40832

Page 1

Master Thesis ǀ Tesis de Maestría

submitted within the UNIGIS MSc programme presentada para el Programa UNIGIS MSc

at/en

Interfaculty Department of Geoinformatics- Z_GIS Departamento de Geomática – Z_GIS University of Salzburg ǀ Universidad de Salzburg

Análisis de patrones de distribución espacial de los incendios forestales en la provincia de Imbabura - Ecuador, en el período de 2015 al 2018

Analysis of spatial distribution patterns of wildfires in the province of Imbabura - Ecuador (2015 to 2018)

1524668

A thesis submitted in partial fulfilment of the requirements of the degree of Master of Science– MSc

Advisor ǀ Supervisor:

Leonardo Zurita Arthos PhD

Quito - Ecuador, octubre 2022

Compromiso de ciencia

Por medio del presente documento, incluyendo mi firma personal certifico y aseguro que mi tesis es completamente el resultado de mi propio trabajo. He citado todas las fuentes que he usado en mi tesis y en todos los casos he indicado su origen.

Quito, 12 de octubre de 2022

(Lugar, Fecha) (Firma)

RESUMEN

La investigación tiene como objetivo el análisis de los patrones de distribución espacial de los incendios forestales en la provincia de Imbabura en el periodo de 2015 a 2018, teniendo como hipótesis que los incendios presentan un patrón espacial no aleatorio.

Para el análisis se utilizaron tres fuentes de datos: el registro de los incendios forestales generados por la Secretaría Nacional de Gestión de Riesgos y Emergencias (SNGRE), los focos de calor del sensor MODIS y los focos de calor del sensor VIIRS. Se analizó la autocorrelación espacial para cada conjunto de datos, posterior a ello se aplicó el análisis de puntos calientes, así como también el análisis de clúster y valor atípico.

Los resultados obtenidos muestran que los incendios forestales en la provincia de Imbabura presentan una distribución espacial agrupada. Una vez verificada la no aleatoriedad de los datos analizados, se determinó que existen dos zonas con presencia de puntos calientes localizadas al norte de los cantones Ibarra y San Miguel de Urcuquí y la otra al centro del cantón Otavalo y se extiende en sentido noreste hacia el cantón Ibarra. No se registraron puntos fríos. Finalmente se determinó la presencia de valores atípicos altos rodeados de valores bajos a lo largo de toda la provincia a excepción del oeste del cantón Cotacachi.

El análisis de los patrones de distribución espacial de los incendios forestales complementado con datos de focos de calor de sensores remotos, resulta en un instrumento de gran utilidad para encaminar labores de prevención y mitigación de incendios forestales.

Palabras claves: Incendio forestal, patrones espaciales, focos de calor, geoestadística

3

ABSTRACT

The research aims to analyze the spatial distribution patterns of wildfires in the province of Imbabura in the period from 2015 to 2018, having as a hypothesis that fires present a nonrandom spatial pattern.

The analysis relied on three data sources: the Secretaria Nacional de Gestión de Riesgos y Emergencias (SNGRE) wildfire registry, hot spots from the MODIS sensor, and hot spots from the VIIRS sensor. Spatial autocorrelation was examined for each dataset, followed by a hot spot analysis, as well as a cluster and outlier analysis.

The results obtained show that wildfires in Imbabura present a clustered spatial distribution. Once the non-randomness of the analyzed data was verified, it was determined that there are two zones with hot spots, one located to the north of the cantons of Ibarra and San Miguel de Urcuquí and the other in the center of Otavalo canton and extending northeast towards Ibarra canto. No cold spots were found. Finally, high outliers surrounded by low values were found throughout the province, except for the west of Cotacachi canton.

The analysis of the spatial distribution patterns of wildfires complemented with remotely sensed hot spot data is a very useful tool for wildfire prevention and mitigation.

Key words: Wildfire, spatial patterns, hot spots, geostatistics.

4
5
CONTENIDO 1. INTRODUCCIÓN........................................................................................................10 1.1 Antecedentes.....................................................................................................10 1.2 Objetivos y preguntas de investigación..............................................................12 1.2.1 Objetivo general .........................................................................................12 1.2.2 Objetivos específicos 12 1.2.3 Preguntas de investigación 12 1.3 Hipótesis 12 1.4 Justificación 13 1.5 Alcance 14 2. REVISIÓN DE LITERATURA 16 2.1 Marco Teórico 16 2.1.1 El fuego 16 2.1.2 Los incendios forestales..............................................................................18 2.1.3 Los focos de calor .......................................................................................25 2.1.4 Sensores para detección de focos de calor 27 2.2 Marco Histórico .................................................................................................30 2.2.1 Sistemas de información geográfica para la gestión de incendios forestales 30 2.3 Marco Metodológico .........................................................................................32 2.3.1 Densidad Espacial .......................................................................................32 2.3.2 Geoestadística ............................................................................................33 2.3.3 Herramientas de estadística espacial ..........................................................34 3. METODOLOGÍA 43
TABLA DE
6 3.1 ÁREA DE ESTUDIO..............................................................................................43 3.2 FLUJOGRAMA DE LA METODOLOGÍA 46 3.3 METODOLOGÍA APLICADA 48 3.3.1 Recopilación de datos 48 3.3.2 Identificación de áreas con mayor ocurrencia de incendios forestales 50 3.3.3 Determinación de patrones de distribución espacial 51 3.3.4 Comparación de resultados ........................................................................54 4. RESULTADOS Y DISCUSIÓN 55 4.1 Resultados 55 4.1.1 Recopilación de datos.................................................................................55 4.1.2 Identificación de áreas con mayor ocurrencia de incendios forestales........59 4.1.3 Determinación de patrones de distribución espacial...................................64 4.2 Análisis de resultados ........................................................................................73 5. CONCLUSIONES Y RECOMENDACIONES....................................................................80 5.1 Conclusiones......................................................................................................80 5.2 Recomendaciones..............................................................................................81 6. REFERENCIAS............................................................................................................82

GLOSARIO

FAO: Food and Agriculture Organization (Organización de las Naciones Unidas para la Alimentación y la Agricultura)

FIRMS: Fire Information for Resource Management System (Sistema de Información sobre incendios para la gestión de recursos)

GAD: Gobierno Autónomo Descentralizado

MODIS: Moderate Resolution Imaging Spectroradiometer (Espectrorradiómetro de imágenes de media resolución)

NASA: National Aeronautics and Space Administration (Administración Nacional de Aeronáutica y el Espacio)

NRT: Near-Real Time (casi en tiempo real)

PDOT: Plan de Desarrollo y Ordenamiento Territorial

SNAP: Sistema Nacional de Áreas Protegidas

SNGRE: Servicio Nacional de Gestión de Riesgos y Emergencias

VAB: Valor Agregado Bruto

VIIRS: Visible Infrared Imaging Radiometer Suite (Radiómetro de Imágenes en el Infrarrojo Visible)

7

LISTA DE FIGURAS

año (2015-2018) 58

Figura 16 Mapa de incendios forestales (2015-2018) según número de ocurrencias por cantón 60

Figura 17 Mapa de densidad de los incendios forestales (2015-2018) según localización

Figura 18 Reporte del índice I de Moran para los incendios forestales de la SNGRE (20152018) ...............................................................................................................................65

Figura 19 Reporte del índice I de Moran para los focos de calor del sensor MODIS (20152018) ...............................................................................................................................66

Figura 20 Reporte del índice I de Moran para los focos de calor del sensor VIIRS (2015-2018)

Figura 21 Mapa de Puntos Calientes de los incendios forestales (2015-2018) 69

Figura 22 Mapa de clúster y valor atípico de los incendios forestales (2015-2018) ..........72

8
Figura 1 Triángulodelfuego.............................................................................................16 Figura 2 Tetraedrodelfuego............................................................................................17 Figura 3 Representacióndelfocodecalorenlasuperficieyenlaimagensatelital ...........26 Figura 4 Densidad Kernel .................................................................................................33 Figura 5 Patronesespacialesdeautocorrelación..............................................................36 Figura 6 Reportedeautocorrelaciónespecial – IdeMoranglobal 38 Figura 7 Análisisdepuntocaliente-Gi*deGetis-Ord 39 Figura 8 Análisisdepuntocalienteanivelmunicipal 40 Figura 9 Análisis de clúster y valor atípico........................................................................41 Figura 10 Análisis de clúster y valor atípico......................................................................42 Figura 11 MapadelaProvinciadeImbabura ...................................................................43 Figura 12 GráficosegúnlacoberturadelsuelodelaprovinciadeImbabura.....................45 Figura 13 Flujograma de trabajo ......................................................................................47 Figura 14 Mapa de incendios forestales registrados (2015-2018) según fuente de datos.56 Figura 15 Reloj de datos según número de incendios por mes y
63
(Densidad Kernel)
........................................................................................................................................67
9
Tabla 1 Clasificaciónarmonizadadelascausasdeincendiosforestales ...........................21 Tabla 2 AtributosdelosshapefilesdeFIRMS....................................................................30 Tabla 3 DatosclimatológicosdelaprovinciadeImbabura ..............................................44 Tabla 4 VBAsegúnramadeactividadeconómicadelaprovinciadeImbabura ...............46 Tabla 5 Capasdeinformacióngeográfica........................................................................49 Tabla 6 Ocurrencia de incendios forestales por año 55
LISTA DE TABLAS

1. INTRODUCCIÓN

1.1 Antecedentes

Desde tiempos ancestrales, el fuego ha sido un regulador de procesos naturales y por ende un elemento fundamental en la evolución de la tierra (Castillo et al., 2003), así como también para mantener la estabilidad en el interior de distintos ecosistemas e incluso ha sido una herramienta muy utilizada en el ámbito de la agricultura, realizando quemas controladas. Sin embargo, este proceso natural o se podría decir que hasta controlado; se ha visto modificado por la intervención antropogénica provocando incendios forestales que han arrasado con grandes superficies de bosque a nivel mundial.

Actualmente los incendios forestales se han convertido en una gran preocupación en todas las regiones pues en los últimos años han incrementado significativamente, pero sobre todo se han vuelto más catastróficos y difíciles de controlar, causando efectos negativos y grandes pérdidas en el medio ambiente, la economía, la seguridad y salud humana. Es así que se estima que cada año se quema una superficie de más de los cuatro millones de km², aunque algunos autores indican que este dato podría ser mayor aun (Muñoz, 2021); estos valores se han incrementado significativamente por diversas causas sin embargo los efectos del cambio climático han sido un factor importante pues con el aumento de la temperatura, falta de lluvias y las sequías la materia orgánica se seca con facilidad, siendo el combustible que propaga el fuego. Si bien los incendios forestales se han intensificado por el cambio climático, también han sido parte del problema ya que son una de las mayores fuentes de emisión de gases de efecto invernadero, es decir que el cambio climático y los incendios forestales se alimentan el uno al otro resultando en un círculo vicioso.

En el Ecuador los incendios forestales son una amenaza constante que afecta gran parte del territorio no obstante se ha podido observar que en los últimos años las autoridades recién han puesto su atención en estos eventos, de aquí que la información disponible sobre los incendios forestales es escasa, inconsistente y no se encuentra disponible información actualizada. En el 2019, Bustos et al exponen un breve análisis sobre los

10

incendios forestales en el Ecuador, en el cual menciona que la mayoría de eventos se dan en la costa y sierra ecuatoriana, siendo las provincias más afectadas: Carchi, Imbabura, Pichincha, Loja, Azuay, Chimborazo, Cañar, Cotopaxi y El Oro. Además, sugieren que a partir de los datos analizados se puede definir patrones de los incendios forestales que muestran “que cada 3 años posterior a un año húmedo, el siguiente año es probable que tenga una alta afectación” (parr. 15) y se da un incremento en las superficies quemadas como sucedió en los años 2012, 2015 y 2018 que ascienden a 31,057.1 ha, 26,350.4 ha y 26,647.2 ha respectivamente. A esto se contrastar la información del Informe de Situación del Servicio Nacional de Gestión de Riesgos y Emergencias (SNGRE) del año 2020 en que se manifiesta que, en los años 2018, 2019 y 2020 hubo un total de 27,614.51 ha, 23,161.22 ha y 23,462 ha respectivamente de cobertura vegetal quemada, denotando una disminución del área quemada en los años siguientes al 2018 (Servicio Nacional de Gestión de Riesgos y Emergencias, 2020)

Como ya se ha mencionado previamente Imbabura, es una de las provincias que mayor afectación ha tenido a nivel nacional y esto se evidencia en los datos de incendios forestales del SNGRE que se tiene registrados en el periodo del 2015 al 2018, que revelan que Imbabura es la tercera provincia con mayor número de incendios forestales después de Pichincha y Guayas que ocupan el primer y segundo lugar. Los datos del SNGRE se limitan a definir las coordenadas donde se produjeron los incendios forestales, pero no se tiene mayor información sobre la superficie afectada o ya sea el tipo de vegetación u otros datos que pueden facilitar la gestión del riesgo en este ámbito y para profundizar este estudio se ha recurrido a la información satelital disponible en la plataforma de FIRMS por sus siglas en ingles “Fire Information for Resource Management System”, la misma que dispone de datos sobre incendios a modo de focos de calor que se registran por sensores remotos basados en la temperatura de la superficie.

Con la intención de comprender de mejor manera el comportamiento de los incendios forestales en la provincia de Imbabura, esta investigación se centra en el análisis de los patrones de distribución espacial de los incendios forestales en el periodo del 2015 al 2018 integrando el uso de los SIG y herramientas de análisis geoestadístico.

11

1.2 Objetivos y preguntas de investigación

1.2.1

Objetivo general

• Analizar los patrones de distribución espacial de los incendios forestales en la Provincia de Imbabura, Ecuador en el período de 2015 al 2018

1.2.2 Objetivos específicos

• Recopilar información sobres los incendios forestales generada por el Servicio Nacional de Gestión de Riesgos y Emergencias - SNGRE (a nivel nacional) y los datos de focos de calor generados en la plataforma FIRMS (Fire Information for Resource Management System) para la Provincia de Imbabura, Ecuador en el período de 2015 al 2018

• Identificar las áreas con mayor ocurrencia de incendios forestales de la provincia de Imbabura en el periodo de 2015 al 2018

• Determinar los patrones de distribución espacial de los incendios forestales en el periodo de 2015 al 2018 en la provincia de Imbabura aplicando herramientas de análisis espacial y geoestadístico

• Comparar los resultados obtenidos para los datos generados por el SNGRE a nivel nacional del Ecuador frente a los datos de focos de calor de la plataforma FIRMS de los incendios forestales de la provincia de Imbabura en el periodo de 2015 al 2018.

1.2.3 Preguntas de investigación

• ¿En dónde se concentran la mayor cantidad de incendios forestales en la provincia de Imbabura en el periodo de 2015 al 2018?

• ¿Cuáles son los patrones de distribución espacial de los incendios forestales en la provincia de Imbabura en el periodo de 2015 al 2018?

• ¿Existe relación en los datos generados sobre los incendios forestales en la provincia de Imbabura en el periodo de 2015 al 2018 tanto por la SNGRE (a nivel nacional) y los datos de los focos de calor de la plataforma FIRMS?

1.3 Hipótesis

La ocurrencia de incendios forestales en el periodo de 2015 al 2018 en la provincia de Imbabura, Ecuador, se caracteriza por mantener una distribución espacial agrupada según

12

el análisis de autocorrelación espacial, clustering y de puntos calientes aplicados a los datos de las SNGRE y de la plataforma FIRIMS.

1.4 Justificación

Dentro la región interandina se ubica la provincia de Imbabura en la estribación occidental de la Cordillera Real y Cordillera Occidental en un rango altitudinal de 200 a 4,939 msnm y cuenta con una superficie territorial de 4,791 32 km² caracterizada por laderas, cerros y altiplanicies. El 35,16% del territorio provincial se ha establecido como zonas bajo conservación o manejo ambiental, es decir gran parte del territorio está conformado por ecosistemas estratégicos y entre estos se tiene las siguientes áreas protegidas: Patrimonio

Forestal del Estado, Subsistema Gobierno Autónomo Descentralizado (GAD) Consorcio

Taita Imbabura, Socio Bosque, Bosques Protectores Provinciales, Reserva Ecológica

Cotacachi Cayapas, Parque Nacional Cayambe Coca, Área de Conservación y Uso Sustentable Municipal Intag Toisán, a pesar que estas áreas están bajo un esquema de protección constantemente son amenazados por acciones antrópicas en las que se incluyen los incendios forestales (Prefectura de Imbabura, 2021)

Asimismo, en el Plan de Desarrollo y Ordenamiento Territorial (PDOT) existe información sobre del levantamiento histórico que han hecho de las amenazas naturales y antrópicas a las que está expuesta la provincia desde el 2006 al 2020, identificando las siguientes amenazas:

• Naturales:

o Geológicas: deslizamientos, hundimientos, sismos

o Hidrometereológicas: Inundación, Socavamiento, Vendaval

• Antrópicas

o Degradación ambiental: Incendios forestales

De todos los eventos que han ocurrido durante los años analizados, se indica que los incendios forestales tienen un alto nivel de incidencia y es la amenaza que ocurre con mayor frecuencia con 1138 casos identificados alcanzando un 69% en comparación con el

13

resto de eventos. Este análisis se lo ha hecho con la información disponible que contaba el GAD y manifiestan que los datos no son completos puesto que muchos incendios forestales no son declarados o registrados por las instituciones responsables (Prefectura de Imbabura, 2021)

Por otro lado, es importante mencionar que en la legislación ecuatoriana rigen 6 normas relacionadas a la prevención, control y mitigación de los incendios forestales, en las cuales se estipulan como cada nivel de gobierno debe actuar frente a este tipo de amenaza de hecho los gobiernos municipales, como nivel de administración intermedio; tienen la competencia exclusiva de “la prevención, control y mitigación de los incendios forestales” (Bustos et al., 2019, parr. 2) pero en la realidad en muchos de los cantones no es posible cumplir con esta competencia debido a dificultades tales como no contar con el presupuesto, personal capacitado, información adecuada, mecanismos de alerta, entre otros.

En definitiva, los incendios forestales son una problemática constante en la provincia de Imbabura afectando a grandes superficies de territorio y también a la población, por lo que resulta preciso entender el comportamiento de los incendios forestales y que a su vez sea una herramienta que facilite la gestión de las autoridades.

1.5 Alcance

La escasa información sobre incendios forestales en el país es el punto de partida de esta investigación ya que sin estos datos difícilmente se puede identificar las áreas con mayor afectación de este tipo de eventos, así como tampoco se puede desarrollar una adecuada gestión de prevención y mitigación por parte de las autoridades competentes.

Con esta investigación se pretende determinar la ocurrencia de los incendios forestales y sus patrones de distribución espacial en la provincia de Imbabura con una superficie de 4.791,32 km², siendo una de las provincias más afectadas a nivel nacional. Para esto se utilizarán dos tipos de datos, por un lado, se analizarán los datos obtenidos por el SNGRE que se limitan a las coordenadas donde se han registrado incendios y por otro lado se

14

usarán los datos de focos de calor que se puede descargar de la plataforma FIRMS obtenidos de imágenes satelitales, dada la resolución espacial de las imágenes de FIRMS se empleará una escala de trabajo de 1:5000. Los patrones de distribución espacial se los obtendrá a partir de procesos de análisis espacial y geoestadísticos, para finalmente comparar los resultados que arrojan los dos diferentes tipos de datos analizados. Es importante mencionar que el período de estudio se ha definido principalmente por la disponibilidad de datos sobre incendios forestales a nivel nacional, la cual la ofrece el SNGRE y solo se cuenta con los datos de los años 2015 al 2018.

Además de definir las zonas de mayor afectación por incendios forestales, este estudio busca realzar el uso de información satelital disponible en la actualidad y no limitarse a la poca información que ofrece las entidades gubernamentales para mejorar la prevención y mitigación de los incendios forestales principalmente por los niveles de gobierno intermedios o locales, que serías los principales interesados.

15

2. REVISIÓN DE LITERATURA

2.1 Marco Teórico

2.1.1 El fuego

El fuego es el resultado de una reacción química rápida, en este proceso actúa una sustancia combustible y una comburente; de esto se deprende calor, radiación luminosa y humo. Sin embargo ciertas reacciones de combustión no generan una llama (Prada, 2006).

Este concepto se simplifica en un gráfico denominado el triángulo del fuego, mostrado en la Figura 1; en el cual cada lado corresponde a uno de los elementos.

Figura 1 Triángulo del fuego

Nota: Representación gráfica de los tres elementos que son imprescindibles para que tenga lugar la combustión.

Por mucho tiempo se dio por sentado que el fuego se producía por la interacción de estos tres elementos, no obstante, a partir de los años 50 se comenzó a observar que ciertos fenómenos no se podían explicar completamente y se precisó que había un cuarto factor al cual se le denomina la reacción en cadena. De este modo, en la actualidad el fuego es representado con un tetraedro como se muestra en la Figura 2.

16

2.1.1.1 Componentes del fuego

Para que se produzca un fuego es necesaria la acción de cuatro elementos simultáneos y se los puede definir como:

• Combustible: es cualquier sustancia; en estado sólido, líquido o gaseosos; capaz de arder por medio de una reacción química con un comburente.

• Comburente: es aquel elemento que al combinarse con el combustible permite la activación de la combustión. El más común es el oxígeno el mismo que se encuentra en el aire en una proporción de 21% en volumen y suele ser el comburente más típico en los fuegos o incendios.

• Energía de activación: es la energía (calor) mínima que se requiera para iniciar la reacción química entre el combustible y el comburente. Esta energía se puede producir de varias maneras como: fricción, chispas, sobrecargas eléctricas, radiación, reacciones químicas, etc.

• Reacción en cadena: es el proceso que se da una vez que el combustible empieza a arder y de la reacción química se genera calor, parte de dicho calor interactúa con el oxígeno del aire resultando en varias reacciones en cadena (Anero Cárcamo, 2007).

2.1.1.2 Clasificación del fuego

Los fuegos se clasifican según el comportamiento de los materiales combustibles y se ha establecido las siguientes clases (National Fire Protection Association, 2009):

17
Figura 2 Tetraedro del fuego

• Clase A: se los conoce como los fuegos “secos” y corresponden a los combustibles sólidos los cuales retienen oxígeno en el interior y forman brasa o ceniza, como, por ejemplo: madera, papel, textiles, carbón, etc

• Clase B: se los llama los fuegos “grasos” y pertenecen a los combustibles líquidos y gases e inflamables. Se caracterizan porque solo arden en la parte superficial que está en contacto con el oxígeno, por ejemplo: gasolina, aceite, pinturas, etc. y no dejan brasas o ceniza.

• Clase C: corresponden a los fuegos que involucran equipos eléctricos o cualquier otro combustible energizado

• Clase D: se presentan en algunos metales de fácil oxidación como magnesio, aluminio en polvo, sodio, potasio, litio, titanio, etc.

• Clase K: son los fuegos que tienen como material combustible aceites de tipo industrial o domestico

2.1.2 Los incendios forestales

Se denomina incendio forestal al fuego que se propaga sobre terrenos de aptitud forestal sin control y afecta a la vegetación que no estaba determinada a arder causando una transformación del medio (Comisión Nacional Forestal, 2010).

En este contexto, se debe precisar que no se considera incendios forestales a las quemas controladas que se aplican con propósitos agrícolas, ganaderos, forestales o ya bien sea para eliminar los desechos de estas actividades como tal. Las quemas controladas bien planificadas y gestionadas apropiadamente pueden dar resultados favorables, incluso dichas quemas se usan recurrentemente para prevenir incendios forestales no obstante este tipo de práctica en algunos casos pueden resultar devastadoras (World Wildlife Fund, 2019)

Los incendios forestales se “producen por la acción del ser humano o causado por la naturaleza; ocasionando serios daños ambientales, climáticos, económicos y sociales, en detrimento del patrimonio natural (ReglamentoalCódigoOrgánicodelAmbiente, 2019).

18

2.1.2.1 Tipos de incendios

Los incendios forestales tienen varios tipos de clasificaciones según el patrón de comportamiento, la morfología o el grado de intensidad. Sin embargo, la categorización comúnmente utilizada es en base a los estratos de que alcanza el fuego y como este avanza, en este sentido se tiene las siguientes tres clases (Comisión Nacional Forestal, 2010):

• Superficial: son aquellos en los que el fuego se extiende en forma horizontal sobre la superficie del terreno alcanzando alturas de metro y medio. Son los incendios más comunes y afectan al tapiz herbáceo y el matorral.

• Subterráneo: se propagan bajo el suelo y se consume la materia orgánica seca y las raíces. Se caracterizan porque generalmente no presentan llamas y emiten poco, por lo cual su detección resulta más compleja.

• De copas o aéreos: por lo general el fuego inicia en la superficie del bosque sin embargo las llamas se desplazan de forma vertical a través de la vegetación orientada hacia arriba consumiendo las copas de los árboles. Este tipo de incendios son los más peligrosos, ya que avanzan con mucha velocidad y gran parte de la vegetación se consume rápidamente, dificultando el control.

2.1.2.2 Causas de los incendios

Cuando se trata de definir cuáles son las causas de los incendios forestales, es posible encontrar un sinfín de información al respecto pues cada autor, artículo o referencia lo interpreta de diferente manera sin embargo todos concuerdan en algunos elementos en la clasificación. En este sentido a continuación se detallan algunas percepciones que son de relevancia para esta investigación (Flores, 2008):

• Causas antrópicas

o Intencional

o Por negligencia

o Por descuido

o Accidental

19

• Causas naturales

o Radiación solar

o Tormentas eléctricas

o Erupciones volcánicas

• Causados por interacción de la naturaleza y los humanos

o Rayos solares reflejados en vidrios

Asimismo, se considera que los incendios forestales se provocan por dos tipos de causa: inmediatas y estructurales. Las causas inmediatas son las que dan inicio al fuego por la acción de fenómenos naturales o ya bien sea por la negligencia de personas y comprende las clases: intencionadas, negligencias, naturales y otras causas. En tanto que los incendios por causas estructurales atañen a aquellos factores que no generan el fuego como tal, pero que condicionan de manera significativa sobre el comportamiento del fuego. Dentro de las principales casusas estructurales se tiene: condiciones climatológicas, características de la vegetación, condiciones orográficas del terreno, uso indebido del fuego, dispersión territorial, estacionalidad de los incendios forestales, entre otras (Navarrete et al., 2007)

Por muchos años en la Unión Europa se han unido esfuerzos de diversas organizaciones con el fin de consolidar la información sobre los incendios forestales, partiendo del pensamiento que dicha información es gran importancia para la apropiada gestión de políticas ambientales y de protección civil de este modo se facilita la prevención. Sin embargo la tarea no ha sido nada fácil, considerando que cada país, participante de la red de países del EuropeanForestFireInformationSystem (EFFIS); manejaba diferentes clases o subclases de las causas de los incendios (Camia et al., 2013) . En este sentido el centro de investigación JointResearchCenter – JCR de la Comisión Europea ha diseñado un esquema armonizado con las diferentes causas de incendios para que se pueda emplear términos unificados en todos los países. En este esquema se incluyen 3 niveles jerárquicos, que incluye 29 clases organizadas en 8 grupos que corresponden a 6 categorías, a continuación, en la Tabla 1 se muestra la clasificación (Camia et al., 2013):

20

Tabla 1 Clasificación armonizada de las causas de incendios forestales

CATEGORÍA GRUPO CLASE

Desconocida Desconocida

Natural Natural

Accidental Accidental

Desconocida

Caída de rayos

Erupciones Volcánicas

Emisión de gases

Energía eléctrica

Ferrocarriles

Vehículos

Trabajos

Armas

Auto ignición

Otros accidentes

Negligencia Uso del fuego

Manejo de la vegetación

Quemas agrícolas

Manejo de residuos

Recreación

Otras negligencias al usar fuego Uso de objetos brillantes

Fuegos artificiales, petardo, bengala de auxilio

Cigarrillos

Cenizas calientes

Otro uso de objetos brillantes

Intencional Responsable (incendio provocado)

Interés (beneficio)

Conflicto (venganza)

Vandalismo

Emoción (incendiario)

Ocultación de crimen

Extremismo

Irresponsable

Reavivación Reavivación

Problema mental

Niños

Reavivación

Nota: Adaptado de Classes, groups and categories of the harmonized fire causes classification scheme, por Camia et al., 2020, p. 10., ( https://publications.jrc.ec.europa.eu/repository/)

De esta clasificación se destaca las definiciones de las seis categorías principales:

• Desconocido: no se sabe cómo se inició el incendio

• Natural: son los incendios que se originan por causas naturales y no hay ningún de tipo de intervención humana

• Accidental: son aquellos incendios que se producen involuntariamente e indirectamente por humanos sin uso del fuego como tal

21

• Negligencia: se refiere a los incendios que se provocan involuntariamente por humanos usando fuego u objetos brillantes

• Intencional: resultan del uso intencional del fuego por humanos

• Reavivación: por reencendido de un incendio anterior, por calor latente o brasas

2.1.2.3 Comportamiento del fuego

La clave principal para controlar los incendios forestales es saber la forma como se desarrolla el fuego, así como también sus características. Para comprender el compartimiento del fuego se ha trazado el triángulo del comportamiento del fuego, similar al triángulo del fuego; en el cual cada lado representa los principales componentes que intervienen en el proceso: meteorológico, topográfico y de los combustibles (Soto y Salinas, 2010) Dentro de cada componente se incluyen diversas variables, las mismas que al reaccionar entre sí y con el mismo fuego, determinan el comportamiento del fuego.

Componente meteorológico

Dentro del comportamiento de los incendios, el componente meteorológico es el más importante debido a su condición de constantes cambios entre el día y la noche, así como a los efectos locales del lugar donde se registra el siniestro (Alvarez, 2018) . Estos cambios resultan de los múltiples fenómenos propios de la atmosfera y se consideran las siguientes variables (Idaho Firewise, s.f.):

• Temperatura: los combustibles absorben la radiación solar del entorno por lo que su temperatura está determinada por la temperatura del ambiente. En términos generales a mayor temperatura ambiental, los combustibles se encenderán con mayor facilidad.

• Humedad relativa: la humedad es la cantidad de vapor de agua presente en el aire, la cual afecta a la humedad del combustible. Mientras más baja sea la humedad relativa implica que los combustibles se secan con mayor rapidez y por ende pueden arder fácilmente. Si la humedad de los combustibles disminuye, entonces aumentará la velocidad de propagación y la intensidad del fuego, así como también

22

existe mayor la probabilidad de comportamiento impredecible del fuego (U.S. National Park Service, 2017)

• Viento: es uno de los factores de mayor relevancia ya que puede transportar el aire y además aumenta la provisión de oxígeno lo cual implica que incendio crezca velozmente, además puede desplazar el fuego a otras fuentes de combustible (U.S. National Park Service, 2017).

• Precipitación: este factor tiene un efecto directo e inmediato sobre la humedad relativa y así como también la humedad del combustible. La cantidad y distribución de la precipitación durante el transcurso de un año, define las épocas de incendio y su severidad. Mientas más lluvias y alta humedad exista, esto permite que la superficie de los combustibles se humidifique rápidamente de tal modo que no se pueda encender un incendio (Idaho Firewise, s.f.).

Componente topográfico

La topografía hace referencia a la superficie terrestre, específicamente a las características físicas de un lugar. El componente topográfico es el más estático de los tres componentes del comportamiento de los incendios forestales, sin embrago las características topográficas como la elevación, la pendiente, el aspecto y el terreno son muy cambiantes a lo largo del paisaje (U.S. National Park Service, 2017) Las principales variables topográficas que influyen en el comportamiento del fuego son: altura, exposición, pendientes, relieve, barreras

Para fines de esta investigación, examinaremos las siguientes variables topográficas:

• Altura: no es un factor determinante en la propagación de los incendios, sin embargo, afecta a otros parámetros que influyen en los incendios forestales tales como la temperatura, humedad, viento y precipitación. Según la altura, varía la duración de la época de incendios así como el combustible, esto debido a la precipitación anual total, la nieve, las épocas de deshielo y las épocas de reverdecimiento de la vegetación (Gould, 2009).

• Exposición: es la dirección que tienen las laderas o pendientes a la que se enfrenta una pendiente. Este factor incide en el comportamiento del incendio según la

23

radiación solar que reciben las laderas y por las variaciones del viento. En el hemisferio sur las exposiciones orientadas al norte son las que reciben mayor radiación solar mientras que las exposiciones que van hacia el sur reciben menor cantidad (Moscovich et al., 2014)

• Relieve: las diversas formaciones del terreno, tales como los cañones, barrancos, valles, crestas, barreras naturales o artificiales afectan el desarrollo del fuego, así como a las tareas de control. Su importancia se debe a la influencia en las condiciones del viento, que definen la velocidad y la dirección del incendio (Pyne, 1984).

• Pendiente: es la inclinación que tiene una superficie con respecto al plano horizontal y dicha inclinación es determinante sobre la intensidad que llega de radiación solar en el terreno. De este modo un incendio en una ladera, probablemente se propaga con mayor velocidad que en un terreno plano, pues las llamas del incendio precalientan los combustibles cuesta arriba (U.S. National Park Service, 2017).

Componente del combustible

El combustible es un elemento fundamental para la generación del fuego y a la vez es un factor de interviene en el comportamiento del fuego como tal (Comisión Nacional Forestal, 2010). En términos generales se puede considerar como combustible a cualquier cosa que pueda arder, sin embargo, en materia de los incendios forestales hace referencia a todo material de origen vegetal.

Existen varias características del combustible forestal que influyen en un incendio, aunque la mayoría de autores coincide en los que se enlistan a continuación (Aguirre Briones, 2001; Michel, 2012; Villers, 2006):

24

• Cantidad

• Tamaño y forma

• Continuidad horizontal y vertical

• Compactación

• Edad de la vegetación (densidad y especie)

• Contenido químico

• Humedad del combustible

2.1.3 Los focos de calor

Los focos de calor o puntos calientes (hotspots en inglés) es aquella expresión que generalmente se utiliza para definir las anomalías térmicas presentes en la superficie, las mismas que son detectadas a partir de imágenes satelitales. Los focos de calor habitualmente corresponden a un incendio potencial sin embargo también pueden provenir de quemas agrícolas, actividad volcánica, superficies calientes por el sol y otras causas (Di Bella et al., 2008).

2.1.3.1 Detección de focos de calor

La detección de focos de calor se da en el momento que un sensor remoto registra la energía emitida por la superficie específicamente en las longitudes de onda: infrarrojo medio y térmico. Es decir que un punto de calor se registrará en una imagen satelital siempre y cuando se detecte un punto de la superficie que presenta una temperatura elevada en comparación a los pixeles vecinos. Considerando que los incendios pueden alcanzar temperaturas entre los 800 °C y 1200 °C se han definido los umbrales típicos de incendios en las bandas de 4 µm - 11µm (Giglio et al., 2003)

En la imagen satelital, el foco de calor se registra como un punto al centro del pixel, el cual se activa cuando detecta altas temperaturas en la superficie. Dentro de un mismo pixel activo puede haber uno o más focos de calor, sin embargo, en el pixel solo aparece un registro único en el centro del pixel. En la Figura 3 se puede observar en la parte superior

25

como se muestra el foco de calor en la superficie mientras que en la parte inferior es la visualización dentro de la imagen satelital:

Nota: Adaptado de What does a MODIS active fire detection mean on the ground?, por Earthdata – NASA, 2021, (https://www.earthdata.nasa.gov/faq/firms-faq)

2.1.3.2 Errores de Omisión y Comisión

Los focos de calor han sido de gran utilidad para tener mayor noción en la ocurrencia de incendios y con especial énfasis en aquellas zonas donde la información es escasa pues ofrecen la posibilidad de detectar incendios casi en tiempo real y con costos muy bajos, sin embargo, se debe mencionar que todos los datos registrados en la imagen satelital no siempre corresponden a un incendio como tal y se dan ciertos errores, los mismos que pueden ser de omisión y comisión (Oliva et al., 2008).

Los errores de comisión corresponden a aquellas falsas alarmas que se registra en la imagen satelital y que posteriormente no muestra una cicatriz de quema por lo que se puede presumir que el foco de calor se activó por otro motivo como el brillo solar, suelo caliente (por lo general en zonas agrícolas), volcanes activos y otras fuentes que generan altas temperaturas En tanto que los errores de omisión hacen referencia a aquellos incendios que no son detectados en la imagen satelital esto puede suceder por algunos motivos como: el incendio no alcanza más de los 30 m, la zona está cubierta de nubes al

26
Figura 3 Representación del foco de calor en la superficie y en la imagen satelital

momento de la toma, los incendios duran poco tiempo (se da entre toma y toma), el evento se suscitó en una zona que no se cubrió en la imagen entre otros (Di Bella et al., 2008)

Con el fin de corregir estos errores que se tienen con los focos de calor, continuamente se hacen ajustes al algoritmo y en este contexto se ha logrado que actualmente las falsas alarmas se reduzcan casi a cero, pero en el caso de los errores de omisión aún se presentan porcentajes significativos en la toma de muestras.

2.1.4 Sensores para detección de focos de calor

Actualmente existe una gran cantidad de fuentes para obtener datos de focos calor de diversos satélites como NOAA, GOES, Terra, Aqua, Suomi – NPP, METEOSAT, ERS-2 entre otros. Sin embargo, los sensores que más se usan para esta labor son AVHRR(NOAA),ATSR (ERS-2),MODIS (a bordo de los satélites Terra y Aqua) y este último que está en transición con el sensor VIIRS (a bordo del Suomi-NPP y NOAA-20).

2.1.4.1 Sensor MODIS

MODIS por sus siglas en inglés “Moderate Resolution Imaging Spectroradiometer” es un sensor pasivo que se encuentra a bordo de los satélites Terra y Aqua de la National Aeronautics and Space Administration (NASA); lanzados en 1999 y 2002 respectivamente; y que transmite datos que van desde el espectro visible hasta el infrarrojo térmico. Ambos satélites adquieren permanentemente datos de la tierra, cada uno o dos días; por un lado, el satélite Terra cruza (nodo descendente) sobre el ecuador alrededor de las 10h30, mientras que el satélite Aqua lo hace (nodo ascendente) alrededor de las 13h30.

Las imágenes satelitales abarcan una franja de 2,330 km y registran datos en 36 bandas espectrales con longitudes de onda de 0 4 µm a 14 4 µm. La resolución espectral de MODIS se caracteriza por las bandas de: 250 m en el nadir (1 banda), de 500 m (5 bandas) y de 1 km (29 bandas) (FIRMS, 2021)

27

2.1.4.2 Sensor VIIRS

Como sucesor de los sensores AVHRR (NOAA) y MODIS (Terra y Aqua) aparece el sensor VIIRS denominado así por sus siglas en inglés “VisibleInfraredImagingRadiometerSuite” , el mismo que presenta mejoras y tiene como finalidad el monitoreo de la Tierra. Este sensor tiene una mejor resolución espacial con una franja más grande en comparación de los sensores antecesores y se encuentra a bordo de los satélites Suomi-NPP y NOAA-20 lanzados en 2012 y 2020 respectivamente.

La franja de VIIRS alcanza 3,040 km con lo que proporciona una cobertura global completa cada 12 horas. El sensor VIIRS a bordo del satélite Suomi NPP, cruza el ecuador aproximadamente a las 13h30 (nodo ascendente) y a la 1h30 (nodo descendente). Mientras que el sensor a bordo del satélite NOAA-20 cruza el ecuador aproximadamente a las 12:h40 (nodo ascendente) y a las 00h40 (nodo descendente).

VIIRS tiene 22 bandas que incluyen 5 canales de imágenes de alta resolución, 16 canales de resolución moderada, y una banda de día / noche, que abarcan el espectro entre 0 412 um y 11.5 um. Cuenta con resolución espacial de 370m y 70m (FIRMS, 2021).

2.1.4.3 FIRMS

Es el sistema de información de incendios para la gestión de recursos de la NASA, el cual fue creado con el fin específico de proveer información oportuna de los incendios para la gestión de los recursos naturales Este sistema fue desarrollado por la Universidad de Maryland, con fondos del Programa de Ciencias Aplicadas de la NASA y la Organización de las Naciones Unidas para la Agricultura y la Alimentación (Food and Agriculture Organization - FAO).

Este sistema ofrece datos de incendios en tiempo casi-real dentro de las 3 horas posteriores a la observación satelital desde los sensores MODIS y VIIRS. Al momento del paso de los satélites, ambos sensores detectan los focos de calor en pixeles de 1 km de la superficie que se esté quemando.

28

La detección de los incendios está basada en un algoritmo contextual, el cual compara las anomalías de temperatura de un pixel candidato con respecto a los pixeles vecinos, con valores umbrales típicos de incendios en las bandas de 4 μm y 4 -11 μm. En este sentido el algoritmo examina cada uno de los pixeles registrados y le asigna una de las siguientes clases: fuego, no fuego, nubes, agua, desconocido o datos faltantes. Durante el proceso se realizan diversas clasificaciones de los datos obtenidos, para lo cual inicialmente se descartan los pixeles que no poseen datos válidos y se los categoriza como datos perdidos. Seguidamente se aplica una máscara para distinguir aquellos pixeles que corresponden a nubes o agua y se les asigna la categoría respectivamente, de este modo se puede eliminar aquellos datos que definitivamente no corresponden a fuego. Para los pixeles restantes se efectúan una serie de estimaciones, así como una serie de pruebas de umbral de contexto, esto con el fin de obtener la firma característica del fuego activo. Durante la validación de datos es posible que se registren datos falsos como resultado del brillo del sol, los límites del desierto y los errores en la máscara de agua por esta razón es necesario ejecutar más pruebas y finalmente los pixeles sin valoración alguna se los categoriza como desconocido (Giglio et al., 2003).

La plataforma FIRMS permite visualizar los datos sobre incendios a nivel mundial, así como también la descarga de los datos en los formatos: shapefiles (.shp), archivos de texto separados por comas (.csv a archivos JSON (.json). La información descargable está disponible bajo la siguiente cobertura temporal:

• MODIS C6: noviembre de 2000 (para Terra) y desde julio de 2002 (para Aqua) hasta el presente.

• VIIRSS-NPP 375m: 20 de enero de 2012 - presente

• VIIRSNOAA-20 375m: 1 de enero de 2020 – presente

En el caso de puntual de los shapefiles tanto para los datos de MODIS como los datos de VIIRS, se incluyen los siguientes campos en la tabla de atributos (Ver Tabla 2):

29

Tabla 2 Atributos de los shapefiles de FIRMS

Atributo (inglés) Descripción corta

Latitude Latitud

Longitude Longitud

Brightness Temperatura de brillo 21 (Kelvin)

Scan A lo largo del tamaño de píxel de escaneo

Track A lo largo del tamaño de píxel del trayecto

Acq_Date Fecha de adquisición

Acq_Time Hora de adquisición

Satellite Satélite A = Aqua y T = Terra

Confidence Confianza (0-100%)

Version Versión (colección y fuente)

Bright_T31 Temperatura de brillo 31 (Kelvin)

FRP Potencia radiativa de fuego (MW - megavatios)

Tipo de punto caliente inferido

0 = presunto incendio de vegetación

Type*

1 = volcán activo

2 = otra fuente terrestre estática

3 = costa afuera

DayNight Día = D y Noche = N

Nota: Adaptado de Attribute fields for NRT VIIRS 375 m active fire data distributed by FIRMS, por Earthdata –NASA, 2021, (https://www.earthdata.nasa.gov/learn/find-data/near-real-time/firms/viirs-i-band-375-mactive-fire-data)

2.2 Marco Histórico

2.2.1 Sistemas de información geográfica para la gestión de incendios forestales

Con el paso de los años, el uso de los sistemas de información geográfica ha incrementado considerablemente en un sinfín de ámbitos facilitando la recopilación, almacenamiento, manipulación y análisis espacial de datos, para presentar la información de manera descriptiva en mapas. Y en el caso de los incendios forestales no ha sido la excepción pues se conoce que desde los años 1990 surgen los primeros estudios en los que se utiliza los SIG para el manejo del fuego en California, asimismo en esa misma década sobresalen los aportes en el tema de Chuvieco, quien expone “que la extinción resulta más eficaz al conocer las zonas con más riesgo y de este modo poder establecer la infraestructura defensiva (pistas, puntos de agua, bases)” (Chuvieco, 1996, como se citó en Álvarez Taboada et al., 2003, p. 2)

30

Como bien es sabido los SIG permiten completar procesos de manera más sencilla, rápida y económica en comparación de métodos tradicionales y cuando se trata de la gestión de riesgos relacionados a los incendios forestales, el uso de los SIG ha sido de carácter relevante pues esta herramienta permite la integración de datos topográficos, meteorológicos, combustibles (vegetación) y variables del ámbito antrópico facilitado establecer las zonas con mayor riesgo a los incendios y a su vez simplificar las tareas de prevención (Álvarez Rogel, 2000).

Durante las últimas décadas, la amenaza de los incendios forestales ha crecido abruptamente a nivel mundial, la misma que viene de la mano con el cambio climático y el cambio del uso del suelo, lo que trae consigo condiciones más adversas en el planeta como se concluye en el informe del Programa de las Naciones Unidas para el Medio Ambiente (UN Environment Programme, 2022). Esto ha merecido la preocupación de muchos investigadores, quienes han destinado su esfuerzo para implementar medidas de prevención y para ello han realizado un sinfín de estudios, apoyados en gran parte por las herramientas como los SIG y análisis geoestadísticos. Para la realización de esta investigación se han considerado varios estudios que han sido de gran aporte para precisar el comportamiento de los incendios forestales en la región.

En un trabajo reciente sobre la evolución y caracterización de los incendios forestales en España (Blas, 2018) se ha conseguido identificar patrones espaciales en la distribución del número de incendios forestales así como también de la superficie quemada, fusionando varias técnicas de análisis espacial y geoestadísticas entra las cuales resaltan: análisis de clúster y valores atípicos, clúster and Outlier Analysis (Anselin Local Moran′s I) y análisis de puntos calientes, Hot Spot Analysis (Getis-Ord Gi*). Entre los diferentes procesos realizados se logró obtener patrones, agrupamientos y modelado de las relaciones espaciales, de este modo se realza el potencial que ofrecen las técnicas geoestadísticas en relación a los incendios forestales.

31

A nivel de Latinoamérica, se ha encontrado que gran parte de las investigaciones sobre el comportamiento espacial de los incendios forestales, se concentran en los países de México y Brasil, es así que se ha considerado el trabajo hecho por Ávila-Flores et al. (2010) quienes han realizado un análisis espacial, siendo uno de los procesos más frecuentes de los SIG; de la ocurrencia de incendios para determinar si los incendios presentan un patrón no aleatorio en el estado de Durango, México. Para medir la asociación espacial de las superficies de los incendios, en este estudio han aplicado el índice de Moran y los resultados muestran que en este caso existe una elevada autocorrelación espacial entre los incendios analizados y asimismo la mayor concentración de incendios se encuentra en la zona boscosa del área de estudio.

En la investigación de Garzón y Campoverde (2020), focalizada en la provincia de Azuay, Ecuador desarrollaron un análisis de patrones de distribución espacial de los incendios forestales, para lo cual han partido de la hipótesis nula que los incendios forestales ocurren de manera aleatoria en el área de estudio. Han aplicado la técnica de Autocorrelación Espacial (índice I de Moran) así como también el Análisis de Punto Caliente (G de GetisOrd), tras los procesos realizados la hipótesis ha sido rechazada pues se ha encontrado que los incendios forestales presentan un patrón agrupado especialmente al noroeste de la provincia.

2.3 Marco Metodológico

2.3.1 Densidad Espacial

Toda variable puede ser representada como una serie de eventos georreferenciados; que ocurren en forma diferencial a lo largo de un área de estudio, los mismos que definen variaciones espaciales en su densidad. Mediante el uso de los SIG es posible representar la continuidad espacial de una variable según la densidad de los datos, es una forma no paramétrica de estimar la función de densidad de probabilidad de una variable aleatoria (Flores Garnica et al., 2019)

El software de ArcGIS cuenta con la herramienta “Densidad Kernel” (DensityKernel) la cual calcula la densidad de las entidades en la vecindad de esas entidades, puede aplicarse a

32

entidades de tipo punto o línea (ESRI, s/f). Dicha herramienta genera una “Clase de entidad” de tipo ráster, en la que se muestra una superficie suavizada a cada entidad analizada, donde se evidencia la concentración de puntos del área en cuestión, como se puede ver en la Figura 4:

Nota: La herramienta de Densidad Kernel, genera un ráster de densidad suavizada a partir de un shapefile de puntos. Tomado de “Ilustración de Densidad Kernel” por ESRI, s.f., (https://desktop.arcgis.com/es/arcmap/10.3/tools/spatial-analyst-toolbox/kernel-density.htm )

2.3.2 Geoestadística

La geoestadística es la rama de la estadística aplicada que se centra en el análisis y la modelización de variables que tienen un componente espacial, esto con el fin de identificar relaciones sistémicas de fenómenos dispersos en el espacio y tiempo. Las bases de la geoestadística surgen de dos nociones geográficas relevantes, como lo es la Primera ley de la geografía definida por Tobler como: “Todos los lugares están relacionados, pero los lugares cercanos están más relacionados que los lugares lejanos” (Tobler, 1970, como se citó en Blas, 2018, p. 117). Y por otro lado se tiene en cuenta la “Falacia Ecológica” que según Openshaw implica una interpretación errada de los datos estadísticos, pues se da por sentado que las características de un individuo pueden emplearse para el resto de la población del área en cuestión (Openshaw, 1983, como se citó en Blas, 2018, p. 117).

La geoestadística contribuye a encontrar soluciones prácticas de datos geográficos y así predecir la continuidad espacial (Gallardo, 2006), en este sentido ha sido aplicada en

33
Figura 4 Densidad Kernel

diversos campos tales como la minería, industria petrolera, medio ambiente, industria pesquera, ciencias forestales, ingeniería civil, salud pública entre otras y no es la excepción el ámbito de los incendios forestales ya que facilita a entender los patrones de distribución espacial de los incendios así como también la incidencia de las variables para que se den las quemas forestales (Devkota, 2021).

2.3.3 Herramientas de estadística espacial

La combinación de las técnicas de los SIG y de la geoestadística facilitan la representación más precisa de la distribución espacial de variables ya sea a pequeña o grande escala (Gallardo, 2006). En el caso puntual del software ArcGIS, este dispone de una extensión especifica de Estadística Espacial; la misma que contiene una gran variedad de herramientas para analizar distribución espacial, identificar clústeres espaciales, evaluar patrones de agrupamiento o dispersión, agrupar entidades con atributos similares, entre otros. Dentro de esta extensión se encuentran 5 conjuntos de herramientas principales: Análisis de Patrones, Asignación de Clúster, Medición de Distribución Geográfica, Modelado de Relaciones Espaciales y otras Utilidades. Para esta investigación se aplicará la herramienta de Autocorrelación Espacial que es parte del primer conjunto de datos mencionado previamente y por otro lado se usarán las técnicas de “Análisis de clúster (conglomerados) y valor atípico” , así como el “Análisis de Punto Caliente”, siendo parte del conjunto de herramientas Asignación de Clústeres (ESRI, s.f.)

2.3.3.1 Autocorrelación espacial

En los años setenta se formaliza el concepto de autocorrelación espacial acuñado por Andrew Cliff y Keith Ord, marcando un hito importante en la geografía y la manera de comprender el comportamiento de los fenómenos geográficos desde otra perspectiva (Siabato y Guzmán-Manrique, 2019) Desde entonces se han generado diferentes definiciones tales como:

Definida de manera simple, la autocorrelación espacial es la concentración o dispersión de los valores de una variable en un mapa. Dicho de otra manera, la autocorrelación espacial refleja el grado en que objetos o actividades en una unidad

34

geográfica son similares a otros objetos o actividades en unidades geográficas

próximas (Goodchild, 1986, como se citó en Siabato y Guzmán-Manrique, 2019, pg. 2)

Para abordar el concepto de autocorrelación espacial, Goodchild precisa que el análisis espacial incluye dos variedades de información, por un lado, se tiene los atributos de los fenómenos espaciales analizados y por otro lado la localización que tiene cada fenómeno espacial (Goodchild, 1986, como se citó en Siabato y Guzmán-Manrique, 2019, pg. 2).

Odland (1988) sugiere que “la autocorrelación espacial existe cuando una variable exhibe un patrón regular sobre el espacio en el que sus valores en un conjunto de ubicaciones dependen de los valores de la misma variable en otras ubicaciones” (López, 2021, pg. 51)

Mientras que Lloyd (2010), define a “la autocorrelación espacial como la correlación de una variable consigo misma, es decir los valores en lugares cercanos tienden a ser similares” (López, 2021, pg. 51). Simplificando los diferentes puntos de vista que han surgido, se podría decir que la autocorrelación espacial permite comprender la similitud que tienen objetos que se encuentran cercanos entre sí.

Al medir la correlación que puede tener una variable con las unidades espaciales contiguas, se puede dar tres posibles formas de agrupamiento (Siabato y Guzmán-Manrique, 2019):

1. Autocorrelación espacial positiva: es cuando el fenómeno analizado se agrupa en zonas uniformes y forma un patrón de clúster o conglomerados (véase Figura 5a)

2. Autocorrelación espacial negativa: cuando las unidades espaciales vecinas son disímiles, formando un patrón disperso (véase Figura 5b)

3. Ausencia autocorrelación espacial: no existe un agrupamiento definido y resulta en un patrón aleatorio (véase Figura 5c)

35

Dentro de la estadística espacial se utilizan dos tipos de medidas: globales y locales. Las medidas globales se plasman en un indicador de autocorrelación espacial o similitud general de regiones mientras que las medidas locales ofrecen información sobre las regiones determinadas, es decir no generaliza para toda el área analizada. En este contexto se puede medir la autocorrelación espacial mediante estadísticas globales como el I de Moran y C de Geary, y con índices locales como Moran´s II y Geary CI que forman parte del indicador de asociación espacial (LISA), así como también G Getis – Ord (Siabato y GuzmánManrique, 2019)

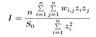
Para fines de esta investigación se enfatizará en el índice I de Moran global, el mismo que es uno de los indicadores más antiguos y conocidos, para evaluar la autocorrelación espacial, se define por (ESRI, s.f.; Siabato y Guzmán-Manrique, 2019):

Donde:

36
Figura 5 Patrones espaciales de autocorrelación Nota: Tomado de “La autocorrelación espacial y el desarrollo de la geografía cuantitativa”(pg.5), por Siabato y Guzmán-Manrique, 2019, Cuadernos de Geografía: Revista Colombiana de Geografía.

• es la desviación de un atributo / variable de una unidad espacial desde su media …………….., donde es el valor variable en una unidad espacial determinada y es el valor de la variable en otra localización, normalmente las vecinas a

• es la ponderación geográfica entre la unidad y la unidad

• es igual al número total de unidades espaciales

• es la suma de elementos de la matriz de pesos, una constante para todas las unidades espaciales

La autocorrelación espacial (I de Moran) es la herramienta que mide el grado de asociación de una variable basada en las ubicaciones y los valores de atributo mediante la estadística I de Moran global. Dicho estadístico puede variar entre -1 y +1 (Siabato y GuzmánManrique, 2019), en donde se pueden tener los siguientes resultados:

• +1: es una autocorrelación espacial positiva, la variable de interés está perfectamente agrupada

• -1: es una autocorrelación negativa, la variable de interés está perfectamente dispersa

• 0: la variable de interés se dispersa aleatoriamente

Este tipo de técnicas se basan en una “hipótesis nula” la cual define que el conjunto de datos presenta un patrón aleatorio y una vez que se corre el procesamiento arroja cinco resultados del análisis: el índice I de Moran, el índice esperado, la varianza, la puntuación z y el valor P. Los valores resultantes de la puntuación z y el valor p son los que permitirán rechazar o no la hipótesis nula (ESRI, s.f.). Una vez que se ha calculado el I de Moran, el software arrojará un reporte que contiene los resultados obtenidos, como se muestra en la Figura 6:

37

Nota: En el reporte se presentan todos los datos obtenidos del análisis de la variable de interés y para este caso en particular denota que los datos se encuentran agrupados, de tal manera que se da por rechazada la hipótesis nula Adaptado de reporte generado por software usando ArcGIS® software por Esri.

El valor p se refiere a una probabilidad y “cuando el valor p que devuelve esta herramienta es estadísticamente significativo, puede rechazar la hipótesis nula” (ESRI, s.f.). Cuando el valor p es inferior a 0,1, se rechaza la hipótesis nula, es decir que es poco probable que el patrón espacial de los datos se haya dado de manera aleatoria.

2.3.3.2 Análisis de Puntos Calientes

La herramienta de Análisis de Puntos Calientes (Hot Spot Analysis) emplea la estadística Gi* de Getis-Ord, la cual permite identificar donde se agrupan los valores altos y valores bajos (puntos calientes y fríos respectivamente) estadísticamente significativos de un conjunto de datos ponderados. Para ello la herramienta compara el valor de la variable dentro del

38
Figura 6 Reporte de autocorrelación especial – I de Moran global

contexto de sus entidades vecinas a modo de ejemplo un punto caliente se puede establecer cuando la variable analizada arroja un valor alto y asimismo las entidades vecinas tienen un valor alto (ESRI, s.f.) Justamente el hecho de que incluya a todas las unidades dentro del análisis es lo que diferencia del índice I de Moran, pues para dicho índice solo toma en cuenta los valores de las unidades vecinas más no incluye la unidad analizada como tal (Ma, 2021).

Cuando se ejecuta esta herramienta en el software de ArcGIS se crea una “Clase de entidad”, la misma que incluye puntuación z, valor p y un bin de nivel de confianza, como muestra la Figura 7 (ESRI, s.f.).

Nota: La herramienta de Análisis de punto caliente identifica los puntos calientes y puntos fríos estadísticamente significativos basado en la estadística Gi* de Getis-Ord y la hipótesis nula se rechaza en base a las puntuaciones de z y los valores p, como muestra la imagen.Tomadode“Análisis de punto”,porESRI, s.f., (https://desktop.arcgis.com/es/arcmap/10.5/tools/spatial-statistics-toolbox/hot-spot-analysis.htm)

En la Figura 8, a modo de ejemplo; se ha incluido la clase de entidad resultante de un análisis de puntos calientes para los incendios forestales en la selva amazónica a nivel de municipalidades, en el cual se observa la concentración de puntos calientes hacia el sur del área, mientras que la mayor concentración de punto fríos se da al este de la región. El mapa resultante muestra los resultados en intervalos de confianza con condiciones específicas respecto a los valores Z y p.

39
Figura 7 Análisis de punto caliente - Gi* de Getis-Ord

Nota: Tomado de “Hotspot analysis at municipality level”, por Ma, 2021, (https://digitalcommons.usf.edu/etd/9175/)

2.3.3.3 Análisis de clúster y valor atípico

Cómo se mencionó previamente, dentro del conjunto de Asignación de Clústeres, que ofrece el software de ArcGIS, se cuenta con la herramienta “Análisis de clúster y valor atípico”, la misma que se basa en los indicadores locales de asociación o conocidos también como LISA que viene de sus siglas en inglés Local Indicator of Spatial Association y que proporciona información acerca de la relevancia de valores similares alrededor de una zona determinada (Blas, 2018). En la Figura 7 se muestra una ilustración que simplifica los resultados que se puede obtener con esta herramienta:

40
Figura 8 Análisis de punto caliente a nivel municipal

Figura 9 Análisis de clúster y valor atípico

Nota: La herramienta de Análisis de clúster y valor atípico permite identificar puntos calientes, puntos fríos y valores atípicos espaciales estadísticamente significativos mediante la estadística de I Anselin local de Moran como se muestra en la ilustración. Tomado de “IlustracióndeAnálisisdeclústery valor atípico (I Anselin local de Moran)”, por ESRI, s.f., (https://desktop.arcgis.com/es/arcmap/10.3/tools/spatial-statisticstoolbox/cluster-and-outlier-analysis-anselin-local-moran-s.htm )

Esta herramienta puede generar información de un conjunto de datos, similar a la de la herramienta de “Puntos Calientes”, pero adicionalmente incluye datos sobre valores atípicos espaciales estadísticamente significativos mediante la estadística de I Anselin local de Moran es decir valores altos-bajos y bajos-altos (ESRI, s/f). Según Blas (2018) la existencia de rasgos atípicos contradice la primera ley de la geografía, que establece que los rasgos cercanos son similares entre sí además que la distribución de esos rasgos no es aleatoria.

Al correr esta herramienta se genera una nueva “Clase de entidad de salida” y dentro de la tabla de atributos para cada entidad analizada se detalla: índice I de Moran local, puntuación z, pseudo valor P y tipo de clúster/valor atípico (COType). Las puntuaciones z y los valores p son medidas de significancia estadística que indican si se rechazará la hipótesis nula, entidad por entidad (ESRI, s/f). El resultado de puntuación de z diferencia dos circunstancias particulares para la entidad analizada;

- Puntuación z positiva alta: que las entidades contiguas tienen valores similares, sean estos altos o bajos

- Puntuación z negativa baja: para una entidad indica un valor atípico de datos espacial estadísticamente significativo

41

Para este análisis el software representa los resultados en un mapa según los resultados del campo “COType”, según los valores altos y bajos de agrupamiento y los valores atípicos de alto-bajo y bajo-alto. Esto se muestra en la Figura 10, en la misma que observa la distribución de los incendios forestales en la selva amazónica basada en una cuadrícula hexagonal.

Nota: Tomado de “Hotspot analysis at municipality level”, por Ma, 2021, (https://digitalcommons.usf.edu/etd/9175/)

42
Figura 10 Análisis de clúster y valor atípico

3. METODOLOGÍA

En esta sección se presentan los aspectos metodológicos de la investigación que permitirá llevar a cabo el análisis comparativo de los incendios forestales y los focos de calor.

3.1 ÁREA DE ESTUDIO

La provincia de Imbabura se sitúa al norte de serranía ecuatoriana, entre las coordenadas geográficas 0°7'N y 0°52'N de latitud y los 77°48 y 79°01'W de longitud y alcanza una elevación máxima de 4,832 y un mínimo de 300 msnm. Limita con las siguientes provincias: al norte Carchi, al sur Pichincha, al este Sucumbíos y al oeste con Esmeraldas. Tiene una superficie de 4,791 32 km² y está conformada por 6 cantones, 13 parroquias urbanas y 36 rurales como se aprecia en la Figura 11 (Prefectura de Imbabura, 2021)

Nota: Elaboración propia. Fuente de datos: Información Base, Instituto Geográfico Militar (IGM), 2013

Según los datos del censo poblacional del año 2010, publicados por el Instituto Nacional de Estadísticas y Censos; la provincia tenía 398,244 habitantes y de los cuales el 51%

43
Figura 11 Mapa de la Provincia de Imbabura

corresponde a mujeres y el 49% restante a los hombres. Sin embargo, para el año 2020 las proyecciones indican que alcanzaría una población de 476,257 habitantes La densidad poblacional en la provincia es de 97 04 hab/km2, siendo el cantón Antonio Ante el de mayor densidad poblacional mientras que el cantón Urcuquí es el menor en densidad poblacional (INEC, 2011).

El área de estudio se presentan cuatro tipos de climas: Ecuatorial de alta montaña, Ecuatorial Meso térmico seco, Ecuatorial Mesotérmico semi húmedo y Tropical Megatérmico húmedo. La temperatura presenta valores desde 8°C y hasta 24°C. En la Tabla 3 se precisa mayor información al respecto:

Tabla 3 Datos climatológicos de la provincia de Imbabura

Nota: Tomado de Clima, por Prefectura de Imbabura, 2019, (https://www.imbabura.gob.ec/index.php/componente-territorial/instrumentos-de-planificacion/pdotprovincial)

Como se puede observar en la figura previa, en Imbabura las precipitaciones oscilan entre los 500 a 4,000 mm y según Pourrut (1995) esta región se caracteriza por tener un período seco (verano) de junio hasta noviembre y un período lluvioso (invierno) de diciembre hasta mayo.

Con respecto a la cobertura del suelo en la provincia de Imbabura, según los datos publicados por el Ministerio del Ambiente y Agua para el año 2018; la superficie se caracteriza por tener una gran superficie de Tierra Agropecuaria alcanzando al 44.10% de toda la provincia como se muestra en la Figura 12 y le sigue la categoría de Bosque con un 30.37% mientras que la Vegetación Arbustiva y Herbácea corresponde al 23.40%.

44

Nota: Elaboración propia. Fuente de datos: Cobertura de la tierra 2018, Ministerios del Ambiente y Agua

Es importante mencionar que en el área de estudio existen dos áreas protegidas que son parte del Sistema Nacional de Áreas Protegidas (SNAP). La primera es la Reserva Ecológica Cotacachi Cayapas, la cual tiene una superficie de 243,638 Ha que esta compartida entre las provincias de Esmeraldas e Imbabura, en esta última se encuentra la menor parte con 3,707.73 Ha y la segunda es el Parque Nacional Cayambe – Coca con una pequeña área de 6,976.58 ha en Imbabura de un total de 403,103 ha que constituye todo el parque y esta atraviesa varias provincias del país (Prefectura de Imbabura, 2021)

En el ámbito económico, la provincia de Imbabura se caracteriza por tener mayor producción dentro del sector económico terciario, esto se puede evidenciar en la Tabla 4 la cual muestra el Valor Agregado Bruto (VAB) por rama de actividad económica, siendo las principales actividades: Construcción, Comercio, Manufactura y la actividad de Transporte, información y comunicaciones pues incluyen más del 53% del VAB total de la provincia.

45
Figura 12 Gráfico según la cobertura del suelo de la provincia de Imbabura
44,10% 30,37% 23,40% 1,32% 0,61% 0,20% 0 50000 100000 150000 200000 250000 Área (ha)
Cobertura del suelo Cobertura del suelo - Provincia Imbabura Otras tierras
Agropecuaria
Cuerpo de agua Zona antrópica Vegetación arbustiva y herbacea Bosque Tierra

Tabla 4 VBA según rama de actividad económica de la provincia de Imbabura

Nota: Adaptado de Cuadro comparativo del VAB 2015-2019 por ramas de actividad económica, por Prefectura de Imbabura, 2019, (https://www.imbabura.gob.ec/index.php/componenteterritorial/instrumentos-de-planificacion/pdot-provincial)

3.2 FLUJOGRAMA DE LA METODOLOGÍA

En la Figura 13 se puede observar una síntesis de la metodología aplicada en esta tesis con la finalidad de comprender los patrones de distribución espacial de los incendios forestales en la provincia de Imbabura, dicha metodología está basada en la aplicación de herramientas de análisis espacial combinadas con herramientas de estadística espacial.

46
47
Figura 13 Flujograma de trabajo

3.3 METODOLOGÍA APLICADA

3.3.1 Recopilación de datos

Para cumplir con los objetivos de esta investigación se consideró utilizar tres fuentes de datos referentes a los incendios forestales además de información base para la elaboración de mapas.

3.3.1.1 Datos de incendios forestales - SNGRE

En primera instancia se obtuvo los datos generados por el SNGRE, que se encuentran disponibles en su geoportal (https://informacion.gestionderiesgos.gob.ec:8443/centrodedescarga/contenidos/); dentro del cual es posible descargar datos geográficos de diversos eventos peligros a nivel nacional (incendios forestales, inundaciones, movimientos en masa, volcanes, tsunamis y sequías), dicha información está disponible a nivel nacional en formato shapefile. En el caso de esta investigación se obtuvo los datos correspondientes a “Incendios Forestales”.

3.3.1.2 Datos de focos de calor - FIRMS

Por otro lado, se han obtenido los datos de incendios activos "near real-time (NRT)"; es decir en tiempo casi real que se encuentran disponibles en la plataforma de FIRMS ( https://firms.modaps.eosdis.nasa.gov/). Dentro de dicha plataforma es posible obtener los datos disponibles de los incendios activos o focos de calor que se han generado de la observación satelital desde el espectro-radiómetro de imágenes de resolución moderada (MODIS) a bordo de los satélites Aqua y Terra, y el conjunto de radiómetros de imágenes infrarrojas visibles (VIIRS) a bordo del S-NPP y NOAA 20 (formalmente conocido como JPSS1).

La plataforma facilita los datos en formatos shapefiles (.shp), comma-separated text files (.csv) y JSON files (.json), para fines de esta investigación se descargó los archivos en formato shapefile a nivel de país, siendo una de las opciones que tiene la plataforma

48

3.3.1.3 Capas y referencia espacial

Las capas empleadas para esta investigación fueron generadas bajo la referencia espacial: WGS 1984 UTM Zone 17S. En la Tabla 5 se especifica mayor información de las capas utilizadas:

Tabla 5 Capas de información geográfica

3.3.1.4 Depuración de datos

Ma (2021) menciona que la tasa de error en la detección de incendios por sensores remotos se sitúa en torno al 4% para Sudamérica, según la robustez del rendimiento del algoritmo MCD14ML, en este sentido con la finalidad de evitar los posibles errores de comisión se consideró pertinente eliminar los focos de calor que tienen un nivel de confianza bajo.

Los focos de calor de MODIS se clasifican en tres categorías de nivel de confianza (Earthdata - NASA, 2021b): bajo (0-30%), medio (30-80%) y alto (80-100%), en este contexto se eliminaron aquellos focos de calor con nivel de confianza bajo y para fines de la investigación se utilizó aquellos datos con nivel de confianza medio y alto. Mientras que para los datos de VIIRS los valores de confianza se establecen bajo la clasificación bajo, nominal y alto (Earthdata - NASA, 2021b), asimismo se eliminaron los datos con nivel de confianza bajo y se mantuvo aquellos focos de calor con nivel de confianza nominal y alto.

49

3.3.2 Identificación de áreas con mayor ocurrencia de incendios forestales

Los incendios forestales se distribuyen de manera irregular sobre el territorio por lo cual es importante evaluar su comportamiento de manera integral Sin embargo, para términos de esta investigación se consideró inicialmente una exploración de los datos basado en el nivel administrativo, para conocer de manera general las áreas más afectadas en la provincia de Imbabura según la ocurrencia de incendios forestales

3.3.2.1 Análisis de densidad espacial

3.3.2.1.1 Unión espacial

Primeramente, se realizó un conteo de los incendios forestales a nivel cantonal, para ello se empleó la herramienta de “Unión Espacial” (SpatialJoin) que permitió la unión espacial de la capa que contiene la localización de los incendios forestales (tres fuentes) con la capa de los límites administrativos y esto generó una nueva cobertura que detalla cuantos incendios forestales ocurrieron por área administrativa.

En la nueva capa generada, en el campo “Join_Count” se tiene el número de incendios forestales, dicho dato se desplegó con simbología de color graduada para mostrar los niveles administrativos con mayor o menor ocurrencia de incendios. Este proceso se realizó para cada una de las tres capas de datos de incendios forestales y para el nivel administrativo mencionado previamente.

3.3.2.1.2 Densidad Kernel

Se ejecutó la herramienta “Densidad Kernel” (Kernel Density) de ArcGIS para cada una de las tres capas con los datos de incendios forestales. Para fines de esta investigación se mantuvieron los parámetros predefinidos por la herramienta a excepción del tamaño de celda de salida, el cual se definió de 100 m además se estableció el límite provincial como entidad de barrera.

50

3.3.3 Determinación de patrones de distribución espacial

Los incendios forestales se distribuyen de manera irregular en el territorio y se presentan de modo disperso en las demarcaciones territoriales (Blas, 2018), por ello antes de aplicar las herramientas de geoestadística es preciso definir cuál será el campo de análisis de los datos, siendo necesario la agregación de los datos de los incendios forestales. En el estudio realizado por Blas (2018) para el análisis estadístico se utilizó como geometría de análisis el nivel administrativo municipal y como unidad de medida se usó el número de incendios por hectárea. En cambio, en la investigación de Ma (2021) propone tres formas para realizar el análisis, la primera es usar el número de incendios por municipio a partir de la unión espacial de las capas correspondiente, la otra opción es crear una red de celdas rectangulares (Fishnet) en la que se pueden analizar los datos con áreas regulares y del mismo tamaño y la tercera forma es transformar la capa de puntos de los incendios forestales a una capa de datos de punto ponderados (Collect Events) de tal modo que el análisis se basa en los puntos donde existe una mayor ocurrencia de incendios. Además, según las recomendaciones de ArcGIS, al momento de aplicar métodos estadísticos, como lo es el análisis de clúster y valores atípicos; es indispensable contar con al menos 30 entidades de entrada para que los resultados sean fiables (ESRI, s/f).

En función de lo mencionado previamente, para fines de esta investigación se descartó la opción de analizar los datos según el nivel administrativo debido a la irregularidad de las superficies, lo que puede conllevar a interpretaciones erradas de los datos. La agregación de los datos se hizo a través de cuadrículas con formas regulares y se eligió aplicar una cuadrícula hexagonal, ya que los hexágono reducen el sesgo del muestreo, permite representar las curvas de los patrones de los datos de una manera más natural y una mayor probabilidad de encontrar un vecino cercano para el análisis (ESRI, s/f). La cuadrícula hexagonal se la generó utilizando la herramienta “Generar teselación” (Generate Tessellations), se escogió la forma tipo hexagonal, se asumió un tamaño de hexágono de 10 km² que es apropiado para este análisis, se definió la referencia espacial WGS_1984_UTM_Zone_17S y finalmente se fijó la extensión de la provincia de Imbabura como entorno de geoprocesamiento.

51

3.3.3.1 Análisis de patrones

3.3.3.1.1 Autocorrelación espacial – Índice global I de Moran

El análisis de autocorrelación espacial, es el punto de partida para precisar si el conjunto de datos presenta un patrón agrupado estadísticamente (ESRI, s/f) para ello se empleó el índice de I Moran, el cual oscila entre -1 y +1 y mientras más se acerca al cero implica que los patrones espaciales son aleatorios, mientas que los valores positivos apuntan a un agrupamiento de los datos y por el contrario valores negativos corresponden a datos dispersos. Este análisis se lo realizó con la herramienta “Autocorrelación Espacial” usando la cuadrícula hexagonal y como campo de entrada se usó el campo “Join_Count” (número de incendios por hexágono) y se ha aplicado la distancia inversa como parámetro de conceptualizado de las relaciones espaciales de tal manera que las entidades vecinas cercanas tienen una mayor influencia en los cálculos que las que están más lejos (Blas, 2018) y cómo método para el cálculo de las distancias se conservó la distancia euclidiana, es decir la línea recta entre dos puntos.

3.3.3.2 Asignación de clúster

3.3.3.2.1 Análisis de puntos calientes - G local de Getis Ord

Una vez que se ha comprobado que la distribución espacial de los incendios forestales no es aleatoria y por lo contrario presenta un patrón de agrupamiento, el siguiente paso en esta investigación es evidenciar donde se agrupan los puntos calientes y fríos estadísticamente significativos. La herramienta de “Análisis de Puntos Calientes” calcula la estadística Gi* de Getis Ord analizando el valor de una entidad relaciona con las entidades vecinas y si el valor de la función es alta tanto como el de las entidades vecinas entonces se determina como un punto caliente (Blas, 2018). Como lo menciona Ma (2021, pg. 65) “[...] un solo punto con un valor alto no es necesariamente un punto caliente. Se convierte en un punto caliente sólo cuando sus vecinos también tienen valores altos.” El estadístico calcula las puntuaciones z y los valores p para definir donde se agrupan los datos con valores altos y bajos. Si se tiene una puntuación de z alta y el valor de p es pequeño hace referencia a una agrupación de valores altos mientras que, si la puntuación z es negativa y

52

baja, la agrupación es de valores bajos, pero si dicha puntuación se acerca a cero implica que no existe agrupación.

En este caso igualmente se usó la cuadrícula hexagonal como clase de entidad de entrada y el campo de análisis es “Join_Count”, las relaciones espaciales entre las entidades se definieron como banda de distancia fija, la que permite que todas las entidades dentro de la vecindad tengan el mismo peso y se mantuvo el método de cálculo de la distancia en línea recta es decir euclidiana.

3.3.3.2.2 Análisis de clúster y valor atípico - G global de Getis Ord

En los pasos anteriores ya se determinó que existe un agrupamiento de los datos analizados, así como también donde se encuentran concentrados los puntos altos y bajos. Finalmente para complementar la metodología propuesta se consideró analizar la existencia de valores atípicos Para ello se empleó la herramienta de “Análisis de clúster y de valor atípico”, la misma que está basada en la estadística de asociación espacial o Índice Anselin Local del Moran y que permite identificar clústeres espaciales de entidades con valores similares; muy parecido al “Análisis de Puntos Calientes” ; adicional a ello muestra los agrupamientos de los valores atípicos.

Los parámetros que se usó para esta herramienta fueron los mismos que para el análisis de puntos calientes, es decir el cálculo de la distancia es por método euclidiano y la relación espacio se mantuvo banda de distancia fija, el resto de parámetros se los dejo como viene predeterminado. La herramienta se aplicó para las tres capas con la cuadricula hexagonal y el número de incendios forestales.

El análisis genera una entidad de salida que define las posibles agrupaciones de los datos bajo cuatro combinaciones: Clúster de valores altos (HH), Clúster de valores bajos (LL), Valor atípico en el que un valor alto esta principalmente por valores bajos (HL) y por último Valor atípico en el que un valor bajo está rodeado principalmente por valores altos (LH) (Blas, 2018).

53

3.3.4 Comparación de resultados

Después de haber realizado los análisis espaciales para determinar los patrones espaciales de los incendios forestales en la provincia de Imbabura, para terminar esta investigación se realizó una comparación de los resultados que se obtuvo para cada uno de los conjuntos de datos analizados y con ello identificar si existe coherencia con los datos analizados.

Para valorar la coherencia de las tres fuentes de datos se lo hizo en dos momentos de la investigación. En un inicio, durante la fase de recopilación de datos, se evaluó el número de registros de incendios forestales/focos de calor que se registraba para cada conjunto de datos y por otro lado se estimó la temporalidad de los datos, con la ayuda de relojes de datos, para los cuales se analizó la información en base a los años y meses según el registro de incendios forestales.

En una segunda instancia, una vez efectuados los análisis geoestadísticos de los datos, se compararon los resultados obtenidos entre los tres conjuntos de datos y se definió similitudes y diferencias en el comportamiento de los datos.

54

4. RESULTADOS Y DISCUSIÓN

En esta sección se presenta los resultados obtenidos para cada uno de los análisis efectuados con el objetivo de dar respuestas a las preguntas de la investigación.

4.1 Resultados

4.1.1 Recopilación de datos

En la Figura 14 se muestra los mapas con la información de incendios forestales registrados por cada una de las fuentes de datos analizadas durante el período 2015 -2018 en la provincia de Imbabura.

A partir de los mapas generados, se analizó los datos en la tabla de atributos de cada una de las capas generadas, para cuantificar el número de eventos que registran anualmente, los cuales se muestran en la Tabla 6: Tabla 6 Ocurrencia de incendios forestales por año

De esto se puede percibir que los focos de calor del sensor VIIRS registró un mayor número de incidencias, a este le siguieron los datos de incendios forestales generados por la SNGRE con menos de la mitad y por último están los registros de focos de calor del sensor MODIS con muy pocos datos disponibles.

55
56
Figura 14 Mapa de incendios forestales registrados (2015-2018) según fuente de datos

También se disgregó la información mensualmente; para ello se utilizó el gráfico de tipo reloj de datos que permite visualizar los datos temporales en dos dimensiones, para comprender los patrones temporales de los datos. Los resultados que se obtuvo para la estacionalidad de los incendios forestales de los datos de la SNGRE se muestran en la Figura 15a, donde se evidencia una baja ocurrencia de incendios durante los meses de febrero a mayo mientras que para los meses de junio a enero hay un incremento significativo de los incendios forestales sobre todo en los meses de agosto, septiembre y octubre con mayor intensidad para el año 2018. En el año 2017 los datos llaman la atención, pues presentan un patrón distinto al del resto de años analizados y son muy pocos los incendios forestales ocurridos en dicho año.

57
58
Figura 15 Reloj de datos según número de incendios por mes y año (2015-2018)

El reloj de datos resultante para los focos de calor del sensor MODIS, permite distinguir claramente la temporalidad de los incendios, que se caracteriza por ser muy baja durante el primer semestre del año Sin embargo, para el segundo semestre es evidente como cambia el comportamiento de los incendios forestales y hay un incremento importante más que todo en los meses de agosto a octubre en los años 2015 y 2018.

En la Figura 15a, se tiene los resultados para los focos de calor del sensor VIIRS que revelan la baja ocurrencia de incendios forestales durante los meses de enero a julio al igual que los datos de MODIS mientras que los siguientes meses hay un incremento sustancial del número de incendios; es así que en el mes de septiembre de 2015 se tiene el registro más alto de toda la serie. Para los años 2016 y 2018, hubo tres meses que se registró una alta ocurrencia de incendios.

4.1.2 Identificación de áreas con mayor ocurrencia de incendios forestales

4.1.2.1 Análisis de Densidad Espacial - Unión espacial

Para los datos de incendios forestales de la SNGRE, el conteo de incendios por cantón, se muestra en la Figura 16a, en la que se observa que el cantón Ibarra es el más afectado y donde existe mayor ocurrencia de incendios forestales a este le sigue el cantón Otavalo, mientras que en los cantones de Cotacachi, San Miguel de Urcuquí y Pimampiro se registra una menor cantidad de incendios en tanto que el cantón Antonio Ante es en que menos se registran incendios forestales en el periodo analizado.

59
60
Figura 16 Mapa de incendios forestales (2015-2018) según número de ocurrencias por cantón

En la Figura 16b, se muestra el resultado para el conteo de datos de los focos de calor del sensor MODIS y en este caso los cantones con mayor recurrencia de incendios fuero: Ibarra y Cotacachi y les sigue el cantón Otavalo. Los cantones San Miguel de Urcuquí y Pimampiro tuvieron una baja ocurrencia de incendios forestales y nuevamente se repite el cantón Antonio Ante que tuvo el menor número de incendios forestales.

Los focos de calor del sensor VIIRS detectados en el período analizado, arrojaron datos algo similares a los de MODIS, pues el cantón Cotacachi fue el más afectado y con menor intensidad los cantones Ibarra y Otavalo. En el cantón Antonio Ante, hubo menos incendios lo que es recurrente para las tres fuentes de datos (Ver Figura 16c).

4.1.2.2 Análisis de Densidad Espacial - Densidad Kernel

Como se mencionó anteriormente los mapas de densidad permiten visualizar de manera sencilla como se concentran los datos analizados de ocurrencia de incendios forestales Es así que se obtuvo el mapa de “Densidad Kernel” para los datos de incendios forestales de la SNGRE el cual se muestra en la Figura 17a, que la mayor parte de los incendios forestales se registraron en el sur centro de la provincia de Imbabura, principalmente en el cantón Otavalo y se van extendiendo con menor intensidad, en sentido noreste hacia el cantón Antonio Ante y al sur de Ibarra. Además, existen dos agregaciones de datos aisladas, una pequeña al norte de Ibarra y otro con una densidad alta a media al norte del cantón Pimampiro.

En el caso de los focos de calor de MODIS, el comportamiento de los datos es completamente diferente que los datos de la SNGRE, ya que la principal concentración de los incendios forestales se registró al norte de Imbabura como se visualiza en la Figura 17a, donde la mayor densidad de incendios esta al norte del cantón Ibarra ocupando una buena parte del territorio cantonal y que se extiende hacia el sur al cantón San Miguel de Urcuquí. Por otro lado, se obtuvo dos agregaciones, de muy alta y alta intensidad, en dos lugares puntuales: en el cantón Cotacachi al límite con el cantón San Miguel de Urcuquí y el otro es la sureste de Otavalo en el límite con el cantón Ibarra. En el cantón Cotacachi se observa concentración de densidades bajas desde el centro del cantón hacia el oeste.

61

Con relación a los datos de focos de calor del sensor VIIRS, los resultados de la densidad de los incendios forestales en la Figura 17c muestra que la mayor concentración de datos se encuentra al centro de Otavalo con una densidad muy alta siendo la más significativa para el cantón, pues al norte del cantón hay tres agregaciones de baja densidad.

62
63
Figura 17 Mapa de densidad de los incendios forestales (2015-2018) según localización (Densidad Kernel)

4.1.3 Determinación de patrones de distribución espacial

4.1.3.1 Análisis de Patrones - Autocorrelación espacial (Índice global I de Moran)

Para determinar la distribución espacial de los incendios forestales en la provincia de Imbabura se usó la autocorrelación espacial en la cuadrícula hexagonal en base al número de incendios por hexágono.

Para los datos de los incendios forestales de la SNGRE se aplicó el análisis a partir de un umbral de distancia de 3379 47 m, la misma que permite que todas las entidades tengan al menos un vecino; y así se obtuvo un valor positivo del índice I de Moran de 0 498088, la puntuación de z 12.961028 y el valor de p fue de 0.000000. Dado que la puntuación de z fue mayor que 2.58 había menos de un 1% de probabilidades de que el patrón de agrupación fuera resultado del azar y por otro lado el valor p era estadísticamente significativo junto con la puntuación de z positiva, se puede dar por rechazada la hipótesis nula. Finalmente se pudo determinar que los incendios forestales de la SNGRE presentaron una distribución espacial agrupada como se observa en el reporte se muestra en la Figura

64
18

El reporte que se obtuvo para el análisis de los datos de los focos de calor del sensor MODIS se presenta en la Figura 19, donde se observa un valor positivo del índice I de Moran de 0.201825, la puntuación de z 3.961028 y el valor de p fue de 0.000000. Siguiendo las pautas mencionadas previamente con los datos de la SNGRE se pudo dar por rechazada la hipótesis nula lo que confirma que los datos presentaron estructuras espaciales estadísticamente significativas con tendencia a la concentración de áreas con incendios registrados.

65
Figura 18 Reporte del índice I de Moran para los incendios forestales de la SNGRE (2015-2018)

En cuanto al análisis aplicado para los focos de calor del sensor VIIRS (Ver Figura 20), se tuvo un valor positivo del índice I de Moran de 0 061409; el valor de p fue de 0 018804 y la puntuación de z 2.349396 y en el caso de este último valor determinó un nivel de confianza mayor al 95% que el patrón de agrupación fuera resultado del azar. Para esta fuente de datos también se ratificó que los datos presentaron una distribución espacial agrupada.

66
Figura 19 Reporte del índice I de Moran para los focos de calor del sensor MODIS (2015-2018)

4.1.3.2

Los resultados obtenidos tras realizar el análisis de “Puntos Calientes” se muestra en la Figura 21a, se elaboró un mapa por cada una de las fuentes de datos estudiadas.

En el mapa de los puntos calientes de los incendios forestales de la SNGRE (Ver Figura 21), se muestra el resultado obtenido, en el que hubo cuatro puntos calientes con diferentes niveles de significación, el más grande de ellos se ubican al este del cantón Cotacachi y en

67
Figura 20 Reporte del índice I de Moran para los focos de calor del sensor VIIRS (2015-2018) Asignación de Clúster - Análisis de Puntos Calientes (G local de Getis Ord)

el límite cantonal con Otavalo, ocupando la parte central de dicho cantón; avanzando hacia el oeste por el cantón Antonio Ante hasta llegar al sur de Ibarra. El otro punto se encuentra al norte del cantón Pimampiro, y el punto que le sigue está alejado del resto de puntos en la parte norte del cantón Ibarra, por último, se tiene un pequeño punto caliente al sur este de Otavalo. Para este análisis no se tuvo puntos fríos y en la mayor parte del territorio se ha definido como “No significativo”, es decir no se presentan patrones de significativos de agrupación.

Por otro lado, en la Figura 21b, se observa el resultado obtenido para los focos de calor del sensor MODIS, se puede indicar que para este conjunto de datos solo hubo concentración de puntos calientes que varía según el nivel de significancia, no hubo registro de puntos fríos y el resto de territorio no tuvo agrupación de datos estadísticamente significativos. En el mapa se observan seis puntos calientes localizados principalmente en los cantones Ibarra y San Miguel de Urcuquí y otros puntos calientes más aislados en Cotacachi, Pimampiro y Otavalo.

En el tercer mapa de la Figura 21, se tiene el resultado del análisis para los focos de calor del sensor VIIRS donde se repetí el mismo comportamiento de los datos de las otras dos fuentes de datos, pues solo se crearon grupos de puntos calientes; pero en este caso son mucho más pequeños, cuatro de ellos se encuentran en el límite cantonal del cantón San Miguel de Urcuquí tanto por el este, el oeste y el sur. En el cantón Otavalo hay un grupo de puntos calientes con un nivel de significancia del 99%.

68
69
Figura 21 Mapa de Puntos Calientes de los incendios forestales (2015-2018)

4.1.3.3 Asignación de Clúster - Análisis de clúster y valor atípico (G global de Getis Ord)

Cuando se aplicó el “Análisis de clúster y valor atípico”, se obtuvo un mapa en el cual se despliega la información según el campo tipo clúster y valor atípico (COType), en el que se diferenciaron cuatro categorías con un nivel de confianza del 95%: en color rosado claro los clúster de valores altos (HH), en color celeste los clúster de valores bajos (LL), en color rojo un valor atípico en el que un valor alto está rodeado principalmente por valores bajos (HL) y por último en color celeste un valor atípico en el que un valor bajo está rodeado principalmente por valores altos (LH) (ESRI, s/f). Esto se muestra en los mapas resultantes presentados en la Figura 22.

En el primer mapa de los incendios forestales de la SNGRE se confirmó las zonas con alta concentración de incendios cómo se mostraba en el mapa de “Puntos Calientes”, principalmente en la parte centro del cantón y dirigiéndose hacia el oeste y una pequeña agrupación al norte del cantón Ibarra. No se registraron datos de puntos fríos. Bajo la clase de HL se tuvo un total de veintinueve hexágonos que se distribuyen al largo de todos los cantones y corresponden a valores atípicos con un alto número de incendios forestales pero que sus vecinos tienen valores bajos. En el centro de Otavalo se registró el único valor atípico LH, es decir un valor bajo con vecinos de valores altos.

El mapa del clúster y valores atípicos de los focos de calor de MODIS, se muestra en la Figura 22b, en este se obtuvo información similar que el análisis de “Puntos Calientes” pues en el norte de la provincia hay tres agrupamientos de puntos calientes y asimismo no se registraron puntos fríos. En el caso de los valores atípicos HL están dispersos a lo largo de toda la provincia y en mayor numero que los datos analizados previamente pues se tiene un total de cuarenta siete. Los valores atípicos LH alcanzan un total de diecisiete hexágonos y se distribuyen principalmente en los cantones de Ibarra y Cotacachi.

Para completar los análisis geoestadísticos de esta investigación, se obtuvo el mapa de clúster y valores atípico de los datos de focos de calor de VIIRS (Ver Figura 22c). En este caso es importante mencionar que los resultados que se generaron para las agrupaciones

70

de puntos calientes, difieren un poco comparando con los resultados del análisis de “Puntos Calientes, dado que se registran tres hexágonos adicionales que antes no se los identificó como puntos calientes. Por otro este es el único resultado de los tres que ha generado puntos fríos, los mismos que se encuentran en los límites provinciales de los cantones de Pimampiro, San Miguel de Urcuquí así con al oeste del cantón Cotacachi. Solamente se obtuvo un total de cinco valores atípico del tipo HL en los cantones Cotacachi e Ibarra. Los valores atípicos del tipo LH son un total de diecinueve concentrados en la parte norte y sur de la provincia.

71
72
Figura 22 Mapa de clúster y valor atípico de los incendios forestales (2015-2018)

4.2 Análisis de resultados

En esta investigación se realizó un análisis de la distribución espacial de los incendios forestales en la provincia de Imbabura durante el período de 2015 a 2018; para ello se empleó técnicas geoestadísticas tales como la autocorrelación espacial, el análisis de puntos calientes y el análisis de clúster y valores atípicos. El proceso realizado se aplicó para tres fuentes de datos diferentes: los incendios forestales compilados por la SNGRE, los focos de calor del sensor MODIS y por último los focos de calor del sensor VIIRS.

A continuación, se da respuesta a las tres preguntas de investigación que orientaron este trabajo:

¿En dónde se concentran la mayor cantidad de incendios forestales en la provincia de Imbabura en el periodo de 2015 al 2018?

Como un primer acercamiento al análisis de los incendios forestales en la provincia de Imbabura se analizó el número de incidencias registradas a nivel cantonal y para cada una de las fuentes de datos utilizadas se obtuvo un resultado distinto.

Para los datos de la SNGRE se tiene que Ibarra es el cantón con un mayor número de incendios y a este le sigue el cantón Otavalo. Por otro lado, al analizar los datos de MODIS se tiene que los dos cantones con mayor número de incendios forestales son Ibarra y Cotacachi y con menor afectación está el cantón Otavalo y finalmente para los datos de VIIRS el comportamiento de los datos muestra que el cantón Cotacachi y con menor intensidad le sigue los cantones Ibarra y Otavalo.

En términos generales los incendios forestales se registran con mayor intensidad en los cantones Ibarra, Otavalo y Cotacachi, y en contraste el cantón con menor número de incendios forestales es Antonio Ante lo que se evidencia para las tres fuentes de datos. Es posible que la escala geográfica utilizada para este análisis no sea la más adecuada, ya que arroja la información para toda la unidad territorial y se pierde el contexto de la localización de los incendios forestales en la unidad territorial como tal, para obtener resultados un

73

poco más detallados se podría utilizar la información a nivel parroquial lo que permitiría saber con mayor precisión en que áreas del cantón se registran los incendios.

Asimismo, paran complementar la respuesta a esta pregunta; se aplicó la densidad de kernel a las tres fuentes de datos, y esto generó resultados mucho más precisos ya que basados en la geolocalización de los incendios la herramienta suaviza la información y determina los lugares donde existen un mayor número de ocurrencia de incendios cercanos entre sí a nivel provincial. Los datos de la SNGRE presentaron una alta densidad de incendios forestales al este del cantón Otavalo que se extiende en dirección noroeste hacia los otros cantones, pero principalmente se concentran en la zona centro oriente de la provincia en tanto que el flanco oriental existe muy poco o es nula ocurrencia de incendios forestales. Por otro lado, se tiene que los datos de MODIS tienen una densidad muy alta al norte del cantón Ibarra que se extienden mayoritariamente por el mismo cantón y la parte oriental del cantón San Miguel de Urcuquí, además en la mayor parte del territorio se presentaron varias zonas densidades medias y altas. En cuanto a los datos de VIIRS a lo largo de la provincia hay una densidad muy baja de incendios forestales y solo existe una densidad alta en el cantón Otavalo.

Al momento de aplicar la herramienta de Densidad Kernel en los datos, hay que tener en cuenta que los resultados pueden variar significativamente según los parámetros que se utilice, y esto dependerá de las necesidades del usuario. Es necesario realizar varias pruebas hasta encontrar el tamaño de celda que se usa para este análisis, ya que por un lado esto puede resultar en que se suavice la curva en la superficie de salida de los datos analizados lo que beneficia para la visualización, pero por otro lado esto podría hacer que se excluyan algunos datos relevantes.

Conviene subrayar que, dadas las condiciones de este estudio, es decir que se han usado tres fuentes de datos no es posible dar una sola respuesta a la pregunta de investigación, como se ha podido evidenciar cada conjunto de datos arroja valores diferentes o hasta opuestos.

74

¿Cuáles son los patrones de distribución espacial de los incendios forestales en la provincia de Imbabura en el periodo de 2015 al 2018?

En primer lugar, los resultados obtenidos para la autocorrelación espacial muestran la tendencia a la concentración de los incendios forestales para las tres fuentes de datos, aunque no se en las mismas zonas como se evidenció con los resultados de la densidad de los incendios previamente. Para los datos de la SNGRE y de MODIS se puede confirmar que la concentración de los incendios forestales no es aleatoria con un nivel de significancia del 99% a diferencia de los datos de VIIRS que mostraron un nivel de confianza de 95%.

Una vez que se comprobó que hay un patrón de agrupamiento para los incendios forestales, fue posible continuar con los puntos calientes y los valores atípicos, pero antes de eso fue necesario definir la formar de agregar los datos para el respectivo análisis. Aquí se tuvo ciertas consideraciones para el caso de estudio, primeramente, se usaría la ubicación de los incendios forestales pero la herramienta de análisis de “Puntos Calientes” requiere hacer el análisis de una variable ponderada, por lo que se tuvo en cuenta la recomendación de ESRI y se aplicó la herramienta “Recopilar eventos” para las tres fuentes de datos. Sin embargo, el resultado no fue el esperado, pues por la naturaleza de los datos hubo muy pocos eventos que se localizarán en la misma ubicación por tal razón la mayoría de los eventos tenían una ponderación de 1 y no había variabilidad en los datos. No fue posible usar este campo, pues la herramienta lo rechazó.

En este sentido se optó por agregar los datos en una cuadrícula hexagonal, pues esta forma reduce el sesgo del muestreo y tiene una mayor probabilidad de encontrar un vecino cercano como se mencionó previamente, de este modo se usó como dato ponderado el conteo de incendios forestales registrados dentro de cada hexágono. Otra de las consideraciones es que para esta investigación se atribuyó usar un hexágono de 10km², es importante precisar que el hecho de optar por otro tamaño o ya sea otra forma de cuadrícula evidentemente los resultados serán diferentes, en este contexto para otros estudios se puede tener la consideración de hacer varias pruebas previas para definir la agregación de los datos o ya bien sea usar varios escenarios de análisis Y otra consideración

75

fue que para el uso de las herramientas de geoestadística es necesario tener al menos 30 entidades para que el análisis sea fiable y en el caso de la cuadrícula hexagonal se cuenta con 543 entidades.

En cuanto al análisis de puntos calientes los resultados muestran que para las tres fuentes de datos únicamente se obtuvo concentración de puntos calientes con diferentes niveles de confianza y no se registraron puntos fríos para ninguno de los casos. En este caso en particular, si no se conoce a profundidad los datos se podría considerar la opción de realizar el análisis con la herramienta de “Puntos Caliente Optimizado”, dicha herramienta define los parámetros de manera eficaz y no es necesario agregar los datos pues la herramienta lo hace automáticamente.

Para terminar, se aplicó el análisis de clúster y valor atípico el cual resulta fundamental para complementar los resultados obtenidos con el análisis previo. El resultado de los datos de la SNGRE presenta los mismos puntos calientes del análisis previo y la ausencia de puntos fríos, sin embargo, hay varios valores atípicos altos rodeados por valores bajos que están dispersos por la provincia de Imbabura y en su mayoría distantes a los puntos calientes. Existe un solo registro de valor atípico bajo rodeado de valores altos al sur del punto caliente en el cantón Otavalo.

Ahora bien, para los datos de MODIS, los resultados son muy interesantes, se mantiene los mismos puntos calientes definidos previamente, pero en este caso hay un mayor número de valores atípicos altos rodeados de valores bajos que están un tanto más agrupado en comparación con los datos de la SNGRE, también es notorio la presencia de valores típicos bajos rodeados de valores altos los que se encuentran cerca de puntos calientes en su gran mayoría.

Por último, los resultados de los datos de VIIRS, se mantiene los mismos puntos calientes, pero para este único caso, el análisis arroja puntos fríos que anteriormente no se consideraron y están en los limites cantonales en el cantón Pimampiro, San Miguel de Urcuquí y al oeste de Cotacachi. Los valores atípicos altos rodeados de valores bajos son

76

muy pocos en comparación con los otros dos tipos de datos y para los valores atípicos bajos rodeados de altos se localizan junto a los puntos calientes.

Esta investigación se enfocó en explorar la distribución espacial de los incendios forestales basados puntualmente en la localización de estos y validar diferentes fuentes de datos, no obstante, se ha dejado por fuera el análisis de otras variables que intervienen en la ocurrencia de incendios como por ejemplo: la cercanía a vías o centros poblados, la cobertura de suelo, la disponibilidad de combustibles, las condiciones climatológicas entre tantas otras y que son necesarias para entender los patrones espaciales con mayor detalle.

¿Existe relación en los datos generados sobre los incendios forestales en la provincia de Imbabura en el periodo de 2015 al 2018 tanto por la SNGRE (a nivel nacional) y los datos de los focos de calor de la plataforma FIRMS?

Desde un inicio de esta investigación, el interés de comprender el comportamiento de los incendios forestales se originó desde dos perspectivas, por un lado, el hecho de saber que Imbabura es una de las provincias más afectadas por los incendios forestales y por otro lado por la escaza información que existe sobre la temática a nivel nacional. Posiblemente la falta de información afecta en las tareas de prevención y control de incendios forestales de los entes responsables. En este contexto el estudio se encamino para evaluar la información generada a nivel nacional por la SNGRE y contrastarla con los datos generados por sensores remotos.

Partiendo desde el acceso a los datos vale mencionar que, a la fecha de esta investigación, la SNGRE es el ente encargado de compilar los datos y estadísticas de los incendios forestales, sin embargo, no existe un repositorio actualizado donde se pueda encontrar la información abiertamente. Para fines de esta investigación se accedió al archivo disponible en la página web de la SNGRE, en el cual hay datos hasta el año 2018 y justamente esta ha sido la razón para delimitar el análisis para el periodo de cuatro años. En reiteradas ocasiones se solicitó el acceso a información actualizada de incendios forestales, pero lastimosamente no se tuvo éxito. Por otro lado, la información de los sensores remotos se

77

encuentra disponible en la plataforma FIRMS y es de fácil acceso, no obstante, la información está condicionada a la funcionalidad de los satélites y sensores, así como su vigencia y temporalidad de adquisición de los datos.

Con relación a los datos obtenidos para cada una de las fuentes de datos, se evidenció que estos conjuntos de datos difieren el uno del otro como se puede visualizar en los mapas de la sección 4.1.1., que a simple vista la distribución de los incendios o focos de calor presentan diferentes patrones. Los datos de la SNGRE se concentran principalmente al centro del cantón Ibarra y se orientan hacia el noroeste con un total de 507 eventos, por otro lado los 297 datos del sensor MODIS se muestran dispersos por la mayor parte del territorio provincial a excepción de la parte oriental del cantón Cotacachi y el norte de San Miguel de Urcuquí, igualmente los datos de VIIRS presentan una distribución de los datos muy similar a la de MODIS pero la diferencia es que este otro sensor tiene un mayor de número de ocurrencias de incendios forestales en el período analizado sumando un total de 1297 registros. Esta distribución de los datos, indudablemente condicionaron a los resultados obtenidos para los análisis geoestadísticos realizados para este estudio.

De manera muy breve se analizó la temporalidad de los datos a través de relojes de datos, de los resultados obtenidos se puede generalizar que para las tres fuentes de datos hay dos épocas para los incendios forestales, la primera que va de enero a junio donde no hay mayor ocurrencia de incendios forestales en la provincia de Imbabura y la otra época que va de julio a diciembre, en la que hay mayor ocurrencia de incendios sin embargo los meses con mayor incidencia son agosto, septiembre y octubre. Esta temporalidad de los incendios forestales está estrechamente vinculada a las estaciones húmedas y secas, que para la sierra ecuatoriana la estación húmeda va de octubre a mayo y mientras que la estación seca va de junio a septiembre. Con esto quiero decir que la época más intensa de incendios (julio a diciembre) empieza con la estación seca y avanza hasta la mitad de la estación húmeda.

Este patrón señalado previamente, se repite en los años 2015, 2016 y 2018 pero en el 2017 el comportamiento de los incendios forestales es muy diferente, pues durante el año solo hay dos meses que se registra incendios forestales y en comparación con el resto de los

78

años el número de ocurrencias es muy baja. A lo mejor esto responde a los patrones que se hace referencia con períodos de cada 3 años, y posterior a un año húmedo, el siguiente año es probable que tenga una alta afectación

Otro aspecto a considerar al evaluar los datos de este estudio es que la información de la SNGRE se basa en el registro que se tiene a partir del aviso de un posible incendio a las autoridades competentes, así como del control del mismo. Probablemente hay una gran cantidad de eventos que nos son registrados ya sea porque no se dio aviso, o no hubo intervención de control por las entidades responsables o incluso en algunos casos se originan en zonas poco concurridas o son inasequibles. Mientras que para los focos de calor el algoritmo permita que detecte un punto de la superficie que presenta una temperatura elevada en comparación a los pixeles vecinos, esto a su vez puede significar un potencial incendio, pero a su vez puede tratarse de otro tipo de evento o incluso falsas alarmas. En definitiva, para comprender la relación de los datos sería necesario hacer un análisis más profundo que permita evaluar si los mismos eventos se registrar para diferentes fuentes de datos. Considero que los datos de los sensores remotos deben ser usados primordialmente para complementar la información de incendios forestales que se genera a nivel nacional, así como también para diseñar programas de alerta temprana que faciliten las acciones de prevención y mitigación de incendios forestales.

79

5. CONCLUSIONES Y RECOMENDACIONES

5.1 Conclusiones

En esta investigación se ha analizado los patrones de distribución espacial de los incendios forestales en la provincia de Imbabura. Los resultados obtenidos muestran la utilidad de las herramientas geoestadísticas que han permitido definir la autocorrelación espacial de los datos y por otro lado se ha podido evidenciar la agrupación de los datos, así como los valores atípicos.

Se comprobó la hipótesis de esta investigación, los incendios forestales en la provincia de Imbabura presentan una distribución espacial agrupada para las tres fuentes de datos analizadas.

Tras los análisis realizados se ha identificado dos zonas donde hay una alta ocurrencia de incendios forestales en Imbabura, por un lado, al sur centro de la provincia en el cantón Otavalo y se extiende hacia el noreste por el límite del cantón Cotacachi hasta la parte sur de los cantones San Miguel de Urcuquí e Ibarra la otra zona es al norte de la provincia ocupando la parte superior del cantón Ibarra y una parte del cantón San Miguel de Urcuquí orientado hacia el límite provincial.

De los resultados obtenidos para el análisis de puntos calientes, donde no se mostraron puntos fríos; considero que es de gran utilidad aplicar la herramienta de clúster y valores atípicos. En términos generales se considera que la información generada por ambas herramientas es muy similar, hay que destacar que la herramienta de clúster y valores atípicos puede presentar información más detalla y facilitar la interpretación de los datos.

Al realizar la comparación de los resultados con tres fuentes distintas de datos permite elaborar distintos escenarios sobre la ocurrencia de incendios forestales. Cómo se mencionó previamente la información sobre incendios forestales a nivel nacional es desactualizada y de difícil acceso, en este sentido creo que los datos de focos de calor son de gran utilidad y se podrían utilizar para complementar los registros de incendios forestales, así contar con información fiable.

80

5.2 Recomendaciones

Esta investigación es un punto de partida para evaluar el comportamiento de los incendios forestales, sin embargo, recomiendo que se debería profundizar el análisis teniendo en cuenta otras variables que inciden en la distribución espacial de los incendios.

A mi juicio, la información sobre los incendios forestales, así como de todo tipo de amenazas naturales y antrópicas debería estar actualizada y disponible libremente, en este sentido mi recomendación va encaminada hacia las autoridades responsables de asegurar que la gestión de la información sea la apropiada y pueda ser usada de la mejor manera.

Los datos que se obtienen a través de sensores remotos como es el caso de MODIS o VIIRS han permitido a los usuarios estudiar y comprender el comportamiento de distintos fenómenos y para el caso puntual de los incendios forestales se podría pensar en desarrollar programas de alerta temprana, y consolidar la gestión en la prevención más que apagar los incendios cuando estos ya han causado daños irreparables.

81

6. REFERENCIAS

Aguirre Briones, F. (2001). Manual de formación de incendios forestales para cuadrillas. Gobierno de Aragón.

Alvarez, G. (2018). Basesparaeldiseñodeunsistemadedeteccióndeincendiosforestales mediante patrullaje terrestre en un sector de la precordilleta de la Región Metropolitana.

http://repositorio.uchile.cl/bitstream/handle/2250/104996/alvarez_g.pdf?sequen ce=4&isAllowed=y

Álvarez Rogel, Y. (2000). Aplicación de tecnología S.I.G. al Estudio del Riesgo y Prevención de Incendios Forestales en el área de Sierra Espuña-Gebas (Región de Murcia) [Ph.D. Thesis, Universidad de Murcia]. En TDR (Tesis Doctorales en Red).

http://www.tdx.cat/handle/10803/10878

Álvarez Taboada, M. F., Rodríguez Pérez, J. R., Fernández Ordoñez, N., & Gil Díaz, S. (2003). Los sistemas de información geográficos aplicados a la prevención de incendios forestales.PropuestaparalaplanificacióndequemaderastrojosenlaComarcade ArandadeDuero(Burgos).

https://buleria.unileon.es/handle/10612/2675

Anero Cárcamo, M. (2007). Técnicas de investigación de incendios: Incendios de origen eléctrico.

https://recercat.cat//handle/2072/5372

Ávila-Flores, D., Pompa-García, M., & Vargas-Pérez, E. (2010). Análisis espacial de la ocurrencia de incendios forestales en el estado de Durango. RevistaChapingo.Serie ciencias forestales y del ambiente, 16, 253–260.

https://doi.org/10.5154/r.rchscfa.2009.08.028

Blas, R. (2018). Los incendios forestales en extremadura (1968-2013): Evolución y caracterización mediante Tecnologías de la Información Geográfica [Http://purl.org/dc/dcmitype/Text, Universidad de Extremadura].

https://dialnet.unirioja.es/servlet/tesis?codigo=189766

Bustos, A., Segura, D., Coronel, J., & Onofa, Á. (2019, marzo 25). Losincendiosforestalesen Ecuador. Osbodigital. Todo sobre gestión forestal.

https://osbodigital.es/2019/03/25/los-incendios-forestales-en-ecuador/

Camia, A., Durrant, T., & San Miguel Ayanz, J. (2013). Harmonizedclassificationschemeof fire causes in the EU adopted for the European Fire Database of EFFIS.

https://effis.jrc.ec.europa.eu/media/cms_page_media/42/LB-NA-25-923-EN-N.pdf

82

Castillo, M., Pedernera, P., & Peña, E. (2003). Incendios forestales y medio ambiente: Una síntesis global. RevistaAmbienteyDesarrollo, XIX, 44–53.

Comisión Nacional Forestal. (2010). Incendios forestales. Guía práctica para comunicadores

http://www.conafor.gob.mx:8080/documentos/docs/10/236Gu%C3%ADa%20pr% C3%A1ctica%20para%20comunicadores%20-%20Incendios%20Forestales.pdf

Devkota, J. U. (2021). Geostatistics of Active Fire Remote Sensing Data Examples from SouthAsia [Preprint]. In Review. https://doi.org/10.21203/rs.3.rs-243446/v1

Di Bella, C., Posse, G., Begget, M., Fischer, M., Mari, N., & Veron, S. (2008, septiembre). La teledetección como herramienta para la prevención, seguimiento y evaluación de incendios e inundaciones

https://www.researchgate.net/publication/39499476_La_teledeteccion_como_he rramienta_para_la_prevencion_seguimiento_y_evaluacion_de_incendios_e_inun daciones

Earthdata - NASA. (2021a). Fire Information for Resource Management System (FIRMS) | Earthdata. Earthdata - NASA. https://earthdata.nasa.gov/earth-observationdata/near-real-time/firms/

Earthdata - NASA. (2021b). FIRMS Frequently Asked Questions | Earthdata. EarthdataNASA. https://earthdata.nasa.gov/faq/

ESRI. (s/f). VistageneraldelacajadeherramientasEstadística espacial. Recuperado el 21 de junio de 2022, de https://desktop.arcgis.com/es/arcmap/10.4/tools/spatialstatistics-toolbox/an-overview-of-the-spatial-statistics-toolbox.htm

FIRMS. (2021). https://earthdata.nasa.gov/faq/firms-faq/

Flores Garnica, J. G., Reyes Cárdenas, O., Flores Garnica, J. G., & Reyes Cárdenas, O. (2019). Distribución espacial de Pinus oocarpa Schiede ex Schltdl. Mediante la estimación de la densidad Kernel. Revista mexicana de ciencias forestales, 10(53), 21–40. https://doi.org/10.29298/rmcf.v10i53.406

Flores, J. (2008). Impactoambientaldeincendidosforestales. Mundi-Prensa.

Gallardo, A. (2006). Geostadística.

https://rua.ua.es/dspace/bitstream/10045/7703/1/ECO_15%283%29_05.pdf

83

Garzón, E., & Campoverde, M. (2020). Análisis espacial de incendios forestales en la provinciadelAzuay. https://dialnet.unirioja.es/servlet/articulo?codigo=7436074

Getis, A., & Ord, J. K. (1992). The Analysis of Spatial Association by Use of Distance Statistics. Geographical Analysis, 24(3), 189–206. https://doi.org/10.1111/j.15384632.1992.tb00261.x

Giglio, L., Descloitres, J., Justice, C. O., & Kaufman, Y. J. (2003). An Enhanced Contextual Fire Detection Algorithm for MODIS. RemoteSensingofEnvironment, 87(2–3), 273–282.

https://doi.org/10.1016/S0034-4257(03)00184-6

Gould, W. (2009). Fire ecology and management. Ambio, 37, 521.

Idaho Firewise. (s/f). Wildfire ignition, behavior and effects. IdahoFirewise. Recuperado el 16 de noviembre de 2020, de https://idahofirewise.org/fire-ecology-andmanagement/wildfire-ignition-behavior-and-effects/

INEC. (2011). Resultados del Censo 2010 de población y vivienda en el Ecuador.

https://www.ecuadorencifras.gob.ec/censo-de-poblacion-y-vivienda/

López, P. E. B. (2021). Autocorrelación espacial - Índices para determinar su presencia en datos geográficos: Breve revisión de la literatura. Universidad-Verdad, 78, Art. 78.

https://doi.org/10.33324/uv.v1i78.351

Ma, C. (2021). Remote Sensing and GIS Integration for Amazon Rainforest Wildfires Applications 176.

Michel, J. M. (2012). (PDF) Caracterización y cuantificación de combustibles forestales.

https://www.researchgate.net/publication/260591485_Caracterizacion_y_cuantifi cacion_de_combustibles_forestales

Moscovich, F., Ivandic, F., & Besold, L. (2014). Manualdecombatedeincendiosforestales y manejo de fuego. https://inta.gob.ar/sites/default/files/script-tmp-inta__manual_de_combate_de_incendios_forestales_y_ma.pdf

Muñoz, I. (2021, marzo 26). LasuperficiequemadaenÁfricaesun80%mayor. Osbodigital. Todo sobre gestión forestal. https://osbodigital.es/2021/03/26/la-superficiequemada-en-africa-es-un-80-mayor/

National Fire Protection Association. (2009). Manual de Protección Contra Incendios (5ta ed., Vol. 2).

84

Navarrete, R., Oberhuber, T., & Reina, J. (2007) Incendios forestales manual práctico Ecologistas en Acción.

Oliva, P., Jurdao, S., Martínez, J., & Chuvieco, E. (2008). Validación y comparación de los productos MODIS y AATSR para la detección de focos activos en la España peninsular y Baleares en el año 2003. EspacioTiempoyForma.SerieVI,Geografía, 0(1). https://doi.org/10.5944/etfvi.1.2008.1449

Pourrut, P. (Ed.). (1995). ElaguaenelEcuador:Clima,precipitaciones,escorrentía. Colegio de Geógrafos del Ecuador : Corporación Editora Nacional.

Prada, F. I. de P. P. de. (2006). El fuego: Química y espectáculo. AnalesdelaRealSociedad EspañoladeQuímica, 2, 54–59.

Prefectura de Imbabura. (2021). Plan de Desarrollo y Ordenamiento Territorial de la Provincia de Imbabura 2019 -2023

https://www.imbabura.gob.ec/index.php/componente-territorial/instrumentosde-planificacion/pdot-provincial

Pyne, S. (1984). Introduction to wildland fire: Fire management in the United States. Chapter 2. https://www.nrem.iastate.edu/class/assets/nrem39010/Chapter%202_Pyne_Fire%20Behavior.pdf

Reglamento al Código Orgánico del Ambiente. (2019). https://www.gob.ec/regulaciones/reglamento-al-codigo-organico-ambiente

Servicio Nacional de Gestión de Riesgos y Emergencias. (2020, noviembre 8). Informe de SituacionNo005 IncendiosForestales. https://www.gestionderiesgos.gob.ec/wpcontent/uploads/2020/11/Informe-de-Situacion-No-005-Incendios-Forestales08112020_17h00.pdf

Siabato, W., & Guzmán-Manrique, J. (2019). La autocorrelación espacial y el desarrollo de la geografía cuantitativa. Cuadernos de Geografía: Revista Colombiana de Geografía, 28, 1–22. https://doi.org/10.15446/rcdg.v28n1.76919

Soto, M. C., & Salinas, R. G. (2010). Estudio del comportamiento del fuego mediante simulación de incendios forestales en Chile. Geographicalia, 58, 81–103.

UN Environment Programme. (2022, febrero 22). Propagándosecomounincendioforestal: La creciente amenaza de incendios excepcionales en paisajes. UNEP - UN

85

Environment Programme.

http://www.unep.org/es/resources/informe/propagandose-como-un-incendioforestal-la-creciente-amenaza-de-incendios

U.S. National Park Service. (2017, febrero 16). Wildland Fire Behavior

https://www.nps.gov/articles/wildland-fire-behavior.htm

Villers, M. de L. (2006). Incendios forestales. RevistaCiencias, 81, 60–66.

World Wildlife Fund. (2019, junio 18). Incendiosforestales:Losbuenosylosmalos. World Wildlife Fund. https://www.worldwildlife.org/descubre-wwf/historias/incendiosforestales-los-buenos-y-los-malos

86

Turn static files into dynamic content formats.

Create a flipbook
Issuu converts static files into: digital portfolios, online yearbooks, online catalogs, digital photo albums and more. Sign up and create your flipbook.