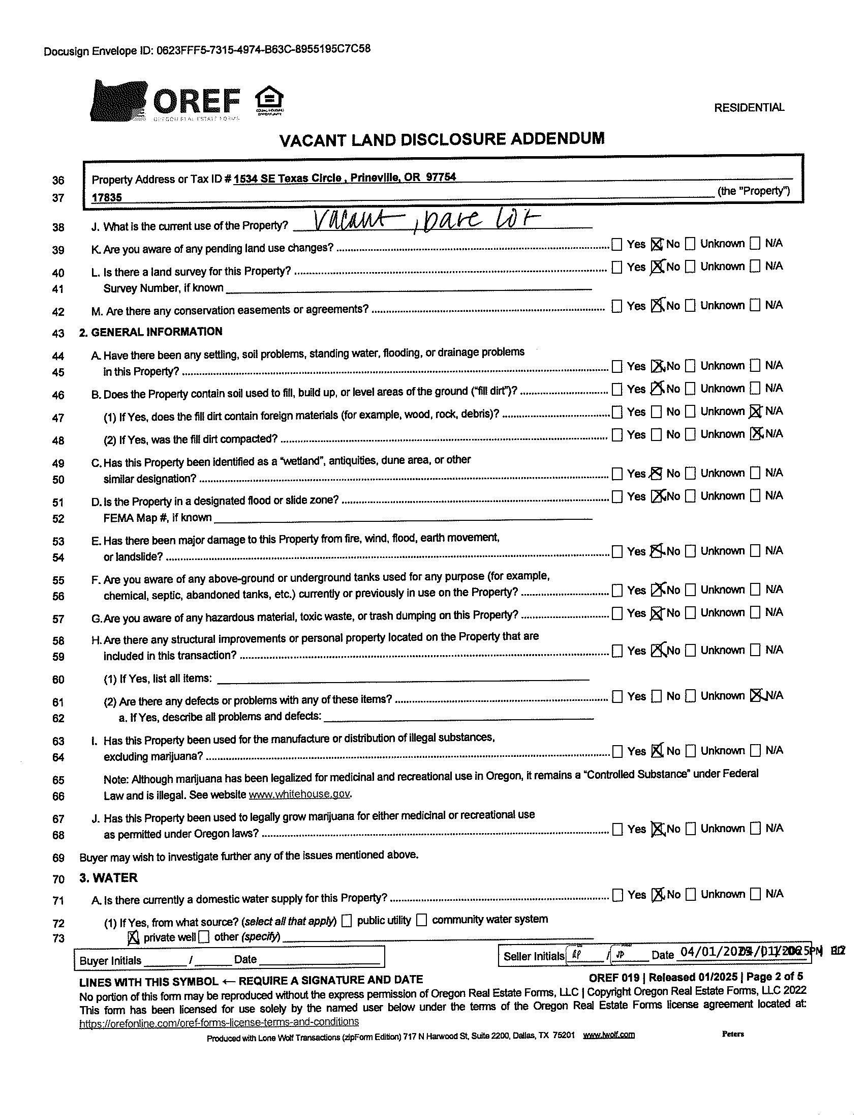
This stunning 5-acre lot offers the perfect blend of privacy, convenience, and natural beauty—just 10 minutes from downtown Prineville. This parcel is ready for your vision. Located in a secure gated community, it features a shared well and septic feasibility, ensuring a smooth path to development. Enjoy breathtaking views and the serenity of country living while staying close to modern amenities. Don't miss this incredible opportunity!