Y3S2 - Melinda Kumala - Architecture Design Journal - National University of Singapore

Page 1

HYDRODYNAMIC FUNCTION OF BIOMIMETIC SHARK SKIN: EFFECTS ON DRAG FLOW REDUCTION AND WIND SPEED ACCELERATION

MICRO MESO- MACRO

VORONOI STRUCTURE partition of plane into regions close to each of a given set of objects.

DENTICLE STAGGERING denticles are joined to the skin’s flexible membrane.

HYDRODYNAMIC FUNCTION OF BIOMIMETIC SHARK SKIN: EFFECTS ON DRAG FLOW REDUCTION AND WIND SPEED ACCELERATION

TURING PATTERN pattern formation through reactiondiffusion.

VORONOI DISTRIBUTION

X(A) Y(A) SKELETAL

AR3102 | DESIGN 06 DESIGN JOURNAL | UNIT 02 Y3S2 | SPRING 2023 03 A A + A
A A + A 2(A + A) SEED CONTROL POINT
AR3102 | DESIGN 06 DESIGN JOURNAL | UNIT 02 Y3S2 | SPRING 2023 AR3102 | DESIGN 06 DESIGN JOURNAL | UNIT 02 Y3S2 | SPRING 2023 04 05 CFD SETTINGS INCOMING WIND VELOCITY: 5 M/S DIRECTION OF INCOMING WIND: XZ AXIS MIN. FORM MATERIAL: CONCRETE THREE PROTRUDING RIBLETS. VALLEYS IN BETWEEN STREAMLINED WIND FLOW. WIND VELOCITY GRADUALLY SLOWED. WIND CONVERGES TOWARDS THE END TIP OF THE DENTICLE, FOLLOWING THE TAPERING OF THE THREE RIBLETS. EDDY FLOW FORMED AT THE DOWNSTREAM END.. CURVED SCALLOP RIBLETS PROVIDE MORE STREAMLINED FLOW AS COMPARED TO SAWTOOTH OR BLADE RIBLETS. SINGLE SHARK DENTICLE INCOMING WIND (XZ AXIS MIN.) TOP (XY AXIS MAX.) LEFT (YZ AXIS MAX.) BACK (XZ AXIS MAX.) Z X Y
AR3102 | DESIGN 06 DESIGN JOURNAL | UNIT 02 Y3S2 | SPRING 2023 AR3102 | DESIGN 06 DESIGN JOURNAL | UNIT 02 Y3S2 | SPRING 2023 06 07
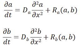
AR3102 | DESIGN 06 DESIGN JOURNAL | UNIT 02 Y3S2 | SPRING 2023 AR3102 | UNIT 02 Y3S2 | SPRING 2023 08 09 LOW HIGH CONCENTRATION a ACTIVATOR Where the a(x,t) and b(x,t) describe the concentration of chemicals and at position and time t. The functions Ra and Rb determine how the concentrations change due to interspecies reactions and Da and Db are the diffusion coefficients. DEF SPREAD FLOW ALONG SURFACE
AR3102 | DESIGN 06 DESIGN JOURNAL | UNIT 02 Y3S2 | SPRING 2023 AR3102 | DESIGN 06 DESIGN JOURNAL | UNIT 02 Y3S2 | SPRING 2023 10 11 SLOWER WIND VELOCITY (CM/S) FASTER WIND VELOCITY (CM/S) SLOWER WIND VELOCITY (CM/S) FASTER WIND VELOCITY (CM/S) UPSTREAM FLOW DOWNSTREAM VENTURI RESTRICTION DIAMETER (k) UPSTREAM DIAMETER (d1) CONVERGING ANGLE (α) DOWNSTREAM DIAMETER (d2) DIVERGING ANGLE (β) AS k INCREASES, DECREASES WHILE THE OTHER VARIABLES REMAIN CONSTANT. AS α INCREASES, INCREASES WHILE THE OTHER VARIABLES REMAIN CONSTANT. AS β INCREASES, DECREASES WHILE THE OTHER VARIABLES REMAIN CONSTANT. PRESSURE (GREATEST) PRESSURE (LEAST) PRESSURE (LESS THAN UPSTREAM) A1 d1=a, d2=3a, h=2a HIGHEST VELOCITY: 11.3 M/S (226%) HIGH WIND VELOCITY CONCENTRATED TOWARDS THE DIVERGING END B1 d1=a, d2=2a, h=2a HIGHEST VELOCITY: 8.04 M/S (160.8%) HIGH WIND VELOCITY CONCENTRATED TOWARDS THE CONVERGING END B2 d1=a, d2=2a, h=3a HIGHEST VELOCITY: 8.14 M/S (162.8%) HIGH WIND VELOCITY CONCENTRATED TOWARDS THE CONVERGING END B3 d1=a, d2=2a, h=4a HIGHEST VELOCITY: 8.07 M/S (161.4%) HIGH WIND VELOCITY CONCENTRATE TOWARDS THE CONVERGING END CFD SETTINGS INCOMING WIND VELOCITY: 5 M/S DIRECTION OF INCOMING WIND: NORTH FORM MATERIAL: CONCRETE A2 d1=a, d2=3a, h=3a HIGHEST VELOCITY: 10.25 M/S (205%) HIGH WIND VELOCITY CONCENTRATED TOWARDS THE DIVERGING END A3 d1=a, d2=3a, h=4a HIGHEST VELOCITY: 9.12 M/S (182.4%) HIGH WIND VELOCITY CONCENTRATED TOWARDS BOTH ENDS A4 d1=a, d2=3a, h=5a HIGHEST VELOCITY: 8.92 M/S (178.4%) HIGH WIND VELOCITY CONCENTRATED TOWARDS THE CONVERGING END B4 d1=a, d2=2a, h=5a HIGHEST VELOCITY: 8.17 M/S (163.4%) HIGH WIND VELOCITY CONCENTRATED TOWARDS THE CONVERGING END CONVERGING/ DIVERGING CONICAL WIND TUNNEL FOR CONCENTRATED WIND VELOCITY MAXIMISATION C1 d1=a, d2=a, h=2a HIGHEST VELOCITY: 5.87 M/S (117.4%) SLOWER WIND VELOCITY ALONG THE WEST END DUE TO DRAG FLOW D1 d1=3a, d2=a, h=2a HIGHEST VELOCITY: 7.16 M/S (143.2%) HIGHER WIND VELOCITY TOWARDS THE CONVERGING END, HIGH DRAG FLOW ALONG THE EXTERIOR SKIN D2 d1=3a, d2=a, h=3a HIGHEST VELOCITY: 7.78 M/S (155.6%) HIGHER WIND VELOCITY TOWARDS THE CONVERGING END, HIGH DRAG FLOW ALONG THE EXTERIOR SKIN D3 d1=3a, d2=a, h=4a HIGHEST VELOCITY: 9.16 M/S (183.2%) HIGHER WIND VELOCITY TOWARDS THE CONVERGING END, HIGH DRAG FLOW ALONG THE EXTERIOR SKIN C2 d1=a, d2=a, h=3a HIGHEST VELOCITY: 5.81 M/S (116.2%) SLOWER WIND VELOCITY ALONG THE WEST END DUE TO DRAG FLOW C3 d1=a, d2=a, h=4a HIGHEST VELOCITY: 5.88 M/S (117.6%) SLOWER WIND VELOCITY ALONG THE WEST END DUE TO DRAG FLOW C4 d1=a, d2=a, h=5a HIGHEST VELOCITY: 6.23 M/S (124.6%) SLOWER WIND VELOCITY ALONG THE WEST END DUE TO DRAG FLOW D4 d1=3a, d2=a, h=5a HIGHEST VELOCITY: 10.1 M/S (200.2%) HIGH WIND VELOCITY TOWARDS THE CONVERGING END CFD SETTINGS INCOMING WIND VELOCITY: 5 M/S DIRECTION OF INCOMING WIND: NORTH FORM MATERIAL: CONCRETE VENTURI TUBE HIGHEST VELOCITY: 14 M/S (280%) DESIGN OPTIMISATION OF VENTURI TUBE FOR WIND VELOCITY MAXIMISATION E1 k= , d1= d2= 2.25a HIGHEST VELOCITY: 14.5 M/S (290%) E2 k= 1.25a d1= d2= 2.25a HIGHEST VELOCITY: 10.2 M/S (204%) G1 α= x˚, β= x˚ HIGHEST VELOCITY: 15.2 M/S (304%) G2 α= x˚, β= 1.5x˚ HIGHEST VELOCITY: 15.0 M/S (300%) G3 α= x˚, β= 2x˚ HIGHEST VELOCITY: 15.0 M/S (300%) G4 α= x˚, β= 2.5x˚ HIGHEST VELOCITY: 14.7 M/S (294%) G5 α= x˚, β= 3x˚ HIGHEST VELOCITY: 14.5 M/S (290%) G6 α= x˚, β= 3.5x˚ HIGHEST VELOCITY: 14.5 M/S (290%) E3 k= 1.5a d1= d2= 2.25a HIGHEST VELOCITY: 8.44 M/S (168.8%) E4 k= 1.75a d1= d2= 2.25a HIGHEST VELOCITY: 7.72 M/S (154.4%) E5 k= 2a d1= d2= 2.25a HIGHEST VELOCITY: 6.55 M/S (131%) E6 k= 2.25a d1= d2= 2.25a HIGHEST VELOCITY: 5.72 M/S (114.4%) F1 α= x˚ β= x˚ HIGHEST VELOCITY: 15.2 M/S (304%) F2 α= 2x˚ β= x˚ HIGHEST VELOCITY: 15.3 M/S (306%) F3 α= 3x˚, β= x˚ HIGHEST VELOCITY: 15.3 M/S (306%) F4 α= 4x˚, β= x˚ HIGHEST VELOCITY: 15.4 M/S (308%) F5 α= 5x˚ β= x˚ HIGHEST VELOCITY: 15.4 M/S (310%) F6 α= 6x˚, β= x˚ HIGHEST VELOCITY: 15.5 M/S (312%) VARIABLES: d1: UPSTREAM DIAMETER d2: DOWNSTREAM DIAMETER h: LENGTH OF CONE VARIABLES: d1: UPSTREAM DIAMETER d2: DOWNSTREAM DIAMETER h: LENGTH OF CONE α: CONVERGING ANGLE β: DIVERGING ANGLE k: RESTRICTION DIAMETER
AR3102 Y3S2 | SPRING 2023 | UNIT 02 SPRING 2023 13 REACTION-DIFFUSION
AR3102 | DESIGN 06 DESIGN JOURNAL | UNIT 02 Y3S2 | SPRING 2023 AR3102 | DESIGN 06 DESIGN JOURNAL | UNIT 02 Y3S2 | SPRING 2023 14 15 WIND TUNNEL VERTICAL ARRANGEMENT
AR3102 | DESIGN 06 DESIGN JOURNAL | UNIT 02 Y3S2 AR3102 | DESIGN 06 DESIGN JOURNAL | UNIT 02 17 VORONOI DISTRIBUTION OF SPACE SEED CONTROL POINT

DECREASES WHILE THE OTHER VARIABLES REMAIN CONSTANT.

WHILE THE OTHER VARIABLES REMAIN CONSTANT.

F3 α= 3x˚, β= x˚

F3 α= 3x˚, β= x˚

HIGHEST VELOCITY: 15.3 M/S (306%)

HIGHEST VELOCITY: 15.3 M/S (306%)

F6 α= 6x˚, β= x˚

F6 α= 6x˚, β= x˚

HIGHEST VELOCITY: 15.5 M/S (312%)

HIGHEST VELOCITY: 15.5 M/S (312%)

INCREASES, V INCREASES WHILE THE OTHER VARIABLES REMAIN CONSTANT.

INCREASES WHILE THE OTHER VARIABLES REMAIN CONSTANT.

G3 α= x˚, β= 2x˚

G3 α= x˚, β= 2x˚

HIGHEST VELOCITY: 15.0 M/S (300%)

HIGHEST VELOCITY: 15.0 M/S (300%)

G6 α= x˚, β= 3.5x˚

G6 α= x˚, β= 3.5x˚

HIGHEST VELOCITY: 14.5 M/S (290%)

HIGHEST VELOCITY: 14.5 M/S (290%)

DECREASES WHILE THE OTHER VARIABLES REMAIN CONSTANT.

INCREASES, V DECREASES WHILE THE OTHER VARIABLES REMAIN CONSTANT.

NS PL +10.0M

NS PL +12.0M

550 cm/s - 650 cm/s excavate 1 grid

550 cm/s - 650 cm/s

excavate 1 grid

450 cm/s - 550 cm/s

450 cm/s - 550 cm/s

excavate 0.75 grid

excavate 0.75 grid

300 cm/s - 450 cm/s

300 cm/s - 450 cm/s

excavate 0.5 grid

excavate 0.5 grid

0 cm/s - 250 cm/s constant

0 cm/s - 250 cm/s constant

*GRID SIZE 1:1 = 2M X 2M AREA OF EXCAVATION

*GRID SIZE 1:1 = 2M X 2M

AREA OF EXCAVATION

BASED ON WIND DIRECTION

BASED ON WIND DIRECTION

AR3102 | DESIGN 06 DESIGN JOURNAL | UNIT 02 19 NORTH PL +2.0M NORTH PL +4.0M NORTH PL +6.0M NORTH PL +8.0M NORTH PL +10.0M NORTH PL +12.0M SOUTH PL +2.0M SOUTH PL +4.0M SOUTH PL +6.0M SOUTH PL +8.0M SOUTH PL +10.0M SOUTH PL +12.0M NS PL +2.0M NS PL +4.0M NS PL +6.0M NS PL +8.0M NS PL +10.0M NS PL +12.0M
INCREASES, V DECREASES
NS PL +10.0M
NS PL +12.0M
AR3102 | DESIGN 06 DESIGN JOURNAL | UNIT 02 Y3S2 | SPRING 2023 AR3102 | DESIGN 06 DESIGN JOURNAL | UNIT 02 Y3S2 | SPRING 2023 20 21

AR3102

REACTION-DIFFUSION PROPAGATION [DOMAIN: SITE BOUNDARY]

ELEVATION [EVERY 2M] MIDLINE AS GROWTH PROPAGATOR - PERPENDICULAR TO THE TANGENT OF EACH POINT SET AT 2000 DIVIDENDS

MIDLINE FROM WIND DATA SYNTHESIS [VELOCITY]

Where

SCRIPT

[EXTRUSION] [EXTRUSION]

[01] PL+ 02.0M [02] PL+ 04.0M [03] PL+ 06.0M [04] PL+ 08.0M [01] [02] [03] [04]

CONSOLIDATED DISTRIBUTION [2M VERTICAL INTERVAL] 3D WELDING & VORONOI DISTRIBUTION OF POSITIVE SPACES [PLANAR EXTRUSION]

[VORONOI DISTRIBUTION _INTERNAL MASS]

[SUBDIVISION LOFT]

[EXPLODED] [BOUNDARY OUTLINE]

[VORONOI DISTRIBUTION _INTERNAL MASS]

AR3102 | DESIGN 06
JOURNAL | UNIT 02 Y3S2 | SPRING 2023
DESIGN
| DESIGN
DESIGN JOURNAL | UNIT 02
| SPRING 2023 22 23
06
Y3S2
INCOMING WIND VELOCITY= 5 M/S AVERAGE OF NORTH-SOUTH INCOMING WIND DIRECTION
PL+ 08.0M PL+ 08.0M [01] [02] [03] [04] [01] [SE] [SE] [SE] [SE] [02] [03] [04] [SE] [SE] [04] B= 35.0 [04] B= 55.0
the a(x,t) and b(x,t) describe the concentration of chemicals a and at position x and time t. The functions Ra and Rb determine how the concentrations change due to interspecies reactions and Da and Db are the diffusion coefficients.
VARIES THE CONCENTRATION OF VARIABLE
VALUE B), WHILE KEEPING THE CONCENTRATION
VARIABLE
(MULTIPLICATION
OF
CONSTANT.
value, B= 35.0 divided point count= 2000 multiplication value, B= 35.0 divided point count= 2000 multiplication value, B= 35.0 divided point count= 2000 multiplication value, B= 35.0 divided point count= 2000 multiplication value, B= 35.0 divided point count= 2000 multiplication value, B= 55.0 divided point count= 2000
multiplication
AR3102 | DESIGN 06 DESIGN JOURNAL | UNIT 02 Y3S2 | SPRING 2023 AR3102 | DESIGN 06 DESIGN JOURNAL | UNIT 02 Y3S2 | SPRING 2023 24 25
AR3102 Y3S2 | PLAN PL +03.0M PLAN PL +03.0M WORKSHOP RECEPTION & ENTERTAINMENT OFFICES & LABS OFFICE ATRIUM OFFICE RECEPTION WORKSHOP
AR3102 | DESIGN 06 DESIGN JOURNAL | UNIT 02 Y3S2 | SPRING 2023 AR3102 | DESIGN 06 DESIGN JOURNAL | UNIT 02 Y3S2 | SPRING 2023 29 PLAN PL +03.0M WIND TUNNEL ZONE WIND TUNNEL ZONE WIND TUNNEL ZONE WIND TUNNEL ZONE WIND TUNNEL ZONE WIND TUNNEL ZONE WIND TUNNEL ZONE ATRIUM STREET ENTRANCE RECEPTION OFFICE LOUNGE WORKSHOP OUTDOOR SITTING LAB LAB CONTROL CONTROL A B C D E F G H I J K L M N O P Q R S T U V W X Y Z 2A 2B 01 02 03 04 05 06 07 08 09 10 11 12 13 14 15 16 17 18 19 20 21 22 23 24 25 26 27 28 29 30 31 32 33 34 35 36 37 38 39 40 41
AR3102 | DESIGN 06 DESIGN JOURNAL | UNIT 02 Y3S2 | SPRING 2023 AR3102 | DESIGN 06 DESIGN JOURNAL | UNIT 02 Y3S2 | SPRING 2023 30 31 BATIK WORKSHOP 1 A B C D 2 3 4 5 6 7 8 9 10 11 12 13 14 15
AR3102 | DESIGN 06 DESIGN JOURNAL | UNIT 02 Y3S2 | SPRING 2023 AR3102 | DESIGN 06 DESIGN JOURNAL | UNIT 02 Y3S2 | SPRING 2023 32 33 BATIK WORKSHOP 1 A B C D 2 3 4 5 6 7 8 9 10 11 12 13 14 15
AR3102 | DESIGN 06 DESIGN JOURNAL | UNIT 02 Y3S2 | SPRING 2023 AR3102 | DESIGN 06 DESIGN JOURNAL | UNIT 02 Y3S2 | SPRING 2023 34 35 MAIN ENTRANCE & RECEPTION
LOUNGE & COMMON CORRIDOR
LOUNGE BATIK WORKSHOP OUTDOOR EVENT SPACE DROP-OFF RECEPTION LAB LOADING BAY CARPARK SHELTERED COURTYARD CONTROL LAB TESTING LAB COMMUNAL OUTDOOR AREA RETAIL CAFE BATIK WORKSHOP LAB SERVICE TOILET TOILET STORAGE STREET ENTRANCE COMMUNAL OUTDOOR AREA COMMUNAL OUTDOOR AREA COMMUNAL OUTDOOR AREA MEETING ROOM ATRIUM WIND TUNNEL ZONE WIND TUNNEL ZONE WIND TUNNEL ZONE WIND TUNNEL ZONE WIND TUNNEL ZONE WIND TUNNEL ZONE WIND TUNNEL ZONE WIND TUNNEL ZONE WIND TUNNEL ZONE WIND TUNNEL ZONE OUTDOOR EVENT SPACE DROP-OFF LOADING BAY CARPARK SHELTERED COURTYARD COMMUNAL OUTDOOR AREA RETAIL CAFE BATIK WORKSHOP LAB STREET ENTRANCE COMMUNAL OUTDOOR AREA COMMUNAL OUTDOOR AREA COMMUNAL OUTDOOR AREA ATRIUM (GF) AUDITORIUM CLASSROOM RESOURCE LIBRARY CLASSROOM CLASSROOM CLASSROOM ATRIUM VIEWING GALLERY
AR3102 | DESIGN 06 DESIGN JOURNAL | UNIT 02 Y3S2 | SPRING 2023 AR3102 | DESIGN 06 DESIGN JOURNAL | UNIT 02 Y3S2 | SPRING 2023 38 39

Turn static files into dynamic content formats.

Create a flipbook
Issuu converts static files into: digital portfolios, online yearbooks, online catalogs, digital photo albums and more. Sign up and create your flipbook.