ARTICLE FIVE GRIEVANCE PROCEDURE
1. To secure, at the lowest possible level of employer-employee relationship, solutions to problems which may arise concerning the interpretation of any provisions of this Agreement, all disputes between either an employee and the Board or between UPSEU and the Board concerning the interpretation of any provision of this Agreement shall be dealt with as follows:
2. Definitions
a. A grievance shall mean a complaint in writing by an employee and/or the Union that his/her rights under the specific language of this Agreement have been violated or that as to his/her there has been a misapplication or misinterpretation of the specific provisions of this Agreement.
b. An "employee" is a member of the bargaining unit covered by this Agreement.
c. "Days" unless specifically identified otherwise shall mean workdays-any day that the Superintendent's office is open for business.
3. Prerequisites. The grievance procedure shall not be applicable until and unless the employee and/or the Union has first talked with his/her immediate supervisor and in good faith attempt to resolve a problem within ten (1 0) days of the occurrence of the incident, or when the employee and/or the Union should have been aware of the incident in question. The employee shall state the remedy requested. Immediate supervisor shall acknowledge in writing that he/she heard the grievance. The acknowledgement shall state the name(s) of the grievant(s), the nature of the grievance, the specific articles of the contract in question, and the remedy requested by the grievant. The administration, in consultation with the union, shall prepare an acknowledgement form.
4. Step 1. If the aggrieved employee and/or the Union is not satisfied with the disposition of the grievance, or in the event that no decision has been rendered within ten (1 0) working days after presentation of the grievance, he/she may file a written grievance with the Director of Buildings and Grounds within five (5) working days after that decision, or fifteen (15) working days after the grievance was presented, whichever is sooner. Upon written notification, the Director of Buildings and Grounds will discuss the grievance with the party in interest and the patiy's Union representative. If the grievance is not resolved within five (5) days thereafter, a written statement shall be given within five (5) days by the Director of Buildings and Grounds to the employee and the Union for use in Grievance Step 2.
5. Step 2. Within ten (1 0) days of the receiving of the reply of the Director of Buildings and Grounds, the grievance will be submitted to the Assistant Superintendent or his/her designee. The grievance shall be discussed by the Assistant Superintendent or his/her designee and the employee and/or the Union. If the grievance is not resolved within five (5) days after submission, a written statement shall be given to the employee and/or the Union by the Assistant Superintendent or his/her designee within five (5) days for use on Step 3.
6.
7.
Step 3. Within ten (10) days of receiving the reply of the Assistant Superintendent or his/her designee, the grievance will be submitted to the Superintendent or his/her designee. The grievance shall be discussed by the superintendent (or his or her designee) and the employee and/or the Union within thirty (30) days. The Superintendent or his or her designee shall make a written statement of the action taken within thirty (30) calendar days of its submission.
Step 4. If the grievance is not solved under the above procedure, the Union may, within thirty (30) calendar days after the written statement by the Superintendent or his or her designee, submit the matter to arbitration. Arbitration shall be by the State Board of Mediation & Arbitration, except as set forth in this Agreement. The charges by the arbitration board shall be shared fifty (50%) percent by the Union and fifty (50%) percent the Board. The arbitrator shall hear and decide only one ( 1) grievance in each case. The arbitrator shall have no power to add to or subtract from or modify in any way the terms of this Agreement. Such arbitration shall be binding upon both parties. It is further provided that if the Superintendent or his or her designee shall elect to submit the matter to the American Arbitration Association, it shall pay the full cost of the arbitrator.
However, it is agreed by the parties that the superintendent or his or her designee may elect to submit the grievance to the American Arbitration Association by notifying the Union within seven (7) days after receipt of the Union's request for Arbitration. It is further provided that if the superintendent or his or her designee shall elect to submit the matter to the American Arbitration Association, it shall pay the full cost of the arbitrator.
8.
General Provisions
a. Either party in interest may participate in the gnevance procedure without jeopardizing its standing in the community.
b. Parties in interest may be represented by UPSEU, a local UPSEU unit representative or any representative authorized by UPSEU.
c. All documents, communications and records germane to the processing of a grievance shall be filed separately from the permanent file of any party in interest.
d. Only UPSEU or the Superintendent or his or her designee can process grievance into arbitration.
e. Any grievance settlement entered into by the Board and the Union that alters any term or provision of the collective bargaining agreement, or grants an exception thereto for a specific employee, tnust be specifically authorized in writing by an agreement signed by both the Board and a paid UPSEU unit representative.
f. Since it is important that grievances or disputes be processed as rapidly as possible, the number of days indicated at each level should be considered as maximum and every effort made to expedite the process. The time limit specified may, however, be extended by mutual agreement. If a grievance is not submitted by the grievant to the next higher step in the procedure delineated in this procedure, it will be deemed settled on the basis of the answer in the step last considered.
ARTICLE SIX RESIGNATIONS
A signed, written notice of resignation should be filed with the Superintendent of Schools at least two (2) weeks in advance of separation.
ARTICLE SEVEN
WORK DAYS AND WORK YEAR
1. Work days. The notmal hours for full-time personnel shall not be less than twenty (20) hours per week nor more than forty (40) hours per week.
2. Work week. The work week for full-time personnel shall consist of five (5) days, Monday through Friday, of eight (8) hours each, with this agreement or Board policies covering holidays, vacations, and leave providing exceptions. Employees may be called in at any time in case of need. The work week of custodial and maintenance employees hired on or after July 1, 2002, shall be the smne as others except they may be scheduled by the Board of Education for any five (5) consecutive day period. This provision shall apply to a maximum of four (4) such employees at any time, including one maintenance employee. Said employees shall be paid one and one-half (1-1/2) times his/her regular hourly rate for the sixth (6th) consecutive day of work and double (2x) his/her regular hourly rate for the seventh (7th) consecutive day of work. If the employee is scheduled for 40 hours a week, which work week includes Saturday or Sunday or both, there shall be no overtime payment for said Saturday or Sunday workdays notwithstanding any other provision in the contract.
3. Employees working less than twenty (20) hours per week shall be considered part-time employees. Part-time employees are not considered a part ofUPSEU. Scheduling of the hours worked by part-time employees shall be at the discretion of the Board.
4. Working Hour Schedules. Under the restrictions imposed by the above, the Superintendent or his/her designee and the building principal shall set working hour schedules for the most efficient operation and maintenance of the Waterford Public Schools as determined by school hours, school programs, work loads, and any other pertinent considerations.
5. Whenever it is necessary for a custodian to be called in for any function a minimum of three (3) hours overtime at time and one-half will be paid, with double time to be paid on Sundays and holidays.
Whenever it is necessary for Maintenance Department employees to be called in, a minimum of three (3) hours overtime at time and one-half will be paid for such call in time, with double time for Sundays and holidays.
6. Employees who call in sick three (3) days or less prior to the availability of an overtime assignment will be ineligible for such an assignment unless no other qualified employee is available. An employee who calls in sick the day after an overtime assignment shall be ineligible for overtime for the next two (2) weeks, unless no other qualified employee is available.
7. Substitutes shall be used only if bargaining unit members are absent from work during regularly scheduled work hours. Substitutes shall not work weekends or holidays and no more than eight (8) hours in a regular workday unless no other qualified employees are available. Substitutes shall only work in maintenance if they are qualified and qualified bargaining unit members are not available.
8. Custodial and Maintenance employees must be able to perform the duties required to be considered for an overtime assignment. There shall be separate rotation lists for custodial and maintenance work. Rotation among qualified employees who have signed up will be used. Custodial employees shall receive first preference over maintenance personnel for custodial overtime work. To facilitate the equal distribution of overtime, an employee who refuses an overtime opportunity shall be marked on the rotation list as if he or she had worked. If maintenance personnel decline overtime opportunities, maintenance overtime may be offered to qualified custodial personnel. For overtime opportunities that are not known in advance, the employer shall follow the order of the list, but the overtime opportunity shall be provided to the first employee who responds to the employer's inquiry. If all employees decline the overtime opportunity, the Board may require employees to perform such duties on a rotating basis. Second shift personnel are to receive overtime assignments for the weekend no later than Thursday, 2:00p.m. except in exceptional circumstances.
ARTICLE EIGHT MILEAGE
If a non-bargaining unit supervisor asks an employee to use his or her automobile for transportation as part of his or her work day, not including the travel to and from work, and the employee agrees, the Board of Education shall reimburse him or her at the rate of not less than the IRS reimbursement rate.
ARTICLE NINE SENIORITY
1. Seniority is hereby defined as the employee's total length of continuous service in a bargaining unit position. Seniority shall be considered broken and the employee shall forfeit all rights and benefits under this Agreement for such reasons as resignation or separation, discharge, layoff of more than one (1) year, overstaying a leave of absence and/or taking a leave of absence for the purpose of working at another occupation.
2. During the month of October, the Board will annually furnish UPSEU with a seniority list showing the length of service of each of the employees in the bargaining unit. Members who believe their seniority has been incorrectly calculated may submit a request for change of seniority to the Director of Human Resources prior to December first.
If changes to the seniority list are made as a result of these requests, the Board will so
notify UPSEU prior to December tenth. Thereafter, unless UPSEU files a grievance within ten (1 0) workdays of receipt of same, the list shall be considered correct for all purposes under this contract.
3.a. No employee shall attain seniority or other rights under this Agreement until he/she has been continuously in a bargaining unit position on the payroll of the Board for a period of ninety (90) work days. During such period, he/she shall be on probation and may be terminated by the Board in its sole discretion for any reason whatsoever, and neither the employee nor UPSEU on his/her behalf, shall have recourse to the grievance procedure provisions of this Agreement. Employees will not work overtime until their probation period has been completed, unless all other qualified employees are unavailable.
b. Insurance benefits shall be available on the first of the month following initial employment, pursuant to the regular terms of such policies.
ARTICLE TEN REDUCTION IN FORCE
1. In the event the Board chooses to lay off employees or reduce the work schedule, those actions shall be based upon the requirements of the position in question, qualifications of the employee, ability of the employee and the needs of the Waterford school system. In the event that the above factors are equivalent for two or more employees being considered, seniority shall be the determining factor.
2. Employees on layoff shall retain rights for a period of one (1) year from date of layoff. Laid off employees shall be recalled based upon seniority, the senior employee being recalled first, provided that the recalled employee is capable of performing the work involved in the open position. Recalled employees shall undergo a forty (40) day qualifying period if they are recalled to a position different from the original position.
3. Employees who fail to qualify shall be returned to the recall list in accordance with their seniority.
4. Employees on the recall list who are offered a position must accept that position within ten (1 0) working days. Failure to accept the position shall result in the employee's loss of recall rights unless it is mutually agreed between the parties that the employee remain on the recall list.
Transfer
1. Decisions to transfer employees shall be based upon the requirements of the position in question, qualifications of the employees, the abilities of the employees, and the needs of the Waterford school system. In the event that the above factors are equivalent for two or more employees being considered for transfer, seniority shall be the determining factor in the decision.
2. The Board shall notify the Union president prior to layoffs. The Board shall identify what position shall be reduced or laid off.
ARTICLE ELEVEN WORKING CONDITIONS
One member of the Executive Board shall be granted leave from duty with full pay for all meetings between the Board and the Union for the purpose of processing grievances through arbitration when such meetings take place at a time during which such members are scheduled to be on duty.
ARTICLE TWELVE SEVERABILITY
In the event that any provision or portion of this Agreement is ultitnately ruled invalid for any reason by an authority of established and competent legal jurisdiction, the balance and remainder of this Agreement shall remain in full force and effect.
ARTICLE THIRTEEN NO LOCKOUT OR STRIKE
Pursuant to Connecticut General Statutes section 7-467 et seq. (the Municipal Employee Relations Act), all employees included in this Agreement shall not hinder the Board's operation by strike, work stoppage or other unlawful activity, and the Board shall not pursue lockout tactics in any part of its operations. Further, the Union shall do everything in its power to ensure compliance with this section and the laws of the State of Connecticut.
ARTICLE FOURTEEN LEAVE
1. A.
Each employee who has completed his/her probationary period shall be allowed a maximum of six (6) days' leave per year, noncumulative, with no pay deduction, for the following reasons:
a. religious holidays
b. legal matters;
c. legitimate personal business or
d. Family reasons (e.g. birth, death, marriage, illness, or graduation, attendance at a child's school related function or event)
Family is defined as spouse, parents, grandparents, children (natural, foster, or adopted), grandchildren, siblings, in-laws, nieces, nephews, aunts, uncles, and petmanent residents of the employee's household.
Personal is defined as such matters that are private and sensitive.
Personal leave may be approved only when it is not reasonable for the required activity to have been scheduled outside of working hours. Personal leave may be taken in one hour increments.
B. The type of reasons for personal absences shall be disclosed on the Request for Personal Leave form.
C. The Superintendent may extend additional personal leave, with or without pay, or waive the documentation requirements in this article, if in his or her judgment, there are extenuating circumstances which justify such action.
2. Application for personal leave as provided above shall be made in writing to the Director of Buildings and Grounds at least twenty-four (24) hours before leave is to be granted, except in cases of illness or emergencies.
3. Personal leave may not be taken to extend holidays or vacation periods, except in extenuating circumstances with prior approval by the Superintendent of Schools in his/her sole discretion.
4. Military Leave. In accordance with state or federal law, military leave shall be granted to regular employees who are members of the reserve corps of any branch of the armed forces of the United States when they are required to serve a period of active duty for training. During this period, the Board shall pay the employee his/her regular pay (regardless of military pay received) up to a maximum time of two (2) calendar weeks. If the leave should extend beyond two (2) weeks, the Board shall pay the difference between the military pay and the employee's regular pay for the period exceeding two (2) weeks to a total leave time of thirty (30) days.
ARTICLE FIFTEEN LEAVES WITHOUT PAY
1. Leaves of absence without pay for legitimate reasons may be granted at the sole discretion of the Superintendent or his/her designee for a limited, definite period not to exceed one (1) year. The employee shall not accrue benefits or seniority (e.g., sick leave, vacation leave) during any period of unpaid leave.
2. For leaves of duration of thirty (30) days or more, at least sixty (60) days prior to the anticipated commencement of such leave of absence, application must be made in writing to the Superintendent stating the reason for the request and the length of time desired. For leaves of less than thirty (30) days duration, written request must be made as soon as possible but, except in cases of emergency, no later than two (2) weeks prior to the anticipated commencement of such leave. A leave of absence expires automatically at the date of expiration approved for the leave. If an extension is required, it must be approved, by the Superintendent.
3. Maternity leave for the purpose of bearing children shall be granted in accordance with applicable federal and state law.
4. It is expected that, as far as possible, leave will be so arranged as to begin or end at the close of the school year.
5. Accumulated seniority shall not be lost during the leave of absence.
6. Employees shall re-enter if there is an open position at a step to be no higher than one (1) above the one he/she was receiving at the start of the leave.
7. No guarantees of any sort as to reinstatement or granting of leave under this Article are made.
8. Within one (1) year from the termination of leave, the employee shall have recall rights as set out in Article Ten to an open position.
9. Where applicable, all leaves granted under this contract shall count towards any leave taken pursuant to the FMLA.
ARTICLE SIXTEEN HOLIDAYS
1. Employees, including employees within their probationary period, will be paid for thirteen (13) paid holidays as follows:
Labor Day
Martin Luther King Day
Thanksgiving Day Day After Thanksgiving
Christmas Day Day before Christmas Day After Christmas
New Year's Day
Columbus Day
President's Day
Good Friday
Memorial Day
Independence Day
2. Holidays will be observed in accordance with the school calendar. For employees whose regular work schedule includes Sunday, Easter Sunday shall be substituted for Presidents' Day.
3. For employees whose normal workweek includes a Saturday or a Sunday, a compensatory day for any holiday which falls on Saturday or Sunday is to be arranged by custodians and maintenance personnel with the Director of Buildings and Grounds. The selection of the day before or after Christtnas as the holiday will be made by the Superintendent or his/her designee.
ARTICLE SEVENTEEN VACATIONS
1. All twelve-month employees will be granted working days off for vacation according to the following schedule, the schedule for which is subject to the approval of the Board:
Date of hire through the 1st July 1 after hire .83 days/month
Each July 1 after hire through the fifth contract year 10 days
Each July 1 thereafter through the sixth contract year 15 days
Each July 1 thereafter, add one day until20 days is reached as a maximum
While vacation days shall be credited to employees' accounts on July JS1 of each contract year, vacation days shall be considered to be earned pro-rata on a month to n1onth basis over the scheduled work year. In the event that an employee separates from employment during a contract year, the employee agrees to reimburse the Board for any vacation days or portion thereof which have been taken but have not been earned in accordance with this provision, and agrees to authorize the Board to withhold from salary such amounts as are necessary to reimburse the Board of Education for the use of such unearned vacation days.
2. The setting of vacation schedules for employees shall be the responsibility of the Director of Buildings and Grounds. The timing of vacation schedules and vacation days are subject to approval in advance. There shall be no vacation scheduled for two weeks before the school year ends or one week before and after the school year begins, unless approved by the Superintendent of Schools.
3. No more than seven (7) vacation days shall accumulate from year to year without approval of the Superintendent of Schools.
4. Seniority shall be one factor considered in connection with vacation choices and earned time off.
ARTICLE EIGHTEEN SICK LEAVE
1. Employees who have completed their probationary periods shall be granted fifteen (15) days sick leave per year with pay, to be accumulated a the rate of one and one quarter days per month. Accumulation of sick leave shall be limited to two hundred (200) days. Employees hired on or before June 30, 2012 who have accumulated in excess of the two hundred (200) day cap shall have such excess days available for use for sick leave, but shall not be granted additional days annually, until their accumulation falls below the two hundred (200) day accumulation.
2. Upon retirement, pursuant to the terms set forth in the Pension Plan of the Town of Waterford, or upon the death of an employee, with ten (1 0) or more years service to the Waterford School system, the Board will make payment to the individual employee, or his/her estate, for up to forty (40) days' accumulated sick leave. Employees hired on or after July 1, 2012 shall not be eligible for this benefit.
3. In the event of an expected absence from work due to sickness, the employee must notify his/her immediate supervisor as early as possible and in any event no later than starting time. Except for extenuating circumstances, an employee's failure to notify his/her supervisor will result in an unexcused and unpaid absence from work. Sick leave will continue to accumulate during worker compensation related injury leave but will not accumulate during any period of suspension from duties due to disciplinary action.
4. Attendance is a requirement of the job, and use of sick leave is a privilege, not a right. Accordingly, the Board reserves the right to require proof of illness or disability when the superintendent or his or her designee believes the use is suspicious or abusive or a pattern of use is evident. Proof of illness or disability shall include a doctor's certificate. The failure of the board to request proof of illness or disability pursuant to this section shall not constitute a waiver by the board of its right to enforce this section.
ARTICLE NINETEEN BENEFITS
Payment for the following shall be n1ade by the Board of Education for employees working thirty (30) hours per week or more:
Section 1
The Board shall have the right to self- insure and/or fully insure for any of the insurance benefits described in this Article and/or to change administrators/carriers/plans for any of the insurance benefits, provided that the overall level of benefits remains substantially equivalent to the overall level of benefits in effect immediately preceding any such change.
Prior to itnplementation of any change, the Board shall provide the Union's local Unit President with the specific proposed change(s) in administrators/carriers/plans. The Union shall have at least thirty (30) calendar days from the date the new administrators/carriers/plans information is presented to the Union. If the Union does not approve of the proposed changes, it shall submit a written statement detailing the reasons for such disapproval, specifically listing the aspects of the proposed change to which it objects. The Union must submit this written statement within thirty (30) calendar days of the notification period noted above. Failure to submit such statement within the aforementioned day time period shall be deemed approval of the proposed plan and a waiver of any right to arbitrate the issue. Notwithstanding the time periods set forth in this section, the Board shall have the right to modify the proposed change(s) in order to satisfy any concerns articulated by the Union, and offer the Union a proposed plan designed to address those concerns. The offering of such a revised plan shall not restart the timelines set forth in this section.
The Union may resolve any dispute under this section by submitting the issue to arbitration with the American Arbitration Association within ten (1 0) business days of receipt of the Superintendent's written notice that the Board intends to implement the new plan/carrier/administrator. The arbitrator in the aforementioned dispute shall have experience in insurance matters. Prior to implementing any change(s), 1) the patiies must agree on the proposed changes or an agreeable revision thereto, 2) the Board must receive a written decision from the arbitrator, or 3) the time period for filing for arbitration set forth in this section must expire without a filing for arbitration by the Union. The charges by the arbitration board shall be shared fifty (50%) percent by the Union and fifty (50%) percent the Board.
Section 2
A. The HDHP Plan is described in summary form in Appendix A.
The Board and the employee shall pay the percentages of fully insured premium or fully insured equivalent rates designated below:
The Board will contribute to the annual deductible for employees' HDHP in the amounts set forth below:
Effective 2022-2023 for wellness compliant employees:
• $1, 125/year for the individual plan
• $2,250/year for the 2-person or family plan
Non-compliant employees do not receive any contributions towards the HDHP deductible.
For any compliant employee not eligible for an HSA account as a matter of federal law, who is enrolled in the HDHP, the Board shall reduce the employee's premium contribution in a manner equivalent to the monetary value of the Board contribution to the applicable deductible atnount for the employee's coverage level.
Master Group certificates and/or policies are available in the business office for more specifics. The master certificates and/or policies are the governing documents concerning the Board's insurance plan designs; the information contained herein and in the contract appendices is therefore intended as a summary.
Section 3
The Board shall pay for dental insurance at a cost-sharing percentage equal to that it pays for the HDHP Plan, and the employee shall pay the remaining percentage of the cost of individual or family dental plan as selected by the Board. The Dental Plan is described in summary form in Appendix C.
Section 4
No later than the effective date of this Agreement, the Board shall implement and maintain a Section 125 Salary Reduction Agreement which will be designed to permit exclusion from taxable income the employee's share of health insurance premiums. The Board makes no representations or guarantees as to the initial or continued viability of such a salary reduction agreement, and shall incur no obligation to engage in any form of impact bargaining in the event that a change in law reduces or eliminates the tax -exempt status of employee insurance premium contributions. So long as the Board makes a good faith effort to comply with this paragraph, neither the Union or any bargaining unit member covered by this Agreement shall make any claim or demand, nor maintain any action against the Board of any of its members or agents for taxes, penalties, interest or other cost of loss arising from a flaw or defect in the salary reduction agreement, or frmn a change in law which may reduce or eliminate the employee tax benefits to be derived therefrom.
Section 5
The Board will make payment for one hundred percent (100%) of the premium for a fifty thousand dollar ($50,000) group term life insurance policy for each member of the Union, the carrier to be determined by the Board in its sole discretion.
Section 6
Subject to the requirements of state and federal law, employees may continue in the group health plan, as offered to active employees within the bargaining unit, during any period of approved leave of absence providing the insurance provider allows. The cost of this participation shall be paid one hundred percent (100%) by the employee.
Section 7
Bargaining unit members hired on or before June 30, 2012, may voluntarily elect to waive in writing all insurance coverage outlined in this Article. In lieu thereof, the member shall receive an annual payment of seven hundred and fifty hundred dollars ($750). Payment to those members waiving such coverage shall be made in June of the fiscal year during which insurance was waived. Notice of intention to waive insurance coverage must be sent to the Human Resources Office no later than May 1, to be effective in the following contract year. Waiver of premium procedures must be acceptable to the applicable insurance carriers. In order to qualify for the waiver benefit, the employee must not be insured under a spouse's plan offered through the W Board of Education.
Section 8
Where a change in a bargaining unit member's status prompts the member to resume Board provided insurance coverage, the waiver may, upon written notice to the Board, be revoked. Upon receipt of revocation of the waiver, insurance coverage shall be reinstated as soon as possible, subject, however, to any regulations or restriction, including waiting periods, which may then be prescribed by the appropriate insurance carriers. Depending upon the effective date
of such reinstated coverage, appropriate financial adjustments shall be made between the member and the Board to ensure that the member has been compensated, but not overcon1pensated, for any waiver elected in this section.
Section 9
Automatic Enrollment. Employees enrolled in the health plan will be automatically enrolled in the Board's wellness incentive programs as described herein. Preventive wellness visits shall be required every other calendar year (a "measurement year"). If an employee and the employee's enrolled spouse each comply with the preventive wellness incentive program requirements during the applicable measurement year, the employee shall be designated "compliant" for the two contract years immediately following the applicable measurement year. If an employee and/or the employee's enrolled spouse fail to meet the wellness incentive program requirements in the applicable measurement year, the employee and the employee's em·olled spouse may satisfy the program requirements during the subsequent calendar year, in order for the employee to be designated a "compliant" employee for the second contract year of the applicable 2 year measurement cycle.
If during the applicable measurement year, the employee and the employee's enrolled spouse (as applicable) participated in all applicable components of the Board's wellness incentive programs, the employee shall be deemed a "compliant participating employee." New employees shall be deemed "compliant" for the first biennial cycle of employment. If during the applicable measurement year, the employee or the employee's enrolled spouse (as applicable) failed to participate in one or all applicable components of the Board's wellness incentive programs, the employee shall be deemed a "non-compliant employee."
The 2021 calendar year shall serve as the first applicable measurement year during the 20222025 contract, and the 2023 calendar year shall serve as an applicable measurement year as well. If an employee and the employee's enrolled spouse each comply with the preventive wellness incentive program requirements during the 2021 calendar year, the employee will be designated "compliant" for the 2022-2023 contract year as well as the 2023-2024 contract year. If an employee and the employee's enrolled spouse fail to comply with the preventive care requirements in calendar year 2021, the employee shall be designated "non -compliant" for the 2022-2023 contract year. If an e1nployee and the employee's em·olled spouse fail to cotnply with the preventive care requirements in calendar year 2021 and also do not comply in calendar year 2022, the employee shall be designated "non-compliant" for the 2023-2024 contract year.
Benefits Based Program. The Board's wellness incentive program consists of "benefits based" wellness incentive program. The Board shall make a designation of an employee's status as a compliant participating or non-compliant employee on a biennial basis, based on the employee's and the employee's enrolled spouse's participation in wellness incentive program requirements during the applicable measurement year. The Board shall give notice of an employee's status at least two (2) times per year on or before January 31st and on or before August 15th. Employees and their spouses will be enrolled in the benefits based program, which will require participants to obtain recommended preventive care services. Preventive services shall include those services outlined in Appendix D. Compliance with the benefits based program will be measured on a biennial basis.

When the Board elects to track compliance directly, proof of compliance for each employee and his/her spouse shall be made by the employee submitting to the Board any of the following forms of documentation:
• Completed W ellness verification form
• Doctor's note certifying preventive care visit
• Summary of preventive care visit completed by doctor
• Email from third-party administrator confirming appointment
• Email from Doctor confirming appointment
• EOB with information on preventive care visit
In the event that the Board elects to track compliance through a third party administrator, proof of compliance for each employee and the employee's enrolled spouse shall be made in accordance with the requirements of the administrator.
Non-Compliant Employees. If during the applicable measurement year, the employee or the employee's enrolled spouse (as applicable) failed to participate in the applicable components of the Board's wellness incentive programs, the employee shall be designated a "non-compliant employee" for the two subsequent contract years. If an employee and/or the employee's enrolled spouse fail to meet the wellness incentive program requirements in the applicable measurement year, the employee and the employee's em·olled spouse may satisfy the program requirements during the subsequent calendar year, in order for the employee to be designated a "compliant employee" for the second contract year of the applicable cycle. If during the applicable measurement year, the employee and the employee's enrolled spouse fully participate in all applicable components of the Board's wellness incentive programs, the employee shall be designated a "compliant participating employee" for the two subsequent contract years.
Section 10
The Board may, at its option, offer an alternative insurance plan( s) to bargaining unit employees after review of such proposed plan(s) by the Union. The plan design, co-payment amounts, cost sharing and other provisions of these alternative plans need not conform to the provisions of this article. Participation in an alternative plan shall be voluntary.
ARTICLE TWENTY WAGES
1. Wage rates are set forth in Appendix B.
2. The Superintendent of Schools shall place all personnel in groups and steps. The Superintendent of Schools can place newly hired employees on other than the first step of the wage group for which an employee has been hired. Credit on the step schedule will be given an employee based upon work experience and job knowledge as determined by the Superintendent.
3. Employees who have worked at least ninety (90) work days in their first year of continuous employment with the Board will be credited with one (1) year of service for
purposes of step placement on the wage schedule. During the term on this contract, in any year in which step movement is negotiated, and specifically on July 1 of 2022, 2023 and 2024, an employee shall advance to the next step of their group after completing one year of service until he or she attains the maximum. The Superintendent of Schools may withhold individual step raises for performance and disciplinary reasons. Upon the recommendation of the Director of Building and Grounds, the Superintendent of Schools may promote an employee to a higher pay group or pay step. Such employee may be returned to the prior group or step at any time during a three month probationary period without recourse to the grievance procedure.
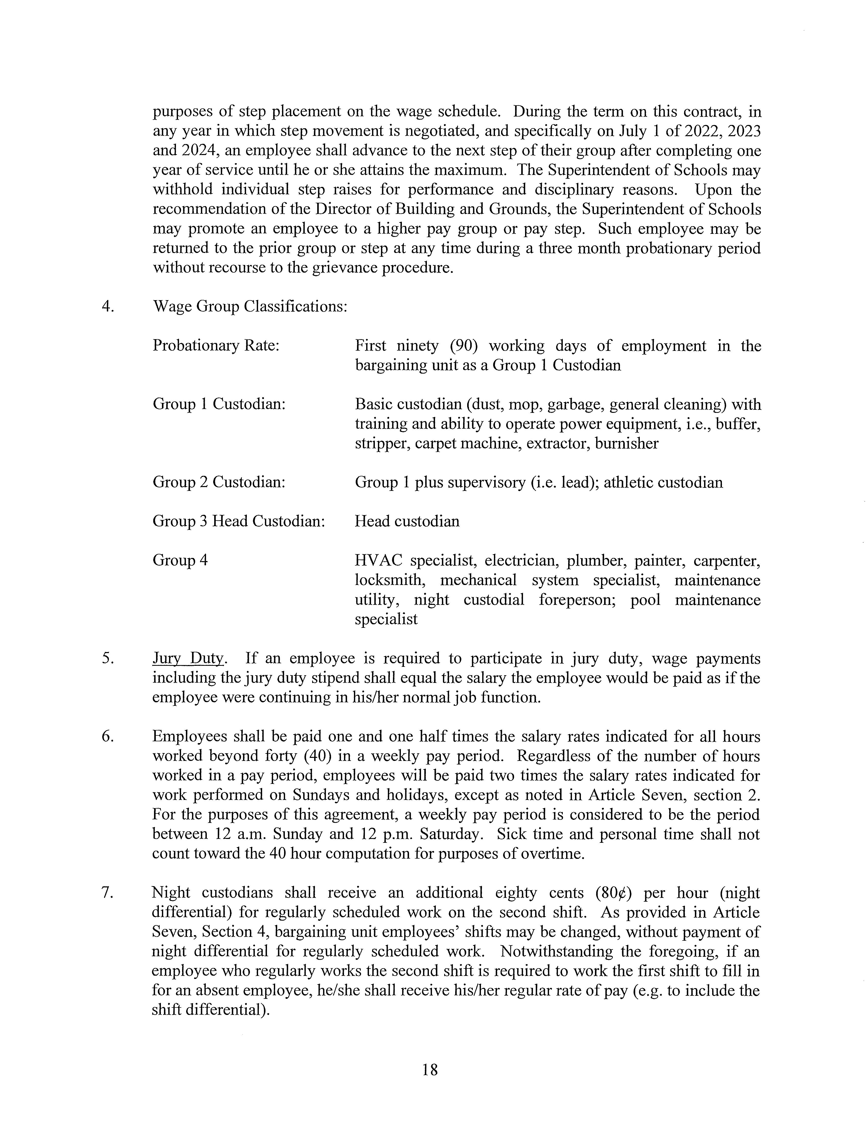
4. Wage Group Classifications:
Probationary Rate:
Group 1 Custodian:
Group 2 Custodian:
Group 3 Head Custodian:
Group 4
First ninety (90) working days of employment In the bargaining unit as a Group 1 Custodian
Basic custodian (dust, mop, garbage, general cleaning) with training and ability to operate power equipment, i.e., buffer, stripper, carpet machine, extractor, burnisher
Group 1 plus supervisory (i.e. lead); athletic custodian
Head custodian
HVAC specialist, electrician, plumber, painter, carpenter, locksmith, mechanical system specialist, maintenance utility, night custodial foreperson; pool maintenance specialist
5. Jurv Dutv. If an employee is required to participate in jury duty, wage payments including the jury duty stipend shall equal the salary the employee would be paid as if the employee were continuing in his/her normal job function.
6. Employees shall be paid one and one half times the salary rates indicated for all hours worked beyond forty (40) in a weekly pay period. Regardless of the number of hours worked in a pay period, employees will be paid two times the salary rates indicated for work performed on Sundays and holidays, except as noted in Article Seven, section 2. For the purposes of this agreement, a weekly pay period is considered to be the period between 12 a.m. Sunday and 12 p.m. Saturday. Sick time and personal time shall not count toward the 40 hour computation for purposes of overtime.
7. Night custodians shall receive an additional eighty cents (80¢) per hour (night differential) for regularly scheduled work on the second shift. As provided in Article Seven, Section 4, bargaining unit employees' shifts may be changed, without payment of night differential for regularly scheduled work. Notwithstanding the foregoing, if an employee who regularly works the second shift is required to work the first shift to fill in for an absent employee, he/she shall receive his/her regular rate of pay (e.g. to include the shift differential).
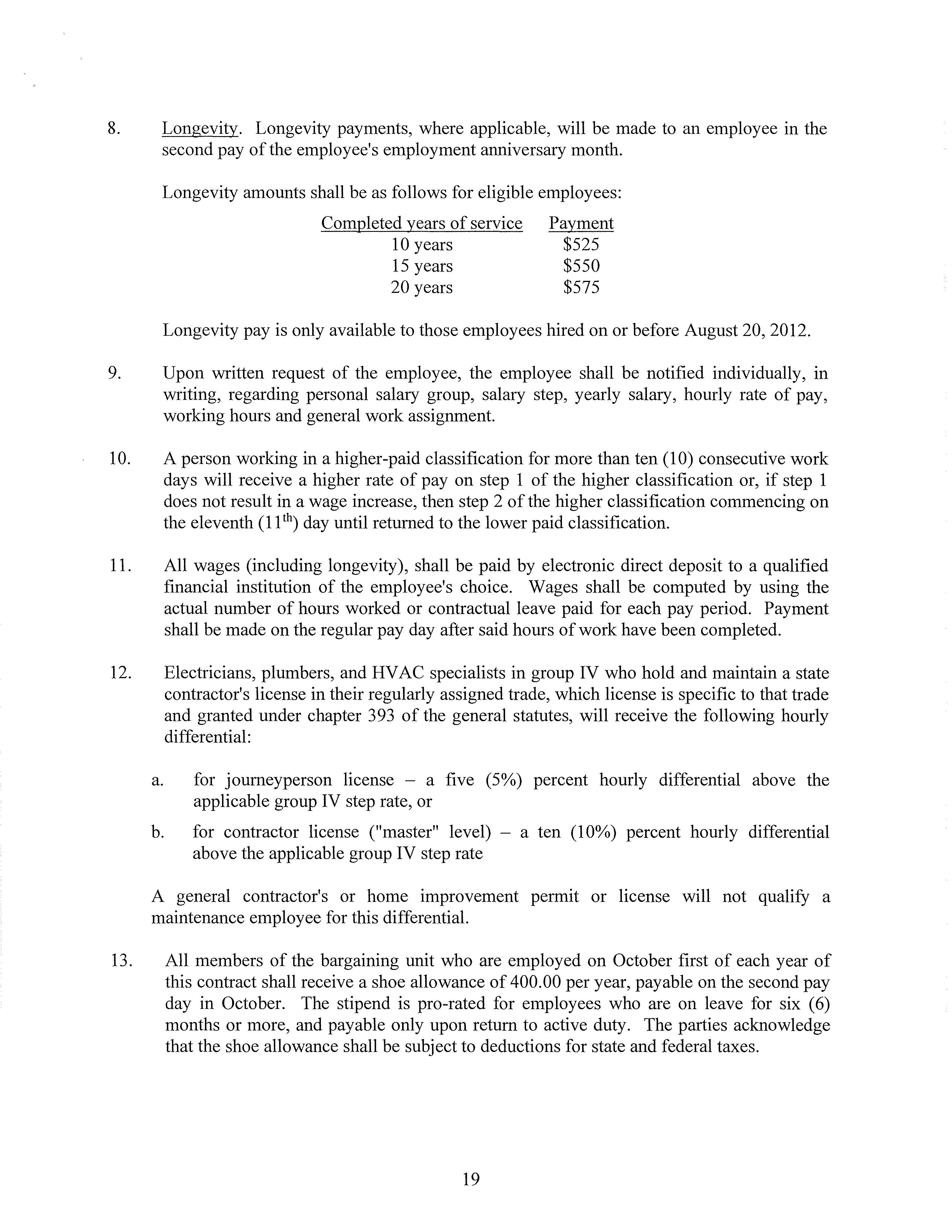
8. Longevity. Longevity payments, where applicable, will be made to an employee in the second pay of the employee's employment anniversary month.
Longevity amounts shall be as follows for eligible employees: Completed years of service 10 years 15 years 20 years Payment
$525
$550
$575
Longevity pay is only available to those employees hired on or before August 20, 2012.
9. Upon written request of the employee, the employee shall be notified individually, in writing, regarding personal salary group, salary step, yearly salary, hourly rate of pay, working hours and general work assignment.
10. A person working in a higher-paid classification for more than ten (10) consecutive work days will receive a higher rate of pay on step 1 of the higher classification or, if step 1 does not result in a wage increase, then step 2 of the higher classification commencing on the eleventh (11th) day until returned to the lower paid classification.
11. All wages (including longevity), shall be paid by electronic direct deposit to a qualified financial institution of the employee's choice. Wages shall be computed by using the actual number of hours worked or contractual leave paid for each pay period. Payment shall be made on the regular pay day after said hours of work have been completed.
12. Electricians, plumbers, and HVAC specialists in group IV who hold and maintain a state contractor's license in their regularly assigned trade, which license is specific to that trade and granted under chapter 393 of the general statutes, will receive the following hourly differential:
a. for journeyperson license -a five (5%) percent hourly differential above the applicable group IV step rate, or
b. for contractor license ("master" level) -a ten (10%) percent hourly differential above the applicable group IV step rate
A general contractor's or home improvement permit or license will not qualify a maintenance employee for this differential.
13. All members of the bargaining unit who are employed on October first of each year of this contract shall receive a shoe allowance of 400.00 per year, payable on the second pay day in October. The stipend is pro-rated for employees who are on leave for six (6) months or more, and payable only upon return to active duty. The parties acknowledge that the shoe allowance shall be subject to deductions for state and federal taxes.
ARTICLE TWENTY-ONE COURSE REIMBURSEMENT
When in the judgment of the Superintendent, a course for which reimbursement is requested will make a meaningful contribution to a more effective performance of the duties to which the staff member is assigned or would enhance professional growth, then such reimbursement may be granted. If possible, courses must have approval of the Superintendent at least fifteen (15) days prior to the start of the course. A maximum of up to $3 00 will be allotted for each course upon satisfactory completion of said course. The Board of Education will provide an account of $5,000 for course reimbursement. This account may not be over-expended. Course reimbursement is payable in one lump sum prior to the end of the school year. Bargaining unit members must submit an official grade report or an official transcript of the approved course( s) and a copy of the bill for tuition and fees. The employee must have a grade of B or better to be reimbursed. In order to receive payment during a contract year, all paperwork must be subtnitted by March 1. Reimbursement requests received after March 1 may, at the discretion of the Board, be held over until the following year's payment. All bargaining unit members must be employed by the Waterford Board of Education at the time payment is made in order to receive reimbursement.
ARTICLE TWENTY-TWO GENERAL
1. This contract constitutes the entire Agreement between the Board and UPSEU and fully settles any and all demands and issues for the term of the contract with respect to any and all matters subject to negotiations.
2. For the duration of this contract, the Board and UPSEU expressly waive any right to negotiate, and each agrees that the other shall not be obligated to negotiate with respect to any subject or matter which is subject to negotiate whether or not such subject or matter is specifically referred to herein. However, if both parties agree to negotiate any subject or matter that is subject to negotiation, such negotiations may commence at once.
3. A list of all employees in the bargaining unit shall be kept at the personnel office. This list shall include names, addresses and school assignments. It shall be updated at least once annually in the month of October. A copy of each update shall be provided to the president of the bargaining unit.
ARTICLE TWENTY-THREE RETIREMENT
Tenns of retirement shall be determined by the as Connecticut Municipal Employees Retirement System (CMERS) administered through the Town of Waterford.
ARTICLE TWENTY-FOUR DISMISSALS
No employee who has completed his or her probationary period shall be suspended or discharged without just cause.
ARTICLE TWENTY-FIVE DURATION
1. The provisions of this Agreement shall be effective as of date of mutual execution and shall continue and remain in full force and effect to and including the thirtieth day of June 2025; provided, however, only wage and step increases set forth herein shall be implemented retroactive to July 1, 2022, paid within thirty (30) days of the mutual execution of the collective bargaining agreement.
2. This contract shall be automatically renewed from year to year unless either party shall notify the other in writing by certified or registered mail at least one hundred twenty (120) days prior to the termination date (or, if renewed, the anniversary date).
ARTICLE TWENTY-SIX DUES DEDUCTION
1. Upon receipt of individual written authorization from Union members for voluntary union dues deduction, the Board agrees to deduct Union dues monthly (as set forth below in Section 2), for each full month worked, from earned wages and remit promptly to UPSEU, 3555 Veterans Highway, Suite H, Ronkonkoma, NY 11779. The Union agrees to indemnify and to hold the Board harmless against any and all claims for damages, demands, suits or other forms of liability that shall, or may, arise out of or by reason of carrying out the provisions of this Article concerning the deduction from salary of such dues, as hereinbefore mentioned.
2. These deductions will be made on the payday each month specified by the Board.
ARTICLE TWENTY-SEVEN UNIFORMSNEHICLES
1. All employees shall be required to wear uniform shirts provided by the employer during work hours. A union/employer committee appointed by the respective parties shall be consulted regarding the selection of the winter and summer uniform shirts. Purchase and issuance of these shirts shall be at no cost to the employee.
2. Employees shall use Board of Education vehicles for work related purposes only, as directed by the Director of Buildings and Grounds.
ARTICLE TWENTY-EIGHT DRUG AND ALCOHOL POLICY
1. The Drug and Alcohol Policy, attached as Appendix E to this Agreement, shall apply to all employees.
SIGNATURE BLOCK
IN WITNESS WHEREOF, the parties hereunto have caused these presents to be executed by their proper officers, hereunto duly authorized and their seals affixed hereunto as of the date and year first above written.
WATERFORD BOARD OF EDUCATION CUSTODIAN AND MAINTENANCE EMPLOYEES
Dan1el San!DJ , President DATE: _ ' I UNITED PUBLIC SERVICE EMPLOYEES UNION
WATERFORD BOARD OF EDUCATION
BY: ocd '::£ cLuJ___._
Pat
Fedor, Board Chair
DATE: lc) - (S (
APPENDIXE
DRUG and ALCOHOL POLICY
I. Drug and Alcohol-Free Workplace
The Waterford Board of Education is committed to maintaining a work environment free from the adverse impact of employee drug and alcohol abuse. Employee drug and alcohol abuse can create serious risks of physical harm to fellow employees and students, and economic injury to the Board and other employees. Drug or alcohol abuse can lead to increased accident rates and absenteeism and can cause job performance and productivity to suffer. Employee drug and alcohol abuse can seriously compromise safety in the workplace and the quality of the services that the Board provides to the public.
II. Drug Policy for Employees
A. Illegal Drugs
1. The Board prohibits the unlawful manufacture, distribution, possession, or use of controlled substances by its employees in the workplace. The "workplace" includes but is not limited to: employees while on the job, while on school premises, while operating school equipment or vehicles, or while operating any other equipment or vehicles while on school business. "Controlled Substance(s)" includes any drug or substance that the law prohibits an individual from manufacturing, selling, or otherwise transferring, including, but not limited to, marijuana and cocaine. As a condition of employment, employees must abide by this policy and may be required to submit to a drug test where appropriate under this policy.
2. The Board also prohibits its employees from being on the job, on school premises, operating school equipment or vehicles, or operating any other equipment or vehicle on school business while under the influence of any controlled substance. An employee is "under the influence" if drug test results indicate the presence of a controlled substance in the employee's system in an amount that constitutes a positive test result as defined elsewhere in this policy.
3. The Board recognizes the right of its employees to engage in off-duty activities of their choice. However, an employee's off-duty activity that involves illegal drug use, including possession or sale, adversely impacts the school system and will not be tolerated.
4. Any employee who violates any provision of this section will be subject to disciplinary action up to and including discharge.
B. Legally Obtained Drugs
1. Employees must not be on the job, on school premises, or operating school equipment or vehicles while on school business while under the influence of any drug - legal or illegal - that renders the employee unfit for duty. An employee is "unfit for duty" if, in the opinion of the Director of Buildings and Grounds, or his/her designee, the employee's use of drugs jeopardizes his/her ability to work safely or efficiently. If an employee's medically - required use of legally obtained drugs renders the employee unfit for duty, in the opinion of the Director of Buildings and Grounds, or his/her designee, a temporary alternative job assignment is not available, the employee will be considered unfit for duty due to illness.
III. Alcohol Policy For Employees
A. The Board prohibits its employees from consuming, possessing, distributing, purchasing, selling, or otherwise transferring alcoholic beverages while on the job, while on school premises, while operating school equipment or vehicles while on the job, or while operating any other equipment or vehicles, while on school business.
B. The Board also prohibits its employees from being on the job, on Board premises, or operating school equipment or vehicles, or operating any other equipment or vehicle while on school business while under the influence of alcohol.
C. An employee who, violates any provision of this section, will be subject to disciplinary action up to and including discharge.
IV. Testing of Staff
A. 1. To insure the success of its drug and alcohol policy, the Board will require prospective employees to undergo physical examinations, blood tests, urinalysis, or other medical drug and alcohol detection procedures under the circumstances described in the following section. No employee shall refuse to submit to an alcohol or drug testing required under this policy.
2. All required medical tests will be conducted at Board expense by qualified and Board-approved designated medical personnel. Applicants and current employees will be given an opportunity before testing to advise the medical personnel of any legal or prescribed drugs which they are then taking.
3. A positive test result means that the test result shows the presence of an illegal or controlled substance or alcohol in the applicant's or employee's system at or above the limits hereinafter described.
4. An initial urinalysis drug test shall be administered utilizing a reliable methodology. An employee's initial positive result must then be confirmed by a second urinalysis drug test, which shall be separate and independent from the initial test. The second tests shall utilize either a gas chromatography and mass spectrometry methodology or other methodology which has been determined by the State of Connecticut Commissioner of Health Services to be as reliable or more reliable than the gas chromatography and mass spectrometry methodology.
5. All confirmation tests on employees will be conducted on the same urine sample upon which the initial test was conducted and by the same medical or technical personnel. If the final confirmation test is negative for illegal drugs or alcohol, the Board will disregard the initial screen test.
6. If an employee's alcohol test reveals an alcohol concentration of .04 or greater, he/she may be subject to disciplinary action, including discharge.
B. Reasonable Suspicion Testing
1. Each employee is subject to drug testing whenever the Board, through its Director of Buildings and Grounds or his/her designee, has a reasonable suspicion that said employee has violated this policy through the use of a controlled substance or alcohol. The determination that reasonable suspicion exists to require the employee to undergo a test must be based on specific, contemporaneous, articulable observations concerning the appearance, behavior, speech or body odors of the employee. The observations may include indications of the chronic or withdrawal effects of controlled substances. The person who makes the determination that a reasonable suspicion exists to conduct a drug or alcohol test shall not conduct such test of the employee. Reasonable suspicion must be confirmed by a school nurse. If a nurse is not available, then confirmation shall be by another administrative staff member.
2. Alcohol testing is authorized only if the observations required by this policy are made during, just preceding or just after the period of the work day that the employee is required to be in compliance with this policy or at anytime the employee is using a school vehicle. If an alcohol test required by this section is not administered within two hours following the determination of reasonable suspicion, the employer shall prepare and maintain on file a records stating the reasons the alcohol test was not promptly administered. If an alcohol test required by this policy is not administered within 8 hours following the determination of reasonable suspicion, the employer shall cease attempts to administer an alcohol test and shall state in the record the reasons for not administering the test.
3. An employee who is tested pursuant to this section will be suspended with pay pending the test outcome. If the test is negative, the employee will be allowed to return to work, unless the suspension was imposed for additional reasons unrelated to this policy.
4. A written record shall be made of the observations leading to the controlled substances "reasonable suspicion" test, and signed by the Director of Buildings and Grounds or his/her designee within 24 hours of the observed behavior or before the results of the controlled substance test are released, whichever is earlier.
5. If a test under this section is required outside of the employee's work time, the Board will pay the employee at his/her hourly rate for the time necessary to take the test, but only if the test results are negative, that is, alcohol and drug free.
C. Confidentiality of Records and Test Results
Results of job applicant and employee drug and alcohol tests will be kept confidential to the extent allowed by law. Only Board employees and agents who need to know the test results will be notified of, or permitted to review, the results. Employees and agents must not reveal the test results to any other persons who have no need to know the results. An employee who, in the opinion of the Director of Buildings and Grounds, violates the provision of this section is subject to disciplinary action up to and including discharge. In addition, test results will be maintained with other employee medical records and shall be subject to privacy protection provided by state law.
V. Failure to Cooperate
Any employee who (a) fails to cooperate with the Board's investigation into possible violations of this drug and alcohol policy, or (b) refuses to sign consent to take a drug or alcohol test will be subject to disciplinary action up to and including discharge.
VI. Obligation to Report
The Board will not discharge, discipline or otherwise penalize any employee because the employee makes a good faith report of a violation of a suspected violation of this policy.
However, any employee found to have knowingly made a false report shall be subject to disciplinary action up to and including discharge.
SIDE LETTER
This SIDE LETTER is n1ade by and between the Waterford Board of Education (hereinafter the "BOARD 11 ) and its custodial and maintenance bargaining unit, UPSEU/Waterford BOE Custodian and Maintenance Employees (the HUnion)'), hereinafter sometimes referred to as the "parties."
WHEREAS, the BOARD and the Union are parties to a collective bargaining agreement in effect through June 30, 2025 that detennines the terms and conditions of etnployinent for me1nbers of the Union (the "Agree1nent'}); and
WHEREAS, the Board and the Union would like to modify Article SIXTEEN, Section l to provide for bargaining unit members to have a paid holiday on Juneteenth.
NOW THEREFORE, the Board and the Union agree to the following:
1. Article SIXTEEN of the Agreement is hereby modified as follows:
l. Etnployees, including ernployees within their probationary period, will be paid holidays as follows:
Labor Day
Martin Luther King Day
Thanksgiving Day Day After Thanksgiving
Christtnas Day
Day before Christmas Day After Christmas
New Ycar1 s Day
Columbus Day
President's Day
Good Friday
Metnorial Day
Juneteenth
Independence Day
? The terms of this SIDE LETTER are recognized as a joint agreement by the BOARD and the Union, and the terms thereof shall not be subject to any grievance, administrative, judicial, or other challenge except where necessary to enforce the specific tcn11s of the SIDE LETTER.
3. The validity, effect and operation of this SIDE LETTER shall be detennined by the laws of the State of Connecticut.
4. The BOARD and Union affinnativeiy state that they have a full understanding of the contents of the SIDE LETTER and the effects thereof; and that they have executed the same voluntarily and of their own free will, without any coercion.
5. The signatures below indicate that this SIDE LETTER has been fully approved by the parties and they have the capacity to act on behalf of their representative entities.
IN WITNESS WHEREOF, the aforementioned parties, intending to be legally bound hereby> have executed this SIDE LETTER.
WATERFORD BOARD OF EDUCATION: l' By_
Thomas W. Giard, III Superinten o Schools
WATERFORD CUSTODIAL AND MAINTENANCE EMPLOYEES, UPSEU:
President
SIDE LETTER REGARDING STATE PARTNERS HI P PLAN
WHEREAS, the Waterford Board of Education (the "Board") and the United Public Service Employees Union, Waterford Custodian and Maintenance Association (the ..Custodian and Maintenance Union") are parties to a collective bargaining agreement in effect through June 30, 2025, that determines the terms and conditions of employment for members of the bargaining unit and are in negotiations for a successor agreement; and
WHEREAS, the Board and the Custodian and Maintenance Union have reviewed insurance benefits as may be available from the State of Connecticut under Partnership Plan 2.0 and detennined that moving to the Partnership Plan 2.0 will present a cost·savings for the parties; and
WHEREAS, the Board and the Custodian and Maintenance Union have therefore agreed to move to the Partnership Plan 2.0 as soon as practicable under the tenns and conditions set forth herein; and
NOW THEREFORE, in order to effectuate the parties' desire to move to the Partnership Plan 2.0, the Board and the Custodian and Maintenance Union agree to the following:
1. Notwithstanding the provisions of the applicable collective bargaining agreement at Article Nineteen and its related appendices, effective as soon as practicable after the State's acceptance of Waterford's application for the Partnership Plan 2.0, the medical, R.X and dental insurance plan offered by the Board shall be the Partnership Plan 2.0, as described in this SIDE LETTER.
2. In the event that the parties transition to the Partnership Plan 2.0 for or during the 2025 ·2026 contract year, the premium cost sharing percentage for medical and RX coverage for the remainder of the contract year shall be dictated by the tenns of the successor collective bargaining agreement, as negotiated by the parties. The parties agree that the Board shall provide the dental insurance premium contribution (at all coverage levels) as negotiated by the parties, with the dental plan to be selected by the Board. The Partnership Plan 2.0 vision rider will be offered as a separate benefit at 100% cost to the employee.
3. Premium rates shall be inclusive of medical, RX, dental and all administrative fees incurred by the Board, and shall be established by the State of Connecticut for the relevant July I through June 30 period.
4. The premium rates will be established by the State of Connecticut for single, employee + l and family, and for actives, pre-65 actives, Medicare retirees and post·65 non Medicare eligible retirees.
Pagcj l #22138408vS<SG> • Waterford BOE- MOU on Partnership Plan- Custodians (April 17, 2025)
5. The Partnership 2.0 Plan design and co•payments shall be specified by the State of Connecticut. The MEDICAL PLAN SUMMARY is published by the State and described by the State and attached hereto as Exhibit A. The DENTAL PLAN SUMMARY is attached hereto as Exhibit B. The VISION PLAN SUMMARY is attached hereto as Exhibit C. The Board and the Custodian and Maintenance Union recognize that State of Connecticut may unilaterally change the plan design and co-payments of these plans.
6. The parties acknowledge that the Board has a management right to leave the Partnership Plan 2.0 at any time for a new plan or carrier, so long as it provides substantially equivalent coverage and benefits to those described in the collective bargaining agreement between the parties for the July l, 2022 through June 30, 2025 period. ln the even t that the Board decides to leave the Partnership Plan 2.0, in addition to providing the Custodian and Maintenance Union with information about the coverage that the Board will be implementing in lieu of the Partnership Plan 2.0, the Board agrees to provide the Custodian and Maintenance Union with cost information related to Board's decision to exit the Partnership Plan 2.0.
7. The parties acknowledge that the Partnership Plan 2.0 contains a welluess component referred to by the State as the Health Enhancement Program ("HEP"). All employees participating in the Partnership Plan 2.0 will be required to participate in HEP and subject to its terms and conditions.
8. All employees will be required to complete any documentation required to enroll in the Partnership Plan 2.0 and HEP.
9. In the event that the Partnership Plan 2.0 administrators impose a HEP participation penalty on the basis of an employee's non·compliance with the terms of the HEP or any non-compliance on the part of any individual covered under the employee's insurance, any such penalty shall be fully paid by the non-compliant employee, by payroll deduction.
10. The terms of this SIDE LEITER are recognized as a joint agreement by the Board and the Custodian and Maintenance Union, and the tenns thereof shall not be subject to any grievance, administrative, judicial, or other challenge except where necessary to enforce the specific tenns of the SIDE LETTER.
11. The validity, effect and operation of this SIDE LETTER shall be determined by the laws of the State of Connecticut.
12. The Board and the Custodian and Maintenance Union affirmatively state that they have a full understanding of the contents of the SIDE LETTER and the effects thereof; and that they have executed the same voluntarily and of their own free will, without any coercion.
13. The signatures below indicate that this SIDE LETTER has been fully approved by the parties and they have the capacity to act on behalf of their representative entities.
r•a!!.t: 2
#22IJ8408vS<SG>. Waterford BOE • MOU on Pannership Plan· Custodians (April 17. 2025)
IN WITNESS WHEREOF, the aforementioned parties, intending to be legally bound hereby, have executed this SIDE LETTER.
WATERFORD BOARD OF EDUCATION:
13
UNITED PUBLIC SERVICE EMPLOYEES
UNION, WATERFORD CUSTODIAN AND MAINTENANCE ASSOCIATION
Union President
UNITED PUBLIC SERVICE EMPLOYEES
UNION, WATERFORD CUSTODIAN AND MArNTENANCE ASSOCIATION
Date :
#22138408vS .: SG > - Waterford BOE • MOU on Partn ers hip Plan- Custodians (Aprill7, 2025)