105634

Page 1


Master Thesis

submitted within the UNIGIS MSc programme presentada para el Programa UNIGIS MSc

Department of Geoinformatics - Z_GIS University of Salzburg

Análisis espacial de precios del maíz suave en Ecuador y su relación con la distancia a los mercados mayoristas

Spatial analysis of soft corn price in Ecuador in relationship to the distance to wholesale markets by Ana Gabriela Ron Padilla 11947882

A thesis submitted in partial fulfilment of the requirements of the degree of Master of Science – MSc

Advisor I Supervisor: Leonardo Zurita Arthos PhD

Quito - Ecuador, January, 2023

Compromiso de Ciencia

Por medio del presente documento, incluyendo mi firma personal certifico y aseguro que mi tesis es completamente el resultado de mi propio trabajo. He citado todas las fuentes que he usado en mi tesis y en todos los casos he indicado su origen.

Quito - Ecuador, enero de 2023

Agradecimientos

Agradezco en primer lugar a Dios por concederme la oportunidad de estudiar esta maestría de excelencia y adquirir valiosos conocimientos. A mi amada familia, especialmente a mis padres, Guido y Anita, a mi esposo y compañero de vida, Javier, a mis hijos Álvaro y Juan Pablo, a mis hermanas y mejores amigas Diana y Tania, les dedico un agradecimiento especial por ser mi motor y mi apoyo incondicional.

También quiero expresar mi sincero agradecimiento a mis compañeros y amigos economistas, Carolina, Pablo, Alexis y Xavier, por su constante apoyo, motivación y colaboración a lo largo de este trayecto. Su respaldo ha sido fundamental en mi camino hacia la obtención de este logro.

Por último, quiero agradecer al equipo de UNIGIS, a los profesores, a mi coach académico y a mi profesor asignado de tesis por su guía invaluable. Su apoyo y orientación han sido fundamentales para alcanzar esta meta.

¡Gracias a todos por ser parte de este importante capítulo en mi vida!

Análisis espacial de los precios del maíz suave en el Ecuador

RESUMEN

Este estudio investiga la distancia entre los cultivos de maíz suave y los mercados mayoristas en Ecuador y su influencia en los precios de este producto agrícola. Se seleccionó el maíz suave (choclo) debido a su relevancia en la Sierra ecuatoriana. La pregunta surge a raíz de la observación de las disparidades en los precios de referencia establecidos por los Ministerios de Producción y de Agricultura y Ganadería. La metodología utilizada se basó en la delimitación geográfica del área de estudio, la clasificación y homologación de las vías, la obtención de los precios promedio mensuales del maíz suave en los mercados mayoristas, así como el análisis de proximidad para identificar el mercado mayorista más cercano mediante el uso de polígonos de Thiessen. Asimismo, se determinó el tiempo de viaje de la ruta más eficiente entre los puntos de origen y destino empleando la herramienta Network Analysis del programa ArcGIS Pro. Los resultados se presentan a través de mapas de rutas óptimas y una matriz de costedistancia, en la que el tiempo de viaje se especifica como criterio de coste. A pesar de la limitada disponibilidad de información sobre las vías, los hallazgos revelan una correlación positiva entre la distancia y el precio del maíz suave, en consonancia con la hipótesis planteada en este estudio. Para futuras investigaciones, se sugiere la adquisición de datos más exhaustivos y detallados sobre la red vial. Esto permitirá alcanzar resultados de mayor precisión y proporcionará una base sólida al momento de tomar decisiones en el ámbito agrícola y en la formulación de políticas de transporte y comercialización de productos agrícolas.

Palabras clave:

Cultivos de maíz suave, mercados mayoristas, red vial, coste-distancia, Network Analysis, Ecuador.

ABSTRACT

This study examines the distance between soft corn farms and wholesale markets in Ecuador and its effect on the prices of this agricultural product. Soft corn (choclo) was selected due to its relevance in the Ecuadorian Sierra. The problem arises from disparities in reference prices established by the Ministries of Production and Agriculture and Livestock. The methodology used was based on the geographic delimitation of the study area, the classification and homologation of roads, obtaining average monthly prices of soft corn in wholesale markets, as well as proximity analysis to identify the nearest wholesale market using Thiessen polygons. Additionally, the travel time for the most efficient route between the origin and destination points was determined using the Network Analysis tool of the ArcGIS Pro program. The results are presented using optimal route maps and a costdistance matrix, in which travel time is specified as the cost criterion. Despite the limited availability of information on the routes, the findings reveal a positive correlation between distance and the price of soft corn, in line with the hypothesis put forward in this study. For future research, it is suggested that more comprehensive and detailed data on the road network be acquired. This will enable achieving more accurate results and provide a solid basis for agricultural decision-making and policy formulation related to the transportation and marketing of agricultural products.

Key words:

Soft corn farms, wholesale markets, road network, cost-distance, Network Analysis, Ecuador.

LISTADO DE TABLAS

Tabla 1. Número de registros del precio de maíz en los mercados mayoristas................40

Tabla 2. Precio mensual promedio del maíz por mercado mayorista (USD) 41

Tabla 3. Tabla de atributos del maíz suave por provincia 43

Tabla 4. Tabla de atributos de la red vial 53

Tabla 5. Distancia y tiempo de las rutas óptimas.............................................................64

Tabla 6. Distancia ruta óptima y precio del maíz suave ...................................................65

LISTADO DE FIGURAS

Figura 1. Registro de precios del maíz suave en los mercados del Ecuador....................12

Figura 2. Condiciones agroecológicas del maíz suave choclo

Figura 3. Polígonos de Thiessen

Figura 4. Ejemplo de áreas de influencia

Figura 5. Conformación de un sistema agrícola...............................................................21

Figura 6. Renta de ubicación en función de la distancia al mercado................................23

Figura 7. Distancias basadas en el coste y distancia euclídea

Figura 8. Ejemplo de grafo ilustrando diferentes tipos de caminos

Figura 9. Capa ráster con valores de fricción

Figura 10. Ruta de trayectoria más rápida en Network Analysis

Figura 11. Principales cultivos del mapa de cobertura y uso de la tierra..........................34

Figura 12. Localización de cultivos de maíz suave en Ecuador

Figura 13. Diagrama de flujo de la metodología

Figura 14. Clasificación de la red vial nacional

Figura 15. Mercados mayoristas a nivel nacional.............................................................39

Figura 16. Herramienta Feature to Point

Figura 17. Diferencia de ubicación del punto central con y sin la función

Figura 18. Codificación de tabla de atributos para el objeto “Cultivo”

Figura 19. Polígonos de Thiessen para cultivos de maíz suave

Figura 20. Proximidad de cultivos y mercados.................................................................45

Figura 21. Áreas de trabajo para edición de vías

Figura 22. Ejemplo de edición manual con la herramienta “Continue Feature” ................47

Figura 23. Tabla original de atributos de la red vial urbana..............................................47

Figura 24. Determinación de reglas principales en la creación de Topología

Figura 25. Ejemplo de regla “Debe ser mayor que la tolerancia cluster”

Figura 26. Ejemplo de regla “No debe superponerse”

Figura 27. Ejemplo de regla “No debe intersecarse”........................................................49

Figura 28. Ejemplo de excepciones a la regla “No debe haber cabos sueltos”

Figura 29. Ejemplo de uso del comando Trim to Length

Figura 30. Ejemplo de la regla “No debe haber pseudo-nodos”

Figura 31. Cálculo de la variable Tiempo

Figura 32. Configuración de propiedades del Network Dataset........................................54

Figura 33. Mapa de ruta óptima - Mercado Mayorista de Ibarra

Figura 34. Mapa de ruta óptima - Mercado Mayorista de Quito

Figura 35. Mapa de ruta óptima - Mercado Mayorista de Ambato

Figura 36. Mapa de ruta óptima - Mercado Mayorista de Riobamba................................60

Figura 37. Mapa de ruta óptima - Mercado Mayorista de Cuenca....................................61

Figura 38. Mapa de ruta óptima - Mercado Mayorista de Guayaquil

Figura 39. Precio mensual promedio del maíz por mercado mayorista (USD)

Figura 40. Relación distancia - tiempo

Figura 41. Relación distancia ruta óptima y precio del maíz suave (USD)

GLOSARIO

Ambato EP-EMA: Siglas de la empresa pública Empresa Municipal Mercado Mayorista Ambato Ecuador.

CNC: Siglas del Consejo Nacional de Competencias del Ecuador.

Do-file de Stata: archivo de texto estándar que el paquete de software estadístico Stata ejecuta, Stata por sus siglas en inglés Statistical software for data science.

Esri: Empresa que desarrolla y comercializa software para Sistemas de Información Geográfica, Esri por sus siglas en inglés Environmental Systems Research Institute.

Guayaquil TTV: Siglas de la Terminal de Transferencia de Víveres de Guayaquil Ecuador.

Ibarra COMERCIBARRA: Nombre del Mercado Mayorista de Ibarra Ecuador.

IGM: Siglas del Instituto Geográfico Militar, agencia cartográfica nacional de Ecuador.

INEC: Siglas del Instituto Nacional de Estadísticas y Censos de Ecuador.

INIAP: Siglas del Instituto Nacional de Investigaciones Agropecuarias del Ecuador.

MAG: Siglas del Ministerio de Agricultura y Ganadería del Ecuador.

MPCEIP: Siglas del Ministerio de Producción, Comercio Exterior, Inversiones y Pesca del Ecuador.

MTOP: Siglas del Ministerio de Transporte y Obras Públicas del Ecuador.

Quito MMQ-EP: Siglas de la empresa pública Mercado Mayorista de Quito Ecuador.

Riobamba EP-EMMPA: Siglas de la empresa pública municipal Mercado de Productores Agrícolas San Pedro de Riobamba Ecuador.

SCPM: Siglas de la Superintendencia de Control de Poder de Mercado del Ecuador.

SIG: Siglas de un Sistema de Información Geográfica, también habitualmente citado como GIS por las siglas en inglés Geographical Information System.

SIPA: Siglas del Sistema de Información Pública Agropecuaria del Ecuador.

SPSS: Siglas del paquete estadístico Statistical Package for the Social Sciences.

1.

INTRODUCCIÓN

1.1Antecedentes

Una de las acciones más comunes de los seres humanos es el desplazamiento de un lugar de origen a un lugar de destino, esto implica tomar decisiones que permitan optimizar el tiempo de traslado al menor costo posible.

Estas decisiones son especialmente importantes cuando lo que se transporta es una mercancía que genera ingresos económicos Así es el caso de los productos agrícolas alimentarios, que se cultivan y cosechan generalmente en las zonas rurales del Ecuador y que requieren ser transportados hacia los mercados de comercialización en las zonas urbanas.

En ese sentido, la producción y el consumo de un producto no se ubican en el mismo espacio geográfico Tanto productores como compradores se encuentran separados por una distancia, que abarca elementos como la red vial, el transporte, el flujo vehicular, entre otros, lo cual causa que los precios de los productos se incrementen en función de la distancia (Asuad, 2014)

El maíz suave choclo es uno de los productos agrícolas alimentarios más demandados en la sierra ecuatoriana y se comercializa principalmente los mercados mayoristas del país, que son lugares donde se encuentran productos de primera necesidad, tomando en consideración los volúmenes de ingreso y que juegan un rol importante al ser canales de distribución de este y más productos hacia otras redes de mercados al interior de los centros urbanos.

1.2Planteamiento del problema

La tarea de fijar los precios referenciales de los productos ofertados en el mercado ecuatoriano corresponde al Ministerio de Agricultura y Ganadería (MAG) y al Ministerio de Producción, Comercio Exterior, Inversiones y Pesca (MPCEIP), a través del levantamiento de información y la aplicación de la metodología de la Superintendencia del Control del Poder de Mercado (SCPM)

Según el Decreto No. 1438, “se toma como precio referencial a la mediana de los precios históricos de cada uno de los productos sujetos a la normativa en cada uno de los mercados mayoristas a nivel nacional” (SCPM, 2013)

Sin embargo, no es una tarea fácil ya que la variación de precios de los productos agroalimentarios depende de varios factores, que tienen que ver con los costos que se generan desde el momento de su producción hasta su venta, tales como, uso de fertilizantes, fuerza laboral, mantenimiento y protección del suelo, costos de transporte, condiciones climáticas, margen de utilidad de productores, comerciantes mayoristas y minoristas, disposición de los consumidores a reemplazar este producto por otro, niveles de demanda por producto por área geográfica (SCPM, 2013)

Dentro del Sistema de Información Pública Agropecuaria del Ecuador (SIPA) del Ministerio de Agricultura y Ganadería se encontró que un mismo producto, en este caso el maíz suave choclo, muestra un precio distinto en cada mercado mayorista del país. Si se observa la figura 1 como una pequeña muestra, el registro de precios entre el 01/03/2022 y el 15/03/2022 de este producto ofertado en los mercados existentes en el país muestra una variación de entre $0.29 y $0.59 el kilogramo.

Figura 1 Registro de precios del maíz suave choclo del 01/03/2022 al 15/03/2022 en los mercados del Ecuador

Este trabajo busca mostrar que existe una relación estrecha entre la localización del cultivo de maíz suave choclo y la distancia que lo separa del mercado de comercialización, lo cual implica un costo monetario para los productores.

El desconocimiento de los costos reales que genera el transporte de los productos desde su lugar de origen a su lugar de destino genera la variación de precios en los mercados, lo cual muchas veces también va acompañado de la especulación.

1.3Objetivo General

Determinar la relación espacial entre la ubicación de los cultivos de maíz suave choclo y el precio del producto en los mercados mayoristas en el Ecuador.

1.4Objetivos específicos

➢ Establecer la cercanía entre los cultivos de maíz suave choclo y los mercados mayoristas.

➢ Identificar la mejor ruta entre el cultivo de maíz suave choclo y el mercado mayorista más cercano.

➢ Comparar los precios del maíz suave choclo con los costos de distancia.

1.5Hipótesis

El precio del maíz suave en los mercados mayoristas del Ecuador está relacionado con la distancia entre el mercado y los cultivos.

1.6Preguntas de investigación

Con la intención de explicar comparativamente el problema se plantean las interrogantes: ¿Cómo establecer la proximidad geográfica de los cultivos de maíz suave choclo y la ubicación de los mercados mayoristas en Ecuador? ¿Cuál es la ruta óptima identificada entre el cultivo de maíz suave choclo y el mercado mayorista más cercano, considerando factores de distancia y tiempo de viaje? ¿Cómo se comparan los precios del maíz suave choclo con el coste-distancia, y qué patrones o categorías de valores se pueden identificar al analizar esta relación?

Estas preguntas de investigación abordan cada uno de los objetivos específicos del estudio y contribuirán a determinar la relación espacial entre los cultivos de maíz suave choclo y los precios del producto en los mercados mayoristas en el contexto ecuatoriano.

1.7Justificación

La falta de control en los precios de los productos en los mercados mayoristas suscita inquietudes entre la ciudadanía. Aunque los precios se actualizan mensualmente en el sitio

web del Ministerio de Agricultura y Ganadería durante los primeros cinco días de cada mes, persiste la preocupación por las notables diferencias de precios, tanto para usuarios como comerciantes.

Es así, que resulta de especial interés conocer las variables espaciales que influyen en el precio de uno de los productos de mayor comercialización en la sierra ecuatoriana, como es maíz suave choclo.

El presente estudio surge de la necesidad de determinar la relación entre la localización de cultivos de maíz suave choclo y el precio del producto que es fijado en los mercados mayoristas del Ecuador a través de un análisis de variables espaciales.

La investigación busca proporcionar información que será útil para las entidades encargadas de fijar los precios a los productos, para mejorar el conocimiento técnico y espacial sobre el alcance del problema entre los productores y los comerciantes de los mercados mayoristas para controlar de una mejor manera y prevenir el incremento en los precios.

Puesto que en el país no se cuenta con estudios específicos que evalúen la relación entre la localización del cultivo y el mercado mayorista, este trabajo es provechoso para aportar un mayor conocimiento sobre la ocurrencia de este fenómeno espacial.

Asimismo, la investigación contribuye a ampliar las bases de datos de la red vial para ser utilizadas con otros estudios que impliquen el transporte de personas o mercancías; y, cuenta con una utilidad metodológica ya que posteriormente se pueden realizar investigaciones de comparaciones de precios con otros productos alimenticios.

1.8Alcance

El alcance de esta investigación se enfoca en analizar la relación entre la distancia de los cultivos de maíz y los mercados mayoristas, y cómo esto afecta el registro de precios obtenidos en el Sistema de Información Pública Agropecuaria del Ecuador durante el período de enero a diciembre del año 2021.

Es importante mencionar que el estudio se limita al Ecuador Continental, excluyendo la zona insular, debido a que se centra en evaluar la distancia de vías terrestres y no considera las vías aéreas ni marítimas que conectan con las Islas Galápagos. Con esta delimitación, se busca obtener una visión clara de la influencia de la distancia en los precios

del maíz y su relación con el acceso a los mercados mayoristas en el territorio continental del país.

En el análisis se considerarán los precios de venta del maíz suave en los seis principales mercados mayoristas ubicados en las ciudades de Quito, Cuenca, Guayaquil, Ibarra, Riobamba y Ambato. Estos mercados representan los puntos clave de comercialización del producto en estudio. El mercado de Machala también forma parte de este grupo de mercados, sin embargo, quedará excluido del estudio debido a su ubicación en el límite fronterizo con Perú, lo que podría implicar dinámicas de precios diferentes a los mercados ubicados en el interior del país. Al centrarse en los mercados internos, esta investigación busca obtener un análisis más preciso y representativo de la relación entre la distancia de los cultivos de maíz y los precios en los principales mercados mayoristas del territorio ecuatoriano.

La investigación abarca el 100% de los mercados mayoristas que comercializan maíz suave, los cuales se encuentran presentes en 11 de las 23 provincias del Ecuador Se utilizará herramientas elementales de un Sistema de Información Geográfica (SIG) que responden interrogantes de proximidad y distancia, dadas a través de la red vial nacional, lo cual permitirá presentar productos como mapas que muestren la cercanía entre los puntos de producción y los puntos de comercialización; y, una matriz resultante donde conste el grado de relación entre la distancia que separa los puntos de origen y destino, y el precio del maíz suave ofertado en el mercado mayorista.

Contará con una perspectiva cuantitativa-correlacional para analizar las variables pertinentes y determinar su relación. El nivel de precisión es alto, con un 95% de confianza en la correlación entre la distancia y el precio.

Este estudio facilitará la identificación de conexiones entre las variables estudiadas y permitirá tomar decisiones estratégicas en la planificación y gestión del transporte de productos agrícolas a las entidades gubernamentales encargadas de establecer los precios de los productos en los mercados mayoristas, así como a los productores, considerando la ubicación de los cultivos y los costos asociados con el traslado de los productos

2. REVISIÓN DE LITERATURA

2.1Cultivos de maíz suave choclo en Ecuador

Ecuador cuenta con más de 120 cultivos, de los cuales más de 50 son perennes, es decir que su ciclo vegetativo es mayor a un año y aproximadamente 70 cultivos son transitorios, es decir que los cultivos se alternan en un mismo campo y producen una sola vez al año, con el objetivo de proteger el suelo y mejorar la producción. Los cultivos transitorios poseen más de un millón de hectáreas, entre los de mayor producción se destacan el arroz, maíz, papa y soya (MAG, 2016)

Según información del Instituto Nacional de Investigaciones Agropecuarias (INIAP, 2014) el maíz es uno de los cereales más importantes del Ecuador, junto con el arroz y el trigo, por varios factores: es uno de los productos alimenticios que más se consume a nivel rural, aporta a la economía y alimentación de los agricultores. Es alimento también para animales, se usa en la agroindustria, posee extensas superficies dedicadas a su producción, conlleva un bagaje social y económico por el rol que desempeña en la seguridad y soberanía alimentaria del país, y se cultiva en áreas con condiciones agroecológicas específicas (Ver figura 2).

Figura 2 Condiciones agroecológicas del maíz suave choclo adaptado de (INIAP, 2014)

A nivel nacional existen dos tipos de maíz: maíz duro (Zea Maiz) y maíz suave o amiláceo (Zea Mays L.). El maíz suave cuenta con dos variedades, dependiendo de la época de cosecha y según la temperatura y altitud, estas variedades son choclo y grano seco. El consumo per cápita de maíz suave es aproximadamente de 14.50 kg/año (FAO, 2007, citado en INIAP, 2014) y se lo consume en forma de choclo, tostado, harina, mote, entre otras.

Además de su valor nutritivo, el maíz suave tanto en grano seco como choclo está considerado entre los diez principales cultivos agrícolas en la formación del PIB agropecuario junto a otros cultivos como el cacao, arroz, maíz duro, palma africana, banano, plátano, caña de azúcar y café (MAG, 2016).

Sin embargo, según Andino (1998, p. 129) en un estudio realizado entre los años 1994 y 1998, se refiere al maíz suave como uno de alimentos que dejó de estar entre los principales en la dieta de los ecuatorianos y que, “frente a los cambios drásticos evidenciados en el uso del suelo en los últimos tiempos, este alimento ha dejado de ser el principal nutriente para los habitantes de Los Andes Ecuatorianos”.

Esta afirmación coincide con planteamientos realizados más adelante, en el año 2017, en las Memorias de la XXII Reunión Latinoamericana del Maíz, sobre el incremento de superficie sembrada de maíz amarillo duro que llega a las 329,652 ha en el año 2016 mientras que, el maíz suave, tanto su producción como rendimiento, han sido inestables desde el año 2010 y el área de cosecha ha disminuido considerablemente de 121,477 ha en el 2010 a 68,313 ha en el 2016, es decir que ha disminuido en un 56% en el lapso de 6 años (Villavicencio et al., 2017)

Esta disminución, según Andino (1998), se debe a varios factores que se derivan del estudio a partir de la superposición de mapas de los años 1976 y 1994 en las cartas de Sangolquí, Cayambe, Sigchos y Riobamba, cantones correspondientes a la sierra centro norte del país; factores tales como la ampliación de la frontera urbana ejercida por la presión de la población especialmente de la capital del Ecuador, Quito, presencia de invernaderos de flores, ampliación de la frontera agrícola, introducción de cultivos permanentes y sustitución del maíz por otros cultivos más rentables.

2.2Análisis de proximidad

Un análisis de proximidad constituye uno de los procedimientos de análisis espacial en un SIG, abordando la selección de entidades geográficas (ya sean puntos, líneas, polígonos o celdas ráster) basándose en su proximidad a otras entidades o celdas (Esri, s/f-b) Los productos que se obtienen de este proceso pueden ser cálculos de distancia entre entidades o nuevas capas que generen información complementaria a la original.

Las dinámicas de proximidad han sido usadas en varias investigaciones concernientes a los desplazamientos en el territorio tomando en cuenta variables como asentamientos humanos, densidad, uso del suelo, entre otras con el fin de obtener insumos tales como

área de influencia, movilidad y accesibilidad, los cuales consideran tanto atributos espaciales como temporales. Sin embargo, la relación tiempo-espacio no puede ser lineal, ya que muchas veces está relacionada con la velocidad del medio de transporte utilizado, lo cual se vuelve un condicionante para realizar un análisis de proximidad (Marquet Sardá y Miralles-guasch, 2017)

Según Falla-Gamboa (2012), de acuerdo con el tipo de dato geográfico utilizado, la proximidad es expresada y cuantificada de diferente manera en datos vectoriales y ráster No obstante, los métodos más usados son: selección por localización, elemento más cercano, distancia entre puntos, zonas buffer y polígonos de Thiessen.

2.2.1 Polígonos de Thiessen

El meteorólogo estadounidense Alfred H. Thiessen fue quien dio el nombre a los polígonos de Thiessen en 1911 cuando tuvo la idea de delimitar regiones de estaciones donde se obtenían datos de precipitación y así conseguir estimaciones meteorológicas. Son conocidos también como diagramas de Voronoi o teselación de Dirichlet en honor a los matemáticos Georgy Voronoi (1908) y Gustav Lejeune Dirichlet (1850), respectivamente, quienes también realizaron estudios sobre este tipo de construcción geométrica. Este método es una de las herramientas básicas de interpolación que utiliza la distancia euclidiana entre puntos. Teniendo un conjunto de puntos y cada uno de ellos se conecta con el punto más cercano, se forma una red de triángulos irregulares (Marquet Sardá y Miralles-guasch, 2017).

Figura 3 Polígonos de Thiessen adaptado (Marquet Sardá y Miralles-guasch, 2017)

La figura 3 ilustra que, al dividir perpendicularmente cada borde del triángulo, se generan los bordes de los polígonos de Thiessen. Los puntos de intersección de las mediatrices se convierten en los vértices de dichos polígonos (Esri, 2021b)

El perímetro de los polígonos que se generan a partir de estos puntos de control es equidistante a los puntos vecinos y a través de este método se divide el plano en tantas

regiones como puntos se han fijado de tal forma que a cada ubicación o punto se le asigna la región formada por todo lo que está más cerca de su punto de entrada asociado que de cualquier otro punto de entrada (Ramírez, 2002).

La base teórica que respalda la generación de estos polígonos, como lo menciona Esri (2021b), explica que en un conjunto de puntos en el espacio de coordenadas euclidianas (x, y), cada punto p tiene un punto de S más cercano, a menos que p se encuentre equidistante de dos o más puntos en S. Un polígono proximal único se define como el área en la cual todos los puntos p están más cerca de un punto específico en S que de cualquier otro punto en S.

Los polígonos de Thiessen son utilizados en estudios de mercado, ubicación de servicios y en cualquier caso que requiera subdividir la región en áreas para cada localización puntual, considerando un peso idéntico de atracción de estos puntos (Trujillo, 2016)

Figura 4 Ejemplo de áreas de influencia de aeropuertos a partir de polígonos de Thiessen

Al ser una herramienta que define regiones homogéneas o zonas de influencia, su aplicación actual es muy diversa, como el ejemplo de la figura 4, donde se visualiza las áreas que se sirven de los principales aeropuertos en Ecuador.

Asimismo, esta herramienta se empleó para definir y analizar áreas de influencia del sistema de salud en ciudades costeras de Quintana Roo (Cuza-Sorolla et al., 2021), distribuyendo polígonos de manera proporcional alrededor de puntos específicos. Estos polígonos generan áreas de influencia donde cualquier ubicación está más próxima al punto asociado que a cualquier otro punto de entrada, siendo la influencia de los centros de salud mayor cuando atienden a una población más numerosa. Esta metodología, comúnmente empleada en el estudio de la distribución espacial y temporal de variables hidrológicas y en aplicaciones de ingeniería en diversos contextos y campos, se utilizó además para delimitar el área de influencia del aeropuerto internacional de Querétaro, México, por el Instituto Mexicano del Transporte.

En este estudio específico, se aplicó la técnica para trazar los polígonos Thiessen de las unidades de salud en las principales ciudades costeras de Quintana Roo, y junto con datos de densidad poblacional y grado de marginación por área geoestadística básica se identificó zonas más vulnerables en términos de carencias económicas y acceso a servicios de salud, aspectos cruciales para el monitoreo de la pandemia por el COVID-19

Este método es utilizado para generalizar mediciones con el criterio de área más cercana en el ámbito de la arqueología, antropología, salud, educación, estaciones de servicio, servicios básicos e incluso en estudios de grupos vegetales y animales (Marquet Sardá y Miralles-guasch, 2017).

2.3Análisis de distancia

2.3.1 Teoría de la localización

Johann Heinrich Von Thünen, economista de origen alemán, es considerado un modelo referencial en la teoría de la localización tras la publicación de su libro “El Estado aislado” en 1826. Puesto que vivía en una época fundamentalmente agraria y, basado en evidencia empírica, creó el primer modelo de orden espacial racional para la producción agrícola. A pesar de que este tipo de aportes eran generados principalmente por economistas, fue de interés también para geógrafos por las relaciones espaciales inmersas dentro de esta teoría, añadiendo también la localización de otros sectores como por ejemplo el industrial (García, 1976).

Esta teoría señala que los agrosistemas y el tipo de cultivo establecen la organización social y económica de un lugar, que el uso de la tierra puede variar en dos lugares con similares condiciones naturales y, que la distancia entre productores y consumidores es la causa más importante en la variación de cultivos y uso de la tierra (Waibel, 1969)

Es así que, cuando Von Thünen se preguntaba por qué las tierras de iguales condiciones agroecológicas tenían diferentes cultivos, llegó a la conclusión que se debía a la distancia existente entre los cultivos y el mercado, añadiendo que las personas intentan solventar sus necesidades en el entorno más cercano y restringiendo sus desplazamientos al máximo (Engler et al., 2005).

Señala además que un sistema agrícola se conforma a manera de anillos concéntricos, donde la zona urbana se localiza en el centro (Ver figura 5).

5 Conformación de un sistema agrícola adaptado de García (1976)

El modelo de Thünen asume que tras el espacio productivo se expande una estepa que separa esta población del mundo exterior. Supone además que no existen otras poblaciones, que hay un solo mercado que se abastece de todos los productos agrícolas de la zona, que sus productos se transportan por la ruta más corta con un sistema único de transporte y costos proporcionales a la distancia, y aduce que el comportamiento del ser humano es semejante uno del otro, con las mismas necesidades, habilidades, capacidad de producción e igual conocimiento del territorio que permite alcanzar el máximo beneficio, a lo que se denominó Homo economicus (Engler et al., 2005).

Figura

Bajo estos supuestos, el modelo analiza la distribución de los cultivos en torno a un caso hipotético denominado mercado aislado Este mercado se sitúa en una llanura isotrópica, caracterizada por ser una zona llana con fertilidad homogénea, distribución uniforme de los recursos naturales, niveles equivalentes de poder adquisitivo y un funcionamiento equitativo del transporte (Segrelles, 2013), y que se encuentra en función de la distancia por los costos que genera el transporte de productos, es decir, el precio que obtiene un agricultor por un determinado producto era igual a su precio en el mercado menos el costo de transporte al mercado.

De tal modo que, Engler et al. (2005) presentan un modelo matemático simple que considera la distancia entre las parcelas y el centro de comercialización como variable única. Analizan la posibilidad de situar a la actividad agrícola cerca del mercado, de darse el caso, el costo del producto, generado a partir de la variable distancia sería mínimo. Sin embargo, al tratarse de una actividad extensiva se encuentra distante del mercado, lo cual incrementa el costo de transporte. El modelo presenta la siguiente ecuación:

U = r(p-c) - (r t d)

Donde:

(U) = renta de ubicación por unidad de superficie, (r) = rendimiento, (p) = precio, (c) = costo, (t) = tarifa de transporte, y (d) = distancia

Esta ecuación presenta una sola variable (U) dependiente de un solo factor que puede variar (d), por cuanto, la renta varía en función de la distancia en forma negativa, a menor distancia al mercado mayor renta de ubicación por unidad de superficie (Ver figura 6).

Figura 6. Renta de ubicación en función de la distancia al mercado (Engler et al., 2005)

De esta manera, mientras más alejado esté el mercado del cultivo, el costo de transporte aumenta para los vendedores y sus ganancias se determinan por esta distancia. Este desafío logístico se convierte en un factor crucial para los productores, ya que la rentabilidad de sus operaciones está intrínsecamente vinculada a la eficiencia y costos asociados al transporte de los productos agrícolas.

En respuesta a esta problemática, el estudio "La logística del transporte de maíz en Argentina (segunda parte)" (Bergero y Calzada, 2015) emerge como un análisis exhaustivo que explora de qué manera el flete camionero impacta en el transporte de maíz en diferentes áreas del país. Se enfoca en situaciones donde la producción de maíz supera la demanda local, como en el noreste y noroeste del país. En estas zonas, enviar maíz a lugares con más demanda o a puertos de exportación, como el Gran Rosario, resulta poco viable debido a los altos costos de transporte. Según el estudio, los precios actuales solo permiten rentabilidad en distancias menores a 700 km desde Salta. Para hacer rentable el transporte a distancias mayores, se necesitaría eliminar restricciones a las exportaciones y ajustar tarifas.

Por otro lado, el estudio "Factores de competitividad del cultivo de lechuga en Santa María Jajalpa" en México (Bobadilla Soto et al., 2010) investiga la competitividad de esta hortaliza, destacando que los agricultores de esta área se benefician de su cercanía a la Ciudad de México, lo que les brinda ventajas competitivas. Esto facilita el transporte de sus cosechas al mercado, reduciendo costos y mejorando el acceso. Las condiciones agroecológicas favorables, como suelos fértiles y clima adecuado, también contribuyen a rendimientos superiores.

La posición geográfica cercana al mercado es clave, permitiendo a los agricultores proveer productos frescos a la ciudad densamente poblada, satisfaciendo la demanda. Además, las prácticas agrícolas eficientes y el conocimiento técnico incrementan la productividad.

La combinación de ubicación estratégica y factores agroecológicos confiere ventaja competitiva, reforzando su posición en el mercado.

Otro estudio que aporta a la teoría de la localización es el artículo "Cadenas de valor agrícola en El Salvador: un estudio a nivel de municipio para el maíz" (Ayala Durán, 2022) al destacar la relación entre la cercanía de los cultivos de maíz y la ciudad donde se comercializa. En este sentido, se observa que en Ciudad Arce existen mecanismos de comunicación entre los agricultores y vecinos, a través de los cuales se comparte información sobre los lugares donde se vende el maíz blanco a mejores precios, especialmente en el casco urbano municipal.

Aunque el Ministerio de Agricultura y Ganadería produce reportes diarios de precios en mercados de todo el país, incluyendo uno relativamente cercano a Ciudad Arce, como es Santa Tecla a 40 km, los agricultores optan por el mecanismo comunitario para determinar los precios de venta de su maíz. Esta preferencia por el intercambio de información a nivel local refuerza la evidencia de una correlación entre la proximidad geográfica de los cultivos y los centros urbanos en el proceso de comercialización del maíz en Ciudad Arce.

A pesar de la evidencia empírica en el incremento de costo de transporte mientras más lejano se encuentre el mercado de la actividad productiva, el modelo de Von Thunen no tuvo aceptación por parte de algunos científicos por varias causas, entre ellas que es un modelo generado a inicio del siglo XIX cuando aún no se creaban los mercados nacionales en Alemania y las condiciones eran totalmente distintas en cuanto a costos y necesidades (García, 1976).

Otra de las causas señala que el espacio isotrópico no es real, pues el relieve y el tipo de suelo es variable según la región, además de que existen varias rutas de acceso a los mercados, la modernización del transporte y el hecho de que normalmente haya más de un mercado, todo esto conlleva a que el modelo concéntrico no sea regular (Engler et al., 2005).

Uno de los mayores críticos de la teoría fue Andreas Grotewold, quien indicó que los costos de envío no son estrictamente proporcionales al volumen y a la distancia, sino que precisamente dependen del medio de transporte y de las mercancías enviadas. Los anillos de Von Thunen sugieren que los alimentos más perecederos se ubiquen más cerca de la ciudad, sin embargo, ahora es posible transportar largas distancias bajo refrigeración. Asimismo, los agricultores que se benefician de la corta distancia al mercado no pueden

competir con quienes cultivan extensas áreas en las afueras de la ciudad contando con mejor calidad de suelo, mano de obra barata o bajos impuestos (Grotewold, 1959).

A pesar de las críticas, hubo quienes defendieron esta teoría como Alexander Melamid, quien justificó el modelo en base a estudios realizados en Venezuela y Brasil, especialmente después de que Von Thünen realizará un nuevo cálculo de datos, donde considera la aparición de nuevos medios de comunicación como la navegación a vapor y el ferrocarril, lo cual abrió las puertas a que el modelo se pueda utilizar a una mayor escala y las ideas básicas de esta teoría se conviertan en la base de los modelos de crecimiento económico a nivel mundial (García, 2007)

Otros autores también aprobaron el modelo e incluso realizaron pequeños cambios para adaptarlo a las diferentes realidades, como es el caso de Piers Blaikie en una investigación realizada en aldeas de la India. Asimismo, autores como Day y Timney intentaron transformar el modelo estático de Von Thunen en un modelo dinámico, lo cual permitió que el modelo haya sido usado en años posteriores (García, 1976)

2.3.2 Principio de autocorrelación espacial

En 1970 surgió un supuesto por parte del geógrafo Waldo Tobler, quien formuló la primera ley de la geografía o principio de autocorrelación espacial “Todas las cosas están relacionadas, pero las cercanas están más relacionadas que las distantes” (Celemín, 2020, p. 2). Este principio pasó desapercibido en la literatura geográfica en los años setenta y ochenta, sin embargo, el auge de los SIG en los años noventa permitió alcanzar un grado de notoriedad no solo en geografía sino en otras disciplinas

Este supuesto ha sido la base para los métodos de interpolación: “el principio clave de la interpolación espacial es la observación de las ubicaciones cercanas en espacio tienen más probabilidad de tener valores similares que las ubicaciones lejanas” (Strobl et al., 2019, p. 22).

2.3.3 Análisis coste-distancia

Las herramientas de coste-distancia permiten determinar la ruta menos costosa midiendo la distancia ponderada más corta desde cada celda hasta la ubicación de origen más cercana, y son las siguientes (Esri, 2021c):

• Distancia de costo: Calcula el menor coste-distancia acumulativo para cada celda desde o hasta el origen de menor coste por una superficie de coste.

• Vínculo de menor coste: define el vecino que es la celda siguiente en la ruta de menor coste acumulado a la fuente más cercana.

• Asignación de costes: obtiene el origen más cercano para cada celda basándose en el menor coste acumulado sobre una superficie de coste.

• Ruta de coste: indica la ruta de menor coste desde un origen hasta un destino.

• Coste-conectividad: proporciona la red de conectividad de menor coste entre dos o más regiones de entrada.

La distancia euclidiana supone que el territorio es homogéneo y no presenta ninguna restricción de distancia entre dos puntos; y, la distancia de costo es aquella que considera las heterogeneidades e irregularidades, tales como, las edificaciones en un medio urbano. Muchas veces la distancia euclidiana y la distancia de costo pueden coincidir al tratarse, por ejemplo, de dos localizaciones situadas a lo largo de una misma vía (Muñoz, 2012)

La figura 7, tomada de un estudio de geoestadística en regiones heterogéneas con distancia basada en el coste, muestra la diferencia entre las distancias (A, B, C, D) medidas en metros hasta el punto rojo, la primera basada en el coste y la segunda en la distancia euclídea.

Figura 7 Distancias basadas en el coste y distancia euclídea (Muñoz, 2012)

Una red vial utilizada para el transporte de bienes puede ser ilustrada por un grafo, que contiene arcos y nodos, donde, los arcos vendrían a ser los segmentos o secciones de las carreteras; y, los nodos serán los puntos de origen y destino de los bienes (Ver figura 8)

Cada arco tendrá asociado un coste, el cual se refiere a parámetros tales como la longitud de la distancia entre los vértices, el tiempo de viaje o el coste propiamente dicho (Rodríguez, 2008).

Figura 8 Ejemplo de grafo ilustrando diferentes tipos de caminos (Menéndez, 1998)

Para desplazarse de un lugar a otro se requiere contar con medios de transporte que trasladen personas y mercancías a través de las vías disponibles, la Red Vial Nacional es el conjunto total de las carreteras existentes en el territorio ecuatoriano y consta de 3 categorías según su jurisdicción: Red vial Estatal, Red vial Provincial y Red vial Cantonal (MTOP, 2018)

De acuerdo con las particularidades de cada tramo de carretera, el costo de desplazamiento será diferente, lo cual se constituye la fricción y su valor se atribuye de acuerdo al mayor o menor grado de dificultad que ofrezca el desplazamiento. Según la metodología de Ramírez se recurre a las velocidades medias para recorrer cada tipo de carretera, las mismas que fueron estimadas a partir de la velocidad máxima permitida en las vías nacionales (Ramírez, 2002).

En un conjunto de carreteras, las rutas pavimentadas nacionales tienen menor fricción al desplazarse que aquellas que presentan un aspecto menos favorable que presentan mayor grado de fricción, llegando a la conclusión que cuanto mayor es el recorrido que las personas deben realizar para llegar a su punto de destino más se entienden los costos de desplazamiento por la distancia involucrada (Ramírez, 2002).

Cualquier capa que incluya variables de coste, que son de tipo cuantitativo y generalmente continuas, se denomina superficie de fricción, donde el valor de cada celda está relacionado con el coste en recorrer esta celda. Existen valores contenidos en una superficie de fricción, por ejemplo, una capa de pendientes que dificulta el desplazamiento según el grado de la pendiente, el tiempo en atravesar una celda o la velocidad media de tránsito a través de una celda, todo esto representa un coste (Olaya, 2020)

La figura 9 muestra una capa ráster con valores de fricción, donde se puede calcular el coste total de recorrer la ruta sumando los costes de cada movimiento entre celdas contiguas.

Figura 9 Capa ráster con valores de fricción (Olaya, 2020)

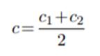
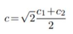
Olaya (2020) define una expresión para los desplazamientos en dirección horizontal o vertical, y otra, para los desplazamientos diagonales:

Desplazamientos horizontales y verticales

Desplazamientos diagonales

Donde, c1 y c2 corresponden a las fricciones respectivas de las celdas entre las cuales se da el desplazamiento.

2.3.4 Network Analysis

La herramienta Network Analysis es una herramienta de ArcGIS que calcula la ruta óptima mediante el algoritmo de Dijkstra, desarrollado por Edgar Dijkstra, para encontrar la ruta más corta en una red de nodos y caminos con costos asociados. El algoritmo equilibra eficiencia y precisión al seleccionar los nodos a visitar durante iteraciones comparativas para obtener un camino cercano al óptimo La extensión Network Analyst permite encontrar rutas eficientes, determinar proximidad de instalaciones o vehículos, generar direcciones de viaje y ubicar áreas de servicio cercanas (Karadimas et al., 2007)

Asimismo, Esri (s/f-a), indica que esta herramienta permite realizar análisis de rutas, cálculos de tiempos de viaje y distancia, y evaluar la accesibilidad y la capacidad de la red. Además, la herramienta es capaz de incorporar el servicio de transporte público programado en un dataset de red, lo que la hace muy útil en la gestión de vehículos.

Esta herramienta utiliza al máximo las capacidades que ofrecen los SIG y es un gran aporte en la toma de decisiones ya que, como se ha señalado, permite ejecutar varias acciones según la impedancia que se determine (Elsheikh et al., 2016).

Por tanto, la elección de la impedancia establece el tipo de ruta óptima a encontrar, ya sea la más rápida o más corta (Ver figura 10). Si se utiliza el tiempo como impedancia, la mejor ruta sería la más rápida, pero si se utiliza un atributo de tiempo que tenga en cuenta el tráfico histórico o en vivo, entonces la mejor ruta sería la más rápida en una fecha y hora específicas. En resumen, la mejor ruta se puede definir como la que tiene la impedancia más baja o el menor costo, según la elección de la impedancia, que puede ser cualquier atributo de costo (Esri, 2021a)

Figura 10 Ruta de trayectoria más rápida en Network Analysis (Esri, 2021a)

2.4Evidencia de

investigaciones

Se ha documentado una serie de estudios en la región de América Latina y el Caribe que investigan la interacción entre los precios de los productos agrícolas y la proximidad de los mercados. A continuación, se presenta un extracto de investigaciones representativas provenientes de Argentina, México, El Salvador, Colombia y además un estudio realizado en España

El estudio "La logística del transporte de maíz en Argentina (segunda parte)" (Bergero y Calzada, 2015) analiza de qué manera el transporte de maíz se ve impactado por el flete camionero en distintas regiones del país. Para llevar a cabo este análisis, se recurre a la exploración de escenarios de simulación que buscan determinar la rentabilidad del transporte en variados contextos de precios y costos. Este análisis se realiza mediante la formulación y examen de diversos supuestos que modelan tanto las condiciones económicas como logísticas. Las simulaciones incorporan variables críticas, tales como los precios del maíz y los costos asociados al flete camionero y ferroviario.

Estas simulaciones se ejecutan a través de modelos económicos integrales, que incluyen modelos de oferta y demanda para simular el impacto de cambios en los precios del maíz en diferentes regiones, afectando así los volúmenes de transporte. Asimismo, se emplean modelos de costos para evaluar los costos de transporte considerando aspectos como distancias y tipos de transporte, junto con herramientas estadísticas y análisis de datos para examinar información histórica y realizar proyecciones, que permiten comprender las tendencias y patrones

La metodología utilizada para determinar los factores de competitividad en el estudio "Factores de competitividad del cultivo de lechuga en Santa María Jajalpa" en México (Bobadilla Soto et al., 2010) combinó datos cuantitativos y cualitativos. La información macro y meso provino de fuentes secundarias, como cifras estadísticas de instituciones públicas y agencias internacionales, con complementos obtenidos mediante siete entrevistas a informantes clave, incluyendo funcionarios bancarios y públicos. Para datos micro, se realizó trabajo de campo con encuestas no probabilísticas a 41 productores de lechuga y entrevistas semiestructuradas con el mismo número de productores, centrándose en costos de producción y comercialización.

Los datos cuantitativos se procesaron en el paquete estadístico SPSS (Statistical Package for the Social Sciences), mientras que las entrevistas se analizaron mediante un enfoque de contenido, destacando la importancia de la ubicación y las condiciones agroecológicas

para la competitividad del cultivo en Santa María Jajalpa. La proximidad a la Ciudad de México y condiciones favorables fueron identificadas como elementos clave para mejorar rendimientos y aprovechar oportunidades económicas.

El artículo "Cadenas de valor agrícola en El Salvador: un estudio a nivel de municipio para el maíz" (Ayala Durán, 2022), se enfocó en Ciudad Arce debido a su proximidad a los centros urbanos donde se comercializa el maíz y la presencia de instituciones públicas agropecuarias. El estudio se centra en la vinculación de las explotaciones de maíz con el mercado y los actores locales. La metodología adoptó una escala espacial y trabajo de campo para realizar un estudio territorial, permitiendo la comparación con otras investigaciones a nivel nacional y regional. La operacionalización se basó en el mapa de mercado, considerando el entorno promotor, los actores de la cadena y los proveedores de servicios, con el objetivo de fortalecer la cadena de valor integrando insumos locales. El trabajo de campo incluyó entrevistas semiestructuradas con 82 agricultores, asegurando representatividad mediante saturación, y se enriqueció con entrevistas a actores relevantes de la cadena, como vendedores comerciales, extensionistas y revendedores.

En el estudio de áreas de influencia del sistema de salud en ciudades costeras de Quintana Roo (Cuza-Sorolla et al., 2021), se aplica la herramienta de polígonos Thiessen. El objetivo de esta investigación es determinar la capacidad de las unidades médicas ante la pandemia de COVID-19, superponiendo variables de densidad poblacional y grado de marginación urbana en cuatro ciudades costeras.

La metodología utiliza los polígonos Thiessen para crear áreas de influencia en torno a centros de salud, identificando zonas más vulnerables por carencias económicas y acceso limitado a servicios de salud en Cancún, Playa del Carmen, Tulum y Chetumal. Donde, cada polígono Thiessen, se designa para representar una zona concreta de influencia alrededor de un centro de salud. Este método permitió segmentar la región en distintas áreas, cada una asociada a la influencia de un punto de atención médica.

En la investigación sobre redes de comunicación de la Cataluña romana (De Soto, 2011), la metodología adoptada se basa esencialmente en la teoría de grafos y utiliza herramientas de Network Analysis. Se ha representado cada ciudad y nudo de comunicaciones mediante nodos, y se ha asignado a cada fragmento de vía de comunicación un arco, conservando su trazado real para facilitar la identificación.

El análisis se inició con la aplicación del concepto de grado de centralidad, una métrica fundamental en Network Analysis que evalúa la importancia de un nodo en función de su

conectividad con otros nodos en la red. En el contexto de esta investigación, este grado de centralidad se interpreta como la capacidad máxima de un nodo para comunicarse con otros nodos, y se calculó como la suma de las diversas vías de comunicación asociadas a dicho nodo.

Este enfoque ha permitido no solo entender la centralidad de cada ciudad y nudo en relación con el resto de la red, sino también identificar patrones de conectividad y evaluar la eficiencia de la red de comunicaciones en su conjunto. La aplicación de la teoría de grafos y Network Analysis ha proporcionado una herramienta sólida y efectiva para desentrañar la complejidad de las redes de comunicación de la Cataluña romana y entender su estructura, conectividad y dinámicas de comunicación.

La metodología empleada en el estudio de análisis de rutas de transporte de pasajeros en la Ciudad de Medellín (Serna-Uran et al., 2016), se basó en Network Analyst. Inicialmente, se identificaron los diferentes barrios y comunas de Medellín para un tratamiento adecuado de la matriz origen-destino. Se procedió a construir la malla vial de la ciudad, incorporando atributos como el sentido de las vías y la velocidad máxima permitida.

La representación geográfica de la malla vial en el sector El Poblado se llevó a cabo siguiendo la metodología propuesta, con validaciones topológicas. La creación del dataset de red implicó la ubicación de nodos en las intersecciones de las vías, configurando funciones de evaluación para considerar el sentido de las vías y atributos como la velocidad máxima permitida, semaforización, cruces prohibidos, entre otros.

La generación de una ruta óptima consistió en colocar puntos de control basados en una ruta existente y ejecutar la herramienta Network Analyst para trazar una ruta óptima según los parámetros definidos. Finalmente, el análisis de rutas comparó la ruta actual con la trazada por el algoritmo de optimización, utilizando la matriz origen-destino que indicaba el número de pasajeros, tiempos de viaje y otros factores relevantes. Los resultados revelaron las mejoras en la ruta utilizando Network Analyst

3. METODOLOGÍA

3.1Descripción y localización del área de estudio

Ecuador es un país ubicado en la costa noroeste de América del Sur con un área aproximada de 283,561 kilómetros cuadrados. Limita al norte con Colombia, al sur y al este con Perú, y al oeste con el océano Pacífico. Su ubicación geográfica le otorga una diversidad de paisajes y ecosistemas, consta de cuatro regiones geográficas principales: la región costera, la región andina, la región amazónica y las islas Galápagos. La costa ecuatoriana se extiende a lo largo del litoral del océano Pacífico, la región andina se encuentra en el centro del país y se extiende a lo largo de la cordillera de los Andes, hacia el este se expande la región amazónica, que cubre una gran parte del territorio ecuatoriano y está compuesta principalmente de selva tropical; y finalmente, el archipiélago de Galápagos, ubicado aproximadamente a mil kilómetros de la costa ecuatoriana y que es reconocido por su gran diversidad biológica.

Ecuador cuenta con una rica variedad de cultivos gracias a sus diversos suelos, climas y ubicación geográfica, siendo Costa y Sierra las regiones más productivas. Destacan productos como arroz, trigo, maíz, legumbres, frutas, café, cacao y banano, entre otros, consolidando su posición en la agricultura (Basantes, 2022)

La información sobre la capa de cultivos de maíz suave, accesible a través del Geoportal del Ministerio de Agricultura, se deriva del mapa de cobertura y uso de la tierra en el Ecuador continental a una escala de 1:100,000, elaborado en el año 2014. Este mapa abarca un total de 23 tipos de cultivos, que comprenden diversos productos agrícolas. Estos cultivos representan el resultado de la aplicación de un conjunto de técnicas y conocimientos especializados para el cultivo de la tierra. La figura 11 ilustra los principales cultivos identificados en esta clasificación (MAG, 2014)

Figura 11 Principales cultivos del mapa de cobertura y uso de la tierra

Aunque en el año 2020 se realizó una actualización a escala 1:25,000, ésta solo abarcó hasta el nivel "maíz", que engloba dos tipos de cultivos: el maíz amarillo duro y el maíz suave. Por esta razón, para el presente trabajo se utilizará la cobertura de maíz suave choclo del año 2014, ya que esta cobertura contiene los dos tipos de maíz de forma individual.

El maíz suave se distribuye extensamente a lo largo de la región andina ecuatoriana, abarcando provincias como Azuay, Bolívar, Cañar, Carchi, Chimborazo, Cotopaxi, Imbabura, Loja, Pichincha, Sucumbíos y Tungurahua. Estos suelos cuentan con condiciones agroecológicas favorables para su cultivo. La elección de estas regiones se

debe a la altitud, la temperatura y otros factores ambientales que contribuyen al desarrollo óptimo de este tipo de maíz. En el año 2014, la superficie de maíz suave sembrado fue de 107,072 Ha (Ver figura 12).

Los agricultores y productores de maíz suave abastecen los mercados del país con una variedad de productos derivados del maíz suave, lo cual contribuye significativamente a la economía agrícola del Ecuador.

Figura 12. Localización de cultivos de maíz suave en Ecuador

La información de vías proviene de tres fuentes distintas que abarcan vías nacionales, provinciales y cantonales. Estas fuentes son el Ministerio de Transporte y Obras Públicas del año 2019, el Geoportal del Instituto Geográfico Militar, cuya última actualización fue en el año 2013 a una escala de 1:50 000, y el Instituto Nacional de Estadísticas y Censos del año 2021, respectivamente.

3.2Diagrama de flujo

Figura 13 Diagrama de flujo de la metodología

El diagrama de flujo presentado en la figura 13 muestra los cuatro pasos del proceso metodológico que se siguió en esta investigación:

Inicio: En este paso se definirá el ámbito geográfico del estudio y se recopilará y depurará la información geográfica necesaria para relacionar los precios del maíz suave en los mercados mayoristas y la distancia entre los cultivos y los mercados.

Preparación de información: Se realizará una clasificación y homologación de las vías nacionales conforme al catálogo nacional de objetos geográficos para preparar la información para el análisis espacial. Se descargará la información de precios de maíz suave disponible para los mercados mayoristas seleccionados del año 2021 y se obtendrá el precio promedio por mercado.

Análisis: Se elegirá un cultivo por provincia a través del cálculo del centroide de los cultivos y se creará un análisis de proximidad mediante la creación de polígonos de Thiessen para encontrar el mercado mayorista más cercano. Se aplicará la topología a la capa de vías con el fin de detectar y corregir posibles errores de digitalización.

Resultados: Se generarán mapas que mostrarán la ruta óptima desde los cultivos hasta cada mercado mayorista. Además, se proporcionará una matriz que relacionará la distancia entre el punto de origen y destino con el precio de venta del maíz suave para cada mercado mayorista.

La elección de la metodología se fundamenta en los objetivos de esta investigación, que buscan determinar la relación espacial entre los cultivos de maíz suave choclo y los precios en los mercados mayoristas en Ecuador. Este propósito demanda un enfoque integral que abarque puntos origen-destino y redes viales, orientando así la selección de las herramientas utilizadas

La utilización de la técnica de polígonos de Thiessen para determinar la proximidad entre los cultivos de maíz suave choclo y los mercados mayoristas se basó del análisis de áreas de influencia del sistema de salud en ciudades costeras de Quintana Roo, México. En este estudio, la aplicación de dicha herramienta facilitó una evaluación eficaz de la cercanía y las áreas de influencia de centros de salud (Cuza-Sorolla et al., 2021)

Los casos de estudio que incorporan la metodología de Network Analysis, fortalecen la pertinencia de esta técnica. La investigación en la Cataluña romana destaca la importancia del análisis de grafos en la reconstrucción de rutas históricas, mientras que el estudio en Medellín evidencia su aplicación contemporánea al contrastar rutas actuales con aquellas optimizadas mediante algoritmos de Network Analyst (De Soto, 2011).

Estos casos respaldan la eficacia de la metodología elegida para abordar la complejidad espacial de la relación entre los cultivos de maíz y los mercados mayoristas en Ecuador.

3.3Desarrollo de la metodología

3.3.1 Preparación de información

➢ Clasificación y homologación de vías

La clasificación nacional de vías del Ecuador corresponde a las redes viales estatal, provincial y urbana (Ver figura 14). De este conjunto de vías, las más actualizadas son las vías pertenecientes a la Red Vial Cantonal Urbana levantadas por el Instituto Nacional de Estadísticas y Censos, que se refiere al “conjunto de vías que conforman el casco urbano de una cabecera cantonal y parroquial rural, y aquellas vías que, de conformidad con cada planificación municipal, estén ubicadas en sectores susceptibles de urbanizarse” (CNC, 2014, p. 3); y, el otro conjunto de vías actualizadas son aquellas que pertenecen a la Red Vial Estatal, información generada por el Ministerio de Transporte y Obras Públicas, que corresponde al “conjunto de vías conformadas por las troncales nacionales que a su vez están integradas por todas las vías declaradas por el Ministerio rector como corredores arteriales o como vías colectoras” (MTOP, 2018, p. 3).

Ambas capas de vías tienen la ventaja de haber sido trabajadas a una escala grande (1:5 000), lo cual permite tener mayor detalle y precisión en cada tramo y nodo de la red vial. Sin embargo, no cubren la totalidad del territorio nacional por lo que fue necesario integrar información a una escala mediana (1:50 000) generada por el Instituto Geográfico

Militar con datos de vías provinciales y perimetrales que permitan obtener la mayor cantidad de conexiones existentes y se conforme la red vial nacional.

➢ Precio del maíz suave

Como se indicó en el alcance de este estudio, se tomó en cuenta los 6 mercados mayoristas de los 7 existentes que comercializan el maíz suave, ubicados en las ciudades

Figura 14 Clasificación de la red vial nacional

de Quito, Cuenca, Guayaquil, Ibarra, Riobamba, Ambato, cinco de ellos distribuidos a lo largo de la sierra ecuatoriana y uno en la costa (Ver figura 15).

Figura 15. Mercados mayoristas a nivel nacional adaptado de MAG, 2023

El Ministerio de Agricultura y Ganadería, a través del Sistema de Información Pública Agropecuaria, muestra datos estadísticos y geográficos que reflejan la situación del sector agropecuario del Ecuador desarrollada para productores y actores económicos involucrados en la producción y en los mercados agrícolas y de servicios.

Entre la información estadística disponible se encuentra el registro de precios de productos existentes en los mercados mayoristas del país. Para esta investigación se utilizó los datos del maíz suave choclo en 6 mercados en el rango de fechas comprendido entre el viernes

01 de enero de 2021 y el viernes 31 de diciembre de 2021, con el número de tomas presentado en la tabla 1.

Tabla 1. Número de registros del año 2021 del precio de maíz en los mercados mayoristas

Debido a la variación en los reportes de precios por mes y por mercado, se calculó la media aritmética mensual para obtener una matriz comparable y resumida (tabla 2). Para esto se utilizó la fórmula del promedio aritmético para cada mes.

Por ejemplo, para calcular el precio promedio (USD) del mes de enero del reporte del mercado “Ambato EP-EMA”, se puede ver en la tabla 1 que para este mes existen 12 observaciones, por tanto, se suman todos los precios (����) y se divide para 12, obteniendo de esta forma el precio promedio (USD) de enero para este mercado, que es de 15,36. Este cálculo se replica para cada mes de cada mercado (Do-file de STATA), y se obtienen los promedios presentados en la tabla 2.

Tabla 2. Precio mensual promedio del maíz por mercado mayorista (USD)

3.3.2 Análisis de proximidad

➢ Selección de cultivos

Para analizar la distancia de costo se requiere contar con una red vial, con puntos de origen y puntos de destino. Los primeros corresponden a los cultivos de maíz suave y los segundos a los mercados mayoristas, estos últimos fueron previamente identificados y son

los que harán las veces de puntos de llegada por lo que ahora es necesario localizar los puntos de partida.

La capa de maíz suave disponible para descarga desde el Geoportal del Agro Ecuatoriano presenta las parcelas de cultivo fusionadas por provincia, es decir, se cuenta con un polígono de maíz suave por cada una de las 11 provincias donde esta gramínea se encuentra presente, sin embargo, el polígono no es una entidad que sirve como punto de partida, se requiere un punto representativo dentro del polígono y para determinarlo se usó el criterio basado en el cálculo del punto central de entidades vectoriales a través de la herramienta “Feature to point” (Ver figura 16).

Figura 16 Herramienta Feature to Point

Para cumplir el objetivo de este estudio es muy importante seleccionar la función “inside” ya que, al no hacerlo y por ser polígonos multiparte, el punto central podría localizarse fuera del polígono, pero lo que se necesita es generar un punto de origen donde efectivamente exista un cultivo. Por lo tanto, se debe especificar que este punto representativo se encuentre adentro del polígono (Ver figura 17).

Figura 17 Diferencia de ubicación del punto central con y sin la función “inside”

De esta manera, se obtuvo los 11 puntos centrales para los cultivos de maíz suave de las 11 provincias que albergan este cultivo. Posteriormente, se calculó las coordenadas “x” y “y” dentro de la tabla de atributos (Ver tabla 3).

Tabla 3 Tabla de atributos del maíz suave por provincia

CAÑAR

LOJA CULTIVO ANUAL CEREALES MAIZ SUAVE

CULTIVO ANUAL CEREALES MAIZ SUAVE

IMBABURA CULTIVO ANUAL CEREALES MAIZ SUAVE

La tabla de atributos mantiene su codificación original según el Catálogo Nacional de Objetos Geográficos en su segunda versión, elaborada por la que hoy es la Secretaría Nacional de Planificación (Ver figura 18). En la actualidad, el Ministerio de Agricultura y Ganadería cuenta con el Catálogo Nacional de Objetos Geográficos y Productos Cartográficos Agropecuarios volumen IV (MAG, 2020).

Figura 18. Codificación de tabla de atributos para el objeto “Cultivo”

➢ Polígonos de Thiessen

Una vez seleccionados los puntos de cultivo de maíz suave, se procede a definir regiones homogéneas a través de la creación de polígonos de Thiessen, donde cada uno de estos puntos se encontrará dentro de un polígono de la teselación del plano generado a través de este método. Es importante definir que la extensión de estas teselas cubre todo el territorio nacional (Ver figura 19).

Figura 19 Polígonos de Thiessen para cultivos de maíz suave

Sobre este teselado se coloca la información de mercados mayoristas para determinar la proximidad al cultivo y de esta manera cada cultivo tiene su correspondiente mercado mayorista, obteniéndose así los puntos origen-destino (Ver figura 20).

3.3.3 Edición y topología de vías

Como siguiente paso, se recalca la importancia en la edición de datos geográficos, en este caso de las vías a ser utilizadas. Este proceso radica en detectar problemas a través de la creación, modificación o eliminación de entidades para conseguir una capa de entidades bien pulida, sin errores y que permita generar nuevos procesos de análisis de red.

Este proceso de edición tiene dos momentos: 1) Edición manual de vías que incorpore las tres clases de vías existentes en una sola capa. 2) Creación de topología para detectar y corregir posibles errores de digitalización.

Una vez generados los puntos de origen y destino se generó cuadrantes que delimiten las áreas de trabajo para cada mercado y cultivo con el fin de facilitar la edición de las vías y

Figura 20 Proximidad de cultivos y mercados

cubrir únicamente el área necesaria para realizar posteriormente el análisis de red (Ver Figura 21).

Figura 21 Áreas de trabajo para edición de vías

Con las seis áreas de trabajo definidas se prosigue a extraer las vías que están dentro de este polígono a través de la herramienta de recorte “Clip”

Con el recorte realizado en las seis áreas de trabajo, el primer momento de edición se efectúa manualmente a partir de las vías urbanas, ya que resulta más conveniente incorporar a esta capa las vías faltantes de la red vial estatal y provincial/perimetral y no viceversa, por lo que la red vial urbana se convierte en la capa base. Este ejemplo muestra cómo se conecta una vía urbana con otra siguiendo la vía estatal (Ver figura 22).

Figura 22 Ejemplo de edición manual con la herramienta “Continue Feature”

Cabe considerar que antes de iniciar la edición de atributos de la capa base, se verificó que su tabla respectiva contenga la información necesaria para editar respetando la digitalización original. Por ejemplo, la vía de tipo eje “Panamericana” es la vía sobre la cual se continuó el trazado hasta llegar a un nodo de conexión de la misma capa, siguiendo la dirección de la vía estatal (Ver figura 23).

Figura 23 Tabla original de atributos de la red vial urbana

Después de obtener una única capa de características utilizando la red vial de cada cuadrante, se procede a crear una geodatabase que albergue dicha capa. Se establece

una topología en la geodatabase para identificar cualquier tipo de fallo que pueda causar dificultades en el análisis de la red más adelante. Se aplican diversas reglas para lograr este fin, y entre las más importantes se encuentran las siguientes (Ver figura 24):

• No debe superponerse (línea)“Must not overlap (line)”

• No debe haber intersección (línea)“Must not intersect (line)”

• No debe haber cabos sueltos (línea)“Must not have dangles (line)”

• No debe haber pseudo-nodos (línea)“Must not have pseudo-nodes (line)”

Figura 24 Determinación de reglas principales en la creación de Topología

A más de estas reglas, se genera por defecto la regla “Debe ser mayor que la tolerancia clúster”, la cual se refiere a la distancia mínima entre los vértices que conforman una entidad. Aquellos vértices que se encuentren dentro de dicha tolerancia serán considerados como coincidentes. Se trata de una regla esencial para establecer una topología y se aplica a todas las clases de entidad de polilínea (Ver figura 25).

Figura 25 Ejemplo de regla “Debe ser mayor que la tolerancia cluster”

Cualquier polilínea que pueda colapsarse durante la validación topológica es considerada un error. En caso de que se presenten este tipo de entidades, se aplicarán soluciones predefinidas, entre las cuales se encuentra la eliminación de aquellas polilíneas que colapsarían durante el proceso de validación

Dentro de la regla “No debe superponerse” se requiere que las líneas de una clase o subtipo de entidad no se superpongan con ninguna otra parte de otra línea. Las líneas

pueden tocarse, intersecarse y superponerse a sí mismas sin problema. Esta regla se utiliza en situaciones en las que se debe evitar que líneas específicas compartan espacio con otras líneas, por ejemplo, cuando las líneas de lotes no pueden superponerse entre sí (Ver figura 26).

26 Ejemplo de regla “No debe superponerse”

Para este caso, se remueve los segmentos de línea que se superponen en la entidad que causa el error eligiendo la entidad que se desea preservar.

Otra de las reglas es quelas líneas no deben intersecarse, donde se establece como norma que las líneas dentro de una misma clase o subtipo de entidad no deben intersecarse o superponerse en ningún punto. Esta regla se aplica a líneas cuyos segmentos nunca deben cruzarse ni ocupar el mismo espacio que otras líneas (Ver figura 27).

Figura 27 Ejemplo de regla “No debe intersecarse”

Existen dos opciones de corregir este error: borrar los segmentos de línea que se superponen en la entidad que está generando el error, donde es posible seleccionar la entidad que se desea conservar o aplicar la corrección a todos los errores; y, fragmentar las entidades de línea que se intersecan en su punto de cruce. Si dos líneas se cruzan en un solo punto, la herramienta producirá cuatro entidades resultantes. Los atributos de las entidades originales se mantendrán en las entidades divididas.

Otra de las reglas es que no debe haber cabos sueltos, se refiere a que el final de una línea debe tocar otra línea o su propia parte dentro de una entidad. Esto permite que las líneas en una clase o subtipo se conecten. Hay excepciones para los segmentos de carretera que terminan en callejones sin salida (Ver figura 28).

Figura

Figura 28 Ejemplo de excepciones a la regla “No debe haber cabos sueltos” Los comandos utilizados para corregir estos errores fueron Extend, Trim to Length y Snap. Extend extiende el final de las líneas si se ajustan a otras líneas dentro de una distancia determinada, mientras que Trim to Length recorta el final de las líneas si la intersección está dentro de la distancia especificada (Ver figura 29). Snap ajusta el final de las líneas a la línea más cercana dentro de una distancia determinada, buscando primero los extremos para ajustar, luego los vértices y, por último, el borde de las líneas en la clase de entidad. Al aplicar la corrección, las entidades que no se pueden corregir se saltan y se mantienen como errores.

Figura 29 Ejemplo de uso del comando Trim to Length

Finalmente, la regla aplicada “no debe haber pseudo-nodos” especifica que el final de una línea no puede tocar el final de solo otra línea dentro de una clase o subtipo de entidad. El final de una línea puede tocar cualquier parte de sí misma". Esta regla se usa para limpiar datos con líneas inapropiadamente subdivididas. En este caso, en un análisis de una red vial, los segmentos de un sistema vial podrían estar restringidos a tener nodos solo en los puntos finales o de unión (Ver figura 30).

Figura 30 Ejemplo de la regla “No debe haber pseudo-nodos”

Para solventar este error se utiliza la herramienta "Merge To Largest", la cual combina la forma de la línea más corta con la de la línea más larga. Es posible seleccionar la entidad que se desea conservar o aplicar la solución a todos los errores.

3.3.4 Análisis de red

Una vez que se dispone de una red vial debidamente editada, se procede a realizar el análisis de coste-distancia correspondiente. Para tal fin, se generan diversas columnas dentro de la tabla de atributos, las cuales contienen información sobre la jerarquía de la vía o ruta, la longitud expresada en metros, la velocidad máxima permitida en kilómetros por hora y el tiempo necesario para recorrer cada segmento de vía.

Las vías están organizadas en una jerarquía que refleja su importancia y función en la red vial. La jerarquía se compone de tres niveles principales:

En el nivel más alto se encuentra la red vial estatal, que incluye las carreteras y autopistas principales que conectan las ciudades y regiones del país.

En el segundo nivel se ubican las vías perimetrales, que rodean las ciudades y conectan las diferentes carreteras estatales.

En el tercer nivel se encuentra la red vial urbana, que abarca las calles y avenidas de las ciudades y pueblos, y que es de vital importancia para la movilidad local y el acceso a los servicios básicos.

Para obtener información precisa sobre cada tramo de vía, se utilizó la herramienta de geoprocesamiento 'Calcular atributos de geometría' para medir su longitud en metros. De esta manera, se pudo obtener datos exactos y detallados sobre cada tramo, lo que resultó de gran utilidad para el análisis posterior de la red vial.

En el sector urbano, los límites de velocidad varían para diferentes tipos devehículos, como automóviles, motocicletas y transporte público de pasajeros, así como para los vehículos de carga. Además, los límites de velocidad varían en las vías perimetrales, en las rectas y curvas de las carreteras y también existen rangos moderados. Es decir, los límites de velocidad están regulados de manera específica en función del tipo de vehículo y las características de la carretera.

Con el propósito de establecer una uniformidad en las velocidades permitidas en cada red vial, se han tomado como referencia los límites máximos de velocidad para vehículos

livianos. Se considera que la carga de maíz se transporta en camionetas (pick up), las cuales se clasifican como vehículos livianos debido a que su peso de vacío es inferior a 3.5 Toneladas. En el área urbana, se ha establecido un límite de velocidad de 60 km/h; en el área perimetral, el límite es de 90 km/h; y en la red vial estatal, el límite es de 120 km/h.

Para conseguir el dato de la última columna, la fórmula que relaciona el tiempo con la distancia y la velocidad es:

Se emplea esta ecuación para estimar el tiempo que un objeto tarda en recorrer una distancia específica a una velocidad fija. La unidad de medida del tiempo varía según las unidades empleadas para la distancia y velocidad. En este caso, la distancia está medida en metros, la velocidad en kilómetros por hora y el tiempo calculado se expresará en minutos. Por tanto, la fórmula a aplicar será:

Esta fórmula traducida en lenguaje Python y que tiene como propósito calcular el tiempo dentro de la tabla de atributos se expresa:

((!long_mt!)*60)/((!vel_k_h!)*1000)

Y se calcula de la siguiente manera (Ver figura 31):

Figura 31 Cálculo de la variable Tiempo

Así, se muestra un extracto de cómo se conformó la tabla de atributos con las variables que se utilizará en esta investigación (Ver tabla 4):

Tabla 4 Tabla de atributos de la red vial

TIPO DE EJE

NOMBRE DEL EJE

Después de completar la tabla de atributos, se procede a crear el Network Dataset, el cual debe ser configurado para que el costo de ruta se base en el tiempo de viaje en lugar de la distancia recorrida. Es decir, es fundamental especificar que nuestro criterio de coste sea el tiempo de viaje para poder determinar la distancia en función de este parámetro. Además, se agregó la jerarquía con el valor previamente configurado (Ver figura 32).

1 MTOP: Ministerio de Transporte y Obras Públicas.

IGM: Instituto Geográfico Militar.

CPV INEC: Censo de población y vivienda del Instituto Nacional de Estadísticas y Censos.

Figura 32. Configuración de propiedades del Network Dataset

Después de configurar las propiedades, el siguiente paso es construir el conjunto de datos de red mediante el proceso de "Build". A continuación, se utilizó una de las herramientas que ofrece el análisis de red "Make Route Analysis Layer", la cual crea una capa de análisis de ruta en el conjunto de datos de red recién creado.

Esta capa resulta esencial para llevar a cabo el análisis de rutas en la red, a través de ella se encontró la ruta más corta entre el punto de origen (cultivo) y el punto de destino (mercado), considerando el tiempo de viaje más rápido y las opciones de salida configuradas previamente.

Tras finalizar la búsqueda de la ruta óptima, la trayectoria resultante se proyecta en el mapa y se complementa con una detallada tabla de resultados, proporcionando información esencial sobre la ruta seleccionada.

Este procedimiento no solo facilita una representación gráfica de las conexiones espaciales entre los cultivos y los mercados, resaltando las distancias y tiempos de viaje óptimos, sino que también implica la definición del tiempo como coste-distancia. Esto conduce a la creación de un diagrama que permite visualizar la relación entre la distancia y el tiempo de recorrido. Además, se profundiza en la dinámica espacial mediante una matriz que relaciona la distancia recorrida con el precio promedio del maíz suave, evidenciando patrones en un gráfico de dispersión. Estos diagramas incorporan el coeficiente de Pearson para verificar el porcentaje de correlación entre estas variables, enriqueciendo así la comprensión de las dinámicas espaciales y temporales.

4. RESULTADOS

4.1Mapas de ruta óptima

Para analizar la relación espacial entre la ubicación de los cultivos de maíz suave y el precio del producto en los mercados, se procedió inicialmente a identificar la ruta óptima desde el cultivo hasta el mercado mayorista más cercano. Para llevar a cabo este proceso, se aplicó una metodología que involucró la creación de una red vial jerarquizada, considerando la velocidad y la longitud de cada tramo de carretera, con el fin de calcular el tiempo de viaje asociado a cada ruta.

Con esta información, se construyó una base de datos de red que sirvió como fundamento para el cálculo de rutas óptimas entre diferentes puntos de origen y destino. Se implementó un algoritmo de búsqueda de rutas basado en algoritmos de grafos y optimización, que tenía en cuenta tanto la longitud de la ruta como el tiempo de viaje asociado. El objetivo principal era minimizar el tiempo de viaje, permitiendo a los productores llegar a sus destinos de manera eficiente.

Como resultado, se obtuvieron seis mapas de rutas óptimas (figuras 33 a 38), los cuales presentaron las rutas recomendadas, considerando tanto la distancia recorrida como el tiempo estimado de viaje:

➢ Ruta óptima Mercado Ibarra

➢ Ruta óptima Mercado Quito

➢ Ruta óptima Mercado Ambato

➢ Ruta óptima Mercado Riobamba

➢ Ruta óptima Mercado Cuenca

➢ Ruta óptima Mercado Guayaquil

Figura 33 Mapa de ruta óptima - Mercado Mayorista de Ibarra
Figura 34 Mapa de ruta óptima - Mercado Mayorista de Quito
Figura 35 Mapa de ruta óptima - Mercado Mayorista de Ambato
Figura 36 Mapa de ruta óptima - Mercado Mayorista de Riobamba
Figura 37 Mapa de ruta óptima - Mercado Mayorista de Cuenca
Figura 38 Mapa de ruta óptima - Mercado Mayorista de Guayaquil

4.2 Matriz de relación precio-distancia

De la Tabla 2 se desprende la figura 39, en la cual se puede visualizar que los precios del maíz suave son más altos dentro de los primeros meses del año y comienzan a descender a partir de marzo o abril.

Posteriormente, en el mes de julio los precios se estabilizan o llegan incluso a tener una baja considerable, como es el caso del mercado de Quito; y, en noviembre se observa que existe una tendencia general al alza de precios en la mayoría de los mercados.

La única excepción a esta tendencia sucede en el mercado mayorista de Ibarra, donde de principio a fin se evidencia una estabilidad relativa del precio promedio del maíz suave, que oscila entre los 0.24 y 0.32 (USD/Kg.), siendo este mercado el que ha ofrecido este producto al precio más bajo durante el año 2021 en relación a los otros mercados del país.

Figura 39 Precio mensual promedio del maíz por mercado mayorista (USD)

Con los resultados obtenidos en las tablas de atributos de cada mapa de ruta óptima, se muestra la tabla 5. Es importante recordar que esta investigación definió al tiempo como el coste-distancia, por lo que la menor distancia de cada ruta óptima representa el menor tiempo de recorrido para esa ruta en particular.

Tabla 5. Distancia y tiempo de las rutas óptimas

14

A continuación, se elaboró un diagrama (Ver figura 40) para visualizar la tendencia de los datos obtenidos. Al elaborar un diagrama es importante tener en cuenta que, en el caso de tener una muestra pequeña como ocurre en este estudio, es posible que la información sea limitada para evaluar la relación entre dos variables. Sin embargo, existen algunas técnicas estadísticas que se pueden utilizar para explorar la relación entre dos variables en una muestra pequeña.

Se optó por llevar a cabo un análisis visual de los datos mediante la utilización de gráficos, específicamente diagramas de dispersión. Este tipo de representación gráfica facilita la identificación de patrones o tendencias en los datos, ofreciendo una clara indicación visual de la relación existente entre las variables.

El siguiente diagrama de dispersión (Ver figura 40) muestra la relación entre la distancia que existe entre el cultivo y el mercado y el tiempo que tardó en recorrer esta distancia, a través de puntos en un plano cartesiano. Cada punto representa una observación y su posición en el gráfico indica los valores de las dos variables para esa observación.

En este contexto, aunque la correlación entre la distancia y el tiempo es ampliamente reconocida, este análisis confirma la correlación en el contexto específico del estudio al observar la tendencia lineal Este respaldo se fundamenta en una correlación del 99%, según el coeficiente de Pearson, con un nivel de confianza del 95%.

Figura 40 Relación distancia - tiempo

La segunda matriz que se obtiene a partir de los mapas de ruta óptima establece una relación entre la distancia recorrida y el precio promedio del año 2021 del maíz suave por mercado mayorista (Ver tabla 6).

Tabla 6 Distancia ruta óptima y precio del maíz suave

A partir de esta matriz se creó nuevamente un gráfico de dispersión que ilustra la relación entre ambas variables mediante la representación de puntos en el plano cartesiano.

La tendencia evidenciada en la figura 41 indica que a medida que se incrementa la distancia entre los cultivos y los mercados, el precio del maíz suave tiende a aumentar. Esta tendencia está respaldada por una correlación del 60%, determinada mediante el análisis del coeficiente de Pearson, con un nivel de confianza del 95%. Se destaca, sin embargo, la presencia de dos notables excepciones en los precios observados en los Mercados Mayoristas de Quito y Cuenca.

Figura 41. Relación distancia ruta óptima y precio del maíz suave (USD) en cada mercado

5. DISCUSIÓN

La investigación abordó las interrogantes planteadas en la introducción, centrando su enfoque en la determinación de la relación espacial entre los cultivos de maíz suave y los precios del producto en los mercados mayoristas ecuatorianos.

Para responder a la primera pregunta, referente al establecimiento de la cercanía o proximidad geográfica entre los cultivos y la ubicación de los mercados mayoristas en Ecuador, se utilizó una metodología ampliamente empleada que incluyó la selección de un cultivo por provincia mediante el cálculo del centroide de los cultivos y la creación de polígonos de Thiessen en torno a estos centroides Esta aproximación demostró ser una herramienta ventajosa para establecer áreas de influencia y, en este caso, encontrar el mercado mayorista más cercano a cada punto representativo de los cultivos

La aplicación de topología a la capa de vías agrega un nivel adicional de precisión al proceso. Esta acción corrige posibles errores de digitalización, asegurando una representación más exacta y fiable de la relación entre los cultivos y la red vial. Este enfoque de corrección de errores es fundamental, especialmente en análisis de rutas, como se evidenció en el estudio de transporte realizado en Medellín (Serna-Uran et al., 2016)

La definición de regiones homogéneas mediante polígonos de Thiessen es un paso que permite comprender la distribución espacial de los cultivos. La teselación del plano generado por este método abarca todo el territorio nacional, asegurando una representación integral de las áreas de cultivo y sus respectivas influencias.

Comparando esta metodología con el estudio de áreas de influencia del sistema de salud en ciudades costeras de Quintana Roo, donde también se utilizan polígonos de Thiessen, se destaca la versatilidad de esta herramienta en contextos diversos. En el estudio de salud, los polígonos Thiessen se aplican para identificar áreas de influencia alrededor de centros de salud, destacando zonas más vulnerables por carencias económicas y acceso limitado a servicios de salud. Este método, al igual que en el análisis agrícola, permite segmentar la región en distintas áreas, cada una asociada a la influencia de un punto específico.

5.1Mapas de ruta óptima

En cuanto a la segunda interrogante relacionada a la identificación de la ruta óptima entre los cultivos y los mercados mayoristas, en la actualidad, es necesario contar con enfoques metodológicos que integren tanto la simplicidad de uso como la exactitud en la ejecución de investigaciones y proyectos. En este contexto, el uso de herramientas como Network

Analysis del software ArcGIS Pro cobra gran importancia. Para este estudio, se empleó esta herramienta para encontrar y analizar rutas de transporte terrestre, permitiendo determinar la ruta más eficiente y precisa entre diferentes puntos de origen y destino, como se evidencia en estudios similares, incluido el análisis de rutas de transporte de pasajeros en la ciudad de Medellín (Serna-Uran et al., 2016)

La comparación con estudios como el de la Cataluña romana (De Soto, 2011), que se basa en la Teoría de Grafos y Network Analysis, resalta la diversidad de enfoques metodológicos para desentrañar la complejidad de las redes de comunicación. Mientras que la Cataluña romana se enfoca en la centralidad de ciudades y nudos de comunicación, la presente investigación prioriza la identificación de rutas eficientes entre los puntos de origen y destino. Ambos estudios, sin embargo, comparten la premisa de que la eficiencia en la red es esencial para comprender la conectividad y optimizar los flujos.

En el contexto del análisis de rutas de transporte de pasajeros en la Ciudad de Medellín (Serna-Uran et al., 2016), se empleó la metodología de Network Analyst, similar a este estudio. La identificación de barrios y comunas, la construcción de la malla vial, y la generación de rutas óptimas mediante algoritmos de optimización son elementos comunes entre ambos estudios. Esta similitud destaca la versatilidad de Network Analyst en la optimización de rutas, ya sea para el transporte de mercancías como en el caso de esta investigación, o para el transporte de pasajeros. Sin embargo, dada la naturaleza de este análisis, que se circunscribe a una escala geográfica local en contraposición con la amplitud nacional de la presente investigación, se introdujeron un mayor número de variables, tales como semaforización, prohibiciones de cruce y cierres de calles, entre otras, con el propósito de mejorar la precisión del análisis.

La metodología de Network Analyst en el presente estudio ayudó a crear mapas de las rutas más eficientes desde los cultivos a los mercados mayoristas. Este enfoque, respaldado por investigaciones antes mencionadas, asegura la elección de las rutas más eficientes. Al compararlo con investigaciones anteriores, se nota que este método es confiable y sólido, mostrando que es válido en diferentes situaciones.

5.2Matriz de relación precio-distancia

Referente a la cuestión sobre cómo se comparan los precios del maíz suave choclo con el coste-distancia y qué patrones o categorías de valores se pueden identificar al analizar esta relación, se llevó a cabo un análisis mediante una matriz que mostró una tendencia evidenciada en los resultados y reveló que, a medida que la distancia entre los cultivos y

los mercados aumenta, el precio del maíz suave tiende a incrementarse. Este hallazgo se alinea con estudios anteriores, como el análisis de la logística del transporte de maíz en Argentina, que destaca la importancia crítica de la distancia en los costos y la competitividad del producto.

La inclusión de estudios adicionales, como el caso del cultivo de lechuga en Santa María Jajalpa (Bobadilla Soto et al., 2010) respalda la influencia positiva de la proximidad geográfica en la competitividad. La cercanía a la Ciudad de México proporciona ventajas competitivas a los agricultores, facilitando el transporte eficiente y reduciendo costos. Este ejemplo subraya cómo la ubicación estratégica y las condiciones agroecológicas pueden mejorar los rendimientos y la presencia en el mercado.

El análisis de las cadenas de valor agrícola en El Salvador ofrece perspectivas valiosas sobre la importancia de la proximidad geográfica en la comercialización del maíz blanco en Ciudad Arce. La preferencia por el intercambio de información a nivel local entre agricultores refuerza la evidencia de una correlación entre la ubicación de los cultivos y los centros urbanos en el proceso de comercialización.

El presente estudio reveló que los mercados mayoristas de Quito y Cuenca fueron dos excepciones notables. Se puede apreciar que el precio del maíz suave en el mercado de Quito es comparativamente bajo a pesar de la larga distancia que debe recorrer desde su lugar de origen hasta llegar a su lugar de destino. En contraste, el precio en el mercado de Cuenca es inusualmente elevado considerando la corta distancia que tiene que recorrer el producto desde su origen, similar a las distancias de las rutas óptimas hacia los mercados de Ambato y Riobamba. Sin embargo, a pesar de que los precios en estos dos mercados no guardan concordancia con la distancia, la tendencia general se mantiene con una correlación del 60%.

En ese sentido, al observar la figura 12, la cual muestra la localización del maíz suave en el Ecuador, se puede apreciar que, a pesar de que las provincias de Pichincha y Azuay, donde se encuentran los mercados de Quito y Cuenca respectivamente, tienen una extensión de cultivo similar de alrededor de 10,000 hectáreas cada una, las provincias cercanas presentan una marcada diferencia en las hectáreas sembradas. Por ejemplo, las provincias de Imbabura y Cotopaxi ubicadas al norte y sur de Pichincha, respectivamente, presentan una extensión de 29,582 hectáreas, mientras que las provincias de Cañar y Loja, situadas al norte y sur de Azuay, respectivamente, tienen una superficie de solo 8,553

hectáreas. En otras palabras, las provincias cercanas a Pichincha tienen un 71% más de hectáreas cultivadas de maíz suave que las provincias cercanas a la provincia de Azuay.

Esta diferencia en las hectáreas cultivadas de maíz suave en las provincias cercanas a Pichincha y Azuay podría estar relacionada con la producción de maíz y su efecto en la oferta de este cultivo en el mercado, tal como se ha observado en estudios realizados en otras regiones. De hecho, existe un estudio sobre demanda, oferta y precio del maíz en México (Araujo, 2022) que mostró una relación entre la producción de maíz y la oferta en los mercados. Se encontró que un aumento sostenido en la demanda de maíz amarillo generó un incremento en el precio nominal y real, así como en la cantidad ofertada de maíz en el mercado mexicano.

La influencia de intermediarios y otros factores determinantes, como la calidad del producto y condiciones externas, añade complejidad al análisis. Sin embargo, se destaca que estos elementos no invalidan la conexión entre la proximidad geográfica y los patrones de precios, sino que enfatizan la importancia de considerar múltiples variables en futuras investigaciones. La matriz precio-distancia se presenta como una herramienta esencial para desentrañar las complejidades de esta relación y proporcionar una comprensión más profunda de los factores que influyen en los precios del maíz suave choclo en diferentes contextos geográficos.

6. CONCLUSIONES

Con base en los resultados de este estudio, se puede afirmar que la hipótesis establecida es cierta, ya que estos muestran la existencia de una relación entre el precio del maíz suave en los mercados mayoristas del Ecuador y la distancia entre el mercado y los cultivos.

Se destaca la utilidad de las herramientas que ofrecen los SIG, las cuales permitieron identificar la cercanía entre los cultivos de maíz suave choclo y los mercados mayoristas a través de un análisis de proximidad, mientras que la mejor ruta entre el cultivo y el mercado se identificó mediante un análisis de distancia.

A través de estos instrumentos se estableció una relación entre la distancia origen-destino, o cultivo-mercado, y el precio promedio del año 2021 del producto en cada mercado y se encontró que sus precios variaban en función de la distancia entre el cultivo y el mercado mayorista más cercano, por lo que, se puede aseverar que la variable distancia juega un papel clave en la determinación del precio del producto en los mercados mayoristas en el Ecuador, presumiblemente debido a los costos de transporte que los productores requieren para movilizarse.

Los mercados mayoristas de Quito y Cuenca se destacan como excepciones, indicando una dinámica que difiere de la tendencia general. Factores regionales, costos de producción, calidad del producto y elementos externos, como el clima y la competencia, son influencias clave. Los intermediarios también desempeñan un papel crucial al afectar los precios. La complejidad de estos factores subraya la necesidad de considerar diversas variables para comprender completamente la fijación de precios en el mercado de maíz suave choclo y otros productos agrícolas.

Esta investigación no solo pretende contribuir con una metodología para mejorar las bases de datos de redes viales para ser utilizadas en otros estudios relacionados con el transporte de personas o mercancía, sino que también aporta con información útil para las entidades encargadas de fijar los precios a los productos y mejorar el conocimiento técnico y espacial sobre la dinámica entre productores y comerciantes de los mercados mayoristas.

El estudio contribuye además a un mayor conocimiento sobre la ocurrencia de este fenómeno espacial en el Ecuador, ya que no se encontraron estudios específicos previos que traten la relación distancia-precio.

El uso de la herramienta de análisis de redes resultó fundamental para la comprensión de la relación espacial entre los cultivos de maíz suave choclo y los precios en los mercados mayoristas en el Ecuador, lo cual demuestra la multidisciplinariedad de los SIG, aplicados en el campo de la agricultura y la economía, ya que permite analizar de manera detallada las relaciones espaciales y su influencia en otras dinámicas económicas.

La generación de la mejor ruta o ruta óptima puede conseguir resultados más precisos con una recopilación de información detallada sobre las vías, lo cual incluye identificar y levantar restricciones de la red vial que puedan afectar la generación de la mejor ruta o ruta óptima. Estas restricciones incluyen limitaciones de dirección, impidiendo el giro a la izquierda o derecha, también se pueden aplicar restricciones de peso elevado, lo cual evita que la ruta pase por tramos con alto tráfico o con velocidad limitada. Además, se puede colocar barreras como áreas en construcción, al igual que las limitaciones de tiempo que toman en cuenta los horarios de mayor tráfico. Es decir, la herramienta permite precisar los resultados en función de los datos de entrada disponibles.

Finalmente, se puede concluir que los hallazgos de esta investigación pueden resultar útiles para los encargados de fijar los precios de los productos en los mercados mayoristas, así como para los productores, ya que proporcionan información para la toma de decisiones en la planificación y gestión del transporte de productos agrícolas en relación a la ubicación de los cultivos y los costos que genera el transporte de los productos.

7. REFERENCIAS BIBLIOGRÁFICAS

1. Andino, M. (1998). Las transformaciones agrícolas del maíz suave en los Andes del centro norte del Ecuador: estudio de caso (Borrador). Espacio y Desarrollo, 10, 127–138. Accedido en junio 2022. https://revistas.pucp.edu.pe/index.php/espacioydesarrollo/article/view/8060

2. Araujo, L. A. (2022). Demanda, oferta y precio de maíz amarillo en México 2012-2021. En Revista Mexicana de Agronegocios (Vol. 50, Issue JanuaryJune 2022). https://doi.org/10.22004/ag.econ.322014

3. Asuad, N. (2014). Teoría de localización. [Presentación de PowerPoint]. Repositorio Institucional en CEDRUS, Facultad de Economía, UNAM. Accedido en mayo 2022 http://herzog.economia.unam.mx/cedrus/pdf/TEORIA%20LOCALIZACION%20 %20primera%20parte.pdf

4. Ayala Durán, C. (2022). Cadenas de valor agrícola en El Salvador: un estudio a nivel de municipio para el maíz. Perfiles Latinoamericanos, 30(59). https://doi.org/10.18504/pl3059-003-2022

5. Basantes, E. (2022). MANEJO DE CULTIVOS ANDINOS DEL ECUADOR. Comisión Editorial de la Universidad de las Fuerzas Armadas ESPE, 145. Accedido en noviembre 2023. https://www.researchgate.net/publication/358595969_MANEJO_DE_CULTIVO S_ANDINOS_DEL_ECUADOR

6. Bergero, P., y Calzada, J. (2015). La logística del transporte de maíz en Argentina (segunda parte). Bolsa de Comercio de Rosario, XXXIII (1714). Accedido en enero 2023. https://www.bcr.com.ar/es/mercados/investigacion-ydesarrollo/informativo-semanal/noticias-informativo-semanal/la-logistica-0

7. Bobadilla Soto, E. E., Rivera Herrejón, G., y Del Moral Barrera, L. E. (2010). Factores de competitividad del cultivo de lechuga en Santa María Jajalpa, Estado de México. Análisis Económico, XXV (59), 143–154. Accedido en marzo 2023. https://www.redalyc.org/articulo.oa?id=41315994009

8. Celemín, J. P. (2020). Cincuenta años de la primera ley de Tobler: revisión de sus aportes teóricos y prácticos a la ciencia geográfica. Geografía y Sistemas de Información Geográfica XII (18), 1-18. Accedido en junio 2022. https://ri.conicet.gov.ar/handle/11336/126026

9. CNC, Consejo Nacional de Competencias (2014). Resolución N° 0009 del 12 de diciembre del 2014. Por la se cual expide la regulación para el ejercicio de la competencia de vialidad. Accedido en julio 2023. http://www.competencias.gob.ec/wp-content/uploads/2021/04/ResolucionCNC-0009-2014-Vialidad.pdf

10. Cuza-Sorolla, A., Hernández-Aguilar, M. L., y Barrera-Rojas, M. Á. (2021). Aplicación de polígonos Thiessen para la definición y análisis de áreas de influencia del sistema de salud en ciudades costeras del estado de Quintana Roo. Quivera Revista de Estudios Territoriales, 23(1), 49. https://doi.org/10.36677/qret.v23i1.14504

11. De Soto, P. (2011). SIG y Network Analysis en el estudio de las redes de comunicación de la Cataluña romana. RECERCAT (Dipòsit de La Recerca de Catalunya). Accedido en junio 2023 http://www.recercat.cat/handle/2072/257363

12. Elsheikh, R. F., Elhag, A. R., Sideeg, S. E. K., Mohammed, A. E., Gism, N. A., & Allah, M. S. A. (2016). Route Network Analysis in Khartoum City. Journal of Science and Technology, 17 Accedido en marzo 2023. https://api.semanticscholar.org/CorpusID:55573404

13. Engler, P., Deybe, D., Vicien, C., & Vicente, G. (2005, June). ¿Es óptima la localización de la producción agropecuaria en el departamento de Paraná? Aplicación del modelo de Von Thünen. XXXVI Reunión Anual de la Asociación Argentina de Economía Agraria. Adrogué (provincia de Buenos Aires) del 24 al 26 de octubre de 2005. Accedido en septiembre 2022. https://www.researchgate.net/publication/262560284

14. Esri, Environmental Systems Research Institute. (s/f-a). Análisis de red utilizando datos de transporte público. Accedido en enero 2023. https://pro.arcgis.com/es/pro-app/latest/help/analysis/networks/networkanalysis-with-public-transit-data.htm

15. Esri, Environmental Systems Research Institute. (s/f-b). Proximity analysis En GIS Dictionary. Accedido en noviembre 2022 https://support.esri.com/en/other-resources/gis-dictionary/term/a5598c2b-d73c4b38-acab-492f3526b564

16. Esri, Environmental Systems Research Institute. (2021a). Análisis de ruta Accedido en noviembre 2022. https://desktop.arcgis.com/es/arcmap/latest/extensions/networkanalyst/route.htm

17. Esri, Environmental Systems Research Institute. (2021b). Crear polígonos de Thiessen. Accedido en octubre 2022. https://desktop.arcgis.com/es/arcmap/latest/tools/analysis-toolbox/createthiessen-polygons.htm

18. Esri, Environmental Systems Research Institute. (2021c). Entender el análisis de coste-distancia. Accedido en febrero 2022. https://desktop.arcgis.com/es/arcmap/latest/tools/spatial-analysttoolbox/understanding-cost-distance-analysis.htm

19. Falla-Gamboa, J. (2012). Geoprocesamiento. Geodatos a GeoInformación. Accedido en mayo 2022. https://www.ucipfg.com/Repositorio/MGAP/MGAP05/BLOQUE-ACADEMICO/Unidad3/complementarias/GeoProcesamiento_nov_2012.pdf

20. García, M. (1976). Valor actual del modelo de Von Thünen y dos comprobaciones empíricas. Revista de Geografia, 10(1), 13–33. Accedido en mayo 2022. https://raco.cat/index.php/RevistaGeografia/article/view/45703

21. García, M. (2007). Modelos teóricos: Geográfos y economistas que realizaron importantes contribuciones para el desarrollo de teorías de estudio del espacio

geográfico. Geografía Económica y Global. Accedido en mayo 2023. http://geografiaeconomicauls.blogspot.com/2007/11/modelos-tericos-geogrfosy-economistas.html

22. Grotewold, A. (1959). Von Thunen in Retrospect. Economic Geography, 35(4), 346–355. https://doi.org/10.2307/142467

23. INIAP, Instituto Nacional de Investigaciones Agropecuarias. (2014). Maíz suave. Accedido en diciembre 2022 http://tecnologia.iniap.gob.ec/index.php/explore-2/mcereal/rmaizs

24. Karadimas, N. V., Kolokathi, M., Defteraiou, G., y Loumos, V. (2007). Municipal Waste Collection Of Large Items Optimized With ArcGis Network Analyst. ECMS 2007 Proceedings Edited by: I. Zelinka, Z. Oplatkova, A. Orsoni, 80–85. https://doi.org/10.7148/2007-0080

25. MAG, Ministerio de Agricultura y Ganadería (2014). Mapa de Cobertura y Uso de la tierra en el Ecuador continental - Categoría: Cultivo [GDB]. Escala 1:100.000. Accedido en mayo 2022. http://geoportal.agricultura.gob.ec/

26. Marquet Sardá, O., y Miralles-guasch, C. (2017). La proximidad en Barcelona. Un análisis desde los tiempos de desplazamiento cotidianos. Ciudades, 17, 99–120. https://doi.org/https://doi.org/10.24197/ciudades.17.2014.99-120

27. MAG, Ministerio de Agricultura y Ganadería. (2016). La política agropecuaria ecuatoriana: hacia el desarrollo territorial rural sostenible: 2015-2025 (Versión resumida). Accedido en octubre 2022. http://www2.competencias.gob.ec/wpcontent/uploads/2021/03/01-06PPP2015-POLITICA01.pdf

28. MAG, Ministerio de Agricultura y Ganadería. (2020). Catálogo Nacional de Objetos Geográficos y Productos Cartográficos Agropecuarios. (Vol. 4). Accedido en octubre 2022. http://geoportal.agricultura.gob.ec/pdf/catalogo_mag_vol_IV.pdf

29. Menéndez, A. (1998). Una breve introducción a la teoría de grafos. SUMA, 28, 11–26. Accedido en junio 2023. https://revistasuma.fespm.es/sites/revistasuma.fespm.es/IMG/pdf/28/011026.pdf

30. MTOP, Ministerio de Transporte y Obras Públicas (2018). Decreto Ejecutivo N° 436 del 6 de julio de 2018. Por el cual se expide el Reglamento a la Ley Orgánica del Sistema Nacional de Infraestructura Vial del Transporte Terrestre. Accedido en febrero 2023. https://www.obraspublicas.gob.ec/wpcontent/uploads/downloads/2022/10/LOTAIP_8_REGLAMENTO-LEYORGANICA-SISTEMA-INFRAESTRUCTURA-VIAL-DEL-TRANSPORTE.pdf

31. Muñoz, F. (2012). Geoestadística en regiones heterogéneas con distancia basada en el coste [Tesis Doctoral, Universitat de València]. Accedido en octubre 2022. https://roderic.uv.es/handle/10550/25186

32. Olaya, V. (2020). Sistemas de Información Geográfica Accedido en julio 2022. https://volaya.github.io/libro-sig/index.html

33. Ramírez, L. (2002). Delimitación de áreas de influencia hospitalaria través del análisis espacial en Sig-Raster: un aporte metodológico. Espacio y Desarrollo, (14), 59-83 Accedido en mayo 2023. https://revistas.pucp.edu.pe/index.php/espacioydesarrollo/article/view/8110

34. Rodríguez, A. (2008). Integración de un SIG con modelos de cálculo y optimización de rutas de vehículos CVRP y software de gestión de flotas Dirección y Organización, 35, 7–14. https://doi.org/10.37610/dyo.v0i35.50

35. SCPM, Superintendencia de Control de Poder de Mercado (2013). Decreto Ejecutivo N° 1438 del 22 de febrero de 2013. Por el cual se establece la implementación de precios referenciales en los mercados mayoristas del país Accedido en febrero 2023. https://faolex.fao.org/docs/pdf/ecu139408.pdf

36. Segrelles, J. (2013). Tema 3 de la asignatura Geografía Económica del Grado de Geografía y Ordenación del Territorio de la Universidad de Alicante (curso 2012-2013) [Geografía Económica, Universidad de Alicante]. Accedido en mayo 2023. http://hdl.handle.net/10045/29219

37. Serna-Uran, C. A., García-Castrillón, J. A., y Flórez-Londoño, O. (2016). Análisis de Rutas de Transporte de Pasajeros Mediante la Herramienta Network Analyst de Arcgis. Caso Aplicado en la Ciudad de Medellín. Ingenierías USBMed, 7(2), 89–95. https://doi.org/10.21500/20275846.2631

38. Strobl, J., Resl, R., Atzmanstorfer, K., Zurita, L., y Dávila, A. (2019). Lección 1 Creando Nueva Información (1994-2019). En Módulo: Análisis Geográfico. UNIGIS Accedido en octubre 2022.

39. Trujillo, A. (2016). Componente para el análisis de proximidad, utilizando el diagrama de Voronoi, para la Plataforma GeneSIG [Tesis de grado, Universidad de las Ciencias Informáticas]. Accedido en febrero 2023. https://repositorio.uci.cu/jspui/handle/123456789/7923

40. Villavicencio, J., Yánez, C., y Zambrano. (2017). Estado de la Investigación y Desarrollo Tecnológico del Maíz en Ecuador. Archivos Académicos USFQ, 9, 36. Accedido en octubre 2022. https://repositorio.iniap.gob.ec/handle/41000/5722.

41. Waibel, L. (1969). La teoría de von Thünen sobre la influencia de la distancia al mercado en relación a la utilización de la tierra. Su aplicación a Costa Rica. Revista Geográfica de América Central, 1(9–10), 119-136. Accedido en octubre 2022.

https://www.revistas.una.ac.cr/index.php/geografica/article/view/2926

Turn static files into dynamic content formats.

Create a flipbook
Issuu converts static files into: digital portfolios, online yearbooks, online catalogs, digital photo albums and more. Sign up and create your flipbook.