la punta de flecha “ ” en el arco dirigida de p a s. La proposición E (“Ningún S es P”) se representa con un arco interrumpido entre los vértices p y s. La proposición I (“Algún S es P”) queda expresada al introducir un nuevo vértice x entre s y p con arcos que van de s a x y de p a x. La proposición O (“Algún S no es P”) se representa con un vértice x entre s y p, un arco dirigido de s a x y un arco interrumpido entre p y x. Diremos que un vértice a es descendiente de un vértice b si hay una progresión de arcos dirigidos que vayan de b a a; puede escribirse el vértice descendiente ligeramente debajo y a un lado del vértice del que desciende, aunque esto no es necesario. Así, de los grafos que siguen, en el grafo izquierdo el vértice a es descendiente de b, pero en el grafo derecho a no es descendiente de b.

Todo vértice es descendiente de sí mismo, lo que eventualmente puede expresarse con un lazo que saldría de cada vértice y volvería al mismo vértice. Por claridad visual puede prescindirse de escribir los lazos.

Dos vértices a y b están mutuamente excluidos si descienden respectivamente de vértices c y d que están unidos por un arco interrumpido. De los grafos siguientes, en el izquierdo a y b están mutuamente excluidos, pero como en el grafo derecho b no desciende de d, no puede afirmarse que a y b estén mutuamente excluidos.

Como todo grafo desciende de sí mismo, también en los dos grafos siguientes los vértices a y b están mutuamente excluidos.

13.2. Consistencia e implicación

Un grafo consistente es aquel donde ningún término está excluido de sí mismo. En un grafo consistente ningún par de vértices unidos por un arco interrumpido tienen descendiente común. En el grafo inconsistente siguiente el vértice x está excluido de sí mismo porque desciende de los nodos a y b que están unidos entre sí por un arco interrumpido.

El grafo que sigue también es inconsistente. Nótese que x desciende de b , pues hay una progresión de arcos dirigidos desde b hasta x; y x también desciende de sí mismo. Es decir, x desciende de dos vértices (el vértice b y el mismo vértice x) que están unidos por

un arco interrumpido. De ahí se sigue que x esté excluido de sí mismo y el grafo sea inconsistente.

Es posible extraer proposiciones de grafos consistentes que están representadas en ellos. En general, si en un grafo consistente ocurre que:

1. a es descendiente de b, entonces se infiere que “Todo a es b”.

2. a y b están mutuamente excluidos, entonces se infiere “Ningún a es b”.

3. a y b tienen un descendiente común, entonces se infiere “Algún a es b”.

4. a tiene un descendiente que está excluido de b, entonces se infiere “Algún a no es b”.

Las conclusiones que pueden extraerse de un grafo que represente premisas son justamente las consecuencias de esas premisas.

Ejemplo

Formalizar las proposiciones siguientes en un diagrama de Smyth y extraer sus consecuencias. Por simplicidad, no se anotarán los lazos de los vértices.

“Todo a es b”.

“Todo b es c”.

“Ningún c es d”.

La primera proposición “Todo a es b” se formalizaría diagramáticamente así

La segunda proposición “Todo b es c” se representaría de este modo

Se escriben juntas las proposiciones en el grafo y, para facilitar la percepción visual de nodos descendientes, se anotará inclinado desde los nodos ascendientes hacia los descendientes.

La tercera proposición “Ningún c es d” se representa del siguiente modo

Al unir las tres proposiciones el grafo completo queda así

Es dable extraer por simple inspección las consecuencias “Todo a es c” (porque el vértice a es descendiente del vértice c), “Ningún a es d” (porque a yd descienden respectivamente de los vértices c y d que están unidos por un arco interrumpido) y “Ningún b es d” (por similares razones a las anteriores). Como todo vértice es descendiente de sí mismo, son además consecuencias triviales “Todo a es a”, “Todo b es b”, “Todo c es c” y “Todo d es d”. Las proposiciones de las premisas son otras consecuencias triviales del grafo.

13.3. Prueba de validez

Prueba directa

Para demostrar la validez de un silogismo mediante diagramas de Smyth se hace lo siguiente:

1. Representar las premisas del silogismo en un mismo grafo.

2. Verificar el free-ride, es decir, si la conclusión del silogismo puede extraerse como una consecuencia del grafo.

Ejemplo

Demostrar con diagramas de Smyth la validez de un AAA-1, barbara

La forma de un barbara es:

Su diagrama resulta:

Todo M es P. Todo S es M. Luego, todo S es P.

Se ve claramente que de la verdad de las premisas se sigue la verdad de la conclusión; es decir, como s desciende de m, y m desciende de p, entonces s desciende de p

Ejemplo

Probar la validez de un EAE-1, celarent

Su diagrama es:

Ningún M es P.

Todo S es M. Luego, ningún S es P.

Véase que s y p están mutuamente excluidos descender de vértices unidos por un arco interrumpido entre ellos. Por eso es verdad que “ningún S es P”.

Ejemplo

Demostrar un silogismo AII-1, darii.

Todo M es P.

Algún S es M. Luego, algún S es P.

Su diagrama es:

Los nodos s y p tienen como descendiente común a x, por eso “Algún S es P”.

Ejemplo

Probar la validez de un silogismo EIO-1, ferio

Ningún M es P

Algún S es M. Luego, algún S no es P

Su diagrama es:

Como s tiene un descendiente x que está excluido de p (por descender x y p de vértices unidos por un arco interrumpido), entonces se sigue la proposición “Algún S no es P”.

Ejemplo

Demostrar un silogismo AOO-2, baroco.

Todo P es M.

Su diagrama es:

Algún S no es M. Luego, algún S no es P.

El vértice s tiene un descendiente x que está excluido de p, por eso “algún S no es P”.

Ejemplo

Probar la invalidez de un silogismo IIA-1.

Algún M es P.

Algún S es M. Luego, todo S es P

Su diagrama es:

El vértice s no desciende del vértice p, así que no podemos concluir que “Todo S es P” y el silogismo es inválido.

Prueba indirecta

El procedimiento de prueba indirecta se realiza del modo siguiente:

1. Representar en un grafo las premisas del silogismo.

2. Añadir al grafo la proposición que niega la conclusión del silogismo.

3. Verificar si el grafo es consistente o inconsistente. Si es inconsistente, el argumento es válido; si es consistente, el argumento no es válido.

Ejemplo

Probar de modo indirecto la validez de un silogismo AII-3, datisi

Todo M es P

Algún M es S Luego, algún S es P

El diagrama de sus premisas con la negación de su conclusión (“Ningún S es P”) es:

El diagrama es inconsistente y, por tanto, se ha probado la validez del silogismo.

Ejemplo

Probar la validez de un silogismo IAI-4, dimaris de modo indirecto.

Algún P es M.

Todo M es S. Luego, algún S es P.

El diagrama de sus premisas con la negación de su conclusión es:

Tenemos un diagrama inconsistente que prueba la validez del silogismo.

Ejemplo

Demostrar de modo indirecto la invalidez de un silogismo AEA-1.

Algún P es M

Todo M es S Luego, algún S es P

El diagrama de sus premisas con la negación de su conclusión es:

El diagrama es consistente y, por tanto, el silogismo es inválido.

13.4. Ejercicios

A. Indicar cuál de los siguientes enunciados categóricos corresponde al diagrama de Smyth de la derecha.

a) Todos los lógicos (S) son veganos (P).

b) Ningún lógico (S) es vegano (P).

c) Algún lógico (S) es vegano (P).

d) Algún lógico (S) no es vegano (P).

x p s

B. Señalar cuáles parejas de enunciados categóricos corresponden al diagrama de Smyth siguiente.

a) Todos los socialistas (S) son marxistas (M). Todos los marxistas (M) son pensantes (P).

b) Ningún socialista (S) es marxista (M). Algunos marxistas (M) son pensadores (P).

c) Algunos marxistas (M) no son pensadores (P). Algunos socialistas (S) son marxistas (M).

d) Algunos marxistas (M) no son pensadores ( P). Ningún marxista (M) es socialista (S).

C. Señalar cuáles ternas de enunciados categóricos corresponden al siguiente diagrama de Smyth. A cada letra de término en los enunciados corresponde la misma letra, pero en minúscula, en el grafo.

a) Algunos C son D. Todo A es B. Algún B es C.

b) Algunos A son B. Algunos D son C. Ningún B es C

c) Ningún A es B. Ningún C es D. Algún B es C.

d) Todo A es B. Todo B es C. Algún C es D.

D. Expresar cuál de los diagramas de Smyth de las opciones expresaría el enunciado que es una de las consecuencias del grafo siguiente.

E. Señala cuál o cuáles de los siguientes diagramas de Smyth es o son inconsistentes.

F. Señalar cuáles de los siguientes diagramas de Smyth implican “Todo a es b”, cuáles “Ningún a es b”, cuáles “Algún a es b” y cuáles “Algún a no es b”.

G. Demostrar la validez o invalidez de los siguientes argumentos silogísticos mediante la prueba directa por el sistema de diagramas de Smyth. En la mayoría de estos argumentos se sugieren letras para representar los términos menor, medio y mayor.

1. Varios artistas (P) son soberbios (M). Algunos poetas (S) no son soberbios (M). Por tanto, algunos poetas (S) no son artistas (P).

2. Ningún perito judicial (M) es infalible (P). Y varios criminólogos (S) son peritos judiciales (M). Por lo tanto, varios criminólogos (S) no son infalibles (P).

3. Algunos trabajadores de la industria (M) son personas de gran optimismo (P). Ningún trabajador de la industria (M) es un no asalariado (S). Por lo tanto, algunos asalariados (S) son personas de gran optimismo (P).

4. Los conceptos físicos expresados con derivadas (M) se refieren a razones instantáneas de cambio (P). Muchas velocidades (S) son conceptos físicos expresados con derivadas (M). Luego, muchas velocidades (S) se refieren a razones instantáneas de cambio (P).

5. Los perros pastor alemán (S) son animales obedientes ( M). Ningún animal obediente (M) causa problemas a sus dueños (P). Luego, ningún perro pastor alemán (S) causa problemas a sus dueños (P).

6. Los liberales (S) no son socialistas leninistas (M). Los socialdemócratas ( P) no son socialistas leninistas (M). Luego, los liberales (S) no son socialdemócratas (P).

7. Varios pueblos antiguos ( S) poseían culturas ágrafas (M). Algunas de las culturas ágrafas (M) desaparecieron sin dejar vestigios de su existencia (P). Por tanto, varios pueblos antiguos (S) desaparecieron sin dejar vestigios de su existencia (P).

8. Algunos migrantes (P) huyen de la pobreza y la violencia (M). Los que huyen de la pobreza y la violencia (M) merecen ser ayudados (S). Por ello, algunos que merecen ser ayudados (S) son migrantes (P).

9. Ningún neurótico obsesivo-compulsivo (S) es generoso con su dinero (M). Las personas generosas con su dinero (M) no son ordenadas con sus finanzas ( P). Por consiguiente, los neuróticos obsesivo-compulsivos (S) son ordenados con sus finanzas (P).

10. Si las cosas manifiestas ( P), en cuanto que son manifiestas, no tienen necesidad de explicación (M), y en cambio los signos (S), en cuanto que son signos, tienen necesidad de explicación (M), los signos (S) no son manifiestos (P) - Sexto Empírico, Contra los dogmáticos

H. Demostrar la validez o invalidez de los argumentos silogísticos anteriores mediante el método de prueba indirecta por el sistema de diagramas de Smyth.

Capítulo 14

Diagramas de Englebretsen

El sistema de George Englebretsen utiliza diagramas lineales para representar y probar argumentos formados por proposiciones categóricas, singulares, relacionales o compuestas, que no contengan términos vacíos. Este sistema busca dar continuidad , en una versión diagramática, al proyecto aristotélico-leibniziano de desarrollar una lógica de términos frente a la lógica estándar de funciones y argumentos.

Se trata de diagramas poseedores de free-rides, y que son correctos y completos para los silogismos categóricos tradicionales.

14.1. Lenguaje diagramático

El lenguaje de los diagramas de Englebretsen utiliza lo siguiente:

1. Líneas rectas. Representan la extensión o conjunto de individuos de un término.

2. Puntos-viñeta. Representan términos de individuo.

Similar a Leibniz, en lugar de representar los términos de una proposición como un conjunto de puntos en una región de un diagrama, Englebretsen los representa como los puntos de un segmento rectilíneo. De este modo, un término como S se representaría con una recta con la etiqueta del término a su derecha:

S no S

El complemento o negación de S se expresaría también con un segmento de recta

Como un término y su complemento carecen de elementos comunes, sus respectivas rectas carecerán de puntos en común, lo que implica que serán rectas paralelas:

no S S

Esta pareja de rectas representaría la verdad lógica de que ningún S es no S (lo que equivale al principio clásico de identidad “Todo S es S”).

Un término singular, digamos Sócrates, se representaría con un punto, que es un caso límite de línea, una línea-punto:

Sócrates F s

La proposición singular “Sócrates (s) es filósofo (F)” se indicaría con el punto del término singular a la izquierda sobre la recta del término general:

Las proposiciones categóricas admiten representaciones diagramáticas sencillas y representaciones completas (full diagrams). Los diagramas sencillos o minimizados son los que señala este cuadro:

Enunciado

Todo S es P

Formalización diagramática

Ningún S es P

Algún S es P

Algún S no es P

En la proposición tipo A se considera que los puntos del segmento S están contenidos en los puntos del segmento P. En la tipo E tenemos dos alternativas de representación: o los segmentos de S y P son paralelos y, por tanto, no se intersecan en ningún punto, o los puntos del segmento S están contenidos en el segmento de no P. En la tipo I vemos una intersección de los segmentos de S y de P, donde al menos un punto del segmento S lo es del segmento P. La proposición tipo O puede expresarse de dos modos, con una líneapunto de S fuera del segmento P, o con el segmento S intersecando al segmento de no P

Las equivalencias obtenibles por obversión, conversión simple y contraposición simple quedan expresadas con los diagramas completos de las proposiciones categóricas. Estos llevan dos parejas de rectas paralelas y expresan el principio de no contradicción. El diagrama completo de una proposición categórica tipo A (“Todo S es P”) sería

Como puede verse, este diagrama completo expresa proposiciones equivalentes a “Todo S es P” como “Todo no P es no S”, “Ningún S es no P”, “Ningún no P es S”, “Ningún no S es P” o “Ningún P es no S”, y verdades lógicas como “Ningún S es no S”, “Ningún no S es S”, “Ningún P es no P” y “Ningún no P es P”.

El diagrama completo de una proposición tipo E sería

Véase que representa proposiciones equivalentes a “Ningún S es P” como “Ningún P es S”, “Todo S es no P” o “Todo P es no S” y las verdades lógicas ya mencionadas en el diagrama completo de la proposición A

El diagrama completo de una proposición tipo I se formaliza así:

y expresa proposiciones equivalentes a “Algún S es P” como “Algún P es S”, “Algún S no es no P” y “Algún P no es no S”, así como las verdades lógicas ya señaladas antes.

La proposición tipo O tiene como diagrama completo a este:

En este diagrama se representan proposiciones equivalentes a “Algún S no es P” como “Algún S es no P”, “Algún no P es S” o “Algún no P no es no S” y las verdades lógicas de las tres representaciones completas anteriores.

Aunque la claridad y expresividad de los diagramas completos es innegable, los diagramas sencillos o minimizados de las proposiciones categóricas suelen bastar para la realización de diversas demostraciones, como veremos a continuación.

14.2. Superposición y contención

La superposición de diagramas lineales de Englebretsen sigue estas reglas:

1. La superposición de dos diagramas da lugar a un diagrama resultante cuyas rectas son la suma lógica o unión de las rectas de los diagramas superpuestos.

2. La superposición de dos diagramas da lugar a un diagrama resultante cuyos puntos-viñeta son la suma lógica de los puntos-viñeta de los diagramas superpuestos.

El diagrama resultante requerirá con frecuencia ajustar la longitud y ubicación de las rectas y de los puntos-viñeta para transparentar las relaciones lógicas entre las clases designadas por los términos.

Ejemplo

En cada renglón la superposición del primer y segundo diagramas da lugar a los diagramas resultantes del lado derecho.

En los tres renglones el diagrama resultante contiene a los diagramas superpuestos como partes de él, con leves cambios como la disminución de la longitud de algunas rectas. Cada diagrama resultante contiene al diagrama de una tercera proposición categórica, que sería la conclusión obtenida de combinar las dos proposiciones de los diagramas superpuestos como premisas de un silogismo. Diremos que un diagrama D contiene a un diagrama E si y solo si:

a) todas las rectas de E son rectas de D, b) todos los puntos-viñeta de son puntos-viñeta de D.

14.3. Prueba de validez

Las pruebas de argumentos con esta técnica diagramática llevan estos dos pasos:

1. Formalizar juntas las premisas superponiendo sus diagramas.

2. Verificar el free-ride, que el diagrama de la conclusión haya quedado representado en el diagrama resultante de superponer las premisas.

Ejemplo

Demostrar con el sistema de diagramas de Englebretsen la validez de un silogismo AAA-1, barbara

Todo M es P

Todo S es M

Luego, todo S es P

La premisa mayor “Todo M es P” se expresaría diagramáticamente así

A este diagrama se añade la premisa menor “Todo S es M”, lo que queda del siguiente modo:

S P M

De este diagrama puede leerse ya expresada la conclusión “Todo S es P”, pues los puntos del segmento de S quedaron dentro del segmento de P. Así hemos probado la validez del silogismo.

Como los términos del sistema de Englebretsen no deben ser vacíos, el diagrama anterior también serviría para probar la validez de un AAI-1, barbari, pues si el enunciado “Todo S es P” es verdadero y S no es un término vacío, entonces también es verdad que “Algún S es P”. P M

Ejemplo

Probar la validez de un silogismo EAE-1, celarent.

Ningún M es P.

Todo S es M. Luego, ningún S es P.

El diagrama de la superposición de las premisas muestra también la conclusión (“Ningún S es P”), con lo que se prueba su validez.

Como las proposiciones negativas cuentan con dos diagramas minimizados posibles, el siguiente diagrama también habría probado la validez del silogismo.

Ejemplo

Probar la validez de un silogismo AII-1, darii

Todo M es P

Algún S es M. Luego, algún S es P.

Al superponer los diagramas de las premisas ha quedado ya representada la conclusión y probada la validez del silogismo.

Ejemplo

Probar la validez de un silogismo EIO-1, ferio.

Ningún M es P. Algún S es M Luego, algún S no es P

Cualquiera de sus dos posibles diagramas con las premisas superpuestas contiene la conclusión y prueba la validez del silogismo.

Ejemplo

Probar la invalidez de un silogismo AEI-2.

Todo P es M

Ningún S es M.

Luego, algún S es P.

En ninguno de los dos diagramas posibles de las premisas quedó representada la conclusión, por eso es inválido.

Entimemas

no M

Es posible inferir la premisa implícita en silogismos entimemáticos con este procedimiento:

1. Representar el diagrama de la premisa explícita junto al diagrama de la proposición contradictoria de la conclusión.

2. Inferir de ese diagrama una proposición que será la contradictoria de la premisa implícita.

Ejemplo

Obtener la premisa faltante de un entimema donde la premisa y la conclusión enunciadas son, respectivamente, “Ningún P es M” y “Algún S no es P”.

Hagamos el diagrama que represente a la premisa explícita y a la negación lógica de la conclusión, que sería “Todo S es P”.

De ese diagrama puede inferirse “Ningún S es M”, que es la negación lógica de la premisa faltante “Algún S es M”.

Sorites

Los diagramas lineales de Englebretsen tienen la ventaja sobre los regionales que permiten representar cadenas de silogismos y sorites de más de cuatro términos sin perder claridad.

Ejemplo

Probar la validez del siguiente sorites

Todo A es B

Todo B es C

Ningún C es D

Algún D es E

Por lo tanto, algún E no es A

Véase que el diagrama de las premisas ya contiene a la conclusión.

Igualdades

Diversos argumentos que incluyen enunciados de identidad entre términos pueden tratarse con este sistema. Considérese que un enunciado como “A es (igual a) B” podría representarse con un punto para el término A a la derecha de la línea recta de B, y si esa línea es la línea-punto de un término, entonces el mismo punto puede servir para expresar la identidad de A y B:

Ejemplo

Probar la validez del siguiente argumento.

Todos los atenienses (T) son griegos (G).

Platón (P) es ateniense (T).

Platón (P) es Aristocles (A).

Por lo tanto, Aristocles (A) es griego (G).

Relaciones

Por medio de este tipo de diagramas a menudo es factible trabajar con argumentos que incluyen expresiones relacionales. Consideremos las proposiciones

Gödel era austriaco.

Gödel era amigo de Einstein.

Las expresiones “austriaco” y “amigo de Einstein” pueden tratarse como términos, el término que nombra a la clase de los austriacos y el que nombra a la clase de los amigos de Einstein. Ser austriaco y ser amigo de Einstein serían atributos o propiedades de Gödel. Ahora bien, la expresión “era amigo de” puede tratarse también como si afirmara en la proposición donde aparece una relación entre Gödel y Einstein, de manera que la proposición “Gödel era amigo de Einstein” sería verdadera y la proposición “Gö del era amigo de Hitler” sería falsa. Tanto Gödel como Einstein y Hitler serían objetos o relata posibles de la relación “…era amigo de…”. Los diagramas de Englebretsen permiten tratar a este tipo de expresiones como términos simples o como términos de relaciones, según convenga.

La proposición “Romeo ama a Julieta” puede interpretarse como si afirmara que Romeo está entre los seres que aman a Julieta. Representemos a estos seres u objetos que aman a Julieta con una línea etiquetada como “ama a Julieta”.

Romeo es uno de los que aman a Julieta, por eso lo anotamos a la izquierda de la línea, tal como hicimos en las proposiciones singulares.

ama a Julieta Romeo ama a Julieta

La proposición “Alguna persona ama a Julieta” (cuya conversa sería “Alguien que ama a Julieta es una persona”) se representaría como una tipo I

ama a Julieta persona

Hasta aquí hemos tratado la expresión “ama a Julieta” como un término simple. Pero a veces nos encontramos con inferencias donde se requiere separar alguno de los constituyentes de una relación para tratarlo de modo independiente. Eso pasaría con un argumento que dijera “Alguien ama a Julieta. Pero Julieta es una Capuleto. Por lo tanto, alguien ama a una Capuleto”. La primera premisa se representa como acabamos de ver

ama a Julieta persona

Pero la segunda premisa exige que tratemos al término relativo “amar a” y al término objetual “Julieta” por separado para poder representar la idea de que Julieta es una Capuleto. Representemos a los términos relativos con flechas que conecten a sus relata, u objetos de la relación, e indiquen la dirección de la relación. En este caso, la flecha conectaría a los que aman a Julieta con Julieta.

ama a Julieta ama a Julieta persona

Vemos que cualquier objeto de la clase de los amadores de Julieta es alguien que ama a Julieta. Al haber representado separadamente los términos “ama a” y “Julieta” ya estamos en posición de diagramar que “Julieta es una Capuleto”.

ama a Julieta persona

Capuleto ama a Julieta

Es clara en el diagrama la conclusión “Alguien ama a una Capuleto”. Si r es un término relacional, puede afirmarse la siguiente verdad lógica: Lo que se relaciona (r) con algún/todo X, se relaciona (r) con algún/todo X, es decir,

r con algún X X r

r con todo X X r

De este modo podemos representar con un diagrama completo la proposición “Romeo ama a Julieta”

Romeo ama a Julieta

ama a

Julieta

O también representarla con diagramas simplificados como estos tres

Romeo

Romeo

ama a Julieta

Julieta

ama a a R J

Se puede entender que los diagramas con flechas representan al leerse en dirección contraria la relación conversa a la de la indicada en la flecha. Así, también queda expresada en los diagramas con flechas anteriores la proposición “Julieta es amada por Romeo”.

Hay diagramas simplificados que pueden resultar muy intuitivos. Nuevamente, si r es un término relacional, los siguientes cuatro diagramas expresan de izquierda a derecha las proposiciones respectivas “Algún A se relaciona (r) con algún B”, “Algún A se relaciona (r) con todo B” “Todo A se relaciona ( r) con algún B” y “Todo A se relaciona (r) con todo B”.

El inicio y fin de cada flecha indica la cuantificación de los objetos de la relación, es decir, si se alude a “todos”, cuando se parte de o se llega al final de la línea de un término, o de “algún”, cuando no se parte de o no se llega al final de la línea de un término.

Hay inferencias que no requieren representaciones diagramáticas completas e inferencias que sí lo requieren. Esto último es frecuente en casos donde alguna premisa o la conclusión expresan alguno de los objetos relacionados como sujetos lógicos. Por ejemplo, la proposición “Algún filántropo regala libros” puede diagramarse simplificadamente tratando la expresión “regala libros” como un solo término si en la segunda premisa se afirma “Todo el que regala libros es generoso” de las que se infiere “Algún filántropo es generoso”:

Algún filántropo (F) regala libros (R). Algún filántropo (F) regala libros (R).

Todo el que regala libros (R) es generoso (G).

Luego, algún filántropo (F) es generoso (G).

Pero la misma proposición “Algún filántropo regala libros” debe diagramarse distinto si el relata “libros” figurara separado del término relacional “regala” en otra premisa que dijera “Todos los libros son tesoros” y de lo cual se deduciría “Algún filántropo regala tesoros”.

Algún filántropo (F) regala (r) libros (L).

Algún filántropo (F) regala (r) libros (L).

Todos los libros (L) son tesoros (T).

Luego, algún filántropo (F) regala (r) tesoros (T).

Puede ocurrir que deban combinarse las dos formas de diagramar las expresiones relacionales, como un solo término junto a alguno de sus relata, y como partes separadas en un diagrama completo. Consideremos la misma proposición “Algún filántropo regala libros” acompañada de las premisas “Todo el que regala libros es generoso” (que exige tratar al término relacional “regala” y al término objetual “libros” juntos, es decir, la

expresión “regala libros” como un solo término), “Todos los libros son tesoros” (que obliga a separar “libros” de “regala” por afirmar algo de los libros) y “Quien es generoso pierde libros” (que aprovecha que “libros” esté separado de “regala”), de lo que se sigue “Quien es generoso pierde tesoros”.

L r algunos L r

Algún filántropo regala libros.

La regla R

p G

L r algunos L r

Algún filántropo regala libros.

Todo el que regala libros es generoso.

Todos los libros son tesoros.

Quien es generoso pierde libros

Luego, quien es generoso pierde tesoros.

Englebretsen propone lo que llama “Regla R” para generalizar una consecuencia de cuatro formas de argumentos que incluyen las premisas “Todo X es Y” y una que asevera una relación de una clase S con la clase X. Esas cuatro formas son las siguientes:

Caso 1: Todo X es Y.

Algún S se relaciona (r) con algún X. Por lo tanto, algún S se relaciona (r) con algún Y.

Caso 2: Todo X es Y.

Algún S se relaciona (r) con todo X. Por lo tanto, algún S se relaciona (r) con algún Y.52

Caso 3: Todo X es Y.

Todo S se relaciona (r) con algún X. Por lo tanto, todo S se relaciona (r) con algún Y.

Caso 4: Todo X es Y

Todo S se relaciona (r) con todo X. Por lo tanto, todo S se relaciona (r) con algún Y.

Sus diagramas serían:

S X r con algún X r

1

Y S X r con todo X r

Caso 2

Los casos 2 y 4 solo son válidos en la lógica clásica de predicados si se añade la premisa implícita ya en el sistema de diagramas de Englebretsen de que existen los X, de que X no es una clase vacía, pues este sistema no admite clases vacías.

Caso

Y S X r con algún X r Y S X r con todo X r

Caso 3

Caso 4

Para estos cuatro casos, la Regla R expresa lo siguiente:

Regla R: Si todo X es Y, entonces cualquier objeto que se relacione ( r) con algún/todo X, se relaciona (r) con algún Y.

En lenguaje diagramático se expresaría así:

Regla R: r con algún Y Y X r con algún/todo X r

La regla R permite que al segmento superior del diagrama, donde se representa que algo se relaciona con todo o algún X, se le prolongue hasta formar un segmento donde se representa que ese algo se relaciona con algún Y, de manera que el primer segmento queda como una parte o subporción del segundo. Es decir, con la regla R y la afirmación de que “todo X es Y” ocurre que a este segmento superior

se le prolonga para obtener este otro

r con algún/todo X

r con algún/todo X

r con algún Y

En los casos siguientes la expresión relacional puede separarse en un término relacional y dos términos objetuales.

Ejemplo

Probar la validez del siguiente argumento.

El libro (L) está entre (e) un florero (F) y un cuaderno (C).

Los floreros (F) son adornos (A).

Las cuadernos (C) son útiles escolares (U). Por consiguiente, el libro (L) está entre (e) un adorno (A) y un útil escolar (U).

La segunda y tercera premisas obligan a separar los términos objetuales “florero” y “cuaderno” de la expresión relacional “estar entre”. Así se representan desde la primera premisa con sendas líneas correspondientes, y se expresa la relación “estar entre” con una flecha que pase por ambas líneas y tenga la etiqueta “e” de la misma relación junto a cada línea. Al añadir la segunda y la tercera premisas se prolonga la línea de cada término objetual, con lo que la conclusión puede leerse fácilmente.

El libro (L) está entre (e) un florero (F) El libro (L) está entre (e) un florero y un cuaderno (C). (F) y un cuaderno (C).

Los floreros (F) son adornos (A).

Las cuadernos (C) son útiles escolares (U).

Por consiguiente, el libro (L) está entre (e) un adorno (A) y un útil escolar (U).

En el siguiente ejemplo los términos objetuales corresponden a lo que en la gramática tradicional se reconocerían como objeto directo y objeto indirecto.

Ejemplo

Probar la validez argumento siguiente:

Algunos antropólogos (A) enseñaban (e) ideas frenológicas (I) a los forenses (F).

Los antropólogos (A) eran científicos (C).

Las ideas frenológicas (I) eran mentiras (M).

Los forenses (F) eran médicos (E).

Luego, algunos científicos (C) enseñaban (e) mentiras (M) a algunos médicos (E).

En este caso, además de separar el término relacional “enseñar a” de los términos objetuales “ideas frenológicas” y “forenses”, anotaremos en la flecha que representa la relación etiquetas separadas para el verbo “enseñar” –la e– y para la preposición “a” –la a–

Algunos antropólogos (A) enseñaban Algunos antropólogos (A) enseñaban (e) (e) ideas frenológicas (I) a (a) los (e) ideas frenológicas (I) a (a) los forenses (F). forenses (F).

Los antropólogos (A) eran científicos (C).

Las ideas frenológicas (I) eran mentiras (M).

Los forenses (F) eran médicos (E). Luego, algunos científicos (C) enseñaban (e) mentiras (M) a (a) algunos médicos (E).

En el ejemplo que sigue aparece la expresión relacional “admirar a algún escritor”, cuyo término objetual “escritor” debe tratarse por separado debido a la segunda premisa, y la expresión relacional “estimar a todos los clásicos” cuyas dos apariciones r equieren que se le trate como un solo término.

Ejemplo

Demostrar diagramáticamente el siguiente argumento.

Todos los lectores (L) admiran (a) a algún escritor (E).

Todos los escritores (E) estiman a todos los clásicos (e todo C).

Cualquiera que estime a todos los clásicos ( e todo C) tiene buen gusto (G).

Por lo tanto, todos los lectores ( L) admiran a (a) alguien que tiene buen gusto (G).

todo C E G

En el ejemplo que viene aparecen dos expresiones relacionales, “admirar a algún escritor” y “estimar a todos los clásicos”. Las características de las premisas exigen que en la representación de estas expresiones relacionales una (“admirar a algún escrit or”) debe expresarse separadamente de su término objetual y la otra (“estimar a todos los clásicos”) debe ser tanto separada de su término objetual como mantenerse unida a él en un solo término.

Ejemplo

Demostrar diagramáticamente el siguiente argumento.

Todos los lectores (L) admiran a (a) algún escritor (E).

Todos los escritores (E) estiman a todos los clásicos ( e todos C; también e y C separados).

Todos los clásicos (C) son arrogantes (A).

Cualquiera que estime a alguien arrogante es ingenuo ( I). Por lo tanto, todos los lectores admiran a alguien ingenuo.

Como el término objetual “escritor” de la expresión relacional “admiran a algún escritor” figura separado en la segunda premisa, se representa separadamente el término relacional “admiran a” y el término objetual “escritor” de la primera premisa “Todos los lectores admiran a algún escritor”.

Para añadir la segunda premisa “Todos los escritores estiman a todos los clásicos” primero se deben observar dos cosas: la misma segunda premisa requiere que la expresión relacional “estiman a todos los clásicos” aparezca unida para designar a la clase de los estimadores de todos los clásicos; y la tercera premisa presenta por

separado al término objetual “clásicos”, lo que implica que este debe aparecer también separado de la expresión relacional “estiman a”. Se anotan ambas cosas.

Se agrega la tercera premisa “Todos los clásicos (C) son arrogantes”.

La cuarta premisa “Cualquiera que estima a alguien arrogante es ingenuo” debería diagramarse por sí sola así

Pero no parece claro dónde anotar este diagrama en el contexto del diagrama global del argumento. Si se añadiera una línea para el término “ingenuo” luego del término “arrogante”, se expresaría que todo arrogante es ingenuo, lo cual no es información contenida en las premisas. Para conectar el diagrama de las primeras tres premisas con el de la cuarta premisa se requiere una representación de “Cualquiera que estima a todos los clásicos estima a alguien arrogante”. Para ello se utiliza ahora la regla R aplicada a la tercera premisa. Recuérdese que esta regla dice “ Si todo X es Y, entonces cualquier cosa que se relacione ( r) con algún/todo X, se relaciona (r) con algún Y.” La forma “todo X es Y” será “Todo clásico es arrogante”. De este modo, si todos los clásicos son arrogantes, entonces cualquiera que estime a algún/todo clásico, estima a alguien arrogante. Así, la regla R permite transformar un diagrama como este

en este otro

que se agrega al diagrama del argumento y resulta de este modo

E

alguien A A C e todo C

Ahora es factible añadir la cuarta premisa “Cualquiera que estima a alguien arrogante es ingenuo” y se obtiene el diagrama final donde puede leerse la conclusión intermedia “todo escritor estima a alguien arrogante” y la conclusión última del argumento “Todos los lectores admiran a alguien ingenuo”.

alguien A

Para representar una relación de clases de objetos sobre sí mismos pueden utilizarse flechas que se curven como los lazos de un grafo. Por ejemplo:

Algún barbero afeita a algún barbero. Todo barbero afeita a todo barbero.

Si se desea expresar que la relación se da entre los objetos hacia sí mismos, no hacia objetos cualesquiera de su propia clase, utilizaremos numerales romanos pequeños ( i, ii, iii, iv, etcétera) como etiquetas que funcionen como expresiones pronominales que posibiliten la repetición de la referencia al mismo objeto. Ejemplo:

B a B a i B a i B a

Algún barbero se afeita a sí mismo. Todo barbero se afeita a sí mismo.

Los siguientes ejemplos ilustran formas de aprovechar estos numerales como expresiones pronominales.

Ejemplo

Demostrar este argumento.

Una estudiante (E) es apreciada (a) por todos sus profesores (P). Ella (E) es inteligente (I).

Luego, algunos profesores (P) aprecian (a) a alguien que es inteligente (I).

Al representar la segunda premisa se añade el numeral i que indica que las expresiones “una estudiante” de la primera premisa y “ella” de la segunda premisa se refieren a la misma persona. La recta del término “inteligente” se coloca en diagonal y cruza el mismo punto de tal referencia.

Una estudiante (E) es apreciada (a) por Una estudiante (E) es apreciada (a) por todos los profesores (P). todos los profesores (P).

Ella (E) es inteligente (I).

Luego, algunos profesores ( P) aprecian (a) a alguien que es inteligente (I).

Ejemplo

Una científica (C) detesta (d) a un artista (A).

Él (A) la admira (a).

Luego, ella (C) detesta (d) a alguien que la admira (a).

Una científica (C) detesta (d) a un

Una científica (C) detesta (d) a un artista (A). artista (A).

Él (A) la admira (a).

Luego, ella (C) detesta (d) a alguien que la admira (a).

Véase que al añadir la segunda premisa se simplificó el diagrama que habría sido como el de abajo a la izquierda por el que se encuentra a su derecha:

Ejemplo

La prueba diagramática del argumento siguiente muestra a la conclusión contenida en las premisas.

Una científica (C) detesta (d) a todos los artistas (A).

Ellos (A) la admiran (a).

Luego, una científica (C) detesta (d) a alguien que la admira (a).

Consideremos un ejemplo donde conviene diagramar primero la segunda premisa, y para asegurar la referencia subsecuente en la conclusión al barbero aludido en la primera premisa se requiere el numeral i.

Ejemplo

Probar el siguiente argumento.

Algún barbero (B) afeita (a) a todos los hombres (H).

Todos los barberos (B) son hombres (H).

Luego, algún barbero (B) se afeita a sí mismo.

Todos los barberos (B) son Algún barbero (B) afeita (a) a todos los hombres (H). hombres (H).

Todos los barberos (B) son hombres (H). Luego, algún barbero (B) se afeita a sí mismo.

El diagrama

implica a este otro

Véase otro ejemplo que involucra productos relativos.

Ejemplo

Todos los ayudantes ( a) de algún vendedor de pseudomedicinas ( v alguna P) son ingenuos (I).

Todos mis vecinos (V) son ayudantes (a) de algún tendero (T).

Todos los tenderos (T) son vendedores de alguna pseudomedicina (v alguna P).

Luego, todos mis vecinos (V) son ingenuos (I).

Se formaliza la segunda premisa.

Se añade la tercera premisa que en este caso no requiere ser analizada en sus partes constitutivas.

Se aplica la regla R.

v alguna P

a algún v alguna P

v alguna P

Se agrega la primera premisa, y la conclusión puede leerse directamente.

Términos relacionales negativos

a algún v alguna P

v alguna P

Los términos relacionales pueden tener sus términos relacionales negativos, representables también con estos diagramas. Por ejemplo, el enunciado “A algunos niños no les gustan todos los videojuegos” admite al menos estas dos interpretaciones:

1. A algún niño les disgustan todos los videojuegos (es decir, a algún niño no le gusta ningún videojuego). Se diagramaría así

2. A algún niño no le gustan todos los videojuegos (es decir, algún niño no es de los que les gustan todos los videojuegos). El enunciado quedaría diagramado de esta forma, como una proposición categórica O

no le gusta les gustan todos los V

Pruébese el siguiente argumento que contiene términos relacionales negativos.

Ejemplo

Ningún demócrata (D) admiraba (a) a los nazis (N).

Hitler (H) era nazi (N).

Ingmar Bergman (I) admiraba a Hitler (H).

Por lo tanto, Ingmar Bergman (I) no era demócrata (D).

Se representa la segunda premisa:

Se agrega la primera premisa interpretada como “cada demócrata no admiraba a cada nazi”:

no admiraba

Y al añadir la tercera premisa puede leerse la conclusión:

no admiraba

Es correcto anotar el punto de Ingmar Bergman separado de la línea de los demócratas porque las líneas para “admiraba” y “no admiraba” son paralelas y contradictorias; por lo que si se anotara el punto de “Ingmar Bergman” en la línea de los demócratas, se tendrían premisas inconsistentes.

14.4.

Ejercicios

A. Indicar cuál de los siguientes enunciados categóricos corresponde al diagrama de la derecha.

a) Todos los griegos (G) son paganos (P).

b) Ningún griego (G) es pagano (P).

c) Algún griego (G) es pagano (P).

d) Algún griego (G) no es pagano (P).

B. Indicar cuál pareja de enunciados corresponde al diagrama siguiente.

a) Ningún anciano (A) es escritor (E). Ningún anciano (A) es sabio (S ).

b) Ningún anciano (A) es sabio (S). Todo escritor (E) es anciano (A).

c) Algún sabio (S) es escritor (E). Algún anciano (A) es escritor (E).

d) Todo escritor (E) es sabio (S). Algún anciano (A) es escritor (E).

C. Señalar cuál pareja de enunciados corresponde al diagrama siguiente.

a) Algún idealista (I) es materialista (M). Ningún idealista (I) es socialista (S).

b) Todo idealista (I) es socialista (S). Todo materialista (M) es idealista (I).

c) Algún socialista (S) es materialista (M). Algún idealista (I) es materialista (M).

d) Ningún idealista (I) es materialista (M). Algún socialista (S) es materialista (M).

D. Señalar cuál pareja de enunciados corresponde al diagrama.

admira

admira

a) Algunos cuentistas (C) admiran a los novelistas (N) y algunos poetas (P) admiran a los novelistas (N).

b) Todo cuentista (C) admira a un novelista (N) y todo novelista (N) admira a un poeta (P).

c) No hay cuentistas (S) que no admiren novelistas ( N) y no hay poetas ( P) que no admiren novelistas (N)

d) Los novelistas (N) admiran a algún poeta (P) y a algún cuentistas (C).

e) Algunos poetas (P) admiran a todos los novelistas (N) y algunos cuentistas (S) admiran a todos los novelistas (N).

E. Indicar cuál diagrama formaliza mejor a la pareja de enunciados “Algunos cristianos (C) admiran a Aristóteles (A) y Aristóteles (A) es un pagano (P)”.

admira a A

P admira a A

admira a A

admira a

admira a

F. Señalar cuál de las cuatro opciones contiene el diagrama que resulta de aplicarle la regla R al siguiente diagrama.

con algún X

S X r con algún X r

con algún X

con algún Y

con todo Y

r con algún Y

Y S X r con algún X r r con todo Y

Y S X r con algún X r

G. Probar de manera directa la validez de los silogismos categóricos siguientes.

1. Varios artistas (P) son soberbios (M). Algunos poetas (S) no son soberbios (M). Por tanto, algunos poetas (S) no son artistas (P).

2. Los perros pastor alemán (S) son animales obedientes ( M). Ningún animal obediente (M) causa problemas a sus dueños (P). Luego, ningún perro pastor alemán (S) causa problemas a sus dueños (P).

3. Los liberales (S) no son socialistas leninistas (M). Los socialdemócratas ( P) no son socialistas leninistas (M). Luego, los liberales (S) no son socialdemócratas (P).

4. Los cracs de futbol (S) realizan jugadas de fantasía (M). Cualquier persona que realiza jugadas de fantasía (M) inspira a los seguidores (P). Por ello, los cracs de futbol (S) inspiran a los seguidores (P).

5. Algunos políticos (S) pueden ser sociópatas (P) porque hay políticos (S) que no sienten empatía alguna (M) y las personas que no sienten empatía (M) pueden ser sociópatas (P).

6. Aquello cuya existencia solo puede ser inferida como causa de percepciones dadas posee una existencia meramente dudosa.

Ahora bien, todos los fenómenos externos son de tal índole, que su existencia no es inmediatamente percibida, sino que solo pueden ser inferidos como causa de percepciones dadas.

Por consiguiente, la existencia de todos los objetos de los sentidos externos es dudosa.

- Immanuel Kant, Crítica de la razón pura

7. Los musulmanes (S) no son cristianos (P) puesto que no creen en la divinidad de Jesús (M) y éstos (M) no son cristianos (P).

8. Varios pueblos antiguos ( S) poseían culturas ágrafas (M). Algunas de las culturas ágrafas (M) desaparecieron sin dejar vestigios de su existencia (P). Por tanto, varios pueblos antiguos (S) desaparecieron sin dejar vestigios de su existencia (P).

9. Algunos migrantes (P) huyen de la pobreza y la violencia (M). Los que huyen de la pobreza y la violencia (M) merecen ser ayudados (S). Por ello, los que merecen ser ayudados (S) son migrantes (P).

10. Ningún neurótico obsesivo-compulsivo (S) es generoso con su dinero (M). Las personas generosas con su dinero (M) no suelen ser ordenadas con sus finanzas

(P). Por consiguiente, los neuróticos obsesivo-compulsivos (S) suelen ser ordenados con sus finanzas (P).

H. Encontrar por medio de diagramas de Englebretsen la premisa faltante de los siguientes entimemas de primer o de segundo orden. Estandarizar las proposiciones que lo requieran.

1. Yo, la verdad les digo, no creo que sea malo matar, porque cuando uno mata lo hace siempre con coraje.

- Mariano Azuela, Los de abajo

2. Algunos indigentes no son personas sin instrucción escolar debido a que los hay con título académico.

3. El hombre no puede ser medido porque no es un objeto físico.

- Mario Bunge, Economía y filosofía

4. No hay artista que no sufra bloqueos creativos; por eso no nos extrañemos de ver poetas que sufren también bloqueos creativos.

5. … ser indiferente a la verdad es una característica indeseable e incluso criticable y, por tanto, la charlatanería es algo que debemos evitar y condenar.

- Harry Frankfurt, Sobre la verdad

6. Algunas mascotas son felinos porque hay gatos que son mascotas.

7. Dado que las expresiones de compasión emergen a una edad temprana en prácticamente todos los miembros de nuestra especie, son tan naturales como dar nuestros primeros pasos.

- Frans De Waal, Primates y filósofos

8. Varios periodistas son corruptos puesto que varios son comunicadores venales.

9. Somos racionales, porque deseamos conocernos a nosotros mismos.

- Ramón Sampedro, Cartas desde el infierno

10. Ningún astrónomo es astrólogo porque ningún astrólogo es científico.

I. Los sorites siguientes son válidos, y en varios la conclusión final se encuentra implícita. Formalizarlos diagramáticamente y notar la conclusión expresada en el diagrama.

1. Lo que es un mal perjudica, lo que perjudica empeora; el dolor y la pobreza no empeoran, luego no son males.

Séneca, Epístolas morales a Lucilio

2. Todos los gatos son animales vivíparos. Todos los animales vivíparos son paridos por sus madres como fetos desarrollados. Todos los animales paridos por sus madres como fetos desarrollados tienen la posibilidad de vivir aislados. Ningún animal que tiene la posibilidad de vivir aislado está seguro de ser cuidado por alguien. Luego, ningún gato está seguro de ser cuidado por alguien.

3. Lo que tiene un cuerpo sólido recibe energía externa; lo que recibe energía externa, es disoluble; lo que es disoluble morirá; lo que muere, tuvo necesariamente principio; lo que tiene principio, tuvo necesariamente un origen, es decir, un creador sensible, providente y hábil artesano. Lactancio, Instituciones divinas

4. Algunos científicos son supersticiosos. Todos los supersticiosos son individuos que caen recurrentemente en la falacia de falsa causa. Nadie que caiga recurrentemente en la falacia de causa falsa es un buen escéptico. Por lo tanto, algunos científicos no son buenos escépticos.

5. Lo que hace ruido se mueve; lo que está en movimiento no está helado; lo que no está helado es líquido; y lo líquido cede.

Plutarco, Moralia

6. Quien es fuerte, vive sin temor; quien vive sin temor, vive sin tristeza; quien vive sin tristeza, es feliz.

- Séneca, Epístolas morales a Lucilio

7. Quien bebe, duerme. Quien duerme, no peca. Quien no peca, es santo. Luego, quien bebe, es santo.

- Anónimo alemán

8. Todos los aficionados del Barcelona aman el futbol. Nadie que ame el futbol despreciaría el talento de Messi. Varios de los que desprecian el talento de Messi son periodistas deportivos. Todos los periodistas deportivos deberían estar enterados de temas deportivos. Por consiguiente, varios de los que deberían estar enterados de temas deportivos no son aficionados del Barcelona.

9. E1 varón prudente es también moderado; el que es moderado es constante, el que es constante es imperturbable, el que es imperturbable carece de tristeza, quien carece de tristeza es feliz; luego, el varón prudente es feliz…

- Séneca, Epístolas morales a Lucilio

10. El alma se mueve ella misma. Lo que se mueve por sí mismo es el principio del movimiento. Lo que es el principio del movimiento no ha nacido. Lo que no ha nacido es inmortal. Luego, el alma es inmortal.

Macrobio, Comentario al Sueño de Escipión de Cicerón

J. Probar diagramáticamente los siguientes argumentos que involucran relaciones.

1. Las amigas de Claudia son amigas de Esther. Las amigas de Esther son amigas de Sofía. Vanessa es amiga de Claudia. Por lo tanto, Vanessa es amiga de Sofía.

2. Ana dibuja un círculo. Los círculos son figuras geométricas. Por ello, Ana dibuja una figura geométrica.

3. Algunos profesores fuman tabaco. El tabaco daña la salud. Por lo tanto, algunos profesores fuman algo que daña la salud.

4. Todos los lectores aprecian a un autor clásico. Los autores clásicos exploran en sus obras la condición humana. Por lo tanto, todos los lectores aprecian a alguien que explora en sus obras la condición humana.

5. A algunas personas les desagradan todos los partidos políticos. Los partidos políticos son instituciones de la democracia representativa. Las instituciones de la democracia representativa siempre pueden mejorarse. Por consiguiente, a algunas personas les desagradan instituciones que siempre pueden mejorarse.

6. Hay cristianos que admiran a Aristóteles y Aristóteles es un pagano; por consiguiente, hay cristianos que admiran a un pagano.

7. Algunos musulmanes son amigos de católicos. Los católicos son cristianos y ningún musulmán es cristiano. Por lo tanto, algunos no cristianos son amigos de algunos cristianos.

8. Algunos guionistas venden malos guiones a productoras de melodramas. Los malos guiones son textos insufribles. Las productoras de melodramas son grandes negocios. Por lo tanto, algunos guionistas venden textos insufribles a grandes negocios.

9. Los médicos son profesionistas. Algunos médicos atienden a algunos médicos. Por tanto, algunos profesionistas atienden a algunos profesionistas.

10. Algunos trabajadores detestan a un supervisor. El supervisor obedece ciegamente al patrón. El patrón es un abusivo. Todo el que obedece ciegamente a un abusivo es obtuso. Luego, algunos trabajadores detestan a un obtuso.

Capítulo 15

Diagramas silogísticos

Ruggero Pagnan elaboró un cálculo sencillo, correcto, completo y poseedor de free-rides expresamente diseñado para representar y evaluar silogismos categóricos al que llamó “diagramas silogísticos” La intuición básica de este método con grafos dirigidos es que para establecer una relación entre los términos menor (S) y mayor (P) en la conclusión de un silogismo categórico válido es preciso suprimir el término medio (M) que los relaciona en las premisas.

La técnica de Pagnan puede adaptarse para probar no solo los quince modos válidos de los silogismos tradicionales de tres términos, sino también los nueve “debilitados” cuya corrección depende de admitir el importe existencial en proposiciones universal es, e incluso puede utilizarse para probar silogismos de más de tres términos de clase.

15.1. Lenguaje diagramático

El lenguaje de los diagramas silogísticos se forma con lo siguiente:

1. Flechas. Establecen junto a los puntos formas sin significado que se asocian a proposiciones categóricas específicas.

2. Puntos o viñetas. Establecen junto a las flechas formas sin significado que se asocian a proposiciones categóricas específicas.

Introducimos las siguientes abreviaturas para referirnos a cada tipo de proposición categórica:

ASP: Todo S es P (proposición universal afirmativa)

ESP: Ningún S es P (proposición universal negativa)

ISP: Algún S es P (proposición particular afirmativa)

OSP: Algún S no es P (proposición particular negativa)

Un silogismo válido como el de la forma EIO-1, ferio, puede esquematizarse así:

EMP, ISM OSP,

donde EMP representa la premisa mayor (Ningún M es P), ISM es la premisa menor (Algún S es M), OSP expresa la conclusión (Algún S no es P) y es el símbolo que señala la relación de consecuencia que hay entre la conclusión y las premisas.

Cada proposición categórica típica se representará mediante un diagrama silogístico que se entenderá como una ligadura abstracta de términos carente de significado y que solo obedecerá a las reglas del propio cálculo.

Enunciado Formalización diagramática

Todo S es P S P

Ningún S es P S P

Algún S es P S

Algún S no es P S P

Cada uno de estos diagramas silogísticos posee su diagrama dual:

Enunciado Formalización diagramática

Todo P es S S P

Ningún P es S

Algún P es S

Algún P no es S S P

15.2.

Pruebas

En las pruebas con esta técnica se elabora un cuadrado en cuya parte superior se concatenan los dos diagramas silogísticos de las premisas y en cuya parte inferior aparecerá el diagrama silogístico de la conclusión. Pagnan llama “inferencia silogística”, que simbolizaremos como “ ”, a la reducción de los diagramas silogísticos concatenados de las premisas para dar lugar al diagrama silogístico de la conclusión. Un silogismo será válido si y solo si existe una inferencia silogística de la concatenación de los diagramas silogísticos de las premisas al diagrama silogístico de la conclusión. Cuando el silogismo resulta válido se escribe dentro del cuadrado el símbolo de inferencia silogística que se referirá a la derivación formal del diagrama de la conclusión de abajo desde la concatenación de diagramas de arriba. El procedimiento sigue estos pasos:

1. Escribir concatenados los diagramas silogísticos de las premisas de manera que el término menor (S) quede a la izquierda, el mayor ( P) a la derecha y el medio (M) entre los dos anteriores. Esto implica que siempre se coloca en la concatenación el diagrama de la premisa menor a la izquierda y el de la mayor a la derecha, y que a veces habrán de invertirse las flechas y las letras de los términos con diagramas duales. Por ejemplo, las premisas “Algún P no es M” y “Ningún M es S” requieren sus diagramas duales

M P y S • M para dejar al término medio M en medio al concatenarlos:

S • M P.

2. Reducir los diagramas concatenados mediante la supresión del término medio M y la composición formal de las flechas consecutivas que, apuntando al mismo sentido, rodeaban a M. Por ejemplo, del grafo → M→ quedaría solo una flecha

→, o del grafo ← M ← resultaría ←. En el diagrama silogístico ya reducido los términos S y P a los lados permanecen en sus lugares.

3. Anotar debajo el diagrama silogístico resultante de la reducción.

4. Completar las partes faltantes del cuadro, que serían las líneas verticales dobles debajo del término menor (S) y mayor (P), y el símbolo de inferencia silogística en el centro del cuadro).

Ejemplo

Demostrar con el cálculo de diagramas silogísticos la validez de un silogismo barbara

Todo M es P.

Todo S es M.

Luego, todo S es P.

La premisa mayor “Todo M es P” (AMP) se formalizaría diagramáticamente así

M P

La premisa menor “Todo S es M” (ASM) se representaría de este modo

S M

Se concatenan los diagramas de modo que el término S quede a la izquierda y el término P a la derecha. El término M debe quedar entre S y P en la concatenación.

S M P

Sabemos que para que el silogismo barbara fuera válido deberíamos llegar al diagrama S P por medio de una inferencia silogística. Hacemos tal inferencia por medio de la supresión del término medio y de la composición formal de las flechas que lo flanquean yendo en el mismo sentido. Y obtenemos, efectivamente, el diagrama correcto de la conc lusión S P. Anotamos debajo de la concatenación de las premisas el diagrama inferido, y completamos el cuadro con las verticales dobles ǁ a cada lado y con el símbolo de inferencia silogística .

Hemos probado la validez del silogismo.

Ejemplo

Probar la validez de un ferio.

Ningún M es P.

Algún S es M.

Luego, algún S es P.

La premisa mayor “Ningún M es P” (EMP) se expresaría

La premisa menor “Algún S es M” (ISM) se representaría

S • M

Los diagramas silogísticos concatenados quedan

S • M • P y la inferencia silogística completa resulta de este modo:

Ejemplo

Demostrar un silogismo bocardo

Algún M no es P

Todo M es S Luego, algún S no es P.

Su prueba con diagrama silogístico incluye la inversión de la expresión de “Todo M es S” que sería M S como esta S M para dejar el término M en medio:

Ejemplo

Probar la invalidez de un silogismo AIO-4.

Véase que no es posible suprimir M y componer las flechas que lo flanquean porque van en sentidos distintos (→M←). La conclusión anotada solo representa la del silogismo inválido AIO-4, pero no es la consecuencia resultante de una reducción de los diagramas concatenados de las premisas. Como el diagrama muestra que el silogismo no es válido (es decir, que no hay inferencia silogística), se anotó en el interior del diagrama el símbolo de inferencia silogística negado .

Ejemplo

Hay silogismos inválidos que parecen admitir una inferencia silogística. Cualquier silogismo de premisa mayor IMP y premisa menor ESM es de este tipo. Veamos.

Se ha anotado el símbolo de inferencia silogística entendido como simple derivación formal. Pero véase en el diagrama de la conclusión que los roles de término menor y mayor se habrían intercambiado ilegítimamente: la conclusión obtenida diría “Algún P no es S”, como si P fuera el término menor y S el término mayor.

En general, una inferencia silogística aplicada a la concatenación de dos diagramas silogísticos produce un diagrama silogístico (prueba la validez de un silogismo) en los siguientes casos y solo en ellos:

a) S → M → P

b) S → • ← M ← P

c) S → M → • ← P

d) S ← M ← • → P

e) S ← • → M → P

f) S ← • → M → • ← P

g) S ← M ← • → • ← P

h) S ← • → • ← M ← P

Si un silogismo es válido, habrá el mismo número de viñetas en el diagrama de las premisas concatenadas y en el de la conclusión; pero el solo hecho de que haya el mismo número de viñetas en ambos diagramas no implica que el silogismo sea válido. En los silogismos inválidos ocurre alguna de estas situaciones:

a) No puede haber inferencia silogística (no puede haber reducción de los diagramas concatenados por carecer de flechas consecutivas que rodeen a M apuntando al mismo sentido),

b) el resultado de la inferencia proporciona un diagrama en la conclusión que invierte ilegítimamente los roles de término menor y de término mayor, o

c) el diagrama de la conclusión no corresponde a ningún diagrama bien formado de las proposiciones categóricas.

Este lenguaje permite expresar representar diagramáticamente los siguientes enunciados:

Enunciado

silogístico

que expresa Todo X es X X X Ley de identidad

Ningún X es X X X Vacío de X

Algún X es X X X Ley de identidad e importe existencial

Algún X no es X X X

Contradicción

Es posible demostrar la validez de los modos debilitados de silogismos si incluimos las formas de importe existencial ISS, IMM y IPP. Véase la lista completa de silogismos válidos que comprende también en el apartado inferior a los nueve debilitados o subalternos como el barbari o el celaront:

Figura 1 Figura 2 Figura 3 Figura 4

barbara celarent darii ferio

baroco camestres cesare festino

bocardo datisi disamis ferison

camenes dimaris fresison

barbari celaront camestrop cesaro darapti felapton bramantip camenop fesapo

Para probar cualquiera de las nueve formas debilitadas basta con añadir a la concatenación de premisas el diagrama que expresa el importe existencial, y para reducir el diagrama se suprimen todas las letras intermedias entre los términos S y P del cuadro, componiendo formalmente las flechas consecutivas que rodean a cada término suprimido y que apuntan en la misma dirección. Cada modo debilitado requiere las siguientes asunciones existenciales:

Figura 1 Figura 2 Figura 3

Figura 4 Asunción

barbari camestrop camenop Existe algún S celaront cesaro Existe algún S darapti fesapo Existe algún M felapton Existe algún M bramantip Existe algún P

Ejemplo

Probar la validez de un AAI-1, barbari.

Todo M es P. Todo S es M. Luego, algún S es P.

Este es su diagrama silogístico probatorio:

Ejemplo

Probar la validez de un EAO-4, fesapo.

Ningún P es M.

Todo M es S.

Luego, algún S no es P.

Su diagrama silogístico probatorio es este:

En general, una inferencia silogística aplicada a la concatenación de dos diagramas silogísticos y un importe existencial produce un diagrama silogístico exactamente en los siguientes casos:

a) S ← • → S → M → P

b) S ← M ← • → M → P

c) S ← M ← P ← • → P

d) S ← • → S → M → • ← P

e) S ← • → S → • ← M ← P

f) S ← M ← • → M → • ← P

15.3. Ejercicios

A. Indicar cuál de los siguientes enunciados categóricos corresponde al diagrama silogístico de la derecha.

a) Todos los lógicos (S) son veganos (P).

b) Ningún lógico (S) es vegano (P). S → • ← P

c) Algún lógico (S) es vegano (P).

d) Algún lógico (S) no es vegano (P).

B. Señalar cuáles parejas de enunciados categóricos corresponden a la concatenación de diagramas silogísticos siguiente. S ← • → M ← • → P

a) Todos los boxeadores (S) son buenos peleadores (M). Todos los buenos peleadores (M) saben tirar jabs (P).

b) Ningún buen peleador (S) es boxeador (M). Algunos boxeadores (M) saben tirar jabs (P).

c) Algunos boxeadores (P) saben tirar jabs (M). Algunos buenos peleadores (S) saben tirar jabs (M).

d) Algunos de los que saben tirar jabs (M) no son boxeadores (P). Ninguno de los que saben tirar jabs (M) es buen peleador (S).

C. Señalar cuáles parejas de enunciados categóricos corresponden a la concatenación de diagramas silogísticos siguiente. Supondremos ahora como importe existencial IMM.

a) Algunos de los sonámbulos (S) no son maduros ( M) y algunos pacíficos ( P) no son maduros (M).

b) Ningún sonámbulo (S) es maduro (M) y ningún pacífico (P) es maduro (M).

c) No hay sonámbulos (S) que no sean maduros (M) y no hay pacíficos (P) que no sean o maduros (M).

d) Los maduros (M) son pacíficos (P) y sonámbulos (S)

e) Algunos pacíficos (P) no son maduros (M) y algunos sonámbulos (S) son maduros (M).

D. Expresar cuál de los diagramas silogísticos de las opciones resulta de reducir el siguiente diagrama silogístico.

a) S → • ← P

b) S → P

c) S ← • → P

d) S ← • → • ← P

E. Señala cuál o cuáles de los siguientes diagramas silogísticos no permiten una reducción o inferencia silogística.

a) S → • ← M→ • ← P

b) S → M→ P

c) S → • ← M ← • → P

d) S ← • → M ← P

F. Señalar cuáles de las siguientes pruebas diagramáticas de validez utilizaron una reducción correcta y cuáles no. Puede ser que el argumento sea inválido , por lo que en ningún caso se anotó el símbolo de inferencia silogística .

G. Llevar a cabo la demostración de la validez o invalidez de los siguientes argumentos silogísticos mediante la prueba por inferencia silogística en el sistema de diagramas de Pagnan.

1. Varios artistas son soberbios. Algunos poetas no son soberbios. Por tanto, algunos poetas no son artistas.

2. Los perros pastor alemán son animales obedientes. Ningún animal obediente causa problemas a sus dueños. Luego, ningún perro pastor alemán causa problemas a sus dueños.

3. Los liberales no son socialistas leninistas. Los socialdemócratas no son socialistas leninistas. Luego, los liberales no son socialdemócratas.

4. Los cracs de futbol realizan jugadas de fantasía. Cualquier persona que realiza jugadas de fantasía inspira a los seguidores. Por ello, los cracs de futbol inspiran a los seguidores.

5. Algunos políticos pueden ser sociópatas porque hay políticos que no sienten empatía alguna y las personas que no sienten empatía pueden ser sociópatas.

6. Aquello cuya existencia solo puede ser inferida como causa de percepciones dadas posee una existencia meramente dudosa. Ahora bien, todos los fenómenos externos son de tal índole, que su existencia no es inmediatamente percibida, sino que solo pueden ser inferidos como causa de percepciones dadas.

Por consiguiente, la existencia de todos los objetos de los sentidos externos es dudosa.

- Immanuel Kant, Crítica de la razón pura

7. Los musulmanes no son cristianos puesto que no creen en la divinidad de Jesús y éstos no son cristianos.

8. Varios pueblos antiguos poseían culturas ágrafas. Algunas de las culturas ágrafas desaparecieron sin dejar vestigios de su existencia. Por tanto, varios pueblos antiguos desaparecieron sin dejar vestigios de su existencia.

9. Algunos migrantes huyen de la pobreza y la violencia. Los que huyen de la pobreza y la violencia merecen ser ayudados. Por ello, algunos que merecen ser ayudados son migrantes.

10. Ningún neurótico obsesivo-compulsivo es generoso con su dinero. Las personas generosas con su dinero no suelen ser ordenadas con sus finanzas. Por consiguiente, los neuróticos obsesivo-compulsivos suelen ser ordenados con sus finanzas.

Capítulo 16

Diagramas de patrones de categorías

Los diagramas de patrones de categorías (Category Pattern Diagrams) de Cheng han sido diseñados para formalizar y evaluar silogismos y sorites. Este sistema asume la interpretación booleana de las proposiciones categóricas. Es completo, porque las quince formas silogísticas válidas resultan serlo en el sistema, y también es correcto, puesto que ninguna de las formas inválidas resulta válida en el sistema. También posee free-rides, pero de una percepción que no suele resultar inmediata.

16.1. Lenguaje diagramático

El lenguaje de los diagramas de patrones de categorías contiene conectores, que serán segmentos de líneas que representan valores de cuantificación y relaciones entre clases. Hay tres tipos de conectores:

1. El conector sencillo continuo –, que representa el cuantificador “algún”.

2. El conector discontinuo - -, que representa el cuantificador “ningún” y equivale a la negación lógica del anterior.

3. El conector doble continuo =, que expresa que no hay información sobre cuantificación.

Los siguientes diagramas expresan estados de cosas en relaciones monarias:

La letra es una etiqueta de una categoría o clase. Los segmentos horizontales de líneas, que llamaremos conectores, expresan la posible pertenencia o no pertenencia a la clase, según si el conector aparece arriba o abajo de la letra. Cada conector equivale a una región de un diagrama de Venn, y el estilo de línea señala si esa región es vacía (la línea discontinua de “ninguno”), no es vacía (la línea continua sencilla de “algo”) y si no se sabe si es o no vacía (la línea doble). La línea sencilla superio r a la letra P del primer diagrama a la izquierda expresa que algo pertenece a la clase P, y la línea continua inferior a la letra que algo no pertenece a P (o que algo pertenece al complemento de P).

En el segundo diagrama la línea sencilla superior expresa que algo pertenece a P, y la línea doble inferior señala que no se sabe si algo no pertenece a P. En el tercer diagrama la línea discontinua superior indica que nada pertenece a P, y la línea doble inferior que no hay información sobre si algo no pertenece a P

En una relación binaria hay dos clases o categorías como P y P. Entre las clases P y Q pueden formarse cuatro combinaciones posibles: P∩Q, P∩Q’, P’∩Q y P’∩Q’ representadas por cuatro conectores binarios. Véase ahora una relación binaria genérica representada en un diagrama de Cheng donde aparecen cuatro conectores con líneas tenues que no expresan ningún tipo de cuantificación y a los que se anotó una numeración que muestra su respectiva región del diagrama de Venn. Si el extremo del conector aparece arriba de la letra, expresa la pertenencia a esa clase, y si aparece abajo, la no pertenencia (o pertenencia al complemento de la clase, que es lo mismo):

Véase estos dos ejemplos de relaciones binarias específicas:

P Q P Q

En el primer diagrama a la izquierda, el conector horizontal continuo superior indica que algo pertenece a la intersección de P y Q. El conector horizontal discontinuo inferior señala que nada pertenece a la intersección de los complementos de P y de Q. Los conectores diagonales señalan que no hay información sobre las clases P ∩ Q’ y P’∩ Q En el segundo diagrama, el conector horizontal superior discontinuo señala que P ∩ Q es vacío; y el conector en diagonal descendente indica que la clase P ∩ Q’ no es vacía, que posee algo.

Las proposiciones categóricas quedan representadas con diagramas de patrones de categorías del modo siguiente:

Enunciado Formalización conjuntista Formalización diagramática

Todo S es P S P S P

Ningún S es P S P’

P

Algún S es P S P’ S P

Algún S no es P S P

S P

Los diagramas de las proposiciones universales indican mediante el conector discontinuo que una clase es vacía. El de “Todo S es P” señala que no hay ningún elemento que pertenezca a S y no pertenezca P (no hay nada en S, afuera de P); el de “Ningún S es P” señala que no hay ningún elemento en la clase de intersección de S y P.

Los diagramas de las proposiciones particulares representan a través de un conector continuo que hay clases no vacías; el de “Algún S es P” indica que algo pertenece a ambos conjuntos, y el de “Algún S no es P” que algo pertenece a S, pero no a P. Para tratar los tres términos de un silogismo existen diagramas ternarios de patrones de categorías. Una relación ternaria genérica entre las categorías A, B y C se expresaría de este modo, nuevamente con líneas tenues que no expresan información sobre cuantificación:

B C

Hay ocho conectores, porque existen ocho combinaciones entre las tres clases A, B y C. Se ordenan en cuatro pares de conectores, los que forman el patrón triangular superior invertido, los del patrón triangular inferior, los del patrón de paralelogramo descendente y los del patrón de paralelogramo ascendente. Para facilitar la explicación qu e sigue se numeran de nuevo los conectores.

Los conectores 1 y 2 forman el par del triángulo superior invertido; el 1 es la recta horizontal superior que representa al conjunto A B ∩ C y el 2 es el conector de forma que se refiere al conjunto A ∩ B’ ∩ C. Los conectores 7 y 8 forman el par del triángulo inferior; el 7 es de la forma que representa a A’ ∩ B ∩ C’ y el 8 es la recta inferior que alude a A’ ∩ B’ ∩ C’. Los conectores 3 y 5 forman el par del paralelogramo descendente; el 3 es de la forma \ que representa a A ∩ B ∩ C’ y el 5 es de la forma \ que designa a A ∩ B’ ∩ C’. Los conectores 4 y 6 constituyen el par del paralelogramo ascendente; 4 es el de la forma / que representa a A’ ∩ B ∩ C y 6, que se escribe _/, representa a A’ ∩ B’ ∩ C

Considérense las dos relaciones ternarias específicas siguientes y sus descripciones:

La primera relación indica en su conector horizontal superior que existe algo perteneciente a las tres clases A, B y C; mediante el conector \ _ del paralelogramo descendente señala que algo pertenece solo a la clase A; el conector discontinuo / del paralelogramo ascendente señala que la clase de B y C sin A es vacía; y el otro conector discontinuo _/ del paralelogramo ascendente indica que la clase exclusiva de C es vacía.

La segunda relación afirma en su conector \ _ del paralelogramo descendente que la clase exclusiva de A es vacía; y en los conectores del triángulo inferior indica que la clase exclusiva de B y la clase A’ ∩ B’ ∩ C’ son vacías.

En lo que sigue se aludirá a cada conector de dos formas principales:

1. Por su apariencia y ubicación, como al decir “conector doble superior” o “conector discontinuo inferior de forma tal”, o

2. por las variables categóricas que relaciona (y cuantifica). Si se trata del conector que expresa algo de la clase P ∩ Q (lo que implica que se traza una recta horizontal arriba de las dos variables), se designará como PQ; o si señala algo de la clase P’ ∩ Q (lo que quiere decir que se dibuja como una diagonal ascendente desde la parte inferior de P hasta la parte superior de Q), se designará como P’Q. Los conectores binarios se indican con pares de letras, los ternarios con ternas de letras, y así en lo sucesivo.

16.2. Composición y validez

Es posible construir diagramas ternarios (que llamaremos diagramas ternarios de resultado) mediante una combinación de diagramas binarios. Para ello se utilizará la siguiente tabla de reglas de composición:

Cada columna encabezada con C1, C2 o C3 contiene una regla de composición que especifica qué combinación de dos conectores de diagramas binarios da lugar al conector ternario de la parte inferior de la columna, que se anotará en el diagrama ternario:

1. (C1): Dos conectores sencillos, o uno sencillo y uno doble de los diagramas binarios producen un conector continuo en el diagrama ternario.

2. (C2): Un conector discontinuo combinado con cualquier otro conector de los diagramas binarios da lugar a uno discontinuo en el diagrama ternario (el signo de interrogación pretende expresar cualquier otro conector).

3. (C3): Dos conectores dobles de los diagramas binarios producen un conector doble en el diagrama ternario.

Por ejemplo, trácese un conector de cada diagrama ternario de resultado a partir de los pares de conectores de los diagramas binarios siguientes.

A B B C

Para mayor claridad se coloca la tabla de reglas de composición en medio de los diagramas binarios.

En el diagrama ternario izquierdo, las dos flechas numeradas con el 1indican que el par de conectores binarios de las partes superiores de sus diagramas binarios se combinan para producir el conector ternario superior del diagrama ternario; las flechas numeradas con 2 muestran que la combinación de tipos de conectores binarios, con uno doble y uno discontinuo, correspondería a la de la regla de composición C2; y la flecha numerada con el 3 señala que el conector ternario de salida que se debe escribir en el diagrama ternario, según la regla C2, es discontinuo. En el diagrama ternario derecho, las flechas con el 1 señalan que el conector ternario de forma _/ se obtiene de los conectores binarios inferior horizontal y diagonal descendente; las flechas etiquetadas con el 2 muestran que la combinación de dos conectores dobles corresponde a la regla C3; y la flecha 3 indica que el conector ternario de salida es doble.

Puede determinarse si un diagrama ternario implica lógicamente a alguno binario mediante unas reglas de validez. La siguiente tabla representa estas reglas:

Cada columna contiene una regla de validez o regla de implicación de conectores:

1. (V1): Si alguno de los conectores es continuo, entonces queda implicado un conector continuo.

2. (V2): Dos conectores discontinuos implican uno discontinuo.

3. (V3): Dos conectores dobles, o uno doble y uno discontinuo, implican uno doble.

4. (V4): Cualquier otra combinación no implica nada.

Estas reglas de validez se aplican a cada par de conectores que forman un patrón geométrico del diagrama ternario para ver qué conector pueden implicar de un diagrama binario, tal como se indica en la siguiente figura:

A B C A C

Los dos conectores del patrón triangular superior del diagrama ternario se asignan al conector horizontal superior del binario; los del patrón triangular inferior al conector horizontal inferior del binario; los del patrón de paralelogramo descendente a l conector diagonal descendente; y los del paralelogramo ascendente al conector diagonal ascendente. De acuerdo con las reglas de validez, en esta figura, la forma discontinua de los dos conectores ternarios del patrón triangular superior implica al conector discontinuo del diagrama binario (por la regla V2); y los tres pares restantes de parejas de conectores

ternarios implican conectores binarios dobles, de “ausencia de información”, en el diagrama binario (por la regla V3).

Al probar silogismos se utilizan las dos tablas de reglas: los diagramas binarios de las premisas se combinan mediante las reglas de composición en un diagrama ternario de resultado, y luego se averigua si este último implica, por medio de las reglas de validez, al diagrama binario de la conclusión.

16.3. Prueba de validez

La prueba de validez de un argumento silogístico a través de diagramas de patrones de categorías requiere lo siguiente:

1. Representar en diagramas binarios las premisas del argumento colocando en la posición central el término medio M, a su izquierda el término menor S y a su derecha el término mayor P. En algunas formas silogísticas esto implicará intercambiar los términos S y M de la premisa menor, o P y M de la premisa mayor.

2. Construir el diagrama ternario de resultado mediante los diagramas de las premisas de acuerdo con las reglas de composición.

3. Verificar mediante las reglas de validez si el diagrama ternario de resultado implica al diagrama binario de la conclusión.

Ejemplo

Probar un silogismo barbara

Todo M es P.

Todo S es M.

Por tanto, todo S es P.

Primero se representa cada premisa en un diagrama de relaciones binarias, colocando los dos diagramas de modo que el término medio del silogismo quede justo en medio de los tres términos.

S M M P

Luego se construye el diagrama ternario de resultado mediante las reglas de composición. De acuerdo con la regla de composición C3, los conectores superiores de tipo doble de los diagramas binarios se combinan para producir el conector ternario horizontal superior de tipo doble:

Por la misma regla C3 el conector en diagonal ascendente del primer diagrama binario y el conector horizontal superior del segundo diagrama binario se combinan para dar lugar al conector ternario de forma / en el patrón de paralelogramo ascendente del diagrama ternario:

La regla C3 produce también el conector ternario de forma _/ en el patrón de paralelogramo ascendente por medio del conector horizontal inferior del primer diagrama binario y del conector diagonal ascendente del segundo diagrama binario:

La misma regla C3 da lugar al conector ternario horizontal inferior mediante la combinación de los conectores binarios horizontales inferiores:

Por la regla C2 se obtienen los restantes conectores ternarios, todos discontinuos, porque provienen de combinaciones donde al menos uno de los conectores binarios es discontinuo:

Ya terminado el diagrama ternario de resultado, se verifica mediante las reglas de validez si este implica al diagrama binario de la conclusión. Según la regla de validez V3, la combinación de doble y discontinuo de la pareja de conectores ternarios del

triángulo superior implica al conector binario superior como doble; la misma regla V3 hace que la pareja del triángulo inferior implique al conector binario inferior doble; la regla V2 indica que la pareja de conectores discontinuos del paralelogramo descendente implican al conector binario diagonal descendente como discontinuo; y por la regla V3 la pareja de conectores ternarios dobles del paralelogramo ascendente implican al conector binario diagonal ascendente.

El diagrama binario implicado es justamente el que corresponde a la conclusión “Todo S es P”, lo que prueba la validez del silogismo.

Ejemplo

Probar la validez de un celarent

Ningún M es P

Todo S es M

Por tanto, ningún S es P

El argumento es válido.

Ejemplo

Probar un darii

Todo M es P

Algún S es M

Por tanto, algún S es P

También es claro que se sigue la conclusión “Algún S es P”.

Ejemplo

Probar un ferio

Ningún M es P

Algún S es M

Por tanto, algún S no es P

Se sigue válidamente que “Algún S no es P”.

Ejemplo

Probar un bocardo

Algún M no es P

Todo M es S

Por tanto, algún S no es P

El diagrama binario de “Algún S no es P” es consecuencia de estas premisas.

En el caso de silogismos inválidos destacan estas dos circunstancias:

1. Si las premisas implican en la figura silogística a cierta conclusión distinta a la propuesta en el silogismo, implicarán a la primera, pero no a la segunda.

2. Si las premisas no implican en la figura silogística a ninguna conclusión, el diagrama implicado contendrá un arreglo de conectores que no corresponde a ninguna proposición categórica específica.

Ejemplo

Probar la invalidez del silogismo AIO-1.

Todo M es P

Algún S es M

Por tanto, algún S no es P

Las premisas implicaron una conclusión distinta a la propuesta “Algún S no es P”, por lo que la forma silogística no es válida.

Ejemplo

Probar la invalidez de la forma EOO-3.

Ningún M es P.

Algún M no es S.

Por tanto, algún S no es P.

El diagrama binario implicado no corresponde a ninguna proposición categórica específica; de ahí que el silogismo no es válido.

Sorites

En los sorites o polisilogismos se trata con más de tres categorías y más de dos proposiciones. Cada categoría que se añade a un diagrama de patrones de categorías duplica los conectores e incrementa su ariedad, lo que dificulta dibujarlos. Por eso se implementa ahora un método más sencillo de evaluación de validez por inspección de secuencias lineales de diagramas binarios. Se comprenderá que para entender este nuevo método es didácticamente conveniente revisar antes los diagramas ternarios de resultado, tal como se hizo aquí.

Véase primero que al agrupar los diagramas binarios de las premisas en secuencias lineales se puede observar el esbozo de los patrones geométricos triangulares y de paralelogramo de los diagramas ternarios de resultado.

Cada patrón representa una pareja de conectores ternarios o pareja de rutas que van cada una desde un punto inicial arriba o abajo de S hasta otro punto final arriba o abajo de P Lo que distingue a cada ruta de la pareja es si considera a M (cruza arriba de M) o a M’ (cruza debajo de M) como parte de ella. Cada pareja de rutas puede implicar o no al respectivo conector binario de la conclusión que coincide en los puntos inicial y final. El patrón triangular invertido representa a las rutas SMP y SM’P que podrían implicar a SP; el patrón triangular ordinario de S’MP’ y S’M’P’ puede implicar a S’P’; el de paralelogramo descendente (SMP’ y SM’P’) puede implicar a SP’; y el de paralelogramo ascendente (S’MP y S’M’P) puede implicar S’P. Ahora apliquemos este procedimiento a un silogismo ordinario.

Ejemplo

Probar un silogismo ferio mediante inspección de la secuencia lineal de sus diagramas de premisas.

Ningún M es P

Algún S es M

Por tanto, algún S no es P

Primero se unen en secuencia horizontal los diagramas binarios de sus premisas con el término M en medio, y se anota a la derecha el diagrama binario de la conclusión propuesta.

Luego se identifican las rutas o caminos de la secuencia de diagramas de las premisas que pueden implicar a cada conector binario del diagrama de la conclusión.

1. Puede comenzarse con las rutas que implican al conector binario horizontal superior (SP). Hay dos rutas en la secuencia, SMP y SM’P, es decir, la ruta

y la ruta que formarían el patrón triangular superior del diagrama ternario de resultado que aquí obviaremos. La ruta SMP contiene la combinación de conectores continuo y discontinuo, que por la regla de composición C2 resulta una ruta discontinua; la ruta SM’P contiene la combinación doble y doble, lo que por C3 produce una ruta doble; según la regla de validez V3, una ruta discontinua y una ruta doble implican un conector binario doble, que es justo el tipo de conector superior de la conclusión.

2. Puede seguirse con las rutas que implican al conector binario en diagonal ascendente (S’P). Sus dos rutas S’MP (/ ) y S’M’P (_/) formarían el patrón de paralelogramo ascendente. Por las reglas de composición C2 y C3, S’MP produce una ruta discontinua y S’M’P una ruta doble; por la regla de validez V3, estas rutas implican justo al conector binario doble en diagonal ascendente.

3. Véase ahora las rutas que implican al conector binario SP’ o diagonal descendente. La regla de composición C1 señala que los conectores continuo y doble de la ruta SMP’ de forma \ producen una ruta continua; la regla C3 indica que la ruta SM’P’ (\_) es doble; y la regla de validez V1 señala que la combinación de las dos rutas continua y doble implica un conector binario continuo.

4. Finalmente, las rutas de S’P’. Por la regla de composición C3, sus dos rutas S’MP’ ( ) y S’M’P’ (__) son dobles, lo que implica por V3 al conector binario doble inferior.

Como los cuatro conectores del diagrama de la conclusión están implicados por las rutas de la secuencia lineal de los diagramas de las premisas, el silogismo es válido.

En el sorites que sigue hay tres premisas y cuatro variables categóricas.

Ejemplo

Probemos la validez del siguiente sorites.

Algún A es B

Todo B es C.

Todo C es D.

Por lo tanto, algún A es D.

En la secuencia de diagramas de las premisas hay dos puntos iniciales de ruta, el de la parte superior de A y el de la parte inferior de A, y dos puntos finales de ruta, el de la parte superior de D y el de la parte inferior de D. Desde la parte superior de A hasta la parte superior de D hay cuatro rutas ( , \/ , \/, \_/) , de la parte de arriba de A hasta la parte baja de D hay otras cuatro ( \, \ , \/\, \ ), y cuatro también desde la parte baja de A a la parte de arriba de D (/ , /\/, _/ ,__/), así como de la parte baja de A hasta la parte baja de D (/ \, /\ ,_/\, ). Cada ruta se compone de una secuencia de tres conectores binarios, un conector por cada diagrama binario de premisa. Las reglas de composición se aplicarán iterativamente a cada conector

binario de la ruta hasta determinar si el tipo final de la ruta es continuo, discontinuo o doble. Identifiquemos cada ruta por sus variables categóricas (así como hemos hecho con los conectores), veamos cada tipo de conector de los tres que la componen y el tipo de ruta final correspondiente según las reglas de composición:

Ruta Tipo de conectores de la ruta Tipo final de la ruta

ABCD continuo, doble, doble continua (C1, C1)

ABC’D continuo, discontinuo, doble discontinua (C2, C2)

AB’CD doble, doble, doble doble (C3, C3)

AB’C’D doble, doble, doble doble (C3, C3)

En casos como este de los sorites, las reglas de validez no se aplican a pares de conectores como en los patrones geométricos de los diagramas ternarios de resultado, sino a la combinación de los tipos de rutas. Esta primera combinación de tipos de rutas desde la parte superior de A hasta la parte superior de D nos arrojó una continua, otra discontinua y dos dobles, lo que satisface la regla de validez V1, según la cual, si al menos una de las rutas es continua, el conector implicado es continuo. Y así es el conector superior de la conclusión.

Las rutas que van desde la parte superior de A hasta la parte inferior de D son de tipo discontinuo (ABCD’), discontinuo (ABC’D’), discontinuo (AB’CD’) y doble (AB’C’D’). Esta combinación de tipos doble y discontinuo implica un conector doble, por la regla de validez V3. Y el conector diagonal descendente en la conclusión es justamente doble.

Con la debida práctica es fácil determinar por simple inspección que las cuatro rutas desde la parte inferior de A hasta la parte superior de B combinan tres dobles con una discontinua, lo que por V3 implica conector doble. Y desde la parte inferior de A hasta la parte inferior de D se combinan tres rutas discontinuas con una doble que implican por V3 un conector doble.

Como los cuatro conectores del diagrama de la conclusión están implicados, el sorites es válido.

En la consideración de rutas de este método diagramático secuencial, las reglas de validez deben entenderse de este modo:

1. (V1): Si alguna de las rutas es continua, entonces queda implicado un conector continuo.

2. (V2): Si todas las rutas son discontinuas, entonces implican un conector discontinuo.

3. (V3): Una combinación de rutas exclusivamente dobles, o dobles con discontinuas, implican un conector doble.

4. (V4): Cualquier otra combinación no implica nada.

Veamos un sorites no válido.

Ejemplo

Probar la invalidez del sorites que sigue.

Todo P es Q

Algún Q es R

Todo R es S

Ningún S es T.

Por lo tanto, algún P no es T.

A primera vista puede parecer un trabajo arduo averiguar la validez de este sorites. Pero basta con identificar que alguno de los cuatro conectores binarios de la conclusión no está implicado. Y un repaso visual de la secuencia de diagramas nos muestra que al menos una de las ocho rutas que van de la parte inferior de P a la parte inferior de T es de tipo continuo, la ruta P’QRST’; lo que al combinarse con las otras rutas implica por V1 un conector continuo, que no coincide con el conector doble inferior de la conclusión. Por eso el sorites no es válido.

16.4. Ejercicios

A. Indicar cuál de los siguientes enunciados conjuntistas corresponde al diagrama de patrones de categorías. Puede haber más de uno correcto.

a) S P

b) S P’ S P

c) S P = Ø

d) S P = Ø

e) S P

B. ¿Cuál o cuáles de los enunciados siguientes habrían quedado representados en el diagrama del ejercicio anterior?

a) Algunos socialistas (S) no son poetas (P)

b) Ningún socialista (S) es no poeta (P).

c) No hay socialistas (S) que no sean poetas (P)

d) Los socialistas (S) no son poetas (P).

e) No todos los socialistas (S) son poetas (P).

C. Señalar cuáles de los enunciados conjuntistas corresponden al diagrama de patrones de categorías. Puede haber más de uno correcto.

a) S P ≠ Ø

b) S P = Ø

c) S P S P

d) S P

e) S P = Ø

D. ¿Cuál o cuáles de los enunciados siguientes habrían quedado representados en el diagrama del ejercicio C anterior?

a) No hay suizos (S) que no sean pastores (P).

b) Los suizos (S) son pastores (P).

c) Algunos suizos (S) no son pastores (P).

d) Los suizos (S) no son pastores (P)

e) Hay suizos (S) pastores (P).

E. Señalar los incisos cuyo diagrama ternario resultaría de componer las premisas de alguna de las quince formas válidas de silogismos categóricos en forma estándar, e indicar el nombre de la forma.

F. Demostrar si los siguientes silogismos categóricos son válidos mediante el sistema de diagramas de patrones de categorías. Algunos no se encuentran estandarizados.

1. Los italianos son latinos. Ningún latino es una persona flemática. Luego, ningún italiano es flemático.

2. Como varios científicos naturales son biólogos, hay científicos naturales que son zoólogos pues varios biólogos son zoólogos.

3. Todos los humanos son mortales. Zeus no es mortal. Por lo tanto, Zeus no es humano.

4. Los esquimales son habitantes del polo norte. Ningún habitante del polo norte es friolento. Luego, ningún friolento es esquimal.

5. Sería preciso reducir ambos casos a una regla común. Por ejemplo: existe una sustancia que ennegrece los dedos del que la toca... Completé triunfante el silogismo: Venancio y Berengario tienen los dedos manchados de negro, ¡ergo han tocado esa sustancia! - Umberto Eco, El nombre de la rosa

6. Algunos primates son africanos porque hay primates que son nativos de Madagascar y los nativos de Madagascar son africanos.

7. Los liberales no son socialistas leninistas. Los socialdemócratas no son socialistas leninistas. Luego, los liberales no son socialdemócratas.

8. Ningún automóvil deportivo es vehículo barato. Los vehículos baratos no suelen ser duraderos. Por consiguiente, los automóviles deportivos suelen ser duraderos.

9. Si las cosas manifiestas se manifiestan a todos y los signos, en cambio, no se manifiestan a todos, las cosas manifiestas no son signos.

- Sexto Empírico, Contra los dogmáticos

10. Los conceptos físicos expresados con derivadas se refieren a razones instantáneas de cambio. Muchas velocidades son conceptos físicos expresados con derivadas. Luego, muchas velocidades se refieren a razones instantáneas de cambio.

G. Probar mediante el procedimiento de secuencias lineales de los diagramas de premisas los siguientes sorites. En varios sorites la conclusión última se encuentra implícita.

1. Lo que es un mal perjudica, lo que perjudica empeora; el dolor y la pobreza no empeoran, luego no son males.

Séneca, Epístolas morales a Lucilio

2. Todos los gatos son animales vivíparos. Todos los animales vivíparos son paridos por sus madres como fetos desarrollados. Todos los animales paridos por sus madres como fetos desarrollados tienen la posibilidad de vivir aislados. Ningún animal que tiene la posibilidad de vivir aislado está seguro de ser cuidado por alguien. Luego, todo gato está seguro de ser cuidado por alguien.

3. Lo que tiene un cuerpo sólido recibe energía externa; lo que recibe energía externa, es disoluble; lo que es disoluble morirá; lo que muere, tuvo necesariamente principio; lo que tiene principio, tuvo necesariamente un origen, es decir, un creador sensible, providente y hábil artesano. Lactancio, Instituciones divinas

4. Algunos científicos son supersticiosos. Todos los supersticiosos son individuos que caen recurrentemente en la falacia de falsa causa. Nadie que caiga recurrentemente en la falacia de causa falsa es un buen escéptico. Por lo tanto, algunos científicos no son buenos escépticos.

5. Lo que hace ruido se mueve; lo que está en movimiento no está helado; lo que no está helado es líquido; y lo líquido cede.

Plutarco, Moralia

6. Quien es fuerte, vive sin temor; quien vive sin temor, vive sin tristeza; quien vive sin tristeza, es feliz.

- Séneca, Epístolas morales a Lucilio

7. Quien bebe, duerme. Quien duerme, no peca. Quien no peca, es santo. Luego, quien bebe, es santo.

- Anónimo alemán

8. Todos los aficionados del Barcelona aman el futbol. Nadie que ame el futbol despreciaría el talento de Messi. Varios de los que desprecian el talento de Messi son periodistas deportivos. Todos los periodistas deportivos deberían estar enterados de temas deportivos. Por consiguiente, varios de los que deberían estar enterados de temas deportivos son aficionados del Barcelona.

9. E1 varón prudente es también moderado; el que es moderado es constante, el que es constante es imperturbable, el que es imperturbable carece de tristeza, quien carece de tristeza es feliz; luego, el varón prudente es feliz… - Séneca, Epístolas morales a Lucilio

10. El alma se mueve ella misma. Lo que se mueve por sí mismo es el principio del movimiento. Lo que es el principio del movimiento no ha nacido. Lo que no ha nacido es inmortal. Luego, el alma es inmortal.

Macrobio, Comentario al Sueño de Escipión de Cicerón

Capítulo 17

Diagramas aristotélico-eulerianos

Los diagramas de Mario Savio, llamados por él diagramas aristotélico-eulerianos (diagramas AE), constituyen una modificación y simplificación de los diagramas de Euler que permite probar silogismos válidos y obtener conclusiones de las solas premisas. La esencia de esta técnica consiste en identificar el papel del término medio como el puente o enlace de los términos menor y mayor del silogismo. Estos diagramas son altamente intuitivos en la mayoría de los casos y no requieren de una perspectiva determinada, tradicional o moderna, sobre el importe existencial de las proposiciones categóricas. Son un sistema correcto, completo y poseedor de free-rides

17.1. Lenguaje diagramático

El lenguaje de los diagramas AE contiene fundamentalmente curvas cerradas que representan a conjuntos o clases. Se formalizan diagramáticamente las proposiciones categóricas mediante dos intuiciones generales, de inclusión de clases en las afirmativas y de separación de clases en las negativas; y solo se distinguen las particulares de las universales al abreviar “Algún S” como AS:

S es P S P

Ningún S es P S P’ S P

Algún S es P S P’

Algún S no es P S P

Las proposiciones categóricas afirmativas comportan ambas la idea de la inclusión (total para la universal, y parcial para la particular) de la clase S en la clase P, por lo que se representan ambas con el círculo de S inscrito en el círculo de P. Las proposiciones categóricas negativas comportan la idea de separación de clases, de exclusión (total para la universal, y parcial para la particular) de las clases S y P, por lo que se representan ambas con los círculos de sus términos separados, sin zona de traslape.

17.2 Los dos principios generales de validez silogística

Se ha considerado tradicionalmente que las formas de silogismos válidos son reducibles a dos principios generales de validez silogística:

1. Dictum de omni (lo que se afirma universalmente de una clase, también se afirma de cualquier subclase de esa clase). El término medio M establece una relación inclusiva de manera que en la conclusión toda la clase, o parte de la clase, del término menor S se incluye en el término mayor P. Las formas barbara y darii, por ejemplo, obedecerían a tal principio.

2. Dictum de nullo (lo que se niega universalmente de una clase, también se niega de cualquier subclase de esa clase). El término medio M efectúa una relación de separación de modo que en la conclusión toda la clase, o parte de la clase, del término menor S se excluye del término mayor P. Las formas celarent y ferio seguirían este otro principio.

Si cualquier forma válida es reducible a los modos “perfectos” de la figura 1, entonces cualquier diagrama de un silogismo categórico válido obedece a alguno de estos principios inferenciales. En algunos silogismos esto es más evidente y en otros se pueden requerir conversiones lógicas de alguna premisa o de la conclusión.

En general, los seis patrones básicos de silogismos válidos en estos diagramas serán así:

Dictum de omni
Dictum de nullo

Un término en un diagrama puede ser:

1. Externo. Si la circunferencia del círculo del término completo delimita el diagrama de la proposición; en los diagramas de las proposiciones afirmativas A e I el predicado es externo.

2. Interno. Si no es externo y el término no es sujeto de una proposición particular. Un término completo interno es justamente el que se encuentra distribuido en la proposición de la que forma parte; en los diagramas de las proposiciones A y E el sujeto es interno, y en los de las proposiciones E y O el predicado es interno.

3. Ni externo, ni interno. Si no es externo y el término es sujeto de una proposición particular. El término sujeto de las proposiciones I y O no es interno ni externo.

Estas ideas se resumen en el siguiente cuadro donde se han destacado en gris los términos internos o distribuidos de cada diagrama:

Enunciado

Algún

En los diagramas de silogismos válidos siempre se tiene al término medio completo interno en una premisa y externo en la otra, de manera que al superponer mentalmente el externo al interno se transparenta la relación entre los términos menor y mayor d el silogismo vinculados en la conclusión. La regla general de que en un silogismo válido el término medio debe aparecer distribuido al menos una vez en las premisas puede entenderse ahora como que el término medio completo debe aparecer interno en una de las premisas diagramadas.

17.3. Prueba de validez

Para probar la validez de un argumento silogístico mediante diagramas AE se realizará lo siguiente:

1. Representar en vertical las premisas del argumento divididas por una recta horizontal.

2. Verificar si aparece el término medio completo interno en una premisa y externo en la otra. De ser así, al superponer mentalmente el externo en el interno surgirá la conclusión, en una especie de free-ride mediatizado.

Ejemplo

Probar un barbara

Todo M es P.

Todo S es M.

Por tanto, todo S es P.

Representemos la premisa mayor “Todo M es P” sobre una recta horizontal tangente al círculo mayor:

Luego, coloquemos debajo de la recta el diagrama de la premisa menor “Todo S es M”

Aunque no es indispensable para el método, suele ayudar el colocar una flecha que vaya del término medio externo (en este caso, debajo de la horizontal) al término medio interno completo (en este caso, encima de la horizontal).

Obsérvese que en este diagrama final es fácil identificar la conclusión “Todo S es P”, pues si el círculo de S está incluido en el de M (como se muestra en el diagrama inferior a la horizontal), y el de M está incluido en el de P (como se muestra en el diagrama superior a la horizontal), se sigue obviamente que el de S debe estar incluido en el de P.

Si asumimos que las clases S y P no son vacías, el diagrama de estas mismas premisas implica proposiciones categóricas derivables de “Todo S es P” como su subalterna “Algún S es P” o su conversa por limitación “Algún P es S”. De esta manera, las formas silogísticas “debilitadas” son demostrables con esta técnica, si se asume la interpretación tradicional de las proposiciones categóricas.

Ejemplo

Probar un celarent

Ningún M es P

Todo S es M

Por tanto, ningún S es P

Claramente, el argumento es válido.

Ejemplo

Probar un darii

Todo M es P

Algún S es M

Por tanto, algún S es P

Es claro que se sigue la conclusión “Algún S es P”.

Ejemplo

Probar un ferio

Ningún M es P

Algún S es M

Por tanto, algún S no es P

Es obvio que “Algún S no es P”.

Ejemplo

Probar un camestres

Todo P es M

Ningún S es M

Por tanto, ningún S es P

Es claro que “Ningún S es P”.

Silogismos cuya prueba requiere conversiones

En algunas formas silogísticas válidas la conclusión no se obtiene inmediatamente, sino que deben realizarse algunas conversiones. De esto tratan los ejemplos siguientes.

Ejemplo

Probar un datisi

Todo M es P

Algún M es S.

Por tanto, algún S es P.

En primera instancia, el diagrama no presenta el patrón interno/externo del término medio completo en un silogismo válido.

Aquí lo que se requiere es externalizar el término medio de la segunda premisa “Algún M es S” con una conversión simple, “Algún S es M”. Así es fácil superponer mentalmente el término medio externalizado al interno y ver clara la conclusión “Algún S es P”.

Véase que en este caso no habría servido externalizar el término M de la primera premisa, porque el término M de la segunda premisa no es interno y, por ello, no sería posible superponerlos. De haber hecho esta conversión, habría quedado como un silogismo sin término medio distribuido.

En los diagramas que requieren conversiones no es útil convertir proposiciones tipo E porque sus conversas serían otras proposiciones tipo E que no externalizan el término medio. Las tres inferencias inmediatas que habitualmente son útiles para externalizar el término medio son las que presenta este cuadro:

Premisa

Todo M es X

Algún M es X

Algún M no es X

X

Obversión y conversión simple

Algún no X es M P

Ejemplo

Probar un bocardo

Algún M no es P

Todo M es S

Por tanto, algún S no es P

Nuevamente el diagrama no presenta el patrón interno/externo del término medio completo para un silogismo válido.

Es preciso obvertir y convertir el diagrama de la premisa mayor “Algún M no es P” para obtener “Algún no-P es M”.

Y de este modo es fácil visualizar la conclusión “Algún no P es S” que si se convierte y obvierte queda como “Algún S no es P”.

Ejemplo

Probar la invalidez de un AAA-2.

Todo P es M

Todo S es M

Por tanto, todo S es P

Como ninguno de los diagramas tiene M interna, el silogismo no es válido.

Ejemplo

Las premisas OE no pueden formar parte de un silogismo estándar válido, ni en la figura tres ni en ninguna otra por tratarse de dos premisas negativas. Pero es posible extraer conclusiones no estandarizadas si se acepta el compromiso existencial en la premisa mayor. Encontrar alguna.

Algún M no es P.

Ningún M es S.

Nuevamente el diagrama no presenta el patrón interno/externo del término medio completo para un silogismo válido. Ahora hay M interno en la segunda premisa, y es posible externalizar M en la primera premisa.

Si asumimos la existencia de M, entonces se sigue la conclusión de “Algún no P no es S”, que equivale por obversión y conversión a la proposición categórica no estandarizada “Algún no S es no P”.

17.4. Ejercicios

A. Indicar cuál de los siguientes enunciados conjuntistas corresponde al diagrama AE. Puede haber más de uno correcto.

a) S P = Ø

b) S P

c) S P

d) S P ’

e) S ∩P = Ø

B. ¿Cuál o cuáles de los enunciados siguientes habrían quedado formalizados en el diagrama del ejercicio A anterior?

a) Algunos socialistas (S) no son poetas (P).

b) Ningún socialista (S) es no poeta (P).

c) No hay socialistas (S) que no sean poetas (P)

d) Los socialistas (S) no son poetas (P).

e) No todos los socialistas (S) son poetas (P)

C. Señalar cuáles de los enunciados conjuntistas corresponden al diagrama AE. Puede haber más de uno correcto.

a) S P

b) S P

c) S ∩ P ≠ Ø

d) S ∩ P = Ø

e) S P = Ø

D. ¿Cuál o cuáles de los enunciados siguientes habrían quedado formalizados en el diagrama del ejercicio C anterior?

a) Algunos suizos (S) no son pastores (P).

b) Los suizos (S) no son pastores (P)

c) No hay suizos (S) que no sean pastores (P)

d) Los suizos (S) son pastores (P).

e) Hay suizos (S) pastores (P)

E. Señalar los incisos cuyo diagrama representa las proposiciones que podrían ser premisas de alguna de las quince formas válidas de silogismos categóricos en forma estándar, e indicar el nombre de la forma.

F. Demostrar si los siguientes silogismos categóricos son válidos mediante el sistema de diagramas AE. Algunos no se encuentran estandarizados.

1. Los italianos son latinos. Ningún latino es una persona flemática. Luego, ningún italiano es flemático.

2. Como varios científicos naturales son biólogos, hay científicos naturales que son zoólogos pues varios biólogos son zoólogos.

3. Todos los humanos son mortales. Zeus no es mortal. Por lo tanto, Zeus no es humano.

4. Los esquimales son habitantes del polo norte. Ningún habitante del polo norte es friolento. Luego, ningún friolento es esquimal.

5. Sería preciso reducir ambos casos a una regla común. Por ejemplo: existe una sustancia que ennegrece los dedos del que la toca... Completé triunfante el silogismo: Venancio y Berengario tienen los dedos manchados de negro, ¡ergo han tocado esa sustancia!

- Umberto Eco, El nombre de la rosa

6. Algunos primates son africanos porque hay primates que son nativos de Madagascar y los nativos de Madagascar son africanos.

7. Los liberales no son socialistas leninistas. Los socialdemócratas no son socialistas leninistas. Luego, los liberales no son socialdemócratas.

8. Ningún automóvil deportivo es vehículo barato. Los vehículos baratos no suelen ser duraderos. Por consiguiente, los automóviles deportivos suelen ser duraderos.

9. Si las cosas manifiestas se manifiestan a todos y los signos, en cambio, no se manifiestan a todos, las cosas manifiestas no son signos. - Sexto Empírico, Contra los dogmáticos

10. Los conceptos físicos expresados con derivadas se refieren a razones instantáneas de cambio. Muchas velocidades son conceptos físicos expresados con derivadas. Luego, muchas velocidades se refieren a razones instantáneas de cambio.

Capítulo 18

Diagramas de rompecabezas

Los diagramas de rompecabezas de Castro-Manzano son un sistema que utiliza piezas de ensamble diseñadas para probar silogismos categóricos. Se apoya en la idea de que si un silogismo es válido cuando se enlazan los términos de cierta manera, entonces las p iezas de rompecabezas que representan a esos términos del silogismo también encajarán. Este sistema diagramático es correcto, completo y posee free-rides.

18.1. Lenguaje diagramático

Desde una perspectiva teórica, un rompecabezas puede verse como un tipo de teselación, es decir, como un tipo de recubrimiento del plano mediante baldosas o piezas, sin huecos ni traslapes. Es común que las piezas de muchos rompecabezas posean pomos o protuberancias (knobs) y enchufes o huecos (sockets) que facilitan el ensamblaje de las piezas entre sí. Véase la imagen de estas dos piezas con la indicación de un knob y de un socket:

El lenguaje de los diagramas de rompecabezas se forma de dos piezas básicas o diagramas elementales:

1. Huecos (sockets). Representan a términos distribuidos de clase en posición de sujeto o de predicado de una proposición categórica.

2. Protuberancias (knobs). Representan a términos no distribuidos de clase en posición indistinta de sujeto o de predicado de una proposición categórica.

Dados dos diagramas elementales, las siguientes cuatro combinaciones ( socket/knob, socket/socket, knob/knob y knob/socket) son diagramas bien formados:

También son diagramas bien formados las pilas, que son secuencias de diagramas como las siguientes:

En lo sucesivo distinguiremos las piezas con tonos de gris diversos y con tramas o sombreado a rayas para facilitar su visualización. Las cuatro proposiciones categóricas típicas se representan del siguiente modo:

Enunciado Formalización conjuntista Formalización diagramática

Todo S es P S P S P

Ningún S es P S P = P S

Algún S es P S ∩ P Ø S P

Algún S no es P S P

18.2. Inferencias inmediatas

S P

En este sistema es posible expresar un cuadrado moderno de oposición que quedaría así:

No hay relaciones de contrariedad, de subcontrariedad o de subalternación. Y tampoco son válidas las inferencias de conversión por limitación ni contraposición por limitación; sin embargo, es posible realizar las conversiones admitidas por la interpreta ción moderna de las proposiciones categóricas mediante las operaciones de rotación de piezas y de sustitución de piezas. Son válidas, por ejemplo, las conversiones simples de las proposiciones E y de las proposiciones I mediante una rotación de 180o de los diagramas elementales como se muestra a continuación:

También es dable llevar a cabo contraposiciones simples entre las proposiciones A y O a través del intercambio de cada pieza por la otra (es decir, el knob cambia a socket y el socket cambia a knob), y cada letra de término es reemplazada por el complemento del término:

La obversión es válida para las cuatro proposiciones. Consiste en cambiar solo en la pieza del predicado al knob por un socket (o al socket por un knob), y en sustituir la letra del término por su complemento. Véase que de manera correcta la obversa de la proposición tipo A queda como tipo E, la obversa de la tipo E como A, la de I como O y la de O como I:

18.3. Prueba de validez

Observemos que al colocar el mismo término M en posición de sujeto y predicado de cada proposición categórica solo la proposición A “Todo M es M” es una verdad lógica.

La identificación del diagrama de “Todo M es M” es clave para la prueba de validez de silogismos; habrá casos en que sea más fácil formar su equivalente “Todo no M es no M”. Téngase el cuidado, además, de no confundir el diagrama de “Todo M es M” con el de “Algún M no es M” por ser ambos cuadrados, pero solo el primero es una verdad lógica y es por ello el buscado en esta técnica al probar silogismos.

Para facilitar la distinción entre los tres diagramas de sendos términos de un silogismo representaremos el término M con un socket o un knob coloreado o sombreado con una trama de líneas diagonales, tal como aparece en las anteriores proposiciones diagramadas. La prueba de la validez de un argumento silogístico mediante los diagramas de rompecabezas requiere seguir estos pasos:

1. Apilar los diagramas que representan las premisas del silogismo.

2. Unir los diagramas del término medio M de ambas premisas utilizando reglas de equivalencia (conversión, obversión o contraposición) donde se requieran. Si al embonar los diagramas de M se produce el diagrama de una proposición A “Todo

M es M”, el argumento es válido; si no se produce tal diagrama, el argumento es inválido.

Veamos los ejemplos siguientes.

Ejemplo

Probar con diagramas de rompecabezas la validez de un silogismo barbara.

Todo M es P.

Todo S es M.

Por lo tanto, todo S es P.

Primero se representa la premisa “Todo M es P” con el diagrama que corresponde a su tipo A:

Luego se formaliza diagramáticamente la segunda premisa “Todo S es M”, que también es A:

Se forma una sola pila con los diagramas de las premisas:

Adviértase que este es un caso donde al unir los diagramas del término medio M de ambas premisas se produce la verdad lógica “Todo M es M”:

Al producirse esta verdad lógica siempre se obtiene un free-ride a la conclusión, es decir, las piezas de la conclusión embonan formando en automático el diagrama de

la conclusión que se anota como un tercer diagrama debajo del símbolo de consecuencia calculística :

En este caso, la conclusión obtenida con el enlace de las piezas de los términos S y P es “Todo S es P”, justo la que corresponde a un silogismo barbara. El silogismo es, por tanto, válido.

Ejemplo

Verificar la validez de un celarent

Ningún M es P

Todo S es M

Ejemplo

Probar la validez de un darii.

Todo M es P.

Algún S es M

Luego, algún S es P.

Luego, ningún S es P

Ejemplo

Véase la validez de un ferio

Ningún M es P

Algún S es M

Luego, algún S no es P

Varias formas silogísticas requieren para su prueba diagramática el uso de conversiones lógicas. Las expresiones conv, contr y obv significarán respectivamente conversión simple, contraposición simple y obversión.

Ejemplo

Probar la validez de un camestres

Todo P es M

Ningún S es M

Luego, ningún S es P.

Al apilar los diagramas de las premisas no es obvio cómo armar el diagrama de la proposición A con el término medio M.

Aplíquese una conversión a la premisa menor de manera que de “Ningún S es M” resulte “Ningún M es S”.

Véase que ahora es factible ensamblar , mediante la conversa de la premisa menor “Ningún M es S” y la premisa mayor “Todo P es M” , los diagramas de la verdad lógica “Todo M es M” y de la conclusión “Ningún S es P”.

Considérese ahora un caso algo más complejo.

Ejemplo

Probar la validez de un baroco

Todo P es M.

Algún S no es M.

Luego, algún S no es P.

Para la premisa mayor se requirieron una obversión y conversión; para la menor, una contraposición, obversión y conversión. La verdad lógica “Todo no M es no M” es equivalente a “Todo M es M”.

Cualquier forma válida de la segunda, tercera o cuarta figuras puede demostrarse si se le reduce a alguno de los cuatro modos “perfectos” de la primera figura que ya se probaron antes con esta misma técnica diagramática. A continuación, se probarán diagramáticamente un camestres y un baroco mediante reducción a modos de la primera figura.

Ejemplo

Probar de nuevo un camestres, pero ahora con reducción al modo perfecto celarent

Todo P es M

Ningún M es S(P).

Ningún S es M se reduce a Todo P (S) es M

Luego, ningún S es P

Luego, ningún P(S) es S(P).

Primero se apilan las premisas. Luego se observa que la propia palabra camestres contiene en algunas de sus consonantes las instrucciones de la reducción (en este caso, m para mutación de premisas y s para conversión simple). De manera que se realiza una mutación de premisas, conversión simple de la premisa menor y conversión simple de la conclusión.

Ejemplo

Demostrar la validez de un baroco por medio de reducción al modo perfecto barbara

Todo P es M

Todo P(M) es M(P).

Algún S no es M se reduce a Todo S es P(M).

Luego, algún S no es P

Luego, todo S es M(P).

La r de baroco indica una reducción al absurdo. Por ello, se supone que las premisas son verdaderas y la conclusión es falsa. Se toma la negación lógica de la conclusión y se coloca su diagrama en el lugar del diagrama de la premisa menor. Al combinarla con el diagrama de la premisa mayor se obtiene un silogismo barbara cuya conclusión es justo la negación lógica de la premisa menor del silogismo original baroco, lo cual implica que no puede ocurrir que las premisas sean verdaderas y la conclusión sea falsa.

Véase ahora el uso de esta técnica en un argumento inválido.

Ejemplo

Probar la invalidez de un EEE-2.

Ningún P es M

Ningún S es M

Luego, ningún S es P

Aquí se observa que ninguna regla de conversión permite llegar a un knob con el término M para ensamblarlo con el otro diagrama de M (que sería uno de los sockets de M). De este modo, no es posible obtener la verdad lógica “Todo M es M” ni su equivalente “Todo no M es no M”. No es posible derivar la conclusión buscada “Ningún S es P”, lo que se indica cruzando el símbolo de consecuencia.

Ejemplo

Probar la invalidez de un IEE-3.

Algún P es M

Ningún S es M. Luego, ningún S es P.

Si fuera válido, dada la pila de sus premisas

se debería obtener el diagrama de la conclusión

Para obtener “Todo M es M” se convierte la premisa menor

y esto no permite obtener la conclusión buscada “Ningún S es P”, por lo que es inválido.

Véase que la conclusión que puede darse “Algún P no es S” luego de haber convertido a la premisa menor requeriría el intercambio de premisas y de términos menor y mayor, lo que con las conversiones requeridas permitiría probar silogismos de las formas ferio, festino, ferison o fresison. Esto muestra cómo usar esta técnica diagramática para resolver entimemas. Dada la sola pareja de premisas, el método permite identificar la conclusión o conclusiones derivables, en caso de que las haya.

18.4. Ejercicios

A. Indicar cuál de los siguientes enunciados conjuntistas corresponde al diagrama de rompecabezas. Puede haber más de uno correcto.

a) S P

b) S P

c) S P = Ø

d) S P’

e) S –P ≠ Ø

B. ¿Cuál o cuáles de los enunciados siguientes habrían quedado formalizados en el diagrama del ejercicio A anterior?

a) No hay servidores (S) que no sean políticos (P).

b) Los servidores (S) no son políticos (P).

c) No todos los servidores ( S) son políticos (P).

d) Algunos servidores (S) no son políticos (P).

e) Ningún servidor (S) es no político (P)

C. Señalar el inciso que contiene la pareja de enunciados conjuntistas que corresponden a la pila de diagramas de rompecabezas. Puede haber más de uno correcto.

a) S M y M P

b) S M y M P ≠ Ø

c) M P = Ø y S M

d) S ∩M ≠ Ø y P ∩M ≠ Ø

e) S M = Ø y P M = Ø

D. ¿Cuál o cuáles de los enunciados siguientes habrían quedado formalizados en el diagrama del ejercicio C anterior?

a) Ningún médico (M) es pastor (P) y algunos suizos (S) no son médicos (M).

b) Los suizos (S) no son médicos (M) y los pastores (P) no son médicos (M).

c) No hay suizos (S) que no sean médicos ( M), ni suizos (S) que no sean pastores (P).

d) Los suizos (S) son médicos (M) y los pastores (P) son médicos (M)

e) Hay suizos (S) médicos (M) y hay pastores (P) médicos (M).

E. Señalar los incisos cuya pila representa una pareja de premisas que poseen alguna proposición categórica típica como consecuencia, e indicar el nombre de alguna forma válida que permitirían probar. Presuponer la interpretación moderna de las proposiciones categóricas.

F. Demostrar si los siguientes silogismos categóricos son válidos mediante el sistema de diagramas de rompecabezas. Algunos no se encuentran estandarizados.

1. Ningún silogismo de ese texto es inválido. Ningún silogismo válido tiene dos premisas particulares. Por consiguiente, ningún silogismo de ese texto tiene dos premisas particulares.

2. Al ebrio nadie le confía un secreto, pero al hombre de bien sí se le confía, luego el hombre de bien no será ebrio.

- Zenón de Citio citado por Séneca en Epístolas morales a Lucilio

3. Como varios científicos naturales son biólogos, hay científicos naturales que son zoólogos pues varios biólogos son zoólogos.

4. … el sentido… no aprehende la esencia de una cosa; lo que no aprehende la esencia de una cosa tampoco aprehende una noción de la verdad; por lo tanto, el sentido tampoco aprehende una noción de la verdad.

- Boecio, Segundo comentario al De interpretatione de Aristóteles

5. Los esquimales son habitantes del polo norte. Ningún habitante del polo norte es friolento. Luego, ningún friolento es esquimal.

6. Algunos primates son africanos porque hay primates que son nativos de Madagascar y los nativos de Madagascar son africanos.

7. Los liberales no son socialistas leninistas. Los socialdemócratas no son socialistas leninistas. Luego, los liberales no son socialdemócratas.

8. Ningún automóvil deportivo es vehículo barato. Los vehículos baratos no suelen ser duraderos. Por consiguiente, los automóviles deportivos suelen ser duraderos.

9. Si las cosas manifiestas se manifiestan a todos y los signos, en cambio, no se manifiestan a todos, las cosas manifiestas no son signos.

- Sexto Empírico, Contra los dogmáticos

10. Las cosas que no infunden en el alma grandeza, ni confianza, ni seguridad no son bienes; es así que las riquezas, la buena salud y otras ventajas similares a estas no procuran ninguno de los efectos mencionados, luego no son bienes.

- Posidonio citado en Séneca, Epístolas morales a Lucilio

TERCERA PARTE. CONJUNTOS

Capítulo 19

Conjuntos y diagramas

19.1. ¿Qué es un conjunto?

Entenderemos por conjunto a una clase o reunión de objetos de cualquier tipo. Se dice que los objetos son los elementos o miembros del conjunto. Las dos formas principales de designar conjuntos son las siguientes:

1. Por extensión: se enlistan los objetos pertenecientes al conjunto.

2. Por intensión: se emplea una expresión que se refiera a alguna propiedad común de los elementos del conjunto y solo de ellos.

A la designación por extensión también se le llama por enumeración o especificación; y a la que es por intensión se le denomina también por comprensión o aprensión. Los siguientes son ejemplos de conjuntos designados por extensión.

Ejemplo

A = {Athos, Porthos, Aramis}

B = {1, 3, 5, 7, 9, …}

El primer conjunto puede leerse así: “A es el conjunto formado por los elementos Athos, Porthos y Aramis”. El segundo conjunto puede leerse como: “B es el conjunto formado por los elementos uno, tres, cinco, siete,…”.

En el ejemplo 2 se designan por intensión a los conjuntos anteriores.

Ejemplo

A = {x: x fue uno de los tres mosqueteros en la famosa obra de Dumas}

B = {x: x es número natural impar}

El conjunto A puede leerse "A es el conjunto formado por todos los x, tales que x fue uno de los tres mosqueteros en la famosa obra de Dumas". El conjunto B se leería "B es el conjunto formado por todos los x, tales que x es número natural impar".

Un elemento “es miembro de” o “pertenece a” un conjunto, lo cual se representa como en la expresión

Athos A, que se lee “Athos pertenece al conjunto A” o también “Athos es miembro del conjunto A”. El hecho de que el número 2 no pertenezca al conjunto B lo expresamos cruzando el símbolo de pertenencia como en el enunciado 2 B

Cardinalidad de un conjunto

La cardinalidad o tamaño de un conjunto es el número de elementos que contiene, y la expresaremos con barras verticales a los lados del conjunto. Los conjuntos anteriores tienen las cardinalidades siguientes:

Ejemplo |A| = 3 |{x: x es número natural impar}| =

Según si tiene uno, dos, tres o más elementos se dice que un conjunto es unitario, binario, ternario o n–ario. El conjunto A del ejemplo es ternario y el conjunto { x: x es número natural impar} es de cardinalidad infinita.

Principio de extensionalidad

Los conjuntos están determinados por sus elementos. Esto lo establece el principio de extensionalidad: para cualquier pareja de conjuntos A y B, y para toda x, se cumple que

A = B si y solo si A y B poseen los mismos elementos x.

De esta manera, no importa el orden al enlistar los elementos de un conjunto, ni si los elementos se enlistan más de una vez, pues cada elemento vale por uno solo. Además, puede designarse intensionalmente a un mismo conjunto aunque se mencionen distint as propiedades.

Conjunto universo

El conjunto universo o dominio es el que contiene a todos los elementos a que se puede aludir en un contexto particular. Lo representaremos con la letra U.

Cualquier conjunto designado en el mismo contexto, y que no sea U, será un subconjunto de U. Utilizaremos diagramas de Venn para mostrar gráficamente la diferencia entre el conjunto universo y sus subconjuntos. El universo se representa con un rectángulo y sus subconjuntos con círculos o elipses dentro del rectángulo. Un conjunto universo U que incluya al conjunto A podría quedar representado de esta forma:

Conjunto vacío

Asumimos que existe un conjunto sin elementos al que llamaremos conjunto vacío, que denotaremos como o con llaves vacías de elementos como {}. El conjunto de los triángulos cuadrados, por ejemplo, sería un conjunto vacío.

La cardinalidad del conjunto vacío es cero, es decir, | | = 0.

Inclusión

Un conjunto A está incluido en (o es subconjunto de) un conjunto B, si y solo si todos los elementos de A están en B. Expresaremos esta relación como A B. De los siguientes

enunciados conjuntistas, los dos primeros afirman relaciones de inclusión y el tercero niega la relación de inclusión.

Ejemplo

{2, 3, 4} {1, 2, 3, 4, 5}

{Albert Einstein} {x: x fue un físico del siglo XX}

{1, 3} {2, 4, 6, 8. 10}

Las relaciones de pertenencia y de inclusión son muy distintas. La relación de pertenencia se da entre elementos y conjuntos y la de inclusión entre conjuntos. Véase el siguiente ejemplo.

Ejemplo

A = {x: x es un latinoamericano}

B = {x: x es un peruano}

C = {x: x es un argentino}

Los conjuntos B y C son subconjuntos de A, pues los peruanos y los argentinos son latinoamericanos; pero B y C no pertenecen a A, porque A contiene humanos de carne y hueso que son latinoamericanos, no contiene conjuntos.

Tres propiedades interesantes de la relación de inclusión son:

1. Para todo conjunto A, A.

2. Para todo conjunto A, A A.

3. Para todo conjunto A, B, C, si A B y B C, entonces A C.

19.2. Operaciones con conjuntos

Complemento

El complemento A’ de un conjunto A es el conjunto formado por los elementos del universo U que no pertenecen a A.

La siguiente tabla de pertenencia expresa en el primer renglón que si un elemento cualquiera pertenece al conjunto A, entonces no pertenece a su complemento A’; y en el segundo renglón señala que si un elemento no pertenece a A, entonces sí pertenece a A’. A la derecha de la tabla de pertenencia se encuentra un diagrama de Venn que representa sombreada la región correspondiente a A’.

Intersección

La intersección de A y B, que se escribe A B, es el conjunto que contiene a los elementos que son comunes a A y a B.

La tabla de pertenencia expresa en cada renglón las posibilidades de pertenencia de un elemento a los dos conjuntos. Solo cuando el elemento pertenezca a ambos conjuntos pertenecerá a A ∩ B. El diagrama de Venn sombrea la región correspondiente a la intersección.

Unión

La unión de dos conjuntos A y B, que se escribe A B, es el conjunto formado por los elementos que están en A, en B o en ambos.

Su tabla de pertenencia y su diagrama de Venn pueden representarse así:

Diferencia

La diferencia entre dos conjuntos A y B, que se escribe A – B, es el conjunto formado por los elementos de A que no están en B.

El conjunto A – B puede quedar representado por medio de la siguiente tabla y el siguiente diagrama:

Diferencia simétrica

La diferencia simétrica entre dos conjuntos A y B, que escribiremos A B, es el conjunto formado por los elementos que solo están en A o en B, pero no en ambos

La tabla y el diagrama siguientes representan la diferencia simétrica:

Ejemplo

Dados el conjunto universo y sus siguientes subconjuntos, obtener los conjuntos que se piden en cada inciso.

U = {1, 2, 3, 4, 5, 6, 7, 8}

A = {1, 2, 3, 4}

B = {2, 3, 5, 6}

C = {3, 4, 6, 7}

a) A’ = {1, 2, 3, 4}’ = {5, 6, 7, 8}

b) B ∩ C = {2, 3, 5, 6} ∩ {3, 4, 6, 7} = {3, 6}

c) A B = {1, 2, 3, 4} {2, 3, 5, 6} = {1, 2, 3, 4, 5, 6}

d) C – B = {3, 4, 6, 7} – {2, 3, 5, 6} = {4, 7}

e) B Δ C = {2, 3, 5, 6} Δ {3, 4,6, 7} = {2, 4, 5, 7}

f) A (B ∩ C) = {1, 2, 3, 4} ({2, 3, 5, 6} ∩ {3, 4, 6, 7}) = {1, 2, 3, 4} {3, 6} = {1, 2, 3, 4, 6}

g) (A B) ∩ (A C) = ({1, 2, 3, 4} {2, 3, 5, 5}) ∩ ({1, 2, 3, 4} {3, 4, 6, 7}) = {1, 2, 3, 4, 5, 6} ∩ {1, 2, 3, 4, 6, 7} = {1, 2, 3, 4, 6}

h) (C’ Δ B’)’ – (C ∩ A’ )’ = ({3, 4, 6, 7}’ Δ {2, 3, 5, 6}’)’ –({3, 4, 6, 7} ∩ {1, 2, 3, 4}’)’ = ({1, 2, 5, 8} Δ {1, 4, 7, 8})’ –({3, 4, 6, 7} ∩ {5, 6, 7, 8})’ = {2, 4, 5, 7}’ – {6, 7}’ = {1, 3, 6, 8} – {1, 2, 3, 4, 5, 8} = {6}

19.3. Demostraciones de teoremas conjuntistas

Es posible probar la verdad de enunciados conjuntistas mediante métodos diversos. Aquí se verán solo tres métodos: la prueba formal simbólica, las tablas de pertenencia y las tablas de regiones.

Prueba formal simbólica

Consiste en mostrar por derivaciones lógicas que si algún elemento x cualquiera pertenece a cierto conjunto, entonces pertenece a otro. En el primer ejemplo demostramos un enunciado que afirma cierta inclusión de conjuntos.

Ejemplo

Proposición: A A B

Prueba:

Sea x A.

x A y/o x B (por el sentido inclusivo de "y/o").

x A B (definición de ).

A A B (definición de ). ■

En el ejemplo que sigue probaremos una relación de igualdad entre conjuntos. Por tratarse de una igualdad es preciso mostrar que los conjuntos se incluyen mutuamente; es decir, los elementos del conjunto del primer miembro (lado izquierdo) de la igualda d están contenidos en el conjunto del segundo miembro (lado derecho); y los elementos del conjunto del segundo miembro pertenecen también al conjunto del primer miembro de la igualdad.

Ejemplo

Proposición: (A ∩ B)’ = A’ B’

Prueba:

Sea x (A ∩ B)’.

x (A ∩ B) (definición de ’).

x A y/o x B (definición de ∩).

x A’ y/o x B’ (definición de ’).

x A’ B’ (definición de ).

Ahora probemos la implicación recíproca.

Sea x A’ B’.

x A’ y/o x B’ (definición de ).

x A y/o x B (definición de ’).

x (A ∩ B) (definición de ∩).

x (A ∩ B)’ (definición de ’). ■

Tablas de pertenencia

Para desarrollar tablas de pertenencia se siguen estos pasos:

1. Escribir en columnas separadas, y por orden alfabético, las letras de cada conjunto.

2. Determinar las filas (renglones) que tendrá la tabla mediante la fórmula 2 n, donde n es el número de letras conjuntistas. Si hubiera, por ejemplo, un conjunto, resultarían dos filas; de dos conjuntos resultan cuatro filas, de tres conjuntos obtendríamos ocho filas, y así sucesivamente.

3. Rellenar la primera columna del lado derecho con valores de pertenencia o membresías alternadas positivas y negativas de una en una, hasta completar las 2n filas correspondientes. La segunda columna a la izquierda (si la hay) se rellena con membresías de dos en dos, la tercera columna (si la hay) las lleva de cuatro en cuatro, la cuarta (si la hay) de ocho en ocho, y así en lo sucesivo. Así tenemos todas las combinaciones de las posibilidades de pertenencia de un elemento del universo de discurso a los n conjuntos.

4. Anotar el conjunto o enunciado conjuntista cuya tabla haremos a la derecha de las letras de conjunto que encabezan las columnas de referencia elaboradas según las instrucciones anteriores.

5. Pasar las membresías de las columnas de referencia debajo de cada letra conjuntista del conjunto o enunciado conjuntista a evaluar, de acuerdo con el comportamiento de las tablas básicas de pertenencia que hay para cada operación

conjuntista de complemento, intersección, unión, diferencia y diferencia simétrica. Se debe comenzar "de dentro hacia afuera", hasta la columna final.

6. La columna o columnas finales de membresías es o son las que se encuentran justo debajo de cada operador conjuntista principal del conjunto o de los dos conjuntos relacionados en el enunciado conjuntista.

Se prueba que un primer conjunto está incluido en un segundo conjunto si en cada fila donde un elemento pertenece al primero, también el elemento pertenece al segundo; esto ocurre en la primera fila del siguiente ejemplo. No importa si sobran membresías del segundo conjunto, como en la cuarta fila del ejemplo.

Ejemplo

Proposición: A ∩ B [(A – B) (B – A)]’

A B A ∩ B [(A – B) (B – A)]’

Se prueba que dos conjuntos son iguales si sus columnas finales son idénticas.

Ejemplo

Proposición: A (B ∩ C) = (A B) ∩ (A C)

A B C A (B ∩ C) (A B) ∩ (A C)

Tablas de regiones

Un conjunto ordinario puede expresarse también como una combinación determinada de regiones de un diagrama de Venn. El rectángulo que representa al universo de discurso se divide en 2n regiones por cada n subconjuntos del mismo universo. Si posee un subconjunto A, habrá dos regiones: la del propio conjunto A y la de su complemento, que podemos nombrar como R1 y R2, respectivamente:

Si tiene dos subconjuntos, habrá cuatro regiones también designables:

A Si hay tres subconjuntos, se tienen ocho regiones:

De cuatro subconjuntos se obtienen dieciséis regiones y así sucesivamente.

Es posible hacer pruebas visuales o diagramáticas de enunciados conjuntistas mediante tablas de regiones. El procedimiento es el siguiente:

1. Anotar debajo de cada conjunto en columnas separadas las regiones del diagrama R1, R2, etcétera, que ocupa ese conjunto.

2. Escribir las regiones debajo de la expresión conjuntista comenzando por los conjuntos más internos. Si existe el complemento de un conjunto, deben anotarse las regiones no contenidas en el conjunto fundamental.

3. Anotar las regiones correspondientes a cada nuevo conjunto formado con los conjuntos previos y los operadores conjuntistas.

4. La última columna de regiones de pertenencia es la que representa al conjunto final.

Una inclusión se prueba si las regiones del subconjunto están incluidas en las del supraconjunto. Una igualdad se prueba cuando coinciden las regiones de los dos conjuntos.

En el ejemplo siguiente se encuentra que las regiones de los conjuntos finales coinciden, con lo que se prueba que son iguales.

Ejemplo

Proposición: A (B ∩ C) = (A B) ∩ (A C)

En el ejemplo siguiente la región correspondiente al conjunto de la izquierda de la relación de inclusión es también región del conjunto de la derecha de la relación de inclusión, lo cual prueba que el primer conjunto está incluido en el segundo.

Ejemplo

Proposición: A ∩ B’ A Δ B

Igualdades conjuntistas notables

Algunos enunciados conjuntistas son teoremas que expresan igualdades notables como los que se enlistan a continuación:

Doble complemento

A’’ = A

Idempotencia

A ∩ A = A

A A = A

Identidad

A A’ = U

A ∩ A’ = Ø

A U = U

A ∩ U = A

Conmutatividad

A ∩ B = B ∩ A

A B = B A

Absorción

(A ∩ B) A = A

(A B) ∩ A = A

Asociatividad

(A ∩ B) ∩ C = A ∩ (B ∩ C) (A B) C = A (B C)

Distributividad

A ∩ (B C) = (A ∩ B) (A ∩ C)

A (B ∩ C) = (A B) ∩ (A C)

Leyes de De Morgan

(A ∩ B)’ = A’ B’

(A B)’ = A’ ∩ B’

En los ejercicios de este capítulo se pedirá la prueba de varios de estos teoremas.

19.4. Designaciones conjuntistas de regiones de diagramas

Cualquier región de un diagrama de Venn puede nombrarse cómodamente con una combinación de intersección y de complementación de conjuntos. Consideremos el diagrama de Venn utilizado antes para un conjunto y su universo de discurso: A B B’ A ∩ B’ A Δ B

La región R1 que es interior al conjunto A puede designarse simplemente como A. La región R2 exterior al conjunto A sería el complemento de A, es decir, A’.

Con dos subconjuntos, las regiones serían

La región R1 se denominaría A ∩ B, pues es justo la región de intersección de ambos conjuntos; R2 corresponde a A’ ∩ B, porque se encuentra fuera de A, pero dentro de B; R3 se expresa como A’ ∩ B’ por encontrarse fuera de los dos conjuntos y R4 sería A ∩ B’.

Si hay tres subconjuntos, tenemos ocho regiones cuyas designaciones conjuntistas están escritas en el diagrama.

Las ocho regiones del diagrama son:

1. La que se encuentra en A, B y C designada A ∩ B ∩ C.

2. La que no está en A, pero sí en B y C, designada A’ ∩ B ∩ C

3. La que no está ni en A, ni en B, pero sí en C, designada A’ ∩ B’ ∩ C.

4. La que se encuentra en A y C, pero no en B, designada A ∩ B’ ∩ C

5. La que se encuentra en A, pero no en B ni en C, designada A ∩ B ’ ∩ C’.

6. La que se encuentra en A y en B, pero no en C, designada A ∩ B ∩ C’.

7. La que no está ni en A, ni en C, pero sí en B, designada A’ ∩ B ∩ C’.

8. La que no está ni en A ni en B, ni en C, designada A’ ∩ B’ ∩ C’.

Ejemplo

Dado el siguiente diagrama de los cuatro conjuntos, expresar en lenguaje conjuntista con los operadores de intersección y complemento las regiones indicadas con las letras R1, R2 y R3.

Región R1: A ∩ B ∩ C ∩ D’

Región R2: A ∩ B ∩ C ∩ D

Región R3: A’ ∩ B’ ∩ C’ ∩ D

19.5. Formalización conjuntista de enunciados

Al proceso de expresar en lenguaje conjuntista diversos enunciados de la lengua natural lo llamamos formalización conjuntista. Básicamente se trata de enunciados asertivos que pueden representarse mediante la afirmación o negación de relaciones de inclusión entre conjuntos, o la afirmación o negación de que un conjunto es vacío. Los enunciados categóricos típicos de la lógica tradicional pertenecen a este tipo de enunciados representables en términos conjuntistas.

No existe procedimiento automático alguno para lleva a cabo dicha formalización, por lo que la mejor manera de aprenderlo es mediante ejemplos. En los que aquí presentados se utilizarán letras relevantes de los términos de clase para designar a los conj untos, por ejemplo, para el conjunto de los gatos se utilizará la letra conjuntista G.

En el ejemplo siguiente se han anotado varios enunciados en español correspondientes a una proposición categórica tipo A (o equivalentes a ella). Es claro que todos se formalizan igual.

Ejemplo

(1) a. Todos los gatos son traviesos.

b. Los gatos son traviesos.

c. Un gato es un travieso.

d. Cualquier gato es travieso.

e. Cada gato es travieso.

f. Si algo es gato, es travieso.

g. El gato es travieso.

h. No es cierto que algunos gatos no son traviesos.

Formalizaciones: G T, G – T = 53

En el ejemplo siguiente hay enunciados contradictorios de los anteriores, correspondientes a la proposición categórica tipo O (o equivalentes a ella).

Ejemplo

(2) a. Algunos gatos no son traviesos.

b. Hay gatos que no son traviesos.

c. Existen gatos que no son traviesos.

d. Algún gato no es travieso.

e. Varios gatos no son traviesos.

f. No todos los gatos son traviesos.

Formalizaciones: G T, G – T .

Cada enunciado admite en realidad infinitas formalizaciones por cuanto cada conjunto posee infinitas equivalencias conjuntistas. Por ejemplo, como el conjunto es igual a , a , a , etcétera, el enunciado conjuntista podría expresarse también como , , , , etcétera. Aquí se busca formalizar con las expresiones conjuntistas más perspicuas, es decir, con las más naturales y sencillas.

El ejemplo que sigue contiene casos de la proposición categórica tipo I (o equivalentes a ella), y el ejemplo posterior de la tipo E (o equivalentes a ella).

Ejemplo

(3) a. Algunos gatos son traviesos.

b. Hay gatos que son traviesos.

c. Existen gatos que son traviesos.

d. Algún gato es travieso.

e. Varios gatos son traviesos.

f. No es cierto que ningún gato es travieso.

Formalizaciones: G T’, G T

Ejemplo

(4) a. Ningún gato es travieso.

b. Todos los gatos no son traviesos.

c. Los gatos no son traviesos.

d. Los gatos son no traviesos.

e. No es cierto que algunos gatos son traviesos.

Formalizaciones: G T’, G T = .

Los ejemplos siguientes son más complejos. Se propone una sola formalización conjuntista para cada enunciado.

Ejemplo

(5) Los poetas sabios son genios.

Formalización : P ∩ S G

(6) Solo los poetas sabios son genios.

Formalización : G P ∩ S

(7) Los genios son poetas sabios.

Formalización : G P ∩ S

(8) Los poetas que no son sabios no son genios.

Formalización : P ∩ S’ G

(9) Los poetas que no son sabios o son ególatras o son vanidosos.

Formalización : P – S E V

(10) Los poetas y los sabios son genios.

Formalización : P S G

(11) Todos son poetas o sabios.

Formalización : (P S)’ = Ø

(12) Algunos ni son poetas ni son sabios.

Formalización : P’ ∩ S’ ≠ Ø

(13) Únicamente los poetas y los genios son sabios.

Formalización : S P G

(14) Ningún poeta es genio a menos que sea sabio.

Formalización : P ∩ S’ G’

(15) No todos los poetas que no son sabios son genios o ególatras.

Formalización : P ∩ S’ G E

(16) Ni los poetas sabios ni los genios son todos ególatras o vanidosos.

Formalización : (P ∩ S) G E V

(17) Quien sea poeta sabio, no es ni un ególatra ni un vanidoso.

Formalización : P ∩ S (E V )’

(18) Los que no son ególatras ni vanidosos o son sabios o son genios.

Formalización : (E V )’ (S G)

(19) El que sea poeta no vanidoso o genio no ególatra es sabio.

Formalización : (P – V) (G – E) S

(20) Hay poetas que no son genios y genios que no son poetas.

Formalización : P Δ G ≠ Ø

Hay varios usos del verbo copulativo ser o estar que son expresables en lenguaje conjuntista.

Ejemplo

Juan José Arreola es jalisciense.

El jalisciense es mexicano (Los jaliscienses son mexicanos).

Juan José Arreola es el autor del libro Confabulario personal . Dios es.

En el primer enunciado la expresión “es” corresponde en lenguaje conjuntista a la relación de pertenencia, en el segundo enunciado se refiere a la inclusión, en el tercer caso se trata de la relación de igualdad y en el cuarto se expresa que el conjunto no es vacío. Si representamos “Juan José Arreola” con la a, “el autor del libro Confabulario personal” con la c, y los conjuntos de los jaliscienses, de los mexicanos y de Dios con la J, la M y la D, respectivamente, los cuatro enunciados quedarían expresados como

a J J M a = c

D ≠ Ø.

Las proposiciones con cuantificadores cuasinuméricos y las exceptivas no pueden expresarse con lenguaje exclusivamente conjuntista como el aquí visto.

19.6. Diagramas lineales para conjuntos

Entre los sistemas lógicos diagramáticos destacan principalmente dos grandes paradigmas: el euleriano o regional y el leibniziano o lineal. Para el paradigma euleriano los objetos gráficos que representan términos o clases son regiones o áreas cerradas; para el leibniziano estos objetos son líneas.

Los diagramas de Venn utilizados en este capítulo para representar conjuntos son un tipo de diagramas regionales. Veamos ahora cómo representar los conjuntos mediante diagramas lineales.

Para clarificar visualmente los límites de la extensión de cada conjunto y las relaciones entre los conjuntos convengamos en utilizar líneas guía que se trazan como segmentos verticales de rectas.

Cada conjunto se representa con segmentos horizontales de rectas que cruzan perpendicularmente a las líneas guía. Así, el conjunto de los pericos ( P) puede quedar como el siguiente segmento grueso, donde cada punto de este segmento puede entenderse como un elemento del conjunto:

pericos (P)

Añadamos un segundo conjunto al diagrama, el conjunto M de las mascotas, en línea punteada:

pericos (P)

mascotas (M)

La superposición parcial de las líneas conjuntistas sobre las líneas verticales representa relaciones como las siguientes:

1. Algunos pericos son mascotas. P M

2. Algunos pericos no son mascotas. P – M ≠ Ø

3. Algunas mascotas no son pericos. M – P ≠ Ø

Agregamos un tercer conjunto, el de las aves (A) en línea doble:

pericos (P)

aves (A) mascotas (M)

Como todos los puntos de la línea de los pericos se superponen con la línea para las aves, entonces todos los pericos son aves; pero hay secciones de la línea para aves que no se superponen con la línea para pericos, por lo que hay aves que no son peric os. Con el tercer conjunto agregado se suman estas otras relaciones a las expresadas por el diagrama lineal:

1. Todos los pericos son aves. P A

2. Algunas aves no son ni pericos, ni mascotas. A P’ M’

3. Algunas aves son pericos. A ∩ P ≠ Ø

4. Algunas aves son pericos y son mascotas. A ∩ P ∩ M ≠ Ø

5. Algunas aves no son pericos, pero sí mascotas. A ∩ P’ ∩ M ≠ Ø

6. Algunas mascotas no son ni aves, ni pericos. M ∩ A’ ∩ P’ ≠ Ø

19.7. Ejercicios

A. Señalar cuáles de las siguientes definiciones conjuntistas son por extensión y cuáles son por intensión. Definir por intensión algún posible conjunto universo para cada conjunto.

1. A = {x: x es un número natural}

2. B = {1, 3, 5, 7, 9, 11, 13, 15, 17, 19}

3. C = {v, w, x, y, z}

4. D = {x: 3x + 5 = 11, x – 5 = – 3}

5. E = {x: x es un poeta veracruzano del siglo XX}

6. F = {Pelé, Maradona, Di Stéfano}

7. G = {x: 3x > 2}

8. H = {a, e, i, o, u}

9. I = {}

10. J = {x: x es un número par que no es divisible entre 2}

B. De los siguientes conjuntos realizar lo que se pide a continuación:

a) Indicar la cardinalidad de cada conjunto.

b) Señalar cuáles son conjuntos vacíos y cuáles no.

c) Mencionar cuáles son iguales entre sí.

d) Expresar las relaciones de inclusión y pertenencia existentes entre ellos.

1. A = {Ø, {}}

2. B = {{Ø}}

3. C = {{Ø}, {}}

4. D = {Ø}

5. E = {}

6. F = Ø

7. G = {Ø, {}, {Ø}}

8. H = {Ø, {}, Ø, {}}

9. I = {{},{}, {}}

10. J = {Ø, Ø, {Ø}, {Ø}}

C. Dado el siguiente conjunto universo y sus subconjuntos, obtener los conjuntos que se piden en cada inciso.

U = {a, b, c, d, e, f, g, h, i}

A = {a, b, d, e}

B = {b, c, d, f}

C = {d, e, f, g}

1. A’ – B’

2. B ∩ (A C)

3. A Δ C

4. (A – B) (B – A)

5. (A C’)’Δ A’

6. (B Δ C) – (C Δ A)

7. (B’ C’)’ ∩ (A’ C’)

8. (C ∩ A)’ (B ∩ C’)’

9. U ∩ (A A)

10. (B Ø) ∩ (C ∩ Ø)

D. Dados el universo y sus subconjuntos del ejercicio C anterior, señalar cuáles de los siguientes enunciados son verdaderos y cuáles son falsos.

1. A B

2. B ∩ C C

3. C B B

4. |A ∩ B| > |B ∩ C’|

5. A ∩ B’ = A – B

6. (B Δ C’)’ ≠ (C Δ B’)’

7. |(C – B’) Δ A| < |U|

8. (B C)’ A – (B C)

9. {a, b, d} A

10. f (C– B’)’

E. Demostrar con pruebas formales simbólicas los siguientes teoremas conjuntistas.

1. A B A B

2. (A B)’ (A ∩ B)’

3. (A B)’ A’

4. A ∩ B = B ∩ A

5. A ∩ A = A

6. (A B) C = A (B C)

7. (A ∩ B) A = A

8. (A B)’ = A’ ∩ B’

9. A ∩ B’ = A – B

10. A (B ∩ C) = (A B) ∩ (A C)

F. Probar mediante tablas de pertenencia los teoremas del ejercicio E anterior.

G. Probar mediante tablas de regiones los teoremas del ejercicio E anterior.

H. Considerar los diagramas siguientes de tres conjuntos y cuatro conjuntos, y expresar en lenguaje conjuntista con operadores de intersección y complemento las regiones R1, R2, R3, R4 y R5 indicadas en cada diagrama.

I. Formalizar en lenguaje conjuntista los siguientes enunciados, dentro de los cuales se anotan las letras conjuntistas que pueden servir de claves de formalización.

1. Los deportistas (D) son atletas (A).

2. Bienaventurados (B) los pobres de espíritu (P).

3. Camarón (C) que se duerme (D) se lo lleva la corriente (L).

4. No todos los científicos (C) son sabios (S).

5. Algunos ciudadanos (C) son irresponsables (R).

6. Hay genios (G) que no son sabios (S) y sabios (S) que no son genios (G).

7. El ornitorrinco (O) y la equidna (E) son los únicos mamíferos (M) ovíparos (O).

8. Si no es humanista (H), entonces no es filósofo (F) ni literato (L).

9. Nadie que no haya vivido los estragos de la guerra ( G) tiene idea de su crudeza (C).

10. Solo los ciudadanos (C) que no son egoístas (E) se preocupan por los temas políticos (P) y sociales (S).

J. Indicar el sentido conjuntista (pertenencia, inclusión, igualdad, no vacuidad) del verbo copulativo ser o estar en cada uno de los siguientes enunciados.

a) El ateniense es griego.

b) Sócrates es ateniense.

c) Hypatia es matemática.

d) El marxista es socialista.

e) El padre de la mecánica moderna es el autor de la ley de gravitación universal.

f) Magaret Thatcher es la Dama de Hierro.

g) El bonaerense es argentino.

h) El japonés es asiático.

i) El Universo es.

j) Darwin es naturalista.

K. Indica cuál inciso contiene todos sus enunciados conjuntistas representados en el diagrama lineal.

a) A = C, B C y A ≠ B

b) A – C = Ø, B ∩ C = Ø y A B

c) A – B = Ø, A ∩ C ≠ Ø y B C

d) A ∩ B = Ø, A ∩ C = Ø y C B

e) B – C A, B ∩ C ≠ Ø y B A

BIBLIOGRAFÍA

Allwein, G. y Barwise, J. (1996). Logical Reasoning with Diagrams. New York, NY, USA: Oxford University Press.

Aristóteles, & Ross (1957). Aristotle's prior and posterior analytics. Oxford: The Clarendon Press.

Baron, E. M. (1969). “A Note on the Historical Development of Logic Diagrams: Leibniz, Euler and Venn” en The Mathematical Gazette, 53(384), pp.113-125.

Bochenski, J. M., & Bravo, L. M. (1985). Historia de la Lógica formal. Madrid: Gredos.

Buridan, J. (1487): Summulae de Dialectica; an annotated translation with a philosophical introduction by Gyula Klima; Yale University Press, 2001, New Haven and London.

Carroll, L. (1886). The game of logic. London: Macmillan.

Carroll, L. (1896). Symbolic Logic. New York: Dover.

Carroll, L. (1897). Symbolic Logic. Part I. Elementary (2004 ed.). London: The Macmillan Company.

Castro-Manzano, J.M., (2017). “Re(dis)covering Leibniz’s Diagrammatic Logic” en Tópicos, Revista de Filosofía, 52: pp. 89–116.

Castro-Manzano, J.M. (2018). “Syllogistic with Jigsaw Puzzles” en Peter Chapman et al, Diagrammatic Representation and Inference. 10th International Conference, Diagrams 2018, Edinburgh, UK, June 18-22, 2018, Proceedings, pp. 657-671.

Castro-Manzano, J.M. (2020). "On Why Alpha Graphs are not Logic Diagrams" en Reyes-Cardenas, P. y Herbert, D. (eds.) The Reception of Peirce and Pragmatism in Latin-America. A Trilingual Collection. Mexico: Editorial Torres y Asociados, pp. 255-266.

Castro-Manzano, J.M. (2021). "¿Cuándo decimos que un diagrama es un diagrama lógico? Un estudio comparativo” en Cogency. Journal of Reasoning and Argumentation. Universidad Diego Portales, Vol. 13, Núm.1, pp. 71-103

Chapman, P., et al, Diagrammatic Representation and Inference. 10th International Conference, Diagrams 2018, Edinburgh, UK, June 18-22, 2018

Cheng, P. C.-H. (2012). “Visualizing syllogisms: category pattern diagrams versus Venn diagrams” en 3rd International Workshop on Euler Diagrams, Canterbury, UK, July 2, 2012.

Cheng, P. C.-H., 2014, “Graphical Notations for Syllogisms: How Alternative Representations Impact the Accessibility of Concepts” en Journal of Visual Language and Computing, 25: pp. 170–185.

Cheng, P., Lowe, R.K, and Scaife, M., 2001, “Cognitive Science Approaches to Understanding Diagrammatic Representations” en Artificial Intelligence Review, 15: pp. 79–84.

Copi, I., Cohen, C y MacMahon, K. (2013) Introduction to logic, Pearson, New York. Coumet, E. & De Mora, M.C. (2002). “Sobre la historia de los diagramas lógicos, ‘Figuras geométricas’" en Llull: Revista de la Sociedad Española de Historia de las Ciencias y de las Técnicas, 25(52), pp. 167-195.

Crubellier, M. (2017). “The programme of Aristotelian analytics” en Journal of Humanities of Valparaiso (10), pp. 29-59.

Einarson, B. (1936). “On certain mathematical terms in Aristotle's logic: part II” en The American Journal of Philology, 57(2), pp. 151-172.

Englebretsen, G., (1992). “Linear Diagrams for Syllogisms (with Relationals),” en Notre Dame Journal of Formal Logic, 33: pp. 37–69.

Englebretsen, G. (1996). Something to Reckon With: The Logic of Terms, Ottawa: University of Ottawa Press.

Englebretsen, G. (2006), Bare Facts and Naked Truths: A New Correspondence Theory of Truth. Aldershot: Ashgate.

Englebretsen, G. (2020). Figuring It Out. De Gruyter, Boston.

Euler, L. (1843). Lettres à une Princesse d'Allemagne. París: Emile Saisset, Charpentier.

Frege, G., & Padilla, H. (1972). Conceptografía. Los fundamentos de la aritmética . México: Instituto de Investigaciones Filosóficas, UNAM.

Frege, G., & Valdés, V. L. (1998). Ensayos de semántica y filosofía de la lógica. Madrid: Tecnos.

Gardner, M. (1958). Logic Machines and Diagrams. Nueva York: McGraw-Hill. Gilbert, M., (1997). Coalescent Argumentation, Mahwah, NJ: Lawrence Erlbaum Associates.

Halmos, P. R. (1965). Naïve Set Theory, Springer-Verlag: Berlín. (Versión en español Teoría inuitiva de conjuntos, CECSA, México, 1965)

Hammer, E. (1994). “Reasoning with sentences and diagrams” en Notre dame Journal of Formal Logic, 35(1), pp. 73-87.

Hammer, E. (1995). “Diagrammatic Logic” en D. Gabbay, & F. Guenthner (eds.). Handbook of Philosophical Logic (Vol. 4). Amsterdam: Elsevier North Holland. Hammer, E., & Shin, S. (1998). “Euler's Visual Logic” en History and Philosophy of Logic, (19), pp. 1-29.

Hispano, Pedro, trad. por Mauricio Beuchot (1986), Tractatus llamados después Summule Logicales, UNAM, México.

Howse, J., Molina, F., Taylor, J., Kent, S., & Gil, J. Y. (2001). “Spider diagrams: A diagrammatic reasoning system” en Journal of Visual Languages & Computing, 12(3), pp. 299-324.

Howse, J., Stapleton, G., & Taylor, J. (2005). “Spider diagrams” en Journal of Computation and Mathematics, 8, pp. 145-194.

Leibniz, G.W. (1686). “General Inquiries about the Analysis of Concepts and of Truths” en H. R. George (ed.). Leibniz: Logical Papers: A Selection Translated and Edited with an Introduction. Publicado en línea en octubre de 2015.

Leibniz, G.W. (1903). “Opuscules et fragments inédits de Leibniz” en L. Couturat (ed.). Extraits des manuscrits de la Bibliothéque royale de Hanovre Paris: Félix Alcan. Lambert, J. H. (1764). Neues Organon oder Gedanken über die Erforschung und Bezeichnung des Wahren und dessen Unterscheidung vom Irrthum und Scheinn . Leipzig: Wendler.

Lambert, J. H. (1765). “De universaliori calculi idea Disquisitio, una cum adnexo specimine”, en Nova Acta Eruditorum, pp. 441-473. Reimpreso en microforma en 1981, Hildesheim-New York: Olms.

Lambert, J. H. (1771). Anlage zur Architectonic, oder Theorie des Einfachen und des Ersten in der philosophischen und mathematischen Erkenntniss, durch J.H. Lambert. Riga: Bey J.F. Hartknoch. Reimpreso en J. H. Lambert (1965). Philosophische Schriften, vols. III-IV, ed. H. W. Arndt, Hildesheim: Olms.

Larkin, J. H. y Simon, H. A. Why a Diagram is (Sometimes) Worth Ten Thousand Words” en Cognitive Science 11(1) (1987): pp. 65-100.

Lemon, O. and Pratt, I., (1998). “On the Insufficiency of Linear Diagrams for Syllogisms” en Notre Dame Journal of Formal Logic, 39: pp. 573–580.

Lemon, O. and Pratt, I. (1999). “Drawing Illusions – A Case Study in the Incorrectness of Diagrammatic Reasoning” en University of Dublin, Technical Report, online: www.tara.ie/bitstream/handle/2262/13012/TCD-CS-1999-17.pdf?sequence=1.

Recuperado en octubre de 2017.

Llull, Ramón, (traducción de Josep E. Rubio) (2004). Arte Breve. Ed. Universidad de Navarra, Navarra.

Londey, D.; Johanson, C. (1987): The Logic of Apuleius. Ed. E. J. Brill, Leiden, The Netherlands.

Moktefi, A., & Shin, S.-J. (2012). “A History of Logic Diagrams” en North-Holland, Dov M. Gabbay, Francis Jeffry Pelletier, John Woods (eds). Handbook of the History of Logic, vol. 11: Logic: A History of its Central Concepts (pp. 611-682).

Moktefi, A., & Shin, S.-J. (2013). Visual Reasoning with diagrams. Springer Basel, Strasbourg, France: Université de Strasbourg.

Pagnan, R. (2012). A Diagrammatic Calculus of Syllogisms” en Journal of Logic, Language and Information. 21(3): pp. 347-364

Pagnan, R. (2013a). “A Diagrammatic Calculus of Syllogisms” en A. Moktefi & S. -J. Shin (eds.), Visual reasoning with diagrams. Springer Basel, pp. 57-83.

Pagnan, R., (2013b), “Syllogisms in Rudimentary Linear Logic, Diagrammatically” en Journal of Logic, Language and Information, 22:pp. 71–113.

Peirce, C. S. (1878). “How to make our ideas clear” en Popular Science Monthly, enero, 12, pp. 286-302.

Peirce, C. S. (1880). “On the Algebra of Logic” en American Journal of Mathematics, 3(1), pp. 15-57.

Peirce, C. S. (1894). “What is a sign?” en The Peirce Edition Project (ed.) 1998.

Essential Peirce, selected philosophical writings, Vol. 2 (1893-1913) (pp.4-10). Bloomington, IN, USA: Indiana University Press.

Peirce, C. S. (1897). “The logic of relatives” en The Monist, 7(2), pp. 161-217.

Peirce, C. S. (1906). “Prolegomena to an apology for pragmaticism” en The Monist, 16(4), pp. 492-546.

Peirce, C.S., & Fisch, M. H. (1982). Writings of Charles S. Peirce. 1, 1857-1866. Bloomington: Indiana University Press.

Peirce, C. S., Hartshorne, C., & Weiss, P. (1933). Collected papers of Charles Sanders Peirce. Cambridge: Harvard University Press

Peirce, C., & Library, H. (1966). MS The Charles S. Peirce Papers. Cambridge, MA, Cambridge: Harvard University Library: Harvard University Library, Photographic Service. MF.66.

Roberts, Don (1973). The Existential Graphs of Charles s. Peirce, University of Waterloo, Mouton, The Hague · Paris

Savio, M., (1998). “AE (Aristotle-Euler) Diagrams: An Alternative Complete Method for the Categorical Syllogism” en Notre Dame Journal of Formal Logic, 39: pp. 581–599

Shimojima, A. (1995). “Operational Constraints in Diagrammatic Reasoning” en J. Barwise (ed.). Logical Reasoning with Diagrams (pp. 27–48). Oxford University Press, Oxford.

Shin, S-J.(1995) The Logical Status of Diagramms. Cambridge: Cambridge University Press.

Shin, S.-J. (2002). The Iconic Logic of Peirce’s Graphs, Cambridge, Massachusetts, The MIT Press.

Shin, S.-J., Lemon, O., & Mumma, J. (2018). Diagrams. En The Stanford Encyclopedia of Philosophy (Summer edition), ed. Edwar N. Zalta. Stanford University: https://plato.stanford.edu/archives/sum2018/entries/diagrams/ Smyth, M. B. (1971) “A Diagrammatic Treatment of Syllogistic” en Notre Dame Journal of Formal Logic, Vol. XII, Núm. 4.

Stapleton, G., Howse, J, Taylor, J., and Thompson, S., 2004a, “The Expressiveness of Spider Diagrams” en Journal of Logic Computation, 14: pp. 857–880.

Stapleton, G., Howse, J, Taylor, J. and Thompson, S. 2004b, “What Can Spider Diagrams Say?” en Diagrams 2004 , A. Blackwell, et al (eds), Berlin: Springer.

Stapleton, G., Howse, J, Taylor, J. and Thompson, S., 2013, “On the Completeness of Spider Diagrams Augmented with Constants” en Visual Reasoning with Diagrams, S.-J. Shin and A. Moktefi (eds), Basel: Springer, pp. 101–133.

Tennant, N. (1986). The Withering Away of Formal Semantics? Mind and Language, 1(4), pp. 302-318.

Venn, J. (1880) I. “On the diagrammatic and mechanical representation of propositions 3 and reasonings” en The London, Edinburgh, and Dublin Philosophical Magazine and Journal of Science, 10:59, pp. 1-18.

Venn, J. (1881). Symbolic logic. London: MacMillan.

Venn, J. (1894). Symbolic Logic (2º ed.). London: Macmillan.

Turn static files into dynamic content formats.

Create a flipbook
Issuu converts static files into: digital portfolios, online yearbooks, online catalogs, digital photo albums and more. Sign up and create your flipbook.