DSI-NRF Centre of Excellence in Human Development
Individual and Society

DSI-NRF Centre of Excellence in Human Development
Individual and Society
ANNUAL REPORT 2023
Professor Brendon Barnes | Vice-Dean (Research, Postgraduate Studies, and Innovation: Humanities of the University of Johannesburg
Professor Brendon Barnes is a Professor of Psychology and Vice Dean (Research, Postgraduate Studies, and Innovation) in the Faculty of Humanities at the University of Johannesburg. He writes in psychology, environmental health, and justice and has worked on studies of air pollution, housing, lead poisoning, mercury, water and sanitation, and climate change. He has won teaching, academic citizenship, and research awards, and is known to champion the integration of justice into environmental and climate psychology.
Dr Mongezi Mdhluli | Chief Research Operation Officer in the Office of the South African Medical Research Council President
Dr Mongezi Mdhluli is the Chief Research Operation Officer (CROO) in the office of the SAMRC President. He is responsible for the research operations of the SAMRC, the Project Management Office, Research Operations (including laboratory operations) Ethics Committee and the Research Integrity Office and overseeing the efficient operations of the Insectary and PUDAC. Prior to the CROO position, Mongezi was employed in the SAMRC as a Scientist and then moved to head the supply Chain Management Division. Mongezi completed his PhD at the University of the Western Cape and MBA at the University of Stellenbosch Business School.
Ms Mastoera Sadan | Chief Sector Expert in the Department of Planning, Monitoring and Evaluation of the national government of the Republic of South Africa
Mastoera Sadan is a social policy analyst who has twenty-seven years professional experience. She has worked at a senior management level in the national government of South Africa for the past nineteen years, first in the Presidency and then in the National Planning Commission, in the Department of Planning, Monitoring and Evaluation (DPME). Her expertise is in social policy and poverty and inequality. Currently she is the Chief Sector Expert: Social, in the National Planning Commission (NPC) Secretariat, DPME. Until 2018 she was the Programme Manager of the Programme to Support Pro-poor Policy Development (PSPPD II) in the DPME, a European Union-funded programme. She successfully managed this research and capacity-building Programme over an eleven-year period from 2007-2018, where she managed R150m in funding. During this time, she also managed the National Income Dynamics Study (NIDS), South Africa’s national panel study from 2006-2018 in the DPME. Prior to the PSPPD she worked in the Policy Coordination and Advisory Services (PCAS) in the Presidency. She has previously worked in the NGO and higher education sector, at the Institute for Democracy in South Africa (IDASA) and at the
University of the Western Cape. Mastoera is currently a PhD candidate at the University of Johannesburg, she holds a MSc in Social Policy and Planning from the London School of Economics (LSE) and was a Visiting Scholar at the University of Oxford from 2002-2003.
Prof Lauren Graham | Associate Professor and Director of the Centre for Social Development in Africa, University of Johannesburg
Professor Lauren is a Professor and NRF-rated scholar who currently serves as the Director of the Centre for Social Development in Africa. She is a development sociologist working in the field of social development. She brings a sociological lens to this field to understand how social, cultural, political, and intrapersonal factors interact with individual agency to shape development outcomes. Her work has focused on excluded groups including unemployed youth, people with disabilities, and children growing up in adverse contexts. While she is committed to the academic work of conceptualising and executing rigorous research that can build theory, she is equally interested in how evidence can be used to develop innovative solutions that promote better social development outcomes for society’s excluded groups. Her work is thus inherently applied and policy relevant.
Dr Vusi Malele | Deputy Director: High-End Skills at the Department of Science and Innovation
Dr Malele is the Deputy Director: High-End Skills at the Department of Science and Technology (DST). He is currently a doctoral candidate in Industrial Engineering at the Tshwane University of Technology. He holds a Master’s in Engineering Sciences (Electronics and Computer Science) from the University of Stellenbosch He also holds a certificate in Managing Public Policy from the Wits School of Governance. His working experience has included being an educator, an engineer, a lecturer, research professional and a manager. He also sits on the steering committees of other Centres of Excellence.
Dr Makobetsa Khati | Executive Director of the Research Chairs and Centres of Excellence directorate at the National Research Foundation
Dr Khati holds a BSc Honours in Public Health from the University of Cape Town. He completed his MSc at Imperial College London and his DPhil in Molecular Pathology at Oxford University where he subsequently was also a post-doctoral fellow at the Sir William Dunn School of Pathology. In addition, he was a Visiting Scientist at the Scripps Research Institute in San Diego, California. Dr Khati spent 10 years at the Council for Scientific Industrial Research (CSIR), first as Research Group Leader and later as Head of Department at the Emerging Health Technology unit. He also worked at the Institute for Infectious Diseases at UCT where he currently holds an Honorary Professorship.
Mr Nathan Sassman | Director: Centres of Excellence at the National Research Foundation
Mr Sassman is the Director: Centres of Excellence at the National Research Foundation (NRF). He holds a BSc from the University of the Western Cape, BEd and MEd degrees from the University of Cape Town, and an MBA from the Business School Netherlands in Buren in the Netherlands. He also received training in financial management from Price Waterhouse & Coopers, in internal financial controls from the National Treasury and in negotiation skills from the (former) South African Management Development Institute. His working experience has included being an educator, as well as working for the national Department of Education, the national Department of Provincial and Local Government, and at the Foundation for Human Rights.
Dr Robin Drennan | Director: Research Development – Research and Innovation
Robin Drennan has a PhD in Chemistry from Rhodes University, awarded for the investigation of pyrotechnic reactions. He has practiced as an applied researcher in a public company, AECI, and a science council, CSIR. He worked at a national funding agency (National Research Foundation) where he managed many different programmes. In 2011 he joined the Wits University as Director for Research Development. His role entails leading, encouraging and supporting research across the University. In 2010 Dr Drennan won a Golden Quill award for research reporting and in 2017 a SARIMA award for distinguished contribution to the Research Management Profession.
Prof Aryeh D. Stein (Chair) | Professor in the Hubert Department of Global Health of the Rollins School of Public Health at Emory University
Prof Stein has a joint appointment in the Department of Epidemiology at Emory University in the USA. He is a member of the faculty of the Nutrition and Health Sciences program of the Laney Graduate School of Arts and Sciences. In his research, he identifies critical periods of susceptibility to nutritional deficits and surfeits using intervention trials and natural experiments such as war-induced famine to study the role of prenatal and childhood nutrition on the development of adult chronic disease and cognitive achievement. He obtained his B.Sc. in nutrition from the University of London, and his MPH and PhD degrees, both in epidemiology, from Columbia University in New York City.
Prof Zané Lombard | Associate Professor in Human Genetics, University of the Witwatersrand
Prof Zané obtained her PhD in Human Genetics and Bioinformatics in 2008, under the supervision of Prof Michele Ramsay in the Division of Human Genetics (Wits University & NHLS). Her PhD research focused on a bioinformatics approach to disease-gene discovery. She is currently a Principal medical scientist and associate professor in the Division of Human Genetics, where she heads the Research laboratory and the Research & Development team in the Department. Before this, she worked as a Senior Lecturer in Bioinformatics in the School of Molecular & Cell Biology, also
at Wits. Zané is passionate about promoting science in Africa, and therefore participates in several academic service domains at university, national and international level, like the SA Society for Human Genetics and the H3Africa Consortium. She currently is the PI of the H3Africa NIH-funded project called Deciphering Developmental Disorders in Africa, which was started in 2017. The aim of the study is to evaluate how new sequencing technologies can be used effectively in the diagnosis of rare genetic diseases to enhance the service we can offer to patients in the public healthcare sector.
Prof Blessing Mberu | Senior Research Scientist, Population Dynamics & Urbanization at APHRC & Honorary Professor of Demography and Population Studies, University of the Witwatersrand
Blessing is a Senior Research Scientist and Head of Urbanization and Wellbeing. Blessing works on migration, urbanization, adolescent reproductive behaviour and poverty in sub-Saharan Africa under the Urbanization and Wellbeing research program. He holds a PhD in Sociology, Master of Arts degree in Sociology from Brown University (USA) and an MSc from the University of Ibadan (Nigeria). Blessing joined APHRC in 2008 as a Post-Doctoral Fellow from Brown University (USA). He previously worked at APHRC as a Research Intern and Travel Scholar between August 2004 and June 2005. Prior to joining APHRC, Blessing worked at Abia State University, Nigeria since August 1988 as a Graduate Assistant in the Department of Sociology and promoted to a Senior Lecturer between 1999 and 2002.
Prof Clifford Odimegwu | Professor in Demography and Social Statistics, University of the Witwatersrand
Clifford Odimegwu is a full professor of demography and social statistics, and heads the Demography and Population Studies Programme, an interdisciplinary programme of the Schools of Public Health and Social Sciences. Prof Odimegwu is an acknowledged researcher in the field of population health and development issues in sub-Saharan Africa. He has graduated 23 PhDs, numerous Masters and Honours students; and has over 200 publications in top Journals. He has 3 books to his credit and the fourth, The Handbook of African Demography, is under production by Routledge. He has a few years to retire.
Prof Mark Stoutenberg | Professor and Head of Department, Department of Sport & Exercise Sciences, Durham University (UK)
Dr. Stoutenberg received his doctoral degree in Exercise Physiology (2008) and master’s of science in public health (2013) from the University of Miami, where also was a faculty member in the Department of Public Health Sciences for 9 years. Prior to joining Durham University, Dr. Stoutenberg was the Chair of the Department of Kinesiology in the College of Public Health at Temple University (Philadelphia, USA). Dr. Stoutenberg’s area of expertise is examining the optimisation of clinic-community linkages to connect patients from health settings to existing community resources to physical activity, obesity, and non-communicable diseases. Through this work, Dr. Stoutenberg works with governments, health agencies, academic institutions, and professional organisations around the world.
Prof Norris is Director of the DST-NRF Centre of Excellence in Human Development and Director of the MRC/Wits Developmental Pathways for Health Research Unit, Department of Paediatrics, at the University of the Witwatersrand. He is an epidemiologist with research interests that include child growth and development, obesity, and inter-generational risk of metabolic disease.
Dr Khuthala Mabetha joined the CoE-Human in October 2023 as a Centre and Research Manager. She holds a PhD in Demography and Population studies from the University of the Witwatersrand. After completion of her PhD studies, she subsequently became a Postdoctoral Fellow at the MRC/Wits Developmental Pathways for Health Research Unit in the Healthy Living Trajectories (HeLTI) Consortium which consists of a multidisciplinary team that spans across four countries namely South Africa, China, India, and Canada and aims to develop evidence-based interventions that strive to improve maternal, child and infant health. She is a trained Demographer by profession and has been trained to apply various quantitative, qualitative, and mixed-methods research methodologies to various studies. Her research interests are centred particularly on child health and family, population health dynamics and health transitions with regards to why the health of the population is changing, particularly in relation to children, families and young women.
Kholeka Vikilahle joined the CoE-Human in June 2023 as a Finance Officer. She has a wealth of experience in business administration support and project management. She previously worked for Wits Business School and Henley Business School SA as a Programme Manager. Before that, she fulfilled the role of Business Development Manager and Relationship Manager in the vehicle finance space for WesBank and Motor Finance.
Rebecca Mudau joined the CoE-Human in May 2021 as a Research Assistant and Administrator. She has a wealth of experience in business administration support. She previously worked for the South African Post Office as a Data Capturer, and Call Centre agent. Before that, she fulfilled the role of Customer Service Agent for South African Airways. Her career began at BCA as a part-time administrator and receptionist.
Ms Kgomotso Mabusetsa | Communications Officer
Kgomotso Mabusetsa joined the CoE-Human in October 2022 as a Research Assistant and Communications Officer. She was part of the first cohort of the Wits Health Hubb (WHH) programme, which aims to provide meaningful professional work experience, training, and qualification in the healthcare space for formerly unemployed youth. She obtained her NQF level 3 Health Promotion Officer (HPO) certificate after completing the 12-month programme, which ignited her interest in research and writing. She later worked as a Research Assistant and Communications Officer for the WHH from 2021 to 2022.
Prof Monde is currently a Director of MBMak (Pty) LTD which is an independent research company. Monde is also a National Research Foundation C3 rated scientist. He held an Extra-Ordinary Professor at the Walter Sisulu University and an Honorary Associate Professor at the CoE-HUMAN at the University of Witwatersrand. Monde has a BSc degree in Statistics and Computer Science from the University of the Western Cape, a Masters Degree in Social Science in Sociology from the University of KwaZulu-Natal and a PhD in Demography from the University of the Witwatersrand. In addition, Monde held two fellowships: one at Harvard University and another at the University of Pennsylvania. He has previously lectured undergraduate and graduate students at Walter Sisulu University. His current areas of research interest include ageing, family, gender, intergenerational relations, youth, teenage sexuality, fertility, social security, and migration. Monde’s publication record includes several international and national conference presentations and authoring and co-authoring several journal articles. Monde is competent in the following fields: family sociology, gender, applied statistics, demography, and data management. Currently, Monde is working with Prof Leeson who is a Director at the Oxford Institute of Ageing on the broad topic of Longevity.
Dr. Drysdale is a Senior Researcher at Wits RHI. She holds a doctoral degree (PhD) in Public Health from the University of KwaZulu-Natal. Her research interests focus on child and adolescent health, nutrition, and development as well as sexual and reproductive health and HIV prevention. She is currently leading a research study assessing how the COVID-19 pandemic indirectly affected child growth and development in infants born during the first year of the South African lockdown. In 2022, she was nominated as an Emerging Researcher for the National Science and Technology Forum (NSTF) South 32 Awards.
Linda Richter is a Distinguished Professor in the Centre, a developmental psychologist with a PhD from the University of Natal. Linda is the author or co-author of more than 400 papers, books, chapters, and reports on basic and policy research in child and family development. She led the development of South Africa’s National Integrated Early Child Development Policy and Programme, adopted by Cabinet in 2015 as well as the 2017 Lancet Series Advancing Early Child Development: From Science to Scale. Linda is also the Principal Investigator of several large-scale, long-term collaborative projects, including Birth to Thirty, a birth cohort study of 3 273 South African children followed up for 30 years. Linda is currently writing a book on the study and has just received the NRF Lifetime Achievement Award for 2021, recognizing her extraordinary contributions to science in and for South Africa and globally. Linda is also a member of the Wellcome Trust Discovery Award Interview Panel.
Prof Rochat is a clinical psychologist who has extensively researched parenting and mental health interventions, including providing seminal research leadership to the Amagugu Intervention in KwaZulu-Natal. She is a Wellcome Trust Intermediate Fellow in Public Health and Tropical Medicine, an honorary research associate in the Department of Psychiatry, University of Oxford, and leads the adolescence research programme at the DPHRU. She also leads the Siyakhula Cohort and in 2020 established a new cohort in Soweto (the BEACON Cohort) which is investigating the link between executive function, mental health, and risk behaviour in early adolescence. She has a C-Rating from the NRF.
Sara Naicker is a Research Project Manager in the Centre. She has managed several projects – both large- and small-scale, based in South Africa and abroad, on early childhood development, child and adolescent health and well-being, and families and children in vulnerable contexts. Sara’s current work on adversity assesses the extent to which exposure to multiple and cumulative adversities in childhood is associated with poor health and wellbeing in adulthood.
The CoE-HUMAN continued to support grants in 2023 around health and well-being, mental health, child nutrition and development.
24
Bursaries awarded – 5 given to students from historically disadvantaged institutions (HDIs)
2 Collaborative research grants were awarded to Historically disadvantaged institutions (HDIs) (NMU & UNIZULU)
2022 Child Gauge edition on Child and Adolescent Mental Health finalised.
Investigation grant for a 2023 edition on tracking progress and enhancing early childhood development awarded to UCT (Child Gauge).
Mental and Physical health research Investigation grants awarded to researchers.
Priorities for improving maternal and child nutrition project concluded.
67
97 Media coverage (print, radio, television & social media)
16 Million people reached through our media output
R 2,883 Million in Advertising Value Equivalent for our media items
67
21
4
The percentage of Black South African students (including coloured, African and Indian students). One-third (33%) of supported students were nonSouth African
The percentage of female students
The percentage of students from historically-disadvantaged institutions
Master’s students. Two out of the four Master's students trained in 2023 have completed their degree
8
Doctoral students. Three out of the eight Doctoral students have completed their degree
12 Post docs
Researchers affiliated with the CoE leveraged a total of R17,353,903 in research and innovation grant funding in 2023.
Research articles published and 3 books 73
Breastfeeding provides immense benefits to babies and young children. It helps children survive and develop to their full potential, providing essential energy and nutrients, reducing infection risks for diarrhoea and pneumonia in childhood and lowering rates of obesity and chronic diseases in later life. Yet, globally, only around 1 in 2 newborns are put to the breast within the first hour, while fewer than half of infants under 6 months are exclusively breastfed as per WHO recommendations. Based on the latest South African Demographic and Health Survey (SADHS 2016), South Africa is behind in meeting the target to improve the breastfeeding rate, with only 32% of children under 6 months breastfed exclusively. The global target for exclusive breastfeeding for infants under 6 months is 50% by 2025.
Baby formula companies use nefarious and exploitative methods to create an artificial demand for their products, thereby undermining breastfeeding. This is amongst the findings of the 2023 Lancet Series on Breastfeeding in which Distinguished Professor Linda Richter contributed, which comprises three papers, launched in London on 8 February 2023. The local launch was held in Cape Town on 10 February 2023. The Series interrogates baby formula companies exploitative marketing playbook and the commercial formula lobby. It highlights the economic and political power of the dominant formula companies and the public policy failures that result in millions of women not breastfeeding as recommended.
Professor Linda Richter, a Distinguished Professor in the Department of Science and Innovation (DSI) – National Research Foundation (NRF) Centre of Excellence in Human Development (CoE-HUMAN) at Wits University, is one of only three contributors from Africa, who coauthored paper 1 (how baby behaviours are misconstrued to undermine breastfeeding, the extensive health
benefits of which can be protected by sustained multisectoral interventions) and 2 (how the formula marketing ‘playbook’ targets parents, health professionals and politicians and undermines the health and rights of children and mothers) of the Series, along with Lancet issue Commentary co-author Dr Chantell Witten (Wits Division of Community Paediatrics), and Series coauthor Dr Kopano Mabaso (Senior Programme Officer, Health Africa at The Bill and Melinda Gates Foundation).
The Series authors stress that breastfeeding is a collective responsibility of society and call for more effective promotion, support, and protection for breastfeeding, including a much better trained healthcare workforce and an international legal treaty to end exploitative formula milk marketing and prohibit political lobbying.
A list of recent outputs generated from this Lancet Series are as follows:
Pèrez-Escamilla, R., Tomori, C., Hernández-Cordero, S., Baker, P., Barros, A.J., Bègin, F., …. & Richter, L. (2023). Breastfeeding: crucially important, but increasingly challenges in a market-driven world. The Lancet, 401(10375), 472-485. https://doi. org/10.1016/S0140-6736(22)01932-8
Rollins, N., Piwoz, E., Baker, P., Kingston, G., Mabaso, K.M., McCoy, D., …. & Hastings, G. (2023). Marketing of commercial milk formula: a system to capture parents, communities, science, and policy. The Lancet, 401(10375), 486-502. https://doi. org/10.1016/S0140-6736(22)01931-6
The burden of childhood obesity has increased substantially over the past 50 years, and although prevalence has plateaued in high-income countries, it is still rising in low-and-middle-income countries. The causes are multifactorial and complex and include gestational exposures and other biological predisposition; familial, societal, and commercial influences as well as built environment characteristics such as transport infrastructure and the availability of green spaces.
The consequences of childhood obesity can be lifelong and perpetuate into the next generation. Children with obesity are significantly more likely to develop non-communicable diseases (NCDs) in adulthood than their counterparts of a healthy weight, and girls who remain obese into their childbearing years are more likely to have children who themselves have an increased risk of obesity.
In partnership with the World Health Organization, UNICEF, and the World Obesity Federation, a Lancet Summit focusing on childhood obesity was held virtually on the 2-3 March 2023. This event organised by The Lancet Global Health in collaboration with The Lancet Diabetes & Endocrinology and The Lancet Child and Adolescent Health, under the leadership of three core
Scientific/Organising Committee members (Prof. Atul Singha, Prof. Shane Norris, and Dr. Zoe Mullan), brought together a global, multidisciplinary group of speakers and highlighted emerging research on the many facets of childhood obesity. The conference included keynote addresses from both established and rising leaders in the field, panel discussions on areas of controversy, and oral abstract presentations.
Areas of research that were explored in the conference included:
Burden of childhood disease in the past, present and future
Developmental origins of health and disease
Social, commercial, and environmental determinants of childhood obesity
Childhood obesity from an equity perspective
What works in policy and planning?
Innovations in prevention and treatment
Community-driven solutions from around the world
This summit promoted interaction and discussion allowing delegates to share experiences and learnings which helped foster interdisciplinary and multinational collaboration.
The Harnessing Global Data Project brings together researchers, policymakers, and implementers from around the world with a focus on available data on young children in low- and middle-income countries. The goal of the project is to improve child development, early learning, and pre-primary education through better understanding of the determinants of and risks to children’s development, the economic consequences of inaction, and policy and legal frameworks to address challenges. Funded by the UKRI’s Global Challenges Research Fund, and led by Distinguished Professors Linda Richter, who heads the CoE-HUMAN Durban office, and Alan Stein (University of Oxford) the Project is in its 4th year.
In leading Harnessing Global Data, the project has brought together a powerful network to build on work that has gone before, in research, policy and practice. In the three years of the project, the researchers have produced papers and made presentations at meetings to motivate for the importance of global data to track progress towards the Sustainable Development Goals (SDGs) and to identify areas of greatest need.
The project’s work suggests that South Asia and Sub-Saharan Africa urgently need financial and other resources to improve policies, services, and household conditions to improve young children’s prospects, learning and ability to contribute to their national economy and society. The researchers have argued that
attention to ECD because substantial brain, cognitive and socioemotional developments occur in early life, with increasing evidence of the large impact of early-life learning on subsequent education and lifetime wellbeing.
The project was the first to use global data made available through standardised household surveys in 143 countries to raise alarm about the impact of closure of pre-primary services and programmes due to COVID, and estimated, based on longitudinal data, that these closures could lead to severe early learning losses, the impact of which will become more evident in decades to come.
The project also pointed out that responses to the pandemic are driven largely by confining children and families to their homes. Yet data on 766 313 children in 56 LMICs since 2016, found that only 19.4% of young children lived in households prepared for COVID-19, defined as space for quarantine, adequacy of toilet fa-
cilities and hand hygiene, mass media exposure and phone ownership.
At home, on the South African front, the researchers have argued in the South African Journal of Human Rights, that under our country’s constitutional principle of substantive equality, poverty could be used as a ground for discrimination. As a legal mechanism, such an argument could be used in court to highlight that the disparities in early childhood development outcomes for young children from poor households, and the lack of resources prioritized to address this, could be construed as discrimination.
Partners in the project, including UNICEF, the World Health Organization, the World Bank, UNESCO, and the Early Childhood Development Action Network (ECDAN), as well as regional ECD networks in all parts of the world help in the dissemination of findings from the project’s quantitative analyses. The project demonstrates the dynamic interplay between advancements
in policy and research when collaboration and cooperation between high-level individuals and groups in both domains, are fostered and maintained.
The list of recent outputs generated from this project are as follows:
Cuartas, J., McCoy, D., Sánchez, J., Behrman, J., Cappa, C., Donati, G., Heymann, J., Lu, C., Raikes, A., Rao, N., Richter, L., Stein, A., Yoshikawa, H. (2023). Family play, reading, and other stimulation and early childhood development in five low-andmiddle-income countries. Developmental Science, e13404. https://doi.org/10.1111/desc.13404
Dong, S., & Rao, N. (2023). Associations between parental well-being and early learning at home before and during the COVID-19 pandemic: observations from the China Family Panel Studies. Frontiers in Psychology, 14. https://doi.org/10.3389/ fpsyg.2023.1163009
Li, Z., & Rao, N. (2023). Advancing Equity in Early Childhood Development in China: Progress in Meeting Sustainable Development Goal Target 4.2. International Journal of Chinese Education, 12(2), 2212585X231175499. https://doi. org/10.1177/2212585X231175499
Fredman, S., Donati, G., & Naicker, S. (2023). New beginnings: The right to equality and early childhood care and education. South African Journal on Human Rights, 38(3-4), 167-191. https://doi.org/10 .1080/02587203.2023.2214372
CONNECT WITH US:
The Project continues to leverage available data on young children to advance their learning and development. Connect with us on Twitter @GlobalData4Kids and visit our website globaldata4kids.com
Violence against women and children has been studied extensively but the evidence has mostly come from cross-sectional studies. The evidence is clear that there are intersections between multiple forms of violence and that violence is perpetuated across generations. There is a myriad of factors associated with IPV, including early life environment and sociodemographic factors. However, the causal pathways through which IPV occurs in this context is not yet clear. Understanding these pathways and trajectories of violence using longitudinal studies is pertinent to violence prevention efforts, particularly those aimed at the intergenerational transmission of violence.
Dr Juliana Kagura’s and Dr Sara Naicker’s project entitled “Childhood trajectories of violence and adult in-
timate partner violence: A gendered, life course approach to violence prevention” proposes a unique mix of longitudinal data on exposure to multiple forms of violence across two generations, and new in-depth qualitative data to reflect and expand on findings from the longitudinal data. Using longitudinal data, the researchers have previously shown that children in urban South Africa experience high levels of various forms violence in the home, at school and in communities.1 Recent findings from the same cohort estimate that almost 50% of 28-year-old South Africans living in urban Soweto experience intimate partner violence (IPV).2
Using multiple indicators of violence across childhood, Dr Kagura and Dr Naicker aim to develop trajectories of violence that distinguish between individuals who
1 Richter, L., Mathews, S., Kagura, J., & Nonterah, E. (2018). A longitudinal perspective on violence in the lives of South African children from the Birth to Twenty Plus cohort study in Johannesburg-Soweto. South African Medical Journal, 108(3), 181-186. doi:10.7196/SAMJ.2018. v108i3.12661
2 Richter LM, Ahun MN, Besharati S, Naicker SN, Orri M. Adolescent Mental Health Problems and Adult Human Capital: Findings From the South African Birth to Twenty Plus Cohort at 28 Years of Age. J Adolesc Health. 2021 Nov;69(5):782-789. doi: 10.1016/j. jadohealth.2021.04.017. Epub 2021 May 29. PMID: 34059430; PMCID: PMC8552796.
experience low, moderate and high levels of exposure to violence. These differential trajectories of exposure to violence in childhood will be linked to experiences of IPV in adulthood to help build an understanding of which groups are more vulnerable to victimization and perpetration. Using several explanatory factors and a composite measure of structural violence, Dr Kagura and Dr Naicker will attempt to identify how these factors mediate – encourage or discourage – the perpetration or victimization of IPV in adulthood. They will further explore indepth the ways in which exposure to interpersonal and structural violence in childhood shapes vulnerability to experiences of IPV in adulthood.
Using longitudinal data on the childhood physical and social environment, often not collected, provides an opportunity to understand how exposure to violence in childhood can lead to experiences of IPV in adulthood in the South African context. Investigating the causal pathways through which constructs such as conflict resolution strategies, family functioning and social support in early life mediate later IPV experiences will provide evidence to guide interventions to break the vicious cycle of violence.
In addition, this study will contribute to evidence guiding life course approaches to prevent violence against women and children. Findings from the study will inform how we can target those most vulnerable by exploring cumulative exposure to violence and the clustering of risk factors. Identifying causal pathways of exposure to violence in childhood to experiences of IPV in adulthood will guide interventions for violence prevention. The study will also enhance and strengthen capacity for research and practice by training researchers in life course methodology and using quantitative research to support practice through knowledge exchange workshops with partner organisations.
The list of outputs generated from this project thus far are as follows:
Oxford Talks Webinar hosted by the University of Oxford on November 22nd 2022, ‘Adverse childhood experiences in a South African birth cohort: Complexities around the simple ACEs index’ https://talks.ox.ac.uk/talks/id/3063be65-a814-407eab5b-1772699d2b74/
Webinar through the ISS platform on February 28th 2022, ‘Costing effective violence prevention’ https://issafrica.org/events/costing-effective-violenceprevention-for-south-africa
Centre of Excellence in Human Development Research Nugget ‘Protecting South Africa’s Human Capital’ https://www.wits.ac.za/media/wits-university/research/ coe-human/documents/DSI-NRF-CoE-protecting-SAshuman-capital.pdf
Daily Maverick article: “Violence against children: prevention is possible, and better than cure” https://www.dailymaverick.co.za/article/2022-12-15violence-against-children-prevention-is-possible-betterthan-cure/
Sunday Times Live article: “How childhood adversity curbs our potential for productive, happy lives” https://select.timeslive.co.za/news/2022-05-11-howchildhood-adversity-curbs-our-potential-for-productivehappy-lives/
Video insert to be distributed through the NRF channels, as well as local community television stations is in production – the first edit is available to view here (final edits are being made, not for external distribution) https://www.dropbox.com/s/kbs5wjvduf5pct5/ Adverse%20Childhood%20Experiences_Edit_02_1. mp4?dl=0
Policy brief published through the ISS – https://issafrica. org/research/policy-brief/how-violence-and-adversityundermine-human-development
ISS Today opinion piece published – “What it will take to prevent SA’s gender-based violence” https://issafrica.org/iss-today/what-it-will-take-toprevent-sas-gender-based-violence
Child and adolescent mental health is the foundation of a strong, vibrant and caring society. Yet, South Africa’s youth are near breaking point. Far too many children and adolescents are struggling with mental health challenges and are unable to access the care and support they need.
The South African Child Gauge is an annual publication of the Children’s Institute at the University of Cape Town that tracks the progress made towards realising children’s rights in South Africa and is an important contribution to evidence-based policy making. The 2021 issue brought together 70 contributors from a range of disciplines and universities across South Africa to focus attention on child and adolescent mental health.
In 2022, the Children’s Institute published the South African Child Gauge that focused specifically on children’s mental health. The report highlighted that South African children are exposed to extraordinarily high levels of adversity, which increases their risk of developing mental health challenges. A whopping two-thirds of children (63%) in South Africa live below the upper-bound poverty line. Nearly one in two children (42%) have experienced violence, including physical violence (35%) and sexual abuse (35%). In some parts of the country, almost all children have either witnessed or experienced violence in their homes, schools and/or communities. To ensure children and adolescents’ mental health is prioritised, the Children’s Institute and its partner organisations have put together a petition calling on Minister of Health Dr Joe Phaahla and Minister of Finance Enoch Godongwana to put those resources outlined in the 2003 Child and Adolescent Mental Health Policy in place. Through the Children’s Institute’s work on the 2021/22 Gauge, the Children’s Institute has also forged links with the Bertha Centre Collective on Youth-focused solutions to Mental Health, and with the South African Mental Health Federation, sharing their youth-centred social media content with them for use in their Masiviwe mental health campaign in youth month in 2023, and
the Children’s Institute was invited to present the Gauge findings to their recently established youth forum – to help build the capacity of this group of young mental health advocates.
The South African Child Gauge report is published annually by the Children’s Institute to track children’s development. The Child Gauge 2023 edition was also funded by CoE-HUMAN. It reflects on progress and identifies the critical points of leverage, paradigm shifts, and best practices that can be applied to address critical gaps and challenges with the goal to improve policy
and service delivery and ensure optimal health, survival, and development for young children in South Africa.
The science behind ECD policy, programming and practice is undeniable. Investments in quality programmes and services during the early years are well recognised as having potential to produce positive outcomes across the life course – not for the individual child and family – but at societal level. This includes investments in children’s survival, health and nutrition, care, and protection, and learning from well before birth through to the start of formal schooling.
The field of ECD is thus broad and complex, covering multiple sectors and service delivery platforms. In 2015, the country’s first national policy promoting ECD, the South African National Integrated ECD Policy outlined a diverse range of services and interventions to create a supportive environment that would enable all young children in South Africa to develop to their full potential. More recent developments include an audit of ECD facilities, efforts to strengthen quality assurance systems and develop human resources, revisions to the Road-to Health booklet and the introduction of the Side-by-Side campaign.
Pertinent changes have also occurred at a policy and systems level including the transfer of responsibility for early learning programmes and the co-ordination of ECD services from the Department of Social Development to the Department of Basic Education, and a review of key legislation governing early learning programmes. Globally, there has been a strong emphasis on early childhood development through the formulation of the Nurturing Care Framework, the Global Strategy for Maternal, Child and Adolescent Health and the inclusion of early childhood development targets within the Sustainable Development Goals highlighting the imperative to keep investment in the early years on government agendas.
While we have seen significant progress in reducing under-five mortality and increasing access to early childhood development programmes, critical gaps in the quality and delivery of services continue to compromise children’s growth and early education: According to the 2016 South African Demographic Health Survey, 1 in 4 children under-five are stunted or short for age – while a 2018 early learning outcome measures study found that only 29% of children 4-6 years old were developmentally
on track. And these challenges were exacerbated by the COVID-19 pandemic which devastated the ECD sector, curtailing young children’s access to essential, quality services and plunging families and communities into an economic and food security crisis.
It is therefore an opportune moment to reflect on progress, and to identify the critical points of leverage, shifts in thinking and examples of best practice that can help us address critical gaps and challenges, to advance strengthen policy and service delivery to ensure the optimal health, survival, and development of young children in South Africa.
The 2023 issue of the Child Gauge aims to:
Put children – and the health, wellbeing, and optimal development of young children – at the centre of our inquiry.
Provide a clear, evidence-based vision to guide policy and practice.
Provide a situational analysis that reflects on progress and analyses the current system.
Identify strengths, gaps, and challenges as well as potential levers for change.
Identify key priorities and opportunities to strengthen policy and practice.
Showcase examples of promising practice – and consider how to take these to scale.
Consider how best to strengthen the system and support intersectoral coordination and accountability.
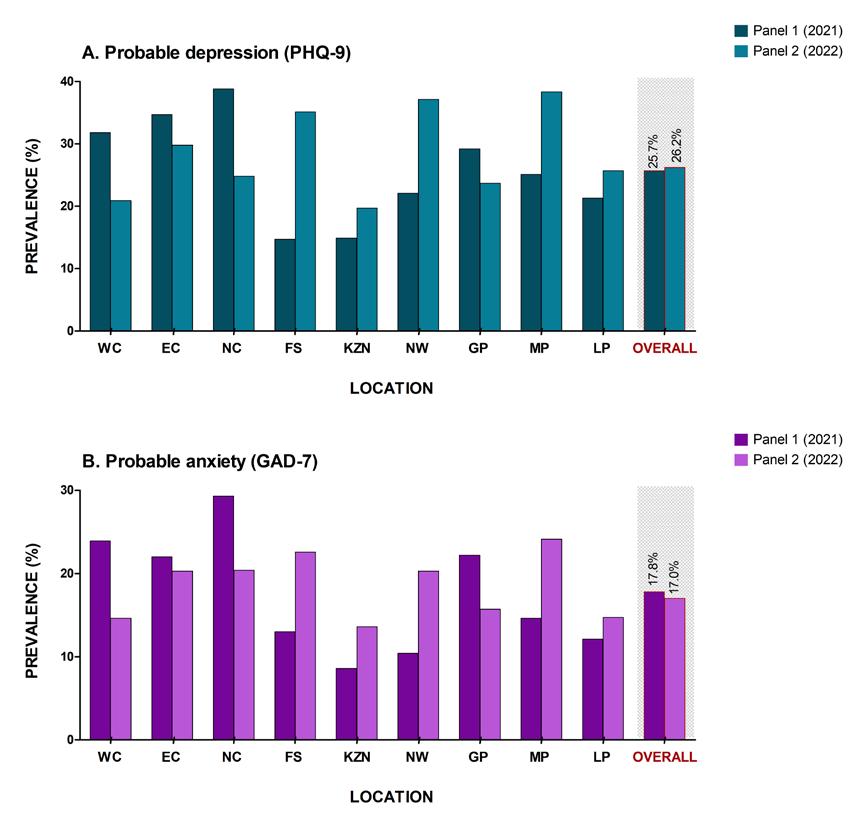
In May-June 2022, the CoE-HUMAN conducted the Second Wave of its nationally representative South African Human Development Pulse survey among 3,459 respondents aged 18 and older across the nine provinces of South Africa. The Second Wave follows Wave One which was surveyed in September-October 2021. Data was collected through face-toface interviews by a team of experienced fieldworkers and covered many aspects of adult health and development. Wave two of the survey focused on several aspects, particularly those surrounding the effects of exacerbated economic pressure due to COVID-19 on mental health and multimorbidity: the state of food insecurity and related coping strategies among South African households with children: understanding lifestyle risk factors that are strongly linked to multimorbidity and alcohol consumption and tobacco smoking behaviour during and after COVID-19 pandemic lockdowns.
Major finding 1: Nationally, the prevalence of mental health across the country remained alarmingly high when compared to Wave One (October 2021).
Post-pandemic, 26.2%, 17.0% and 14.8% of the South African respondents reported being probably depressed, anxious and had suffered high exposure to early life adversity respectively.
The prevalence of multimorbidity (2 or more chronic morbidities) among the South African population was reported at 13.9%, and those with 2 or more
morbidities were found to have increased odds of early adversity, irrespective of differing sociodemographics.
Furthermore, early adversity was also associated with multimorbidity partly via mental health.
Major finding 2: Food insecurity among households with children was high following the COVID-19 pandemic
Food insecurity prevalence was 23.7% among households with children, where all coping strategies were used to some extent, but relying on less preferred and less expensive foods was the most used strategy (85.5% of food insecure households).
Moving to a higher level of food insecurity was associated with >1.6 greater odds of being in a higher risk of anxiety and depression.
Sending a household member to beg for food was the strongest associated factor (ORs=1.7, P<0.001).
All coping strategies partly moderated (lessened) the associations of food insecurity with a higher risk of anxiety and depression.
Rely on less preferred and less expensive foods.
Borrow food, or borrow money to buy food.
Purchase food on credit.
Rely on help from a relative or friend outside the household for food.
Limit portion sizes at mealtimes.
Ration the little money you have to household members to buy street food.
Limit your own, or another adult household member’s, consumption to ensure a child gets enough food to eat.
Major finding 3: There is an obscure relationship between lifestyle factors (more alcohol consumption) and multimorbidity and the potential effect of urbanicity and socio-demographic characteristics on these relationships
Among those who consumed alcohol (36.6%), 7.0% of the respondents showed moderate-severe alcohol consumption.
When stratified by sex, more men consumed alcohol (by >18%) when compared females.
More than 13% of the total sample reported having multimorbidity (either including or excluding HIV/ AIDS), with a larger proportion being women (by 5%) when compared to men.
When stratified by urbanicity, nearly 40% of respondents in the urban group reported consuming alcohol which was higher than that reported in the rural group (30.9%) and, more respondents reported multimorbidity in the urban (13.4%) versus rural (10.9%) areas.
In multivariable adjusted binary logistic regressions, alcohol consumption (low-moderate or moderatesevere) increased the likelihood of reporting multimorbidity (p<0.001) when compared to those who do not consume alcohol. Similarly, smoking (light or heavy) increased the likelihood of multimorbidity (p<0.001) when compared to nonsmokers.
The results also showed that that consuming a moderate-severe level of alcohol increased the likelihood of multimorbidity twofold (p<0.001) in those who reside in urban areas and more than threefold (p<0.001) in those who reside in rural areas when compared to those who do not consume alcohol. All associations are independent of other socio-demographic determinants.
Major finding 4: Alcohol consumption and tobacco smoking were not different between Wave One (October 2021) and Wave Two (June 2022)
About 34.2% of the respondents reported alcohol consumption, with more than half (65.8%) classified as having low-risk consumption.
Although there was a slight increase in alcohol consumption, fewer people were classified as having hazardous/harmful alcohol consumption or moderate-severe alcohol disorder in the current study as compared to Wave One (p=0.0011).
There was an insignificant increase in respondents who reported ever smoking from 19.2% in Wave One to 20.0% in Wave Two, with 92.0% of those currently smoking (in Wave Two) classified as light smokers (smoking 10 or fewer cigarettes per day).
There was a significant (p<0.001) increase in those who reported smoking cigarettes and those who are vaping in the current study as compared to Wave One.
Those in the 45-54 years old age group were more likely to report moderate-severe alcohol use disorder (OR=9.61, CI:2.00-46.14) when compared to those in the 18-24 years old age group.
Furthermore, males were more likely to have moderate-severe alcohol use disorder (OR=2.39, CI:1.51-3.79) when compared to females.
Those reported to be divorced, widowed or separated, had higher odds of heavy smoking (OR=46.51, CI:2.74-79.43) when compared to those who had never been married.
Guilt or remose after drinking
Not able to stop drinking last year
Needed a drink in the morning
Failure to remember what happened after drinking
Research output from Wave Two of this nationally representative data (in press) include:
Published:
Craig A, Mapanga W, Mtintsilana A, Dlamini S, Norris S (2023). Exploring the national prevalence of mental health risk, multimorbidity and the associations thereof: a repeated cross-sectional panel study. Frontiers Public Health; 11,1217699. doi: 10.3389/fpubh.2023.1217699
In-review:
Dlamini S, Craig A, Mapanga W, Mtintsilana A, Dlamini S, Norris S (2023). Food insecurity and coping strategies associate with high risk of anxiety and depression among South African households with children. Public Health Nutrition.
Craig A, Mapanga W, Mtintsilana A, Dlamini S, Norris S (2024). Exploring the association of alcohol consumption, tobacco use and multimorbidity in a nationally representative sample of South African adults. BMC Public Health.
Mapanga W, Craig A, Mtintsilana A, Dlamini S, Norris S (2024). Exploring the effects of COVID-19 pandemic lockdowns on alcohol consumption and tobacco smoking behaviour in South Africa: a repeated cross-sectional study. PLOS One
The CoE-HUMAN will run the Third Wave of its nationally representative survey in 2024, which will be followed by results and outputs.
This 2022 Socio-Ecological and Transformational Development Project explored young South African adults’ perspectives around youth unemployment in South Africa.
The youth unemployment situation in South Africa (SA) has reached critical stages with an ominously high and increasing number of unemployed youths contributing to excessive poverty and inequality levels. According to the Quarterly Labour Force Survey (QLFS) published by Statistics South Africa (StatsSA) in May 2023, young people still struggle in the South African labour market. Spanning the age group of 15–34-year-olds, the data showed that the total number of unemployed youths stands at 4.9 million, as a result of a 1.1% increase from the last quarter of 2022, to 46.5% for the first quarter of 2023. While the prevalence of unemployment and trends in the last few years differ by age band within the youth group category, there is no doubt that unem-
ployment in young South Africans is a constant national burden that has proven highly intractable over the last ten years.
Given the dire youth unemployment climate in SA, the purpose of this survey was to:
Understand the youth’s perspectives on the drivers of youth unemployment, alongside their awareness and engagement with employment initiatives (YEIs) and the gig economy in SA post-COVID-19.
Explore how ‘in control’ young SA adults view their employment situation and what their perceptions are on the role of ‘luck’ in finding work.
Broaden the understanding surrounding the intricate nature of youth unemployment whilst additionally providing insight to potentially enhance policy formation directed specifically towards improving the socio-economic climate for the cohort.
The results showed that:
Young adults emphasised that there are employment, education, and individual-related obstacles that make it difficult for them to find employment.
Young people attributed having a good family life, being successful in work, and finding purpose and meaning in life, as the most important life goals.
Participants with an undergraduate or postgraduate degree were more likely to have a job, be aware of YEIs, and have experience of digital gig economy platforms, primarily as consumers of services rather than as a source of employment. This indicates that those most vulnerable to unemployment are also potentially those that are least aware of proemployment initiatives and opportunities
This study specifically responds to the Future of Society priority area in the 2021-2031 DSI STI Decadal Plan as it investigates the pressing challenge of youth unemployment in South Africa, and youth at risk of being socio-economically excluded and not playing a meaningful role in national growth and development.
OUTPUT GENERATED FROM THIS STUDY:
Mapanga, W., Craig, A., Mtintsilana, A., Dlamini, SN, Du Toit, J., Norris, SA., & Ware, LJ. Do youth employment initiatives reach their target? A South African Youth Survey. Development Southern Africa Journal, 2024. Submitted for publication
Dr Lukhanyo Nyati received funding from the DSI-NRF Centre of Excellence in Human Development (CoE) to support a body of work which aims to provide insight into the lived experiences of a cohort of young adult men aged 30+ residing in Soweto, Johannesburg, South Africa. This cohort of men was drawn from two larger studies that are currently being conducted in Soweto namely (1) the Healthy Life Trajectories Initiative South Africa (HeLTI) and (2) the Birth to Thirty (Bt30) study. Dr Nyati’s project entitled “Men in transition – Motivations for Schooling and Fatherhood” explored the young adult men’s views and perceptions concerning family and schooling, reflecting on their childhood aspirations and family environment, using semi-structured qualitative interviews. Two overarching themes that were generated based on the narrative accounts of the young adult men around their reflections of family and schooling included (1) Family – men’s involvement in the pregnancy of their romantic partner and (2) Schooling – men’s experiences with completing high school.
The first set of interviews were conducted on 19 fathers from the HeLTI study. HeLTI is a randomised control trial which seeks to evaluate the impact of a complex continuum of care interventions for young women aged between 18 and 28 years old. If any of the 6000 enrolled women falls pregnant within 18 months of enrolment into the trial, she is invited to participate in a pregnancy follow-up until the birth of her child and beyond. An important aspect of the pregnancy and infancy follow-ups is the involvement of the father. The aim of the interviews was to explore the importance of the relationship between the young women participating in the trial and their partners.
The second set of interviews captured conversations with men from the Bt30 cohort. Bt30 is a longitudinal study which followed over 3000 children from the time they were born in 1990 up to the age of 28 years. Twenty (20) men were interviewed and were selected based on their family socio-economic status (SES) in early childhood (when they were 2 years of age) and adolescence (when they were 16 years of age). The aim was to explore how their home and community environments may have shaped their future aspirations, attitudes and behaviour, and schooling outcomes.
High level preliminary findings are as follows:
Some fathers showed willingness to be involved in the lives of their children, despite the obstacles they faced.
Most reported that their partner’s pregnancy was not planned, and shared mixed feelings about the pregnancy (e.g., happy, excited, shocked, nervous), although their views about fatherhood were overwhelmingly positive.
Participants identified both general and specific ways in which they provided support for their
partner, e.g., being present, co-attending antenatal check-ups, providing material resources.
The home and community environments of the young men shape their future aspirations and schooling outcomes.
Some young adult men expressed pain and regret over their experiences with their own fathers and subsequent life challenges played a key role in noncompletion of school.
Other young adult men did not complete school due to the formation of transient relationships, mixing with the wrong friends and not having any ambitions or future plans.
An impoverished background, family disruptions e.g. parental marital dissolution, relocation and violence all contributed to non-completion of school among some young men.
Interestingly, some young men showed strong resolve to complete high school and pursue further education, despite the circumstances at home. The study is currently ongoing although the preliminary findings shed insight into some of the difficulties experienced by men and the importance of family in building responsible men.
Climate Change remains a global public health concern. Various sub-populations of South Africa are most impacted by climate change as they lack the necessary knowledge and resources that would enable them to tackle climate change issues and often remain marginalized in climate change policies and discussions. These sub-populations include the very young and youthful populations who constitute majority of the South African population.
Amid the climate crisis that has become a global public health concern, young people in South Africa have also joined global efforts that aim to mitigate the climate crisis and are taking initiative towards promoting advocacy for climate change both at the local and national level. Although the youth has made concerted efforts to take action in creating a sustainable environment and has made progress in expanding the network of young people to contribute to a climate resilient future, healthcare centres, in particular youth-focused healthcare centres/
organizations have remained unex plored as potential organizations that can foster youth-led action and engagement in climate change discussions.
Dr Khuthala Mabetha’s project entitled “Integrating Youth Perspectives to Climate Action: Adopting a Participatory Action Research Approach to promote youth advocacy on climate change in a youth-friendly health centre in Soweto, South Africa” aimed to explore the knowledge, experiences, perceptions, experiences and needs of youth around health and climate change and to examine how youth-focused organisations could integrate climate change discussions into their health delivery models. Some selected findings obtained in the Focus Group Discussions conducted with the young people and youth-focused organisations were as follows:
Living in an environment that is characterised by structural inequalities contributes greatly to lack of youth engagement in climate change adaptation with those who reside in more advantaged environments being more likely to engage in these adaptations.
Elevating meaningful youth engagement in youth health centres (Young people and Youth health Centre leaders)
Great need for education regarding climate change in youth health centres considering the link between health and climate change – need for environmental health education which should be incorporated in health centres’ training modules and curriculum –lead to young people and health centres gaining more knowledge and being equipped to tackle climate change threats.
Young people’s knowledge and perceptions of climate change
There was not one unequivocal definition of climate change, but it varied significantly depending on the young people’s subjective evaluations of the concept of climate change.
In terms of linking climate change with health, some young people held the notion that climate change is intrinsically linked with increased exposure to diseases and illnesses. They indicated that the distribution and existence of infectious diseases has been altered and accelerated by changes in the climate.
Youth engagement and advocacy in climate change discussions
Young people are not the ones who are advocating for climate change action, but the elderly population are the ones who are highly involved in climate action initiatives. This was largely attributed to the fact that young people are not concerned about environmental issues as they are faced with the brunt of having to deal with various socioeconomic challenges.
Though there are youth-led initiatives that aim to combat climate change in communities, awareness raising campaigns are scarce.
Formation of partnerships/collaborations with Department of Health to raise awareness about environmental health education – will translate to greater advocacy and transformation of both youth health centres and healthcare facilities.
Collaborate with resourced individuals who can help mentor and build capacity to assist young people and health centres to advocate for climate change and incorporate discussions in their training manuals.
Mabetha, K., Mooki, T.K., Ware, L., & Norris, S.A. Youth Perceptions of Climate Change and Participation in Climate Change Action in a Youth Health Centre in Soweto, South Africa (Submitted for publication: under review).
Mabetha, K., Mooki, T.K., Ware, L., & Norris, S.A. An exploration of young people’s needs concerning effective engagement in climate change discussions in youth health centres in South Africa (Submitted for publication: under review).
Mabetha, K., Mooki, T.K., Ware, L., & Norris, S.A. Integration of climate change discussions in health delivery training resources and models: A commentary (in preparation)
In 2023, CoE-Human expanded its relationship with Zlto, a social innovation digital platform that uses blockchain technology to track and encourage positive social behaviours and reward youth engagement. The platform is data-free, can be accessed by anyone across the country and rewards users with Zlto points that can be exchanged for items such as airtime, data, electricity, groceries, and basic clothing.
Working with the Zlto team, CoE-Human supported the creation of content for digital Nano courses to increase
The depression modules remain the most popular, with all modules being accessed more frequently by women though still high numbers of male learners. We will continue to track uptake on this platform and engagement with the modules through 2024.
understanding and provide guidance around health areas impacting young people. In 2022, these were depression, gender-based violence, and suicide. In 2023, this was expanded to include diabetes and hypertension, including how these conditions impact pregnancy. Each Nano course contains a series of modules that take the learner through stages to understand what the signs are, what helps with prevention, and how to get help. The new courses were launched online in May 2023. So far, we have reached thousands of learners, predominantly young people (age 18-24y), across the country in every province and in both rural and urban areas.
2022 Courses (March 2022-December 2023)
2022 Courses (March 2022-December 2023)
2023 Courses (May 2023-December 2023)
The UNICEF Caring for the Caregiver (CFC) training package is a mental health promotion intervention that aims to mitigate the effects of adversity on caregiving and to reduce the impact of caregiving stress on caregiving practices. The package was designed by Prof Tamsen Rochat and Dr Stephanie Redinger in CoE-HUMAN and is currently in its third phase of testing and scaling up. CFC is unique in that it is intended to benefit large population groups and is therefore designed to be delivered at a community level, through task shifting to frontline workers across several sectors including home visitors, community health workers, breastfeeding counsellors, or even nurses and social workers. CFC recognises the need to strengthen frontline worker training with essential skills to make day-to-day counselling sensitive and responsive to the practical and emotional needs of caregivers.
The CFC prototype package was first developed in Sierra Leone and Mali and underwent an extensive review by a Technical Advisory Group (TAG) of academic reviewers, international non-governmental organisations and donor networks and representatives. The revised package was then tested in a large-scale validation projected in 2021/2022 in 6 countries (Brazil, Serbia, Bhutan, Sierra Leone, Rwanda, and Zambia) to test the proposed conceptual framework and outcomes of the
package for caregivers and their families, and to better understand the feasibility and acceptability of the training and supervision models.
The results of this validation study, which will be published soon, showed that:
After receiving CFC counselling for at least 4 months, caregivers showed improvements in their scores on scales measuring depression, anxiety, and parenting stress.
Frontline workers felt the training provided the necessary tools and skills to impact their work methods to better support caregivers in distress, be less judgmental, and prioritise caregivers’ emotions. Caregivers reported improved coping and reduced stress, with some feeling better equipped to handle daily routines.
While facing community barriers and resource limitations, both caregivers and frontline workers expressed the need to scale up the intervention and reach more individuals for support.
The next phase of the Caring for the Caregiver project includes a research project in Uganda that will evaluate the CFC training and implementation package with CFC trainers, supervisors, frontline workers, and caregivers. It
will be implemented within two rural Ugandan Ministry of Health facilities, and the caregiver cohort is comprised of an intervention and comparison group.
Interest in the CFC package is growing, and the WITSbased training team will also be conducting CFC consultations and training in Tanzania, Kenya, Mozambique, Mali, Syria, Iraq, and Montenegro in the next year. Most recently, the researchers’ training team conducted CFC training in Tanzania, which was attended by Erinna Dai, the Associate Director (Global Lead) of Early Childhood Development within UNICEF.
The mental health of adolescents and young adults is the foundation of a strong, vibrant, and caring society. Despite the recently released National Mental Health Policy that affirms government’s commitment to prioritise the needs of adolescents, the mental health of adolescents and young adults in the South African context is a frequently overlooked public health concern in the face of other challenges.
Of note, there is a shortage of management and treatment services in the public health sector to deal with adolescent mental health issues in low- and middle-income countries (LMICs). Mental health disorders are rapidly increasing with the prevalence being reportedly found to be higher among high-school age adolescents (13-19 years old) and young adults (20-24 years old).1 In one study examining the vulnerability of young adults from historically excluded and marginalised segments of the South African population, 38.5% of respondents
reported at least one lifetime common mental disorder, with 31.5% reporting that they had experienced a common mental disorder in the past twelve months2 Depression was the most common lifetime diagnosis (24.7%) whilst generalised anxiety disorder was the most common in the past twelve months (20.8%). The median age of onset for any mental disorder was 15 years of age. Prof Shane Norris and Dr Claire Hart’s project entitled “Boikoetliso Ba Boko (Brain Gym): An implementation study to support mental and physical health of
1 Blakemore, S.J. (2019). Adolescence and mental health. Lancet (London, England), 393(10185), 2030-2031.
2 Bantjies, J., Lochner, C., Saal, W., et al. (2019). Prevalence and sociodemographic correlates of common mental disorders among first-year university students in Post-apartheid South Africa: implications for a public mental health approach to student wellness. BMC Public Health, 19, 922.
at-risk adolescents and youth” aims to develop a programme that will provide additional support to adolescents and young people who are at risk of depression and anxiety, through working with health services. The programme will comprise a series of 9 sessions focusing on “Talk, Think, Feel, and Move” to help stabilise and improve mental health.
Prof Norris and Dr Hart seek to implement a prototype-programme of activity with participants over 12 months and evaluate the implementation thereof to inform the feasibility and acceptability of a scale-up study by drawing upon local informative work, intervention “best buys” and implementation models of a Brain Gym concept that is used in the US and UK. The intervention of this study will compromise of Problem Management Plus (PM+), Virtual Reality (VR), and Brain Gym physical movements, exercises, and activities to support mental health of adolescents and young adults in Soweto.“Talk, Think, Feel, and Move” sessions, with session duration ranging from 85 to 130 minutes, will occur approximately once per week and these will include pre-assessments and post-assessments that will be conducted by trained
personnel namely a social worker, community health workers as well as a psychologist.
In addition to the Brain Gym programme, research data will be collected using various research methodologies to gain in-depth insight on the implementation of the programme particularly through assessing the context, feasibility, acceptability, mechanisms of impact of the intervention as well as documenting the delivery of the intervention’s components so that it can be expanded broadly to other communities. This will be done through engaging with various research participants. Furthermore, programme delivery will be examined to discern how it is achieved and what is delivered (fidelity, dose, adaptations, and reach). The influence of context will be assessed through mapping local policy, identifying local contextual influences, and speaking to study staff and referral staff about other activities and factors present which may have affected how the programme was implemented and how it worked.
physical inactivity, all of which are exacerbated by rapid urbanisation and the globalisation of unhealthy lifestyles. Literature has shown that patterns of unhealthy lifestyle behaviour and rapid changes in the brain and body
evidence will subsequently be used to depict the diversity of dietary habits and crude amounts of different foods consumed by different families on a weekly basis. The study is expected to kick off later in this last quarter of the year.
The PLAY Study, which was conceptualised by Dr Alessandra Prioreschi, is a study that is designed to improve infant neurodevelopment and growth by encouraging responsive caregiving practices in the first year of life. The core intervention themes – (1) promoting early learning through play, (2) supporting maternal mental health, (3) encouraging responsive caregiving, and (4) exclusive breastfeeding for the first six months, align with the WHO guidelines for improving early childhood development (ECD).
The study created contextually relevant and developmentally appropriate weekly content and resources from birth to 12 months, using a reiterative process of co-development with community members. To deliver the PLAY Study content, a web application was also created to allow participants to access the content as if it were a mobile app (it is an icon saved onto the mobile phone which opens the web application). However, the PLAY Study App has potential to be developed into a fully functional, well produced mobile application available to all women in Soweto (and adapted for broader delivery).
An app aimed at supporting South African women in their first year of motherhood, integrating public services, and improving early childhood development, which is free for all mothers and thus considers the economic circumstances of many women in South Africa, is an output that has the potential to have a significant impact in South Africa. This impact has the potential to greatly improve maternal and child health, optimize early childhood development, and have long-term intergenerational effects. This project therefore aimed to conduct further investigation into the needs of mothers and the
acceptability of using an app to deliver information; and to create the “Ngeyethu Info” App (“This is for us”).
Focus group discussions with mothers of infants aged 0-3 months in Soweto have shown (findings are from three publications currently in preparation):
Mothers presented with a high prevalence of postpartum depression and post-traumatic stress disorder, and discussed how lack of support from partners, community, and the health care system, as well as lack of resources contributed to their poor mental health.
Mothers indicated that barriers to promoting healthy development in their infants included limited resources and not knowing how to promote development.
Mothers also discussed the need for support around breastfeeding, which included requiring correct information, and needing support from family members.
Providing support around mental health postpartum is key in supporting mothers and infants.
Mothers lack resources and do not trust the healthcare system, therefore providing resources and information may help them feel better supported.
Providing mothers with information about how to promote development, especially without the need for expensive toys or products, would help them feel confident.
Providing sound and contextually relevant information about breastfeeding, including how to involve family members in breastfeeding, may help mothers continue with exclusive breastfeeding for the recommended 6 months.
These findings have guided the development of the prototype “Ngeyethu Info” app and continue to guide the content creation for this app which is currently underway.
A prototype “Ngeyethu Info” app has been developed.
The App provides weekly content in the form of infographics, links to existing content from sources such as UNICEF and the WHO, as well as videos created specifically for the App.
The App provides space for mothers to record infants’ growth and key milestones.
These metrics are then plotted against normal values to show growth curves and to track growth and milestones over time.
The App also allows mothers to search for local services according to their needs, and to navigate to these services.
The App allows mothers to track key milestones, as well as to complete questionnaires which monitor milestones as relevant for their infants’ age.
Alessandra Prioreschi, Rebecca Pearson, Linda Richter, Fiona Bennin, Helene Theunissen, Sarah J Cantrell, Dumsile Maduna, Deborah A Lawlor, Shane A Norris. (2023). Protocol for the PLAY Study: a randomised controlled trial of an intervention to improve infant development by encouraging maternal self-efficacy using behavioural feedback. BMJ Open. 13: e064976. https://doi.org/10.1136/bmjopen-2022-064976
Recent systematic reviews and national surveys report that stunting in children in South Africa is persistent at a prevalence between 20 to 30%, with higher rates reported to be found in infants less than 3 years of age (up to 26%) and in urban and rural informal settlements. Furthermore, recent studies in South Africa reported that stunting was associated with poor cognitive and motor development. While large epidemiological cross-sectional surveys have helped identify determinants of stunting and sub-optimal cognitive development, there is yet no study that has provided detailed longitudinal measures of growth and development in the critical first year of postnatal life and their interactive changes with environmental determinants.
Dr Rihlat Said Mohamed’s project entitled “Interaction between nutrition, infection, household environment, and care practices, and their impact on growth and development in infants between birth and one year of age”, is a collaborative research project that aimed to characterize the interactions between nutrition, infection, home environment and care practices, and their impact on growth and development from birth to two years of age. This was achieved by addressing the following objectives:
Documenting breastfeeding and complementary feeding practices, infant illness and morbidity, household environment (WASH, socio-economic and demographic characteristics), care practices, growth, and development between birth and one year of age.
Assessing the associations between the aforementioned factors and infant growth faltering between birth and one year of age.
Assessing the associations between the aforementioned factors and their impact on infant development between birth and one year of age.
Assessing the association between maternal environmental factors, nutritional status, body composition and energy expenditure during pregnancy, with infant growth and development from birth to 6 months of age.
This project consisted of two cohort sub-studies namely:
Cohort phase 1: Post-natal factors associated with infant growth and development.
Mother-infant pairs were screened and recruited at the maternity services of the Chris Hani Baragwanath Academic Hospital (CHBAH) in the South-Western Township (Soweto, Johannesburg). Mother-infant pairs were followed-up on a weekly basis from birth to 6 months and fortnightly for 6 months to 12 months. The cohort study included mother-infant pairs except for the 6 months and 12 months postnatal data collection points, for whicN h data was collected at the research centre (SAMRC/Wits Developmental Pathways for Health Research Unit (DPHRU) based at the Chris Hani Baragwanath Academic Hospital (CHBAH)), when maternal and infant body composition were assessed. Thereafter, all data collection was conducted at the participants’ home.
Cohort phase 2: Maternal factors during pregnancy and postnatally associated with infant growth and development.
This phase recruited participants from the BUKHALI Trial: BUilding Knowledge and a foundation for Healthy life trajectories (BUKHALI Trial). The BUKHALI Trial is a cluster-randomised controlled two arm trial, where each Soweto community centre is the cluster and unit of randomisation. A sub-sample of pregnant women included in the BUKHALI Trial were approached and recruited during their first trial visit (at <20 weeks pregnancy) at the DPHRU. The cohort study included mother-infant
pairs. After inclusion, the pregnant women were followed-up at each of their visits for the BUKHALI Trial (<20 weeks and at 24-28 weeks pregnancy). After giving birth to their infants, mother-infant pairs were followed up at their 6-month postnatal follow-up visit for the BUKHALI Trial. Similar data as the phase 1 was collected at 6 months post-delivery. All data was collected at the DPHRU.
The information collected during this project has informed a new collaborative project on Water, Sanitation and Hygiene in Soweto (Johannesburg) entitled: A software platform to improve safety and utilization of sanitation and water source facilities among women in South African informal settlements. This new project has been successful in securing funding through the Grand Challenge Africa WASH Call Round 5 granted by the African Academy of Science, the Bill and Melinda Gates Foundation, the UNICEF, ARM, and Sida.
The new project is a collaboration between the principal investigators and collaborators of the present project, namely: Dr Rihlat Said Mohamed, Dr Douglas Momberg, Prof. Shane Norris, Prof. Julian May, and new collaborators, including Dr Lee Voth-Gaeddert (Arizona State University), and Prof. Alastair Van Heerden (the Human Sciences Research Council, HSRC).
Therefore, the new project cements, strengthens and will ensure the continuity of existing but also new collaborations between the DSI-NRF CoE in Human Develop-
ment and other national and international institutions, including: the DSI-NRF in CoE in Food Security, the SAMRC/Wits Developmental Pathways for Health Research Unit, the HSRC, Arizona State University, the African Academy of Sciences, the Bill and Melinda Gates Foundation, the UNICEF, ARM, and Sida.
PEER-REVIEWED PUBLICATION:
Momberg, D.J., Voth-Gaeddert, L.E., Richter, L.M., Norris, S.A., & Said-Mahomed, R. (2022). Rethinking water, sanitation, and hygiene for human growth and development. Global Public Health, e23914, 1-10. https://doi.org/10.1080/ 17441692.2022.2036218
Momberg, D.J., Bell, R., Norris, S.A., Ngandu, C.B., Richter, L.M., Murphy-Alford, A.J., & SaidMohamed, R. (2023). Infection, nutritional status, and body composition: Associations at birth and 6 months postnatally in Soweto, South Africa. American Journal of Human Biology, e23914, 1-18. https://doi.org/10.1002/ajhb.23914
Drysdale, R.E., Slemming, W., Momberg, D., & Richter, L.M. (2023). Impact of COVID-19 lockdown on low birthweight in Soweto, South Africa. South African Medical Journal, 113(10), 1432-1436. https://doi.org/10.7196/ SAMJ.2023.v113i0.746
The SAMRC/Wits Centre for Health Economics and Decision Science (PRICELESS SA) received funding from the CoEHuman to lead a project that aimed to understand the priorities and underlying values of a township community in Soweto, for improving maternal and child nutrition. The project was an extension of a larger research collaboration funded by the National Institute for Health and Care Research (NIHR UK) to the University of Southampton – “Improved Nutrition Preconception Pregnancy Post-Delivery (INPreP)”. Through this research funding, INPreP aimed to understand supportive nutrition interventions in the ‘first 1000 days plus’ (preconception, pregnancy and first 2 years) period that simultaneously reduce the risk and burden of under- and over-nutrition in this population.
To engage communities in Soweto, the study team adapted a public engagement tool, CHAT (Choosing All Together). CHAT is a simulation exercise designed to engage groups of non-experts in health care priority setting. Overall, 54 adult volunteers, both men and women, participated in seven group exercises. Their task was to collectively select a set of programmes from 14 options. Five (5) options were “nutrition-specific” programmes which addressed the immediate causes of malnutrition, and these were delivered through the healthcare system in the form of pregnancy supplements. Nine (9) programmes were “nutrition-sensitive” as they addressed the underlying causes of nutrition, and they were accessed in non-health sectors through extended paid maternity leave.
The outcomes of the project revealed these key priorities:
Provision of school breakfast
Extended maternity leave
Food safety
Community gardens
Affordable healthy food
Job assistance.
Values including fairness, equity, social justice, and children’s well-being guided the communities’ decisions with regards to improving maternal and child nutrition. The findings of this study emphasized that improving mother and child nutrition necessitates coordinated efforts across multiple sectors. The South African National Food and Nutrition Security Plan 2018-2023 already has cross-sectoral coordination as an objective, via the establishment of a multisectoral advisory council to oversee alignment of policies, and coordinate and implement programmes. Thus, integrating public engagement, through using tools like CHAT, could complement and enhance such efforts. For South Africa to uphold its commitment to equity in healthcare, engaging the public on ethical and social values should be part of a systematic process of setting priorities in government.
OUTPUTS GENERATED:
PEER-REVIEWED PUBLICATION:
Erzse A., Rwafa-Ponela, T., Goldstein, S., Motlhatlhedi, M., Watson, D., Hofman, K.J., Danis, M., Norris, S.A., Ward, K.A., (2023) What values drive communities’ nutrition priorities in a resource constrained urban area in South Africa? BMC Public Health 23, 873. https://doi. org/10.1186/s12889-023-15761-1
CONFERENCE PRESENTATIONS:
Wits SPH Research Day and CARTA Conference, 14 September 2023. Presentation title: How can communities participate in healthcare decision making? Application of a novel public engagement tool CHAT (Choosing All Together) for improved mother and child nutrition in Soweto
DOHaD 2022 World Congress in Vancouver. 27-31 August 2022. Poster presentation title: What values drive communities’ nutrition priorities in a resource constrained urban area in South Africa?
International Society of Behavioral Nutrition and Physical Activity (ISBNPA) 2022, 18-21 May 2022. Online symposium title: “Choosing All Together”; Community priorities for nutrition interventions in Sub-Saharan Africa
WORKSHOP OUTPUTS:
NIHR Community Engagement and Involvement (CEI) Leads Shared Learning Event, 17th May 2023. Title: Example of community engagement and involvement from South Africa using CHAT (Choosing All Together) Subtitle: Study: What values drive communities’ nutrition priorities in a resource constrained urban area in South Africa?
MEDIA ARTICLES:
K Mashale. Residents reveal malnutrition causes in Soweto (Interview with A Erzse). Sowetan Live. 1 August 2023.
A Erzse, A Tugendhaft. Malnutrition in South Africa: how one community wants resources to be spent. The Conversation. 18 July 2023.
TV INTERVIEWS:
Interview with Agnes Erzse on Newzroom Afrika. Headline: Sowetans score low on nutritional scale, 03 Aug 2023. https://www.youtube.com/watch?v=cfIv5lO_MmU
Interview with Agnes Erzse on eNCA. Headline: Study finds more than 27% of SA children under the age of five are stunted. 24 July 2023. https://www.youtube.com/ watch?v=qyYW8lFM6uU
The CoE-HUMAN has proactively made progressive efforts over the years to foster collaborative research agreements with Historically Disadvantaged Institutions (HDIs). These collaborations have been in the form of engaging with and supporting research conducted by the HDIs, that promote research excellence and capacity development within the field of human development.In 2022, three HDIs received grant awards namely University of Mpumalanga (grant awarded to Prof. Geoffrey Mahlomaholo); Durban University of Technology (grant awarded to Prof. Gugu Mchunu) and University of Limpopo (grant awarded to Prof. Eric Maimela). In 2023, two additional grants were awarded to Nelson Mandela University (grant awarded to Dr David Morton) and University of Zululand (grant awarded to Dr Sheetal Bhoola). A showcase of the various research projects conducted by the five HDIs is as follows:
Prof. Mahlomaholo’s Participatory Action Research (PAR) project entitled “Creating Sustainable Higher Education Learning Environments towards Increased Levels of Employability among Students and Youth”, aims to explore, experiment, intervene, and document the strategies that could be used to promote increased levels of employment among youth in general, including youth who have graduated. The preliminary findings of this study show that the design and implementation of the strategies that have been designed to promote increased employment levels among youth, seem to be effective when they are based on an understanding that ‘the-taken-for -granted’ individual abilities as well as performances, are constructions in entangled relationalities. Thus, in promoting employability, focus should
be on recognising the value of inclusivity in intervention strategies to attend to the sources of the problem through multidimensional and multi-layered approaches that go beyond the human, social, psychological, identity and cultural capitals, among others. In short, all human faculties, necessary for employability, are not exclusively innate, but are a function of entangled relationalities that need deliberate and concerted effort through education and/or training at the governmental policy and resources, social contextual, institutional, family, and individual levels.
To date, the project has enabled Prof. Mahlomaholo and his team to work with 129 unemployed youth, 63 in Siyabuswa (a town in the countryside of the South Afri-
can province of Mpumalanga) and 66 in Nkomazi (a local municipality in the Mpumalanga province). The project is supported by the National Youth Development Agency (NYDA) officials in Mpumalanga to conduct information and training sessions on various effective ways of compiling CVs, very important aspects to enhance one’s chances of employment, skills to assess oneself in terms of strengths and weaknesses as well as determining which areas still require improvement, rehearsing for the interviews, skills to enhance one’s professional image, as well as job and business start-up funding opportunities that exist.
Prof Mahlomaholo and his team have systematically documented all these processes and the analysis of these processes has led to the preliminary findings mentioned above. Based on the preliminary findings, strong working relationships have been established with the Mpumalanga leg of the Presidential Youth Employment Initiative (PYEI). This collaboration has enabled Prof Mahlomaholo and his team to work on expanding the project’s network to include Funda Wande, ETDP-SETA, Small Enterprise Development Agency (SEDA), eCubed – Entrepreneurial Mindset, Harambee, Youth@work and the Trevor Noah Foundation. The project has also compiled a list of 42 such business startup funding agencies
Public transport is an essential part of everyday life for many South Africans. Although The National Land Transport Act specifically provides for the safety of passengers, with access to safe public transport being essential for women, particularly those who reside in under-resourced communities, there is paucity of work done in South Africa regarding young women and girls’ safety experiences when utilizing public transport and the dangers they face. Of note, very little is known about (1) how South African women and girl commuters feel about their own safety on their daily commutes, (2) how they believe safety could be optimized, and (3) the impact of sexism on their wellbeing in relation to users of public transport.
Prof Gugu Mchunu’s exploratory study entitled “Optimising safety for women and young girls’ minibus taxi commuters in Durban” aims to provide a baseline study to contribute to the paucity of research in this area through a scoping review alongside an ethnographic approach to answer the key research questions out-
as well as those that offer job opportunities that match the project’s youth.
In addition to the preliminary findings of the study, Prof Mahlomaholo and his team have thus far put together a plan to teach the 1990 Educator Assistants (EAs) enlisted in the Mpumalanga PYEI project with the aim of enhancing their own learning and those of the learners whom they support at schools. The EAs are unemployed youth and graduates who are given a monthly stipend to support teachers in schools without the requisite technological, pedagogical, and content knowledge (TPACK) to do so. The project’s training is thus intended to deepen their knowledge and skills to impart to teach and learn as they are already practicing these. Through the project’s intervention, the EAs may ultimately decide to further their studies in the more stable profession of teaching that may increase their probability of earning a decent salary. This training started online in November and preparations are advanced in this regard to deliver on such an assessment, the impact of the intervention that may serve as the model for the country and beyond. Prof Mahlomaholo and his team will be providing training in ICT as well as doing tracker studies to find out how the training might have affected the job and business opportunities of these youth.
lined. A substantial achievement within Prof. Mchunu’s project has been the completion of a scoping review. This comprehensive paper has been derived from the project’s scoping work and has been submitted for publication. This serves as a key milestone in consolidating the project’s initial findings from the literature and establishing the foundation for the project’s broader study. Prof Mchunu and her project team anticipate having an engagement with the taxi industry towards the end of the year where they will hold a conversation session with taxi owners and introduce the project briefly to the taxi owners.
A research output that has been generated from this project thus far and is currently under review is as follows:
Public transport systems and safety of women and young girls’ commuters in low-and-middle-income countries: a systematic scoping review (BMC Women’s Health Journal).
Tuberculosis and diabetes remain the leading causes of death despite the existence of pervasive national awareness campaigns. This pestilence of lifestyle diseases impelled health researchers at the University of Limpopo (UL) to continue working hard towards creating a more direct impact on communities beset with non-communicable diseases (NCDs) by reaching a population of 100 000 in 2019. Their concentrated efforts yielded in the launch of a cutting-edge Population Health Research Centre at the university, named DIMAMO PHRC, which is a Health and Demographic Surveillance System (HDSS) that aims to curb the burden of NCDs in rural South Africa.
DIMAMO PHRC was funded by the CoE-HUMAN and Dr Eric Maimela, the Principal Investigator of the project and his research team, aimed to investigate and have an insider view of lived experiences relating to mental health challenges experienced by pregnant and parenting adolescents and young mothers in the surveillance area of DIMAMO PHRC. The findings of this study indicated that the participants experienced poor academic performance and expressed the desire to drop out of school out of fear of failing to reach self-actualization due to teenage pregnancy.
In terms of translation of the research into policy and practice, the research team saw it fitting to involve the community advisory team (Constituted by community leaders), provincial and district Department of Health (DoH) along with the clinic managers of the 11 primary healthcare facilities, and one tertiary hospital which falls within the HDSS, given the sensitivities related to this study. These stakeholders served to offer insider perspectives and approaches to inform how data at a community (CAT) and clinical (DoH) level could be collected. At the end of data collection and analysis, the stakeholders were invited back to DIMAMO PHRC for feedback on the findings of this study and strategized on how to better translate these findings into actionable plans to better support pregnant and parenting adolescents at both the community level and in primary healthcare facilities.
The list of outputs generated from this project include:
Peer-reviewed publication:
Mabila, L.N., Muthelo, L., Mbombi, M.O., Mphekgwana, P.M., Mashaba, R.G., Ntimana, C.B., Seakamela, K.P., Tlouyamma, J., Dhau, I., Nemuramba, R., Mothapo, K., & Maimela, E. (2023) Mental Health needs among pregnant and parenting adolescent girls and young women in South Africa: A Scoping Review. African Journal of Reproductive Health, 27(2), 101-129. https://doi.org/10.29063/ajrh2023/ v27i2.11
Seakamela, K.P., Mashaba, R.G., Ntimana, C.B., Mbombi, M.O., Tlouyamma, J., Mphekgwana, P., Nemuramba, R., Mothapo, K., Muthelo, L., Mabila, L.N., Dhau, I., & Maimela, E. (2023). Prevalence and associated factors of probable depression amongst pregnant and parenting young females: a comparison of adolescents and young adults in rural South Africa. Frontiers in Child and Adolescent Psychiatry, 2, 1200759. https://doi.org/10.3389/frcha.2023.1200759
Manuscript under review:
Exploring mental health problems and support needs among pregnant teenagers in rural areas of Limpopo (Biomed Central Journal).
Conference presentations:
University of Limpopo Health Sciences Research Day, 18-19 September 2023. Presentation title: Prevalence and Associated factors of probable depression amongst pregnant and parenting young females: a comparison of adolescents and young adults in rural South Africa.
There are many challenges to families caring for their relatives with dementia in resource limited settings. However, the socio-ecological model when utilized as a lens to explore this problem has the potential to enhance one’s understanding of the family and community resources embedded in existing social relationships in the communities where these families live. Community based health care has its own economic challenges, particularly for families who are caring for a relative with dementia. However, utilizing community health workers (CHWs) who are affiliated to the primary health care system can help alleviate some of the pressures on families who are caring for relatives with dementia by equipping CHWs in Nelson Mandela Bay with the necessary knowledge and skills regarding dementia care to support such families. Dr David Morton’s study entitled “Preparing Community Health Workers to support family caregivers of relatives with Dementia in Nelson Mandela Bay, South Africa” funded by the CoE aims to achieve the following objectives:
Recent media reports stipulate that thousands of South African children have died from acute malnutrition over the last five years1. Since 2019 till date, approximately 2818 children have passed away in South African public hospitals. Over the last 20 years, the South African government adopted several food and nutrition policies to eliminate child hunger, and malnutrition amidst South Africa’s children. Despite this, the statistics indicate that the number of stunted, wasted, and underweight children continue to stagnate or increase. The Bill of Rights in our Constitution (Section 28) indicates that “every child has the right to basic nutrition, shelter, health care and social services, as well as the right to be protected from maltreatment, neglect, abuse or degradation”
However, the most recent reports indicate that one in three children are stunted and one in four households
To explore and describe family members’ experiences of caring for relatives with dementia.
To explore and describe CHWs’ experiences of supporting family members caring for relatives with dementia.
To explore primary health care nurses’ views of the needs of CHWs supporting family caregivers of relatives with dementia.
To determine the support and training needs of CHWs supporting family members caring for relatives with dementia.
To develop a training program based on the empirical findings of Phase 1 for CHWs to support people caring for their relatives with dementia.
To assess the effectiveness of the training program to impart knowledge of dementia among CHWs.
The project is currently in the early phases and data collection and other intervention activities are expected to kick off in the new year.
report child hunger. Children are clearly not protected in South Africa. Prior to the pandemic, children were already malnourished which compromises their survival, their overall health, capacity to develop cognitively and their schooling engagements. In adult life, their capacity to be economic productive is also compromised1. The province of KwaZulu-Natal in South Africa has recorded the highest number of hungry and malnourished children in comparison to other provinces2. Children between the ages of one and five years living in this province have the highest ratios of stunted growth in South Africa Some children experience child neglect because of several socio-economic factors, locality, and poverty.
Dr Sheetal Bhoola’s study entitled “An investigation of malnutrition and child neglect in KwaZulu-Natal” funded by the CoE aims to investigate the prevalence
1 May, J., Witten, C., & Lake, L. (eds) (2020). South African Child Gauge 2020. Cape Town: Children’s Institute, University of Cape Town.
2 Cleary, K. (2020). Shocking levels of child hunger in rural KwaZulu-Natal. The Daily Maverick. Retrieved from https://www.dailymaverick. co.za/article/2020-02-25-shocking-levels-of-child-hunger-in-rural-kwazulu-natal/
of malnourished children within the uThungulu district through the following procedures:
1. To investigate the types of acute malnutrition that is most prevalent in the uThungulu District.
2. To determine its interconnectivity to child hunger and child neglect (lack of resources that allow children to be hygienic and lack of adult care)
3. To contribute towards effective and appropriate measures to minimise the high ratios of malnourished children in KwaZulu-Natal.
This study is closely aligned with the National Development Plan (2030) which seeks to develop the research skills and qualifications of Black academic staff across the 26 public universities in South Africa. The 4th pillar of The Sustainable Development Goals (SDG) 2030 Agenda illustrates the need to shift towards quality education globally. At present, the world is lagging in its quest to meet the six World Health Assembly global nutrition targets by 2025, because of the development of increased global food insecurity instigated by the Covid-19 pandemic global lockdown regulations. There are four targets that directly focus on the alleviation of malnutrition amongst children, and they include firstly the aim to reduce at least forty per cent of children under the ages of five who are stunted, ensuring that there is no increase in the number of children who are overweight and to minimize childhood wasting to less than five per cent. The remaining three targets include reducing the number of low-birth-weight babies, anaemia in women of reproductive age, and an increase in the rate of new-born babies being exclusively breastfed. Therefore, research within this area can only contribute towards reaching these global targets.
The list of outputs generated from this project thus far include:
Conference presentations:
The International Sociological Association World Congress, Melbourne, 28 June 2023. Presentation title: The importance of impact evaluations of corporate social responsibility programmes and government food and nutrition programmes for South African children”.
The University of Zululand’s Faculty of Humanities and Social Sciences Annual Conference, 12-13 October 2023. Presentation title: Child Neglect as a contributing factor towards the prevalence malnutrition in KwaZulu-Natal.
In terms of translation of the research into practice, an intended collaboration between The University of Zululand and The Interdisciplinary Centre of Childhoods Societies at The University of Wuppertal, Germany is underway (https://www.izkg.uni-wuppertal.de/). In addition, this collaboration can benefit more than one department (Sociology & Consumer Science) within the Faculty of Humanities and Social Sciences at The University of Zululand. This engagement will promote the exchange of scholarly knowledge and expertise between these 2 academic institutions and create learning opportunities for other scholars at The University of Zululand. The possibility of long-term research networks between these two institutions can be pivotal for The University of Zululand. This initiative can contribute to global awareness of both these institutions that are represented in this study. Dialogues, seminars, and webinars can be held in the future to address pertinent issues such as The Global targets of nutrition (2025) that should be aligned with South Africa’s urgent goals to address food insecurity and malnutrition after the onset of the Covid-19 pandemic. This collaboration can culminate in the exchange of knowledge idea and research expertise.
The first Accelerated Postdoctoral (AP) training programme, led by Wits Professor Shane Norris, was launched in August 2021 and the initial cohort, who finished the programme in July 2023 tell us how the experience was for them, including their highs and lows, and what comes next!
Witness Mapanga said that when he first met Shane, he was a bit awestruck as he had heard about his research including lead ing Africa’s largest and longest running birth cohort (Birth-toThirty study). At the time, he was already a postdoctoral fellow working on cancer research. After hearing about AP programme, he approached Shane to learn more and joined the first cohort. He said it was heavy to start, with lots of new statistical techniques and epidemiology that didn’t include his area of cancer research. His first paper with the group was on hypertension which was totally new to him. Through Shane’s guidance and weekly ‘handholding’ sessions, he found tackling new areas was possible. He enjoyed learning how to build conceptual frameworks, which he now finds work well though can still be a challenge.
create a vision for a research unit for 5-10 years ahead, helping him to shape his long-term goals. “It’s been a rewarding experience; I will have the 20 papers by end of July that was the aim set. The opportunity to connect with Shane was also unusual as it’s not typical to connect with the ‘main boss’.”.
For the second cohort of postdocs, he advises them to “take time to understand your team members’ strengths and weaknesses for efficient working, who is good with data management, who is good with writing, and to always communicate to ensure the tasks are distributed fairly and get done on time.”. He said it is important on this journey to appreciate that in discussion there is usually no wrong or right answer. “Whatever you think, say it as there it is a learning moment, don’t be shy to speak your mind.”
Witness, a self-confessed introvert, said the AP programme taught him he could work in a team and prefers this. He described learning that he could both gain from and give to a research group as one of the best moments on the course. He said the toughest moment came when he had four papers he was working on simultaneously and tight deadlines but said in hindsight it was a great learning to see he could do this. While working on one paper about disparities in breast cancer care, he described an eye-opening experience. He was struggling with framing the analysis when Shane taught him how to use meta-analysis approaches in primary research – an approach he wouldn’t have thought to apply, and which is now informing his future research plans in healthcare access, HIV and cancer and the role of stigma.
He said he would have really enjoyed a writing retreat with other experienced researchers as part of the programme but working with Shane has shown him how to handle issues, how to see the bigger picture and how to
Ashleigh Craig was applying for a Wits standard postdoctoral fellowship when she was approached by Shane for the AP program. At first, she expected it to be like her PhD, with a topic and working on the research with one or two papers. When she discovered what was involved, she was a bit daunted, producing 10 papers per year, learning new skills across different research areas, working in a group and applying for a grant. However, she indicated that applying for a grant of £1.7m was one of the best moments on the programme. Although unsuccessful, the feedback was great with the grant scoring a 7 (8 was needed for funding). She said when the grant was unsuccessful this was also one of the worst moments, but other training initiatives were “quite cool”
She described the experience of designing national surveys and her ‘lightbulb moment’ when the survey results were not what they expected and were difficult to analyse. She said this was when she understood why Shane
said, “we need to plan everything first, before we even begin the analysis”. Despite not having a chance to supervise postgraduate students, which she wishes could have been possible, she did not think any changes to the programme were needed. Her message to the new AP trainees is to “Work as a team!”. She explained how she tried to work solo to start with and how stressed she was by herself until she found out all the group were stressed. She said it was also good to bounce ideas off each other before going to senior researchers so they could check your ideas.
After the AP programme, Ashleigh plans to stay in research at Wits and believes that the programme has broadened all her skills. During the programme, she also got accepted to an international cardiovascular epidemiology training course (ISCEP) in India, which she described as great! She appreciated how Shane created projects for the group to build skills, “that was great as we wouldn’t normally get that chance”. She now has more epidemiology and public health experience and feels this is where she wants to go with her research, to contribute something significant back to Wits.
Women in Science (South Africa) through their National Young Talents Programme. A great achievement and she said it was nice to be recognised as ‘outstanding’ for her research that has social impact. She is hopeful this will also help with future grants applications.
She struggles still with writing for the media and for science dissemination, and wishes this training was part of the programme – learning how to interpret science for people to understand, though she is happy she joined the programme and proud to be one of the first trainees. Though she wished to extend her time on the programme to learn more and do more, she was successful in securing a new position as the manager and research lead for the DSI-NRF Centre of Excellence in Human Development at Wits. In this role she combined the management of the centre with her ongoing research. She is keen to increase research capacity in others and is looking forward to supervising her own students.
For the new AP trainees, she says discipline and time management are critical and she encourages them to “always ask questions, as you will be working on things that you don’t know about or don’t yet have skills for. Take advantage of the skills within your team and rely on each other.”. She said that having a passion for research is important to enjoy the program.
Asanda Mtintsilana heard from her colleague Siphiwe about the new AP programme and applied immediately. When she heard from Shane the aim was to produce 20 papers in two years, she thought at the time it was impossible! She described how she has loved learning new statistical approaches and how to conduct surveys from scratch and to analyse and weight survey data. Previously she was in a lab, so the public health and epidemiology was all new to her though she enjoyed learning new things to improve her research skills. She said the AP programme did this well, though she found it challenging to work on topics that she had no background in, such as her first paper which focused on HIV. She described Shane’s teaching about developing a conceptual framework prior to starting data analysis for a paper as ‘life changing’ and wishes she had this training when she was doing her PhD.
One of the new topics she engaged with was social vulnerability. She described how she was a bit daunted with this new focus, but ended up writing an application based on social vulnerability which was successful! In 2022, Asanda received a L’Oréal-UNESCO Award for
Siphiwe Dlamini was already working for Shane as a research as sistant when Shane asked if he was interested to apply for the AP programme. At the time, Siphiwe said he was weighing his options to stay in academia or to go into industry and he thought this would be a good way to see if an academic research career was for him. He indicated how he enjoys writing papers, so the target of 20 papers in two years did not worry him but he wanted to know that he would experience all the skills necessary to climb the academic ladder at Wits. He said, apart from student supervision, he felt he achieved this, and he enjoyed the program and learned a lot. He said the best moments were learning from a great researcher like Shane, with the time he took explaining things. Despite only receiving a stipend payment every quarter, which he found challenging, he said he understands now how to progress within the University to lead his own program and research agenda. Since the start of 2023, Siphiwe has joined Physiology at Wits as a lecturer and
is teaching neurophysiology, nutrition, and endocrinology to first- and second-year undergraduates in classes of up to 200-plus students. He said that the training he had for writing funding applications has been useful, and he is now applying to several different funders to continue his research on
complex measures of body composition and cardiometabolic health. He is striving toward becoming an independent researcher and tells the new cohort of trainees to “consider your research focus and career trajectories early in the program to inform the skills and experience you need to attain”
The second cohort of the Postdoctoral Accelerator Programme joined the programme in November 2023. Three Postdoctoral fellows have started the programme and will be participating in a structured group learning model that will further develop their research capacity and scientific leadership skills for the next two years.
Dr Claire Hart is currently a Postdoctoral Fellow at the Developmental Pathways for Health Research Unit (DPHRU), a research unit that conducts scientific and contextual intervention research on the developmental origins of health. She is part of the Healthy Life Trajectories Initiative (HeLTI) consortium, an international research collaboration that links intervention cohorts in South Africa, Canada, India, and China. Dr Hart’s research focuses on mental health across the life course, with a specific focus on depression and anxiety. Her research is informed by her clinical practice as a Health Professions Council of South Africa (HPCSA)-registered psychologist, with experience in providing psychotherapeutic interventions, training and supervision of psychologists, and community-based research and interventions.
Dr Lauren Stuart is a newly ap pointed Postdoctoral Fellow at the DSI-NRF Centre of Excellence in Human Development. Dr Stuart comes from a Social Sciences background and has a passion for understanding and addressing societal issues through empirical research and practical interventions. Foundational to Dr Stuart’s work is the South African social policy context, particularly how it informs multiple social issues across society. Other areas of interest include decent work, poverty alleviation and individual and community wellbeing.
Dr Rachana Desai completed her PhD in Health Psychology at the University of Maastricht (Netherlands) focusing on out of school youth while in a PhD internship at the Human Sciences Research Council (HSRC). Dr Desai’s research focus is on understanding risk and protective behaviours in adolescents. She has strong interests in the digital world and was a WITS finalist in South African FameLab (2022). At Wits, Dr Desai leads a team of research assistants collecting data on the Wellcome Trust Funded Behaviour, Executive Function in Adolescents with CONduct disorders (BEACON) cohort under the supervision of the study PI Professor Tamsen Rochat. Dr Desai manages cohort studies and has experience with national surveys at the HSRC though her passion is in methodological innovations and participatory approaches, including storytelling and observational methodology, to capture adolescent lived experiences. At WITS, she leads the MZANSI teen lab – a teen space where she has co-designed several adolescent-friendly data collection approaches and tools.
The CoE-HUMAN will introduce the Third cohort of the Postdoctoral Accelerated Programme in 2024.
The Wits Health Hubb, now in its fourth year of operation in Soweto, has had an exciting year! Thanks to the Opportunity Grant received from the CoE-Human in 2023, we have been able to undertake a deeper evaluation of the impact of the programme on the youth, the community, and other stakeholders. We present a few of the highlights in this report.
Our aims throughout the programme have remained consistent: to activate health consciousness and personal wellbeing among youth, to increase community access to healthcare, and to give meaningful health sector focused professional work experience, training, and qualification to formerly NEET (not in employment, education, or training) youth.
Since inception, we have provided basic health screening to over 80,000 community members in Soweto and trained 75 NEET youth (mean age 24.8 ± 3.1 years), all recruited from the communities that they serve. To date, 91 % of youth have remained in the 12-month programme until the end and we have a 100% pass rate for the NQF3 level Community Health Work qualification.
In October 2020, our first cohort of twenty young people from Soweto started their training. In October 2021, our second cohort of 30 young people started, and our third cohort of 25 young people began in November 2022. In November 2023, our fourth cohort of 20 youth begin their Health Hubb journey. Through the implementation of this social innovation programme, we have seen that smaller groups of youth create more cohesion and social support.
Over 90% of our previous learners are now in employment. With the 2022/23 training coming to an end, our current learners are also busy attending interviews and sending CVs, all skills that are built throughout the learnership. We released our recruitment advert for 20 more NEET youth in August. Despite technical glitches with
the online application, we received over 900 applications demonstrating how many young people in Soweto want to be a part of the Health Hubb.
This year we partnered with Temple University (USA) to examine the critical issue of linkage to care. Our health advocates offer home health screening including blood pressure (BP) measures. However, our research shows that the uptake of the referrals given remains low. To combat this, we surveyed and interviewed community members about the reasons for this and other avenues that may be available to them to access follow on care. The findings suggested that mHealth resources may be acceptable and feasible for those with smart phones. To test this, we have partnered with Kena Health (a telemedicine service) to evaluate if uptake for BP referral is higher than clinics. To examine other options, we also included a partnership with Clicks pharmacy to examine if BP referral to pharmacy nurses who can connect patients remotely to doctors is acceptable. We anticipate the results will be available toward the end of 2023.
We also sent around 3000 BP measures from Soweto to the International Society of Hypertension global May
Measurement Month (MMM) campaign. This campaign benchmarks how successful countries are at identifying, diagnosing, and effectively treating hypertension worldwide. This year, we also recorded the air quality at our Soweto measurement sites while conducting the BP measures as there is growing evidence that air pollution contributes to hypertension. This analysis is also underway, and the results should be available soon!
In response to community requests, the HUBB held several successful health awareness campaigns on the topics of sexual health, men’s health, collaborations between traditional and Western medicine, and stroke The events brought in key local service providers including SANCA, SADAG, Revolife, Phila Sonke and The Stroke Survivors Foundation to provide information, testing, support, and assistance to the community. In addition to research and community health work training, our learners receive updates and skills from the multiple partners and collaborators of the Health Hubb. This year, Dr Daniella Watson (Kings College, London) provided training to the youth and local schoolteachers on working in adolescent health. The learners also enjoyed training in supporting smoking cessation (Columbia University) and emergency first aid with the Soweto Fire Service.
This was the main topic of the 2023 Wits Health Hubb CoE-HD Opportunity Research Grant, and the short answer is, it depends on who you ask! For those who are implementing Youth Employment Initiatives (YEIs), the metrics are geared to assessing the long-
lasting impact on youth i.e., monitoring and tracking youth economic security after completing YEI training and reduced youth unemployment. This is supported by ensuring that the training offered to youth is relevant to the demands and trends of industry, and these
stakeholders stressed the importance of having experts from industry mentoring youth while they were still in training to ensure effective employment pathways.
Both YEI implementers and the funders of YEI programmes agreed that life skills development and mentorship are essential to YEI success, creating a holistic approach for the personal and professional development of youth. This included training on financial literacy and career guidance. Funding and implementation stakeholders encouraged partnerships with public institutions, the private sector and civil society to expand YEI capacity as well as to provide a source of funding to sustain YEIs.
Implementation stakeholders identified physical and mental health as being central for the holistic development of their youth. However, YEI programmes lacked elements to support or improve youth health, conducted no recurring assessments to monitor the physical and mental health of youth on the programmes, and
relied on external service providers when a health support need was identified. Stakeholders did not include health improvement as a YEI success indicator, but they emphasized the urgency of working towards providing physical and mental health support for youth on their programmes and supported the inclusion of health improvement as a success indicator in YEIs.
Unemployed youth who had not attended a YEI (the YEI target group) saw success as gaining the necessary practical skills and qualifications to enhance their employability. While youth currently undertaking a YEI programme wanted more information about employment and training opportunities post the YEI programme. Uncertainty about the future was a concern for all youth, who advised that employment security (i.e., securing a stable job) after completing the YEI programme was a crucial indicator of success. Additionally, youth on YEIs expressed being able to “pay it forward” and make a positive impact in someone else’s life as an indicator of YEI success.
At the start, middle and end of each 12-month cycle, we conduct physical and mental health, and socioeconomic evaluations on our learners. Our third cohort are about to undertake their final 12-month assessment. While our income fourth cohort will have their baseline evaluation in January. These evaluations are conducted in collab-
oration with the Wits Centre for Exercise Science and Medicine (CESSM) who undertake cardiac fitness assessments, alongside checking BP, blood glucose, cholesterol, body weight, height, and waist circumference. The online survey conducted at the same time evaluates quality of life, work-related quality of life, stress, depres-
sion, anxiety, food behaviours and food insecurity, and living conditions among other metrics. During this year, with the CoE-HD Opportunity Grant, we have been able to conduct the survey also in youth undertaking nonhealth focused YEI programmes to determine if changes observed with Health Hubb youth are related to YEIs in general or specific to health sector focused YEIs. The collection and analysis of data is ongoing, but here we share some preliminary data comparing the baseline and 6-month surveys of 70 young Health Hubb learners.
Early indicators of health behaviour may suggest that smoking and harmful alcohol use in youth are showing small positive changes. Youth may also be more mindful of not being sedentary (we asked, ‘Do you do any
sedentary activities such as sitting, lying down when not sleeping, reading, sitting to eat?”). Additionally, young people seem to have more control over their food environment while on the YEI programme, though food decisions may not always be favourable!
The data also suggest that Health Hubb learners experience small but potentially significant increases in many indicators of functional maturity, all which support both personal development and create a better foundation for economic growth.
The full data analysis of Health Hubb Youth, including comparison with the control group of other YEI youth will be available Q1 2024.
Our Mission istoempoweryoungpeople,throughselfandscientific discovery,tounderstandtheneedtomakepositivelifestylechoicesfor themselvesandforfuturechildrentheymayhave.Thefocusofthe programmeisonthebiggesthealthissuesthatyouthinSowetoandin SouthAfricamorebroadlyexperienceintheirdailylives.
During 2022, the LifeLab-Soweto team successfully worked with young people aged 18-25 years to create a Youth Health Council (YHC) and conduct a health needs analysis of youth. The research team and the YHC then worked together to cocreate a contextually relevant health literacy intervention for young adults in Soweto.
Working alongside the University of Southampton LifeLab UK team who have over a decade of experience in increasing health literacy in youth and adolescents, the LifeLab-Soweto programme was born.
The YHC identified stress as a major barrier to optimal health and helped design the health literacy materials, guiding the language and stories of the characters of Sifiso and his aunt that detail how stress impacts physical and mental health, health behaviour, and cognitive function. This cocreation process has now been published in the Journal of Health Literacy.
To test the acceptability and feasibility of the health literacy intervention, the LifeLab-Soweto team then invited over 100 more young people from Soweto to take part in the intervention and complete a survey to document what they thought. This was done by creating a LifeLab Soweto exhibition space where prototypes were displayed including charts, instructions, and the cocreated LifeLab-Soweto workbook. Young people were given the workbook and encouraged to explore the exhibition with minimal assistance following a set of instructions to promote self-learning. Youth recorded their own results in the workbook next to the results from the fictional characters of Sifiso and his aunt.
MeetSifiso,a21-year-oldyoungmanfromJabulaniSoweto. Sifisomatriculatedfouryearsagoatalocalschool.Hewasnot abletofurtherhisstudiesduetofinances.
SifisoliveswithhisauntZolekawhoishiscaregiver.Despite tryingtolookforajob,hehasnotbeensuccessful,andhe nowspendsmostofhistimeathome.Hehaswithdrawnfrom socialinteractionswithfriendsandisoftenstressedabouthis life.Hestartedsmokingandfeelsthatitlowershisstress.He stoppedbeingactive,isoftentired,struggleswithsleepand eatsalotofjunkfood.Thishasaffectedhisoverallwellbeing.
Forshort-termsituations,stresscanbeuseful.Itcanassistustocopewithapossiblelife-
Whenwetalkabouthealthwe thinkofTB,HIV,COVID-19and thingslikethatwithoutknowing aboutspiritual,emotional [health]…thosearethethings thataffectyoutoendupsick, bestressedandweobviously knowthatstressisdeadly.
Wegooutanddothingswe cannotexplainhowwegotinto them,andyoucomebackhome, andyoucan’ttalktoanyone.
Youdevelop stressfromhome andschool.
2
Ithasbecomeapparentthatstressisasilentdestructiveforceamongyoung peopleinSouthAfrica.TheYouthHealthCounciltalkabouttheirstress aroundunemployment;accesstoeducation;lackofsupportfromfamily, friendsorcommunity;negativepeerpressure;andfinances.Allthesethings heightenstresslevelswhichinturnimpactsourchoicesandbehavioursand cannegativelyaffectourhealth.Atthesametime,withlimitedfinancial resources,it’softennotclearwhatwecandotocombatthisstressoreven howwerecognisethestressanditseffectonus.
The survey scores were overwhelmingly positive with 90% or more of the young people agreeing that the topics were relevant to them, that they learned about themselves and their health, that they found it interesting, and they will employ this learning in their lives.
LifeLab-Sowetoaimstotakeyouonajourneytobetterunderstand stress,theeffectsofdifferenttypesofstressandwhatwecandoto protectourselvesandourfuturechildren’shealth.
HowareSifiso’sandAunt Zoleka’sBMIandwaistto heightratio?Whatshould theydo?
Whenstressedsomepeopleeatlessandsomeeatmorefoodandinmostcasestheoptionsare nothealthy.Thistypeoffoodisoftencalled“comfortfood”andishighinsugar,saltandsaturated fat.Insomecases,peopledependonalcoholandsmokingtoreducetheirstresslevelshowever thesesubstancesposemoredangertoaperson’shealththangood.Stresscoupledwithan unhealthydietalsoweakenstheimmunesystemandcanincreaseourriskofgeneralinfections suchascoldsandflu,orevenCovid-19.
During the in-depth interviews that were conducted with 31 of these young people, several reported how they had learned more about the impacts of stress and importantly, how they planned to change their lives with this knowledge.
Sifisoisfacedwithalotofchallengesandspendsalotoftimeathomewithdrawnfromsocial activities.Hisdiethaschangedovertime.Heeatsfoodthatishighinsugar,salt,andfat.Hebuys a2litreCoke,breadandchipsforlunchandsnacksfromthelocaltuckshop.Let’stakealookathis dietandseehowitimpactsSifiso’shealth.
1. I would like to visit LifeLab Soweto again
2. LifeLab-Soweto was well designed
3. The topics were relevant to me
4. The programme was simple to follow
5. There were some parts I didn’t understand
6. I would recommend this to other young adults
7. LifeLab Soweto was fun
8. I enjoyed LifeLab Soweto
9. I will tell others what I learned
10. I will use what I learned in my life
11. I feel good with what I’ve learned
12. I understand myself more now
13. I understand health more now
14. LifeLab-Soweto is useful to me
15. LifeLab-Soweto is interes�ng
16. I have learned something today
Young adults - non-binary gender (n=2)
Young adults - female (n=63)
Young adults - male (n=42)
“I didn’t know much about stress. […] I didn’t know about chronic and acute [stress]. I now know the difference.” (Female).
“I learnt all about health, keeping our body healthy, exercising, and keeping a healthy diet.” (Male).
“The part that I liked the most is that it’s educative, fun; it teaches us about health.” (Male).
“I’m starting with yoga tomorrow.” (Female).
“...one other thing I will change is to seek counselling.” (Female).
“I’d like to go for regular check-ups […] maybe once in 3 months...” (Male).
The results of the feasibility study will be published shortly. In the meantime, LifeLab-Soweto are now part of the LifeLab Global Community of Practice (CoP) which includes the UK, Ireland, Australia, Ghana, Nepal, and South Africa. The CoP have created an online presence (lifelabonline.org) and are pulling together to seek funding to continue research on how to improve the health and scientific literacy of young people across multiple countries and continents.
At home in Soweto, the LifeLab team continue to make our health literacy intervention available for young people to support learning and encourage engagement with health and with healthier behaviours.
GENERATED FROM THIS STUDY:
Ware, L.J., Mabetha, K., Hanson, M., Godfrey, K.M., Woods-Townsend, K., & Norris, S.A. (2024). Exploring health perceptions and priorities of South African youth: Understanding what matters or health literacy interventions. Journal of Health Literacy, 8(4), 9-26. https://doi.org/10.22038/ jhl.2023.71473.1405
Prof Shane Norris (CoE-HUMAN Director and Director at SAMRC Developmental Pathways for Health Research Unit), Prof Catherine Draper (Associate Professor at the SAMRC Developmental Pathways for Health Research Unit) and Dr Lisa Ware (Associate Director at the SAMRC Wits Developmental Pathways for Health Research Unit) attended the 1st HeLTI Science Forum from 6-8 November 2023 in Toronto, Canada. This forum brought together scientific investigators from the 4 HeLTI countries (South Africa, China, Canada, and India).
The forum provided the opportunity for the HeLTI SA team to provide an update on progress on the HeLTI SA trial, as well as on consortium-wide projects in which HeLTI SA is involved, including OPTIMISE and the GDM study. A presentation on HeLTI SA’s work based on the baseline data from the pilot sample of the trial as well as the trial process evaluation were also presented, to generate discussion about how similar work could be conducted in the other sites.
As part of the forum, Prof Catherine Draper and Dr Lisa Ware participated in break-out discussions about other
potential consortium projects in the preconception and pregnancy phases. Prof Draper was part of the group discussing mental health and adversity and has been involved in moving this consortium work forward since August 2022 at the DOHaD congress in Vancouver, where a pre-congress workshop on HeLTI involved some similar idea-generating discussions. This has been done in collaboration with Prof Mark Wade from the University of Toronto, whose students are already leading two publications on this work. Prof Mark Wade also led the submission of a preliminary application to the Wellcome Trust to move this research agenda forward.
The University of Southampton hosted collaborators from the University of the Witwatersrand for a series of meetings and symposia held on 13th and 14th November 2023.
Prof Lisa Micklesfield (Deputy Director at the SAMRC Wits Developmental Pathways for Health Research Unit) was among the collaborators who attended the meeting hosted by the University of Southampton. Research
from both institutions was presented at the three events and sufficient time was allocated for discussion and potential future collaborations and joint grant applications. The first meeting, on Monday 13 November 2023, was the Adolescent Global Health meeting, and after an introduction to Adolescent health by Professor Shane Norris, projects from both Wits and Southampton were presented. Projects from Wits included the Brain Gym presented by Dr Claire Hart, the Mind-Food-Space project presented by Dr Ashleigh Craig, and the LifeLab Soweto project by Dr Lisa Ware. The LifeLab Southampton work was also presented as one of a number of Southampton projects including a Young researcher training programme and Plausible futures which is a board game which focuses on encouraging adolescent to aspire for success in their future. A follow up writing workshop will be held on 4 March 2024 to prepare an application for upcoming funding calls.
The Multimorbidity Global Health meeting was held on the afternoon of Monday 13 November and as well as
presenting work from both institutions, much of the discussion was around creating joint positions, sabbaticals, delegations, and exchanges between the Universities. Professor Tamar Pincus, Dean at the University of Southampton, is actively involved in connecting the two Universities.
A Global Health Symposium was then held on Tuesday 14 November to highlight the importance of global health, how our research can influence global health policy, and how to strength global health research by exploring collaborative opportunities between the two institutions. As well as researchers from the two institutions providing global health insights in musculoskeletal health, mental health and cardiovascular health, there was a proposal to identify themes which could link to different grant calls, and then cross-cutting themes such as community engagement, capacity development, patient-public involvements, methods etc.
the study of interactions between societies, households and their natural environment
Mugudamani, I., Oke, S.A., Gumede, T.P., & Senbore, S. (2023). Herbicides in Water Sources: Communicating Potential Risks to the Population of Mangaung Metropolitan Municipality, South Africa. Toxics, 11(6), 538. https://doi.org/10.3390/toxics11060538
The use of pesticides is crucial to preserving and raising the level of living for the world’s population. However, because of the possible repercussions, their existence in water supplies is worrisome. Herbicide levels in water sources surrounding the Mangaung Metropolitan Municipality were evaluated by Mr Innocent Mugudamani from the University of Free State, along with the threats to the environment and public health that come with them. Twelve water samples were taken in South Africa’s Mangaung Metropolitan Municipality from rivers, dams, and reservoirs, and treated drinking water. A QTRAP hybrid triple quadrupole ion trap mass spectrometer was connected to high-performance liquid chromatography for the analysis of the samples that were gathered.
Herbicides were found in the area’s treated drinking water, dams and reservoirs, and rivers, according to the report. The presence of these herbicides indicates the potential for high ecological risks and medium carcinogenic risks in the spring, indicating that these toxins may have an impact on aquatic life as well as humans.
The community and pertinent stakeholders may become more aware of the environmental and public health hazards associated with pesticide exposure because of the study’s findings. Additionally, it will support the creation of risk-reduction plans for herbicides and other hazardous substances, as well as municipal pollution management programs.
Senbore, S., & Oke, S.A. (2023). Urban development impact on climate variability and surface water quality in part of Mangaung metropolis of South Africa. Development Southern Africa. 40(2), 293-312. https://doi.org/10.1080/0376835X.2021.1993794
The amount of water in rivers, estuaries, dams, lakes, and other bodies of water is directly impacted by variations in the climate through precipitation, evaporation, and surface runoff. Dr Samson Senbore from the Central University of Technology investigated the effects of fast urbanization on surface water quality and climatic variability in the vicinity of Mangaung metropolis. The study area includes the South African towns of Bloemfontein, Botshabelo, and Thaba ‘Nchu, which are in the Mangaung Municipality of the Free State province.
Remote sensing was used to examine changes in land use land cover (LULC), normalized differential vegetation index (NDVI), and normalized differential water index (NDWI) over a 30-year period in the Mangaung metropolis. According to LULC, metropolitan areas have grown tremendously, resulting in greater loss of vegetation cover and a lack of available water. The progression of rainfall and water type demonstrates the impact of urbanization.
As a result, the authors proposed that policymakers in the research area reduce unplanned settlements and limit internal migration. This is to provide for the United Nations’ aim of urban sustainability by 2050. In addition, an environmental geochemistry research should be conducted to identify the sources of developing contaminants in the study region.
Nyamwanza, A., Jacobs, P., & Nyezi, K. (2023). Advancing a transformative human development approach to climate resilience through local innovation in South Africa. Development Southern Africa, 1(14), 897-910. https://doi.org/10.1080/037683 5X.2023.2171365
Dr. Admire Nyamwanza from the Institute of Natural Resources examined the human development approach to climate resilience innovations, demonstrating how local innovation projects can serve as conduits for greater fairness, agency, efficiency, and sustainability in the context of successful climate-related responses.
Based on a scoping review of literature (journal articles, books, theses, occasional papers, etc.) and a discussion of four case studies focused on technological and institutional innovations in selected rural South African communities, a major finding is that local innovation initiatives in relation to livelihoods are rife with opportunities for improved social, economic, and environmental well-being.
What emerges clearly throughout all four case studies is the major role of equity, agency, and sustainability imperatives, with efficiency features contributing to enlarged options and possibilities in the context of developing resilience against climate problems. According to the authors, local institutional innovation projects that create participatory platforms improve community agency in responding to climate challenges.
Craig, A., Breet, Y., Gafane-Matemane, L.F., Norris, S.A., & Kruger, R. (2023). Detecting and Managing Childhood Onset Hypertension in Africa: A Call to Action. Current Hypertension Reports, 25, 211-230. https://doi.org/10.1007/s11906-023-01247-3
The prevalence of hypertension in children and adolescents is steadily increasing, posing a public health problem, particularly in Africa. Dr Ashleigh Craig from the University of the Witwatersrand, conducted a study to analyse recent data on childhood hypertension in Africa, identify information gaps, difficulties, and goals, and emphasize therapeutic perspectives in primary hypertension management.
The study discovered that only 15 of the 54 African countries reported on absolute blood pressure (BP) values, increased BP, as well as pre- and/or hypertension. The study also found that Africa lacked childhood blood pressure nomograms, and the prevalence of hypertension was measured using criteria set by countries with very few or no children of African descent. The most recent studies undertaken throughout Africa also supplied little to no detail when discussing BP specific methodologies.
According to the study, despite numerous initiatives to understand the causes of childhood onset hypertension in Africa, there are still gaps in access to care, a lack of resources for screening and diagnosis, and a lack of understanding among caregivers and healthcare workers about the importance of early detection and management. Overall, the authors urge that research, resources, and policies be expanded to address this rising public health issue. This recommendation is supported by research on childhood hypertension.
Watson, D., Mhlaba, M., Molelekeng, G., Chauke, T.A., Simao, S.C., Jenner, S., & Barker, M. (2023). How do we best engage young people in decision-making about their health? A scoping review of deliberative priority setting methods. International Journal for Equity in Health, 22(1), 17. https://doi.org/10.1186/s12939-022-01794-2
The involvement of youth in healthcare and the establishment of health policy has been urged by international organizations. This scoping study was carried out by Dr. Daniella Watson from the University of the Witwatersrand and King’s College, to investigate the efficacy of deliberative priority setting techniques in involving youth in the decision-making process related to healthcare and health policy.
For articles published in English before July 2021 that discussed the application of deliberative priority setting techniques for health decision-making with young people, seven databases were thoroughly searched using MeSH and free text terms. A group of six impartial reviewers looked over all titles, abstracts, and full-text papers.
To involve young people in healthcare and health policy choices, this scoping review found 21 articles and 9 reviews that discussed the application of deliberative priority setting strategies. Most of the research included in this study were carried out in affluent nations, involved adults and youth in joint decision-making, and sporadically disclosed the demographic makeup of the participants. he more engaging deliberative priority setting tools involved young people-led committees, mixed methods for identifying and prioritising
issues and digital data collection and communication tools. Long-term and frequent contact with young people to build trust underpinned the success of some of the tools, as did offering incentives for taking part and skills development using creative methods. The review also suggests that successful priority setting processes with young people involve consideration of power dynamics, since young people’s decisions are likely to be made together with family members, health professionals and academics.
According to the authors, WHO, UNICEF, and other international organizations that want to involve youth in determining healthcare and policy objectives should consider focusing their youth outreach efforts on these essential elements of deliberative priority making procedures.
Muti, M., Ware, L.J., Micklesfield, L.K., Ramsay, M., Agongo, G., Boua, P.R., & Chikowore, T. (2023). Physical Activity and Its Association With Body Mass Index: A Cross-Sectional Analysis in Middle-Aged Adults From 4 Sub-Saharan African Countries. Journal of Physical Activity and Health, 20(3), 217-225. https://doi.org/10.1123/jpah.2022-0539
One of the main risk factors for disorders related to the heart and metabolism is obesity. Ms Monica Muti from the University of the Witwatersrand investigated the relationship between body mass index (BMI) and self-reported physical activity categories of work, leisure, and transport-related physical activity in 9388 adult men and women from the Africa-Wits-INDEPTH collaboration for Genomic (AWI-Gen) project in Africa.
Although the prevalence of reaching physical activity (PA) recommendations was high (over 80%) in both men and women, it was greater in men versus women (83.9% versus 80.5%). Work and transportation-related physical activity provided the most to overall moderate and vigorous physical activity (MVPA), with leisure time PA contributing very little at the sites. Work and transportation-related PA provided the most to overall MVPA, with leisure time PA contributing very little at the sites. Meeting PA criteria was related with lower body-mass index (BMI) in the entire sample of men and women, with men in West Africa (Nanoro) and South Africa (Agincourt and Soweto) driving this, and women in West Africa (Dikgale) driving this.
Since this was a cross-sectional study, the authors recommend further investigation into other variables not covered in the study that can skew the connection between PA and BMI.
Draper, C.E., Motlhatlhedi, M., Mabasa, J., Headman, T., Klingberg, S., Pentecost, M., & Nyati, L.H. (2023). Navigating relationship dynamics, pregnancy and fatherhood in the Bukhali trial: a qualitative study with men in Soweto, South Africa. BMC Public Health, 23(2), 2204. https://doi.org/10.1186/s12889-023-17153-x
Prof. Catherine Draper from the University of the Witwatersrand investigated individual perspectives of relationship dynamics, their partner’s pregnancy, and fatherhood of young women’s partners in Soweto, South Africa. Individual, in-depth interviews were done with Bukhali participants’ male partners (fathers, n = 19, 25-46 years old). The descriptive and exploratory process of analysis was approached thematically, and three final themes and subthemes were identified: (1) relationship dynamics (nature of relationship, relationship challenges); (2) pregnancy (feelings about pregnancy, effect of pregnancy on their relationship, providing support during pregnancy); and 3) fatherhood (view of fatherhood, roles of fathers, influences on views and motivation, challenges of fatherhood).
Approximately half of the individuals reported living with their partner, but the majority described their present relationship as serious. The concept of ‘serious’ was
generally associated with positive and healthy qualities of their relationship, such as strong communication, commitment, trust, shared responsibility, learning from and understanding each other, and making each other happy. The findings show that the complicated variety of factors impacting fatherhood in South Africa will continue for this generation, albeit there are some encouraging signs.
The authors reported that exploratory qualitative research plays an important role in capturing these complexities and changes in a context like Soweto, and it is critical that these are better understood, particularly when intervening through a trial like Bukhali with young women and their children whose lives are affected by their male partners and fathers, respectively. Furthermore, while developing and executing any initiatives to encourage active fatherhood in South Africa, these complexity and shifts must be considered.
Moodley, M.C., & Lesch, E. (2023). Closeness in father-adolescent daughter relationships: A South African study. Journal of Family Studies, 1(26). https://doi.org/10.1080/13229400.2023.221 1554
Various studies show that close father-child interactions benefit adolescent well-being. In a separate context, Michaela Moodley investigated constructs of father-child closeness.
The study’s findings revealed that participants associated father-daughter closeness with daughters feeling comfortable sharing more personal and emotional difficulties with fathers. However, most daughters did not discuss more personal matters to their fathers, particularly those concerning romance and sexuality, and they considered this as normal.
The authors additionally pointed out that maintaining traditional conceptions of fathers as authority figures to be respected and obeyed may prevent participants from pursuing and/ or benefiting from what is deemed intimate father-daughter interactions in the existing literature.
The authors suggest that future studies focus on what is thought to be a good quality father-adolescent daughter relationship for families in research communities rather than on closeness per se. Furthermore, research on teenage self-disclosure to parents would benefit from differentiating between mothers and fathers, as well as from using a social domain approach to identify specific areas of self-disclosure that would promote adolescent well-being.
We are guided by the NRF’s definition of impact as:
A beneficial change in society or knowledge advancement, brought about as a direct or indirect result of the NRF’s research support interventions, whether planned or unintended, immediate or longer-term.
We achieve this impact through facilitating the funding of our students, and through our work as highlighted below.
Within South African communities – we conduct nationally representative surveys (South African Human Development Pulse Survey 2021 and 2022 and upcoming 2024 survey),
Through our Grantees, we investigate issues of national importance and challenges including the COVID-19 pandemic, Climate Change, NonCommunicable Diseases, Increasing Employability among Youth.
We develop online learning resources for students, the research community, clients, key stakeholders, and interested parties
Championed by our Postdoctoral Fellows, we investigate:
– Youth Unemployment in South Africa and high- light the drivers of unemployment and perceptions of youth employment initiatives
– COVID-19 and vaccine hesitancy
– Food insecurity and quality of life in South Africa
We reach out to solidify relationships and partner with HDIs across South Africa on collaborative research projects led by PIs within these institutions.
We promote our projects, spearheaded by our researchers related to Food Ecology, Adolescent Mental Health, Digital Solutions to Tackle Mental Health, Climate Change, Soweto Men’s Cohort, Brain Gym, Mind-Food Space, WASH, PLAY App among others.
We showcase relevant case studies of community impact, intergenerational research and impact, and early childhood development in South Africa.
We continue to make an impact within the research enterprise (knowledge impact), as well as within society (societal impact). Since inception and more so in 2022, we have enabled, facilitated, and performed excellent research which sought to extend knowledge frontiers, advance innovation, and address national challenges.
To further this vision and enhance our national footprint, the CoE-HUMAN continues to form part of the body of Anchor Institutions of the National Policy Data Obser vatory
This knowledge and societal impact research results in various outputs based on the research activities, processes, and collaborations. These include, among others, new knowledge, publications, conference papers, policy briefs and increased engagement and collaboration leading to new research networks. Moreover, we promote CoE-HUMAN science engagements through events with the community (such as the launch of the BT30 book, and community engagement events with the Wits Health Hubb in Soweto); and via media reports on science and research (our research nuggets which gain extra exposure in the broader media, and institutional communications).
Research undertaken by the CoE-HUMAN and the generated outputs are guided by the principles of equality, diversity, and inclusion (EDI), scientific rigour, and interdisciplinary research, processes, methods, and collabo rations.
We are confident that our newly formulated thematic area: socio-ecological and transformational development will enhance the reach and impact of the CoE-
An NSI that serves all
1996 WP on S&T
NACI established 1997
NRF consolidation 1999
Biotechnology Strategy 2001
National Research Development Strategy 2002
Separate department for S&T (DST), 2004
HUMAN within societal, economic, environmental and knowledge domains as elucidated by the NRF and the field of climate change and environmental sustainabil ity, education for the future and the future of society as detailed within the DSI Decadal Plan. Through our newly-articulated theme we will endeavour to enhance the research focus and outputs on socio-economic development, environmental sustainability, and a capable state – as espoused within the Plan.
NSI responds to post1994 demands
SA Research Chairs Initiative 2006
Hydrogen SA 2007
Ten-Year Innovation Plan 2008-2018
IP rights from R&D Act 2008
SANSA enacted 2008
TIA 2008
Ministerial Review of the NSI 2012
Bio-economy Strategy 2014
The CoE-HUMAN also subscribes to the philosophy of the Decadal Plan to “continue building the national system of innovation (NSI) towards greater impact on addressing South Africa’s national priorities.” Furthermore, we appreciate the critical role the CoE-HUMAN is expected to play in the management of societal grand challenges (SGCs).
As contained in the Decadal Plan:
Due to their interdisciplinary nature, addressing the SGCs requires that all NSI actors be involved. Dynamic partnerships will be critical to achieving the outcomes and impact envisaged. Knowledge produced by all the sciences – including the humanities and social sciences – must be mobilised in the development of appropriate STI interventions included under each of the SGCs.
The humanities and social sciences, in line with their role of understanding the context-specific nature of national development challenges, are necessary participants in the conceptualisation, planning, and
NSI increases focus on STI for socioeconomic development, environmental sustainability and a capable state in a rapidly changing world
WP on STI 2019
DST becomes DSI 2019
Review of NRDS & TYIP 2020
Ministerial Review of higher education, STI institutional landscape 2021
Decadal STI Implementation Plan 2021-2031
execution of innovation initiatives in the framing of the Decadal Plan The humanities and social sciences are critical for the continued redefinition and remaking of South Africa over the next decade
The Decadal Plan further highlights the importance of the humanities and social sciences (HSS) and therein, the CoE-HUMAN:
The contribution and value of HSS to our understanding of the social and cultural aspects of the world is self-evident.
Discipline-specific knowledge further complemented by interdisciplinary studies addressing SGCs.
Support for research, data collection and education and training in the HSS is especially important if we are to secure the benefits of innovation and productivity growth.
HSS are critical in highlighting the social acceptance and integration of new technologies.
There are implications, of research on and development of new technologies, for international competitiveness and long-term employment growth. Each of these issues transgresses the individual priority areas
considered in the Decadal Plan, and each involves insights from a wide variety of HSS knowledge fields.
When combined, the CoE-HUMAN had a total of 62 Service Level Agreement (SLA) and Business Plan (BP) targets for 2023 (Appendix 2). To this end, the CoEHUMAN:
Achieved 53 targets (or 85%)
8 targets are unmet (or 13%)
1 target in process (or 2%)
The table below details targets not achieved, the reasons and the plan to address going forward to ensure the target is achieved.
1
2 ≥
3 ≥ 90% Black South African students (Black = African, Coloured, Asian and
In 2022, the CoE-HUMAN received a considerable number of applications. Out of these applications, only 6 new applicants were nominated to receive funding for the 2023 academic year. Reasons for the poor acceptance rate were largely due to several applicants not meeting the eligibility criteria set by the CoE-HUMAN and NRF (1. Applicants exceeding the required age restriction limit for the year of study and 2. Proposed topic not being in line with the CoE core Research themes).
Plans will be put in place to undertake discussions with the NRF and institution to ensure alignment of student criteria to be addressed through the screening and nomination phase(s).
Although majority of the applicants were South African, only a few were eligible to receive funding due to funding requirements.
Although majority of the applicants were South Africans and were nominated to receive funding, only 8 of the applications were approved by the NRF.
4 1% of bursaries will be awarded to disabled students
Strategic plan will be implemented to engage DVCs within the CoE-HUMAN network to get more applications from disabled students.
5 CoE researchers serving on journal editorial boards = 8/9
6 CoE researchers serving on local science or policy committees = 8/9
7 CoE researchers serving on international science or policy committees = 8/9
8 COE-HUMAN to submit quarterly cashflow statements within 15 days of the end of each quarter
In 2022, we achieved the target. However, 2023 was a transition year where a new Director had to be appointed. However, this was not achieved and, in the process, several members who formed the Management Committee were lost. However, with the appointment of a new Director, commitments will be made to reconstitute a new Management Committee.
In 2022, we achieved the target. However, 2023 was a transition year where a new Director had to be appointed. However, this was not achieved and, in the process, several members who formed the Management Committee were lost. However, with the appointment of a new Director, commitments will be made to reconstitute a new Management Committee.
In 2022, we achieved the target. However, 2023 was a transition year where a new Director had to be appointed. However, this was not achieved and, in the process, several members who formed the Management Committee were lost. However, with the appointment of a new Director, commitments will be made to reconstitute a new Management Committee.
No
There was an instability in the department due to the resignation of core team members. This resulted in Finance Officers and Centre Managers being changed twice which led into disrupted work processes. Stability has been restored by creating longerterm contracts for the existing team.
Preamble:
This Service Level Agreement is linked to the Memorandum of Agreement between the NRF and the University of the Witwatersrand.
Activities related to the Current Stage:
• Research outputs
– Research outputs of students will be increased to 70+ journal article outputs in ISI- recognised journal and reporting of research outputs will indicate the roles of authors, students and collaborators.
• Networking
– The CoE is reaching out to Historically Disadvantaged Institutions to increase its grant and student support in these institutions.
– Stronger working relationships established with key stakeholders’ communications’ people (DSI, NRF, Wits Comms, Wits Alumni)
• Knowledge transfer
– The CoE shall make available to the NRF, on a quarterly basis (March, June, September and December), current “nuggets” of information for publication on the CoE website.
– While the current high level of knowledge transfer activities will be maintained, we intend to concentrate dissemination activities to 3-4 carefully selected topics per year.
• Service delivery
– CoE researchers maintain a high level of service delivery through membership of professional and disciplinary societies, editorial boards of journals, and policy committees in South Africa and abroad.
• Capacity development
– The CoE shall provide to the NRF a list of students that are being supported by the Centre by March-July of each year, using the student nomination platform on the NRF online submission system. Additional students can be appended to this list as and when they arrive.
– Student capacity development will be carried out through the outlined training workshops
– Attendance and feedback (rating) from each training workshop will be documented and presented
• Growing team spirit
– The CoE works to maintain its excellent relationships with stakeholders, CoE researchers, grantees and students.
– The CoE will work closer with the SAMRC Developmental Pathways for Health Research Unit
• Sustainability
– Exploring potential collaborators, partners and funders is ongoing, and the CoE will continue to apply for research and innovation grants to increase its leveraged funds and grow its research and innovation outputs. Leveraged funds will be a key indicator.
– A detailed short- and longer-term sustainability plan to the Steering Committee.
Financial responsibilities:
• The CoE shall present an audited set of financial statements at the March-April 2024 Steering Committee meeting reflecting the financial situation of the CoE during the previous financial year (January to December 2023).
• The CoE shall submit quarterly cash-flow statements within 15 days of the end of each quarter, indicating expenditure and commitments.
Reports due in this Stage:
• The CoE shall submit an Annual Progress Report including Gate Review Documentation by Mid-March (unless new date stipulated) to be reviewed by the CoE Steering Committee.
• The CoE shall comply to the NRF rule to submit the NRF online APR and shall meet the deadline set by the NRF (which currently is the end of March, unless a new date is set and provided that it is communicated two months in advance)
• The CoE shall submit a Statement of Compliance by no later than March 2024.
• The CoE will put out a call for postgraduates and postdoctoral fellows in March 2024 and ensure successful candidates from this call respond to the annual NRF call as part of its obligations in terms of nominations.
1. Research
• Number of peer-reviewed publications that acknowledge funding from the CoE ≥ 60 (must be ISI rated) which is increased from 2022
• Number of peer-reviewed publications, acknowledging the CoE (impact factor >5) ≥ 5
• Policy inputs or policy evaluations ≥ 2
• CoE researchers maintain or improve their NRF rating ≥ 6/9
2. Education and Training
• Total number of bursaries awarded ≥ 48 in total
• 1% of bursaries will be awarded to disabled students
• Women ≥ 55% of all students
• ≥ 95 % of all students supported will be South African
• Black South African students ≥ 90% of all SA students supported (Black = African, Coloured, Asian and Indian)
• Only up to 5% of bursaries will be awarded to international students (SADC; other African; non-African continent students)
• Post-doctoral Fellows < 15% of all bursaries awarded
• Education and training workshops, conferences, symposia ≥ 5
3. Dissemination
• Dissemination pieces (“nuggets”) ≥ 4
• CoE Events (Exhibitions, symposia, conferences etc) increased to 10
• Media coverage (print, radio, television, social media) ≥ 35
4. Networking
• Collaborative agreements in total ≥ 20
• Growing and Supporting Excellence Campaign – visit to 2 Historically Disadvantaged Universities with intention to sign 2 new Collaborative Agreements
• Number of workshops, symposia, seminars convened or funded ≥ 5
5. Service
• CoE researchers serving on journal editorial boards = 8/9
• CoE researchers serving on local science or policy committees = 8/9
• CoE researchers serving on international science or policy committees = 8/9
• Stronger working relationships established with key stakeholders’ communications’ people (DSI, NRF, Wits Comms, Wits Alumni)
• Host student training events
• The CoE will continue to strive to have a sound working relationship between the CoE host institution and the satellite institutions.
• Allocate 1 Opportunity Grant to researchers at the Nelson Mandela University
• Continuing students’ to complete online progress reports.
(1)
32 Present audited financial statements at the March-April 2024 SC reflecting financial situation of the CoE-HUMAN during the previous financial year (January-December 2023)
COE-HUMAN to submit quarterly cash-flow statements within 15 days of the end of each quarter
34 CoE-HUMAN to submit 2023 APR, no later than April 2024
35 CoE-HUMAN to comply with NRF rule to submit the NRF online APR and shall meet the deadline set by the NRF
36 CoE-HUMAN shall submit a Statement of Compliance by no later than March 2024
37 CoE-HUMAN will put out a call for postgraduates and postdoctoral fellow in March 2023 and ensure successful candidates from this call respond to the annual NRF call as part of its obligations in terms of nominations
Updated Sustainability Plan 2023-2024
Seventy-three articles published in journals (7 with impact factors of >5)
1. Anakpo, G., & Kollamparambil, U. (2023). Family structure and household well-being: Evidence from South Africa. Development Southern Africa, 40(1), 57–75. https://doi.org/1 0.1080/0376835X.2021.1954883
2. Ayeni, O. A., Joffe, M., Mapanga, W., Chen, W. C., O’Neil, D. S., Phakathi, B., Nietz, S., Buccimazza, I., Čačala, S., Stopforth, L. W., Jacobson, J. S., Crew, K. D., Neugut, A. I., Ramiah, D., Ruff, P., Cubasch, H., Chirwa, T., McCormack, V., Micklesfield, L. K., & Norris, S. A. (2023). Multimorbidity and overall survival among women with breast cancer: Results from the South African Breast Cancer and HIV Outcomes Study. Breast Cancer Research, 25(1), 7. https://doi.org/10.1186/ s13058-023-01603-w
3. Brugulat-Panés, A., Randall, L., de Sá, T. H., Anil, M., Kwan, H., Tatah, L., Woodcock, J., Hambleton, I. R., Mogo, E. R. I., Micklesfield, L., Pley, C., Govia, I., Matina, S. S., Makokha, C., Dambisya, P. M., Karim, S. A., Pujol-Busquets, G., Okop, K., Mba, C. M., … Foley, L. (2023). The Potential for Healthy, Sustainable, and Equitable Transport Systems in Africa and the Caribbean: A Mixed-Methods Systematic Review and Meta-Study. Sustainability, 15(6), 5303. https://doi.org/10.3390/su15065303
4. Cohen, E., Slemming, W., Wrottesley, S. V., Prioreschi, A., & Norris, S. A. (2023). Maternal perceptions of infant’s body weight and childhood obesity in South Africa: A qualitative study in Soweto. Children & Society, chso.12689. https://doi.org/10.1111/chso.12689
5. Craig, A., Breet, Y., Gafane-Matemane, L. F., Norris, S. A., & Kruger, R. (2023). Detecting and Managing Childhood Onset Hypertension in Africa: A Call to Action. Current Hypertension Reports. https://doi.org/10.1007/s11906-023-01247-3
6. Craig, A., Mtintsilana, A., Mapanga, W., Dlamini, S. N., & Norris, S. A. (2023). Socioeconomic position, perceived weight, lifestyle risk, and multimorbidity in young adults aged 18 to 35 years: A Multi-country Study. BMC Public Health, 23(1), 1360. https://doi.org/10.1186/s12889-023-16234-1
7. Crouch, S. H., Ware, L. J., Norris, S. A., & Schutte, A. E. (2023). Comparing a range of potassium-enriched low sodium salt substitutes to common salt: Results of taste and visual tests in South African adults. Nutrition, Metabolism and Cardiovascular Diseases, S0939475323005094. https://doi.org/10.1016/j.numecd.2023.12.015
8. Cuartas, J., McCoy, D., Sánchez, J., Behrman, J., Cappa, C., Donati, G., Heymann, J., Lu, C., Raikes, A., Rao, N., Richter, L., Stein, A., & Yoshikawa, H. (2023). Family play, reading, and other stimulation and early childhood development in five low-and-middle-income countries. Developmental Science, e13404. https://doi.org/10.1111/desc.13404
9. Daniels, N. M. (2023). Ultrasound scans as risk rituals in obstetric prenatal care in South Africa. Health, Risk & Society, 1–18. https://doi.org/10.1080/13698575.2023.2289025
10. Desmond, C., Watt, K., Naicker, S., Behrman, J., & Richter, L. (2023). Girls’ schooling is important but insufficient to promote equality for boys and girls in childhood and across the life-course. Development Policy Review, e12738. https://doi.org/10.1111/dpr.12738
11. Dlamini, S. N., Mtintsilana, A., Mapanga, W., Craig, A., & Norris, S. A. (2023). Associations between nutrition knowledge and obesity-related attitudes and physical activity among young adults from Kenya, South Africa, and the United Kingdom. South African Journal of Clinical Nutrition, 1–14. https://doi.org/10.1080/16070658.2023.2198844
12. Dlamini, S. N., Craig, A., Mtintsilana, A., Mapanga, W., Du Toit, J., Ware, L. J., & Norris, S. A. (2023). Food insecurity and coping strategies, and their association with anxiety and depression: A nationally representative South African survey. Public Health Nutrition, 1–33. https://doi.org/10.1017/ S1368980023000186
13. Draper, C. E., Motlhatlhedi, M., Mabasa, J., Headman, T., Klingberg, S., Pentecost, M., Lye, S. J., Norris, S. A., & Nyati, L. H. (2023). Navigating relationship dynamics, pregnancy and fatherhood in the Bukhali trial: A qualitative study with men in Soweto, South Africa. BMC Public Health, 23(1), 2204. https://doi.org/10.1186/s12889-023-17153-x
14. Drysdale, R. E., Tadesse, A. W., Worku, A., Berhane, H. Y., Shinde, S., Madzorera, I., Sharma, D., & Fawzi, W. W. (2023). Burden and contributing factors to overweight and obesity in young adolescents in Addis Ababa, Ethiopia. Maternal & Child Nutrition, e13479. https://doi.org/10.1111/ mcn.13479
15. Drysdale, R. E., Slemming, W., Momberg, D., Said-Mohamad, R., & Richter, L. M. (2023). Impact of COVID-19 lockdown on low birthweight in Soweto, South Africa. South African Medical Journal, 113(10), 37–41. https://doi.org/10.7196/ SAMJ.2023.v113i10.746
16. Erzse, A., Rwafa-Ponela, T., Goldstein, S., Motlhatlhedi, M., Watson, D., Hofman, K. J., Danis, M., Norris, S. A., Ward, K. A., Tugendhaft, A., on behalf of the INPreP study group, Oduro, A., Compaoré, A., Welgo, A., Fall, C., Debpuur, C., Ayibisah, D., Dambayi, E., Nonterah, E., … Ofosu, W. (2023). What values drive communities’ nutrition priorities in a resource constrained urban area in South Africa? BMC Public Health, 23(1), 873. https://doi.org/10.1186/s12889-02315761-1
17. Essack, Z., Groenewald, C., Isaacs, N., Ntini, T., Maluleka, M., Bhembe, L., Nkwanyana, S., & Strode, A. (2023). Lives versus livelihoods: South African adults’ perspectives on the alcohol ban during the COVID-19 lockdown. Journal of Substance Use, 28(3), 436–440. https://doi.org/10.1080/14659 891.2022.2060141
18. Fouksman, E., & Dawson, H. J. (2023). Redistributive politics and the temporalities of crisis: Reconfiguring social protection in a post-pandemic South Africa. Global Social Policy, 14680181231201493. https://doi.org/10.1177/14680181231201493
19. Garegnani, L., Franco, J. V. A., Escobar Liquitay, C. M., Brant, L. C. C., Lim, H. M., De Jesus Jessen, N. P., Singh, K., Ware, L. J., Labarthe, D., & Perman, G. (2023). Cardiovascular health metrics in low and middle-income countries: A scoping review. Preventive Medicine, 172, 107534. https://doi.org/10.1016/j.ypmed.2023.107534
20. Groenewald, C., Isaacs, D., & Maluleka, M. (2023). “It Doesn’t Cure, but It Protects”: COVID-19 Vaccines through the Eyes of Children and Their Parents. Vaccines, 11(8), 1305. https://doi.org/10.3390/vaccines11081305
21. Joffe, M., Ayeni, O. A., Mapanga, W., Ruff, P., Murugan, N., Cubasch, H., & Norris, S. A. (2023). Perspectives on common chronic diseases in adult cancer patients in South Africa. Global Health Action, 16(1), 2228567. https://doi.org/10.1 080/16549716.2023.2228567
22. Kim, A. W., Said Mohamed, R., Norris, S. A., Naicker, S., Richter, L. M., & Kuzawa, C. W. (2023). Childhood adversity during the post-apartheid transition and COVID -19 stress independently predict adult PTSD risk in urban S outh A frica: A biocultural analysis of the stress sensitization hypothesis. American Journal of Biological Anthropology, ajpa.24791. https://doi.org/10.1002/ajpa.24791
23. Kim, A. W., Said Mohamed, R., Norris, S. A., Richter, L. M., & Kuzawa, C. W. (2023). Psychological legacies of intergenerational trauma under South African apartheid: Prenatal stress predicts greater vulnerability to the psychological impacts of future stress exposure during late adolescence and early adulthood in Soweto, South Africa. Journal of Child Psychology and Psychiatry, 64(1), 110–124. https://doi.org/10.1111/jcpp.13672
24. Lekhuleni, F., Desai, R., Coetzee, B., Pearson, R., & Rochat, T. J. (2023). Testing the acceptability and feasibility of video observational methodology to measure parent-adolescent communication and interaction. Frontiers in Child and Adolescent Psychiatry, 2, 1122841. https://doi.org/10.3389/ frcha.2023.1122841
25. Loss, G., Naicker, S., Richter, L., & Fink, G. (2024). Early life determinants of social disparities among young adults: A longitudinal study in vulnerable communities in South Africa. World Development, 175, 106465. https://doi.org/10.1016/j.worlddev.2023.106465
26. Lu, C., Behrman, J. R., & Richter, L. M. (2023). Protecting young children from future pandemics: Getting the basics right. BMJ Paediatrics Open, 7(1), e002008. https://doi.org/10.1136/bmjpo-2023-002008
27. Madonsela, S., Ware, L. J., Scott, M., & Watermeyer, J. (2023). The development and use of adolescent mobile mental health (m-mhealth) interventions in lowand middle-income countries: A scoping review. South African Journal of Psychology, 00812463231186260. https://doi.org/10.1177/00812463231186260
28. Mahlangu, P., Sikweyiya, Y., Gibbs, A., Shai, N., & Machisa, M. (2023). “I Carry the Trauma and Can Vividly Remember”: Mental Health Impacts of theCOVID-19 Pandemic on Frontline Health Care Workers in South Africa. International Journal of Environmental Research and Public Health, 20(3), 2365. https://doi.org/10.3390/ijerph20032365
29. Mapanga, W., Craig, A., Mtintsilana, A., Dlamini, S. N., Du Toit, J., Ware, L. J., & Norris, S. A. (2023). The Effects of COVID-19 Pandemic Lockdowns on Alcohol Consumption and Tobacco Smoking Behaviour in South Africa: A National Survey. European Addiction Research, 1–14. https://doi.org/10.1159/000528484
30. Mapanga, W., Ayeni, O. A., Chen, W. C., Jacobson, J. S., Neugut, A. I., Ruff, P., Cubasch, H., O’Neil, D. S., Buccimazza, I., Čačala, S., Stopforth, L. W., Farrow, H. A., Nietz, S., Phakathi, B., Chirwa, T., McCormack, V. A., & Joffe, M. (2023). The South African breast cancer and HIV outcomes study: Profiling the cancer centres and cohort characteristics, diagnostic pathways, and treatment approaches. PLOS Global Public Health, 3(10), e0002432. https://doi.org/10.1371/journal. pgph.0002432
31. Masiakwala, E., Nyati, L. H., & Norris, S. A. (2023). The association of intrauterine and postnatal growth patterns and nutritional status with toddler body composition. BMC Pediatrics, 23(1), 342. https://doi.org/10.1186/s12887-02304155-2
32. May, A. K., Wessels, S. H., Norris, S. A., Richter, L. M., Lombard, Z., & Pitman, M. M. (2023). Early predictors of sensory processing sensitivity in members of the Birth to Twenty Plus cohort. Journal of Research in Personality, 104, 104370. https://doi.org/10.1016/j.jrp.2023.104370
33. May, A. K., & Pitman, M. M. (2023). The association between sensory processing sensitivity, the five-factor model and university adjustment amongst South African university students. Current Psychology, 42(10), 7938–7952. https://doi.org/10.1007/s12144-021-02035-5
34. Micklesfield, L. K., Munthali, R., Agongo, G., Asiki, G., Boua, P., Choma, S. S., Crowther, N. J., Fabian, J., Gómez-Olivé, F. X., Kabudula, C., Maimela, E., Mohamed, S. F., Nonterah, E. A., Raal, F. J., Sorgho, H., Tluway, F. D., Wade, A. N., Norris, S. A., & Ramsay, M. (2023). Identifying the prevalence and correlates of multimorbidity in middle-aged men and women: A cross-sectional population-based study in four African countries. BMJ Open, 13(3), e067788. https://doi.org/10.1136/bmjopen-2022-067788
35. Moodley, M. C., & Lesch, E. (2023). Closeness in father-adolescent daughter relationships: A South African study. Journal of Family Studies, 1–26. https://doi.org/10.1080/13229 400.2023.2211554
36. Momberg, D. J., Bell, R., Norris, S. A., Ngandu, C. B., Richter, L.M., Murphy-Alford, A. J., & Said-Mohamed, R. (2023). Infection, nutritional status, and body composition: Associations at birth and 6 months postnatally in Soweto,South Africa. American Journal of Human Biology, 23914. https://doi.org/10.1002/ajhb.23914
37. Mtintsilana, A., Craig, A., Mapanga, W., Dlamini, S. N., & Norris, S. A. (2023). Association between socio-economic status and non-communicable disease risk in young adults from Kenya, South Africa, and the United Kingdom. Scientific Reports, 13(1), 728. https://doi.org/10.1038/s41598023-28013-4
38. Mtintsilana, A., Norris, S. A., Dlamini, S. N., Nyati, L. H., Aronoff, D. M., Koethe, J. R., Goldstein, J. A., & Prioreschi, A. (2023). The impact of HIV and ART exposure during pregnancy on fetal growth: A prospective study in a South African cohort. BMC Pregnancy and Childbirth, 23(1), 415. https://doi.org/10.1186/s12884-023-05743-x
39. Mthethwa, S., & Wale, E. (2023). The impact of the social grants programme on household vulnerability to food insecurity in South Africa: Application of a two-stage least squares and implications. African Journal of Development Studies (Formerly AFFRIKA Journal of Politics, Economics and Society), 13(1), 241–263. https://doi.org/10.31920/26343649/2023/v13n1a12
40. Mugudamani, I., Oke, S. A., Gumede, T. P., & Senbore, S. (2023). Herbicides in Water Sources: Communicating Potential Risks to the Population of Mangaung Metropolitan Municipality, South Africa. Toxics, 11(6), 538. https://doi.org/10.3390/toxics11060538
41. Mukoma, G., Norris, S. A., & Chikowore. (2023). Nutrient Patterns and Body Mass Index: A Comparative Longitudinal Analysis in Urban Black South African Adolescents and Adults. Nutrients, 15(5), 1075; https://doi.org/10.3390/ nu15051075
42. Murphy, K., Berk, J., Muhwava-Mbabala, L., Booley, S., Harbron, J., Ware, L., Norris, S., Zarowsky, C., Lambert, E. V., & Levitt, N. S. (2023). Using the COM-B model and Behaviour Change Wheel to develop a theory and evidence-based intervention for women with gestational diabetes (IINDIAGO). BMC Public Health, 23(1), 894. https://doi.org/10.1186/ s12889-023-15586-y
43. Muti, M., Ware, L. J., Micklesfield, L. K., Ramsay, M., Agongo, G., Boua, P. R., Kisiangani, I., Cook, I., Gómez-Olivé, F. X., Crowther, N. J., Kabudula, C., Norris, S. A., & Chikowore, T. (2023). Physical Activity and Its Association With Body Mass Index: A Cross-Sectional Analysis in Middle-Aged Adults From 4 Sub-Saharan African Countries. Journal of Physical Activity and Health, 1–9. https://doi.org/10.1123/ jpah.2022-0539
44. Naidoo, S., Fabian, J., & Norris, S. (2023). Prevalence and associated risk factors for elevated blood pressure in young adults in South Africa. Cardiovascular Journal of Africa, 34(3), 31–37. https://doi.org/10.5830/CVJA-2022-036
45. Ntuli, N., & Nicolas, R. K. (2023). The categorisation of questions in the assessment of language subjects for multilingual learners in South African primary schools. South African Journal of African Languages, 43(2), 138–145. https://doi.org/10.1080/02572117.2023.2248739
46. Nyamwanza, A., Jacobs, P., & Nyezi, K. (2023). Advancing a transformative human development approach to climate resilience through local innovation in South Africa.Development Southern Africa, 1–14. https://doi.org/10.1080/0376 835X.2023.2171365
47. Nyati, L. H., Norris, S. A., Micklesfield, L. K., Adair, L. S., Fall, C., Lee, N. R., Martorell, R., Osmond, C., Richter, L. M., Sachdev, H. S., Horta, B., Stein, A. D., Lima, N. P., Goncalves, H., Goncalves C Da Silva, B., De Oliveira, P. D., Murray, J., Naicker, S., Bhargava, S. K., … Perez, T. L. (2023). Growth in Infancy and Childhood and Age at Menarche in Five Low- or Middle-Income Countries: Consortium of Health Orientated Research in Transitional Societies (COHORTS). The Journal of Nutrition, 153(9), 2736–2743. https://doi.org/10.1016/j. tjnut.2023.07.003
48. Partap, U., Tadesse, A. W., Shinde, S., Sherfi, H., Mank, I., Mwanyika-Sando, M., Sharma, D., Baernighausen, T., Drysdale, R., Worku, A., Tinkasimile, A., & Fawzi, W. W. (2023). Burden and determinants of anaemia among in-school young adolescents in Ethiopia, Sudan and Tanzania. Maternal & Child Nutrition, e13439. https://doi.org/10.1111/mcn.13439
49. Pérez-Escamilla, R., Tomori, C., Hernández-Cordero, S., Baker, P., Barros, A. J. D., Bégin, F., Chapman, D. J., Grummer-Strawn, L. M., McCoy, D., Menon, P., Ribeiro Neves, P. A., Piwoz, E., Rollins, N., Victora, C. G., & Richter, L. (2023). Breastfeeding: Crucially important, but increasingly challenged in a market-driven world. The Lancet, S0140673622019328. https://doi.org/10.1016/S0140-6736(22)01932-8
50. Poveda, N. E., Adair, L. S., Martorell, R., Patel, S. A., RamirezZea, M., Bhargava, S. K., Bechayda, S. A., Carba, D. B., Kroker-Lobos, M. F., Horta, B. L., Lima, N. P., Mazariegos, M., Menezes, A. M. B., Norris, S. A., Nyati, L. H., Richter, L. M., Sachdev, H., Wehrmeister, F. C., & Stein, A. D. (2023). Growth patterns in childhood and adolescence and adult body composition: A pooled analysis of birth cohort studies from five low and middle-income countries (COHORTS collaboration). BMJ Open, 13(3), e068427. https://doi.org/10.1136/bmjopen-2022-068427
51. Prioreschi, A., Pearson, R., Richter, L., Bennin, F., Theunissen, H., Cantrell, S. J., Maduna, D., Lawlor, D., & Norris, S. A. (2023). Protocol for the PLAY Study: A randomised controlled trial of an intervention to improve infant development by encouraging maternal self-efficacy using behavioural feedback. BMJ Open, 13(3), e064976. https://doi.org/10.1136/bmjopen-2022-064976
52. Randall, L., Brugulat-Panés, A., Woodcock, J., Ware, L. J., Pley, C., Abdool Karim, S., Micklesfield, L., Mukoma, G., Tatah, L., Dambisya, P. M., Matina, S. S., Hambleton, I., Okello, G., Assah, F., Anil, M., Kwan, H., Awinja, A. C., Pujol-Busquets Guillén, G., & Foley, L. (2023). Active travel and paratransit use in African cities: Mixed-method systematic review and meta-ethnography. Journal of Transport & Health, 28, 101558. https://doi.org/10.1016/j.jth.2022.101558
53. Rollins, N., Piwoz, E., Baker, P., Kingston, G., Mabaso, K. M., McCoy, D., Ribeiro Neves, P. A., Pérez-Escamilla, R., Richter, L., Russ, K., Sen, G., Tomori, C., Victora, C. G., Zambrano, P., & Hastings, G. (2023). Marketing of commercial milk formula: A system to capture parents, communities, science, and policy. The Lancet, S0140673622019316. https://doi.org/10.1016/S0140-6736(22)01931-6
54. Rotheram-Borus, M. J., Christodoulou, J., Rotheram-Fuller, E., & Tomlinson, M. (2023). Losses of children’s cognitive potential over time: A South African example. South African Journal of Child Health, 17(3). https://doi.org/10.7196/SAJCH.2023.v17i3.2002
55. Scott, M., Watermeyer, J., & Wessels, T. (2023). A balancing act: Non-directive communication, risk perceptions, and meeting patient needs in genetic counseling: A South African case study. Journal of Genetic Counseling, jgc4.1741. https://doi.org/10.1002/jgc4.1741
56. Senbore, S., & Oke, S. A. (2023). Urban development impact on climate variability and surface water quality in part of Mangaung metropolis of South Africa. Development Southern Africa, 40(2), 293–312. https://doi.org/10.1080/037683 5X.2021.1993794
57. Shinde, S., Noor, R. A., Mwanyika-Sando, M., Moshabela, M., Tadesse, A. W., Sherfi, H., Vandormael, A., Young, T., Tinkasimile, A., Drysdale, R., Baernighausen, T., Sharma, D., & Fawzi, W. W. (2023). Adolescent health and well-being in sub-Saharan Africa: Strengthening knowledge base and research capacity through a collaborative multi-country school-based study. Maternal & Child Nutrition, e13411. https://doi.org/10.1111/mcn.13411
58. Silubonde, T. M., Smuts, C. M., Ware, L. J., Chidumwa, G., Malan, L., & Norris, S. A. (2023). Determinants of anaemia among women of reproductive age in South Africa: A Healthy Life Trajectories Initiative (HeLTI). PLOS ONE, 18(3), e0283645. https://doi.org/10.1371/journal.pone.0283645
59. Silubonde-Moyana, T. M., Draper, C. E., & Norris, S. A. (2023). Effectiveness of behavioural interventions to influence COVID-19 outcomes: A scoping review. Preventive Medicine, 172, 107499. https://doi.org/10.1016/j. ypmed.2023.107499
60. Silubonde, T. M., Knight, L., Norris, S. A., Van Heerden, A., Goldstein, S., & Draper, C. E. (2023). Perceptions of the COVID-19 pandemic: A qualitative study with South African adults. BMC Public Health, 23(1), 684. https://doi.org/10.1186/s12889-023-15450-z
61. Soepnel, L. M., Mabetha, K., Draper, C. E., Silubonde, T. M., Smuts, C. M., Pettifor, J. M., & Norris, S. A. (2023). A Cross-Sectional Study of the Associations between Biomarkers of Vitamin D, Iron Status, and Hemoglobin in South African Women of Reproductive Age: The Healthy Life Trajectories Initiative, South Africa. Current Developments in Nutrition, 7(5), 100072. https://doi.org/10.1016/j.cdnut.2023.100072
62. Soepnel, L. M., Draper, C. E., Mabetha, K., Mogashoa, L., Mabena, G., McAuliffe, F. M., Killeen, S. L., Jacob, C. M., Hanson, M. A., & Norris, S. A. (2023). Evaluating implementation of the FIGO Nutrition Checklist for preconception and pregnancy within the Bukhali trial in Soweto, South Africa. International Journal of Gynecology & Obstetrics, 160(S1), 68–79. https://doi.org/10.1002/ijgo.14541
63. Stoutenberg, M., Crouch, S. H., McNulty, L. K., Kolkenbeck-Ruh, A., Torres, G., Gradidge, P. J. L., Ly, A., & Ware, L. J. (2023). Acceptability and feasibility of home-based hypertension and physical activity screening by community health workers in an under-resourced community in South Africa. Journal of Public Health. https://doi.org/10.1007/ s10389-023-01873-w
64. Strauss-Kruger, M., Wentzel-Viljoen, E., Ware, L. J., Van Zyl, T., Charlton, K., Ellis, S., & Schutte, A. E. (2023). Early evidence for the effectiveness of South Africa’s legislation on salt restriction in foods: The African-PREDICT study. Journal of Human Hypertension, 37(1), 42–49. https://doi.org/10.1038/s41371-021-00653-x
65. Tirivangasi, H. M., Nyahunda, L., Mabila, T., & Zingwena, T. (2023). Exploring Humanitarian response strategies in the aftermath of disasters induced by climate change in Zimbabwe. Development Southern Africa, 40(2), 313–328. https://doi.org/10.1080/0376835X.2021.2018289
66. Wang, D., Shinde, S., Drysdale, R., Vandormael, A., Tadesse, A. W., Sherfi, H., Tinkasimile, A., Mwanyika-Sando, M., Moshabela, M., Bärnighausen, T., Sharma, D., & Fawzi, W. W. (2023). Access to digital media and devices among adolescents in sub-Saharan Africa: A multicountry, school-based survey. Maternal & Child Nutrition, e13462. https://doi.org/10.1111/mcn.13462
67. Ware, L., Vermeulen, B., Maposa, I., Flood, D., Brant, L. Cc., Khandelwal, S., Singh, K., Soares, S., Jessen, N., Perman, G., Riaz, B. K., Sachdev, H. S., Allen, N. B., & Labarthe, D. R. (2023). Comparison of cardiovascular health profiles across population surveys from five high- to low-income countries. CJC Open, S2589790X23003426. https://doi.org/10.1016/j. cjco.2023.11.021
68. Ware, L., Mabetha, K., Hanson, M., Godfrey, K., TownsendWoods, K., & Norris, S. (2023). Exploring health perceptions and priorities of South African youth: Understanding what matters for health literacy interventions. Journal of Health Literacy, Online First. https://doi.org/10.22038/ jhl.2023.71473.1405
69. Watson, D., Mhlaba, M., Molelekeng, G., Chauke, T. A., Simao, S. C., Jenner, S., Ware, L. J., & Barker, M. (2023). How do we best engage young people in decision-making about their health? A scoping review of deliberative priority setting methods. International Journal for Equity in Health, 22(1), 17. https://doi.org/10.1186/s12939-022-01794-2
70. Wray, C., Kowalski, A. J., Mpondo, F., Ochaeta, L., Belleza, D., DiGirolamo, A., Waford, R., Richter, L., Lee, N., Scerif, G., Stein, A., Stein, A. D., & COHORTS. (2023). Contrasting speed and accuracy approaches to measure executive functions in three low-and middle-income countries. PLOS ONE, 18(8), e0290238. https://doi.org/10.1371/journal.pone.0290238
71. Watson, D., Mhlaba, M., Molelekeng, G., Chauke, T. A., Simao, S. C., Jenner, S., Ware, L. J., & Barker, M. (2023). How do we best engage young people in decision-making about their health? A scoping review of deliberative priority setting methods. International Journal for Equity in Health, 22(1), 17. https://doi.org/10.1186/s12939-022-01794-2
72. Wei, Y., Liu, K., Kang, L., Behrman, J. R., Richter, L. M., Stein, A., Song, Y., & Lu, C. (2023). Assessing household financial burdens for preprimary education and associated socioeconomic inequalities: A case study in China. BMJ Paediatrics Open, 7(1), e001971. https://doi.org/10.1136/bmjpo-2023-001971
73. Wessels, S. H., Macaulay, S., Norris, S. A., Richter, L. M., & May, A. K. (2023). Maternal Education Potentially Moderates the MAOA uVNTR Effects on Externalizing Behavior in Black South African Children. The Journal of Genetic Psychology, 184(2), 117–132. https://doi.org/10.1080/002213 25.2022.2134756
1. Mthethwa, S., & Wale, E. (2023). The impact of the social grants programme on household vulnerability to food insecurity in South Africa: Application of a two-stage least squares and implications. African Journal of Development Studies (Formerly AFFRIKA Journal of Politics, Economics and Society), 13(1), 241–263. https://doi.org/10.31920/26343649/2023/v13n1a12
2. Hearn, J., Aavik, K., Collinson, D. L., & Thym, A. (2023). Routledge Handbook on Men, Masculinities and Organizations: Theories, Practices and Futures of Organizing (1st ed.). Routledge. https://doi.org/10.4324/9781003193579
3. Pillay, R., Mkwananzi, S., & Moonsamy, S. (2023). Transforming Teaching and Learning Experiences for Helping Professions in Higher Education: Global Perspectives. BRILL. https://doi.org/10.1163/9789004540811
Abrief,freelyavailablechecklistcouldhelptacklenutritionalissuesinSouthAfricanwomenbeforeand duringpregnancy:TheFIGONutritionChecklist
Scopeoftheproblem
Optimalnutritioninpreconceptionandpregnancyhasthe potentialtoimprovewomen’shealth,theirpregnancy outcomes,andtoreducethenon-communicabledisease riskfortheiroffspring[1].InSouthAfrica,womenfacea combinedthreatofobesity,undernourishment,andfood insecurity.Forexample,morethanhalfofwomenare estimatedtohaveoverweightorobesity[2],whilenational data(fromthe2021NIDS-CRAMwave5)indicatedthat35% ofhouseholdsreportedrunningoutofmoneyforfoodinthe pastmonth[3].
TheInternationalFederationofGynecologyandObstetrics (FIGO)NutritionChecklist[4]wasdevelopedin2015,asan easy-to-use,freelyavailable,andcross-culturallyapplicable tool.Thechecklisthelpstoidentifynutritionalissuesbefore, during,orafterpregnancy,facilitatingconversationson dietaryhealthbetweenwomenandtheirhealthcare providers.Theuseofthechecklisthadnotbeenassessedin SouthAfrica.Therefore,astudysupportedbytheDSI-NRF CentreofExcellenceinHumanDevelopmentaimedto:
i)Evaluatedataonat-riskdietarypracticesyieldedbythe FIGONutritionChecklistamongstwomeninSoweto beforeandduringpregnancy;
ii)Evaluatetheacceptability,usability,andperceived benefitsofthechecklistfromtheperspectiveofa dietitianandparticipants;and
iii)Explorethecontextualfactorsforusingthechecklistasa toolfordietaryadvice.
Methodology
Thestudydrewonbothquantitativeandqualitativedata fromthe Bukhali preconceptiontrial[5],whichispartofthe HealthyLifeTrajectoriesInitiativeinSouthAfrica. Participants(n=387)were18–28-year-oldwomenwith overweightorobesitywhoattendedadietarycounselling sessionaspartofthe Bukhali intervention,betweenJuly 2021andMay2022.Duringthissession,theFIGONutrition Checklistwasadministered.Thechecklistallowsforthe identificationof“at-riskdietarypractices”(suchasnot eating2ormoreportionsoffruitorvegetablesperday),
usingsix“yesorno”dietaryqualityquestions.Qualitative datawascollectedusingindividualin-depthinterviewswith thedietitianandasubgroupof15participants.
Keyfindings
Thestudyfoundthat97.4%(n=377)ofparticipantshadat leastoneat-riskdietarypractice.Additionally,amajorityof
participantsdidnotmeetrecommendationsaroundfood groupsimportantformaternalhealth,includingfruitand vegetable,fish,dairy,andwholegrainconsumption.The oddsofbeingfoodinsecurewere1.87timeshigherin womenwithahigh-riskdiet(3ormoreat-riskdietary practices).
Distributionofnumberofsuboptimaldietarypractices
ThedietitianandtheparticipantsfoundtheFIGONutrition Checklisttobelargelyacceptableandeasytousewhen integratedintothedietarycounsellingsession.Thedietitian notedthatsomeadaptationswererequiredforuseina
SouthAfricansetting,suchastranslationandexplanationof foodgroups.Accordingtoparticipants,thechecklisthelped toprovidepersonalisedadviceandincreasedparticipant awarenessoftheirowndietaryintake.
Acceptability Usabilityand adaptations Perceivedbenefits
DIETITIAN
“Iabsolutelyloveit[theFIGONutrition checklist]yougetabiggerpicturewithmore varietyofwhattheparticipantseat.” “Itisniceandshort.”
“Apartfromthedairyandtheothers,and obviouslythewholegrains,everythingelse isquitestraightforwardforthe participants.”
“Itallowsthatbitofengagementtoactually gointo,doyouknowwhyIaskedyouall thesequestionsaboutallthesedifferent fooditems,doyourealizethateverysingle oneofthesefoodsareinyourdietfora healthylifestyle.”
PARTICIPANTS
“IfeelthatwhenIspeakup,Iwillget help,likeIdid.So,itwaseasyandshe madeiteasyalso,because...shewas notjudgmentalyouknow.” (ID113)
“Thequestionswerestraightandsimple.” (IDI4)
“Itwasokaybecausesheaskedthe questionsinawaythatshemadesure thatIunderstoodthem.”(IDI2)
“Whensheaskedmethat,Igetapicture ofwhatdoIreallyeat?Andisthatgood oristhatbad?”(IDI13)
References
[1]StephensonJ,HeslehurstN,HallJ,etal.Beforethebeginning:nutritionand lifestyleinthepreconceptionperiodanditsimportanceforfuturehealth. Lancet2018;391:1830–41.
[2]SouthAfricanNationalDepartmentofHealth,SouthAfricanMedical ResearchCouncil,ICF.SouthAfricaDemographicandHealthSurvery2016. Pretoria:2019.
[3]vanderBergS,PatelL,BridgmanG.FoodinsecurityinSouthAfrica: EvidencefromNIDS-CRAMwave5.CapeTown,SouthAfrica:2021.
[4]HansonMA,McAuliffeFM,LouiseKilleenS,MariaJacobC,HodM.New guidelines,positionpaper,andinsightsfromtheFIGOPregnancyObesityand NutritionInitiative(PONI).IntJGynecolObstet2020;151:1–3.
[5]NorrisSA,DraperCE,PrioreschiA,etal.Buildingknowledge,optimising physicalandmentalhealthandsettinguphealthierlifetrajectoriesinSouth Africanwomen(Bukhali):apreconceptionrandomisedcontroltrialpartofthe HealthyLifeTrajectoriesInitiative(HeLTI).BMJOpen2022;12:e059914.
Thestudyidentifiedanumberoffactorsthatmayimpact theuseofthechecklistasatoolforbehaviourchange adviceinthisurbanSouthAfricancontext,includingfood insecurity,limiteddiet-relatedhealthliteracy,bodyimage ideals,and(lackof)socialsupport.
Thehighprevalenceofat-riskdietarypracticesinthisstudy emphasisestheneedforeffortstoimprovenutritionin SouthAfricanwomenofreproductiveage.Thesimplicity andfreeavailabilityoftheFIGONutritionChecklistunderlie itspotentialforuseacrossglobalsettings.Thispotentialis furthersupportedbyourfindingsofacceptability,reported benefits,andeaseofimplementationbyadietitianina SouthAfricansetting,bothduringpreconceptionand pregnancy.However,theuseofthechecklistacrossvarious healthcareandcommunitysettingsrequiresfurther research.Itiscriticalthatsuchresearchconsiderscontextrelatedstructural,cultural,andsocialfactors,suchasfood insecurity.
EvaluatingimplementationoftheFIGONutritionChecklist forpreconceptionandpregnancywithintheBukhalitrial inSoweto,SouthAfrica
LarskeMSoepnel1,2,CatherineEDraper1,KhuthalaMabetha1, LethaboMogashoa1,GugulethuMabena1,FionnualaM McAuliffe3,SarahLouiseKilleen3,ChandniMariaJacob4,5, MarkHanson4,5,ShaneANorris1,4
Affiliations
¹SAMRC/WitsDevelopmentalPathwaysforHealthResearchUnit, DepartmentofPaediatrics,FacultyofHealthSciences,Schoolof ClinicalMedicine,UniversityoftheWitwatersrand,Johannesburg, SouthAfrica.
²JuliusGlobalHealth,JuliusCenterforHealthSciencesand PrimaryCare,UniversityMedicalCenterUtrecht,Utrecht University,Utrecht,TheNetherlands.
³UCDPerinatalResearchCentre,SchoolofMedicine,University CollegeDublin,NationalMaternityHospital,Dublin,Ireland 4 SchoolofHealthandHumanDevelopment,Universityof Southampton,Southampton,UK.
⁵NIHRSouthamptonBiomedicalResearchCentre,University HospitalSouthampton,Southampton,UK
Fundinginformation:
ThestudywasfundedbytheSAMRCMedicalResearchCounciland theCanadianInstitutesofHealthResearch.SAN,LMS,andKMare supportedbytheDSI-NRFCentreofExcellenceinHuman DevelopmentattheUniversityoftheWitwatersrand,Johannesburg, SouthAfrica.
1stFloor,SchoolofPublicHealth, UniversityoftheWitwatersrand YorkRoad,Parktown, Johannesburg2193, SouthAfrica
Director:ProfShaneNorris www.facebook.com/CoEHuman twitter.com/CoEHuman www.wits.ac.za/coe-human
Aninvestigationintotheself-reportedchangesinalcoholconsumptionandtobaccosmoking behaviourinanationallyrepresentativepopulationaftertotalalcoholandtobaccosalerestrictions wereimplementedduringSouthAfrica’sCOVID-19lockdowns
TowardstheendofMarch2020,theSouthAfrican governmentstartedimplementingnationallockdownsto slowdownandcontainthespreadofCOVID-19acrossthe country.Thesenationallockdownsincludedtravelbans withinandacrosstheprovinces,closuresofschools, universities,non-essentialbusinesses(tourism,restaurants, sportingevents,concerts),aswellassocialcontactsamong otherrestrictions.TheSAgovernmentalsointroducedtotal alcoholandtobaccosalerestrictionsuntiltheendofAugust 2020,whencontrolledandcoordinatedsaleswere permittedMondaytoThursday.
InSouthAfrica,33%ofadultsconsumealcoholwith43%of thesebingedrinking.Excessivealcoholconsumptionis associatedwiththeburdenofinfectiousdiseases,noncommunicablediseases,injuryandtrauma,andpoor maternalandchildhealth.Alcoholandtobaccosale restrictionswereimplementedtolimitsocialgatheringsas wellasrelievehospitalsofalcohol-relatedtraumacases. Furthermore,tobaccorestrictionswerealsoimplementedto preventthespreadofCOVID-19viacigarettesharingand reducethenumberofseverecasesofCOVID-19among tobaccousers.
Therefore,weaimedtoinvestigatetheself-reported changesinalcoholconsumptionandtobaccosmoking behaviourinanationallyrepresentativepopulation 14monthsaftertotalalcoholandtobaccosalerestrictions
beforetheOmicronCOVID-19wave4andwhileSAwasina low-levellockdown.
Weaimedtoanswerthefollowingresearchquestions:What weretheself-reportedchangesinalcoholconsumptionand tobaccosmokingbehaviouramongSouthAfricanadults 14monthsafterCOVID-19alcoholandtobaccosale restrictions?Furthermore,whatwerethechangesinalcohol consumptionandtobaccosmokingbehaviourwhichwere relatedtoeducationallevel,employment,andwealthstatus amongotherfactors?Ourresultsarediscussedinthe contextanddifferencesbetweenSAandEuropetodraw parallelsbetweenthetwo.
Amongthosethatdrankalcohol(33.2%),31.4%were classifiedashavingadrinkingproblemthatcouldbe hazardousorharmfuland18.9%hadseverealcoholuse disorderduringtheCOVID-19lockdowns.
Twenty-twopercent(22.0%)ofthosethatreportedalcohol consumptionreportedthattheCOVID-19pandemic lockdownschangedtheiralcoholconsumptionhabits,with 38.1%reportingadecreasedintakeorquittingaltogether.
Amongtheoneinfiverespondents(19.2%)whohadever smoked,mostreportedsmokingatthetimeofthesurvey (82.6%)withmanyclassifiedaslightsmokers(87.8%; ≤10cigarettes/day).
Almostathird(27.2%)ofthosesmokingreportedthatthe COVID-19pandemiclockdownshadchangedtheiruseof tobaccoproductsorvaping,with60.0%reportinga reduction/quittingtobaccouse.Giventhatsaleswere restrictedthisindicatesthatpeoplecouldstillgetholdof tobaccoproducts.
Proportionsofmoderate-severealcoholusebyProvince
Heavysmokingwasassociatedwitholderage(p=0.02), thoseclassifiedaswealthy(p<0.001),thosewhostartedor increasedtobaccosmokingduringthepandemiclockdowns (p=0.01),andresidentialprovinces(p=0.04).
ProportionsofheavysmokingbyProvince
Figure1.Proportionsofmoderate-severealcoholuseandheavysmokingbyprovince
DespiterestrictionsonthesaleofalcoholandtobaccoinSA between27MarchandAugust17,2020,duringtheCOVID-19 pandemic,asimilarproportionofrespondentsreportedthe useofbothsubstances14monthsaftersalerestrictions werelifted.
Theoveralldeclineinalcoholconsumptionandtobaccouse mightsuggestthattheregulatoryrestrictivestrategieson saleshadsomeeffectonthereportedchangesbutmaybe inadequate,especiallyduringtimeswhenindividualsare likelytoexperiencehigh-stresslevels.
Therefore,encouragingandpromotingpeopletoadopt positivehealthylifestylessuchasphysicalactivitiesand reducingalcoholconsumption,andquittingsmokingmight havealong-lastingeffectthanrestrictionsonsales.
Theresultsofthisstudyshouldencouragethegovernment tocarryouttargetedhealthpromotionandeducation towardreductioninalcoholconsumptionandsmoking cessation.
Thesetargetedhealthpromotionsandeducationcampaigns (whichcanbeuniversal)canbeprovidedthroughthemedia onplatformssuchasnationaltelevisionchannels,radios, andsocialmedia(Twitter,Instagram,andFacebook).
Reference:
TheEffectsofCOVID-19PandemicLockdownsonAlcohol ConsumptionandTobaccoSmokingBehaviourinSouth Africa:ANationalSurvey
WitnessMapanga12,AshleighCraig1 ,AsandaMtintsilana1 , SiphiweNDlamini1 ,JustinDuToit3 ,LisaJWare3,ShaneA
Norris134
Affiliations
¹SAMRC/WitsDevelopmentalPathwaystoHealthResearchUnit, DepartmentofPaediatrics,FacultyoftheHealthSciences,Universityof theWitwatersrand,Johannesburg,SouthAfrica.
²StrengtheningOncologyServicesResearchUnit,FacultyofHealth Sciences,UniversityoftheWitwatersrand,Johannesburg,SouthAfrica.
³DSI-NRFCentreofExcellenceinHumanDevelopment,Universityofthe Witwatersrand,Johannesburg,SouthAfrica.
⁴GlobalHealthResearchInstitute,SchoolofHumanDevelopmentand Health,UniversityofSouthampton,Southampton,UK.
Correspondingauthoremail: witness.mapanga@wits.ac.za
Director:ProfShaneNorris www.facebook.com/CoEHuman twitter.com/CoEHuman www.wits.ac.za/coe-human
While the country was on national lockdown, healthcare workers (HCWs) bore a heavy burden during the COVID-19 crisis and directly experienced its consequences in the fight to contain the virus.
Coronavirus disease (COVID-2019) was first reported in Wuhan, China, in 2019, which then quickly spread throughout the world to become the fifth pandemic since the 1918 flu pandemic. Just two years after COVID-19 was discovered, there had been nearly 200 million confirmed cases by September 2021, and had claimed over 4.6 million lives worldwide.
On the 5th of March 2020, former minister of health Zweli Mkhize, confirmed that the virus has spread to South Africa. This prompted South African President Cyril Ramaphosa to declare a national state of disaster on the 15th of March 2020, and on 23 March 2020, he announced that South Africa will go into a 21- day lockdown from 27 March - 30 April 2020, to curb the spread of the virus.
The most recent COVID-19 statistics in South Africa, from 3 January 2020 to 02 August 2023, is 4,076,463 confirmed positive cases, with 102,595 deaths.
While the country was on national lockdown, healthcare workers (HCWs) bore a heavy burden during the COVID-19 crisis and directly experienced its consequences in the fight to contain the virus. Mahlangu et al. (2023) conducted
qualitative research on 44 frontline healthcare workers providing health care services to COVID-19 patients during the first wave of the pandemic (7 June - 22 August 2020) in seven South African hospitals and clinics to further investigate the mental health impacts of COVID-19. Based on their availability and willingness to participate, the study was conducted among HCWs in two provinces: Gauteng (two hospitals and two clinics) and Eastern Cape (two hospitals and one clinic). The majority of the 44 FLHCWs recruited were female (35), 30 were nurses, and 33 were based in hospitals.
The study found that frontline healthcare workers (FHCWs) reported having poor mental health during the initial COVID19 South Africa wave. Some lamented, for instance, how stressful and mentally draining it was to care for and see the passing of so many patients—young and old—in such a short period of time. Due to exposure to a significant number of patients' and colleagues' fatalities during the COVID-19 outbreak, they were worried not only about their own lives but also the lives of their families. Some mentioned that they had to isolate from family and friends
Table 1. Health care workers demographic characteristics (N = 44).
* Care services includes non-medical HCWs such as cleaners, those who were bathing patients and changing linen, and kitchen staff providing food all of whom had direct contact with COVID-19 patients while rendering the service.
to protect and minimize risk of exposure to COVID-19, in case they are infected with the virus, while some said they had small children and would often wonder what would happen to them if they died, which added to their stress.
Similar studies have been made in other countries revealing greater levels of stress, anxiety, and depression among FHCWs during the COVID19 epidemic. These stress levels were further heightened by working long hours in a setting with insufficient personal protective equipment (PPE), occasionally with limited staff, treating a complex virus that was rapidly altering patient conditions, and constantly changing treatment protocols that added uncertainty. Some said that there wasn’t enough ICU staff and that patients died not from the virus, but from a lack of care. Because they were understaffed, they couldn't care for everyone, which made them feel like they weren't doing enough for the patients.
The study showed that many FHCWs in South Africa perceived the first wave of the COVID-19 outbreak as stressful and traumatic, and that it had a negative impact on their physical and emotional well-being.
www.wits.ac.za/coe-human
In their conclusion, the authors emphasize the importance of protecting HCWs' mental health and providing assistance as needed. Poor mental health can impair day-to-day functionality and have a negative impact on patient care if it is not prioritized.
Reference:
“I Carry the Trauma and Can Vividly Remember”: Mental Health Impacts of the COVID-19 Pandemic on Frontline Health Care Workers in South Africa.
Pinky Mahlangu1,2, Yandisa Sikweyiya1,2, Andrew Gibbs1,3,4,5, Nwabisa Shai1,2 and Mercilene Machisa1,2
Affiliations
¹ Gender and Health Research Unit, South African Medical Research Council, Pretoria 0001, South Africa.
² Faculty of Health Sciences, School of Public Health, University of Witwatersrand, Johannesburg 2193, South
³ Department of Psychology, Faculty of Health and Life Sciences, University of Exeter, Exeter EX2 4QG, UK.
⁴ Institute of Global Health, University College London, London WC1E 6BT, UK.
⁵ Centre for Rural Health, University of KwaZulu-Natal, Durban 4041, South Africa.
Corresponding author email: pinky.mahlangu@gmail.com
1st
Director: Prof Shane Norris
www.facebook.com/CoEHuman
twitter.com/CoEHuman
Community health workers (CHWs) play a vital role in the infrastructure of healthcare services in many countries, but little is known about how they can help reduce the challenges faced in preventing and managing noncommunicable diseases, such as hypertension, in underprivileged communities.
Over the years, there has been an increase in noncommunicable diseases (NCDs), such as hypertension, defined as a resting systolic or diastolic blood pressure (BP) of ≥140 mmHg and ≥90 mmHg, respectively, and/or the use of BP medication. Contemporary screening practices for BP in South Africa are confronted with a myriad of challenges encompassing a lack of public awareness and knowledge regarding hypertension, restricted healthcare accessibility in underserved regions, inconsistent and insufficient screening programs, inadequacies of public healthcare facilities, suboptimal patient follow-up, and lack of medication adherence.
Community health workers (CHWs) play a vital role in the infrastructure of healthcare services in many countries. They augment healthcare resources where scarce, improve access to essential services in marginalized communities, and facilitate task shifting to alleviate the burden on strained health systems. However, little is known about how CHWs can help reduce the challenges faced in preventing and managing NCDs in underprivileged communities. A recent project in South Africa demonstrated that CHWs reduce the strain on overburdened healthcare systems by
helping individuals manage their NCDs by conducting community outreach, screening for illnesses, and referring at-risk people to health services.
The current project involved CHWs conducting home visits with community members to screen for high BP and referring at-risk individuals to health clinics to help them manage their NCDs. Our work assessed community members' willingness and receptiveness towards CHWs conducting home-based health screening.
This study was conducted in September 2021 in Soweto, South Africa. CHWs visited the homes of 173 people to conduct health screenings. After obtaining community member consent, the screening began with assessing their BP, followed by completing a health questionnaire that asked community members about their medical history, as well as their lifestyle habits related to physical activity, tobacco, and alcohol use.
At the completion of the health screening, community members were asked to complete a satisfaction survey
regarding their experience with the CHWs and the home visit and were asked if they could be re-contacted in the near future. Individuals who provided their consent were contacted within three days to take part in a semistructured, follow-up interview to assess their feelings about the CHW-led health screening assessment.
Findings of the study
Post-health screening satisfaction surveys were conducted with 135 individuals (56 men and 79 women) between the ages of 18 and 83 years. Nearly all (97%) participants reported that the information presented by the CHWs was very easy to understand and they would be ‘likely’ or ‘very likely’ to ask for a home visit again if it were available (93%). Prior to the home visits, participants reported feeling moderately good about their health (median score =50/100), which significantly increased to 88 at the end of the visit.
Four main themes emerged from the semi-structured interviews regarding participant feelings about the CHW home visits: 1) their receptivity to the home visits, 2)receptivity to advice, 3) their experiences with checking BP, and 4) receptivity to physical activity.
Receptivity to the home visits
Initially, community members were reluctant towards the CHWs home visits due to their reliance on local clinics. After CHWs explained the purpose of their visit, community members felt comfortable and appreciated the knowledgeable CHWs during the visits.
Receptivity to advice
Community members valued the health advice from CHWs, learning how to measure their BP, receiving dietary guidance, and physical activity counselling. They felt empowered, motivated, and gave no negative feedback.
Experiences with checking blood pressure
When recalling their experience during the BP screening, community members recalled being instructed by CHWs to remain calm to ensure accurate measurements. Participants remembered being informed of their elevated readings, increasing their health awareness. Overall, they expressed satisfaction with the experience and found the communication with CHWs clear and comprehensible.
www.wits.ac.za/coe-human
Receptivity to physical activity advice
Community members responded positively to the advice on their physical activity. The elderly favoured incorporating low-intensity activities, like walking and stretching, into their daily routines, while the younger individuals sought advice on exercise for weight loss.
While efforts are being made to improve primary healthcare in South Africa, numerous challenges, such as a lack of resources, shortage of trained personnel, and leadership issues hinder these efforts. Given community member satisfaction with the CHW-led home visits during the COVID-19 pandemic and the feasibility of reaching large number of individuals, there is great potential to engage CHWs in making healthcare services more widely available and increase reach, particularly in low-resource communities to prevent and manage NCDs.
Reference:
Acceptability and feasibility of home-based hypertension and physical activity screening by community health workers in an under-resourced community in South Africa
Mark Stoutenberg1,2, Simone H. Crouch³, Lia K. McNulty¹, Andrea Kolkenbeck-Ruh³,⁴, Georgia Torres², Philippe J. L. Gradidge², Andy Ly1 & Lisa J. Ware³,⁵
Affiliations
¹ Department of Kinesiology, College of Public Health, Temple University, 237 Pearson Hall, 1800 North Broad, Philadelphia, Pennsylvania, 19122, USA
² Centre for Exercise Science and Sports Medicine, School of Therapeutic Sciences, Faculty of Health Sciences, University of the Witwatersrand, Wits Education Campus, 27 St. Andrews Road, Parktown, Gauteng, 2193, South Africa
³ SA MRC/Wits Developmental Pathways for Health Research Unit (DPHRU), School of Clinical Medicine, Faculty of Health Sciences, University of the Witwatersrand, Corner College and Clinic Road, Chris Hani Baragwanath Academic Hospital, Soweto, 1864, South Africa
⁴ Cardiovascular Pathophysiology and Genomics Research Unit, School of Physiology, Faculty of Health Sciences, University of the Witwatersrand, 7York Road, Johannesburg, 2193, South Africa
⁵ DSI-NRF Centre of Excellence in Human Development, University of the Witwatersrand, Wits Education Campus, 27 St. Andrews Road, Parktown, Gauteng, 2193, South Africa
Corresponding authors: mark.stoutenberg@temple.edu / lisa.ware@wits.ac.za
Funding information: Open access funding is provided by the University of the Witwatersrand. The Wits Health Hubb is supported by the Development Bank of Southern Africa through a partnership between Wits Health Consortium (University of the Witwatersrand) and Amandla Ku Lutsha and a grant from the DSI-NRF Centre for Excellence in Human Development [STRATGNT2023-01]. The content is solely the responsibility of the authors and does not reflect the views of the CoE in Human Development.
Director: Prof Shane Norris
www.facebook.com/CoEHuman
twitter.com/CoEHuman
The responsibilities and demands of parenting, lack of knowledge about child development and social support for pregnant and parenting adolescent girls and young women are associated with high stress, depression, and anxiety.
Adolescent pregnancy is a significant global public health problem in high, middle-and low-income countries. Adolescent pregnancies are more likely to occur in marginalized communities, with social difficulties commonly driven by a lack of education, employment opportunities, and poverty. Approximately 16 million girls aged 15 to 19 and 2 million girls under 15 give birth yearly, accounting for 11% of births worldwide. In developing countries, 12 million girls aged 15–19 years and at least 777,000 girls under 15 years give birth yearly. Adolescent mothers aged 17 years and younger in South Africa (SA) accounted for approximately 33 899 births in 2020.
It cannot be overlooked that these adolescent girls are still in the developing stage. Therefore, early pregnancy and motherhood force many adolescent girls to prematurely take on an adult role, which they are not emotionally or physically prepared for. The responsibilities and demands of parenting, lack of knowledge about child development and social support for pregnant and parenting adolescent girls and young women are associated with high stress, depression, and anxiety. In addition, the rate of depression in adolescent mothers is estimated to be between 16% and 44%, and the rate of depression among non-pregnant
adolescents and adult women ranges between 5% and 20%. Furthermore, the literature revealed a gap in mental health service use among pregnant and parenting adolescent girls and young women. Therefore, this suggests that pregnant and parenting adolescents face substantial barriers to accessing mental health services to meet their needs. Hence, this review aims to identify the gaps in addressing mental health needs among adolescent mothers in SA.
Challenges phased by teenagers included the following: Health care facilities. There is still a lack of maternal and mental health services tailored to meet adolescents’ unique needs. This has been associated with unfriendly adolescent services experienced in public health institutions, lack of confidentiality by healthcare workers and judgmental healthcare workers’ attitudes.
Legislature:
Even though these are in place, the literature reveals that challenges play a role in the mental well-being of pregnant and parenting adolescents, including the lack of legal and cultural protection, the denial of fundamental human rights, and the lack of comprehensive sexuality education.
Initial search with no exclusion n = 1860000
Articles excluded n = 92
Articles included in the review n = 42
20 years timeline search n = 74300
Socio-economic:
Articles added from manual reference list search n = 42
Articles selected based on title n = 122 Total number of articles reviewed n = 30
Lack of emotional support from family and partners and financial insecurities plays a role. Additionally, they often experience the absence of social support from home and the community they live in, leaving them feeling all alone and isolated. Psychosocial challenges such as denial of the pregnancy, regrets, lack of birth preparedness, unplanned pregnancies, being pregnant and HIV positive at a young age, and violence were found to contribute to poor mental health and pregnancy outcomes in adolescents. Consequently, these factors have been identified to drive pregnant and parenting adolescent girls and young women towards substance abuse as a coping mechanism, which often leads to poor parenting outcomes.
Recommendations:
The study recommended that an educational program be developed to assist in combating mental health to improve adolescents' psychosocial well-being during early motherhood. The study also showed an urgent need to adapt and design new psychosocial interventions that can be pilot-tested and scaled with pregnant and parenting adolescent girls and young women and their extended networks, particularly in LMICs. Development of digital health programs such as mom connect and integration of
mental health services amongst schools, clinics, and other relevant community development to support pregnant and parenting adolescent girls and young women are needed.
Reference:
Mental health needs among pregnant and parenting adolescent girls and young women in South Africa: A scoping review
Linneth N. Mabila1*, Livhuwani Muthelo2, Masenyani O. Mbombi2, Peter M. Mphekgwana3, Reneilwe G. Mashaba4, Cairo B. Ntimana4, Kagiso P. Seakamela4, Joseph Tlouyamma5, Inos Dhau6, Rathani
Nemuramba4, Katlego Mothapo4 and Eric Maimela7
Affiliations
¹ Department of Pharmacy, Faculty of Health Sciences, Polokwane, South Africa
² Department of Nursing Science, University of Limpopo, Polokwane, South Africa
³ Research Administration and Development, University of Limpopo, Polokwane, South Africa
⁴ DIMAMO Population Health Research Centre, University of Limpopo, Polokwane, South Africa 5. Department of Computer Science, University of Limpopo, Polokwane, South Africa; Department of
⁵ Geography and Environmental Studies, University of Limpopo, Polokwane, South Africa
⁶ Department of Public Health, University of Limpopo, Polokwane, South Africa
Corresponding author email: nkateko.mabila@ul.ac.za
Director: Prof Shane Norris www.facebook.com/CoEHuman twitter.com/CoEHuman www.wits.ac.za/coe-human
The prevalence of obesity among young adults in both high-income countries (HICs) and low- and middle-income countries (LMICs) has reached epidemic proportions, which further leads to an increase in multimorbidity.
Multimorbidity is defined as the co-occurrence of multiple health conditions and has been associated with poorer health outcomes and the increased use of health- and social-care services with associated costs. The prevalence of multimorbidity in the general population is high, but even higher in obese when compared to non-obese individuals. As multimorbidity-risk is established early in life, reducing modifiable risk factors in young adulthood in essence, proves among the best efforts to reduce the burden of multimorbidity in later life. No consensus has been reached on whether perceptions of being overweight or underweight foster or discourage healthy lifestyle behaviours and whether these perceptions relate to adverse health outcomes.
This cross-sectional study included 3 000 participants from Kenya, South Africa (SA), and the United Kingdom (UK) (n = 1000 and 50% females per country). The sample was targeted to be nationally representative of each country's 18-to-35-year-olds who had internet access.
Although the socioeconomic position (SEP) of SA and the UK were comparable, respondents from both countries presented with a significantly higher number of resources than Kenyan respondents. The overall sum of morbidities (cumulative morbidities experienced) did not differ between the countries. Introspectively, several morbidities significantly differed across the countries and between sexes. With regards to lifestyle risk factors, SA reported the highest prevalence of smoking (36.9%) and alcohol consumption (71.5%) yet, reported the most physically active (63.7%) respondents (MVPA >60min/day). Comparing the lifestyle risk scores across the countries showed that both the UK and SA had significantly higher scores when compared to Kenya (both mean scores ≥1.55). More specially, men from both the UK and SA had higher lifestyle risk scores when compared to their female counterparts.
When comparing those stratified in the weight perception groups, the overall sum of morbidities significantly differed across the weight perception groups, with the highest mean
morbidity score, reported in the overweight perception group. Within the overweight perception group, selfreported morbidities such as obesity (49.6%) and asthma/ lung disease (15.7%) were significantly higher in this group, while mental health risk (29.4%) and joint disease (10.0%) reported lower in this group.
Associations of weight perceptions, health outcomes, and socio-demographics
We determined that, when compared to respondents with a normal weight perception, respondents with an overweight
weight perception were multiple times more likely to present with multimorbidity of 2 morbidities compared to their 0-1 morbidity counterparts (Figure 1). Additionally, our results showed that the likelihood of having a harsher degree of multimorbidity with 3 or more morbidities increased by more than 1.5 times with an underweight weight perception and by more than 3.5 times with an overweight weight perception with each unit increase in weight perceptions, when compared to those with a normal weight perception.
Structural model analyses
These results show that overweight weight perception partially mediates the association between SEP and multimorbidity of 2 or more morbidities (Figure 2).
Figure 1. Multivariable adjusted multinomial logistic regressions to determine the odds ratio (OR) of multimorbidity [A) 2 morbidities and B) ≥3 morbidities] with weight perceptions as an independent predictor. Abbreviations: n – number of participants; SEP –socioeconomic position. Reference variables in the model include: 0-1 Morbidity, normal weight perception, United Kingdom, 18-25 years of age and male sex. *Bold values denote statistical significance (p<0.05).
Furthermore, being overweight/obese additionally partially mediates the association between perceived weight and multimorbidity of 2 or more morbidities.
Conclusion
This study confirmed poorer health outcomes in those who perceived themselves as overweight. The findings from this study further emphasise the importance of targeted intervention strategies aimed at increasing weight-related awareness and moderating risk factors, specifically in those who reside in lower economically developed countries.
Reference:
Figure 2. Structural equation model for SEP, weight perceptions, multimorbidity, lifestyle risk and overweight/ obesity. Abbreviations: SEP – socioeconomic position.
* p<0.05; ** p≤0.001
Socioeconomic position, perceived weight, lifestyle risk and multimorbidity in young adults aged 18 to 35 years: A Multi-Country Study
Ashleigh Craig¹, Asanda Mtintsilana¹,², Witness Mapanga¹,³, Siphiwe N. Dlamini¹,⁴ & Shane A. Norris¹,⁵
Affiliations
¹ SAMRC/Wits 1SAMRC/Wits Developmental Pathways for Health Research Unit, Faculty of Health Sciences, University of the Witwatersrand, Johannesburg, South Africa
² DSI-NRF Centre of Excellence in Human Development, Faculty of Health Sciences, University of Witwatersrand, Johannesburg, South Africa
³ Noncommunicable Disease Research Division, Wits Health Consortium (PTY) Ltd, Johannesburg, South Africa
⁴ School of Physiology, Faculty of Health Sciences, University of Witwatersrand, Johannesburg, South Africa
⁵ School of Human Development and Health, Global Health Research Institute, University of Southampton, Southampton, UK
Corresponding author email: ashleigh.craig@wits.ac.za
1st Floor, School of Public Health, University of the Witwatersrand York Road, Parktown, Johannesburg 2193, South Africa
Director: Prof Shane Norris www.facebook.com/CoEHuman twitter.com/CoEHuman www.wits.ac.za/coe-human
Research also highlights the urgent need for stronger maternity protections for all women.
Breastfeeding provides immense benefits to babies and young children. It helps children survive and develop to their full potential, providing essential energy and nutrients, reducing infection risks for diarrhoea and pneumonia in childhood and lowering rates of obesity and chronic diseases in later life. Yet, globally, only around 1 in 2 newborns are put to the breast within the first hour of life, while fewer than half of infants under 6 months are
exclusively breastfed, as per WHO recommendations. Based on the latest South African Demographic Health Survey (SADHS 2016), South Africa is behind in meeting the target to improve the exclusive breastfeeding rate, with only 32% of children under 6 months breastfed exclusively. The global target for exclusive breastfeeding for infants under 6 months is 50% by 2025.
Baby formula companies use nefarious and exploitative methods to create an artificial demand for their products, thereby undermining breastfeeding. This is amongst the findings of the 2023 Lancet Series on Breastfeeding, which comprises three papers, launched in London on 8 February 2023. The local launch was held in in Cape Town on 10 February 2023.
The Series interrogates baby formula companies’ exploitative marketing playbook and the commercial formula lobby. It highlights the economic and political power of the dominant formula companies and the public policy failures that result in millions of women not breastfeeding as recommended.
In a novel analysis, the Series describes how profits made by the formula milk industry benefit companies located in high-income countries while the social, economic, and environmental harms are widely distributed and most harmful in low- and middle-income countries, such as South Africa. Furthermore the series, argues that the profiteering of the large multinational companies, is at the expense of public health, costing individuals, families, communities, countries and the planet.
The negative impact of the infant formula companies cost child lives as well the future health and wellbeing of adults, incurring medical costs, lost of earnings and increased morbidity and pre-mature mortality. These costs also bear heavy on health financing and economic development of a country.
An estimated 341.3 billion US dollars per year is lost globally from unrealized benefits to health and human development because of inadequate investment in protecting, promoting, and supporting breastfeeding.
The Series outlines the exploitative marketing playbook used by formula companies to sell their products, including taking advantage of parents’ worries about their child’s health and development. The infant formula industry has very slyly problematized and medicalized normal infant behaviour like crying, fussiness, posseting and general unsettled behaviour.
One common reason women introduce formula is that they misinterpret unsettled baby behaviour, especially disrupted sleep and persistent crying in the first few months of life, as signs that their breast milk is insufficient. However, the
literature indicates that 50% of healthy babies cry for about one to three hours. This crying is longer in the first few weeks and starts to decrease after 6 weeks of age. By 12 weeks of age, infants cry for up to about an hour. Sleep patterns of babies are not the same as for adults, and unsettled baby behaviours are common adaptations to life outside of the womb. Babies cry, and mothers and general everyone around the mother is distressed. When mothers are appropriately supported, concerns can be addressed successfully without the use of formula milk.
Linda Richter is a Distinguished Professor in the Department of Science and Innovation (DSI)-National Research Foundation (NRF) Centre of Excellence for Human Development (CoE: Human) at Wits University and co-author on paper 1 and paper 2 of the Series. Richter is one of only three contributors from Africa, along with Lancet issue Commentary co-author Dr Chantell Witten, previously from Centre of Excellence for Food Security at the University of the Western Cape and now at WITS Division of Community Paediatrics, and Series co-author Dr Kopano Mabaso, Senior Programme Officer, Health, Africa, at the Bill & Melinda Gates Foundation.
Richter says, “The formula milk industry uses poor science to suggest, with little supporting evidence, that their products are solutions to common infant health and developmental challenges. Adverts claim specialised formulas alleviate fussiness, help with colic, prolong night-
Breastfeeding is not the sole responsibility of women, but society’s collective responsibility. It should be protected, promoted and supported by:
time sleep, and even encourage superior intelligence. Labels use words like ‘brain’, ‘neuro’ and ‘IQ’ with images highlighting early development, but studies show no benefit of these product ingredients on academic performance or long-term cognition. These marketing techniques violate the 1981 World Health Organization International Code of Marketing of Breastmilk Substitutes, to which countries agree that labels should not idealise the use of formula, nor exploit poor science to create an untrue story to sell more product.”
The 1981 Code to which Richter refers demonstrates that exploitative formula milk marketing tactics are not new. A 1970s The Baby Killer investigative report into Nestlé’s marketing of formula milk in the Global South prompted the World Health Organization (WHO) to develop the voluntary International Code of Marketing of Breast-milk Substitutes and subsequent resolutions (the Code) in 1981 – the key word being ‘voluntary’.However, the powerful influence of the formula industry, and the marketing of their products in violation of the Code, continues into the 21st Century and even more insidiously with digital social media and artificial intelligence to target individual women. Sales from commercial formula milk have rapidly increased over the past 20 years and now stand at more than $55 billion a year.
A new review of 153 studies, conducted for the Series, details how marketing practices in violation of the Code have continued in nearly 100 countries – including South Africa –
and in every region of the world since its (voluntary) adoption more than forty years ago.
This continued exploitation persists due to the power of the formula industry to influence national political decisions and to interfere with international and national regulatory processes. Unfortunately, the formula industry has also infiltrated the training of health professionals through sponsored training, conferences and continuous professional development activities. The health professionals, their associations and institutions have become an extension of the formula marketing machinery.
The Series also draws attention to the formula industry’s establishment of a network of trade associations and front groups that lobby against the Code and other breastfeeding protection measures. For example, in 2012, South Africa passed new national legislation to implement the Code into law. However, this took nine years with many setbacks resulting from industry lobbying. Formula milk manufacturers formed a new lobby group, the Infant Feeding Association, which applied pressure for amendments to the regulations.
This outsourcing of lobbying allows the corporations to project an image of benevolence and corporate social responsibility, suggesting that they can adequately selfregulate through corporate policies on responsible marketing. However, their self-regulation falls far short of compliance to the Code.
As well as influencing political organisations, the Series authors argue that formula milk companies also draw on the credibility of science by sponsoring professional organisations, publishing sponsored articles in scientific journals, and inviting leaders in public health onto advisory boards and committees, leading to unacceptable conflicts of interest within public health.
Co-author on the Commentary, Dr Chantell Witten says ‘it is imperative for academic and academic institutions as knowledge and thought centres to recognize and deal decisively with the formula industry. Like the British Royal Paediatric Society, South African institutions and organizations dealing with child health and development, must as a matter of urgency put measures in place to counteract the influence and interference of the formula industry.
The Series also draws attention to the formula industry’s establishment of a network of trade associations and front groups that lobby against the Code and other breastfeeding protection measures. For example, in 2012, South Africa passed new national legislation to implement the Code into law. However, this took nine years with many setbacks resulting from industry lobbying. Formula milk manufacturers formed a new lobby group, the Infant
Feeding Association, which applied pressure for amendments to the regulations.
In addition to ending the marketing tactics and industry influence of formula milk companies, broader actions across workplaces, healthcare, governments, and communities are needed to more effectively support women who want to breastfeed, according to the Series. Half a billion working women globally are not entitled to adequate maternity leave. A systematic review of studies found women with a minimum of three months maternity leave, paid or unpaid, were at least 50% more likely to continue breastfeeding compared to women returning to work within three months of giving birth.
The Series authors call for governments and workplaces to recognise the value of breastfeeding and care work, by actions such as institute paid maternity leave, extend the duration of paid maternity leave to align with the six month WHO recommended duration of exclusive breastfeeding and build a pro-breastfeeding culture and environment to support women to successfully breastfeed their children..
Women also face a lack of breastfeeding promotion, protection and support within healthcare systems due to limited public budgets, inadequate training of and skilled support by competent health workers, influence from the formula industry including through the distribution of
samples, and an absence of care that is culturally appropriate and led by the needs of women.
Authors argue that breastfeeding outcomes improve when health systems actively empower women and enable experienced peers to support women during pregnancy, childbirth and onwards. Pro-breastfeeding systems such as the Baby Friendly Hospital Initiative as the potential to positively influence and cultivate an enabling breastfeeding environment at community level and in society, in general.
The Series authors stress that breastfeeding is a collective responsibility of society and call for more effective promotion, support, and protection for breastfeeding, including a much better trained healthcare workforce and an international legal treaty to end exploitative formula milk marketing and prohibit political lobbying.
A linked Editorial published in The Lancet says: “Some women choose not to breastfeed or are unable to. Perceived pressure, or inability to breastfeed – especially if it is at odds with a mother’s wishes – can have a detrimental effect on mental health, and systems should be in place to fully support all mothers in their choices.
Women and families make decisions about infant feeding based on the information they receive, and a criticism of the CMF [Commercial Milk Formula] industry’s predatory
www.wits.ac.za/coe-human
marketing practices should not be interpreted as a criticism of women. All information that families receive on infant feeding must be accurate and independent of industry influence to ensure informed decision making.” Dr Chantell Witten says, “Creating an enabling environment for mothers to optimally breastfeed their babies needs a whole-ofsociety approach, with stronger monitoring and enforcement of our regulations to control the marketing of formula milks for children.”
“Given the immense benefits of breastfeeding to their families and national development, women who wish to breastfeed need to be much better supported so that they can meet their breastfeeding goals,” said co-author Professor Rafael Pérez-Escamilla from the Yale School of Public Health. “A large expansion in health professional training on breastfeeding, as well as statutory paid maternity leave and other protections are vital.”
The Series contains three papers:
1. How baby behaviours are misconstrued to undermine breastfeeding, the extensive health benefits of which can be protected by sustained multi-sectoral interventions
2. How the formula marketing ‘playbook’ targets parents, health professionals and politicians and undermines the health and rights of children and mothers.
3. How power imbalances and political and economic structures determine feeding practices, women’s rights and health outcomes.
All papers from the series can be accessed here: https://www.thelancet.com/series/Breastfeeding-2023
Reference:
Experts call for clampdowns on exploitative formula milk marketing in new Lancet series.
Sara Naicker1; Linda Richter1,2; Chantell Whitten3
Affiliations
¹ SA DSI-NRF Centre of Excellence in Human Development, University of the Witwatersrand, Johannesburg, Gauteng, South Africa
² Stellenbosch Institute for Advanced Studies, Mostertsdrift, Western Cape, South Africa
³ Division of Community Paediatrics, Paediatrics and Child Health, School of Clinical Medicine, Faculty of Health Sciences, University of the Witwatersrand, Johannesburg, Gauteng, South Africa
Funding information:
The Bill and Melinda Gates Foundation funded the research featured in the series. The authors’ time was covered by other sources.
1st Floor, School of Public Health, University of the Witwatersrand York Road, Parktown, Johannesburg 2193, South Africa
Director: Prof Shane Norris
www.facebook.com/CoEHuman
twitter.com/CoEHuman
HIV and ART-exposed but uninfected infants continue to be at risk of adverse birth outcomes such as stillbirth, preterm birth, low birth weight, or microcephaly. These adverse birth outcomes may increase the risk of developing metabolic, cardiovascular, and neurological disorders across the life course.
The Eastern and Southern Africa region has the highest proportion of people (20.6 million) living with human immunodeficiency virus (HIV) in the world (1). Specifically, 7.5 million adultsin South Africa (SA) were living with HIV in 2021 (1). Unfortunately, girls and women of reproductive age (aged 15 to 49 years) remain the most vulnerable group to HIV infections (24.5%) compared to their counterparts (13.5%) (1). However, the expansion of HIV treatment known as antiretroviral therapy (ART) has enabled people living with HIV to live longer and healthier lives. Additionally, ART has also assisted in reducing and preventing the risk of transmitting HIV to those who are not living with HIV, including unborn children. In 2021, more than 96% of South African women who were pregnant and living with HIV had access to ART to prevent mother-to-child transmission (PMTCT), resulting in a vertical transmission rate of 3.5 % (1). Despite these satisfactory results and the benefits of ART initiation before and during pregnancy, several HIV and ARTexposed but uninfected infants continue to be at risk of adverse birth outcomes such as stillbirth (death shortly before or shortly after birth), being born too early (preterm
birth), weighing less than 2500 grams at birth (low birth weight), or having a smaller-than-normal head (e.g., reduced head circumference or microcephaly) (2,3). These adverse birth outcomes may increase the risk of developing metabolic, cardiovascular, and neurological disorders across the life course (3,4). Emerging research from highincome countries (e.g., Canada) and low- and other middleincome countries (e.g., Uganda, Kenya, and Brazil) suggest that the negative effects of HIV and ART on placental and umbilical cord function and morphology (e.g.,shape/ structure) might be the cause of these adversebirth outcomes. (5,6). In brief, the placenta and umbilical cord transport nutrients, and the placenta also acts as a barrier that protects the fetus/unborn baby from harmful maternal toxins and infections (7,8). To achieve these functions, the placenta may change its size, shape, or efficiency to maintain appropriate fetal growth (9). To the best of our knowledge, no study has examined the mediating effects of placental morphology on the association between HIV and ART exposure, and longitudinal fetal growth parameters, thus requires further investigation.
Exposure variable (i.e., HIV status)
(Total effect of HIV status on the size or velocity of fetal growth outcomes without mediators)
Outcome variable (e.g., Head circumferance size or velocity)
Mediator variable (e.g., Placental weight)
Exposure variable (i.e., HIV status)
Outcome variable (e.g., Head circumferance size or velocity)
To address the gaps in the literature, we conducted a prospective study and used structural equation models (SEMs) to explore the associations of HIV and its treatment on the size and the velocity of fetal growth measures, and whether these associations are mediated by placental morphology in an urban South African Cohort (Figure 1). A total of 372 pregnant women living with HIV (WLWH, n=122) and not living with HIV (SWNLWH, n=250) underwent repeated ultrasonography during pregnancy, and at delivery, to determine the size and velocity of longitudinal fetal growth parameters. For this study, fetal growth parameters refer to the size and velocity of the head and abdominal circumference, biparietal diameter, and femur length. These parameters were collected at six-time points during pregnancy (<14 weeks; 14–18 weeks; 19–23 weeks; 24–28 weeks; 29–33 weeks and 34–38 weeks), as well as at delivery. Thereafter, the Superimposition by Translation and Rotation was used to calculate the size and velocity of the fetal growth parameters. Placenta digital photographs taken at delivery were used to estimate morphometric parameters, and trimmed placental weight was measured. All WLWH were receiving an ART regimen consisting of efavirenz plus tenofovir plus emtricitabine provided as a
fixed dose combination unless contraindicated according to PMTCT guidelines (10,11).
A lower placental weight and significantly shorter umbilical cord length were reported in WLWH compared to their counterparts. After sex stratification, umbilical cord length was significantly shorter in males born to WLWH than in male fetuses born to WNLWH. In contrast, female fetuses born to WLWH had lower placental weight, birth weight, and head circumference than their counterparts. The SEM models showed an inverse association between HIV and ART and head circumference size and velocity in female fetuses. In contrast, HIV and ART exposure was positively associated with femur length growth (both size and velocity) and abdominal circumference velocity in male fetuses. None of these associations were mediated by placental morphology.
In conclusion, our findings suggest that HIV and ART exposure during pregnancy in urban-dwelling Black South African women may directly impact head circumference growth in females and abdominal circumference velocity in male fetuses; but may improve femur length growth in male
fetuses only. Whether these associations are linked to adverse health outcomes across the life course, remains to be fully elucidated. Therefore, more prospective studies are needed to provide better insights into the risks and benefits of ART regimens, and the timing of ART initiation (preconception, early and late pregnancy), particularly in women of reproductive age in high-risk countries such as SA. This knowledge will help clinicians and policymakers in producing safer ART regimes and in formulating new guidelines that also consider fetal sex, types of ART regimens, and timing of ART initiation as important factors in determining the health status of the child. This is paramount since the current guidelines are favouring the use of dolutegravir-based regimens as first-line ART due to stronger viral suppression and higher genetic barrier to resistance compared to efavirenz-based regimens (12,13). Despite these benefits, there is limited knowledge about the effects of dolutegravir-based regimens and their associations with placental morphology, fetal growth parameters, and related developmental and functional implication across the life course, particularly in a South African population.
References
1. UNAIDS. UNAIDS DATA 2022. Geneva, Switzerland; 2022.
2. Evans C, Chasekwa B, Ntozini R, Humphrey JH, Prendergast AJ. Head circumferences of children born to HIV-infected and HIVuninfected mothers in Zimbabwe during the preantiretroviral therapy era. Aids. 2016;30(15):2323–8.
3. Williams PL, Yildirim C, Chadwick EG, Van Dyke RB, Smith R, Correia KF, et al. Association of maternal antiretroviral use with microcephaly in children who are HIV-exposed but uninfected (SMARTT): a prospective cohort study. Lancet HIV [Internet]. 2020;7(1):e49–58. Available from: http://dx.doi.org/10.1016/S23523018(19)30340-6
4. Martín-Calvo N, Goni L, Tur JA, Martínez JA. Low birth weight and small for gestational age are associated with complications of childhood and adolescence obesity: Systematic review and metaanalysis. Obesity Reviews. 2022 Jan 1;23(S1).
5. Ikumi NM, Malaba TR, Pillay K, Cohen MC, Madlala HP, Matjila M, et al. Differential impact of antiretroviral therapy initiated before or during pregnancy on placenta pathology in HIV-positive women. AIDS. 2021 Apr 1;35(5):717–26.
6. Dunk CE, Serghides L. Protease inhibitor-based antiretroviral therapy in pregnancy: effects on hormones, placenta, and decidua. Vol. 9, The Lancet HIV. Elsevier Ltd; 2022. p. e120–9.
7. Conroy AL, McDonald CR, Gamble JL, Olwoch P, Natureeba P, Cohan D, et al. Altered angiogenesis as a common mechanism underlying preterm birth, small for gestational age, and stillbirth in women living with HIV. Am J Obstet Gynecol. 2017;217(6):684. e1-684.e17.
www.wits.ac.za/coe-human
8. Obimbo MM, Zhou Y, McMaster MT, Cohen CR, Qureshi Z, Ong’Ech J, et al. Placental Structure in Preterm Birth among HIV-Positive Versus HIV-Negative Women in Kenya. J Acquir Immune Defic Syndr (1988). 2019;80(1):94–102.
9. Vrooman LA, Xin F, Bartolomei MA. Morphological and molecular changes in the placenta: What we can learn from environmental exposures. Fertil Steril. 2016;106(4):930–40.
10. National Department of Health South Africa. National HIV screening policy 2016. 2016.
11. National Department of Health South Africa, South African National AIDS Council. Clinical Guidelines: PMTCT (Prevention of Mother-to-Child Transmission). 2010.
12. National Department of Health South Africa. 2019 ART Clinical Guidelines for the Management of HIV in Adults, Pregnancy, Adolescents, Children, Infants and Neonates. 2019.
13. Kintu K, Malaba TR, Nakibuka J, Papamichael C, Colbers A, Byrne K, et al. Dolutegravir versus efavirenz in women starting HIV therapy in late pregnancy (DolPHIN-2): an open-label, randomised controlled trial. Articles Lancet HIV [Internet]. 2020;7:332–71. Available from: www.thelancet.com/hiv
Reference:
The impact of HIV and ART exposure during pregnancy on fetal growth: a prospective study in a South African Cohort
Asanda Mtintsilana1,2*, Shane A. Norris1,3, Siphiwe N. Dlamini1,4, Lukhanyo H. Nyati1,5, David M. Aronoff1,6, John R. Koethe7,8, Jeffrey A. Goldstein9, Alessandra Prioreschi1
Affiliations
¹ SA MRC/Wits Developmental Pathways for Health Research Unit (DPHRU), Department of Paediatrics, Faculty of Health Sciences, School of Clinical Medicine, University of the Witwatersrand, Johannesburg, South Africa
² DSI-NRF Centre of Excellence in Human Development, University of the Witwatersrand, Johannesburg, Gauteng, South Africa
³ School of Human Development and Health, University of Southampton, UK
⁴ School of Physiology, Faculty of Health Sciences, University of the Witwatersrand, Johannesburg, South Africa
⁵ Faculty of Community and Health Sciences, University of the Western Cape, Blanckenberg Street, Bellville,CapeTown7535
⁶ Department of Medicine, Indiana University School of Medicine, Indianapolis, IN, 46202
⁷ Division of Infectious Diseases, Department of Medicine, Vanderbilt University Medical Center, Nashville, TN 37232
⁸ Vanderbilt Institute for Global Health, Vanderbilt University Medical Center, Nashville, TN 37232.
⁹ Department of Pathology, Feinberg School of Medicine, Northwestern University, Chicago, IL, USA
Corresponding author email: Asanda.Mtintsilana@wits.ac.za
Funding information: The study was funded by the African Research Leadership Scheme of the UK Medical Research Foundation and the South African Medical Research Council. SAN is supported by the DSI-NRF Centre of Excellence in Human Development at the University of the Witwatersrand, Johannesburg, South Africa. The content is solely the responsibility of the authors and does not reflect the views of the CoE in Human Development.
Director: Prof Shane Norris
www.facebook.com/CoEHuman
twitter.com/CoEHuman
The Council University of the Witwatersrand, Johannesburg PO BOX 3 2050 Wits South Africa
AGREED-UPON PROCEDURES REPORT IN RESPECT OF THE NATIONAL RESEARCH FOUNDATION (NRF) AWARDS RECEIVED BY THE UNIVERSITY OF THE WITWATERSRAND FOR THE CENTRE OF EXCELLENCE IN HUMAN DEVELOPMENT FOR THE YEAR ENDED 31 DECEMBER 2023
Purpose of this Agreed- Upon Report
We have performed the procedures agreed with you and enumerated below with respect of the National Research Foundation (NRF) awards received by the University of the Witwatersrand (“the U niversity”) for the Centre of Excellence in Human Development for the year ended 31 December 2023.
Our report is solely for the purpose of assisting the University of the Witwatersrand in in reporting to the NRF on the Cash Flow Analysis relating to the Centre of Excellence in Human Development for the year ended 31 December 2023 and may not be suitable for another purpose.
R Responsibilities of the Engaging Party and the Responsible Party
The University of the Witwatersrand has acknowledged that the agreed -upon procedures are appropriate for the purpose of the engagement.
NRF, as identified by the University of the Witwatersrand is responsible for the subject matter on which the agreedupon procedures are performed.
P Practitioners Responsibilities
We have conducted the agreed-upon procedures engagement in accordance with the International Standard on Related Services (ISRS) 4400 (Revised), Agreed-Upon Procedures Engagements. An agreed -upon procedures engagement involves our performing the procedures that have been agreed with the University of the Witwatersrand and reporting the findings, which are factual results of the agreed -upon procedures performed. We make no representation regarding the appropriateness of the agreed -upon procedures.
This agreed-upon procedures engagement is not an assurance engagement. Accordingly, we do not express an opinion or assurance conclusion.
Had we performed additional procedures, other matters might have come to our attention that would have been reported.
Agreed upon procedures report in respect of the University of the Witwatersrand (“the University”) for the Centre of Excellence in Human Development for the year ended 31 December 2023.
Page 2 of 7
We have complied with the ethical and independence requirements as described in the Independent Regulatory Board for Auditors’ Code of Professional Conduct for Registered Auditors (IRBA Code) and in accordance with other ethical requirements applicable to performing audits in South Africa. The IRBA Code is consistent with the corresponding sections of the International Ethics Standards Board for Accountants’ International Code of Ethics for Professional Accountants (including International Independence Stan dards).
The firm applies the International Standard on Quality Management 1, Quality Management for Firms that Perform Audits or Reviews of Financial Statements, or Other Assurance or Related Services Engagements, which requires the firm to design, implement and operate a system of quality management, including policies or procedures regarding compliance with ethical requirements, professional standards and applicable legal and regulatory requirements.
We have performed the procedures described below which were agreed upon with the University of the Witwatersrand on with respect to the NRF awards received by the University of the Witwatersrand for the Centre of Excellence in Human Development for the year ended 31 December 2023
1. Inspect that the declared income and expenditure is correct and that all income and expenditure as per the general ledger has been declared by agreeing the Centre of Excellence in Human Development Cash flow Analysis to the general ledger for the period. The transactions, both expenditure and income will be subject to the procedures stipulated below.
2. Inspect that:
a) Two steering Committee Board meetings were held in the period of funding, and minutes for both meetings have been adopted and signed by the Chairperson of the Board
b) The Steering Committee approved the Business Plan, and those minutes of the meeting as well as the Business Plan was submitted to the NRF.
1. We obtained the Centre of Excellence in Human Development Cash Flow Analysis and general ledger for the period under review and inspected that all income and expenditure as per the general ledger was declared by agreeing the Centre of Excellence in Human Development cash flow analysis to the general ledger. Refer to Appendix A for the cash flow analysis.
No exceptions were noted.
2. Inspected that:
a) Two Steering Committee meetings were held in the period of funding, and minutes for both meetings were adopted and signed by the Chairperson of the Board.
No Exceptions were noted.
b) Through the inspection of the Steering Committee meetings minutes, we noted that the approved Business Plan and the minutes of the meetings were submitted to the NRF.
No exceptions were noted.
Agreed upon procedures report in respect of the University of the Witwatersrand (“the University”) for the Centre of Excellence in Human Development for the year ended 31 December 2023.
Page 3 of 7
Procedures
3. Inspect that the grant funds were used to advance the research agenda by:
a) Selecting a sample being ten percent of the expenses per the general ledger.
3. We inspected that the grant funds were used to advance the research agenda and performed the following procedures:
a) Selected a sample being ten percent of the expenses per the general ledger.
No exceptions were noted.
b) Agreeing with Beverley Manus (University of the Witwatersrand: Finance Manager Research Office) that the transactions selected in procedure 3(a), are appropriate.
c) For the samples selected, perform the following procedures:
a. Obtain the source documents (invoices, payslips, expense breakdowns and travel claim expense forms, etc.) for items selected from the general ledger and agree the details per general ledger to the supporting documentation inspected.
b) We agreed with Beverley Manus (University of the Witwatersrand: Finance Manager Research Office) that the transactions selected in procedure 3(a), are appropriate.
No exceptions were noted.
c) For the samples selected, we performed the following procedures:
a. We obtained the source documents (invoices, payslips, expense breakdowns and travel claim expense forms, etc.) for items selected from the general ledger and agreed the details per general ledger to the supporting documentation inspected.
We noted one instance in which the invoice did not agree to the amount recorded per the general ledger and a difference of R109.91 was noted
b. Inspect the nature of expenses as per the supporting documents description and compare the nature of expenses to the purpose of research, as stipulated in the business plan.
b. We inspected the nature of expenses as per the supporting documents description and compared the nature of expenses to the purpose of research, as stipulated in the business plan.
No exceptions were noted.
Agreed upon procedures report in respect of the University of the Witwatersrand (“the University”) for the Centre of Excellence in Human Development for the year ended 31 December 2023.
Page 5 of 7
Procedures
5. Inspect that the funds were spent in accordance with the signed Memorandum of Agreement (MOA), by obtaining signed representation from university management.
6. Confirm that the activities pursued by the Centre of Excellence in Human Development related to the 5 Key Performance Areas (KPAs), by obtaining signed representations from university management.
5. We inspected that the funds were spent in accordance with the signed Memorandum of Agree ment (MOA), by obtaining signed representation from university management.
No exceptions were noted.
6. We confirmed that the activities pursued by the Centre of Excellence in Human Development related to the 5 Key Performance Areas (KPAs), by obtaining signed representations from university management.
No exceptions were noted.
Our report is solely for the purpose set forth in the first paragraph of this report and for your information and is not to be used for any other purpose or to be distributed to any other parties. This report relates only to the ac counts and items specified above and does not extend to any financial statements of the University of the Witwatersrand taken as a whole.
D Deloitte & Touche Registered Auditor
Per: Spiro Tyranes CA(SA); RA Partner
24 May 2024
Agreed upon procedures report in respect of the University of the Witwatersrand (“the University”) for the Centre of Excellence in Human Development for the year ended 31 De cember 2023.
Page 6 of 7
Agreed upon procedures report in respect of the University of the Witwatersrand (“the University”) for the Centre of Excellence in Human Development for the year ended 31 December 2023.
Page 7 of 7
Student Nominations List CoE: Centre of Excellence in Human Development
91489 Norris, SA Ashleigh Craig Post Doctoral
91489 Norris, SA Nicole Miriam Danial Post Doctoral
91489 Norris, SA Khuthala Mabetha Post Doctoral
91489 Norris, SA Witness Mapanga Post Doctoral
91489 Norris, SA Larske Marit Soepnel Post Doctoral
91489 Norris, SA Lauren ann Stuart Post Doctoral
000
000
000
000
000
000 91489 Norris, SA Noreth Muller-Kluits Post Doctoral
000
This will be done electronically by the Designated Authority
Professor ............
Deputy
Vice-Chancellor:
Research and Innovation
Date: 01 August 2024